Влияние радиационного баланса Земли на температуру подстилающей поверхности
Оглавление
Введение
1. Литературный обзор
1.1 Поток лучистой энергии - поток радиации
1.2 Эффективное излучение земной поверхности
1.3 Радиационный баланс земной поверхности и атмосферы
1.4 Уравнение теплового баланса земной поверхности
1.5 Температура земной поверхности, закономерности
распространения тепла вглубь почвы
1.6 Пожарная опасность леса
Постановка задач
2. Методика эксперимента
Экспериментальные результаты и обсуждение
2.1 Выбор территорий для снятия данных
2.2 Получение полученных зависимостей с фактической
температурой воздуха на момент измерения
2.3 Сравнение полученных экспериментальных данных с
теоретическими данными
Выводы
Список литературы
Приложение 1
Приложение 2
Введение
Энергия, излучаемая Солнцем, носит название солнечной радиации. Солнечная
радиация является практически единственным источником энергии для Земли и
атмосферы.
Радиационным балансом деятельного слоя Земли называется разность между
приходящей и уходящей от него потоками лучистой энергии. Радиационный баланс
земной поверхности оказывает существенное влияние на процессы испарения и
снеготаяния, образование туманов и заморозков.
Тепловой режим земной поверхности в основном обусловлен радиационным
балансом. Между поверхностью почвы и ее нижележащими слоями происходит непрерывный
обмен теплом. Передача тепла в почве осуществляется в основном за счет
молекулярной теплопроводности. Когда поверхность почвы теплее нижележащих слоев
(день, лето), поток тепла направлен от поверхности в глубь почвы. Этот процесс
происходит при положительном радиационном балансе. Когда поверхность холоднее
нижележащих слоев, поток тепла направлен из глубины к поверхности. Этот процесс
наблюдается при отрицательном радиационном балансе (зимой, ночью).
Часто встречаются ситуации, когда информация о тепловом портрете
местности и его динамическом изменении крайне необходима, но местность может
иметь большую площадь или находиться далеко, что создает трудность для
наблюдения. В таком случае на помощь приходит дистанционный метод измерения и
суточное или сезонное наблюдение за местностью, с последующим занесением всех
данных в базу.
Нам необходимо знать закономерности динамического изменения теплового
портрета местности. Это позволит использовать полученные данные: в
геологоразведке (разные породы имеют разную тепловую инерцию), в сейсморазведке
(с помощью теплового портрета рисуются разломы, например, в Саянах), в военном
деле (ночная разведка военной техники), в сельском хозяйстве (определение
сроков посевов).
радиационный тепловой земной поверхность
1.
Литературный обзор
1.1 Поток лучистой энергии - поток радиации
Пусть через площадку dS поверхности тела в единицу времени излучается во
все стороны количество лучистой энергии dФ.
Количество энергии, излучаемое телом через единичную поверхность в
единицу времени во всех направлениях, в пределах полусферы, назовем потоком
излучения, или потоком лучистой энергии - потоком радиации. Обозначая поток
излучения через, F, получаем

(1)
Под
потоком излучения будем понимать также количество энергии, которое проходит
черед единичную поверхность в единицу времени, хотя эта энергия поступила от
других тел, не связанных с рассматриваемой поверхностью. Лучистую энергию в
метеорологии обычно измеряют в тепловых единицах - калориях (1 калл = 4.1868
дж) единицей потока излучения обычно служит 1 кал/см2*мин [1].
Для
полной энергетической характеристики потока лучистой энергии необходимо указать
распределение энергии по длинам волн. Для этого выделим в общем потоке
элементарный участок в интервале длин волны от 
до 
.
Количество лучистой энергии 
в
интервале от 
до 
испускаемой
с поверхности dS, прямо пропорционально dS и 
:

(2)
Величина

представляет
собой поток излучения, отнесенный к единичному интервалу длин волн, вблизи
данной длины волны 
; она
носит название монохроматического потока радиации, или излучательной -
лучеиспускательной способности тела и измеряется в кал/см2*мин*мк.
Полный
поток излучения всех длин волн F, очевидно, выразится интегралом

(3)
Пусть
на тело падает монохроматический поток радиации 
часть 
которого
поглощается телом, 
отражается
и
проходит
сквозь него. Очевидно, что

(4)
Разделив
обе части этого равенства на 
, получим

(5)
Первый
член в левой части этого соотношения называют поглощательной способностью тела,
или относительным коэффициентом поглощения 
; второй
- отражательной способностью, или альбедо 
, и
третий - пропускательной способностью 
.
Следовательно,

(6)
Эти
величины безразмерны и изменяются в пределах от 0 до 1. Поглощательная,
отражательная и пропускательная способность тела зависит в общем случае от
длины волны. Так, например, кварц инфракрасные лучи 
поглощает,
а световые и ультрафиолетовые пропускает. Оконное стекло прозрачно только для
световых лучей, а для ультрафиолетовых и инфракрасных 
почти не
прозрачно.
Это
свойство тел носит название селективности - избирательности поглощения или
отражения, пропускания. Особенно резко выражены свойства селективности
поглощения у газов, таких как кислород, водяной пар, углекислый газ, озон.
Каждый из газов имеет достаточно сложный спектр поглощения ( 
является
сложной функцией длины волны). Если для всех длин волн 
= 1, то 
= 0; это
значит, что вся падающая лучистая энергия полностью поглощается телом. Такие
тела называются абсолютно черными, или просто черными.
Если

, то 
, т.е. вся
падающая лучистая энергия отражается при этом, если отражение правильно, т.е.
подчиняется законом геометрической оптики, тела называются зеркальными, если же
отражение диффузное, - абсолютно белыми [2].
Большинство
твердых тел, а также различные виды земной поверхности для радиации
непрозрачны, т.е. для них пропускательная способность 
= 0. В
таком случае

(7)
Из
соотношения (7) следует, что тело хорошо отражает лучистую энергию, когда плохо
ее поглощает, и наоборот. Если тело непрозрачно, то из общего потока 
часть
его, равная

(8)
поглощается, а другая часть отражается.

(9)
Солнце
излучает огромное количество энергии. На Землю ежеминутно поступает 2,4*1018
кал солнечной радиации, а в течение года 1,275*1024 кал. До Земли,
однако, доходит лишь ничтожная часть, примерно одна двухмиллиардная всей
энергии, излучаемой Солнцем в мировое пространство. Полное количество энергии,
излучаемой Солнцем в одну минуту, составляет 5,316*1027кал или
3,7*1038эрг/сек, с единицы поверхности - около 7*1010
эрг/см2*сек.
Наиболее
близкими к истинному значению в единой международной пиргелиометрической шкале
1956 г. (IPS) следует считать, величину 
кал/см2*мин
[3].
1.2 Эффективное излучение земной поверхности
Земля и атмосфера, как и любое другое тело, излучают энергию. Поскольку
по сравнению с температурой Солнца температура Земли и атмосферы мала, то
излучаемая ими энергия приходится на невидимый инфракрасный участок спектра.
Следует отметить, что ни земную поверхность, ни тем более атмосферу нельзя
рассматривать как абсолютно черные тела. Однако изучение спектров
длинноволновой радиации различных поверхностей показало, что с вполне
достаточной степенью точности земную поверхность можно считать серым телом. Это
значит, что излучение земной поверхности при всех длинах волн отличается на
один и тот же множитель от излучения абсолютного черного тела, имеющего
температуру, одинаковую с температурой земной поверхности. Таким образом,
формула для потока излучения земной поверхности может быть записана на основе
закона Кирхгофа в следующем виде:

(10)
где
Т0 - температура земной поверхности, 
-
относительный коэффициент излучения или поглощения. Значения 
для
различных поверхностей, по данным измерений, колеблются в пределах от 0,85 до
0,99. Поток излучения земной поверхности значительно меньше потока излучения
Солнца (Bc << B0), но B0 оказывается
вполне сравнимым с величиной потока солнечной радиации F´, поступающего на поверхность Земли. Приведём значения
потока излучения абсолютно черного тела 
при
разных температурах: t0 -40 -20 0 20 40 B кал/см2*мин0,24
0,34 0,46 0,61 0,79 Из этих данных следует, что B0 имеет тот же
порядок величины, что и F´. Поток излучения земной поверхности зависит от ее
температуры, с увеличением которой он возрастает. Этот поток наблюдается днем и
ночью и непосредственно не зависит от того, каков поток солнечной радиации. В
каждой фиксированный момент времени земная поверхность, поглощающая
коротковолновую радиацию, одновременно теряет энергию путем длинноволнового
излучения. Значительная часть излучения земной поверхности поглощается
атмосферой. Атмосфера в свою очередь излучает длинноволновую радиацию, часть
которой, направленная к земной поверхности, называется встречным излучением или
противоизлучением атмосферы. Поток встречного излучения атмосферы BA
представляет собой количество длинноволновой радиации, поступающей от атмосферы
к 1 см2 земной поверхности в единицу времени. Поскольку земная
поверхность не является абсолютно черным телом, то ею поглощается часть
поступившего потока, равная 
.
Разность между собственным излучением земной поверхности B0 и
поглощенной ею частью встречного излучения атмосферы называют эффективным
излучением земной поверхности. Обозначая эффективное излучение через B*,
имеем:

(11)
Температура
атмосферы, как правило, ниже температуры земной поверхности, поэтому в
большинстве случаев 
и,
следовательно, 
, т.е.
вследствие длинноволнового излучения земная поверхность почти всегда теряет
энергию. Лишь в редких случаях очень сильных инверсий температуры и высоких
значений влажности воздуха эффективное излучение может оказаться отрицательным 
.
Эффективное излучение оказывает большое влияние на температурный режим земной
поверхности, играет существенную роль в образовании радиационных заморозков и
туманов, при снеготаянии и пр. Эффективное излучение сильно зависит от
содержания водяного пара в атмосфере и наличия облачности. Тесную связь между B*
и упругостью водяного пара e вблизи поверхности земли характеризуют следующие
данные непосредственных измерений: e мм рт. ст. 4,5 8,0 11,3 B*
кал/см2*мин 0,19 0,17 0,15 Как видно, с увеличением e эффективное
излучение B* уменьшается. Объясняется это тем, что с ростом e
увеличивается встречное излучение атмосферы BA [4].
.3 Радиационный баланс земной поверхности и атмосферы
Приток
тепла в виде лучистой энергии является важнейшей составной частью общего
притока тепла, под влиянием которого изменяется термический режим атмосферы и
земной поверхности. Балансом лучистой энергии, или радиационным балансом тела
называется разность между поглощенной им радиацией и собственным излучением
тела. Радиационный баланс изменяется в зависимости от широты, времени года,
суток, погодных условия и т.д. Расчет баланса производят за различные промежутки
времени (минуты, сутки, месяцы, сезон, год и т.д.). Он может быть как
положительным, так и отрицательным. В среднем радиационный баланс в течение
суток положителен днем и отрицателен ночью. В течение года он положителен в
летние месяцы и отрицателен в зимние. Приходная часть радиационного баланса R
земной поверхности состоит из поглощающих частей прямой солнечной 
и
рассеянной
радиации, а также части излучения атмосферы 
.
Расходная часть R состоит лишь из излучения земной поверхности B0.
Таким образом,
или

(12)
где
r - альбедо и B* - эффективное излучение земной поверхности, i-поток
рассеянной радиации, (количество солнечной радиации, рассеянной в атмосфере,
поступающей на 1 см2 горизонтальной поверхности в минуту). Суточный
ход температуры воздуха обусловлен изменением притока тепла к земной
поверхности и атмосфере в течение суток. В дневные часы земная поверхность,
благодаря притоку солнечной радиации, нагревается, а ночью, под влиянием
излучения, охлаждается. В то же время непосредственное поглощение воздухом
коротковолновой солнечной радиации днем и собственное излучение ночью
сравнительно мало влияют на температуру воздуха. В результате этого возникает
теплообмен между земной поверхностью и атмосферой, который и служит причиной
суточных изменений температуры воздуха. Если бы тепло передавалось только
посредством молекулярного обмена, то суточные колебания температуры воздуха
распространялись бы лишь на очень тонкий слой, порядка несколько метров,
прилегающий к земной поверхности. Тогда почва и тонкий слой воздуха очень
сильно нагревались бы днем и охлаждались ночью. Однако в нижней тропосфере
основная роль принадлежит турбулентному обмену, под влиянием которого суточные
колебания температуры воздуха распространяется на слой высотой до 1 - 1,5 км.
Известно, что минимум температуры земной поверхности наступает незадолго до
восхода Солнца. С восходом Солнца быстро повышается температура земной
поверхности. Путем турбулентного обмена и радиационных процессов тепло от
земной поверхности передается воздуху. Часть тепла усваивается тонким слоем
воздуха, непосредственно прилегающим к земной поверхности. Остальная часть
распространяется в вышележащий элементарный слой, где также происходит его
частичное поглощение и т.д. Благодаря усвоению тепла температура воздуха после
восхода Солнца также начинает расти, но с некоторым запозданием по сравнению с
температурой земной поверхности; запаздывание тем больше, чем выше расположен
элементарный слой воздуха [5].
1.4 Уравнение теплового баланса земной поверхности
Рассмотрим
наряду с атмосферой и термический режим деятельного слоя Земли. Деятельным
слоем называют такой слой почвы или воды, температура которого испытывает
суточные и годовые колебания. Наблюдения показывают, что на суше суточные
колебания распространяются до глубины 1 - 2 м, годовые - на слой в несколько
десятков метров. В морях и океанах толщина деятельного слоя в десятки раз
больше, чем на суше. Связь тепловых режимов атмосферы и деятельного слоя Земли
осуществляется с помощью, так называемого уравнения теплового баланса земной
поверхности. Впервые это уравнение было привлечено в 1941 г. для построения
теории суточного хода температуры воздуха А.А. Дородницыным. В последующие годы
уравнение теплового баланса широко использовано многими исследователями для
изучения различных свойств приземного слоя атмосферы, вплоть до оценки тех
изменений, которые произойдут под влиянием активных воздействий, например на
ледяной покров Арктики [6]. Остановимся на выводе уравнения теплового баланса
земной поверхности. Солнечная радиация, поступившая к земной поверхности,
поглощается на суше в тонком слое, толщину которого обозначим через
(Рис. 1). Кроме потока солнечной радиации 
, земная
поверхность получает тепло в виде потока инфракрасной радиации от атмосферы 
, теряет
она тепло путем собственного излучения 
.
Рис.
1. Составляющие теплового баланса земной поверхности
В
почве каждый из этих потоков претерпевает изменение. Если в элементарном слое
толщиной 
(
-
глубина, отсчитываемая от поверхности в глубь почвы) поток Ф изменился на dФ,
то можно записать

(13)
где
a - коэффициент поглощения, 
-
плотность почвы. Интегрируя последнее соотношение в пределах от 
до 
,
получаем

(14)
Или

(15)
где

-
глубина, на которой поток убывает в е раз по сравнению с потоком Ф(0) при 
. Наряду
с радиацией перенос тепла осуществляется путем турбулентного обмена поверхности
почвы с атмосферой и молекулярного обмена с нижележащими слоями почвы. Под
влиянием турбулентного обмена почва теряет или получает количество тепла,
равное

(16)
Кроме
того с поверхности почвы происходит испарение воды (или конденсация водяного
пара), на которое затрачивается количество тепла

(17)
Молекулярный
поток через нижнюю границу слоя
записывается
в виде

(18)
где

-
коэффициент теплопроводности почвы, 
- ее
удельная теплоемкость, 
-
коэффициент молекулярной температуропроводности.
Под
влиянием притока тепла изменяется температура почвы, а так же при температурах,
близких к 0, плавится лед (или замерзает вода). На основе закона сохранения
энергии в вертикальном столбе почвы толщиной
можем
записать.

(19)
В
уравнении (19) первое слагаемое в левой части представляет собой количество
тепла, затрачиваемое на изменение теплосодержания
см3 почвы за единицу времени, второе
количество тепла, идущее на плавление льда (
). В
правой части все потоки тепла, которые входят через верхнюю и нижнюю границы в
слой почвы, взяты со знаком «+», а те, которые выходят из слоя, - со знаком
«-». Уравнение (19) и представляет собой уравнение теплового баланса для слоя
почвы толщиной
. В таком общем виде это уравнение представляет собой
ни что иное, как уравнение притока тепла, записанное для слоя конечной толщины.
Извлечь из него какие-либо дополнительные сведения (по сравнению с уравнением
притока тепла) о термическом режиме воздуха и почвы не представляется
возможным. Однако можно указать несколько частных случаев уравнения теплового
баланса, когда оно может быть использовано в качестве независимого от
дифференциальных уравнений граничного условия. В этом случае уравнение
теплового баланса позволяет определить неизвестную температуру земной
поверхности. Таким частным случаем будут следующие. На суше, не покрытой снегом
или льдом, величина
, как было уже указано, достаточно мала. В то же время
отношение
к каждой из величин 
, 
, 
, которые
имеют порядок длины пробега молекул, достаточно велико 
.
Вследствие этого уравнение для суши при отсутствии процессов плавления льда с
достаточной степенью точности можно записать в виде:

(20)
Сумма
первых трех слагаемых в равнении (20) есть не что иное, как радиационный баланс
R земной поверхности. Таким образом, уравнение теплового баланса поверхности
суши принимает вид:

: 
(21)
Уравнение
теплового баланса в форме (21) используется в качестве граничного условия при
исследовании термического режима атмосферы и почвы [7].
1.5 Температура земной поверхности, закономерности
распространения тепла вглубь почвы
В
уравнениях теплового баланса наряду с температурой воздуха входят температура
почвы или воды, удельная влажность воздуха и радиационный баланс земной
поверхности. Вследствие этого для получения замкнутого решения необходимо в
общем случае привлечь уравнения притока тепла в почве, турбулентной диффузии
водяного пара и переноса радиации в атмосфере. Однако здесь ограничимся
анализом случая, когда привлекается лишь уравнение притока тепла в почве.
Радиационный баланс земной поверхности будем считать известным, например из
измерений. Что касается влажности, то рассмотрим сильно увлаженную земную
поверхность, водяной пар вблизи которой находится в насыщенном состоянии.
Распространение тепла, поступившего к земной поверхности, в глубь почвы,
осуществляется путем молекулярного обмена. Поток тепла Qм на
произвольной глубине 
пропорционален
вертикальному градиенту температуры 
;

(22)
Коэффициент
пропорциональности 
в этом
соотношении носит название коэффициента теплопроводности почвы. Его величина
колеблется между 2*10-4 для торфа и 6,7*10-4 кал*см-1
сек-1*град-1 для одного из видов
песчаника. Теплопроводность твердых составных частей почвы, торфа, известняка,
мела, полевого шпата, песчаника примерно в 100 раз больше молекулярно
теплопроводности воздуха. Поэтому с увеличением пористости почвы
теплопроводность ее резко падает. При увлажнении почвы часть почвенного воздуха
замещается водой, теплопроводность которой примерно в 20 раз больше
теплопроводности воздуха, вследствие чего 
почвы
растет при увеличении ее влажности. Так как влажность и пористость почвы
изменяются с глубиной и во времени, то и коэффициент теплопроводности также
зависит от этих переменных. Однако достаточно полных данных об этой зависимости
к настоящему времени не получено [8]. Приводя такие же рассуждения, как и при
выводе уравнения турбулентной теплопроводности в воздухе, придем к следующему
уравнению теплопроводности или притока тепла в почве:

(23)
где

-
плотность почвы, с* - ее удельная теплоемкость, 
-
глубина, отсчитываемая по вертикали вниз от земной поверхности. Множитель 
,
представляющий собой объемную теплоемкость почвы, изменяется в достаточно
широких пределах в зависимости от влажности в пористости почвы. Средняя его
величина для всех видов почвы примерно одинакова и составляет около 0,5 кал*см-3*град-1.
Если почва с глубиной однородна и одинаково увлажнена, то коэффициенты 
и 
можно
считать не зависящими от глубины. В этом случае уравнение (23) принимает вид
известного уравнения Фурье

(24)
Здесь

-
коэффициент молекулярной температуропроводности почвы, имеющий такую же
размерность, как и коэффициент турбулентности 
.
Представляя температуру почвы на произвольной глубине в виде суммы

(25)
где

-
среднее суточное значение 
на
глубине 
; 
-
отклонение температуры от 
, для
неизвестного отклонения 
имеем
уравнение

(26)
Периодически
ограниченное на бесконечности решение этого уравнения имеет вид:
(27)
Аналогично
для 
:
(28)
где

, 
и


, 
- новые
постоянные интегрирования; 
Для их
определения используем два условия при 
: а)
равенство температур воздуха и почвы на земной поверхности

(29)
б)
уравнение теплового баланса (21). В общем случае радиационный баланс земной
поверхности, вошедший в правую часть уравнения (21), представляет собой
достаточно сложную функцию времени, особенно при наличии облачности. На любую
функцию можно представить в виде разложения в ряд по тригонометрическим
функциям

(30)
Однако
ограничимся анализом случая, когда радиационный баланс земной поверхности
является простой тригонометрической функцией времени. Можно обобщить
рассматриваемое решение на тот случай, когда R(t) представлено в виде ряда
(30), но тогда искомые функции 
и 
также
нужно представить в виде разложений в ряд по тригонометрическим функциям 
и 
[9].
Если в уравнении (21) каждую из неизвестных функций записать в виде суммы,
составленной из среднесуточного значения и отклонения от него, то оно
разделится на два уравнения. Уравнение для отклонений от среднесуточных
значений примет вид:

(31)
где

- 
-
отклонение удельной влажности от среднесуточной величины 
.
Займемся, прежде всего, производной 
. Здесь
возможны два крайних случая: очень сухой почвы, когда испарение практически
равно нулю 
, и
сильно увлажненной почвы. В последнем случае водяной пар вблизи z=0 находится в
насыщенном состоянии, т.е. 
.
Максимальная удельная влажность 
при
постоянном давлении (на фиксированном уровне изменение 
под
влиянием колебаний давления пренебрежимо мало) зависит только от температуры.
Вследствие этого

(32)
Соотношение
(32) записано на основе уравнения Клаузиуса - Клайперона. Множитель при
градиенте температуры можно считать постоянным в течение суток и при его
расчете полагать 
. С
учетом (32) уравнение теплового баланса увлажненной поверхности принимает вид:

(33)
Переходя
к определению постоянных интегрирования и температуры земной поверхности,
ограничимся рассмотрением решения, полученного при постоянном коэффициенте
турбулентности k=const. Полагая 
в (27) и

в
формуле (28), на основании граничного условия (29) будем иметь:
Так
как это равенство должно выполняться для любого момента времени, то, полагая в нем
сначала 
, а затем
,
получим:

; 
(34)
Если
теперь продифференцировать по 
формулу
(27) и по z формулу (28), в полученных выражениях положить 
и 
, то
найдем:
Вставляя
эти значения производных в уравнение баланса (33) и полагая в нем сначала 
, а затем

, придем,
с учетом (34), к следующей системе для определения постоянных:
Отсюда
где
После
подстановки найденных значений постоянных в (28) получим:
Этому
решению можно придать также следующий вид:
(35)
Аналогичную
формулу после подстановки постоянных 
и 

в (27)
получим и для 
:

(36)
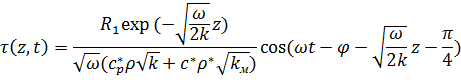
Температура
земной поверхности 
равна:

(37)
Далее
предполагая, что это уравнение можно рассматривать, как решение (24) с внешним
возбуждением описываемым (30), и учитывая, что оно зависит от суточной
амплитуды радиационного баланса, уравнение примет вид:


(38)
Амплитуда
суточного хода температуры земной поверхности, как следует из (37), растет с
ростом амплитуды колебаний радиационного баланса и уменьшается при увеличении
коэффициента турбулентности k и температуропроводности почвы kм, а
также объемной теплоемкости почвы 
, з-
собственное число. Увлажнение почвы существенно уменьшает амплитуду суточного
хода температуры земной поверхности, а вместе с этим и амплитуду суточных
колебаний температуры воздуха на всех высотах. Это следует из того, что переход
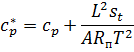
от сухой почвы, испарение с которой близко к нулю, к сильно увлаженной связан с
заменой cp на своеобразную эквивалентную удельную теплоемкость cp*.
Последняя при высоких температурах существенно больше cp. Так, при
t=20o cp*=3,25cp. Максимум
температуры при z=0 как показывает (38), наступает на 3 часа позже
радиационного баланса 
; 
отсюда 
, где 
и 
-
моменты времени, соответствующие наступлению максимумов R и 
соответственно.
Точно такие же закономерности справедливы и для распространения тепловых волн в
почву, поскольку структура формулы (36), на основе которой они устанавливаются,
совпадает со структурой формулы (35). Но между воздухом и почвой наблюдается
существенное различие с количественной стороны. Так, глубина, на которой
амплитуда суточного хода убывает (по сравнению с 
) в 100
раз, составляет в почве всего лишь несколько десятков сантиметров: 
при 
[10].
1.6 Пожарная опасность леса
В ходе исследования суточной динамики температур фоновых образований была
выявлена дополнительная актуальность задачи в определении пожарной опасности
леса ПО. Для этого в таблицы ввели дополнительную величину ДT.
Расчет пожарной опасности в лесах по условиям погоды производится по
формуле

,
где
Тв - температура воздуха в 15 часов дня, Тт.р. - точка
росы 15 часов дня, 
-
коэффициент поправок на осадки (учитывается сумма осадков за предыдущие 24
часа). Температура Тв -является термодинамической, а стационарный
радиометр и спутниковый радиометр измеряет яркостную температуру Тя,
но так как расстояние между стационарным радиометром и исследуемой поверхностью
мало, порядка 1,5 метра, с достаточной степенью вероятности яркостную
температуру можно считать равной термодинамической. Температуру
воздуха Тв можно рассчитать по формуле, 
. Зная ДT
для различных видов фоновых образований можно посчитать пожарную опасность
исследуемой территории. Коэффициент поправок на осадки 
равен 0
при отсутствии осадков и равен 1, если сумма осадков превышает 3 мм.
Оценка
пожарной опасности в лесах по условиям погоды производится по таблице 1:
Таблица
1
Классы
пожарной опасности в лесах по условиям погоды
|
Класс пожарной опасности
|
Величина показателя пожарной опасности (ПО),в С
|
Степень пожарной опасности
|
|
1
|
1-300
|
Очень малая
|
|
2
|
301-1000
|
Малая
|
|
3
|
1001-4000
|
Средняя
|
|
4
|
4001-12000
|
Высокая
|
|
5
|
>12000
|
Чрезвычайная
|
Шкала классов пожарной опасности составлена на основе учета диапазона
колебаний значений комплексного показателя и степени пожарной опасности в
лесах. Показатель пожарной опасности может меняться от одного до нескольких
тысяч градусов, а в период устойчивой и жаркой погоды его значение превышает
12000°С. В зависимости от класса пожарной опасности в лесах по условиям погоды
устанавливается стратегия по утверждению возникновения лесных пожаров и их
тушению. Например, сосредоточить средства по охране лесов от пожаров на
территории с высокой пожарной опасностью [11].
2. Методика эксперимента
Целью данной дипломной работы является выявление суточной и сезонной
динамики температур фоновых образований. Рассмотреть влияние радиационного
баланса на температуру подстилающей поверхности. Были поставлены следующие
задачи:
ü выявить зависимости температуры поверхности от радиационного
баланса Земли
ü измерить динамику температур поверхности асфальта, луга,
почвы и сопоставить с температурой воздуха
ü выявить зависимость пожарной опасности от температуры
поверхности
ü провести
анализ полученных результатов 
Для решения поставленной задачи было принято решение идеализировать
снимаемые данные и не учитывать вносящие поправки в расчеты природные явления,
такие как ветер, аэрозоли, дождь и прочие. Решение проблемы учета поправок и
увеличение точности измерений будет дальнейшей задачей этой работы, а так же
применение наработок к полученным снимкам из космоса и расчета по ним хода температур
и идентификации поверхностей.
. Для снятия данных было найдено несколько мест, с поправкой на то, чтобы
избежать падения теней в течение дня. Тени мешают попаданию прямой солнечной
радиации на поверхность, что приводит к возникновению больших погрешностей и не
соответствию экспериментальных данных с теорией. После этого с периодичностью в
час, два делались замеры несколькими способами: контактным (термометр) и
бесконтактным (радиометр FLIR InfraCam) [Прил. 1], что дало представление о
динамике температуры поверхности.
. Далее полученные зависимости сравниваются с фактической температурой
воздуха на момент измерения.
. Для сравнения полученных экспериментальных данных с теоретическими
данными. По формуле (38) в пакете Maple обрабатываются теоретические данные и
строятся зависимости [Прил. 2]:
Использование программы Maple, обоснованно простотой ввода и быстрого
редактирования кода.
. Проведён анализ полученных результатов: сравнение экспериментальных
данных с теоретическими данными.
.1 Выбор территорий для снятия данных
Для снятия данных было выбрано 3 места, различных по своим
характеристикам (Рис. 2, Рис. 3, Рис. 4):
Рис.2. Луг - место хорошо освещается, тень в течение дня не падает
Рис. 3. Почва - место хорошо освещается, тень в течение дня не падает
Рис. 4. Асфальт - место хорошо освещается, тень в течение дня не падает
Снятие температуры поверхности асфальта термометром представляло собой
самостоятельную задачу учета термоконтактного сопротивления, в итоге найдено
место с трещиной, в которой было удобно снимать данные. Данные были очень схожи
с показаниями радиометра и термопары, термопара использовалась для сравнения и
ее показания совпадали с измерениями других приборов, поэтому в таблицу ее
показания не вошли.
.2 Получение полученных зависимостей с фактической температурой воздуха
на момент измерения
Результаты измерений температуры поверхностей проводились контактным
(термометр) и бесконтактным (радиометр FLIR InfraCam), занесены в таблицы
(2-5).
Таблица 2
Суточный ход температуры поверхностей за 25-е Мая
|
Термометр
|
Радиометр
|
|
|
Время\Температура, 0С
|
Асфальта
|
Луга
|
Почвы
|
Асфальта
|
Луга
|
Почвы
|
Воздуха
|
ДT
|
|
2,00
|
9,5
|
10
|
9,5
|
9
|
9,8
|
9,4
|
6
|
3
|
|
5,00
|
6
|
7
|
6
|
6,1
|
7,3
|
5,8
|
4
|
2,1
|
|
8,00
|
9
|
10
|
9
|
9,4
|
10,1
|
9
|
7
|
2,4
|
|
11,00
|
15
|
13
|
14,5
|
15,7
|
13
|
14,5
|
11
|
4,7
|
|
12,00
|
20
|
14,5
|
20
|
20,2
|
14,5
|
20
|
13
|
7,2
|
|
13,00
|
23,5
|
17,5
|
22
|
23,5
|
17,5
|
22
|
15
|
8,5
|
|
14,00
|
26
|
18
|
26
|
26,3
|
18
|
26,1
|
16
|
10,3
|
|
17,00
|
28
|
18,5
|
27
|
28,5
|
18,5
|
27,4
|
18
|
10,5
|
|
18,00
|
31
|
19
|
28
|
31,3
|
19
|
28,8
|
17
|
14,3
|
|
19,00
|
25
|
17
|
22
|
25,2
|
17
|
22
|
16
|
9,2
|
|
20,00
|
19
|
14,5
|
17
|
19
|
14,4
|
17,5
|
15
|
4
|
|
23,00
|
12
|
10
|
11
|
12,3
|
10
|
11
|
12
|
0,3
|
Таблица 3
Суточный ход температуры поверхностей за 16-е Июля
|
Термометр
|
Радиометр
|
|
|
Время\Температура 0С
|
Асфальта
|
Луга
|
Почвы
|
Асфальта
|
Луга
|
Почвы
|
Воздуха
|
ДT
|
|
2,00
|
19
|
18
|
18,5
|
19
|
18
|
18,3
|
18
|
1
|
|
5,00
|
15
|
14
|
15
|
15
|
14,4
|
15
|
15
|
0
|
|
8,00
|
21
|
19
|
20
|
21
|
19
|
20
|
18
|
3
|
|
11,00
|
34
|
30
|
33
|
34
|
33
|
29
|
5
|
|
12,00
|
36
|
31,5
|
34
|
36
|
31,5
|
34
|
31
|
5
|
|
13,00
|
38
|
32
|
36
|
38
|
32
|
36
|
31
|
7
|
|
14,00
|
43
|
33
|
40
|
43,6
|
33
|
40
|
32
|
11,6
|
|
17,00
|
47
|
33
|
43
|
47
|
33
|
43,2
|
31
|
16
|
|
18,00
|
46
|
32
|
41
|
46
|
32
|
41
|
30
|
16
|
|
19,00
|
40
|
29,5
|
38
|
40,1
|
29
|
38
|
29
|
11,1
|
|
20,00
|
34
|
26
|
32
|
34
|
26
|
32,3
|
26
|
8
|
|
23,00
|
17,5
|
16
|
17
|
17,5
|
16
|
17
|
17
|
0,5
|
Таблица 4
Суточный ход температуры поверхностей за 22-е Августа
|
Термометр
|
Радиометр
|
|
|
Время\ Температура 0С
|
Асфальта
|
Луга
|
Почвы
|
Асфальта
|
Луга
|
Почвы
|
Воздуха
|
ДT
|
|
2,00
|
14
|
11
|
12
|
13,4
|
11
|
12
|
12
|
1,4
|
|
5,00
|
11
|
11
|
11
|
11
|
10,7
|
11
|
12
|
-1
|
|
8,00
|
15
|
12
|
14
|
15
|
12
|
14
|
13
|
2
|
|
11,00
|
30
|
22
|
29
|
30
|
22
|
29
|
24
|
6
|
|
12,00
|
41
|
29
|
38
|
41
|
29,3
|
38
|
27
|
14
|
|
13,00
|
45
|
30
|
40
|
45
|
30
|
40
|
30
|
15
|
|
14,00
|
47
|
31
|
43
|
47,6
|
31
|
43,4
|
32
|
15,6
|
|
17,00
|
49
|
35
|
45
|
49
|
35
|
45
|
34
|
15
|
|
18,00
|
43
|
31
|
40
|
43
|
31
|
40,2
|
30
|
13
|
|
19,00
|
35
|
29
|
33
|
35,1
|
29
|
33
|
28
|
7,1
|
|
20,00
|
30
|
26
|
28
|
30
|
26
|
28,3
|
26
|
4
|
|
23,00
|
21
|
19
|
21
|
21
|
19
|
21
|
19
|
2
|
Таблица 5
Суточный ход температуры поверхностей за 26-е Сентября
|
Термометр
|
Радиометр
|
|
|
Время\Температура 0С
|
Асфальта
|
Луга
|
Почвы
|
Асфальта
|
Луга
|
Почвы
|
Воздуха
|
ДT
|
|
2,00
|
-2
|
-1
|
-1
|
-1,8
|
-1
|
-1
|
-3
|
1,2
|
|
5,00
|
-3
|
-2
|
-2
|
-3
|
-1,7
|
-2
|
-4
|
1
|
|
8,00
|
-2
|
-2
|
-2
|
-2
|
-1,6
|
-2
|
-4
|
2
|
|
11,00
|
6
|
0
|
2
|
6
|
0,2
|
2
|
4
|
2
|
|
12,00
|
9
|
3,5
|
6
|
9
|
4
|
5,7
|
7
|
2
|
|
13,00
|
12
|
6
|
8
|
12,4
|
6
|
8
|
9
|
3,4
|
|
14,00
|
15
|
8
|
13
|
15
|
8
|
12,4
|
11
|
4
|
|
17,00
|
17
|
10,5
|
15
|
17
|
10,2
|
15
|
13
|
4
|
|
18,00
|
16
|
10
|
14
|
15,6
|
10
|
14
|
11
|
4,6
|
|
19,00
|
12
|
9
|
10,5
|
12
|
9
|
10
|
8
|
4
|
|
20,00
|
7
|
7,5
|
7
|
7
|
7,4
|
7
|
4
|
3
|
|
23,00
|
4
|
5
|
4
|
4
|
4,6
|
4
|
2
|
2
|
Рис. 5. Суточный ход температуры поверхностей за 25-е Мая
Рис. 6. Суточный ход температуры поверхностей за 16-е Июля
Рис. 7. Суточный ход температуры поверхностей за 22-е Августа
Рис. 8. Суточный ход температуры поверхностей за 26-е Сентября
Как видно из графиков (Рис. 5, Рис. 6, Рис. 7, Рис. 8) температура
воздуха в дневное время существенно ниже температуры поверхности. Но уже ближе
к середине ночи температуры поверхностей выравниваются, за счет собственного
излучения в атмосферу, без прихода потока солнечной радиации и потока
инфракрасной радиации от атмосферы. Исключение начинается в сентябре месяце,
когда температура воздуха немного ниже в ночное время, чем температура
поверхностей. Это следствие того, что нагретая днем поверхность не успевает
остывать и падать до температуры воздуха, которая принимает отрицательные
значения.
Максисумы температуры наступают приблизительно в 5 часов дня, а минимум
температуры наблюдается перед восходом солнца, в районе 5 часов ночи. Максимымы
температуры могут смещаться на плюс минус час относительно 5 часов дня, на это
могут повлиять набежавшие облака, смог и другие факторы, но в целом в конце
весны, летом и начале осени пик максимума приходится на 5 часов дня.
Так же из максимумов температуры воздуха и ДT можно сделать вывод, что замеры, которые
производятся для ПО в районе 15 часов не совсем точны. Потому что, температура
воздуха, как и разница между нагретой поверхностью и температурой воздуха в
жаркий безоблачный день продолжают увеличиваться до 5 часов дня. Это говорит о
том, что показатель пожарной опасности в такие дни будет иметь большую
величину, а значит, что суммарный показатель пожарной опасности увеличится. Тем
самым следует принять во внимание и внести поправки во время замера показателя
пожарной опасности в жаркие дни. Такая поправка на время поможет заранее
предсказать возгорание и более детально составить карту классов пожарной
опасности в лесах.
2.3 Сравнение полученных экспериментальных данных с теоретическими
данными
Рис. 9. Суточный ход температуры поверхности асфальта за 25-е Мая
(1-практический, 2-теоретический)
Для сравнения полученных экспериментальных данных с теоретическими
данными, по формуле (38) в пакете Maple обрабатываются теоретические данные, и
на выходе получаем график зависимости температуры от радиационного баланса
земной поверхности.
Рис. 10. Суточный ход температуры поверхности асфальта за 16-е Июля
(1-практический, 2-теоретический)
Рис. 11. Суточный ход температуры поверхности асфальта за 22-е Августа
(1-практический, 2-теоретический)
Рис. 12. Суточный ход температуры поверхности асфальта за 26-е Сентября
(1-практический, 2-теоретический)
Рис. 13. Суточный ход суммарной радиации
На рисунках (Рис. 10, Рис. 11, Рис. 12) можно видеть практически полное
совпадение с теоретическим графиком суточного хода температуры, за исключением
выбившегося максимума на (Рис. 9). Это обусловлено тем, что до 2-х часов дня
небо было затянуто тучами и дул ветер, что мешало поступлению прямой солнечной
радиации на исследуемую поверхность. После 2-х часов дня небо стало постепенно
яснеть и к 3-4 часам полностью прояснилось, максимум температуры пришелся на 6
часов дня.
Так же из графиков можно четко увидеть тепловую инерцию исследуемых
поверхностей. Тепловая инерция заставляет сдвинуться максимумы температур по
времени, ближе к вечернему. А именно фазовый сдвиг в идеальном случае
составляет порядка 3-х часов от наступления максимума радиационного баланса
(Рис 13.)
Сезонные изменения характеризуются тем, что в весенний и осенний период
еще много облаков, которые влияют на радиационный баланс. А в летний период
максимальная высота стояния 22 июня и поверхность нагревается сильнее.
Установлено, что меньшее отклонение температуры воздуха от температуры
поверхности в осенний и весенний период. Наиболее крутое отклонение,
наблюдается летом, например, в результате радиационного нагрева в условиях
длительного антициклона. Антициклон образует зону «купол» и все облака обтекают
его из-за зоны повышенного давления. Что вызывает сильный нагрев поверхности,
вплоть до 50 градусов.
Выводы
) Проведен теоретический расчет температуры поверхности различных
фоновых образований, на основе радиационного баланса Земли.
) Двумя способами контактным и бесконтактным исследована суточная
и сезонная динамика температур поверхностей (асфальта, луга, почвы), при этом
дневные температуры поверхностей систематически превышают температуры воздуха
не более чем на 35%, что позволяет сформировать поправки для расчета индекса
пожарной опасности.
) По данным измерений следует, что расчет пожарной опасности нужно
делать с поправкой на время достижения максимума температуры поверхности, что
позволит составлять карты пожарной опасности по классам возгорания более
детально.
) Установлено, что из-за тепловой инерции появляется фазовый сдвиг
максимума температуры от максимума радиационного баланса и составляет почти 3
часа для всех исследованных фоновых образований, что и подтверждает
эксперимент.
Список литературы
1. Матвеев, Л.Т. Основы обшей метеорологии: Физика
атмосферы:
Учебное пособие [Текст] / Л.Т. Матвеев. - Ленинград. - 1965.
- 858с.
. Кашкин В.Б., Сухинин А.И. Дистанционное зондирование
земли из космоса. Цифровая обработка изображений: Учебное пособие [текст]/ В.Б.
Кашкин, А.И. Сухинин - М.: Логос. -2001. - 264с.
. Кондратьев, К.Я. Солнечная постоянная и климат
[Текст] / К.Я. Кондратьев. - Л.: Гидрометиздат. - 1982. - 421с.
. Марчук, Г.И. Моделирование изменений климата и
проблема долгосрочного прогноза погоды [Текст] / Г.И. Марчук. - Л.: ЛГУ. -
1979. - 346с.
. Тимерев, А.А. Суммарная радиация и альбедо по
наблюдениям с самолета в Арктике в 1963 [Текст] / А.А. Тимерев. - М.: ААНИИ. -
1965. Т. 273 - 235с.
. Винников, К.Я. К вопросу об интерпретации
результатов измерений уходящего излучения радиометрами с неограниченным полем
зреня на метеорологических спутниках Земли [Текст] / К.Я. Винников. - Л.:
Гидрометиздат. - 1968. - 196с.
. Будыко, М.И. Современные проблемы метеорологии
приземного слоя воздуха [Текст] / М.И. Будыко. - Л.: Гидрометиздат. - 1968. -
512с.
. Обухова, А.М. Статистические методы в метеорологии
[Текст] / А.М. Кондратьев. - Л.: «Прогресс». - 1964. - 371с.
. Бызова, Н.Л. Исследование нижнего 300-метрового слоя
атмосферы [Текст] / Н.Л. Бызова. - М.: АН СССР. - 1963. - 243с.
. Пономарев Е.И., Сухинин А.И. Пространственная оценка
пожарной опасности в лесу по условиям погоды // Деп. в ВИНИТИ, 1997, №1620-В97.
- 37 с.
Приложение 1
Радиометр (тепловизр) FLIR InfraCam
Прибор InfraCAM представляет собой удобную использовании тепловизионную
камеру:
- предоставляет измерить температуру объекта бесконтактным способом и
увидеть его тепловое изображение на большом цветном 3,5« ЖК-дисплее. Сохраняет
в памяти до 50 изображений в удобном формате JPEG, которые можно легко передать
на персональный компьютер.
Технические характеристики:
Формирование изображения
· Зона обзора: 25° x 25°
· Минимальное фокусное расстояние: 0,3 м
· Частота обновления изображения: 9 Гц с прогрессивной
разверткой
· Фокусировка: Ручная
· Тип датчика: Матрица в фокальной плоскости (FPA),
неохлаждаемый микроболометр 120 x 120 пикселей
· Спектральный диапазон: от 7,5 до 13 мкм
Представление изображения
· Цветной ЖК дисплей: 3,5« (8,9 см) по диагонали, 16000 цветов
Измерения
· Диапазон измеряемых температур: От -10 °C до +350 °C
· Чувствительность: 0,12 °С
· Режим измерения: Фиксированная точка в середине изображения
· Средства управления в меню: Цветовая гамма (цветное или
черно-белое изображение), авторегулировка (автоматическая/ручная)
· Настройки: Установка даты/времени, языка, режима выключения
питания, яркости дисплея
Физические характеристики
· Масса: 550 г
· Размеры (Д x Ш x В): 243 мм x 81 мм x 103 мм
Приложение 2
Код
Текст кода для расчета суточного хода температуры измеряемой поверхности:
>
restart;:=(R0/(km*Nu)+R(t)/(sqrt(w)*(Cp*p*sqrt(k)+0.5*sqrt(km)))*(cos(w*t-fii-Pi/4)));
R1:= 1; := 0.7; := 0.26;:= 0.24; := 1.256;:= 0.15; := 0.5;:=
9.8; :=
0.1;(t):=(R0+R1*cos(w*t-fii))*0.5;:=R0/(km*Nu)+(R1/(sqrt(w)*(Cp*p*sqrt(k)+0.5*sqrt(km)))*(cos(w*t-fii-Pi/4)));
exper:=[[0,12.5],[3,11],[5,10],[10,13],[11,15],[12,16],[15,18],[17,18],[18,19],[20,16],[22,14]];
([Temp(t),exper],t=0..24,title="Суточный ход температуры почвы");
plot(R(t),t=0..24,title="суточный ход радиационного баланса");