Характеристика климатических ресурсов г. Брянска и Брянской области
Содержание
Введение
. Теоретическая часть.
Характеристика климатических ресурсов г. Брянска и Брянской области
.1 Солнечная радиации
.2 Атмосферная циркуляция
.3 Температурный режим
.4 Режим атмосферных осадков
.5 Ветровой режим
. Расчетная часть
.1 Определение вероятности выпадения
осадков
.2 Определение гидрологических
характеристик реки
.3 Изменение температуры и давления
с высотой
.4 Расчет показателей радиационного
и теплового баланса
Заключение
Список использованных источников
Введение
Целью является овладение основными общими
закономерностями метеорологических и гидрологических процессов, изучение
процессов формирования и изменения климата, получение навыков метеорологических
наблюдений и прогнозов, знакомство со способами определения расчетных характеристик
годового стока и его расположения по месяцам, моделирования и прогнозирования
почвенных процессов, а также знакомство с функционированием, продуктивностью,
устойчивостью различных типов ландшафтов.
Первый Атлас теплового баланса, подготовленный
сотрудниками Главной геофизической обсерватории им. А.И. Воейкова, был издан в
1955 г. Этот Атлас включал 66 мировых карт, дающих общее представление о
распределении членов теплового баланса земной поверхности. Точность и
детальность карт этого атласа ограничивались недостаточным объемом имевшихся
метеорологических наблюдений для ряда районов земного шара.
За последнее время требования к материалам о
режиме лучистой энергии Солнца значительно возросли. В настоящее время
суммарную солнечную радиацию регистрируют свыше 700 станций. Однако данных
наблюдений актинометрической сети для построения детальных карт радиации пока
еще недостаточно. Поэтому при построении карт, наряду с данными наблюдений,
использовались величины суммарной радиации, найденные расчетным методом.
Для построения карт радиационного баланса
подстилающей поверхности использовался расчетный метод, который позволяет
определить составляющие радиационного баланса по основным метеорологическим
элементам (облачности, температуре и влажности воздуха, характеристикам
снежного покрова и др.), измеряемыми на сети метеорологических станций во всех
странах.
1.
Теоретическая часть. Характеристика климатических ресурсов г. Брянска и
Брянской области
.1
Солнечная радиация
Солнечная радиация, поступающая на земную
поверхность, является одним из основных климатообразующих факторов.
Средняя продолжительность солнечного сияния за
год в Брянской области составляет 1776 ч. В отдельные годы продолжительность
солнечного сияния может заметно отличаться от средней многолетней величины.
В годовом ходе максимум продолжительности
солнечного сияния приходится на лето, минимум на зиму.
Продолжительность солнечного сияния зависит от
облачности, поэтому иногда ее упорядоченный годовой ход нарушается.
Основным климатообразующим фактором является
солнечная радиация. От угла падения солнечных лучей на земную поверхность
зависит степень нагревания ее и продолжительность дня и ночи.
В полдень самого продолжительного дня - 22 июня
- солнце стоит высоко над горизонтом. Поверхность земли в этот день получает
тепла больше, чем отдает.
Иное дело зимой. 22 декабря солнце стоит так
низко, что его лучи касаются земли почти полого. Земля даже в полдень отдает
тепла больше, чем получает.
Получение земной поверхностью тепла от солнца
заметно снижается в период значительной облачности, а также сильного отражения
солнечных лучей снежным покровом (особенно в марте, когда солнце уже довольно
высоко поднимается над горизонтом).
Облачность не только загораживает от нас солнце.
Зимой и летом (ночами) она задерживает излучаемое землей тепло, снижает ее
охлаждение. Вот почему весной в облачную погоду не бывает заморозков, а зимой
наиболее сильные морозы связаны с ясным безоблачным небом.
1.2
Атмосферная циркуляция
Помимо солнечной радиации, на климатические
условия территории существенное влияние оказывает режим воздушных масс, резко
меняющийся по сезонам года.
В зимний период в пределах Брянской области
господствующей воздушной массой является континентальный воздух умеренных
широт, повторяемость которого в этот сезон года для области составляет около
70%. С континентальным воздухом умеренных широт связана облачная умеренно
морозная погода, со среднесуточной температурой -9...-10°С, без осадков и с
небольшими по силе ветрами.
Морской воздух умеренных широт приносится зимой
западными и юго-западными циклонами. С приходом циклонов наступают потепления,
доходящие до оттепелей, выпадают осадки, возрастает облачность, усиливаются
ветры.
Третьей воздушной массой, заходящей в пределы
территории области в зимнее время, является арктический воздух. С вторжением
арктического воздуха устанавливается, обычно, ясная, тихая, безоблачная и
морозная погода.
В летний период преобладающей воздушной массой
остается континентальный воздух умеренных широт. Повторяемость морского воздуха
умеренных широт сокращается.
В летний период возможны также вторжения
арктического и тропического воздуха. Арктический воздух в летнее время, быстро
трансформируясь в континентальный умеренных широт, не приносит значительных
похолоданий. С приходом тропического воздуха обычно устанавливается жаркая и
сухая погода.
В переходные сезоны года ослабевает
циклоническая деятельность, и создаются предпосылки для межширотного обмена
воздушных масс.
1.3
Температурный режим
Термический режим Брянской области формируется
под влиянием атмосферной циркуляции, радиационных факторов и
физико-географических условий (рельеф, тип почвы, растительность и др.). В
зимний период основную роль в формировании термического режима играют
циркуляция атмосферы и связанная с ней адвекция воздуха, а также радиационное
выхолаживание. Летом на термический режим, кроме радиационных и циркуляционных
факторов, большое влияние оказывает подстилающая поверхность.
Температура воздуха является одним из наиболее
важных элементов климата.
Годовая температура воздуха в Брянской области
положительная и составляет в среднем 4,6°С. Самым холодным месяцем года
является январь. Температура воздуха этого месяца по области колеблется от -8,9
до -10,ГС. Самые низкие температуры отмечены в январе 1940 г. (-42...-48°С). В
пониженных или защищенных от ветра местах абсолютный минимум достигал
-48...-52°С.
Самый теплый месяц года - июль. Средняя месячная
температура воздуха в июле по территории области изменяется незначительно, от
+17,8 до +18,2°С. В отдельные годы в жаркие дни максимальная температура
воздуха достигала +36...+39°С.
В течение года температура воздуха от месяца к
месяцу изменяется неравномерно: наиболее резко - весной и осенью, летом и зимой
изменчивость температуры воздуха невелика.
На территории Брянской области так же, как и в
большинстве регионов России, в последнее двадцатилетие наблюдается потепление
климата, которое особенно отчетливо проявляется в повышении среднемесячных
температур воздуха в зимний период. Весной и осенью для климата Брянской
области характерны заморозки, т.е. понижение температуры воздуха до 0°С и ниже
при установившемся режиме положительной температуры. Обычно заморозки
образуются ночью или в ранние утренние часы при тихой и ясной погоде. Однако
они могут наблюдаться и в другое время суток при общем похолодании.
Весной, по средним многолетним данным, заморозки
заканчиваются 8-14 мая. Первые осенние заморозки в среднем по области
отмечаются 21-28 сентября.
Часть года, в течение которой заморозки не
наблюдаются, называется безморозным периодом. Средняя продолжительность
безморозного периода на территории Брянской области составляет 130-142 дня.
Наибольшая продолжительность безморозного
периода в Брянске наблюдалась в 1938 г. (183 дня). Это был год, когда летом отмечались
самые высокие температуры воздуха за рассматриваемый период. Наименьший
безморозный период (79 дней) наблюдался в холодное и влажное лето 1975 г.
1.4
Режим атмосферных осадков
В климате Брянской области отчетливо выражены
четыре времени года: весна, лето, осень и зима. Брянская область лежит в
западной части Русской равнины, занимая среднюю часть бассейна Десны и лесистый
водораздел между нею и Окой.
По количеству выпадающих осадков Брянская
область относится к зоне достаточного увлажнения.
Погода в Брянске и Брянской области считается
наиболее благоприятной. Умеренно-континентальный климат дарит теплое лето с
мягкой и снежной зимой.
Пространственное и временное распределение
осадков по территории области отличается значительной неравномерностью и
зависит от циркуляционных факторов и местных особенностей. Большое влияние на
распределение осадков оказывают: высота места, форма рельефа, наличие лесных
массивов, водоемов и речных долин.
Зимняя погода в Брянске отличается средней
температурой -8 -10⁰С, а летняя 19-21⁰С.
Ежегодно метеорологи фиксируют около 600 мм осадков. Если сравнивать с климатом
в Москве, Брянск находится южнее и поэтому средняя температура в Брянске на 2-3⁰С
выше.
В полдень самого продолжительного дня - 21 июня
- солнце стоит высоко над горизонтом. Поверхность земли в этот день принимает
тепла больше, чем отдает. Зимой все обстоит иначе. 22 декабря солнце стоит
низко и его лучи касаются земли вскользь. В полдень отдает тепла больше, чем
принимает.
Если бы погода в Брянске зависела только от
количества тепла от солнца, то лето было бы более жарким, а зима более
холодной. Зимой не было бы оттепелей, весной - засухи.
Брянская область расположена вблизи основных
путей перемещения циклонов и антициклонов над Европейской территорией Российской
Федерации. Чередующаяся смена волн теплого и холодного воздуха (особенно
заметная в мае) создает неустойчивую погоду в Брянске, вызывает грозовые дожди
летом, кратковременные оттепели зимой.
Весна начинается с того времени, когда
среднесуточная температура воздуха становится выше 5°С. Такая температура
наступает обычно около 8-15 апреля. Однако первые признаки весны бывают заметны
уже в марте. Чувствуется весна и в ярком солнце, и в серебряном перезвоне
капели, и в набухающих почках.
Но и в мае еще приходится опасаться заморозков.
Они могут наступить внезапно. Важно вовремя защитить от них огородные культуры
и цветущие сады. Для этого раскладывают под утро костры, пускают дымовые
шашки-дым предохраняет поверхность почвы и кроны деревьев от резкого охлаждения
на утренней заре. Безоблачное на закате небо, сухой прозрачный воздух,
отсутствие ветра и резкое к ночи снижение температуры воздуха-самые верные
признаки заморозков.
За год в среднем в Брянской области выпадает
650-700 мм осадков.
В годовом ходе месячных сумм осадков максимум
наблюдается в июле, минимум в феврале и марте.
В зависимости от вида атмосферных осадков год
принято условно делить на два периода: период с преимущественным выпадением
твердых осадков, считающийся холодным (ноябрь-март), и период с преобладанием
жидких осадков, считающийся теплым (апрель-октябрь).
Максимальное количество твердых осадков
приходится на декабрь и январь, жидких - на июль, а смешанных - на ноябрь. В
период с мая по сентябрь твердые и смешанные осадки практически не выпадают.
Снежный покров. Первый снег в Брянской области
появляется обычно в начале ноября, но сохраняется недолго. Между появлением
первого снега и образованием устойчивого снежного покрова проходит в среднем
20-30 дней. Образование устойчивого снежного покрова начинается на севере
области 28 ноября и заканчивается на юге 7 декабря. В зависимости от условий
погоды устойчивый снежный покров может образоваться на месяц раньше многолетних
средних сроков - в первой декаде ноября, и на месяц позже - в первой декаде
января.
С момента образования устойчивого снежного
покрова высота его постоянно увеличивается. В третьей декаде ноября высота
снежного покрова составляет 2-6 см, в дальнейшем - повышается от декады к
декаде довольно равномерно, на 2-4 см. В конце февраля отмечается максимальная
высота снежного покрова от 19 см на юге до 33 см на севере области. Высота
снежного покрова, зависит от характера зимы. В отдельные многоснежные годы
снежный покров может достигать высоты 50 см на юге и 70 см на севере области, а
в малоснежные зимы - не превышать 5 см.
По средним многолетним данным, уже с первой
половины марта начинается таяние и уплотнение снега, уменьшается его высота.
Разрушение устойчивого снежного покрова происходит 29 марта на юге области и 6
апреля в ее северных районах. Как правило, в течение 10 дней после разрушения
устойчивого снежного покрова по территории всей области отмечается сход снега.
Число дней со снежным покровом в Брянской
области - 130-145.
1.5
Ветровой режим
Основным фактором, определяющим режим ветра на
территории Брянской области, является западный перенос, обусловленный общей
циркуляцией атмосферы.
В среднем, в Брянске большую часть года
наблюдается южный и юго-западный ветер.
Средняя годовая скорость ветра - 3,5 м/с.
Наибольшая средняя месячная скорость ветра
наблюдается в декабре (4,1 м/с), наименьшая - в августе (2,6 м/с). В целом
можно отметить, что обычно летом скорость ветра понижается, осенью
увеличивается и в холодный период достигает максимума. Средняя скорость ветра
невелика, однако максимальная скорость при порывах может достигать 32 м/с.
Особенности ветрового режима можно проследить по
данным о повторяемости скорости ветра по градациям. В течение года в Брянске
преобладает слабый ветер (до 5 м/с), повторяемость которого составляет летом
80-90%, зимой 60-65%. С увеличением скорости ветра резко уменьшается его
повторяемость.
Ветер скоростью 15 м/с и более принято называть
сильным. В среднем за год отмечается до 10 дней с сильным ветром. Ежегодно
может наблюдаться скорость ветра до 18 м/с, а скорость ветра 24 м/с и более
отмечается один раз в 20 лет.
Основные вышеописанные особенности ветрового
режима Брянска свойственны для всей территории области.
2.
Расчетная часть
.1
Определение вероятности выпадения осадков
Задача 1.
Определить вероятность выпадения осадков и рассчитать абсолютную влажность
воздуха, если известно, что при температуре воздуха 20⁰С
фактическое давление водяного пара составляет 11,7ГПа, а давление насыщенного
пара равно 23,4ГПа.
Решение.
Вероятность выпадения осадков определяется величиной относительной влажности.
Вначале найдем относительную влажность воздуха
по формуле:
(1)
где е - фактическое давление водяного пара, гПа;
Е - давление насыщенного пара, гПа.
Подставив значения соответствующих величин,
получаем, что
отсюда
,
.
Расчет абсолютной влажности производим по
формуле
, (2)
где е - фактическое давление водяного пара, гПа.
Т - абсолютная температура, К.
Абсолютная температура для условий задачи равна
.
Подставив известные величины в формулу (2),
получаем
Ответ:
Вероятность выпадения осадков равна 50%, абсолютная влажность воздуха 8,78г/м3.
2.2
Определение гидрологических характеристик реки
Задача 2.
Рассчитать основные гидрологические характеристики реки Амур (объем стока в
год, модуль стока, слой стока, коэффициент стока), если среднемесячный расход
составляет 10900м3/с, площадь бассейна равна 18500000км2, среднее количество
осадков равно 550мм.
Решение.
Объем стока реки - это количество воды,
проходящее через поперечное сечение русла за некоторый период времени,
рассчитывается по формуле:
(1)
где Qср
- среднемесячный расход воды в реке м3/с,
∆t
- промежуток времени, с.
Выразим сначала необходимый промежуток времени в
секундах: в году 365 дней или 31,56∙106 секунд. Подставляем известные
значения в формулу (1) и получаем:
.
Модуль стока - расход воды, выраженный в л/с с
единицы площади речного бассейна, рассчитывается по формуле:
(2)
где Qср
- среднемесячный расход воды в реке м3/с;
F - площадь
бассейна, км2.
Подставляем известные значения Qср
и F в формулу (2)
получаем:
Слой стока - объем стока равномерно
распределенного по площади речного бассейна за интервал времени, рассчитывается
по формуле:
(3)
где W - объем стока реки, м3,
F - площадь бассейна,
км2.
Подставляем значения W
и F в формулу (3),
получаем:
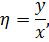
Коэффициент стока - отношение слоя стока к
осадкам за некоторый интервал времени:
где y
- слой стока, мм,
x - осадки, мм.
Подставляем значения и получаем:
Ответ:
Для реки Амур объем стока равен 344км2, модуль стока равен 0,59л/км2∙с,
слой стока равен 18,6мм, коэффициент стока равен 0,03.
2.3
Изменение температуры и давления с высотой
Задача 3.
Определить температуру воздуха и температуру кипения воды на высоте 760м над
уровнем моря, если известно, что температура воздуха на высоте 0м над уровнем
моря равна 15,7⁰С.
Решение.
1. Определим сначала температуру воздуха.
Известно, что в тропосфере температура с высотой
падает 0,6⁰С/100м. Зная это, определим, на
сколько градусов изменится температура на заданной высоте по сравнению с
уровнем моря:
Отсюда, температура воздуха на высоте 760м
будет:
2. Определим температуру кипения воды.
Показателем нормального атмосферного давления
является температура кипения воды 100⁰С
на уровне Мирового океана. Понижение точки кипения воды равняется примерно 1
градусу на 324 метра подъема при нормальном атмосферном давлении.
Найдем, на сколько градусов понизится
температура кипения воды:
Отсюда, температура кипения воды будет
составлять:

2.4
Расчет показателей радиационного и теплового баланса
Расчет величины поглощенной радиации
за каждый месяц
Рассчитаем величину поглощенной радиации Rк
за каждый месяц для окружающего ландшафта (по Ак) по формуле
Подсчитаем величину поглощенной радиации Rk
за год:
,
Расчет радиационного баланса за год
Вычислим радиационный баланс (R)
за год, арифметически сложив значения радиационного баланса за каждый месяц:
.
Расчет суммы эффективного излучения
за каждый месяц
Рассчитаем суммы эффективного излучения (Eэф)
за каждый месяц по формуле:
;
Рассчитаем суммы эффективного излучения (Eэф)
за год по формуле:
Расчет годовых значений суммарной
солнечной радиации
Вычислим годовые значения суммарной солнечной
радиации с учетом и без учета облачности (Qn,
Qo):
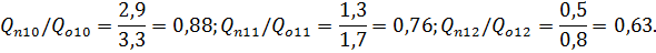
Расчет отношения Qn/Qo
за каждый месяц
Рассчитаем отношение Qn/Qo
за каждый месяц:
Рассчитаем отношение Qn/Qo
за год:
Расчет годовой суммы осадков
Рассчитаем годовую сумму осадков (r),
сложив сумму осадков за каждый месяц года:

Расчет годовой суммы испарения
Рассчитаем годовую сумму испарения (Е), сложив
соответствующие значения за каждый месяц года:
Расчет годовой величины испаряемости
Получим годовую величину испаряемости (Е0) по
формуле:
Расчет коэффициента испарения,
коэффициента увлажнения
По годовым величинам соответствующих параметров
рассчитаем:
- коэффициент увлажнения r/Е:
- радиационный индекс сухости R/Lr,
r - в см, R,
L - ккал/см2:
- ГТК (гидротермический коэффициент) - отношение
осадков к сумме активных температур выше 10⁰С
за период:
Расчет величины экстремумов
При безоблачном небе величину экстремумов в
притоке суммарной солнечной радиации Qo:
Max - июль =
15,7;
Min - декабрь
=0,8.
При фактических условия облачности Qn:
Max - июль
=12,2;
Min - декабрь
=0,5.
Влияние облачного покрова, используя соотношение
Qn/Qo,
увеличивается в весенний и осенний периоды, а уменьшается в летний и зимний
периоды года.
Влияние альбедо поверхности на
величину поглощенной радиации
Проанализируем влияние альбедо поверхности на
величину поглощенной радиации Rk.
Для этого укажем альбедо центральных зимних и летних месяцев.
Для зимы: max
- февраль = 83%; min
- декабрь = 82%.
Для лета: max
- август = 19%; min
- июль =18%.
При увеличении Ak,
уменьшается Rk.
климат атмосферный температура
гидрологический
Количество солнечной энергии за год
Количество солнечной энергии за год,
израсходованное на отражение и эффективное излучение.
Апрель - месяц года, когда радиационный баланс
переходит к положительным, а октябрь - к отрицательным значениям.
Максимальная величина R
- июль =6,8;
Минимальная величина R
- январь =-0,8.
Определение возможное местоположение
станции наблюдения
Определим возможное местоположение станции
наблюдения.
Для этого переведем годовое количество суммарной
радиации Qn в МДж/м2,
используя соотношение 41,9 МДж/м2 = 1 ккал/см2.
Арктический пояс:
Внутриарктическая область, холодная
теплообеспеченность, арктические пустыни.
Атлантическая область, умеренно холодная
теплообеспеченность, тундра.
Экстремумы температур
Самый теплый месяц - июль = 13,1⁰С.
Самый холодный месяц - январь = -11,2⁰С.
Начала теплого и холодного периода
Начало теплого периода - май.
Начало холодного периода - ноябрь.
Годовая амплитуда температуры
воздуха
Её можно отнести к умеренно-континентальному.
Характер годового хода осадков
Максимальное количество осадков в августе =
66мм.
Минимальное количество осадков в марте = 19мм.
Годовая сумма осадков = 480мм.
Анализ характеристик увлажнения
территории
Исследуемую территорию можно отнести:
По значению ГТК условия увлажнения - засушливо;
По значению коэффициента увлажнения - избыточное
увлажнение, хвойные леса, тундра.
По индексу сухости - избыточное увлажнение,
северная и средняя тайга.
Разница между годовым количеством
осадков и испаряемостью
Местоположение станции наблюдения - Арктический
пояс, атлантическая область, умеренно холодная теплообеспеченность, тундра.
Сумма активных температур
Подсчитаем сумму активных температур >10⁰С.
Определение возможности
произрастания отдельных видов сельскохозяйственных культур
Для данной местности нет возможности
произрастания отдельных видов сельскохозяйственных культур.
Регион расположения станции
наблюдения
Арктический пояс, Атлантическая область,
умеренно холодная, влажная теплообеспеченность, тундра.
По климатической карте России приблизительное
местоположение станции наблюдения может находиться в районе городов Верхоянск,
Норильск.
Заключение
В ходе работы были получены навыки овладения
основными общими закономерностями метеорологических и гидрологических
процессов, были изучены процессы формирования и изменения климата, получены
навыки метеорологических наблюдений и прогнозов, знакомство со способами
определения расчетных характеристик годового стока и его расположения по месяцам,
моделирования и прогнозирования почвенных процессов, а также знакомство с
функционированием, продуктивностью, устойчивостью различных типов ландшафтов.
В результате проведения Международного
геофизического года возникли возможности для построения гораздо более точных и
детальных карт составляющих теплового баланса. Во второй половине пятидесятых
годов сложилась мировая актинометрическая сеть, насчитывающая сейчас несколько
сот станций. За эти годы были проведены крупные экспедиционные работы,
позволившие получить материалы о метеорологическом режиме и тепловом балансе
для ранее малоизученных районов.
Использование новых материалов актинометрических
и метеорологических наблюдений позволило усовершенствовать расчетные методы
определения членов теплового баланса. При помощи уточненных методов были
выполнены новые расчеты и построены мировые карты средних многолетних значений
членов теплового баланса, значительно более точные и детальные, чем карты
первого атласа.
В ходе работы было выявлено, что станция наблюдения
находится в Арктическом поясе, Атлантической области, умеренно холодной,
влажная теплообеспеченность, тундра.
Список
используемой литературы
1. Атлас Мира. / Гл. ред. Г.В.
Поздняк, Н.Н. Полункина. - М.: ПКО «Картография», изд. дом «Оникс 2 век», 2003.
. Кощуг Д.Г., Филиппов Д.Н.,
Фортыгина Е.А. Науки о Земле. Учебное пособие. - М.: Изд-во Транспорт, 2003.
. Добровольский В.В. География почв
с основами почвоведения. - М., 1999.
. Фортыгина Е.А. и др. Науки о
Земле. Задания на лабораторные работы с методическими указаниями для студентов
специальн. 280202(ЭК), 280101 (БЖД). Методическое пособие. - М.: Изд-во
РГОТУПС, 2005
. Фортыгина Е.А. и др. Науки о
Земле. Рабочая программа, задание на контрольную работу и курсовую с
методическими указаниями для студентов III
курса специальности 330200 (ЭК), 330100 (БЖД) Методическое пособие. - М.:
Изд-во РГОТУПС, 2001.
. Хромов С.П., Петросянц М.А. Серия
классический университетский учебник. Метеорология и климатология. - М.: Изд-во
МГУ, 2004.
. Ландсберг Г.Е. Климат города, Л.,
ГИМИЗ, 2000.
. Калесник С.В. Общие географические
закономерности Земли. - М., 1999.