Некоторые положения физики твердого тела

  • Вид работы:
    Контрольная работа
  • Предмет:
    Физика
  • Язык:
    Русский
    ,
    Формат файла:
    MS Word
    44,36 Кб
  • Опубликовано:
    2013-03-09
Вы можете узнать стоимость помощи в написании студенческой работы.
Помощь в написании работы, которую точно примут!

Некоторые положения физики твердого тела














Некоторые положения физики твердого тела

1. Основные типы связей в твёрдом теле

Физика твердого тела - раздел физики, изучающий структуру и свойства твердых тел. Научные данные о микроструктуре твердых веществ и о физических и химических свойствах составляющих их атомов необходимы для разработки новых материалов и технических устройств. Физика твердого тела - один из тех столпов, на которых покоится современное технологическое общество. В сущности, вся армия инженеров работает над наилучшим использованием твердых материалов при проектировании и изготовлении самых разнообразных инструментов, станков, механических и электронных компонентов, необходимых в таких областях, как связь, транспорт, компьютерная техника, а также фундаментальные исследования.

Исследователя, работающего в области физики твердого тела, интересуют такие материалы, как металлы и сплавы, полупроводники, диэлектрики и магнитные материалы. Многие из них относятся к кристаллическим веществам: их атомы расположены так, что образуют правильную трехмерную решетку - периодическую структуру. Нарушения идеальной периодичности могут быть обусловлены химическими примесями, незаполненными (вакантными) атомными узлами, атомами внедрения (в промежутках между узлами), а также дислокациями. Во многих случаях подобными нарушениями или отклонениями от строгой периодичности существенным образом определяются физические свойства кристаллических твердых тел. Управляя концентрацией подобных дефектов или целенаправленно создавая их, можно получать «наперед заданные» свойства твердых тел. Такая технология играет первостепенную роль, например, в области полупроводниковой микроэлектроники. Другой класс материалов, представляющий интерес для физики твердого тела, - это стеклообразные, или аморфные, материалы. Атомы в таких материалах располагаются в общем так же, как и в жидкостях, т.е. они упорядочены лишь в пределах нескольких межатомных расстояний от каждого атома, принятого за центральный. Иначе говоря, для стекол характерен ближний порядок в расположении атомов, а не дальний, как в кристаллической структуре.К физическим свойствам твердых тел относятся механические, тепловые, электрические, магнитные и оптические свойства. Их изучают, наблюдая, как ведет себя образец при изменении температуры, давления или объема, в условиях механических напряжений, электрических и магнитных полей, температурных градиентов, а также под воздействием различных излучений - света, рентгеновских лучей, пучков электронов, нейтронов и т.п. Значительная часть лабораторного оборудования, необходимая для изучения этих свойств, сама состоит из твердотельных устройств. Химические свойства твердых тел особенно существенны при изучении поверхностных явлений.

Твердое тело состоит из атомов. Само его существование указывает на наличие интенсивных сил притяжения, связывающих атомы воедино, и сил отталкивания, без которых между атомами не было бы промежутков. В результате таких взаимодействий атомы твердого тела частично теряют свои индивидуальные свойства, и именно этим объясняются новые, коллективные свойства системы атомов, которая называется твердым телом. Какова природа этих сил? Свободный атом состоит из положительно заряженного ядра и некоторого числа отрицательно заряженных электронов (масса которых значительно меньше массы ядра). Хорошо известные кулоновские (электрические) силы, действующие между заряженными частицами, создают притяжение между ядром и электронами, а также взаимное отталкивание между электронами. Поэтому твердое тело можно рассматривать как состоящее из системы взаимно отталкивающихся ядер и системы взаимно отталкивающихся электронов, причем обе эти системы притягиваются друг к другу. Физические свойства такого объекта определяются двумя фундаментальными физическими теориями - квантовой механикой и статистической механикой. Хотя характер взаимодействий между частицами известен, их необычайно большое число (1022 ядер и еще больше электронов в 1 см3) не позволяет дать точное теоретическое описание твердого тела.

Рассмотрим силы, которые удерживают вместе атомы в кристалле. Связь между атомами обеспечивается электростатическими силами и силами, имеющими квантово-механическую природу. Происхождение последних - принцип запрета Паули. При действии только электростатических сил, согласно теореме Ирншоу, устойчивая статическая конфигурация электростатических зарядов невозможна.

Для существования стабильных связей между атомами в кристалле необходимо, чтобы полная энергия кристалла - кинетическая плюс потенциальная - была меньше полной энергии такого же количества свободных атомов, удаленных друг от друга на бесконечные расстояния:

Wкр=Wкин+Wпот<∑ Wат

Разность этих двух энергий называется энергией химической связи (энергией связи ):

Wсвяз=∑Wат-Wкр

Величина этой энергии варьируется от 0,1эВ/атом в кристаллах благородных газов до 7эВ/атом и более в некоторых ковалентных и ионных соединениях, а также в некоторых металлах.

В настоящее время известны тысячи кристаллических веществ, это и сравнительно простые металлы и их сплавы и кристаллы со сложной структурой, уникальные свойства которых обусловлены особым расположением большого числа атомов. Между тем состоят все эти кристаллы всего из нескольких десятков сортов атомов, но по-разному расположенных относительно друг друга. Известно, что электромагнитное взаимодействие между атомами заставляет атомы объединяться и формировать разные типы кристаллической решетки. В этом процессе главную роль играет электростатическая энергия взаимодействия зарядов, а в некоторых случаях и энергия магнитного взаимодействия, хотя вклад ее много меньше. Как перечисленные взаимодействия, так и атомные оболочки обладают определенной «симметричностью» и поэтому атомы объединяются как правило в весьма симметричные структуры, главные из которых были рассмотрены в предыдущем разделе. По этой же причине разные, но близкие по характеристикам атомы, формируют кристаллические решетки, в которых атомы расположены идентично. Знание этих общих закономерностей построения кристаллов позволяет часто предсказывать новые структуры и материалы или улучшать физические свойства уже существующих материалов.[3]

. Ионные кристаллы

В настоящее время известны тысячи кристаллических веществ, это и сравнительно простые металлы и их сплавы и кристаллы со сложной структурой, уникальные свойства которых обусловлены особым расположением большого числа атомов. Между тем состоят все эти кристаллы всего из нескольких десятков сортов атомов, но по-разному расположенных относительно друг друга. Известно, что электромагнитное взаимодействие между атомами заставляет атомы объединяться и формировать разные типы кристаллической решетки. В этом процессе главную роль играет электростатическая энергия взаимодействия зарядов, а в некоторых случаях и энергия магнитного взаимодействия, хотя вклад ее много меньше. Как перечисленные взаимодействия, так и атомные оболочки обладают определенной «симметричностью» и поэтому атомы объединяются как правило в весьма симметричные структуры, главные из которых были рассмотрены в предыдущем разделе. По этой же причине разные, но близкие по характеристикам атомы, формируют кристаллические решетки, в которых атомы расположены идентично. Знание этих общих закономерностей построения кристаллов позволяет часто предсказывать новые структуры и материалы или улучшать физические свойства уже существующих материалов.

В настоящее время по характеру связи атомов выделяют 5 типов кристаллов: 1) ионные кристаллы 2) ковалентные кристаллы, 3) металлические кристаллы, 4) молекулярные кристаллы с водородными связями, 5) Ван-дер-Ваальсовы кристаллы. Все эти типы, кроме последнего играют очень большую роль в природе и в современной технике. Деление это весьма условно, существуют кристаллы которые можно считать переходными между этими типами, встречаются кристаллы в которых часть связей ковалентная, а часть - водородная. Остановимся на них подробнее.

W(r)=q1 q2/(4πε0r)+C/r12

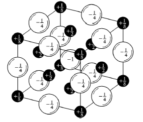
Первое слагаемое описывает энергию кулоновского притяжения или отталкивания ионов, а второй - весьма точно описывает отталкивание ионов из-за перекрытия их электронных облаков. Параметр C подбирают по результатам сопоставления результатов расчетов с экспериментальными данными. Расчеты, выполненные по такой схемепри правильном выборе параметра C дают весьма точные значения энергии связи, параметра решетки a и модуля B. Ионные кристаллы как правило имеют сравнительно простые, сильно упакованные и высокосимметричные, например кубические, кристаллические решетки. Эти кристаллы как правило хрупкие.[1]

Модель кристалла типа NaCl :


Ковалентные кристаллы образуются за счет ковалентных связей между атомами. Ковалентная связь, которую иногда называют валентной или гомеополярной, образуется за счет перекрытия электронных облаков, в результате между атомами образуется сгусток отрицательного заряда, который стягивает два атома. Атом в зависимости от его валентности может иметь несколько таких связей, расположенных под определенными углами друг к другу. Атомы в ковалентном кристалле соединяются за счет ковалентных связей, причем углы между связями и их «длины» могут слегка отличаться для кристаллов с разной структурой.

Расчеты энергии связи в случае ковалентных кристаллов достаточно сложны и мы их не рассматриваем.

Кристаллические решетки ковалентных кристаллов и их базисы могут быть весьма сложными и малосимметричными, поскольку формирование кристалла обусловлено ковалентными связями со всевозможной ориентацией между атомами или частями молекул. При рассмотрении ковалентных кристаллов часто пользуются понятиями «ковалентный радиус атома», «длина ковалентной связи» между атомами определенного сорта, углы между связями, поскольку эти величины сравнительно мало меняются в случаях различного окружения этих атомов в кристалле.[3]

Между рассмотренными типами ковалентных и ионных кристаллов имеется много промежуточных типов кристаллов, связь в которых как правило ковалентная полярная. В такой связи сгусток электронной плотности ковалентной связи смещен к одному из ионов, из-за чего появляется дополнительная кулоновская энергия взаимодействия слегка заряженных атомов. Ионная связь как правило появляется между атомами с почти заполненными электронными оболочками (щелочные металлы, элементы первой и седьмой, реже второй и шестой групп таблицы Менделеева). Элементы третьей - пятой групп как правило образуют ковалентные связи. В некоторых случаях удается экспериментально (рассмотренными в следующем разделе дифракционными методами) определить среднее число электронов у атомов в кристаллической решетке и тем самым сделать вывод о заряде атомов и о характере связи в кристалле.

Таким образом, к веществам с ковалентной связью относятся:

1)      большинство органических соединений;

2)      твердые и вещества, у которых связи образуется между парами атомов галогенов;

)        элементы VI группы;

)        Бинарные сплавы АIIBVI и AIIIBV

Металлы характеризуются высокой электропроводностью, следовательно, значительная часть электронов должна быть свободной. Обычно на атом приходиться 1-2 свободных электрона. Такие электроны называют также электронами проводимости.

В металлических кристаллах внешние электроны атомов могут свободно перемещаться между ионными остовами. Эти электроны образуют как бы отрицательно заряженное облако, в котором находятся ионы металла. Взаимодействие этих ионов друг с другом и с электронным облаком ведет к упорядоченному расположению ионов в металле. В случае переходных металлов происходит также и перекрытие их электронных -оболочек и образование подобия ковалентных связей, ведущее к дополнительному увеличению энергии связи в металле. Расчеты энергии связи в металлах достаточно сложны и в данной книге не рассматриваются. Как правило металлы образуют одну из плотноупакованных кристаллических решеток (ГПУ, ГЦК) или ОЦК.

Вследствии того, что чисто металлическая связь является ненаправленной, металлы имеют тенденцию кристаллизоваться в относительно плотноупакованные структуры с большими координационными числами: гранецентрированную кубическую, гексагональную плотноупакованную, объемно-центрированную кубическую.

Существует широкий класс кристаллов, состоящих из молекул. Типичными примерами являются лед, иод, бром, твердая углекислота (сухой лед), нафталин и т. п. В узлах кристаллической решетки здесь располагаются молекулы. Примером может служить модель кристалла льда. Здесь атомы кислорода условно изображены в виде светлых шариков, атомы водорода - в виде темных шариков. Каждый атом кислорода окружен четырьмя атомами водорода, атом водорода служит связующим звеном между двумя соседними атомами кислорода. Формула для молекулы воды Н2О, конечно, сохраняется, но выделить в кристалле отдельную молекулу невозможно. Молекулярные связи значительно слабее ионных, ковалентных или металлических. Поэтому молекулярные кристаллы легко плавятся, а при низком атмосферном давлении испаряются, не переходя в жидкое состояние. Такой процесс называется сублимацией или возгонкой.[5]

Водородная связь образуется между отрицательно заряженными атомами F,O,N, уже участвующими в полярной ковалентной связи с другими атомами, когда между ними оказывается ион водорода. Один из перечисленных атомов забирает себе электрон водорода, превращая его в предельном случае в протон, которому иногда энергетически выгоднее оказаться между двумя отрицательно заряженными ионами, чем быть связанным только с одним из перечисленных атомов. При этом за счет кулоновского притяжения отрицательных ионов к иону водорода образуется сравнительно непрочная связь с энергией порядка 0,1 эВ. Малость иона водорода позволяет последнему связать только два атома.

Ван-дер-ваальсова (межмолекулярная) связь - наиболее универсальный вид межмолекулярной связи, обусловлен дисперсионными силами (индуцированный диполь - индуцированный диполь), индукционным взаимодействием (постоянный диполь - индуцированный диполь) и ориентационным взаимодействием (постоянный диполь - постоянный диполь). Энергия ван-дер-ваальсовой связи меньше водородной и составляет 2-20 кДж∙моль-1.

Эти кристаллы образуются из электрически нейтральных атомов за счет диполь - дипольного взаимодействия между ними. Под действием этих связей образуются кристаллы инертных газов при низких температурах, образуя во всех случаях ГЦК плотноупакованную решетку. Эти связи гораздо слабее всех рассмотренных выше и поэтому заметно проявляют себя при отсутствии условий для возникновения ионной, ковалентной металлической или водородной связи.

Схема образования диполь-дипольной связи:


Понять происхождение этой связи можно с помощью простой классической модели, рассмотрев взаимодействие двух нейтральных атомов, находящихся на расстоянии rдруг от друга (см. рис). Центр отрицательного заряда в каждый момент времени не совпадает с центром положительного ядра атома. Поэтому атом 1 обладает ненулевым мгновенным значением дипольного момента p1. Этот дипольный момент создает электрическое поле E вблизи атома 2 с модулем и это поле поляризует второй атом в результате у него наводится дипольный момент.

E=2p1/r3…p2=αE=2αp1/r3.

структура ионный связь


Общие выводы:

структура ионный связь

1)      Ионы образует ионные кристаллы за счет электростатического притяжения ионов разного знака.

2)      Ковалентная связь характеризуется перекрытием электронных оболочек атомов и участием в образовании связи электронов с анти параллельными спинами.

)        Связь между атомами в металлах в значительной степени обусловлена уменьшением кинетической энергии валентных электронов в металле по сравнении с кинетической энергией электронов в свободном атоме.

)        Образование молекулярной (водородной) связи обусловлено тем, что в результате сильного смещения электронной пары к электроотрицательному атому атом водорода, обладающий эффективным положительным зарядом, может взаимодействовать с другим электроотрицательным атомом.

)        Атомы в кристаллах инертных газов связаны между собой силами Ван-Дер-Ваальса (наведенное диполь - дипольное взаимодействие), которые изменяются с расстоянием R обратно пропорционально R6.[4]

Список литературы

1.  Ашкрофт Н., Мермин Н. Физика твердого тела. Т. I, II. М.: Мир, 1979

2.      Епифанов Г.И. Физика твердого тела. - М., 1977

.        Займан Дж. Принципы теории твердого тела. М.: Мир, 1974

.        Киттель Ч. Введение в физику твердого тела. М.: Наука, 1978

.        Савельев И.В. Курс общей физики. - М., 1987, т. 3.

Похожие работы на - Некоторые положения физики твердого тела

 

Не нашли материал для своей работы?
Поможем написать уникальную работу
Без плагиата!
Без нейросетей!