Рычажный механизм перемещения транспортирующего желоба
УО «Гродненский
государственный университет
имени Янки Купалы»
Факультет инновационных
технологий машиностроения
Кафедра
«Машиноведение и
техническая эксплуатация автомобилей»
Курсовая работа
по ТЕОРИИ МЕХАНИЗМОВ И
МАШИН
Выполнил:
студент 3-го курса № 1 группы
Жернаков Дмитрий Владимирович
г. Слоним
Реферат
В курсовом проекте разработаны следующие вопросы: выполнить
структурный анализ механизма, построить кинематическую схему механизма,
построение повернутых планов скоростей, построение диаграмм приведенных
моментов сопротивления, приведенных моментов инерции механизма, определить
момент инерции механизма.
Построить планы скоростей и ускорений для заданного положения
механизма, определить силы инерции, выполнить силовой расчет механизма, определить
уравновешивающую силу по методу Н.Е.Жуковского.
Построить кинематические диаграммы кулачкового механизма,
определить минимальный радиус кулачка, построить профиль кулачка, определить
жесткость замыкающей пружины.
Пояснительная записка содержит таблицs и рисунка.
Ключевые слова: механизм, шатун, коромысло, ползун, кулачок и
другие.
Оглавление
Введение
. Динамический
синтез рычажного механизма
.1 Структурный
анализ механизма
.2 Построение
планов положений звеньев механизма
.3 Построение
повернутых планов скоростей
.4 Построение
приведенного момента инерции механизма
.5 Определение
моменты сопротивления
.6 Определение
изменения кинетической энергии
1.7
Построение диаграммы "энергия-масса"
2. Силовой расчет
механизма
.1 Построение
плана скоростей и плана ускорений для заданного положениямеханизма
.2 Планы сил
звеньев механизма
.3 Рычаг
Н.Е. Жуковского
. Синтез
кулачкового механизма
.1 Построение
графиков S(S,)
.2 Построение
профиля кулачка
.4 Построение
графика угла давления
Литература
Введение
Учебная дисциплина «Теория механизмов и машин» базируется на
механико-математической подготовке студентов, обеспечивающей предшествующими
курсами «Высшая математика» и «Теоретическая механика».
Являясь научной основой специальных курсов по проектированию
машин специального назначения, она ставит следующие задачи:
. Научить студентов методам исследования и
проектирования механизмов машин и приборов.
. Научить студентов понимать общие принципы реализации
движения с помощью механизмов.
. Научить студентов системному подходу к
проектированию машин и механизмов по заданным условиям работы.
. Привить навыки разработки алгоритмов и навыки
расчета параметров на ЭВМ.
. Привить навыки использования измерительной
аппаратуры для определения кинематических и динамических параметров машин и
механизмов.
Проектирование и исследование всякого механизма должно
начинаться с изучения его структуры.
Основными терминами являются:
. Машиной называется устройство, выполняющее
механическое движение для преобразования энергии, материалов или информации с
целью замены или облегчения физического и умственного труда человека.
. Механизм представляет собой систему тел (звеньев),
предназначенную для преобразования движения одного или нескольких тел (звеньев)
в требуемое движение других тел (выходных звеньев). Звено, принимаемое за
неподвижное, называется стойкой.
. Кинематической парой называется соединение двух
соприкасающихся звеньев, допускающее их относительное движение.
. Кинематической цепью называется система звеньев,
связанных между собой кинематическими парами.
1. Динамический синтез рычажного механизма по
коэффициенту неравномерности движения
.1 Структурный анализ механизма
Схема рычажного механизма перемещения транспортирующего
желоба.
Число степеней свободы определим по формуле П.Л. Чебышева.
= 5 - число подвижных звеньев (1 - кривошип, 2 - шатун, 3 -
коромысло, 4 - шатун, 5 - ползун);

= 7 - число кинематических пар пятого класса (0 - 1; 1 - 2; 2 -
3; 2 - 4; 4 - 5; 3 - 0; 5 - 0);

= 0 - число кинематических пар четвертого класса.
Следовательно, в заданном механизме при заданном движении
начального звена (кривошипа 1) все остальные звенья будут обладать
определенностью движения. Выполним структурный анализ механизма.
Сначала отделим группы звеньев Ассура (4,5) - второго класса,
второго порядка второго вида.
Затем отделим группу звеньев Ассура (2,3) - второго класса,
второго порядка, первого вида.
Остается начальное звено 1 и стойка 0 первого класса.
Данный механизм относится к механизму второго класса.
Порядок кинематического исследования механизма определяется
формулой его строения:
1.2 Построение планов механизма
Выбираем масштабный коэффициент длин 
где ОА - отрезок, изображающий на чертеже 
. Примем ОА = 24мм, тогда 
= 0,005м/мм. Этот масштабный коэффициент соответствует чертежным
стандартам. Находим величины длин остальных звеньев.
Находим на чертеже неподвижные элементы кинематических пар О,С и
направляющую х - х. Затем радиусом ОА =24 мм проводим окружность - траекторию
точки А, на которой на одинаковом расстоянии друг от друга наносим 12 положений
точки А (1,2,3,…). Соединив их отрезками прямых с точкой О, получим
соответствующие положения кривошипа. Радиусом ВС =78 мм проводим дугу -
траекторию точки В. Находим крайние положения коромысла ВС. Крайнее правое
положение коромысла будет когда расстояние ОВ = ОА+АВ=24+92=116 мм, а крайнее
левое положение коромысла ОВ=АВ - ОА=92 - 24=68 мм.
Методом засечек находим остальные положения шатуна АВ и коромысла
ВС.
Заданное положение механизма 
проводим основания чертежными линиями.
Методом засечек определяем положение ползуна D для каждого
положения механизма.
На звене BD отмечаем точку 
- центр тяжести звена BD. Траекторию точки 
(шатунную кривую) получим, соединив последовательно точки 
во всех положениях звена плавной кривой.
1.3 Построение планов скоростей
План скоростей, повернутый на 90
, строго в следующей последовательности: сначала для кривошипа 1,
затем для группы (2,3) и наконец, для группы(4,5).
У кривошипа определяем скорость точки А

= угловая скорость кривошипа

= 70 об/мин - частота вращения кривошипа.

Вектор 
.
Эту скорость изобразим отрезкам pa = 88 мм, где р - полюс
скоростей. Тогда масштабный коэффициент скоростей 

Вектор 
павернутый на 90
по часовой стрелке, представляет собой план скоростей кривошипа
ОА.
Переходим к построению плана скоростей группы Ассура (2,3).
Скорость точек А и С известны. Скорость 
изображается на плане сил вектором 
, а 
Рассмотрим движение точки В по отношению к точке А, а затем по
отношению к точке С. Запишем два векторных уравнения.

= 
+ 


= 
+ 

Эти уравнения решаем графически.
Согласно первому уравнению из точки а проводим направлено 
перпендикулярно к АВ, а из полюса р проводим направлено 
перпендикулярно к ВС до пересечения 0 предыдущем направлением,
учитывая, что 
Измеряем отрезки и получим для 
Скорости центра тяжести звеньев определим по формуле подобия.
От точки а отложим отрезок 
и точку 
соединим с полюсом P.
Скорость точки 
определим методом подобия.
Получим 
Переходим к построению плана скоростей звеньев Ассура(4,5).
В этой группе известна скорость точки В и 
, расположенной на направляющей х - х. Рассмотрим движение точки D
по отношению к точке В, а затем к точке 
. Запишем два векторных уравнения

= 
+ 


= 
+ 

Через точку b плана скоростей проводим направление 
перпендикулярно к DB, а из полюса Р проводим направлено 
(учитывая, что 
) до пересечения с предыдущим направлением в точке d. Для угла 
Скорость центра тяжести 
найдем по теореме подобия.
Получим: 
Определим угловые скорости звеньев.
Направление угловой скорости 
найдем по вектору 
мысленно пересеченному в точку В механизма. Угловая скорость 
направлена по часовой стрелке.
Перенесем вектор 
в точку В и определим направление угловой скорости 
.
Угловая скорость 
направлена против часовой стрелки.
В такой же последовательности построим повернутые планы скоростью
для остальных 11 положений механизма. По результатам построений и расчетов
составим таблицу.
Таблица 1
|
№ п/п
|
|
|
|
|
|
|
|
|
|
|
|
|
м/с
|
Рад/с
|
|
0
|
0,88
|
0,75
|
0,8
|
0,83
|
0,415
|
0,66
|
0,47
|
0,57
|
1,75
|
2,14
|
0,336
|
|
1
|
0,88
|
0,9
|
0,62
|
1,0
|
0,5
|
0,9
|
0,38
|
0,82
|
1,35
|
2,56
|
0,272
|
|
2
|
0,88
|
0,94
|
0,32
|
1,0
|
0,5
|
0,93
|
0,24
|
0,92
|
0,7
|
2,56
|
0,17
|
|
3
|
0,88
|
0,85
|
0,07
|
0,85
|
0,43
|
0,82
|
0,07
|
0,8
|
0,152
|
1,1
|
0,05
|
|
4
|
0,88
|
0,58
|
0,62
|
0,3
|
0,15
|
0,31
|
0,05
|
0,32
|
1,35
|
0,77
|
0,038
|
|
5
|
0,88
|
0,4
|
1,52
|
0,84
|
0,42
|
0,83
|
0,08
|
0,86
|
3,3
|
1,08
|
0,057
|
|
6
|
0,88
|
1,07
|
1,78
|
1,74
|
0,85
|
1,65
|
0,44
|
1,58
|
3,88
|
4,48
|
0,314
|
|
7
|
0,88
|
1,1
|
0,78
|
1,4
|
0,7
|
1,18
|
0,7
|
1,04
|
1,7
|
3,58
|
0,5
|
|
8
|
0,88
|
0,78
|
0,26
|
0,68
|
1,18
|
0,52
|
0,46
|
0,4
|
0,565
|
1,74
|
0,33
|
|
9
|
0,88
|
0,48
|
0,8
|
0,12
|
0,06
|
0,1
|
0,1
|
0,08
|
1,57
|
0,31
|
0,072
|
|
10
|
0,88
|
0,42
|
0,98
|
0,27
|
0,135
|
0,19
|
0,2
|
0,15
|
2,14
|
0,7
|
0,143
|
|
11
|
0,88
|
0,6
|
1,0
|
0,62
|
0,31
|
0,5
|
0,4
|
0,4
|
2,18
|
1,59
|
0,286
|
1.4 Построение диаграммы приведенного момента
инерции
За звено приведения принимаем входное звено (кривошип ОА)
рычажного механизма.
Для звена, совершающее вращательное движение кинетическая
энергия.

момент инерции кривошипа относительно от вращения;


угловая скорость кривошипа.
Для звена, совершающего плоскопараллельное движение.
Для коромысла 3, совершающего вращательное движение
Для шатуна 4, совершающего плоскопараллельное движение
Для ползуна 5, совершающего поступательное движение.
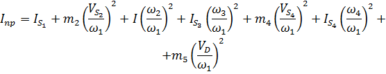
Кинетическая энергия механизма.
Выражение в квадратных скобках и есть приведенный момент инерции
механизма, приведенный к кривошипу.
Для заданного положения механизма 8 получим
Маховик может быть установлен на валу электродвигателя или на
тихоходном валу (валу кривошипа). Установим маховик на тихоходном валу, уменьшив
при этом динамическую нагрузку в передаточном механизме.
Тогда приведенный момент инерции двигателя к валу кривошипа.
Результат расчетов для всех положений механизма занесем в таблицу.
Таблица 2
|
№ п/ п
|
|
|
|
|
|
|
|
|
|
0
|
112,4
|
0,19
|
0,0228
|
0,075
|
0,8
|
0,059
|
3,0
|
116,47
|
|
1
|
112,4
|
0,27
|
0,0136
|
0,108
|
1,5
|
0,039
|
6,2
|
120,53
|
|
2
|
112,4
|
0,3
|
0,0036
|
0,108
|
1,6
|
0,015
|
7,9
|
122,33
|
|
3
|
112,4
|
0,24
|
0,001
|
0,0202
|
1,2
|
0,002
|
6,0
|
119,86
|
|
4
|
0,114
|
0,0136
|
0,01
|
0,39
|
0,001
|
0,95
|
113,88
|
|
5
|
112,4
|
0,056
|
0,08
|
0,0195
|
1,38
|
0,003
|
6,9
|
120,84
|
|
6
|
112,4
|
0,385
|
0,112
|
0,334
|
5,01
|
0,0515
|
23,2
|
141,49
|
|
7
|
112,4
|
0,405
|
0,0214
|
0,216
|
2,6
|
0,13
|
10,0
|
124,87
|
|
8
|
112,4
|
0,202
|
0,0024
|
0,05
|
0,49
|
0,056
|
1,47
|
114,57
|
|
9
|
112,4
|
0,077
|
0,0186
|
0,002
|
0,0184
|
0,004
|
0,06
|
112,18
|
|
10
|
112,4
|
0,06
|
0,034
|
0,01
|
0,066
|
0,011
|
0,24
|
112,8
|
|
11
|
112,4
|
0,119
|
0,0352
|
0,042
|
0,46
|
0,042
|
1,47
|
114,6
|
Строим диаграмму приведенных моментов инерции. Принимаем
масштабный коэффициент 
Причем ось приведенного момента инерции проведем горизонтально, а
ось угла поворота 
кривошипа - вертикально.
1.5 Приведенные моменты сопротивления
При движении желоба слева направо сила сопротивления 
, сила сопротивления при обратном ходе 
.
Определим силы сопротивления для каждого положения механизма по
заданной диаграмме сил сопротивления.
Приведенный момент сопротивления к кривошипу ОА определяется
формулой:
где 
- сила сопротивления для положения механизма;

- скорость точки D для положения плана механизма;

= 7,33 рад/с.
Результаты расчетов сведем в таблицу.
Таблица 3
|
№ п/п
|
0
|
1
|
2
|
3
|
4
|
5
|
6
|
7
|
8
|
9
|
10
|
11
|
|
|
1,5
|
1,5
|
1,5
|
1,5
|
1,5
|
4,3
|
4,3
|
4,3
|
4,3
|
4,3
|
1,5
|
1,5
|
|
|
0,57
|
0,82
|
0,92
|
0,8
|
0,32
|
0,86
|
1,58
|
1,04
|
0,4
|
0,08
|
0,15
|
0,4
|
|
|
116
|
168
|
188
|
163
|
66
|
505
|
925
|
610
|
234
|
47
|
31
|
63
|
По результатам таблицы строим диаграмму момента сопротивления 
. Масштабный коэффициент момента примем 
Работа полезного сопротивления может быть определена
интегрированием
рычажный кулачковый механизм
Так как момент сопротивления переменный, то построение диаграммы 
выполним графическим интегрированием.
Полюс интегрирования P принимаем на расстоянием Н = 20 мм от
начала координат 0.
Масштабный коэффициент по оси ординат 
Дж/мм. Приведенный момент движущих сил является постоянным,
находится из условия равенства работ сил сопротивления и движущих сил.

;
Соединив точку 0 с 0` диаграммы сил сопротивления, получим
диаграмму работ сопротивления.
Дифференцируя эту диаграмму, получим постоянный момент движущих
сил. Построим диаграмму изменения кинетической энергии. Для этого находим
изменение кинетической энергии на отдельных участках, которое равно разности
работ движущих сил и сил сопротивления на каждом участке. Масштаб оставляем тот
же, что и диаграммы работ.
1.6 Построение диаграммы «энергия-масса»
Диаграмма «энергия-масса» строится путем графического исключения
параметра φ (угла
поворота кривошипа) из графиков изменения кинетической энергии механизма и
приведенного момента инерции. Для определения момента инерции моховика по
заданному коэффициенту неравномерности движения b = 0,06 следует провести
касательные под углами 
и 
к оси абсцисс тангенсы, которых определяются по формулам:
Измеряем отрезок, отсекаемый этими касательными на оси
приведенного момента инерции 
Искомый момент инерции маховика определяется по формуле:
Если маховик изготовлен в виде обода со ступицей и спицами, то
диаметр его определяется по формуле:

- отношение ширины обода к диаметру, примем 

- отношение высоты обода к диаметру, примем 

- плотность чугуна.
Масса обода маховика 
Масса маховика 
Для уменьшения диаметра маховика и его массы, его требуется
установить на валу электродвигателя, тогда момент инерции маховика:
.
Динамический анализ механизма
2.1 Кинематическая схема механизма в заданном положении
Изображаем механизм в заданном положении φ=240˚ по заданным размерам и
масштабным коэффициентом 
Размеры звеньев механизма:
ОА=24мм; АВ=92мм; ВС=78мм;
ВD=280мм; х=66мм; у=12мм.
2.2 Построение планов скоростей и ускорений
План скоростей построим в масштабном коэффициенте 
.
Последовательность построения плана ускорений определяется формой
строения механизма: сначала строим план для кривошипа 1, затем для группы
Ассура(2,3) и, наконец для группы (4,5).
Для точки А кривошипа полные ускорения определяется векторным
уравнением

;

- нормальное ускорение, определяется по форме: 

= 7,33 рад/с - угловая скорость кривошипа;

- длина кривошипа.
Вектор 
направлен вдоль звена ОА от точки А к О.

- касательное ускорение точки А.

; 
- угловое ускорение кривошипа.
Угловое ускорение звена приведения в положении механизма,
несоответствующему углу φ = 240˚,
определяется по уравнению движения в дифференциальной форме.
Момент сопротивления для заданного положения механизма 
Движущий момент Mg = 0; 
= 7,33 рад/с.

- производная от момента инерции для заданного положения.
Изменение угла 
между осью 
к диаграмме 
из первого листа. 
Так как момент инерции уменьшается то 
Так как касательное ускорение отрицательное, то вектор 
направлен против направления вращения. Для построения плана
ускорений выбираем масштабный коэффициент.
Определим отрезки для плана ускорений
От полюса 
плана ускорений отложим вектор 
параллельно ОА от точки А, от точки 
перпендикулярно к ОА. Соединяем точку А с полюсом, получим 
Рассмотрим группу Ассура(2,3). Известны ускорения точек А и С. Так
как точка С неподвижна то 
Рассмотрим движение точки В относительно точки А и затем по
отношению к точке С.
Запишем два векторных уравнения.
Вычислим нормальные составляющие ускорения.
Вектор 
параллелен АВ от точки В к А. Вектор 
параллелен ВС от точки В к С.
Решим векторное уравнение графически. В соответствии с первым
уравнением из точки 
отложим отрезок 
и из точки 
проводим направление 
. В соответствии со вторым уравнением из полюса 
отложим отрезок 
в направление от точки В к С (учитывая, что 
), а из точки 
проводим направление 
до пересечения с предыдущим направлением в точке b. Измеряем
отрезки и получим ускорения.
Определим ускорение центров тяжести звеньев 
и 
методом подобия.
От точки a отложим отрезок 
и точку 
соединим с полюсом. Получим 
Ускорение точки 
центра тяжести звена ВС найдем по теории подобия.
План ускорения для группы Ассура(2,3) построен.
Рассмотрим группу Ассура (4,5). Известно ускорение точки B и 
(ускорение направляющей 
). Составим два векторных уравнения.
Нормальное ускорение 
Вектор 
направлен вдоль BD от точки D к B.
В соответствии с первым уравнением от точки b отложим отрезок 
из точки 
проводим направление 
перпендикулярно к BD.
В соответствии со вторым уравнением из полюса π
проводим направление 
(учитывая, что 
) параллельное Х - Х до пересечения с предыдущим направлением.
Измеряем отрезки и получаем:
Ускорение центра тяжести 
найдем по теореме подобия.
Tочку 
соединим с полюсом и получим
Определим угловые ускорения звеньев:
Для определения направления 
вектор 
мысленно перенесем в точку В механизм и видим что угловое
ускорение 
направленно по часовой стрелке. По вектору 
определим направление ускорения 
, которое направленно по часовой стрелке. Угловое ускорение 
также направленно по часовой стрелке.
2.3 Определение сил, действующих на звенья
механизма
На звенья механизма действуют силы веса, силы инерции,
полезная сила сопротивления и моменты сил инерции.
Определим силы веса звеньев:
Сила веса перемещаемого груза
Сила инерции определяется по формуле:

- масса звена;

- ускорение центра тяжести звена.
Знак минус указывает, что сила инерции направлена противоположно
вектору ускорения.
Момент сил инерции определяется формулой 

- момент инерции звена;

- угловое ускорение звена.
Знак минус указывает, что момент сил инерции направлен
противоположно угловому ускорению.
При движении груза справа налево сила сопротивления 
2.4 Планы сил
Силовой расчет начинаем с наиболее удаленной группы от кривошипа
группы звена Ассура (4,5). К звеньям приложены силы веса 
силы инерции 
, сила сопротивления 
, момент сил инерции 
и реакции опор 
.
Составим векторное уравнение.
Реакция 
направлена перпендикулярно линии движения ползуна, поэтому её
найдем из уравнения моментов сил, приложенным к звеньям относительно точки В.
Измеряем плечи сил:

Для определения реакции 
построим силовой многоугольник в масштабе 
Из произвольной точки a отложим отрезок 
в направлении силы 
, из точки b отложим отрезок 
в направлении 
, из точки С отложим отрезок 
из точки d отложим отрезок 
, из точки 
отложим отрезок 
, из точки k отложим отрезок 
, из точки 
отложим отрезок 
. Точку g соединим с точкой a и получим 
Реакцию в шарнире D найдем, соединив точки C и g. 
Переходим к построению плана сил для группы звеньев 2 и 3.
Вычерчиваем группу звеньев в масштабе 
и в соответствующих точках прикладываем силы веса, силы 
и 
, инерции 
и 
, моменты сил инерции 
и 
, силу 
со стороны звена 4. Реакции в шарнирах раскладываем на
составляющие: нормальную вдоль звеньев и касательную перпендикулярно к звену. 
+
; 
Для определения реакции 
составим уравнение моментов сил, приложенных к звену 3
относительно точки В.
Измеряем плечи сил: 
ВС = 156 мм.
Реакцию 
определим из уравнения моментов сил, приложенных к звену 2
относительно точки В.

AB = 184 мм;
Для определения составляющих 
и 
составим векторное уравнение.
Для определения силы, действующей со стороны звена 3 на звено 2
составим уравнение моментов относительно точки А для звена 2.

AB = 134 мм;
Нормальную составляющую реакции 
найдем графически из векторного уравнения.
Составим силовой многоугольник в масштабе 
Из силового многоугольника 
Силовой расчет начального звена
Вычерчиваем начальное звено в масштабе 
и прикладываем силы 
, момент сил инерции и уравновешивающую силу 
.
Составим уравнение моментов
Строим план сил начального звена в масштабе 
Отсюда: 
2.5 Рычаг Н.Е. Жуковского
Вычерчиваем план скоростей для заданного положения механизма,
повернутый на 90˚ по часовой стрелке.
В соответствующих точках плана скоростей изображаем заданные силы:
силы веса 
,
, 
, 
, 
,силы инерции 
, 
, 
, 
, силу полезного сопротивления 
. Моменты сил инерции представим парами сил, приложенными в
соответствующих точках механизма.
Повернутый план скоростей рассматриваем как жесткий рычаг.
Уравновешивающую силу 
прикладываем к точке a. Составим уравнение моментов сил
относительно точки Р - полюса скоростей.
Измеряем плечи сил:
Расхождение с уравновешивающей силой, полученной при помощи плана
сил составляет:

Допускается расхождение до 
.
3.
Синтез кулачкового механизма
3.1 Построение кинематических диаграмм
Исходные данные:
Длина коромысла кулачкового механизма 
Угловой ход коромысла 
Фазовые углы поворота кулачка 
Допускается угол давления 
Момент инерции коромысла 
Определим рабочий угол поворота кулачка в градусах
и в радианах 
Проводим горизонтальную ось и на ней откладываем отрезок 
, тогда масштаб по оси углов поворота 
На оси углов поворота отложим отрезки, соответствующие углам
поворота 
В произвольном масштабе строим диаграмму аналогов ускорения на
фазах подъема и опускания ролика коромысла 
по закону изменены треугольник.
Для построения диаграммы скоростей ролика коромысла 
применим графическое интегрирование диаграммы 
.
Участок диаграммы 
на фазе удаления делим на 8 равных частей. На расстоянии Н=20 мм
намечаем точку 
- полюс интегрирования. Из середины участка 0 - 1 проводим
горизонтальную линию до пересечения с осью 
- получим точку 1', которую соединим с полюсом 
.
Проводим ось 
будущей диаграммы 
Из точки 0 проводим луч 0 - 1'' параллельный лучу 
до пересечения с соответствующей ординатой. Из точки 1'' проводим
луч 1'' - 2'' параллельный лучу 
до пересечения с соответствующей ординатой. Такие построения
выпишем для всей фазы 
и получим диаграмму 
на фазе подъема. Таким же образом построим диаграмму аналога
скоростей ролика коромысла, используем часть диаграммы 
на участке 9 - 17.
Полученные точки соединим плавной кривой. Диаграмму перемещения
ролика коромысла получим графическим интегрированием диаграммы 
, приняв полюс интегрирования 
на расстоянии 
от начала координат. Соединив полученные точки, получим диаграмму
перемещений S = S(
) ролика коромысла от угла поворота кулачка. Определим масштабы по
оси ординат. Сначала определим масштабное перемещения ролика на диаграмме
перемещений 
Максимальное перемещение ролика коромысла

=24˚ - максимальный угол поворота коромысла.
Выразим угол поворота в радианах

= 0,419 рад

= 0,11 · 0,419 = 46 мм.
Масштабный коэффициент по оси перемещений
Масштаб диаграммы аналога скоростей
Масштаб диаграммы аналога ускорений
3.2 Определение минимального радиуса кулачка 
Минимальный радиус кулачка определим из условия незаклинивания (
) на фазах подъема и опускания.
Из точки 8 диаграммы S = S(
) проводим горизонтальную линию до пересечения с осью ординат S.
Из точки О под любым углом проводим прямую и на ней отложим отрезок 
- перемещение ролика коромысла. Параллельным переносом получим
остальные точки истинных перемещений ролика коромысла.
Из произвольной точки А проводим дугу длинной коромысла 
и на нее переносим разметку хода ролика на фазах подъема и
опускания. Из точки А проводим через эти точки лучи, на которых откладываем
векторы аналогов скоростей 
в масштабе 
повернутые на 90˚ в сторону вращения кулачка. Полученные
точки соединяем плавной кривой. Проводим касательные к кривой под углом 
к положенным коромысла. Центр вращения кулачка выбирается в зоне,
свободной от пересечения лучей (заштриховано). Из чертежа определяем 
;
Строим график зависимости угла давления 
от угла поворота кулачка для фаз подъема и опускания.
|
№ п/п
|
0
|
1
|
2
|
3
|
5
|
6
|
7
|
8
|
9
|
10
|
11
|
12
|
13
|
14
|
15
|
16
|
|
|
0
|
-4
|
-18
|
-30
|
-42
|
-36
|
-25
|
-9
|
0
|
3
|
17˚
|
30
|
40
|
42
|
31
|
12
|
0
|
.3 Построение профиля кулачка
Строим центровой профиль кулачка. Выбираем масштаб построения 
Откладываем линию центров 
. Из точки 
проводим окружности радиуса 
и 
. Из точки 
- центра вращения коромысла - радиусом, равным длине коромысла АВ
= 110 мм - дуга до пересечения с окружностью 
. Точка пересечения их 
определяет положение центра ролика началу фазы удаления. От точки

откладываем перемещение ролика согласно графику S = S(
). Из центра 
через точки 
проводим концентрические дуги. От линии центров 
в сторону, противоположную вращению кулачка, откладываем фазовые
углы 
Дуги максимального радиуса, стягивающие углы 
делятся на части согласно графика S = S(
). Полученные точки 
определяет положение центра вращения коромысла в обращенном
движении. Для определения второй точки коромысла 
в обращенном движении, следует из точек 
радиусом, равным длине коромысла АВ сделать засечки на
соответствующих концентрических дугах. Соединив плавной кривой точки 1', 2', 3'
… 17' получим центровой профиль кулачка на фазах подъема и опускания.
На фазе дальнего стояния профиль кулачка очерчивается дугой
максимального радиуса 
, на фазе ближнего стояния - дугой минимального радиуса 
Строим действительный профиль кулачка. Радиус ролика выбирается
наименьшим из двух условий:
Минимальный радиус кривизны 
приближенно определяется как радиус вписанной окружности.
Окончательно примем 
.
Действительный профиль кулачка есть эквидистантная кривая
центровому профилю, касающаяся окружностей ролика.
3.4 Расчет замыкающей пружины
Для определения силы пружины и ее жесткости построим график
момента сил инерции коромысла в функции перемещения ролика коромысла.
Для расчета выбираем фазу удаления. Из диаграммы аналога ускорения
максимальное ускорения 
Определим момент сил инерции коромысла:
Определяем силу инерции коромысла
Примем минимальную реакцию 
, а предварительное натяжение пружины f = 0,4 · 60 = 0,4 · h = 24
мм.
Выбираем масштабный коэффициент 
, производим построение.
Соединив точки a и b, получим 
.
Максимальная сила пружины 
Определим жесткость пружины 
Литература
1
Теория механизмов и машин. Практикум Гродно 2006г.
Задания
по курсовому проектированию. Гродно 2006г.
Курсовое
проектирование по теории механизмов и машин. Под ред. Г.Н. Девойно Минск
«Высшая школа». 1986г.