Розробка програми для виведення на екран чисел Фібоначчі

  • Вид работы:
    Курсовая работа (т)
  • Предмет:
    Информационное обеспечение, программирование
  • Язык:
    Украинский
    ,
    Формат файла:
    MS Word
    224,96 Кб
  • Опубликовано:
    2013-10-09
Вы можете узнать стоимость помощи в написании студенческой работы.
Помощь в написании работы, которую точно примут!

Розробка програми для виведення на екран чисел Фібоначчі

Зміст

Вступ.

1.      Загальна характеристика мови Паскаль (Pascal)

2.      Науковий доробок Леонардо Фібоначчі

2.1.   Історія і властивості послідовності.

2.2.   Властивості чисел Фібоначчі

2.3.   Історія відкриття

3.      Лістинг програми

Висновки.

Список використаної літератури:

Додатки

Вступ

Актуальність курсової роботи. Дана програма навчальною, за її допомогою прискорюється процес знаходження чисел Фібоначчі В умовах розвитку і постійного вдосконалення програмного забезпечення, потрібно надати поштовху і початку роботи і навчання. Таким чином програма є аналогом генератора чисел Фібоначчі, користувачеві потрібно ввести тільки значення і вона видасть готову відповідь.

Також розробляючи програму я використав багато відомих мені і деякі нові прийоми і методи.

Мета курсової. Роботи: розробити програму для виведення на екран чисел Фібоначчі після задання їх кількості та оформити для неї документацію.

Об’єкт дослідження. Способи задання умов та циклів у мові програмування Pascal, а також синхронізація з командами користувача.

Предмет дослідження. Середовище програмування Pascal.

Згідно поставленої мети виникли завдання дослідження:

.        Написати програму для виведення чисел Фібоначчі;

.        Відкалібрувати і синхронізувати її;

.        Написати документацію до виконання роботи.

1.   Загальна характеристика мови Паскаль (Pascal)

Мова програмування Паскаль, названа на честь французького філософа і математика Блеза Паскаля (1623 - 1662), була вперше створена швейцарцем Ніклаусом Віртом, який працював на кафедрі інформатики Стенфорського університету. Широке ж поширення він одержав тільки через багато років після розробки діалекту Турбо Паскаль широко відомої і донині фірмою Borland International.

У першій версії були об'єднані швидкий компілятор і редактор тексту, а так само додане могутнє розширення.

У версії Turbo Pascal 3.0 крім старих функцій до нової мови був доданий набір супутніх програм (так званих "Tools"), що дозволили зробити програми, написані на Турбо Паскалі, максимально компактними по обсягу і легкими для читання і редагування. Можливості вбудованого текстового редактора були значно розширені, завдяки його тісному зв'язку з пакетом WordStar.

Турбо Паскаль 4.0, що з'явився пізніше, дозволяв працювати з компілятором, що не має обмежень, закладених у попередній версії. Ця версія вже дозволяла розробляти на Турбо Паскалі великі програмні продукти.

У ще одну нову версію мови, цього разу позначену "5.0", був убудований відладчик, що значно полегшив пошук і виправлення помилок у тексті програми, а так само апарат перекриттів, прискорюючих роботу програм і підтримка розширеної пам'яті. Ця версія цілком забезпечувала роботу програм у графічному стандарті VGA <#"656814.files/image001.gif">

Малюнок 1. Золотий перетин


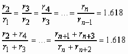
Малюнок 2. Приклади співвідношень Фібоначчі

Золотий коефіцієнт використовується природою для побудови її частин, починаючи від великих і закінчуючи малими. Сучасна наука вважає, що Всесвіт розвивається по так званій золотій спіралі (рис.3), яка будується саме за допомогою золотого коефіцієнта. Ця спіраль в буквальному розумінні не має кінця і початку. Менші витки ніколи не сходяться в одну і ту ж крапку, а великі необмежено розвиваються в просторі.

Малюнок 3. Золота спіраль

Деякі із співвідношень, що дотримуються:


Найважливіше полягає в тому, що за допомогою всіх цих, в якомусь роді містичних, чисел, описуються різнорідні процеси у Всесвіті.

2.2    Властивості чисел Фібоначчі

Найбільший спільний дільник двох чисел Фібоначчі дорівнює числу Фібоначчі з індексом рівним найбільшому спільному дільнику індексів, тобто: . В наслідок цього:

Fm ділиться Fn тоді й тільки тоді, коли m ділиться на n (за виключенням n = 2);

·   кожне третє число Фібоначчі парне (F3 = 2,F6 = 8,F9 = 34);

·        кожне п'ятнадцяте закінчується нулем (F15 = 610);

·        два сусідніх числа Фібоначчі взаємно прості;

Fm може бути простим тільки для простих m (за єдиним виключенням m = 4, що пов'язано з F2 = 1). Зворотнє твердження невірно: хоча 19 - просте число. На даний момент невідомо, чи існує нескінченно багато простих чисел Фібоначчі.

Використовуючи те саме рекурентне співвідношення, що і на початку, у вигляді Fn = Fn + 2Fn + 1, можливо поширити визначення чисел Фібоначчі і на від'ємні індекси:


Неважко переконатися, що F n = ( − 1)n + 1Fn, тобто одержуємо таку саму послідовність з перемежуючимися знаками.

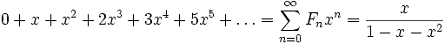
Послідовність чисел Фібоначчі є частковим випадком генерованої послідовності, її характеристичний многочлен рівний x2x − 1 й має корені φ і − 1 / φ.

Генератрисою послідовності чисел Фібоначчі є:


Числа Фібоначчі можна представити значеннями континуант на наборі одиниць: , тобто

, а також ,

де матриці мають розмір , i - уявна одиниця.

Для будь-якого n,


Ця формула надає швидкий алгоритм обчислення чисел Фібоначчі за допомогою матричного варіанта алгоритма швидкого піднесення до степеня. Обчислення визначників дає:


Відношення є підходящими дробами золотого перетину φ і, зокрема, .

Суми біноміальних коефіцієнтів на діагоналях трикутника Паскаля є числами Фібоначчі з огляду на формулу

.

У 1964 р. J. H. E. Cohn довів, що єдиними точними квадратами серед чисел Фібоначчі є F0 = 0,F1 = F2 = 1 і F12 = 144 = 122.

 

P(x,y) = 2xy4 + x2y3 − 2x3y2y5x4y + 2y,

де - цілі числа, див. P. Ribenboim, The New Book of Prime Number Records, Springer, 1996, стор. 153. Цей факт, знайдений Дж. Джоунзом, відіграє ключову роль у теоремі Матиясевича (негативному розв'язанні десятої проблеми Гільберта), тому що він надає спосіб задати експоненціально зростаючу послідовність чисел Фібоначчі у вигляді діофантової множини.

2.3    Історія відкриття

У XIII столітті італійський математик Фібоначчі розв’язував таку задачу:

Фермер годує кроликів. Кожен кролик народжує одного кролика коли йому стає 2 місяці, а потім дає потомство в 1 кролик кожен місяць. Скільки кроликів буде у фермера через n місяців, якщо спочатку у нього був лише один (вважаємо, що кролики не гинуть і кожен народжений дає потомство за вище описаною схемою)? фібоначчі програма програмування паскаль

Очевидно, що першого та другого місяця у фермера залишається один кролик, оскільки потомства ще немає. На третій місяць буде два кролика, оскільки перший через два місяці народить другого кролика. На четвертий місяць перший кролик дасть ще одного, а другий кролик потомства не дасть, оскільки йому ще тільки один місяць. Отже на четвертий місяць буде три кролики. Можна помітити, що кількість кроликів після n - го місяця дорівнює кількості кроликів, які були у n - 1 місяці плюс кількість народжених кроликів. Останніх буде стільки, скільки є кроликів що дають потомство, або дорівнює кількості кроликів, яким вже виповнилося 2 місяці (тобто кількості кроликів після n - 2 місяця).

Якщо через Fn позначити кількість кроликів після n - го місяця, то має місце наступне рекурентне співвідношення:

Fn = Fn-1 + Fn-2, F1 = F2 = 1

Покладемо F0 = 0, при цьому співвідношення при n = 2 залишиться істинним. Таким чином утворюється послідовність

0, 1, 1, 2, 3, 5, 8, 13, 21, 34, 55, 89, 144, ... ,

У 1225 році імператор Римської імперії Фрідріх II на турнірі в Пізі запропонував Леонардо Фібоначчі таку задачу: Знайти повний квадрат, який залишаеться повним квадратом як після збільшення, так і після зменшення його на 5. Фібоначчі після деяких розміркувань знайшов це число. Воно виявилося дробовим: 1681/144, або (41/12)2. Справді, 1681/144-5=961/144, 1681/144+5=2401/144. інакше (41/12)2-5=(31/12)2 і (41/12)2+5=(49/12)2. Якими міркуваннями керувався Фібоначчі під час турніру, ми ніколи не з'ясуемо, але задачу він розв'язав блискуче.

3.      Лістинг програми

Заголовок програми і опис змінних використаних у ній

program fibonachchi;crt;f1,f2,fi: real;,n: integer;

Виведення на екран запиту про кількість елементів

clrscr;('Vvedit kilkist chusel Fibonachi: ');(n);(n,' pershuh elementiv:');:=1; f2:=1;{наданна початкових значень числам f1та f2}

Накладання початкових умов на змінні

if n>0 then write(f1:1:0);n>1 then write(' ',f2:1:0);i:=3 to n do {цикл}

Цикл, який обчислює і-ий елемент


Висновки

В результаті виконаної роботи була вивчена послідовність і властивості чисел Фібоначчі, яка полягає в тому, що сума двох сусідніх чисел послідовності дає значення наступного за ними.

В ході курсової роботи мною були вивчені деякі аспекти програмування мовою Turbo Pascal. При оформленні курсової роботи були отримані навички оформлення програмної документації, а також великий практичний досвід роботи в Turbo Pascal v7.0, Microsoft Word 2007, Microsoft Excel 2003 (хоча освоєння цих програмних продуктів не було метою курсової роботи, дані навички не можна вважати марними). Теоретичні відомості були закріплені практичними заняттями.

Мета і завдання виконані. Програма виконується без помилок.

Список використаної літератури


1.   Підручник по Pascal;

2.      opensource.com.ua/products.php?info=p1016

.        pascalstudy.narod.ru

.        www.bhv.kiev.ua/books/book.php?id=4&book_id=142

5.   Страустрап Б. Введення в мову Pascal Ресурси електронної бібліотеки ІnfoCіty (#"656814.files/image020.gif">

2)      Робота програми при виборі виведення 25 перших елементів Фібоначчі

Похожие работы на - Розробка програми для виведення на екран чисел Фібоначчі

 

Не нашли материал для своей работы?
Поможем написать уникальную работу
Без плагиата!
Без нейросетей!