Расчет привода главного движения токарного станка
Содержание
Введение
. Анализ существующих конструкций аналогичных станков
. Режимы резания
.1 Выбор режимов резания
.2 Проверка предельных значений аналитически
. Определение мощности привода
.1 Эффективная мощность привода станка
.2 Выбор электродвигателя
. Выбор типа и кинематической схемы механизма главного
движения
. Кинематический расчет коробки скоростей
.1 Диапазон регулирования
.2 Способы регулирования
.3 Разработка кинематической схемы
.4 Построение графика чисел оборотов
.5 Определение чисел зубьев шестерен
.6 Определение фактического ряда частот
. Расчет основных конструктивных параметров деталей привода
.1 Определение основных динамических характеристик
.2 Расчет модулей зубчатых колес
.3 Конструирование и расчет валов
Заключение
Список использованной литературы
Введение
Привод главного движения служит для передачи необходимых усилий и
скоростей резания для заданного диапазона материалов. Коробка скоростей должна
иметь как можно меньшие габариты, высокий КПД и хорошие эксплуатационные
показатели. В данном случае для привода главного движения используется
асинхронный двигатель, обеспечивающий наибольшую надежность работы.
Используется ступенчатый способ регулирования скоростей.
1. Анализ существующих конструкций аналогичных станков
Табл. 1 Технические характеристики аналогичных токарных станков.
|
СТАНОК ТОКАРНЫЙ С ЧПУ СА250Ф3
|
СТАНОК ТОКАРНЫЙ С ЧПУ PROTO TRAK СА300/XYZ VL
|
СТАНОК ТОКАРНЫЙ НАСТОЛЬНЫЙ ТН-1
|
|
Наибольший диаметр обрабатываемой детали, мм: Над станиной
Над суппортом
|
250 180
|
300 168
|
200 120
|
|
Наибольшая длина обрабатываемой детали, мм
|
150
|
700
|
300
|
|
Min частота вращения шпинделя, об/мин
|
45
|
100
|
115
|
|
Max частота вращения шпинделя, об/мин
|
6000
|
3000
|
1700
|
|
Мощность двигателя, кВт
|
5,5
|
5,5
|
0,75
|
Виды работ, которые будут выполняться
на проектируемом станке, аналогичны работам, которые выполняются на
станке-прототипе.
Полученные значения скоростей резания V (м/мм) оформляются в виде графика.
2. Режимы резания
.1 Выбор режимов резания
На основании таблицы «Режимы резания на токарных станках» /3/ находим
скорости резания для обработки заготовок из стали и чугуна.
Для каждого интервала скорости резания находим предельные частоты
вращения шпинделя /7/:
,
где
nmax - максимальная частота вращения шпинделя, об/мин;
Vmax
- максимальная скорость резания, м/мин;
dmin
- минимальный диаметр инструмента, мм.
,
где
nmin - минимальная частота вращения шпинделя, об/мин;
Vmin
- минимальная скорость резания, м/мин.
Результаты
расчетов сводим в таблицу 2.
Табл. 2. Выбор и расчет режимов резания.
|
Технологические переходы
|
Инструменты
|
Режимы резания
|
|
Тип
|
Материал
|
Глубина резания, мм
|
Подача, мм/об
|
Скорость резания, м/мин
|
|
Конструкционная углеродистая и низколегированная сталь,
ув=650-800 МПа
|
|
|
Точение продольное и поперечное: по загрязненной корке
черновое получистовое чистовое
|
Резцы проходные
|
Т5К12В Т5К10 Т15К6 Т30К4
|
3-7 3-7 До 2 До 1,5
|
0,54-0,75 0,6-0,9 0,25-0,38 0,1-0,2
|
36-43 60-74 148-167 200-240
|
|
Нарезание резьбы на проход: метрическая трапецеидальная
|
Резцы резьбовые
|
Р6М5 Т15К6
|
|
2,5-6 1,5-6
|
17-30 102-124
|
|
Точение фасонное: черновое чистовое
|
Резцы фасонные
|
Р6М5
|
|
0,03-0,1
|
22-31 70-107
|
|
Фасонное точение по копиру
|
Резцы проходные
|
ВК6
|
0,07-0,12
|
0,1-0,15
|
47-53
|
|
Сверление отверстий D=6-32 мм Рассверливание отверстий D=25-60 мм
|
Сверла
|
Р6М5
|
5-15
|
0,16-0,27 0,7-1,2
|
25-31 17,5-22
|
|
Зенкерование отверстий D=15-80 мм
|
Зенкеры
|
Р6М5
|
0,5-1.0
|
0,8-2,2
|
21-29
|
Серый чугун, НВ 180-220
|
Технологические переходы
|
Инструменты
|
Режимы резания
|
|
Тип
|
Материал
|
Глубина резания, мм
|
Подача, мм/об
|
Скорость резания, м/мин
|
|
Точение продольное и поперечное: по загрязненной корке
черновое получистовое чистовое
|
Резцы проходные
|
ВК8В ВК6 ВК6 ВК3
|
4-9 1-2 До 1
|
0,6-0,8 0,6-0,9 0,25-0,4 0,15-0,2
|
24-35 49-57 108-122 154-174
|
|
Нарезание резьбы на проход: метрическая трапецеидальная
|
Резцы резьбовые
|
ВК6
|
|
2-6 3-8
|
42-55 41-52
|
|
Фасонное точение по копиру
|
Резцы проходные
|
ВК6
|
0,07-0,12
|
0,1-0,15
|
47-53
|
|
Сверление отверстий D=6-32 мм Рассверливание отверстий D=25-60 мм
|
Сверла
|
Р6М5
|
5-15
|
0,16-0,27 0,7-1,2
|
25-31 17,5-22
|
|
Зенкерование отверстий D=15-80 мм
|
Зенкеры
|
Р6М5
|
0,5-1.0
|
0,8-2,2
|
21-29
|
По выбранным скоростям резания определяем частоты вращения шпинделя для
каждого вида работ. Полученные значения частот также оформляются в виде
графика.
;
;
=200мм;
=0,15*200=30мм
Табл.
3 Частоты вращения
|
Виды работ, выполняемых на проектируемом станке.
|
Частота вращения, мин
|
|
|
Сталь
|
Чугун
|
|
1,
|
Точение продольное и поперечное: по загрязненной коке
|
57,3-342,4
|
33,4-278,7
|
|
2,
|
Точение продольное и поперечное: черновое
|
95,5-589,2
|
78,0-453,8
|
|
3,
|
Точение продольное и поперечное: получистовое
|
235,7-1329,6
|
171,9-971,4
|
|
4,
|
Точение продольное и поперечное: чистовое
|
318,4-1910,9
|
245,2-1338,4
|
|
5,
|
Нарезание резьбы на проход: метрическая
|
27,1-238,9
|
66,9-437,9
|
|
6,
|
Нарезание резьбы на проход: трапецеидальная
|
162,4-283,9
|
65,3-414,0
|
|
7,
|
Точение фасонное: черновое
|
35,0-246,8
|
-
|
|
8,
|
Точение фасонное: чистовое
|
111,4-851,9
|
-
|
|
9,
|
Фасонное точение по копиру
|
111,4-660,8
|
74,8-422,0
|
|
10,
|
Сверление отверстий D=6-32 мм
|
22,9-254,8
|
39,8-246,8
|
|
11,
|
Рассверливание отверстий D=25-60 мм
|
29-167,2
|
27,9-175,2
|
|
12,
|
Зенкерование отверстий D=15-80 мм
|
33,4-151,3
|
33,4-230,9
|
Полученные значения частот вращения оформляются в виде графика.
Рис.1 График частот вращения
2.2 Проверка предельных значений аналитически
Рассчитываем скорость резания для чернового точения.
По табл. 1 принимаем t=5,0мм,
S=0,7мм/об.
Скорость резания при точении:
,
где
T - период стойкости, T=60мин.
Необходимые
коэффициенты и показатели степени для определения скорости находим по табл.17:
=290, x=0,15, y=0,35, m=0,20,
Для
получения действительного значения скорости необходимо ввести поправочный
коэффициент
, учитывающий фактические условия резания, где
- произведение ряда коэффициентов.
,
где
- коэффициент, учитывающий качество обрабатываемого
материала, табл.1
,
где
- показатель степени по табл.2
Кг=1
- для материала детали - сталь
=1-
коэффициент, учитывающий состояние поверхности, табл.5
-
коэффициент, учитывающий качество материала инструмента, табл. 6,
=0,65
(для резца Т5К10)
Следовательно
По
табл. 1
=74м/мин, т.е. расчетное значение скорости попадает в
диапазон значений
=60..74м/мин.
3. Определение мощности привода
.1 Эффективная мощность привода станка
Мощность двигателя в приводе станка расходуется на создание рабочих сил и
преодоления различных сопротивлений и определяется по формуле:
,
-
полезная мощность,
,
-
тангенциальная составляющая силы резания, Н
-
скорость резания для основного вида работ;
Для
токарного станка - это черновое точение.
-
мощность холостого хода.
, кВт
-
мощность на дополнительные потери.
Оцениваются
введением КПД в уравнение
.
, кВт,
=0,75..0,85.
Дополнительные
потери составляют 10-15% всей потребляемой мощности.
Рассчитываем
скорость резания и тангенциальную составляющую силы резания для чернового
точения.
По табл. 1 принимаем t=5,0мм,
S=0,7мм/об.
Скорость резания при точении:
,
где
T - период стойкости, T=60мин.
Необходимые
коэффициенты и показатели степени для определения скорости находим по табл.17:
=290, x=0,15, y=0,35, m=0,20,
Для
получения действительного значения скорости необходимо ввести поправочный
коэффициент
, учитывающий фактические условия резания, где
- произведение ряда коэффициентов.
,
где
- коэффициент, учитывающий качество обрабатываемого
материала, табл.1
,
где
- показатель степени по табл.2
Кг=1
- для материала детали - сталь
=1-
коэффициент, учитывающий состояние поверхности, табл.5
-
коэффициент, учитывающий качество материала инструмента, табл. 6,
=0,65
(для резца Т5К10)
Следовательно
Сила резания определяется по формуле:
,
значение
коэффициентов и показателей степени определяем по табл. 22.
=300, x=1,0,
y=0,75, n=-0,15.
Поправочный
коэффициент
представляет собой произведение ряда коэффициентов
,
коэффициенты
находим по табл. 9,10,23.
При
,
,
Следовательно,
=1,
=1,
=1,
=1, K
Полезная
мощность резания: 
Мощность
холостого хода: 
Принимаем КПД=0,8.
Тогда эффективная мощность привода станка:
.2 Выбор электродвигателя
По приведенным параметрам по каталогу выбираем электродвигатель. В данном
случае это асинхронны трехфазный двигатель общепромышленного назначения с
характеристиками:
Мощность - 5,5 кВт
Частота вращения -1430об/мин
КПД - 92%
Косинус -0,9
Mкр/Nном - 7,1
Мпол/Мном - 2,1
Мmin/Nном - 2,4
4. Выбор типа и кинематической схемы механизма главного движения
Коробка скоростей токарных станков
содержит в большинстве случаев зубчатые передачи, переключениями которых
получают различные скорости шпинделя.
Основным недостатком коробок скоростей такого типа является то, что
ступенчатое регулирование даёт возможность установить лишь числа оборотов в
заданном диапазоне, и поэтому скорость резания не всегда может быть установлена
точно. Однако коробки скоростей со ступенчатым регулированием более компактны и
просты, имеют высокий КПД и поэтому в настоящее время имеют преимущественное
применение.
5. Кинематический расчет коробки скоростей
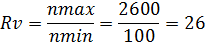
.1 Диапазон регулирования
Диапазон регулирования является показателем кинематических возможностей
коробки скоростей проектируемого станка. Он зависит от величины обрабатываемой
детали и скоростей резания.
Диапазон обрабатываемых деталей (диапазон размеров):
,
для
обработки 85-92% от всех обрабатываемых деталей. Диапазон регулирования
скоростей 
Определяем
максимальную и минимальную частоты вращения шпинделя (подачу). За минимальную
частоту вращения принимаем минимальную частоту станка-прототипа, т.е. nmin=100мин-1
В
качестве максимальной частоты вращения принимаем частоту, полученную
по расчетам nmax=10000*240/3.14/30=2542мин-1/
Диапазон
регулирования частот вращения шпинделя:
.2
Способы регулирования
Выбираем
ступенчатый способ регулирования. При этом способе в заданных пределах (от
до
)
выбирают целесообразный ряд значений регулируемого параметра. Рекомендуется
геометрический ряд частот вращения шпинделя. Значение частот вращения шпинделя
и знаменатель прогрессии
для этого ряда стандартизированы.
Знаменатель
прогрессии для токарного станка равен 1,58.
По
таблицам из приложения 2 принимаем следующий ряд частот вращения: 100, 160,
250, 400, 630, 1000, 1600, 2500.
.3
Разработка кинематической схемы
Количество
групп передач определяем по формуле
Принимаем
m=3.
Рассчитываем
количество конструктивных вариантов привода по формуле:
,
где
g - число групп с одинаковым количеством передач g=3.
Выписываем
2 варианта.
)
21×22×23 X1=1; X2=2; X3=4 2) 23×22×21 X1=4; X2=2; X3=1
Принимаем
первый вариант.
.4 Построение графика чисел оборотов
Рис.2 График чисел оборотов
.5 Определение чисел зубьев шестерен
Табл.4 Числа зубьев шестерен
|
i
|
1
|
2
|
3
|
4
|
5
|
6
|
7
|
|
 1,58 1,58 1,58
|
|
|
|
|
|
|
|
Z1
|
28
|
22
|
35
|
22
|
49
|
16
|
32
|
|
Z2
|
25
|
31
|
22
|
35
|
31
|
64
|
50
|
|
SZ
|
53
|
57
|
80
|
82
|
.6 Определение фактического ряда частот
После подбора всех пар зубьев зубчатых колес, определяем фактические
частоты вращения шпинделя по уравнению кинематического баланса.
Определяем погрешность при подборе зубчатых колес, фактических частот
вращения и нормального ряда:
<10.
-
полученная частота.
Табл.
5 Расчет погрешностей
|
Нормальная частота, об/мин.
|
Фактическая частота, об/мин.
|
Погрешность выбора частот вращения, %
|
|
n1
|
100
|
2.1
|
|
|
n2
|
160
|
0.688
|
|
|
n3
|
250
|
3.32
|
|
|
n4
|
400
|
1.92
|
|
|
n5
|
630
|
2.43
|
|
|
n6
|
1000
|
1.84
|
|
|
n7
|
1600
|
2.08
|
|
|
n8
|
2500
|
3.01
|
|
токарный станок резание привод
6. Расчет основных конструктивных параметров деталей привода
.1 Определение основных динамических характеристик
Определение угловых скоростей валов
Угловая скорость первого вала коробки скоростей равна:
Угловая скорость второго вала равна:
Угловая скорость третьего вала равна:
Угловая скорость четвертого вала равна:
Угловая скорость пятого вала равна:
Определение мощности и крутящего момента на валах
I вал:
II вал:
III вал:
IV вал:
V вал:
Табл. 6 Результаты расчетов.
|
№ вала
|
N, кВт
|
n, мин-1
|
w, с-1
|
М, н×м
|
i
|
|
1
|
5.39
|
1430
|
149.67
|
30.02
|
1,43
|
|
2
|
5.28
|
1000
|
104.66
|
50.48
|
|
|
|
|
|
|
0.629
|
|
3
|
5.18
|
1600
|
165.37
|
31.31
|
|
|
|
|
|
|
3.94
|
|
4
|
5.08
|
400
|
41.97
|
120.93
|
|
|
|
|
|
|
1.58
|
|
5
|
4.97
|
250
|
26.56
|
187.3
|
|
.2 Расчет зубчатых колес
Основными причинами выхода из строя зубчатых колес являются усталость
поверхностных слоев зубьев, их износ, смятие торцов зубьев, поломка зубьев от
усталости и перегрузок. Поэтому при расчете зубчатых передач модуль зубчатых
колес определяется как из прочности зуба на изгиб (mизг), так и из
усталости поверхностных слоев (mпов) для каждой группы передач.
Материал Сталь 40Х.
Передача 1-2:
Передача 2-3:
Передача 3-4:
Передача 4-5:
Принимаем наибольшее значение округляя до стандартного:
Передача 1-2: m1-2 = 3 мм.
Передача 2-3: m2-3 = 3,5 мм.
Передача 3-4: m3-4 = 3 мм.
Передача 4-5: m4-5 = 4 мм.
Геометрический расчет зубчатых колес
Сводится к определению основных размеров всех колес по нижеприведенным
формулам:
·
Диаметр (вершин)
зубчатого колеса dвыст = (Z + 2)∙m, мм;
·
диаметр впадин dвп = (Z - 2)∙m, мм;
·
делительный
диаметр d1 = Z∙m, мм;
·
ширина зубчатого
колеса b = Y∙m. (Y=8).
Межосевое расстояние
Определяется для каждой группы передач по формуле
где Z1, Z2
- число зубьев
пары колес по расчетной цепи для каждой группы передач.
Определение сил в зубчатых зацеплениях
На зуб зубчатого колеса в зацеплении действуют окружная Ft и
радиальная Fr силы, которые определяются по формулам
где М - крутящий момент на колесе, Н×м; d1 - делительный диаметр меньшего
колеса, м; a = 20о,
b = 0о - для прямозубых
колес (tg 20o = 0,364, cos 0o = 1).
Табл. 7 Результаты расчетов
|
№ группы
|
Z
|
мм
|
dвыст,мм
|
dвп,мм
|
d1,мм
|
b,мм
|
Аi,мм
|
Ft,Н
|
Fr,Н
|
|
1
|
1
|
28
|
3
|
90
|
78
|
84
|
24
|
79,5
|
909
|
331
|
|
2
|
25
|
|
81
|
69
|
75
|
|
|
|
|
|
3
|
22
|
|
72
|
60
|
66
|
|
|
|
|
|
4
|
31
|
|
99
|
87
|
93
|
|
|
|
|
|
2
|
5
|
35
|
3,5
|
129,5
|
115,5
|
122,5
|
28
|
99,8
|
1311
|
477
|
|
6
|
22
|
|
84
|
70
|
77
|
|
|
|
|
|
7
|
22
|
|
84
|
70
|
77
|
|
|
|
|
|
8
|
35
|
|
129,5
|
115,5
|
122,5
|
|
|
|
|
|
3
|
9
|
49
|
3
|
153
|
141
|
147
|
24
|
120
|
1305
|
475
|
|
10
|
31
|
|
99
|
87
|
93
|
|
|
|
|
|
11
|
16
|
|
54
|
42
|
48
|
|
|
|
|
|
12
|
64
|
|
198
|
186
|
192
|
|
|
|
|
|
4
|
13
|
32
|
4
|
136
|
120
|
128
|
32
|
164
|
1889
|
688
|
|
14
|
50
|
|
208
|
192
|
200
|
|
|
|
|
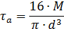
.3 Конструирование и расчет валов
В качестве материала для изготовления валов используем сталь углеродистую
легированную марки 40Х.
Валы рассчитывают на прочность и жёсткость. Диаметры валов при расчёте на
прочность определяют по формуле:
I вал:
вал:
III
вал:
IV вал:
Округляем полученные значения до стандартных:
I вал:
dпроч.I = 12 мм
II
вал: dпроч.II = 14 мм
III
вал: dпроч.III = 12 мм
IV
вал: dпроч.IV = 19 мм
Полученные диаметры валов не удовлетворяют условиям прочности, в связи с
чем принимается решение увеличить диаметры валов в на 50%. Тогда
I вал:
dпроч.I = 20 мм
II
вал: dпроч.II = 21 мм
III
вал: dпроч.III = 28 мм
IV
вал: dпроч.IV = 25 мм
Проверочный расчёт валов
Найденные значения валов при предварительном расчёте подвергают
проверочному расчёту с целью определения запасов прочности в опасных сечениях,
по формуле:
где ns и nt - соответственно, запас прочности при
действии одних изгибающих и одних крутящих нагрузок.
где s-1, t-1 - предел выносливости при изгибе и кручении соответственно, кг/см2.
Номинальное напряжение в сечении при изгибе:
Номинальное напряжение в сечении при кручении:
вал:
вал:

2,14

2,56
вал:
вал:
Вывод:
все валы удовлетворяют условию прочности.
.4
Выбор подшипников качения
Определяем
коэффициент работоспособности по формуле:
Для
I вала:
Для
II вала:
Для
III вала:
Для
IV вала:
Назначаем класс точности подшипника Н - нормальный.
Табл. 8 Размеры и основные характеристики подшипников
|
№ вала
|
Диаметр вала
|
Условное обозначение подшипника и его размеры
|
Коэффициент Работоспособности С
|
Коэффициент работоспособности расч. С
|
Посадка колец подшипника на вал и в корпус
|
|
Расчётный d,
мм
|
Под подшипник dп, мм
|
№
|
d
|
D
|
B
|
|
|
|
|
I
|
20
|
17
|
303
|
17
|
47
|
14
|
17100
|
14351
|
|
|
II
|
21
|
17
|
303
|
17
|
47
|
14
|
17100
|
13895,9
|
|
|
III
|
28
|
25
|
305
|
25
|
62
|
17
|
27000
|
|
|
IV
|
25
|
17
|
303
|
17
|
47
|
14
|
17100
|
14067,9
|
|
Заключение
Дальнейший рост производительности современных станков, в
значительной степени, определяется уровнем их автоматизации. Токарные станки
занимают значительную часть от всего парка металлорежущих станков. Это
определяется достаточной степенью универсальности, высокой производительностью
и простотой в управлении. Несмотря на появление более новых станков и автоматов
предназначенных для обработки аналогичных деталей, токарные станки все еще
являются тем оборудованием на котором, в условиях серийного производства,
обрабатывается подавляющее большинство плоскостных деталей.
В данном курсовом проекте произведены расчеты необходимые для
проектирования токарного станка.
Список использованных источников
1. Анурьев В.И. Справочник конструктора -
машиностроителя: В 3-х т. Т.2.-6-е изд., перераб. и доп.- М.: Машиностроение,
1982.
. Дунаев П.Ф., Леликов О.П. Конструирование узлов и
деталей машин. М.: Высшая школа, 2000.
. Жуловян В.В. Расчет режимов резания. Методическое
указание по курсовому проекту МРС. Хабаровск: ХГТУ, 1992.
4. Косилова А.Г., Мещереков Р.К. Справочник
технолога-машиностроителя, том 2. М.: Машиностроение, 1985.
5. Проников А.С. Расчёт и конструирование
металлорежущих станков. Высшая школа, 1967.
6. Жуков К.П. Расчёт и проектирование деталей машин.
М.: Высшая школа, 1978.
. Шабалин А.А., Иванищев Ю.Г. Технология
машиностроения, металлорежущие станки и инструменты. Методические указания.
Хабаровск: ХГТУ, 1988.
. Панов А.А. Обработка металлов резанием: Справочник
технолога.-М. Машиностроение,1988.
. Чернавский С.А. Курсовое проектирование деталей
машин: Учебное пособие для техникумов. - М. Машиностроение,1979.