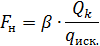
Принципиальная схема аммиачной холодильной установки
СОДЕРЖАНИЕ
1. Схемы холодильных установок
.1 Принципиальная схема аммиачной
холодильной установки
.2 Особенности при формировании
функциональной схемы холодильной установки
.3 Отделение масла в аммиачных
холодильных установках
. Расчёт холодильного цикла и выбор
компрессионного оборудования
.1 Выбор оптимальных параметров
режима работы холодильной установки
.2 Расчёт рабочего процесса
холодильной установки
.3 Характеристики цикла
.4 Описание компрессоров
. Расчёт теплообменного оборудования
холодильных установок
.1 Выбор конденсатора
. Расчёт испарителей и
вспомогательного оборудования
.1 Кожухотрубные испарители
.2 Выбор градирни
.3 Выбор насоса
.4 Расчёт толщины изоляции
Список литературы
1. Схема холодильных установок
.1 Принципиальная схема аммиачной холодильной
установки
Рис. 1.2. Принципиальная схема аммиачной
холодильной установки: Кд - конденсатор; КМ - компрессор; ТРВ -
терморегулирующий вентиль; И - испаритель; Гр - градирня; Н - насос;
Примечание: цифры на схеме - обозначение
характерных точек при построении холодильного цикла в диаграмме lq - h
.2 Особенности при формировании функциональной
схемы холодильной установки
Одним из требований, которым должна отвечать
схема холодильной установки, является эффективное удаление из системы вредных
примесей: воздуха, грязи, масла, влаги. Первые два вида примесей не дают
значительных особенностей функциональной схемы, вторые два вида принципиально
влияют на формирование схемы холодильной установки и зависят, в основном, от
вида хладагента.
1.3 Отделение масла в аммиачных холодильных
установках
Масло от аммиака отводится перед конденсатором.
Наиболее эффективный способ отделения масла в холодильных установках с
поршневым компрессором является пропуск его через слой жидкого аммиака в
барботажном маслоотделителе. Удаление нерастворённого в аммиаке масла возможно
из всех аппаратов и сосудов, в которых оно осаждается за счёт большей, чем у
жидкого аммиака плотности. Масло, скопившееся в нижней части аппарата,
периодически перепускается в маслосборник.
2. Расчёт холодильного цикла и выбор
компрессионного оборудования
.1 Выбор оптимальных параметров режима работы
холодильной установки
Основными показателями работы холодильной
установки являются: холодопроизводительность, расход электроэнергии, удельный
расход электроэнергии, расход воды. Эти величины зависят от температурного
режима работы холодильной установки.
.2 Расчёт рабочего процесса холодильной
установки
Для построения процесса в диаграмме lg Р - h
обычно определяют конкретные параметры: температуру кипения хладагента,
температуру конденсации, температуру всасывания, температуру переохлаждения.
. Температура кипения хладагента в
испарителе при закрытой рассольной схеме охлаждения:
,
где
- разность температур принимается
равной 4 °С.
Охлаждение рассола в испарителе:
, где
;
;
2. Температура конденсации
паров хладагента зависит от температуры и количества воды, подаваемой в
конденсатор. Примем разность температур между выходящей и входящей водой
конденсатора:
Температура конденсации:
,
где
- разность температур принимается
равной 5 °С.
;
;
. Температура переохлаждения
перед регулирующим вентилем:
,
где
- разность температур принимается
равной 4 °С.
По этим параметрам строим рабочий
процесс в lgP - h диаграмме (приложение1). По построенному циклу определяем
параметры хладагента.
2.3 Характеристики цикла
рк =1,2 МПа; р0 =0,32 МПа.
Характерные показатели:
По параметрам узловых точек
определяются следующие показатели:
Удельная холодопроизводительность
хладагента, кДж/кг:

кДж/кг
Удельная работа сжатия в
компрессоре:

кДж/кг
Удельная тепловая нагрузка на
конденсаторе:

кДж/кг
Холодильный коэффициент цикла:
Холодильный коэффициент цикла - это
КПД цикла, который выражается в виде отношения поглощенной от охлаждаемого
объекта теплоты к энергии, израсходованной при этом компрессором.
Объёмная холодопроизводительность,
кДж/м3

; 
м3/кг

кДж/м3
.4 Описание компрессоров
Холодильные компрессоры серии П
являются непрямоточными, одноступенчатыми, многоцилиндровыми, работающие, в
основном, при синхронной частоте вращения вала 1500 об/мин (24 с-1).
Производительность холодильной
установки, выбор типа и количества компрессоров.
Холодопроизводительность холодильной
установки характеризуется количеством теплоты, отводимой от охлаждаемого
объекта. Эта теплота расходуется на превращение в пар определенного количества
хладагента в испарителе. Холодопроизводительность компрессора - условное
понятие. под ней понимают объем пара, отсасываемого из испарительной системы
группой компрессоров. Различают теоретическую или стандартную
холодопроизводительнось компрессора.
В технической документации на
холодильные компрессоры указывается стандартная холодопроизводительность. Это
действительная холодопоризводительность компрессора при стандартных условиях
его работы. В качестве стандартного режима принимают следующие температуры:
|
Вид
компрессора
|
tk
|
tпер
|
t0
|
tвс
|
|
Аммиачный
|
31,5
|
27,5
|
-7
|
0
|
Стандартная холодопроизводительность:
По полученной величине 
выбираем компрессор П-110-7-2 с холодопроизводительностью

и с мощностью 
.
3. Расчет теплообменного
оборудования холодильных установок
холодильный конденсатор
теплообменный
3.1 Выбор конденсатора
Кожухтрубные горизонтальные
конденсаторы для аммиака.
Представляют собой цилиндрический кожух с
плоскими трубными решетками, в отверстиях которых развальцованы или вварены
трубы. Охлаждающая вода протекает по трубам, холодильный агент конденсируется
на их наружной поверхности. Во избежание прогиба труб при большом отношении
длины к диаметру в кожухе аппарата предусматриваются поддерживающие
перегородки. Нижняя часть кожуха трубами не заполняется и используется как
ресивер для жидкого хладагента. Для равномерного распределения пара по длине
аппарата иногда исключают несколько труб в верхней части. Патрубки для отвода и
подвода воды расположены с одной стороны обеспечивая этим чётное число подходов
по воде, которая подводится к нижнему и отводится от верхнего патрубков. На
конденсаторе устанавливается предохранительный клапан, указатель уровня
холодильного агента, вентиль для спуска воздуха из межтрубного и трубного
пространства, манометр, патрубки для входа и выхода аммиака и штуцер для слива
воды. Используются гладкие стальные бесшовные трубы 25х2.5 мм с шагом между
трубами 32мм. Расположение труб по сторонам правильного шестиугольника.
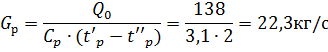
Расчёт конденсатора.
. Производительность:
=Q0компр.+Nэл.двиг=138+39=177 кВт
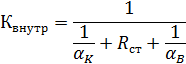
. Записываем уравнение теплопередачи:

- коэффициент теплопередачи,

- внутренняя поверхность обмена конденсатора,

- средняя логарифмическая разность
температур.
. Записываем уравнение
теплового баланса:

- расход воды,

- теплоёмкость воды, = 4.2кДЖ/ кг 

- температура воды на выходе и
входе.
. Определяем 
:
. Определяем коэффициент
теплопередачи:

и 
- коэффициент теплопередачи при
конденсации паров аммиака и вынужденном движении воды.

- интегральное сопротивление
стенки.
Определяем 
и
при конденсации паров аммиака в
межтрубном пространстве.

- ускорение свободного падения,

- коэффициент теплопроводности
жидкой фазы,

- коэффициент вязкости,

- скрытая теплота фазового
перехода,

= 0,025м, - наружный диаметр труб,

- среднее количество труб по
вертикали,

- разность температур между 
.

,
где 
, а 
при 
.

, где 
.
где 
(при
),

,

. Определяем скорость воды:
где 
- плотность воды,
. Учитываем интегрированное
сопротивление стенки:
. 
Окончательно выбираем конденсатор
КТГ - 32.труб = 144 (число труб),труб = 8 (число ходов),= 5,6*10-3 (сечение
одного хода).
4. Расчёт испарителей и
вспомогательного оборудования
.1 Кожухотрубные испарители
Кожухотрубные испарители - это
испарители с закрытой циркуляцией, в которых охлаждаемая жидкость протекает под
напором, создаваемым насосом. По характеру заполнения хладагентом испарители
разделяют на затопленные и незатопленные. К незатопленным относятся испарители
оросительные, кожухотрубные с кипением в трубах, а так же змеевиковые с верхней
подачей жидкости.
Аммиачные испарители.
В аммиачных испарителях типа ИТГ
используются трубы бесшовные гладкие стальные. Наружный диаметр и толщина
стенки труб составляет 25><2,5 мм. Пучок труб - шахматный ромбический с
углом ромба 600 и перемычками между труб 7 мм. Трубные решётки из углеродистой
и легированной стали.
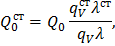
Расчёт испарителя.
=Q0компр,

,

- расход рассола, 
- теплоёмкость рассола.
В качестве рассола принимаем CaCl2: 
Расход рассола в системе
холодоснабжения:
Температурный напор:
. Коэффициент теплоотдачи при
кипении аммиака в межтрубном
пространстве:

,
де P0 = 0,32 МПа (давление сжатия),

. Удельные тепловые потоки:

где β=1,25 (
отношение наружности к внутренней поверхности аппарата),

. Коэффициент теплоотдачи
рассола:
где 
; 
; 
;
. Вводим поправку 
:

;
. Окончательно определяем
поверхность испарителя:
Окончательно выбираем испаритель 50
ИТГ.

(число труб),=8 (число ходов).
Определяем сечение хода:
Проверяем скорость движения рассола:
.2 Выбор градирни
В оборотной системе водоснабжения:
конденсатор - градирня - насос - конденсатор применяем градирню ГПВ (градирня
плёночная воздушная).

,

кВт.
Выбираем градирню ГПВ - 160.

мм(диаметр форсунки),

мм(количество форсунок).
.3 Выбор насоса
Насос выбирается по параметрам:
)Расход воды (
),
)Напор (H).
Основное сопротивление в оборотной
системе водоснабжения конденсатор - градирня - насос - конденсатор представляет
собой градирня с форсунками. Потери напора при прохождении воды через форсунки
можно определить по графику: для этого надо подсчитать расход воды на одну
форсунку.
Выбираем насос К-90/20 . Частота
вращения = 60 с-1.
.4 Расчет толщины изоляции
В холодильных машинах на
трубопроводах и аппаратах, имеющих отрицательную температуру, применяется
изоляция. Температура поверхности изоляции должна быть выше температуры по
точке росы.
= 0,05 Вт/м°С - теплопроводность
изоляции. В качестве изоляции применяются минералватные маты на битумной
основе.

(по заданию); 
; 
.
Список литературы
1. Расчет холодильных
установок. Методическое пособие к курсовому и дипломному проектированию/В.М.
Захаров - Иваново, 1988 - 98с.
. Расчет холодильных
установок. Учебное пособие /В.М. Захаров - Иваново,2007 - 76с.