Привод сгустителя
Привод
сгустителя
Расчетно-пояснительная
записка
Содержание
Введение
.
Краткое описание привода
.
Исходные данные расчета
.
Предварительный расчет привода
.1
Определение расчетной мощность электродвигателя и выбор его по каталогу
.2
Определение общего передаточного числа двигателя и разбивки его по ступеням
.3
Определение мощностей на валах привода
.4
Определение частоты вращения валов привода
.5
Определение вращающихся моментов на валах привода
.
Расчет червячной передачи
.1Выбор
материалов червяка и червячного колеса
.2Определение
допускаемых контактных напряжений
.3Определение
допускаемых напряжений изгиба
.4Выбор
профиля червяка
.5
Определение межосевого расстояния
.6
Выбор числа заходов червяка и определение числа зубьев колеса
.7Определение
модуля передачи
.8Выбор
коэффициента диаметра червяка
.
9 Определение коэффициента смещения червяка
.10
Уточнение передаточного числа
.11
Уточнение углов подъема витка червяка
.12
Уточнение скорости скольжения и допускаемых контактных напряжений
.13
Проверочный расчет передачи на контактную прочность
.14
Определение основных размеров червяка и червячного колеса
.15
Проверочный расчет зубьев колеса на выносливость при изгибе
.16
Определение КПД передачи
.17
Определение усилий в зацеплении
.18
Расчет клиноременной передачи
.1
Выбор смены клиноременного ремня
.2
Диаметр ведущего шкива
.3
Диаметр ведомого шкива
.4
Уточнение передаточного отношения
.5
Межосевое расстояние
.6
Длина ремня
.7
Уточнение межосевого расстояния
.8
Угол обхвата ремней ведущего шкива
.9
Скорость ремня
.10
Число пробегов ремня
.11
Мощность, передаваемая одним ремнем
.12
Требуемое число клиновых ремней
.13
Уточнение числа клиновых ремней
.14
Определение силы предварительного натяжения одного ремня
.15
Определение усилия от ремней на валы
.16
Ширина шкива
.
Предварительный расчет валов и конструирование редуктора
.1
Расчет ведущего вала шестерни
.2
Расчет ведомого вала
.3
Конструирование корпуса
.
Проверочный расчет ведущего вала редуктора
.1Исходные
данные для расчета
.2Выбор
материала вала
.3Составление
расчетной схемы вала
.3.1Определение
реакций опор от сил горизонтальной плоскости. Эпюра изгибающих моментов
.3.2Определение
реакций опор от сил вертикальной плоскости. Эпюра изгибающих моментов
.3.3Эпюра
суммарных изгибающих моментов
.3.4Суммарный
реакции опор
.
Проверочный расчет подшипников ведущего вала редуктора
Заключение
Список
литературы
привод червячный клиноременная шкив
Введение
Конвейер предназначен для перемещения сыпучих
материалов в горизонтальном направлении на расстояние от 50-100 м. движение от
электродвигателя 10 передается кривошипу 1 через планетарный редуктор 11 и
зубчатую передачу z4-z5. Рычажный механизм, состоящий из кривошипа 1, шатуна 2,
коромысла 3, кулисного камня 4 и ползуна 5, обеспечивает возвратно-поступательное
движение транспортирующего желоба 6. Желоб при движении вправо увлекает
насыпанный на него материал. Когда отрицательное ускорение желоба достигает
критического значения (акр=f0g, где f0 - коэффициент трения покоя между
материалом и желобом, g=9,81 м/с2), начинается относительное скольжение
материала по желобу за счет накопленной ранее кинетической энергии. Далее
материал движется со скоростью, убывающий по линейному закону до момента
выравнивая скоростей материала и желоба при движении последнего влево. Материал
должен перемещаться по желобу все время в одну сторону (вправо). Для этого
положительное ускорение не должно превышать критического значения. Подача
материала на желоб из бункера осуществляется кулачковым механизмом 7-8. Кулачок
7 получает вращение от кривошипного вала через цепную передачу 9 с передаточным
отношением U=1. Для получения требуемой равномерности движения на кривошипном
валу закреплен маховик.
.Краткое описание привода сгустителя
Привод состоит из электродвигателя АИР112М2,
муфты втулочно-пальцевой, клиноременной передачи, редуктора нестандартного
червячного одноступенчатого. Электродвигатель и редуктор установлены на
фундаменте, натяжение ремня с помощью салазок.
2. Исходные данные расчета
Синхронная частота вращения вала двигателя
;
Требуемая мощность:
;
Допускаемое отклонение частоты вращения
цилиндра: 5 %;
Диаметр выходного конца вала цилиндра: 75 мм.
3. Предварительный расчёт привода
.1 Определение расчетной мощности
электродвигателя и выбор его по каталогу
где:
=5
кВт
- общий КПД
привода
где:
-
КПД ременной передачи;
- КПД пары колес;
- КПД червячной
передачи;
Выбираем двигатель АИР112М2
3.2 Определение общего передаточного числа
привода и разбивка его по ступеням передач
Принимаю
3.3 Определение мощностей на валах привода
.4 Определение частоты вращения на валов привода
3.5 Определение вращающихся моментов на валах
привода
4. Расчет червячной передачи редуктора
Исходные данные для расчета
Передаточное число U=63;
Частота вращения червяка
;
Частота вращения колеса
;
Вращающий момент на червячном колесе
;
Срок службы передачи при трехсменной работе 6
лет.
Передача нереверсивная, нагрузка постоянная,
равномерное.
.1 Выбор материалов червяка и червячного колеса
Для изготовления червяка принимаем сталь 40Х с
поверхностной закалкой токами высокой частоты до твердости 50 HRC с последующим
шлифованием и полированием витков.
Ожидаемое значение скорости скольжения
.2 Определение допускаемых контактных напряжений
для червячного колеса
где:
;
коэффициент,
учитывающий интенсивность износа материала колеса
;
.
Расчетное число циклов напряжения зубьев колеса
за весь срок службы передачи:
где: n - частота вращения колеса,
;
- срок службы
передачи.
где:
-
число лет работы передачи,
;
- коэффициент
годового использования передачи,
;
- число смен работы
передачи в сутки,
;
Расчетное число циклов напряжений:

Допускаем контактные напряжения:
.3 Определение допускаемых напряжений изгиба
где:
-
предел выносливости зубьев при изгибе, соответствующий базовому числу циклов
напряжения;
- коэффициент
долговечности.
Допускаемое напряжение изгиба:
.4 Выбор профиля червяка
При мелкосерийном производстве выбираем
архимедов червяк.
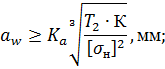
.5 Определение межосевого расстояния
где:
-
для передачи с архимедовым червяком;
- передаточное
число;
- вращающий момент
на червячном колесе,
- коэффициент
нагрузки. При
предварительно
принимаем
- коэффициент
ширины колеса.
При несимметричном расположении косозубых колес
относительно опор выбираем
Принимаем из ряда стандартных чисел по ГОСТ
6636-69
.6 Выбор числа заходов червяка и определение
числа зубьев колеса
Число заходов червяка
Число зубьев колеса
.7 Определение модуля передачи
Предварительное значение модуля передачи
По ГОСТ 2144-76 принимаем
.8 Выбор коэффициента диаметра червяка
Предварительное значение коэффициента диаметра
червяка
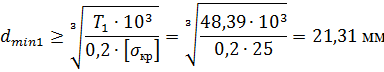
Минимально допустимое значение коэффициента
диаметра червяка
Принимаем по ГОСТ 2144-76 ближайшее стандартное
значение коэффициента
.9 Определение коэффициента смещения червяка
Коэффициент смещения червяка находиться в
допустимых пределах
Фактическое межосевое расстояние
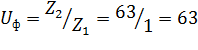
.10 Уточнение передаточного числа
Фактическое передаточное число
Отклонение от заданного передаточного числа 0%
4.11 Уточнение углов подъема витка червяка
Делительный угол подъема
Начальный угол подъема
.12 Уточнение скорости скольжения и допускаемых
контактных напряжений
Скорость скольжения в зацеплении
Фактическое допускаемое контактное напряжение
Где
.13 Проверочный расчет передачи на контактную
прочность
Где
-
для передачи с архимедовым червяком;
-
коэффициент нагрузки;-делительный диаметр червячного колеса
- окружная
сила на колесе
- начальный
диаметр червяка
Коэффициент
нагрузки
Где
-
коэффициент концентрации нагрузки по длине зуба колеса.
При
постоянной нагрузке 
При
скорости скольжения
и принимаем
Расчетное
контактное напряжение
Отклонение
расчетного напряжения от допускаемых контактных напряжений
Недогрузка
передачи составляет 4,3%, что допустимо.
.14
Определение основных размеров червяка и червячного колеса
Размеры
червяка
делительный
размер
;
диаметра
вершин витков
;
диаметр
впадин витков
длина
нарезанной части червяка
коэффициенты
Принимаем
Размеры
венца червячного колеса:
делительный
диаметр
диаметр
вершин зубьев
диаметр
впадин зубьев
наибольший диаметр колеса
принимаем
Ширина венца колеса
принимаем
.15 Проверочный расчет зубьев колеса на
выносливость при изгибе
где:
-
коэффициент нагрузки,
;
Эквивалентное число зубьев колеса
Тогда
Расчетное напряжение изгиба в зубьях колеса
Условие прочности выполняется.
4.16 Определение КПД передачи
где:
-приведенный
угол трения. При
;
Окружная сила на червяке, равная осевой силе на
колесе
Н
Осевая сила на червяке, равная окружной силе на
колесе
Радиальные силы на червяке и колесе
5. Расчет клиноременной передачи
Исходные данные:
Мощность на ведущем шкиве, Рд
Частота вращения ведущего шкива,
Вращающий момент на ведущем шкиве, Тд
Передаточное отношение,
, нагрузка постоянная, равномерная.
Режим работы: работа в 3 смены, нагрузка
постоянная, равномерная.
.1 Выбор смены клиноременного ремня
Выбираем
клиновые ремни нормального сечения «А», т.к.
следует выбрать кордшнуровый ремень



min
ГОСТ 1284.1-96
.2
Диаметр ведущего шкива
Принимаем
d1
ГОСТ
17383-89
.3
Диаметр ведомого шкива
- коэффиц
(0,01 -
0,02) Принимаем d2
.4
Уточнение передаточного отношения

Относительное
межосевое расстояние
1, т.к
Принимаем
.6
Длина ремня
Принимаем
5.7 Уточнение межосевого расстояния
Принимаем
.8 Угол обхвата ремней ведущего шкива
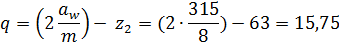
.9 Скорость ремня
.10 Число пробегов ремня
Условие обеспечения необходимой долговечности
ремней по числу пробегов в сек:
Где
-
длина ремня, м;
.11 Мощность, передаваемая одним ремнем в
реальных условиях работы
Где
-
мощность, передаваемая одним клиновым ремнем при стандартных условиях ;
- коэффициент
влияния угла обхвата ремнем малого шкива;
- коэффициент,
учитывающий влияние длины ремня;
- коэффициент
передаточного отношения;
- коэффициент
динамичности нагрузки и режима работы по ГОСТ 1284.3-96;
.12 Требуемое число клиновых ремней
Принимаем:
.13 Уточнение числа клиновых ремней
- коэффициент
числа ремней, учитывающий неравномерность распределения нагрузки между ремнями.
Окончательно, принимаем
.14 Определение силы предварительного натяжения
одного клинового ремня
Где q - масса 1м длины ремня, кг/м
.15 Определение усилия от ремней на валы
Принимаем ремень Б(В) - 2500.Ш ГОСТ 1284.1 - 96
.16 Ширина шкива
6. Предварительный расчет валов и
конструирование редуктора
.1 Расчет ведущего вала
где:
принимаю
принимаю
Выбираем подшипник: 310 ГОСТ 8338-75
Подшипник 7310А ГОСТ 27365-87
Выбираем манжету:
.2 Расчет ведомого вала
принимаем

Выбираем манжету:
6.3 Конструирование корпуса
Толщина стенки корпуса:
Толщина стенки крышки:
7. Проверочный расчет ведущего вала редуктора
.1 Исходные данные для расчета червячной
передачи
788 Н;
.2 Выбор материала вала
Для вала-червяка - материал червяка - это
материал вала. Выбираем оловянную бронзу Бр 010Ф1 отливка в кокиль. Для вала
колеса (ведомого вала): Сталь 40X
Механические характеристики материала вала:
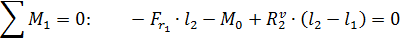
.3 Составление расчетной схемы вала
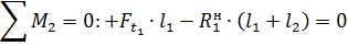
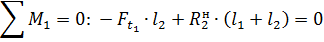
.3.1 Определение реакций опор от сил в
горизонтальной плоскости. Эпюра изгибающих моментов
Проверка:
:
Эпюра
а) )
при
при
при
при
.3.2 Определение реакций опор от сил в
вертикальной плоскости. Эпюра изгибающих моментов
-
делительный диаметр червяка, мм
Проверка:
:
Эпюра
а
при
.3.3 Эпюра суммарных изгибающих моментов
.3.4 Суммарные реакции опор
.4 Проверочный расчет вала в опасном сечении
Опасным сечением является сечение «С-С», так как
в этом сечении действует наибольший изгибающий момент и имеет место
концентрации местных напряжений (в данном случае для вала - червяка, вызванная
нарезкой резьбы червяка)
Напряжения изгиба:
Напряжения кручения:
Напряжения растяжения:
Эквивалентные напряжения в опасном сечении
«С-С»:
Допускаемые напряжения изгиба для материала в
опасном сечении:

Сдвоенные радиально - упорные конические
роликоподшипники для неподвижной опоры и радиальный однорядный шарикоподшипник
для «плавающей» опоры вала - червяка.
Исходные
данные для расчета: радиальные нагрузки на опоры
Предварительно намечаем: для опоры 2 подшипники
серии 7310 А, у которого
(ГОСТ 27365-87);
для опоры 1 радиальный однорядный шарикоподшипник серии 310 (ГОСТ 8338-75)
Проверочный расчет сдвоенного радиально-упорного
роликоподшипника опоры 2
Осевая составляющая от радиальной нагрузки
Осевая нагрузка на подшипники
Поскольку
,то всю нагрузку
будет воспринимать только правый подшипник опоры 2. В этом случае величину
динамической грузоподъемности сдвоенного подшипника следует принимать как для
однорядного (
Эквивалентная динамическая нагрузка
При
вращении внутреннего кольца подшипника кинематический коэффициент:
Температурный коэффициент:
;
;
Так как
Проверяем долговечность подшипника:
Выбранные подшипники 7310 А подходят, тк
Проверочный расчет радиального однорядного
шарикоподшипника «плавающей» опоры 1
Заключение
В результате расчетов получены следующие результаты:
диаметры цилиндров 155 и 115 мм
клапаны ЛУ70-0,4 и ЛУ110-1,0
Посадочные диаметры клапанов и диаметры
цилиндров остались без изменения. Однако в конструкцию клапанов внесены
изменения:
в клапане ЛУ70-0.4 изменена толщина пластин от
0,6 мм до 0,2 мм, уменьшена высота подъёма центральной точки пластины от 2,7 мм
до 1,53 мм.
в клапане ЛУ110-1.0 изменена толщина пластин от
0,6 мм до 0,5 мм, уменьшена высота подъёма центральной точки пластины от 2,7 мм
до 1,18 мм
В результате изменений получена приемлемая
диаграмма перемещения пластин, то есть: скорости соударения пластин
удовлетворяют требованиям, потери мощности меньше допустимых. Данные о потерях
мощности и скоростях соударения приведены в таблице 4, 5, 6.
По полученной величине производительности компрессора,
при нормальных условиях, рекомендованными базами являлись У- и Ш-образная базы.
Кроме того, в качестве допустимых предлагались Р, М и др.типы баз.
Поскольку к конструкции проектируемого
компрессора не предъявлялось специфических требований, для расчета была выбрана
база 3Ш. Выбранные диаметры цилиндров соответствуют размерному ряду данной
базы.
Список литературы
Дунаев
П.Ф., Леликов О.П. Конструирование узлов и деталей машин: Учебное пособие для
техн. Спец. Вузов. - М.: Издательский центр «Академия», 2010.-496 с.
Чернилевский
Д.В. Детали машин. Проектирование приводов технологического оборудования:
Учебное пособие для вузов. - М.: Машиностроение, 2009.-560 с.
М/у.
Расчет червячных передач. Сост. Аввакумов М.В. Коновалов А.Б.; ГОУВПО СПбГТУ
РП. СПб., 2004. 30 с.
М/у
Выбор и расчет подшипников качения. Сост. Аввакумов М.В. ЛТИ ЦБП. Ленинград.,
1982. 35 с.
М/у
кинематические расчеты приводов машин. Сост. Кириленко А.Л. Аввакумов М.В.;
ГОУВПО СПбГТУРП. СПб., 2008.-27 с.