Измерения физических величин
Содержание
Введение
Глава 1. Физическая величина и ее
измерение
.1 Физическая величина
1.2 Измерение физических величин
1.2.1 Классификация и основные
характеристики измерений
Глава 2. Статические и динамические
измерения физических величин
.1 Динамические измерения
.2 Статические измерения
Глава 3. Обработка результатов
измерений
.1 Обработка результатов прямых
измерений
.2 Обработка косвенных измерений
.3 Обработка совместных измерений
Глава 4. Представление результатов
измерений
.1 Формы представления результатов
измерений
.2 Нормирование формы представления
результатов измерений и оценки неопределенности результатов измерений
.3 Требования к оформлению
результата измерений
. Практическая часть
Заключение
Список использованных источников
Введение
В практической жизни человек всюду имеет дело с
измерениями. На каждом шагу встречаются измерения таких величин, как длина,
объем, вес, время.
Измерения являются одним из важнейших путей
познания природы человеком. Они дают количественную характеристику окружающего
мира, раскрывая человеку действующие в природе закономерности [1].
Наука, экономика, промышленность и коммуникации
не могут существовать без измерений. Каждую секунду в мире производятся
миллионы измерительных операций, результаты которых используются для
обеспечения качества и технического уровня выпускаемой продукции, безопасности
и безаварийной работы транспорта, обоснования медицинских диагнозов, анализа
информационных потоков. Практически нет ни одной сферы деятельности человека,
где бы интенсивно не использовались результаты измерений, испытаний и контроля.
Особенно возросла роль измерений в век широкого внедрения новой техники,
развития электроники, автоматизации, атомной энергетики, космических полетов и
развития медицинской техники.
Требования к точности, надежности, эффективности
функционирования технических систем различного назначения постоянно повышаются.
Обеспечить указанные показатели не возможно без измерения большого количества
параметров и характеристик разнообразных устройств, систем и процессов.
Поскольку по результатам измерений принимаются весьма ответственные решения, то
должна быть уверенность в точности и достоверности результатов измерения. В
медицине особенно важна точность измерений, так как живой организм является
сложной системой, которую очень трудно изучить, и от точности зависит жизнь
человека и его здоровье.
Чтобы успешно справиться с многочисленными и
разнообразными проблемами измерений, необходимо освоить некоторые общие
принципы их решения, нужен единый научный и законодательный фундамент,
обеспечивающий на практике высокое качество измерений, независимо от того, где
и с какой целью они производятся. Таким фундаментом является метрология.
Глава 1. Физическая величина и ее
измерение
.1 Физическая величина
Объектом метрологии являются физические
величины. Существуют различные физические объекты, обладающие разнообразными
физическими свойствами, количество которых неограниченно. Человек в своем
стремлении познать физические объекты - объекты познания - выделяет некоторое
ограниченное количество свойств, общих для ряда объектов в качественном
отношении, но индивидуальных для каждого из них в количественном отношении.
Такие свойства получили название физических величин [2].
Физическая величина
- одно из свойств физического объекта (физической системы, явления или
процесса), общее в качественном отношении для многих физических объектов, но в
количественном отношении индивидуальное для каждого из них.
Физические величины используются для
характеристики различных объектов, явлений и процессов. Разделяют основные и
производные от основных величины. Семь основных и две дополнительных величины
установлены в Международной системе единиц. Это длина, масса, время,
термодинамическая температура, количество вещества, сила света и сила
электрического тока, дополнительные единицы - это радиан и стерадиан.
Метрология изучает и имеет дело только с
измерениями физических величин, т.е. величин, для которых может существовать
физически реализуемая и воспроизводимая единица величины. Однако нередко к
измерениям неправомерно относят различного рода оценивания таких свойств,
которые формально хотя и попадают под приведенное определение физической
величины, но не позволяют реализовать соответствующую единицу. Так, широко
распространенную в психологии оценку умственного развития человека называют
измерением интеллекта; оценку качества продукции - измерением качества. И хотя
в этих процедурах частично используются метрологические идеи и методы, они не
могут квалифицироваться как измерения в том смысле, как это принято в
метрологии. Таким образом, в дополнении к приведенному определению, подчеркнем,
что возможность физической реализации единицы является определяющим признаком
понятия «физическая величина».
Качественная определенность физической величины
называется родом физической величины. Соответственно, физические
величины одного рода называются однородными, разного рода - неоднородными.
Так, длина и диаметр детали - однородные величины, длина и масса детали -
неоднородные.
Количественно физическая величина
характеризуется размером, который выражается ее значением.
Размер физической величины
- количественная определенность физической величины, присущая конкретному
материальному объекту, системе, явлению или процессу. Чтобы оценить значение
размера физической величины, необходимо его выразить понятным и удобным
образом. Поэтому размер данной физической величины сравнивают с некоторым
размером однородной с ней физической величины, принятым за единицу, т.е. вводят
единицу измерения данной физической величины.
Единица измерения физической
величины - физическая величина фиксированного размера,
которой условно присвоено числовое значение, равное 1, и применяемая для
количественного выражения однородных с ней физических величин. Введение единицы
измерения данной физической величины позволяет определить ее значение.
Значение физической величины
- выражение размера физической величины в виде некоторого числа принятых для
нее единиц. Значение физической величины включает числовое значение физической
величины и единицу измерения. Нахождение значения физической величины является
целью измерения и его конечным результатом.
Нахождение истинного значения измеряемой
величины является центральной проблемой метрологии. Стандарт определяет
истинное значение как значение физической величины, которое идеальным образом
отражало бы в качественном и количественном отношениях соответствующее свойства
объекта. Одним из постулатов метрологии является положение о том, что истинное
значение физической величины существует, однако определить его путем измерения
невозможно. Поэтому в практике оперируют понятием действительного значения.
Действительное значение
- значение физической величины, полученное экспериментальным путем и настолько
близкое к истинному значению, что в поставленной измерительной задаче может
быть использовано вместо него.
1.2 Измерение физических величин
Измерение - совокупность операций для
определения отношения одной (измеряемой) величины к другой однородной величине,
принятой за единицу, хранящуюся в техническом средстве (средстве измерений).
Получившееся значение называется числовым значением измеряемой величины,
числовое значение совместно с обозначением используемой единицы называется
значением физической величины. Измерение физической величины опытным путём
проводится с помощью различных средств измерений - мер, измерительных приборов,
измерительных преобразователей, систем, установок и т. д. Измерение физической
величины включает в себя несколько этапов: 1) сравнение измеряемой величины с
единицей; 2) преобразование в форму, удобную для использования (различные
способы индикации) [3].
Принцип измерений - физическое явление или
эффект, положенное в основу измерений.
Метод измерений - приём или совокупность приёмов
сравнения измеряемой физической величины с её единицей в соответствии с
реализованным принципом измерений. Метод измерений обычно обусловлен
устройством средств измерений.
Примеры: 1.В простейшем случае, прикладывая
линейку с делениями к какой-либо детали, по сути, сравнивают ее размер с
единицей, хранимой линейкой, и, произведя отсчет, получают значение величины
(длины, высоты, толщины и других параметров детали).
. С помощью измерительного прибора сравнивают
размер величины, преобразованной в перемещение указателя, с единицей, хранимой
шкалой этого прибора, и проводят отсчет [4].
В тех случаях, когда невозможно выполнить
измерение (не выделена величина как физическая и не определена единица
измерений этой величины) практикуется оценивание таких величин по условным
шкалам.
1.2.1 Классификация и основные
характеристики измерений
Классификация измерений:
. По признаку точности - равноточные и
неравноточные измерения.
Равноточные измерения -
определенное количество измерений любой величины, произведенных аналогичными по
точности средствами измерений в одинаковых условиях.
Неравноточные измерения -
определенное количество измерений любой величины, произведенных отличными по
точности средствами измерений и (или) в различных условиях.
Методы обработки равноточных и неравноточных
измерений несколько отличаются. Поэтому перед тем как начать обработку ряда
измерений, обязательно нужно проверить, равноточные измерения или нет.
Это осуществляется с помощью статистической
процедуры проверки по критерию согласия Фишера.
. По числу измерений - однократные и многократные
измерения.
Однократное измерение -
измерение, произведенное один раз.
Многократное измерение -
измерение одного размера величины, результат этого измерения получают из
нескольких последующих однократных измерений (отсчетов). [5]
Сколько нужно произвести измерений, чтобы
считать, что мы произвели многократные измерения? Точно на это никто не
ответит. Но мы знаем, что при помощи таблиц статистических распределений ряд
измерений может быть исследован по правилам математической статистики при числе
измерений п ≥ 4. Поэтому считается, что измерение можно считать
многократным при числе измерений не менее 4.
Во многих случаях, особенно в быту, производятся
чаще всего однократные измерения. Как пример, измерение времени по часам как
правило делают однократно. Однако при некоторых измерениях для убеждения в
правильности результата однократного измерения может быть недостаточно. Поэтому
часто и в быту рекомендуется проводить не одно, а несколько измерений.
Например, ввиду нестабильности артериального давления человека при его контроле
целесообразно проводить два или три измерения и за результат принимать их
медиану. От многократных измерений двукратные и трехкратные измерения
отличаются тем, что их точность не имеет смысла оценивать статистическими
методами.
. По характеру изменения измеряемой величины -
статические и динамические измерения.
Динамическое измерение
- измерение величины, размер которой изменяется с течением времени. Быстрое
изменение размера измеряемой величины требует ее измерения с точнейшим определением
момента времени. Например, измерение расстояния до уровня поверхности Земли с
воздушного шара или измерение постоянного напряжения электрического тока. По
существу динамическое измерение является измерением функциональной зависимости
измеряемой величины от времени.
Статическое измерение
- измерение величины, которая принимается в соответствии с поставленной
измерительной задачей за неизменяющуюся на протяжении периода измерения.
Например, измерение линейного размера изготовленного изделия при нормальной
температуре можно считать статическим, поскольку колебания температуры в цехе
на уровне десятых долей градуса вносят погрешность измерений не более 10 мкм/м,
несущественную по сравнению с погрешностью изготовления детали.
4. По цели измерения - технические и
метрологические измерения.
Технические измерения-
измерения с целью получения информации о свойствах материальных объектов,
процессов и явлений окружающего мира.
Их производят, как пример, для контроля и
управления экспериментальными разработками, контроля технологических параметров
продукции или всевозможных производственных процессов, управления транспортными
потоками, в медицине при постановке диагноза и лечении, контроля состояния
экологии и др.
Технические измерения проводят, как правило, при
помощи рабочих средств измерений. Однако нередко к проведению особо точных и
ответственных уникальных измерительных экспериментов привлекают эталоны.
Метрологические измерения- измерения для
реализации единства и необходимой точности технических измерений.
К ним относят:
• воспроизведение единиц и шкал физических
величин первичными эталонами и передачу их размеров менее точным эталонам;
• калибровку средств измерений;
• измерения, производимые при калибровке или
поверке средств измерений;
Метрологические измерения проводят при помощи
эталонов.
Очевидно, что продукция, предназначенная для
потребления (промышленностью, сельским хозяйством, армией, государственными
органами управления, населением и др.) создается с участием технических
измерений. А система метрологических измерений - это инфраструктура системы
технических измерений, необходимая для того, чтобы последняя могла
существовать, развиваться и совершенствоваться.
. По используемым размерам единиц - абсолютные и
относительные измерения.
Относительное измерение -
измерение отношения величины к одноименной величине, занимающее место единицы.
Например, относительным измерением является определение активности радионуклида
в источнике методом измерения ее отношения к активности радионуклида в ином
источнике, аттестованном как эталонная мера величины.
Абсолютное измерение
- это измерение, основанное на прямых измерениях одной или нескольких основных
величии и (или) использовании значений фундаментальных физических констант.
. По способу получения результата измерений -
совокупные, совместные, косвенные и прямые измерения.
Прямое измерение-
это измерение, проведенное при помощи средства измерений, хранящего единицу или
шкалу измеряемой величины. Как пример, измерение длины изделия штангенциркулем,
электрического напряжения вольтметром и т.п.
Косвенное измерение-
измерение, когда значение величины определяют на основании результатов прямых
величин, функционально связанных с искомой.
Совокупные измерения
- когда проводят измерения одновременно нескольких однородных величин, когда
значения этих величин находят путем решения системы уравнений, получаемых при
измерениях различных сочетаний этих величин.
Классический пример совокупных измерений -
калибровка набора гирь по одной эталонной гире, проводимая путем измерений
различных сочетаний гирь этого набора, и решения полученных уравнений.
Совместные измерения
- проводимые одновременно измерения двух или нескольких разнородных величин для
определения зависимости между ними.
Другими словами, совместные измерения - это
измерения зависимостей между величинами.
Примером совместных измерений является измерение
температурного коэффициента линейного расширения (ТКЛР). Оно проводится путем
одновременных измерений изменения температуры образца испытываемого материала и
соответствующего приращения его длины и последующей математической обработки
полученных результатов измерений.
Следует также различать область, вид и подвид
измерений.
Под областью измерений понимают совокупность
измерений физических величин, свойственных какой-то области техники или науки и
имеющих свою специфику.
В настоящее время выделяют следующие области измерений:
• измерения пространственно-временных величин;
• механические измерения (в том числе измерения
кинематических и динамических величин, механических свойств материалов и
веществ, механических свойств и форм поверхностей);
• измерения теплоты (термометрия, измерения
тепловой энергии, теплофизических свойств веществ и материалов);
• электрические и магнитные измерения (измерения
электрических и магнитных полей, параметров электрических цепей, характеристик
электромагнитных волн, электрических и магнитных свойств веществ и материалов);
• аналитические (физико-химические) измерения;
• оптические измерения (измерения величин
физической оптики, когерентной и нелинейной оптики, оптических свойств веществ
и материалов);
• акустические измерения (измерения величин
физической акустики и акустических свойств веществ и материалов);
• измерения в атомной и ядерной физике
(измерения ионизирующих излучений и радиоактивности, а также свойств атомов и
молекул).
Вид измерений
- это часть области измерений, которая имеет свои специфические особенности и
которая отличается однородностью измеряемых величин.
Например, в области магнитных и электрических
измерений возможно выделить измерения электрического сопротивления,
электрического напряжения, ЭДС, магнитной индукции и т.д.
Подвид измерений
- это часть вида измерений, которая выделяется спецификой измерений однородной
величины (по диапазону, размеру величин, условиям измерений и др.).
Например, в измерениях длины выделяют измерения
как больших длин (десятки, сотни и тысячи километров), так и малых и сверхмалых
длин.
Глава 2. Статические и динамические
измерения физических величин
.1 Динамические измерения
Динамическое измерение
- измерение величины, размер которой изменяется с течением времени. Быстрое
изменение размера измеряемой величины требует ее измерения с точнейшим
определением момента времени.
Например, измерение расстояния до уровня
поверхности Земли с воздушного шара или измерение постоянного напряжения
электрического тока. По существу динамическое измерение является измерением
функциональной зависимости измеряемой величины от времени [6].
Признаком, по которому измерение относят к
статическому или динамическому, является динамическая погрешность при данной
скорости или частоте изменения измеряемой величины и заданных динамических
свойствах СИ. Предположим, что она пренебрежимо мала (для решаемой
измерительной задачи), в этом случае измерение можно считать статическим. При
невыполнении указанных требований оно является динамическим.
Динамическая погрешность измерений
- погрешность результата измерений, свойственная условиям динамического
измерения. Динамическая погрешность появляется при измерении переменных величин
и обусловлена инерционными свойствами средств измерений. Динамической
погрешностью средства измерений является разность между погрешностью средства
измерений в динамических условиях и его статической погрешностью,
соответствующей значению величины в данный момент времени. При разработке или
проектировании средства измерений следует учитывать, что увеличение погрешности
измерений и запаздывание появления выходного сигнала связаны с изменением
условий.
Статические и динамические погрешности относятся
к погрешностям результата измерений. В большей части приборов статическая и
динамическая погрешности оказываются связаны между собой, поскольку соотношение
между этими видами погрешностей зависит от характеристик прибора и характерного
времени изменения величины.
2.2 Статические измерения
Статическое измерение
- измерение величины, которая принимается в соответствии с поставленной
измерительной задачей за неизменяющуюся на протяжении периода измерения.
Например: 1) измерения размеров тела;
) измерения постоянного давления;
) измерения пульсирующих давлений, вибраций;
) измерение линейного размера изготовленного
изделия при нормальной температуре можно считать статическим, поскольку
колебания температуры в цехе на уровне десятых долей градуса вносят погрешность
измерений не более 10 мкм/м, несущественную по сравнению с погрешностью
изготовления детали. Поэтому в этой измерительной задаче можно считать
измеряемую величину неизменной. При калибровке штриховой меры длины на
государственном первичном эталоне термостатирование обеспечивает стабильность
поддержания температуры на уровне 0,005 °С. Такие колебания температуры
обусловливают в тысячу раз меньшую погрешность измерений - не более 0,01 мкм/м.
Но в данной измерительной задаче она является существенной, и учет изменений
температуры в процессе измерений становится условием обеспечения требуемой
точности измерений, поэтому эти измерения следует проводить по методике
динамических измерений.
Статическая погрешность измерений
- погрешность результата измерений, свойственная условиям статического
измерения, то есть при измерении постоянных величин после завершения переходных
процессов в элементах приборов и преобразователей.
Глава 3. Обработка результатов
измерений
Любые измерения направлены на получение
результата, т.е. оценки истинного значения физической величины в принятых
единицах. Вследствие несовершенства средств и методов измерений, воздействие
внешних факторов и многих других причин результат каждого измерения неизбежно
отягощен погрешностью. Качество измерения тем выше, чем ближе результат
измерения оказывается к истинному значению. Количественной характеристикой
качества измерений является погрешность измерения, определяемая как разность
между измеренным хизм и истинным хист значениями
измеряемой величины:
dх=хизм
-хист, (3.1)
где dx-
погрешность измерения.
Результат измерений должен сопровождаться указанием
погрешности, с которой он получен.
Погрешность измерений
- отклонение результатов измерений от истинного (действительного) значения
измеряемой величины.
Достоверность измерений определяется степенью
доверия к результату измерения и характеризуется вероятностью того, что
истинное значение измеряемой величины находится в указанных пределах. Данная
вероятность называется доверительной [7].
Истинное значение физической величины неизвестно
и применяется в теоретических исследованиях; действительное значение величины
определяется экспериментально из предположения, что результат эксперимента
(измерения) наиболее близок к истинному значению величины.
Цель любого измерения - это получение результата
измерений с оценкой истинного значения измеряемой величины. Для этого
проводится обработка результатов измерений, в большинстве случаев с
помощью вероятностно-статистических методов теории вероятностей и
математической статистики.
.1 Обработка результатов прямых
измерений
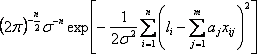
Пусть результаты n
прямых измерений равны
. Предположим, что
истинное значение измеряемой величины равно a,тогда
-
погрешность i-го измерения.
Относительно погрешности предполагаются
следующие допущения:
)
-
случайная величина с нормальным распределением.
) Математическое ожидание
(отсутствует
систематическая погрешность).
) Погрешность
имеет
дисперсию
,которая не
меняется в зависимости от номера измерения, т.е. измерение равноточное.
) Измерения независимы.
При этих допущениях плотность распределения
результата измерения yi
запишется в виде:
(3.1.1).
В данном случае истинное значение измеряемой
величины a входит в формулу
(2.3.1) как параметр.
Вследствие независимости отдельных измерений
плотность распределения системы величин
выражается
формулой:
(3.1.2).
С учетом (2.3.1) и независимости
их
многомерная плотность распределения (2.3.2) представляет собой функцию
правдоподобия:
. (3.1.3)
Используя функцию правдоподобия (3.1.3)
необходимо найти оценку a0
для измеряемой величины a
таким образом, чтобы в (3.1.3) a=a0
выполнялось условие:
. (3.1.4)
Для выполнения (4.1.4) необходимо, чтобы
По сути условие (3.1.5) является формулировкой
критерия наименьших квадратов, т.е. для нормального распределения оценки по
методу наименьших квадратов и методу максимального правдоподобия совпадают.
Из (4.1.4) и (4.1.5) можно получить также
наилучшую оценку
. (3.1.6)
Важно понимать, что полученная оценка является
случайной величиной с нормальным распределением. При этом
. (3.1.7)
Таким образом, получая
,
мы увеличиваем точность измерений, т.к. дисперсия этой величины в n раз меньше
дисперсии отдельных измерений. Случайная погрешность при этом уменьшится в
раз.
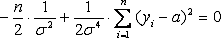
Для оценки неопределенности величины a0
необходимо получить оценку погрешности (дисперсии). Для этого прологарифмируем
функцию максимального правдоподобия (3.1. 3) и оценку дисперсии найдем из
условия
(3.1.8)
После дифференцирования получим
, (3.1.9)
а далее, оценку дисперсии
:
.
(3.1.10)
Таким образом мы доказали, что для нормально
распределенных данных СКО является лучшей оценкой дисперсии.
3.2 Обработка результатов косвенных
измерений
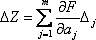
Пусть при косвенных измерениях величина Z
рассчитывается по экспериментальным данным, полученным по m
измерениям величин aj
:
. (3.2.1)
Запишем полный дифференциал функции:
. (3.2.2)
В случае слабой зависимости функции от
аргументов её приращение может быть выражено в виде линейной комбинации
.
Согласно (3.2.2) получим:
. (3.2.3)
Каждое слагаемое в (3.2.3) представляет собой
частную погрешность результата косвенных измерений.
Производные
называется
коэффициентами влияния соответствующих погрешностей.
Формула (3.2.3) является приближённой, т.к.
учитывает только линейную часть приращений функции. В большинстве практических
случаев такое приближение оправдано.
Если известны систематические погрешности
прямых
измерений aj,то
формула (3.2.3) позволяет рассчитать систематическую погрешность косвенных
измерений.
Если частные производные в (3.2.3) имеют разные
знаки, то происходит частичная компенсация систематических погрешностей.
Если формула (3.2.3) используется для вычисления
предельной погрешности, то она принимает вид:
. (3.2.4)
Рассмотрим, как, используя формулу (3.2.3),
можно оценить случайную погрешность косвенных измерений.
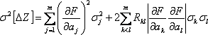
Пусть погрешность прямых измерений
имеет
нулевое математическое ожидание
и дисперсию
.
Используя (3.2.3) запишем выражения для
математического ожидания и дисперсии погрешности косвенных измерений
.
Математические ожидания отдельных измерений складываются с учетом вклада
каждого из них:
(3.2.5)
Для вычисления дисперсии воспользуемся правилом
сложения погрешностей:
, (3.2.6)
где Rki-коэффициент
корреляции погрешностей
. Если погрешности
не
коррелированны, то
(3.2.7)
3.3 Обработка результатов совместных
измерений
При совместных измерениях полученные значения
используются для построения зависимостей между измеряемыми величинами.
Рассмотрим многофакторный эксперимент, по результатом которого должна быть
построена зависимость
. Предположим
далее, что зависимость
,то есть параметр
состояния есть линейная комбинация из входных факторов. В процессе эксперимента
проводится n совместных
измерений для нахождения коэффициентов aj.
В этом случае искомые величины определяются в
результате решения системы линейных уравнений:
(3.3.1)
где aj
- искомые коэффициенты зависимости, которую необходимо определить,
-
измеряемые значения величин.
В предположении, что система уравнений (3.3.1)
является точной, но значения yj
получены с погрешностями, запишем:
(3.3.2)
где
-
погрешность измерения yj,тогда
. (3.3.3)
Для решения задачи мы вынуждены использовать
значения
.
При этом, если число измерений
больше числа
неизвестных в уравнении (3.3.1),то система (3.3.1) не имеет однозначных
решений. Поэтому уравнения системы (3.3.1) иногда называют условными.
Оценим случайную погрешность совместных
измерений. Пусть погрешность
имеет нормальный
закон распределения с нулевым математическим ожиданием и дисперсией. Измерения
независимы.
В этом случае по аналогии с обработкой прямых измерений может быть построена
функция максимального правдоподобия:

. (3.3.4)
Для нахождения экстремума функции правдоподобия
(3.3.4) воспользуемся уже известной процедурой. Прологарифмируем (3.3.4) и
найдём значения, при которых функция достигает экстремума. Условие максимума
функции (3.3.4) является:
. (3.3.5)
Таким образом (3.3.5) отвечает требованиям
метода наименьших квадратов. Следовательно, при нормальном распределении
случайной погрешности оценки по методу максимального правдоподобия и по методу
наименьших квадратов совпадает.
Для нахождения оценки aj=a0j
удовлетворяющей (3.3.5) необходимо добиться равенства нулю всех частных
производных этой функции по aj.
Для каждого значения j
эта оценка будет находиться из следующего уравнения:
. (3.3.6)
Система уравнений (4.3.6) является линейной
относительно aj
и называется системой нормальных уравнений. Число уравнений в системе всегда
совпадает с числом aj.
Система (3.3.) решается методом определителей
,
Где D
- определитель матрицы
,а определитель Dj
получается из определителя D
заменой j-го столбца
столбцом свободных членов.
Для нахождения оценки дисперсии результатов
найдем
условие максимума после логарифмирования и подставим
(см.
(3.1.8-3.1.10)), получим
.
Глава
4. Представление результатов измерений
.1 Формы представления результатов
измерений
Общая форма представления результата измерения в
соответствии с требованиями МИ 1317-86 включает:
точечную оценку результата измерения;
характеристики погрешности результата измерения
(или их статистические оценки);
указание условий измерений, для которых
действительны приведенные оценки результата и погрешностей. Условия указываются
непосредственно или путем ссылки на документ, удостоверяющий приведенные
характеристики погрешностей [8].
В качестве точечной оценки результата измерения
при измерении с многократными наблюдениями принимают среднее арифметическое
значение результатов рассматриваемой серии.
Характеристики погрешности измерений можно
указывать в единицах измеряемой величины (абсолютные погрешности) или в
относительных единицах (относительные погрешности).
Характеристики погрешностей измерений или
статистические оценки по НД:
среднее квадратическое отклонение погрешности;
среднее квадратическое отклонение случайной
погрешности;
нижняя граница интервала погрешности измерений;
нижняя граница интервала систематической
погрешности измерений;
верхняя граница интервала систематической
погрешности измерений;
вероятность попадания погрешности в указанный
интервал.
Рекомендуемое значение вероятности Р = 0,95.
Возможные характеристики погрешностей включают
аппроксимации функции плотностей распределения вероятностей или статистические
описания этих распределений. Функцию плотностей распределения вероятностей
погрешности измерений считают соответствующей усеченному нормальному
распределению, если есть основания полагать, что реальное распределение
симметрично, одномодально, отлично от нуля на конечном интервале значений
аргумента, и другая информация о плотности распределения отсутствует.
Если есть основания полагать, что реальное
распределение погрешностей отлично от нормального, следует принимать какую-либо
другую аппроксимацию функции плотностей распределения вероятностей. В таком
случае принятая аппроксимация функции указывается в описании результата
измерений, например: "трап." (при трапециевидном распределении) или
"равн." (при равновероятном).
В состав условий измерений могут входить:
диапазон значений измеряемой величины, частотные спектры измеряемой величины
или диапазон скоростей ее изменений; диапазоны значений всех величин,
существенно влияющих на погрешность измерений, а также, при необходимости, и
другие факторы.
4.2 Нормированные формы
представления результатов измерений и оценки неопределенности результатов
измерений
Результат измерений должен отвечать требованиям
обеспечения единства измерений, следовательно, в описании результата должны
быть использованы узаконенные единицы физических величин и представлена оценка
его погрешности.
Стандартное определение единства измерений требует,
чтобы погрешности были известны с заданной вероятностью, из чего следует:
в описание результата входят только
стохастически представляемые погрешности, значит систематические составляющие
по возможности должны быть исключены;
неисключенные остатки систематической
составляющей погрешности измерения могут входить в описание результата
измерений как рандомизированные величины, значения которых соизмеримы со
случайной составляющей погрешности измерения;
если неисключенные остатки систематической
составляющей погрешности измерения существенно меньше случайной составляющей,
ими пренебрегают, но возможна (хотя и нежелательна) обратная ситуация, когда
собственно случайная составляющая оказывается пренебрежимо малой по сравнению с
неисключенной систематической составляющей.
Описание результата измерений должно
осуществляться в одной из стандартных форм по МИ 1317-86 "Методические
указания. ГСИ. Результаты и характеристики погрешности измерений. Формы
представления. Способы использования при испытаниях образцов продукции и
контроле их параметров". МИ 1317-86 требует включения либо
"характеристик погрешности измерений", либо их статистических оценок.
В соответствии с МИ 1317-86 под "характеристикой погрешности
измерений" понимают все те же статистические оценки, но при этом
используют данные, заимствованные из аттестованной или стандартизованной МВИ,
для получения которых нет необходимости непосредственно проводить измерения с
многократными наблюдениями одной и той же физической величины с последующей
статистической обработкой массива результатов.
4.3 Требования к оформлению
результата измерений
К требованиям относятся:
наименьшие разряды должны быть одинаковы у
точечной оценки результата и у характеристик погрешностей;
характеристики погрешностей (или их статистические
оценки) выражают числом, содержащим не более двух значащих цифр, при этом к
оставляемой цифре второго разряда добавляется единица, если последующая
(отбрасываемая) цифра неуказываемого младшего разряда больше нуля;
допускается характеристики погрешностей (или их
статистические оценки) выражать числом, содержащим одну значащую цифру, при
этом к цифре первого разряда добавляется единица (округление в большую сторону)
если цифра неуказываемого младшего разряда равна или больше 5, а при цифре
меньше 5 округление осуществляется в меньшую сторону.
Примеры форм представления результатов
измерений:
(8,334 ± 0,012) г; Р = 0,95.
,014 мм. Характеристики погрешностей и условия
измерений по РД 50-98 - 86, вариант 7к.
(32,010…32,018) мм Р = 0,95. Измерение индикатором
ИЧ 10 кл. точности 0 на стандартной стойке с настройкой по концевым мерам длины
3 кл. точности. Измерительное перемещение не более 0,1 мм; температурный режим
измерений ± 2о С.
,6360 мм; Δн=
- 0,0012 мм, Δв= + 0,0018 мм,
Релей; Р = 0,95.
,75 м3/с; σ
(Δ) = 0,11 м3/с, σ
(Δс)
= 0,18 м3/с, равн.
Условия измерений: температура среды 20o
С, кинематическая вязкость измеряемого объекта 1,5·10 -6 м2/с.
В пятом примере не указано значение
доверительной вероятности, что можно рассматривать как формальное несоответствие
требованиям обеспечения единства измерений. Противоречие снимается, как только
от оценок средних квадратических отклонений мы перейдем к оценкам границ
интервала погрешности измерений. Для установления границ областей рассеяния
случайной и неисключенной систематической составляющих погрешности измерений
берут коэффициент Стьюдента t. Значение t зависит от числа степеней свободы и
от выбранной доверительной вероятности, которая должна быть одинакова для обеих
составляющих. В качестве комментария следует сказать, что такая полная форма
годится только для экзотических исследовательских ситуаций и непрактична в
производственном употреблении, для которого желательна комплексная оценка
погрешности измерения, например, полученная в результате компонирования двух
описывающих составляющие погрешности функций.
Можно предложить графическую интерпретацию
результата измерений на числовой оси физической величины. Тогда для первого из
приведенных примеров (8,334 ± 0,012) г; Р = 0,95. Для указания доверительной вероятности
проводим ось ординат (плотности вероятности р) из точки, соответствующей
точечной оценке результата измерений и строим в полученной системе координат
кривую нормального распределения результатов или погрешностей измерений.
Из рисунка видно, что для увеличения
доверительной вероятности (заштрихованной площади) Р необходимо расширить зону
между границами погрешности измерений ± Δ. При
фиксированном значении σ этого можно
добиться только за счет увеличения коэффициента Стьюдента t [9].
Зона между зафиксированными предельными
значениями Х - Δ и Х + Δ
с
выбранной доверительной вероятностью Р накрывает истинное значение измеряемой
физической величины, но поскольку фактически результат измерений представлен не
в виде единичного значения, а как числовой интервал, принято говорить о
"неопределенности результата измерений". В этом термине под
неопределенностью результата фактически подразумевают не только то, что
результат измерений фиксируется интервалом значений, а не конкретной точкой на
оси, но и то, что неизвестной (неопределенной) остается координата истинного
значения. В более широком смысле можно говорить также и о неопределенности
"закона распределения" результатов многократных наблюдений при измерении
конкретной физической величины. Исследование (качественное и количественное)
неопределенности результатов измерений обычно осуществляется в ходе
математической обработки результатов многократных наблюдений, полученных при
измерении одной физической величины. В исследование обычно входят:
нахождение и сравнение значений сопоставимых
оценок случайной погрешности и неисключенных остатков систематической
погрешности;
проверка по критериям согласия гипотез о
"законах распределения" случайной погрешности и неисключенных
остатков систематической погрешности;
статистическая проверка и при положительном
результате отбраковывание отдельных наблюдений, содержащих грубые погрешности.
Неопределенность результатов, полученных при
измерении конкретной физической величины с многократными наблюдениями, зависит
от множества объективных и субъективных причин. Основные источники и причины
неопределенности:
использованные технические ресурсы (средства
измерений, организация среды в зоне измерений и др.);
число наблюдений в серии;
выбор гипотез о "законах
распределения", критериев согласия, уровней значимости при проверке
гипотез по критериям согласия;
выбор метода отбраковывания наблюдений с грубыми
погрешностями, "подозрительных" наблюдений, критериев статистического
отбраковывания, уровней значимости при проверке гипотез по этим критериям;
выбор значения доверительной вероятности для
описания результата измерений.
Последний фактор можно признать несущественным,
поскольку формы представления результатов измерений фактически позволяют пользователю
перейти от зафиксированного в описании значения доверительной вероятности к
любому выбранному.
Итак, неопределенность результатов измерений
есть комплексное явление, обусловленное техническими возможностями и
квалификацией метрологов, организующих измерения. В узкой трактовке
неопределенность результатов измерений связывают только с оценками погрешностей
измерений, а более конкретно - с усеченной областью их распределения,
полученной в результате статистической обработки данных многократных наблюдений
при измерениях.
В 1993 году в метрологическом комитете ИСО было
разработано "Руководство по выражению неопределенности измерений".
"Руководство" разрабатывалось при участии Международного комитета мер
и весов (МКМВ), Международной электротехнической комиссии (МЭК), Международной
организации по законодательной метрологии (МОЗМ), Международного союза по
чистой и прикладной физике (МС ЧПФ), Международного союза по чистой и
прикладной химии (МС ЧПХ) и Международной федерации клинической химии (МФКХ).
Практическая часть
В данной работе я рассмотрел медицинский прибор
Механический тонометр ld 60
Механический тонометр ld 60 от компании Little
Doctor предназначен для измерения давления в домашних условиях. Тонометр
принадлежит к комбинированному типу приборов, поскольку нагнетатель, воздушный
клапан и манометр в нем соединены в один механизм. Это значительно облегчает
процедуру измерения давления. Так как чаще всего эта процедура выполняется
самостоятельно, металлический стетоскоп в тонометр встроен прямо в удобную
манжету.
Для повышения надежности прибора в нем
отсутствуют части из латекса, которые имеются практически во всех дешевых
тонометрах и которые являются самой слабой их частью. Обычно латекс
изнашивается за несколько месяцев, после чего тонометр уже не подлежит ремонту.
Сам аппарат изготовлен из металла и специального высококачественного пластика,
что надежно защищает корпус от механических повреждений
Особое внимание в приборе было уделено манжете.
Она имеет увеличенный плечевой размер и регулируется от 33 до 46 см. На манжете
есть металлическое кольцо, которое не дает ей порваться. Для комфортной
регулировки на поверхности манжеты нанесена разметка. Размер циферблата на
манометре составляет 45,5 мм, его показания смогут прочесть даже пожилые люди с
ослабленным зрением.
Диапазон измерения давления в приборе составляет
от 20 до 300 мм. рт. ст., при этом погрешность составляет всего +/- 3 мм. рт.
ст. Тонометру присвоен класс точности А/А «Самый точный».
В комплектацию прибора входит:
· Механический тонометр LD-60
· Универсальная широкая манжета
· Обратный и воздушный клапаны
· Нагнетатель
· Стетоскоп, в котором головка
встроена прямо в манжету
· Сумка для хранения и транспортировки
и хранения прибора
· Упаковка
· Инструкция по эксплуатации на
русском языке
· Срок службы тонометра составляет 7
лет, гарантия на прибор - 1 год.
Показания к применению.
Прибор предназначен для измерения артериального
давления человека по методу Короткова. Прибор рекомендуется для использования в
условиях клиник и стационаров, а также в домашних условиях как дополнение к
медицинскому наблюдению.
Измерение давления осуществляется с помощью
выслушивания тонов Короткова стетоскопом и снятия показаний на манометре.
Рекомендации по правильному
измерению.
1. Не
используйте прибор без предварительной консультации с Вашим врачом, если Вы
проходите лечение гемодиализом или антикоагулянтами, антитромбоцитами или
стероидами. Использование прибора в этих случаях может вызвать внутреннее
кровотечение.
2. Для
правильного измерения необходимо знать, что артериальное давление подвержено
резким колебаниям даже в короткие промежутки времени.
3. Уровень
артериального давления зависит от многих факторов. Обычно оно ниже летом и выше
зимой. Артериальное давление изменяется вместе с атмосферным давлением, зависит
от физических нагрузок, эмоциональной возбудимости, стрессов и режима питания.
Большое влияние оказывают принимаемые лекарственные средства, алкогольные
напитки и курение. У многих даже сама процедура измерения давления в
поликлинике вызывает повышение показателей. Поэтому артериальное давление,
измеренное в домашних условиях, часто отличается от давления, измеренного в
поликлинике. Поскольку артериальное давление при низких температурах
повышается, проводите измерение при комнатной температуре (примерно 20 °С).
Если прибор хранился при низкой температуре, перед использованием выдержите его
по крайней мере 1 час при комнатной температуре, иначе результат измерения
может оказаться ошибочным. В течение суток разница в показаниях у здоровых людей
может составлять 30-50 мм рт. ст. систолического (верхнего) давления и до 10 мм
рт. ст. диастолического (нижнего) давления. Зависимость артериального давления
от разных факторов индивидуальна у каждого человека.
4. Измерение
артериального давления должно проводиться в спокойной комфортной обстановке при
комнатной температуре. За час до измерения исключить прием пищи, за 1,5-2 часа
курение, прием тонизирующих напитков, алкоголя.
5. Точность
измерения артериального давления зависит также и от соответствия размера
манжеты прибора размерам Вашей руки. Манжета не должна быть мала или, наоборот,
велика.
Повторные измерения проводятся с интервалом 5
минут, чтобы восстановить циркуляцию крови. Однако лицам, страдающим выраженным
атеросклерозом, вследствие значительной потери эластичности сосудов требуется
большее время между интервалами измерений (10-15 минут).
6. Это касается
и пациентов, длительное время страдающих сахарным диабетом. Для более точного
определения артериального давления рекомендуется производить серии из 3-х
последовательных измерений и рассчитывать среднее значение результатов
измерений.
1. Вставьте бинауральную трубку стетоскопа в
уши. Закройте воздушный клапан на нагнетателе, повернув его по часовой стрелке.
Сжимая нагнетатель, накачивайте манжету, прослушивая пульс стетоскопом. После
того как Вы перестанете слышать пульс, накачайте манжету еще на 30 мм рт. ст.
больше.
2. Медленно приоткрывая воздушный клапан,
поворачивая его против часовой стрелки, стравливайте давление в манжете.
Следите за тем, чтобы давление в манжете падало со скоростью 2 - 4 мм рт. ст. в
секунду. Это необходимо для получения точного результата.
3. Как только Вы услышите слабые удары пульса,
запомните показание манометра. Это Ваше систолическое (верхнее) артериальное
давление.
4. Давление в манжете продолжает падать с той же
скоростью (2-4 мм рт. ст. в секунду). Вы продолжаете слышать пульс. Звуки,
которые Вы слышите, будут изменяться. В отличие от первых ударов, они станут
более мягкими, похожими на шуршание. В тот момент, когда Вы практически
перестанете улавливать пульс, запомните показание манометра. Это Ваше
диастолическое (нижнее) артериальное давление.
Уход, хранение, ремонт и утилизация.
1. Настоящий прибор необходимо оберегать от
повышенной влажности, прямых солнечных лучей, ударов.
2. Не храните и не используйте прибор в
непосредственной близости от обогревательных приборов и открытого огня.
3. Оберегайте прибор от загрязнения.
. Не допускается соприкосновения прибора с
агрессивными растворами.
. Оберегайте манжету и резиновые трубки от
острых предметов.
. Прибор не содержит органов настройки точности
измерения.
Запрещается самостоятельное вскрытие манометра.
При необходимости осуществляйте ремонт только в специализированных
организациях.
. Срок службы определяется с момента передачи
товара потребителю. По истечению установленного срока службы необходимо
периодически обращаться к специалистам (специализированные ремонтные
организации) для проверки технического состояния прибора.
. Манжета устойчива к многократной санобработке.
Допускается обработка внутренней стороны тканевого покрытия манжеты
(контактируемой с рукой пациента) ватным тампоном, смоченным 3%-ным раствором
перекиси водорода. При длительном использовании допускается частичное
обесцвечивание тканевого покрытия манжеты. Не допускается стирка манжеты, а
также обработка горячим утюгом.
Гарантийные обязательства.
1. На
настоящий прибор установлен гарантийный срок в течение 24 месяцев с даты
продажи. Гарантийный срок на манжету составляет 12 месяцев с даты продажи.
2. Гарантийные
обязательства оформляются гарантийным талоном при продаже прибора покупателю.
3. Адреса
организаций осуществляющих гарантийное обслуживание, указаны в гарантийном
талоне.
Поверка.
Первичная поверка прибора произведена поверочной
лабораторией Little
Doctor Electronic
(Nantong) Co.
Ltd., КНР на основании
протокола о признании результатов первичной поверки Федеральным агентством по
техническому регулированию и метрологии (Росстандарт). Поверительное клеймо
наносится на корпус прибора. Периодическая поверка проводится метрологической
службой, аккредитованной в установленном порядке в соответствии Рекомендациями
по метрологии Р 50.2.032-2004 «ГСИ. Измерители артериального давления неинва-
зивные. Методика поверки». Межповерочный интервал - 2 года.
Основные технические характеристики.
|
Диапазон
измерения давления, мм рт. ст.
|
от
0 до 300 (давление в манжете)
|
|
Диапазон
индикации, мм рт. ст.
|
от
0 до 300
|
|
Пределы
допускаемой абсолютной погрешности при измерении давления в манжете, мм рт.
ст.
|
±3
|
|
Условия
эксплуатации прибора: Температура окружающего воздуха, °С Влажность, % Rh
|
от
10 до 40 не более 85
|
|
Условия
хранения и транспортировки: Температура окружающего воздуха, °С Влажность, % Rh
|
от
-34 до 65 не более 85
|
|
Масса
прибора (без упаковки и сумки): исполнения LD-70 / LD-70NR, г
исполнения LD-71, LD-71 А, г
|
264/237
328 390/309 351
|
|
Габаритные
размеры (потребительская упаковка), мм
|
115x185x75
|
|
Срок
службы прибора (без учета пневмокамеры и нагнетателя), лет с момента передачи
потребителю Срок службы пневмокамеры и нагнетателя, лет с момента передачи
потребителю
|
7
3
|
|
Год
производства
|
Год
производства указывают 2 цифры заводского номера после символов «АА».
|
|
Страна
производства
|
КНР
|
Заключение
В данной работе я рассмотрел физические величины
и ее измерения, статические и динамические измерения физических величин, изучил
обработку результатов измерений.
При разработке или проектировании средства
измерений следует учитывать, что увеличение погрешности измерений и
запаздывание появления выходного сигнала связаны с изменением условий.
В большей части приборов статическая и
динамическая погрешности оказываются связаны между собой, поскольку соотношение
между этими видами погрешностей зависит от характеристик прибора и характерного
времени изменения величины.
Список использованных источников
физическая величина измерение
неопределенность
1. http://energouchet-servis.narod.ru/uchyot_energonositelei/ob_izmereniyah_i_sredstvah_izmereniya/
Статья об измерениях и средствах измерений.
2. А.Г. Сергеев «Метрология»,
Москва, Логос, 2005.
3. Тарасов Б.П., Копылыдова
А.Б., Практика применения метрологических показателей при коммерческом учете
количества и качества энергоносителей. Учебное пособие. СПб: НИУ ИТМО, 2012. -
30 с.
4. <http://doc-load.ru/SNiP/Data1/6/6768/index.htm>
. <http://www.metrob.ru/HTML/izmerenie.html>
. <http://referat54.ru/Metrology_standardization_certification/73282/>
. <http://podelise.ru/docs/33218/index-1082-14.html>
. <http://www.support17.com/component/content/163.html?task=view>