Разработка конструкции привода главного движения вертикального токарного станка c ЧПУ
МИНИСТЕРСТВО ОБРАЗОВАНИЯ РЕСПУБЛИКИ
БЕЛАРУСЬ
БЕЛОРУССКИЙ НАЦИОНАЛЬНЫЙ ТЕХНИЧЕСКИЙ
УНИВЕРСИТЕТ
Кафедра: «Металлорежущие станки и
инструменты»
КУРСОВАЯ РАБОТА
Пояснительная записка
на тему: «Разработка конструкции
привода главного движения вертикального токарного станка c ЧПУ»
Группа 103419
Выполнил: Волкова А.А.
Проверил: Василенко Т.В.
Минск 2012
АННОТАЦИЯ
В курсовом проекте разработана конструкция привода главного движения
токарного станка с ЧПУ с наклонной станиной. В процессе проектирования был
произведён анализ конструкций аналогичных станков.
Разработана кинематика и структура проектируемого узла, описан принцип
действия станка. Произведен предварительный расчет узла с определением
нагрузок, действующих на узел во время работы станка, и расчёт передач.
Произведён проверочный расчёт шпинделя на жесткость. С учётом результатов
расчёта уточнена конструкция узла, представленная в графической части проекта.
ВВЕДЕНИЕ
Важнейшим достижением научно-технического прогресса является комплексная
автоматизация промышленного производства. В своей высшей форме - гибком
автоматизированном производстве - автоматизация предполагает функционирование
многочисленных взаимосвязанных технических средств на основе программного
управления и групповой автоматизации производства. В связи с созданием и
использованием гибких производственных комплексов механической обработки
резанием особое значение приобретают станки с числовым программным управлением
(ЧПУ).
В результате замены универсального неавтоматизированного оборудования
станками с ЧПУ трудоемкость изготовления деталей оказалось возможным сократить
в несколько раз (до 5 - в зависимости от вида обработки и конструктивных
особенностей обрабатываемых заготовок).
В условиях мелкосерийного производства обычно применяются заготовки
низкой точности, получаемые литьем в землю, свободной ковкой, из проката. Для
эффективного использования станков с ЧПУ при получении деталей с высокими
требованиями к их точности и шероховатости необходимо создавать станки высокой
точности и шероховатости.
При проектировании станков с ЧПУ конструкторы решают задачи достижения
максимальной производительности, высокой точности и надежности. Наибольшее
влияние на особенности конструктивного исполнения станков оказывают те решения,
которые направлены на повышение производительности за счет сокращения всех
составляющих затрат рабочего времени: вспомогательного, основного,
подготовительно-заключительного и времени обслуживания рабочего места.
Сокращение времени, которое затрачивается на установку, закрепление
заготовки, снятие обработанной детали может быть достигнуто тремя способами:
использованием быстродействующей оснастки;
созданием удобных условий загрузки станка;
совмещением времени обработки со временем загрузки-разгрузки.
Сокращение времени холостых действий явилось следствием решения многих
сложных конструктивных задач. В современных танках скорость перемещения рабочих
органов доведена до 10-12 м/мин. Одновременно в приводах подач расширен
диапазон регулирования, возросла способность работать с перегрузками, сокращено
время разгона и торможения.
Основное (машинное) время может быть сокращено, если на станке выполняют
резание высоким и оптимальным режимами (скоростью резания, глубиной, подачей).
Станок для реализации такого резания должен иметь высокие силовые и
скоростные характеристики привода главного движения; высокие жесткость и
виброустойчивость; способность изменять по программе в широких пределах, лучше
всего бесступенчато, скорость шпинделя и подачу. Точность станков повышают в результате
специальных конструктивных решений и более точного исполнения механической
части станка. В наивысшей степени достижению точности способствует оснащение
станков устройствами обратной связи.
Ряд характерных черт в конструкции станков с ЧПУ (повышенная жесткость,
отсутствие зазоров в кинематических цепях, трогание рабочих узлов с места,
равномерность медленных перемещений) достигается благодаря особому исполнению
шпиндельных узлов, направляющих исполнительных устройств, приводов подач,
соединительных муфт. Широко применяются такие механизмы как гидростатические
узлы: гидростатические направляющие, гидростатические опоры шпинделя,
гидростатические пары винт-гайка.
Применение данных узлов позволяет существенно повысить точность станка,
его долговечность и надежность. Это происходит за счет того, что в
гидростатических узлах практически отсутствует трение, а значит и износ.
Плавность перемещения узлов существенно повышается за счет отсутствия в
гидростатических узлах трения покоя. Гидростатические опоры шпинделя позволяют
снизить отклонения поверхностей изготавливаемых деталей от круглости,
прямолинейности, соосности и т.д.
1 ОБЗОР И АНАЛИЗ КОМПОНОВОК И
ТЕХНИЧЕСКИХ ХАРАКТЕРИСТИК СТАНКОВ, ПРИВОДОВ ГЛАВНОГО ДВИЖЕНИЯ, АНАЛОГИЧНЫХ
ПРОЕКТИРУЕМОМУ СТАНКУ
.1 Обзор
компоновок станков аналогов
.1.1 Вертикальный двухшпиндельный токарный станок с ЧПУ мод.ПАБ-350В
На рисунке 1.1 изображен общий вид токарного станка с ЧПУ мод.ПАБ-350В.
привод станок шпиндельный
Рисунок 1.1 - Общий вид токарного станка с ЧПУ мод.ПАБ-350В
Станок предназначен для обработки с высокой точностью и надежностью в
условиях мелко-, средне-, крупносерийного и массового производства деталей типа
колец, фланцев из штучных заготовок. Вертикальная компоновка гарантирует
непосредственный доступ в зону обработки. Перемещение шпинделя по оси X
обеспечивает постоянное расстояние от оператора до главного шпинделя. Токарный
двухшпиндельный вертикальный станок - это токарный станок, у которого, шпинделя
с закрепленными в патронах деталями расположены вертикально над неподвижно
установленным инструментом и перемещаются по основным осям. Фактически, это два
станка в одной рабочей зоне. Система управления станка обеспечивает независимое
вращение по осям С1, С2 и перемещение по осям Х1, Х2 и Z1, Z2 двух шпинделей,
это позволяет внедрять прогрессивные режимы резания и полностью использовать
потенциал режущего инструмента ведущих мировых производителей (Sandvik,
Kennametal) с одновременным дроблением стружки и вводить коррекцию инструмента
независимо на обоих шпинделях. На станке модели ПАБ-350 устанавливаются
комплектующие ведущих мировых производителей: система управления Siemens
Sinumerik 840DI, цифровые привода Simovert и Simodrive 611UE,
электрооборудование Schneider , пневматика Camozzi, Festo, направляющих качения
Bosch Rexroth. Оптимальная конструкция станины и шпиндельных бабок исключает
взаимное влияние шпинделей, позволяя одновременно осуществлять черновую
обработку на одном шпинделе и чистовую - на другом. Наличие устройства
переворота детали (кантователя) позволяет осуществить полную обработку детали с
одной стороны на одном шпинделе, передать деталь с переворотом на другой
шпиндель, где обработать ее полностью с другой стороны. Кантователь за счет
системы центрирования заготовки обеспечивает практически полное отсутствие
осевого и радиального биения при зажиме после переворота, что гарантирует
минимальное биение одного торца относительно другого. Подача заготовок
производится в зону загрузки откуда ее забирает первый шпиндель. Обработка
деталей производится инструментом, установленным на резцовом блоке. После
обработки детали на первом шпинделе деталь передается в устройство, которое
передает деталь с первого шпинделя в зону загрузки второго шпинделя. Второй
шпиндель забирает деталь из зоны загрузки. Обработка детали продолжается
инструментом, установленным на втором резцовом блоке. После обработки деталь
транспортируется в зону выгрузки. Станок имеет жесткую компактную станину из
высококачественного чугуна. Направляющие качения обеспечивают суппорту высокую
точность и долговечность. Суппорт может быть оснащен линейными двигателями
продольного перемещения, что позволяет поднять скорость перемещения суппорта до
100 м/мин. Станок оснащается системой ЧПУ и электрооборудованием фирмы
"Сименс" или любым другим по требованию заказчика. Конструкция станка
и оснастки позволяет сократить переналадку станка до минимума, что позволяет
использовать станок как серийном, так и в мелкосерийном производстве.
Компоновка токарного станка с ЧПУ мод.ПАБ-350В изображена на рисунке 1.2.
Рисунок 1.2 - Компоновка токарного станка с ЧПУ мод.ПАБ-350В
.1.2 Вертикальные токарные станки с ЧПУ, VTC серии
Станочные литые детали спректированы с помощью программного обеспечения
ANSYS, что обеспечивает системой ребер жесткости, которая делает станок более
жестким. Использованные материал является высокоплотным чугуном, который
обеспечивает высокую жесткость и отличную способность аммортизации вибрации.
Шпиндель, спроектированный современными международными технологиями, имеет
короткую широкую форму. Шпиндельная бабка встроена в станину во время
проектирования, что обеспечивает отличную жесткость шпинделя. Эти модели
вертикального токарного станка с ЧПУ также может опционно использовать функцию
оси C и револьверную головку с вращающимися шпинделями с вращающиеся фрезой для
создания вертикального многоцелевого станка. Таким образом, станок может
выполнять такие операции, как сверление, фрезерование, нарезание резьбы, и т.д.
Оси X и Y приводятся в движение электросерводвигателем с прямым сцеплением с
шариковыми винтовыми парами с помощью упругой муфты. Доступны револьверные
головки с различной конфигурацией. Зона обработки станка полностью закрыт, а
также зона может быть оборудована автоматическими дверьми как для
автоматизированной производственной линии. Гидравлическая станция имеет
новоразработанные малые цифровые стабилизаторы давления для более точного
управления этой функцией. Электрический шкаф имеет закрытую конструкцию и
оборудован устройством кондиционирования как для охлаждения внутреннего
пространства, так и для защиты от проникновения пыли.
Вертикальный токарный станок с ЧПУ VTC3240
На рисунке 1.3 изображен общий вид токарного станка с ЧПУ VTC3240.
Рисунок 1.3 - Общий вид токарного станка с ЧПУ VTC3240
Этот станок подходит для обработки автомобильных деталей, таких как
тормозные диски и маховики. Станок тоже может быть использован для точения
закаленных деталей, чтобы устранить необходимость затачивания. Если установить
вал для привода вспомогательных механизмов, то этот станок может быть
использован для обработки тормозных дисков.
Вертикальный токарный станок с ЧПУ VTC5060
На рисунке 1.4 изображен общий вид токарного станка с ЧПУ VTC5060.
Рисунок 1.4 - Общий вид токарного станка с ЧПУ VTC5060
Этот станок подходит для обработки таких деталей, как втулки, большие
тормозные диски, маховики, и т.д. Станок также может быть использован для
точения закаленных деталей для устранения необходимости затачивания. Станок
может обтачивать тормозные диски с помощью вспомогательного вала.
На рисунке 1.5 изображена рабочая зона токарного станка с ЧПУ VTC5060.
Рисунок 1.5 - рабочая зона токарного станка с ЧПУ VTC5060
Вертикальный токарный станок с ЧПУ VTC6070
На рисунке 1.6 изображен общий вид токарного станка с ЧПУ VTC6070.
Рисунок 1.6 - Общий вид токарного станка с ЧПУ VTC6070
Этот станок подходит для обработки автомобильных деталей, таких как
тормозные барабаны, втулки, корпусы редуктора, и т.д. Станок также может быть
использован для точения закаленных деталей для устранения необходимости
затачивания. Станок имеет различные легко устанавливаемые приспособления для
обработки сложных оболочных деталей и деталей неправильных форм.
Вертикальный токарный станок с ЧПУ VTC8080
На рисунке 1.7 изображен общий вид токарного станка с ЧПУ VTC8080.
Рисунок 1.7 - Общий вид токарного станка с ЧПУ VTC8080
Этот станок подходит для обработки деталей больших размеров,
дискообразных форм и коротких стержневых форм. Станок имеет различные легко
устанавливаемые приспособления для обработки сложных оболочных деталей и
деталей неправильных форм. Станок также может быть использован для точения
закаленных деталей для устранения необходимости затачивания. На рисунке 1.8 и
1.9 изображены рабочая зона и шпиндель станка с ЧПУ VTC8080 соответственно.

Рисунок 1.8 и 1.9 - Рабочая зона и шпиндель станка с ЧПУ VTC8080
1.2 Основные технические характеристики станков
.2.1 Основные технические характеристики станка токарного станка с ЧПУ
мод.ПАБ-350В
В таблице 1.1 приведены основные технические характеристики вертикального
двухшпиндельного токарного станка с ЧПУ мод.ПАБ-350В
Таблица 1.1 - Основные технические характеристики станка
|
Параметры
|
Значение
|
|
Наибольший диаметр
заготовки, мм
|
375
|
|
Наибольшая длина заготовки,
мм
|
200
|
|
Наибольший ход суппорта по
оси Х, не менее, мм
|
1300
|
|
Наибольший ход суппорта по
оси Z, не менее, мм
|
250
|
|
Дискретность задания
перемещений по осям, мм
|
0.001
|
|
Точность позиционирования,
мм
|
0.005
|
|
Количество управляемых осей
координат
|
4
|
|
Наибольшая скорость
перемещения суппорта, мм/мин
|
|
|
по оси X (поперечная)
|
30 000
|
|
- по оси Z (продольная)
|
15 000
|
|
Диапазон частот шпинделя,
об/мин
|
100-1000
|
|
Мощность привода главного
движения, кВт
|
22
|
|
Количество двигателей
главного движения
|
2
|
|
Наибольший крутящий момент
на шпинделе, Н·м
|
660
|
|
Наибольшее усилие подачи, Н
|
|
|
- ось X
|
6 000
|
|
- ось Z
|
8 000
|
|
Габаритные размеры, мм
|
|
|
- длина
|
3 000
|
|
- ширина
|
3 000
|
|
- высота
|
3 000
|
.2.2 Основные технические характеристики вертикальных токарных станков с
ЧПУ, VTC серии
В таблице 1.2 приведены основные технические характеристики вертикальных
токарных станков с ЧПУ, VTC серии.
Таблица 1.2 - Основные технические характеристики станков VTC серии
|
Модель
|
VTC3240
|
VTC5060
|
VTC6070
|
VTC8080
|
|
Макс. диаметр
устанавливаемого на станок изделия
|
мм
|
Ø500
|
Ø600
|
Ø780
|
Ø1000
|
|
Шпиндель
|
Частота вращения
|
об/мин
|
50-2500
|
50-2000
|
50-750
|
50-800
|
|
Момент
|
Н∙м
|
450
|
730
|
730
|
2200
|
|
Мощность двигателя
|
Постоянная/30 мин
|
кВ
|
15/18.5
|
22/30
|
22/30
|
37/45
|
|
Диаметр зажимной патрон
|
дюйм, мм
|
12"
|
15"
|
21"
|
24"
|
|
Быстрое перемещение
суппорта по оси Х
|
м/мин
|
20
|
15
|
10
|
10
|
|
Быстрое перемещение
суппорта по оси Z
|
м/мин
|
20
|
15
|
15
|
12
|
|
Ход суппорта по оси Х
|
мм
|
300
|
320
|
375
|
800 (Вертикал. револьвер.
головка) 520 (Горизонт. револьвер. головка)
|
|
ход суппорта по оси Z
|
мм
|
450
|
600
|
700
|
850
|
|
Точность обработки
|
|
IT6-IT7
|
IT6-IT7
|
IT6-IT7
|
IT6-IT7
|
|
Шероховатость поверхности
заготовки
|
μм
|
Ra1.6
|
Ra1.6
|
Ra1.6
|
Ra1.6
|
|
Точность позиционирования
|
X ось
|
мм
|
0.016
|
0.018
|
0.018
|
0.018
|
|
Z ось
|
мм
|
0.018
|
0.020
|
0.020
|
0.020
|
|
Точность перепозициониров.
|
X ось
|
мм
|
0.005
|
0.006
|
0.006
|
0.0075
|
|
Z ось
|
мм
|
0.006
|
0.008
|
0.008
|
0.015
|
|
Тип револьверной головки
|
|
Горизонтальная 8-
позиционная
|
Горизонт. 6- Позицион.
|
|
Вес
|
кг
|
6000
|
9000
|
12000
|
15000
|
|
Габаритный размер (Д×Ш×В)
|
мм
|
3220×
1843× 2543
|
3700×
2265× 3050
|
3640×
2510× 3 438
|
2960×
3920× 3671
|
|
|
|
|
|
|
|
|
2. ОПРЕДЕЛЕНИЕ ТЕХНИЧЕСКИХ
ПАРАМЕТРОВ СТАНКА И ПРИВОДА
2.1 Назначение станка
Токарные станки с ЧПУ предназначены для наружной и внутренней обработки
сложных заготовок деталей типа тел вращения. Токарные станки составляют самую
значительную группу по номенклатуре в парке станков с ЧПУ. На токарных станках
с ЧПУ выполняют традиционный комплекс технологических операций: точение,
отрезку, сверление, нарезание резьбы и др.
В мелкосерийном и среднесерийном производстве с частой сменой
изготавливаемых изделий наибольшее распространение получили автоматизированные
станки с ЧПУ. Станок с ЧПУ позволяет осуществлять взаимное перемещение детали и
инструмента по командам без применения материального аналога обрабатываемой
детали (кулачков, шаблонов, копиров).
Основные преимущества станков с ЧПУ следующие: простота модификации
технологического процесса путем внесения корректирующих программ в запоминающее
устройство микро ЭВМ; высокие режимы обработки с использованием максимальных
возможностей станка; исключение предварительных ручных разметочных и
прогоночных работ; повышение производительности труда за счет сокращения
вспомогательного и машинного времени обработки; повышение точности и
идентичности деталей; сокращение числа переустановок деталей при обработке и
сроков подготовки производства.
2.2
Характеристики выполняемых на станке операций
На токарном станке обрабатывают заготовки с поверхностями вращения: валы,
оси, втулки, диски, кольца, шестерни, фланцы, барабаны и т. д. Поскольку в
большинстве машин и механизмов преобладающее количество деталей представляют
собой тела вращения, то на машиностроительных заводах станки токарной группы
являются наиболее распространенными. Кроме точения, на токарных станках можно
производить сверление, зенкерование, развертывание, центрование, зенкование,
затылование, накатывание поверхности, алмазное выглаживание, опиливание,
шлифование, притирание и полирование.
Наружные цилиндрические поверхности обтачивают с помощью вертикального
или бокового суппорта. Предпочтение отдается первому способу, так как второй
способ применяют только при сравнительно небольшом вылете L ползуна бокового
суппорта. Однако большую точность при обработке сравнительно высоких заготовок
обеспечивает боковой суппорт из-за постоянства сил отжатой. Черновую обработку
двумя резцами и более по методу деления припуска применяют для заготовок с
большими припусками, а черновую и получистовую обработку по методу деления
длины - для заготовок с небольшими припусками, а также ступенчатыми
цилиндрическими поверхностями. На рисунке 2.1 представлены схемы обтачивания
цилиндрических поверхностей.
Торцовые поверхности обрабатывают как вертикальным, так и боковым
суппортом. Вертикальный суппорт позволяет обрабатывать поверхности любых
размеров с направлением подачи от периферии к центру. Подачу от центра
применяют при обработке закрытых поверхностей. Боковым суппортом обрабатывают
неширокие торцовые поверхности, расположенные в зоне действия суппорта.
Точность обработки снижается с увеличением вылета L. Обтачивание несколькими
резцами по методу деления длины с увеличенной подачей применяют при черновой и
получистовой обработке широких кольцеобразных торцовых поверхностей. Резцы
размещают со сдвигом относительно друг друга. Обтачивание несколькими резцами
по методу деления припуска применяют при черновой обработке торцовых
поверхностей с большими припусками. На рисунке 2.2 схемы обработки торцовых
поверхностей.
Рисунок 2.1 - Схемы обтачивания цилиндрических поверхностей:
а) с помощью вертикального суппорта;
б) с помощью бокового суппорта;
в) двумя резцами, методом деления припусков;
г) черновая и получистовая обработка методом деления длины
Рисунок 2.2 - Схемы обработки торцовых поверхностей:
а) обработка вертикальным суппортом;
б) обработка боковым суппортом;
в) обработка методом деления двумя суппортами;
г) обработка методом деленя несколькими резцами
Уступы шириной не более 20 мм можно подрезать резцом с φ=90°
при вертикальной подаче.
Путь резания определяется припуском h на обработку. Затраты времени минимальны.
Однако возможно возникновение вибраций. При подрезании уступа с горизонтальной
подачей инструмента путь резания равен ширине уступа l, и трудоемкость
обработки соответственно возрастает.
На рисунке 2.3 изображены схемы подрезания уступов.
Рисунок 2.3 - Схемы подрезания уступов:
а) вертикальной подачей;
б) горизонтальной подачей;
в), г) вертикальной и горизонтальной подачей.
Канавки шириной до 25 мм, к которым не предъявляют высоких требований по
точности размеров и расположению, прорезают одним или несколькими резцами за
один рабочий ход. При повышенных требованиях к точности обработку осуществляют
за два рабочих хода: черновой и чистовой тем же резцом. Канавки шириной более
25 мм и фасонные канавки прорезают за несколько рабочих ходов одним или
несколькими резцами.
Рисунок 2.4 - Схемы прорезания канавок:
а) шириной до 25 мм; б) шириной более 25 мм; в) фасонные канавки; г) специальная
оправка для обработки канавок.
Число необходимых для выполнения операции инструментов всех типов и
геометрические параметры зависят от принятой схемы движения на дополнительных
переходах при съеме припуска.
На рисунке 2.5 изображены схемы движения инструментов при снятии
припусков на станке с ЧПУ.
Рисунок 2.5- Схемы движения инструментов при снятии напусков на станке с
ЧПУ в полуоткрытых (а и б) и в закрытых (в-е) зонах: D, d, h, R - выдерживаемые
размеры
2.3 Компоновочная
схема станка
На рисунке 2.6 изображен вертикальный токарный станок с ЧПУ мод.CK514.
Рисунок 2.6 - Вертикальный токарный станок с ЧПУ
Высокоэффективный вертикальный токарный станок с ЧПУ для обработки
заготовок дисковой формы среднего и малого размеров. Станина и колонна станка
изготовлены из высококачественного чугуна. Обладает хорошей устойчивостью и
превосходной ударопрочностью. Удобная установка заготовки и малая занимаемая
площадь благодаря вертикальной конструкции. Конструкция, разделяющая воду и
СОЖ, делает систему охлаждения чистой, не вредящей окружающей среде и
долговечной. Отдельный бак для СОЖ. Легко чистится. Высокоточный, с высокой
жесткостью выдвижной шпиндель удобен в эксплуатации и обслуживании. Пиноль
шпинделя полностью симметрична и спроектирована для предотвращения влияния
температурной деформации на точность обработки. Мощный двигатель переменного
тока шпинделя улучшает стабильность работы станка. Для смазки шпинделя
применяется высококлассная импортная смазка, закрытая система не нуждается в
обслуживании. Линейные роликовые направляющие, предназначенные для сверх
высоких нагрузок, расположены на суппорте и колонне. Станок обладает хорошей
динамической реакцией и сохраняет высокую точность. Оборудован
высококачественной 6-ти инструментной вертикальной электрической поворотной
головкой. Обладает хорошей жесткостью, совершает быструю и надежную замену
инструмента. Панель централизованного управления станком делает управление
более удобным и быстрым. В качестве направляющих винтов по осям X/Z применяются
высокоточные шариковые винты и специальные подшипники для направляющих винтов с
постоянной точностью.
2.4 Основные
технические характеристики станка
Таблица 2.1 - Основные технические характеристики вертикального токарного
станка с ЧПУ мод.CK514
|
Параметр
|
Ед. Измерения
|
Значение
|
|
1
|
2
|
3
|
|
Max диаметр обработки над
станиной
|
мм
|
Ø250
|
|
Max диаметр обработки над
суппортом
|
мм
|
Ø150
|
|
Max высота обработки
|
мм
|
350
|
|
Диаметр гидравлического
патрона
|
мм
|
Ø305
(12")
|
|
Размер переднего конца
шпиндель
|
|
А2-8
|
|
Диаметры под подшипниковые
опоры шпинделя
|
мм
|
Ø130/Ø120
(передний/задний)
|
|
Продолжение таблицы 2.1
|
|
1
|
2
|
3
|
|
Диапазон оборотов шпинделя
|
Об/мин
|
30-3000
|
|
Мощность шпинделя
|
кВт
|
18.5/22
|
|
Наибольший крутящий момент
шпинделя
|
Нм
|
1020
|
|
Перемещения (X/Z)
|
мм
|
450/550
|
|
Скорость быстрого
перемещения (X/Z)
|
м/мин
|
12/16
|
|
Крутящий момент
серводвигателя (X/Z)
|
Нм
|
12/22
|
|
Мощность серводвигателя
(Z/Z)
|
кВт
|
3.0/4.0
|
|
Число инструментальных мест
|
|
6
|
|
Сечение инструмента
(обточка/расточка)
|
мм
|
32х32/ф12-ф50
|
|
Источник питания
|
кВА
|
50
|
|
Габариты (ДхШхВ)
|
мм
|
1650х1750х2400
|
|
Вес
|
кг
|
5000/6000
|
.5 Схема
рабочей зоны станка с основными размерами
Схема рабочей зоны вертикального токарного станка с ЧПУ мод.CK514
представлена на рисунке 2.7.
Рисунок 2.7 - Схема рабочей зоны вертикального токарного станка с ЧПУ
мод.CK514
На рисунке 2.8 представлены габариты вертикального токарного станка с ЧПУ
мод.CK514.
Рисунок 2.8 - Габариты вертикального токарного станка с ЧПУ мод.CK514
2.6 Графики крутящего момента и мощности на шпинделе
Шпиндель и суппорт приводятся в движение от асинхронных двигателей, что
обеспечивает быстрое позиционирование с минимальным временем отклика, высокие
скорости быстрых перемещений. Графики представлены на рисунке 2.9.
Рисунок 2.9- Графики крутящего момента и мощности на шпинделе
.7 Параметры
точности и жесткости узла, регламентируемые стандартами
Шпиндельные узлы должны удовлетворять ряду требований:
.Точность вращения шпинделя, характеризующая радиальным и осевым биением
переднего конца, оказывает сильное влияние на точность обрабатываемых деталей.
.Жесткость шпиндельного узла характеризуется его деформациями под
действием нагрузок. Допустимая минимальная жесткость переднего конца шпинделя
универсальных станков 200 Н/мкм.
3.
КИНЕМАТИЧЕСКИЙ
РАСЧЕТ ПРИВОДА С БЕСТУПЕНЧАТЫМ РЕГУЛИРОВАНИЕМ ЧАСТОТЫ ВРАЩЕНИЯ ШПИНДЕЛЯ
.1 Исходные данные к расчёту
Максимальная частота вращения nmax, об/мин 2800 Минимальная частота вращения nmin, об/мин 40 Максимальный диаметр обработки детали над
станиной, мм 250
3.2 Расчёт привода
Определение крутящего момента шпинделя Мкр, H∙м:
Мкр= с1∙с2∙Dmax=3000∙0.85∙250∙103=637,5
H∙м.
где с1- коэффициент, учитывающий силу резания c1=3000.
с2- коэффициент, учитывающий колебания сил резания c2=0,85.
Определение номинальной расчётной частоты вращения шпинделя nном. расч., об/мин:
nmin
Rпр=nmzx/nmin=2800/40=70.

.
Принимаем
nном = 160 об/мин.
Определение
номинальной мощности двигателя Nдв кВт:
Nн.р.= Мкр*
.
ωн.р.=
с-1.
Nн.р.=637,5∙16,75=10678,125Вт
= 10,7 кВт.
Nдв= Nн.р./η=10,7/0,8=13,35 кВт.
Выбор
приводного электродвигателя:
Согласно
расчёту номинальной мощности, выбираем двигатель из каталога:
Тип:
Siemens 1PH7 133-2NF.
Мощность
двигателя N=15кВт.
Максимальная
частота вращения nmax=8000 мин-1.
Номинальная
частота вращения nном=1500
мин-1.
Определение
числа ступеней механического регулирования привода zмех:
Принимаем Zмех = 2
.3 Структура
привода
Задаемся структурой привода главного движения (рисунок 3.1).
Рисунок 3.1 - Структура привода главного движения
Двухступенчатый переключаемый редуктор 2 Siemens 1PH7 с
передаточными отношениями u1=1, u2=4 жёстко закреплён на двигателе 1.
Вращение передается на шпиндель через ременную передачу с передаточным
отношением u=2,31.
3.4 Построение
графика частот вращения шпинделя и диаграммы мощности на шпинделе
На рисунке 3,2(a)
приведен график частот вращения шпинделя с указанием поддиапазонов
регулирования. На рисунке 3,2(б) приведена диаграмма мощности на шпинделе.
Рисунок 3.2 - а) - График частот вращения шпинделя с указанием
поддиапазонов регулирования;
б) - Диаграмма мощности на шпинделе
4. ПРЕДВАРИТЕЛЬНЫЙ РАСЧЁТ
ПРИВОДА
.1 Расчет
крутящих моментов на валах
Расчетная частота шпинделя np=
160 мин-1.
Рассчитаем максимальный крутящий момент на валу электродвигателя по
следующей формуле:

.
Крутящие
моменты на валах определяем через передаточное отношение:
4.2 Расчёт
ременной передачи {3, стр 18}
Исходные данные для расчета: u=2,34 и Тдв=637.5 Н·м.
Определяем сечение ремня и размеры сечения (рисунок 4.1 ,таблица 4.1).
Рисунок 4.1 - Параметры поперечного сечения поликлинового ремня
Сечение ремня можно найти как зависимость f(Т1р), по таблице 2.3.1
Где Т1р=Тдв·Ср - расчетный передаваемый момент, Н·м.
Где Ср - коэффициент, учитывающий динамичность нагружения передачи и
режим ее работы, см. таблицу 2.2.2, при двухсменной и среднем режиме работ Ср
=1.2.
Получим: Т1р=637.5·1.2=765 Н·м.
Тогда сечение ремня М.
Таблица 4.1 - Размеры и параметры поперечного сечения М поликлинового
ремня
|
Сечение ремня
|
Т1, Н·мм
|
Число ребер z,
шт
|
Размеры сечения, мм
|
Длина ремней Lp,
мм
|
|
|
|
tp
|
Hp
|
H
|
hp
|
R1
|
R2
|
|
|
М
|
>400
|
2…20
|
9.5
|
16.7
|
3.5
|
10.45
|
0.4
|
1.0
|
2000...4000
|
Минимальный расчетный диаметр ведущего шкива, определяем как зависимость d1min=f(сечение
ремня) по таблице 2.3.1 d1min=110 мм.
Расчетный диаметр ведомого шкива:
d`2= d1·u=110·2,34=257,4 мм.
Округляем до стандартного значения и по ГОСТ 20889-88 принимаем d2=250 мм.
Тогда действительное передаточное число проектируемой передачи:
где ε =
0.01…0.02 - коэффициент упругого
скольжения, принимаем равным 0.015.
Определяем погрешность передаточного числа:
%
1.29%<3%-что допустимо.
Минимальное
межосевое расстояние определяем по формуле:
amax =2(d1+d2)=2·(110+250)=720 мм.=(аmin+
amax)/2=(214,7+720)/2=467,35 мм.
Расчетная длина ремня:
Округляем
до стандартного большего значения и по таблице 2.2.6, стр.17 принимаем Lp =
1250 мм.
Тогда
действительное межцентровое расстояние равно:
Скорость
ремня определяем по формуле:
Где nдв
ном - номинальная частота вращения двигателя, 1500 мин-1.
Число
пробегов ремня:
υ=v/Lр ≤ [υ] , где [υ] = 40 с-1.
υ = 19,625/1250 = 15,27 с-1, что допустимо.
Определим
угол обхвата ремнем ведущего шкива:
Значение
коэффициента, учитывающего влияние угла обхвата на ведущем шкиве находим
используя зависимость Сα=f(α˚) по таблице 2.1.3 , получим Сα = 0,98.
Поправка
мощности, учитывающая влияние уменьшения изгиба ремня на большем шкиве равна:
По
таблице 2.3.2 ΔТ1 = 38, тогда:

.
Допускаемая
мощность для 10 ребер:
.
Где [P10]0
- номинальная мощность, передаваемая 10-ю ребрами ремня, кВт. Для нашего случая
по таблице 2.3.4 - 53,8 кВт. Тогда:

.
Сила,
нагружающая валы передачи:
Где
- предварительное натяжение ремня, Н.
-
окружное усилие.
φ = (0.45…0.55) - коэффициент тяги, принимаем φ = 0.55.
Тогда:
Так
как станок высокой точности, то периодически будет проводится контроль
натяжения ремня, поэтому:
Таблица
4.2 - Шкивы для поликлинового ремня
|
Сечение ремня
|
Размеры, мм
|
|
t
|
h0
|
r1
|
r2
|
s
|
δ
|
|
М(М)
|
9,6±0.005
|
13,05
|
0.8
|
0.6
|
10
|
3.5
|
Ширина шкива:
Вш= (z-1)*t +2s =
(5-1)*9,6 +2*10 = 58 мм.
Рисунок 4.2 - Обод шкива для поликлинового ремня
5. ОБОСНОВАНИЕ ГЛАВНЫХ РАЗМЕРОВ И
КОНСТРУКЦИИ ШПИНДЕЛЬНОГО УЗЛА
Шпиндельный узел станка состоит из шпинделя, его опор, приводного
элемента. В шпинделе выделяют передний конец и межопорный участок.
На шпиндель действуют нагрузки, вызываемые силами резания, центробежными
силами, возникающими от неуравновешенности вращающихся деталей самого
шпиндельного узла. Проектирование узла включает: выбор типа привода, опор,
устройств для их смазывания и защиты от загрязнений; определение диаметра
шпинделя, расстояния между опорами и разработку конструкции всех элементов.
.1
Обоснование диаметра передней шейки шпинделя, межопорного расстояния и вылета
переднего конца
Размеры шпинделя влияют на его жесткость, температуру опор, точность.
Так, с увеличением диаметра повышается жесткость, но и возрастает
тепловыделение. Жесткость зависит также от расстояния между опорами и длины
консоли. Расстояние от переднего торца шпинделя до середины передней опоры,
называемое вылетом шпинделя, выбирается минимальным.
Передний конец шпинделя служит для базирования и закрепления режущего
инструмента, обрабатываемой детали и приспособления. Передние концы выполняются
по государственным стандартам.

Рисунок 5.1 -Фланцевый конец шпинделя токарного станка
Исходя из наибольшего размера обрабатываемых деталей, предварительно
принимаем условный размер конца шпинделя - 6 , основные размеры которого
представлены в таблице 6.4, стр.141 [2].
Диаметр посадочного отверстия переднего подшипника определяется
наибольшей частотой вращения шпинделя; диаметр переднего конца шпинделя -
наибольшей допускаемой температурой.
Диаметр передней шейки шпинделя под посадочное отверстие переднего
подшипника определяем по зависимости:
Где k -
характеристика быстроходности, для многоцелевых токарных станков k
задается диапазоном (3,5…7,2)·105 мм·мин-1; nmax -
максимальная частота вращения шпинделя, 3300 мин-1.
Тогда:

мм.
Где
k=3,0..4,5 по {6, стр.31}
Принимаем
d = 105 мм по ГОСТ 20821-75 и ГОСТ 520-89 для
подшипников.
Определим
межопорное расстояние: верхнее возможное значение определяется длиной
шпиндельной бабки, нижнее - условиями размещения на шпинделе необходимых
устройств, в том числе приводного элемента, а также сильным влиянием расстояния
l на передачу биения подшипников на передний конец
шпинделя.
Тогда
по критерию биения переднего конца шпинделя межопорное расстояние равно:
Тогда,
исходя из выше перечисленных требований и конструкторских соображений принимаем
предварительно межопорное расстояние равное l = 300 мм.
5.2 Выбор
типа подшипников для опор шпинделя, обоснование схемы установки подшипников в
опорах
Тип подшипника выбираем по критериям точности, жесткости и частоты
вращения шпинделя. Для средних токарных станков высокой точности и высоким
параметром быстроходности k =
(3,0…4,5)·105 мм·мин-1 применяем Двухрядные роликовые подшипники с
короткими цилиндрическими роликами тип 3182100К и упорно-радиальный сдвоенный
шариковый подшипник с углом контакта 60° типа 178000Л.
Жесткость подшипника характеризуется отношением действующей на нeгo
нагрузки к вызываемому ею упругому сближению колец (при этом контактные
деформации на посадочных поверхностях не учитываются), Различают радиальную и
осевую жесткость.
Двухрядные роликовые подшипники с короткими цилиндрическими роликами,
предназначены для восприятия только радиальной нагрузки. Подшипники типа
3182100 имеют гладкую дорожку качения (без буртов) на наружном кольце.
Благодаря наличию конического отверстия во внутреннем кольце при его осевом
перемещении относительно конической шейки шпинделя регулируется радиальный
зазор в подшипнике. Описываемые подшипники применяются в шпиндельных узлах,
предназначенных для работы при больших радиальных нагрузках и средних частотах
вращения. Их параметр быстроходности dm∙nmax ≤ 3∙105 мм∙мин-1,
диапазон регулирования частоты вращения не превышает 500.
Упорно-радиальные сдвоенные шариковые подшипники с углом контакта 60°
предназначены для восприятия только осевой нагрузки. В состав подшипника типа
178800Л входят два тугих внутренних кольца, свободное наружное кольцо,
проставочное кольцо, тела качения, два массивных сепаратора, Ширина
проставочного кольца обусловливает величину предварительного натяга, благодаря
которому отпадает необходимость в регулировании натяга в процессе монтажа шпиндельного
узла, повышается стабильность натяга и долговечность подшипника.
Упорно-радиальные шариковые подшипники выпускаются в двух исполнениях,
различающихся диаметром отверстия внутреннего кольца. При размещении такого
подшипника в опоре со стороны малого или большого диаметра конической
посадочной шейки, предназначенной для роликоподшипника с короткими
цилиндрическими роликами, применяют упорно-радиальные подшипники соответственно
серий 178800 или 178900. Параметр быстроходности подшипников dm∙nmax = (4...5) 105 мм∙мин Быстроходность подшипников
данного типа приблизительно в 2 - 2,5 раза выше быстроходности обычных упорных
подшипников Диапазон регулирования частоты вращения достигает 1000.
Упорно-радиальный сдвоенный шариковый подшипник устанавливают в опору вместе с
роликоподшипником, воспринимающим только радиальную нагрузку.
5.3
Обоснование схемы установки подшипников в опорах
В станкостроении найдены компоновочные решения шпиндельных узлов,
удовлетворяющие требованиям к уровню их быстроходности, поэтому для достижения
требуемой точности, жесткости и быстроходности шпиндельного узла принимаем
компоновку следующего вида (рисунок 5.2):
Рисунок 5.2 - Упрощенная схема установки подшипников в шпиндельном узле
Как видно из рисунка 5. 2 в передней опоре скомпонованы двухрядный
роликовый подшипник с короткими цилиндрическими роликами и упорно-радиальный
сдвоенный шариковый подшипник с углом контакта 60°, в задней опоре установлен
двухрядный роликовый подшипник с короткими цилиндрическими роликами.
Коэффициент быстроходности для данной схемы: k=(3,0..4,5)105.
Данная схема установки подшипников позволяет получить необходимые
максимальные значения частот вращения при соблюдении требуемой точности и
жесткости шпиндельного узла, поэтому она вполне соответствует нашим
требованиям.
.4 Выбор способа создания и регулирования предварительного натяга
подшипников
Для повышения жесткости опоры приложим к ней предварительную нагрузку, с
помощью которой устраним зазоры в подшипниках и тем самым создадим в них
предварительный натяг, который бывает жестким и мягким.
Жесткий натяг получается в результате жесткой фиксации колец подшипника
друг относительно друга, для чего сошлифовывают торец одного кольца и смещают
его в осевом направлении, устанавливая втулки различной длины между наружными и
внутренними кольцами подшипников. Мягкий натяг создается за счет пружины.
В нашем проекте применяется жесткий натяг. По мере изнашивания
подшипников натяг снижается и требуется его регулировка, для чего производится
подшлифовка втулок, колец. Регулировку величины натяга осуществляем гайкой.
Необходимо отметить, что в устройствах для регулировки подшипников гайка должна
надежно фиксироваться после достижения требуемого натяга в подшипниках, т.е в
любом угловом положении или через каждые 20…30˚. Применяемая гайка
фиксируется после регулировки с помощью зажатия винта, который деформирует
пластический материал.
.5 Выбор
приводного элемента шпинделя
Типовой компоновкой для станка с ЧПУ является шпиндельная бабка с
приводом от ременной передачи. Данный вид компоновки обеспечивает высокую
точность обработки в связи с тем, что на работу шпиндельного узла не влияют
вибрации коробки скоростей. Также существенно упрощён ремонт.
.6 Обоснование метода и системы смазывания шпиндельных опор
Смазывание шпиндельных подшипников осуществляется консистентным смазочным
материалом (ЛКС-2 ТУ38101.1015-85).
Преимущество консистентных смазок состоит в том, что они остаются в
подшипнике, так как в силу своей консистенции они просто не вытекают из него
под действием силы тяжести Кроме того, излишек смазки на кромке подшипника
выполняет роль герметика и защищает его от загрязнений из окружающей среды.
Консистентные смазки различаются по типу загустителя и базового масла.
Существуют консистентные смазки с мыльным загустителем и консистентные смазки с
загустителем другого типа. В обеих группах базовое масло может состоять или из
минерального масла или из синтетической жидкости.
Режим потока консистентных смазок определяется, с одной стороны,
вязкостью базового масла, с другой стороны, загущающим действием мыла и их
зависимостью от температуры, давления, скорости и длительности сдвига. Так как
для большинства типов масла невозможно измерить режим потока с необходимой
точностью, то попытки определить режим потока консистентных смазок в настоящее
время представляются бессмысленными. По этой причине, когда рассчитывают
значения нагрузочной способности, обычно ссылаются на приблизительные грубые
расчеты, полученные опытным путем. Известные методы расчетов допускают
погрешность, при которой сохраняется безопасность. Это означает, что
консистенция не дает возможности для каких-либо предположений на предмет
нагрузочной способности консистентной смазки. Такую возможность дают только
свойства, связанные со сверхвысоким давлением и устойчивостью к износу.
5.7 Описание
уплотнений шпиндельных опор
Уплотнения защищают подшипники от загрязнений и смазочно-охлаждающей
жидкости, препятствуют вытеканию смазочного материала из опор. Учтя наклонное
расположение шпинделя, а также высокие частоты его вращения, применим
бесконтактные динамические (рисунок 5.3) зигзагообразные лабиринтные уплотнения
радиального типа. Эти уплотнения обеспечивают наилучшую герметичность опор
шпинделя, они выполняют свои функции тем лучше, чем выше частота вращения
шпинделя.


а) б) в)
Рисунок 5.3 - a) б) уплотнение
лабиринтное для опор шпинделя; в) уплотнения
Обоснование выбора типа уплотнений:

.
Где
dn - посадочный диаметр, м ; n- максимальная
частота.
υдоп >8..10 м/с
Тогда
а)

= 
16,11 м/c ,
что допустимо.
б)

13,95 м/c ,
что допустимо.
в)

19,78 м/c,что
допустимо.
5.8
Обоснование допустимых отклонений размеров поверхностей сопряженных с
подшипниками опор шпинделя
Если подшипники качения сопрягаются с деталями относительно низкой
точности, в процессе монтажа подшипников и регулирования зазоров или натяга
профиль дорожек качения искажается, в результате чего жесткость и точность
шпиндельного узла снижаются. Поэтому отклонения размеров и форм поверхностей
деталей, сопряженных с подшипниками качения, должны быть меньше отклонений
контактирующих с ними поверхностей подшипников. Посадки подшипников, принятые в
соответствии с предложенными рекомендациями и способами монтажа, показаны на
прилагаемых чертежах спроектированного привода.
.9
Обоснование выбора посадок
В соответствии с требованиями, а так же принимая во внимание
рекомендуемые значения полей допусков справочных таблиц, посадки под подшипники
и другие детали, посадки выбираем в зависимости от конкретных условий его
монтирования (чертёж).
6. Проверочные расчёты привода и шпиндельного
узла
.1 Расчет шпиндельного узла на жёсткость [5]
При расчете на жесткость {4} шпиндель рассматривают как балку
ступенчато-переменного сечения на податливых точечных опорах. Жесткость
шпиндельного узла определяют с учетом жесткости его опор. При этом определяют
упругое перемещение шпинделя в сечении его переднего конца, для которого
производят стандартную проверку шпиндельного узла на жесткость. Это перемещение
принимают в качестве упругого перемещения переднего конца шпинделя.
Отметим, что в перемещении учитывают только деформации тела шпинделя и
его опор. Собственные деформации обрабатываемой детали, режущего инструмента,
конического или другого соединения инструмента со шпинделями определяют
дополнительными расчетами, не относящимися к расчету шпиндельного узла на
жесткость.
Находят радиальную и осевую жесткость. При расчете радиальной жесткости
все силы приводят к двум взаимно перпендикулярным плоскостям Y и Z, проходящим через ось шпинделя. Вычисляют радиальное
перемещение его переднего конца в этих плоскостях, а затем суммарное
перемещение:
Необходимо
учитывать существенное влияние осевой опоры на перемещение переднего конца, что
является следствием защемляющего (реактивного) момента, возникающего в осевой
опоре и противоположного по знаку моменту нагрузки. Дополнительное радиальное
перемещение представляет собой сдвиг переднего конца под действием силы,
возникающей как следствие защемляющего момента.
Радиальное
перемещение шпинделя в заданном сечении, например в плоскости Y
равно:
Где
δ1
- перемещение, вызванное изгибом тела
шпинделя.
δ2 - перемещение, вызванное нежесткостью (податливостью) опор.
δ3 - сдвиг, вызванный защемляющим моментом.
δ4 - перемещение, вызванное податливостью контакта между кольцами подшипника
и поверхностями шпинделя и корпуса.
Необходимые для расчета линейные размеры:- вылет переднего конца
шпинделя; a=87мм.
b
-расстояние от приводного элемента до передней опоры; b=430 мм.
c
-расстояние от приводного элемента до задней опоры шпинделя; с=130 мм.
l -
расстояние между опорами шпинделя; l=300мм.
Расчетная схема показана на рисунке 6.1.
I1 -
среднее значение осевого момента инерции сечения консоли:
.
Где
Dk - средний диаметр консоли, мм;
Где
145; 110; 105; 106; 150 мм.
= 20; 27;20;
5; 14 мм.
Dk =
мм.
dк - средний
диаметр отверстия консоли, мм.
Где
56мм;
= 87 мм.
dк = 
мм.
В
итоге среднее значение осевого момента инерции сечения консоли:
I2 - среднее
значение осевого момента инерции шпинделя в пролете между опорами:
Где
Dо - средний диаметр межопорной части, мм.
.
Где
=105; 100; 95 мм.
=210;
75;20 мм.
dо - средний
диаметр отверстия межопорной части, мм.
65; 50 мм.
l
8; 295 мм.
В
итоге среднее значение осевого момента инерции шпинделя в пролете между
опорами:
На рисунке 6.1 представлена расчётная схема
Рисунок 6.1 - Расчетная схема

.

.
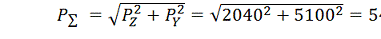
Pzz=Pz
cos30=5100
cos30=4416,73H.
Pzy=Pz
sin30=5100
sin30=2550Н.=Py
cos30=2040
cos30=1766.7H.=Py
sin30=2040
sin30=1020Н.∑=Pyz+Pzz+Pyz-Pzz=1020+4416.73+1020+4416.73=2040H.∑=Pyy+Pzy+Pzy-Pzz=1766.7+2550+2550-1766.7=5100Н.

Н.
Q=
H.
Жесткость
передней и задней подшипниковых опор выбираем по базе данных программы “СОДКО”.
На основании схемы установки подшипников в передней и задней подшипниковых
опорах и посадочных диаметров подшипников.
Радиальная
жёсткость передней подшипниковой опоры :
ja =1530 H/мкм.
Радиальная
жёсткость задней подшипниковой опоры:
jb = 1100 H/мкм.
Упругое
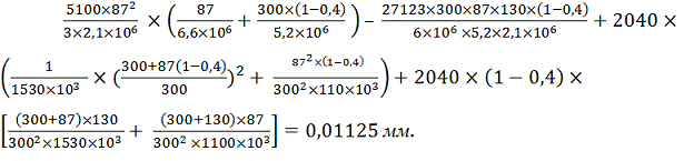
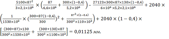
перемещение переднего конца шпинделя по оси OZ:
δz =

Упругое
перемещение переднего конца шпинделя по оси OY:
δy
Упругое перемещение переднего конца шпинделя:
[δ]≤(1-2)
= 0,03…0.06 мм.
δ<[δ].
,0123<0,03…0.06.
Угол поворота оси шпинделя в передней опоре:
Угол
поворота оси шпинделя в передней опоре:
Допускаемый
угол поворота
[θ] = 0.0001…0.00015 рад.
,00028<0,00015.
Вывод: жесткость шпинделя обеспечена.
7. Разработка смазочной системы
Смазочный материал в подшипниках применяют в целях снижения трения
скольжения и изнашивания в контакте тел качения с кольцами, сепаратором и
сепаратора с направляющими буртиками колец. Он предохраняет тела качения и
сепаратор от непосредственного контакта и коррозии, обеспечивает отвод теплоты.
При выборе способа смазывания, используемого материала, и уплотнений
необходимо учитывать условия эксплуатации: действующие нагрузки, подвод
смазочного материала, частоту вращения шпинделя, температуру шпинделя и ее
влияние на вязкость материала, положение шпинделя. Исходя из вышеперечисленных
параметров, для данного узла выбираем систему смазывания с помощью
консистентной смазки ЛКС-2 ТУ38101.1015-85. Шпиндель имеет наклонное
расположение, поэтому смазка под действием собственного веса будет стекать от
верхней части подшипников к нижней части.
Пластичные смазочные материалы применяют в тех случаях, когда специальное
охлаждение опор не требуется. Такие смазочные материалы особенно целесообразно
применять в шпиндельных узлах, расположенных наклонно или вертикально.
Расход смазочного материала (на стр.161 {2}):
Объём масла, заложенного в опору:
=dm *B*k.
Где dm - средний диаметр подшипника, мм; В
- ширина подшипника, мм; k - коэффициент, равный 0,01;0,015;0,02;0,03;0,04 для
подшипников, имеющих диаметр отверстия соответственно 40…100 мм, 100…130,
130…160, 160…200, 200 и более миллиметров.
Определение объема масла для упорно-радиального сдвоенного шарикового
подшипника с углом контакта 60° типа 178000Л:
Периодически в опоры необходимо вводить дополнительные объёмы масла:
=D*B*k1.
Где D и B - наружный диаметр и ширина подшипника, мм; k1 - коэффициент,
зависящий от периодичности пополнения подшипника смазочным материалом (при
еженедельном пополнении k1 = 0,0015…0,002).пер=160*66*0,0018= 19см3.
Определение объема масла для двухрядных роликовых подшипников с короткими
цилиндрическими роликами тип 3182100К с посадочным диаметром 105:
пер=160*41*0,0018=
11,1см3 .
Определение объема масла для двухрядных роликовых подшипников с короткими
цилиндрическими роликами тип 3182100К с посадочным диаметром 95 мм:
пер=120*41*0,0018=
8,856см3 .
Дополнительные
вводимые смазочные материалы могут быть увеличены в случае неблагоприятных
внешних факторов, действующих на подшипник (запылённость и др.).
8. РАЗРАБОТКА ТЕХНИЧЕСКИХ ТРЕБОВАНИЙ К
ГЛАВНОМУ ПРИВОДУ И ШПИНДЕЛЬНОМУ УЗЛУ
В состав технических требований входят:
требования по способам достижения точности соединения, если точность
обеспечивается подбором, пригонкой, регулированием и так далее;
требования к способам испытания и контролю изделия и его составных
частей;
условия эксплуатации станка;
требования к параметрам технической характеристики, обеспечиваемым
сборкой;
требования к способам смазывания узлов станка.
Численные значения перечисленных выше параметров определяются
соответствующими ГОСТами.
Реализованные технические требования смотри на представленной графической
части.
Литература
1. http://www.bibliotekar.ru
2. Кочергин А.И. Конструирование и расчет металлорежущих
станков и станочных комплексов. Курсовое проектирование: Учебное пособие для
вузов, - Мн.: Выш. шк., 1991.
. Атлас по проектированию деталей машин: Учеб.
Пособие/ А. Т. Скойбеда, В. А. Курмаз; Под общ. Ред. А.Т. Скойбеды. - Мн.: Выш.
шк.,2000.
. Глубокий В.И., Туромша В.И. Расчет приводов станков
с ЧПУ: методическое пособие по конструированию и расчёту станков для студентов
машиностроительных специальностей.- Мн.: БНТУ, 2011. 176с.
. Кочергин А. И., Василенко Т.В. Шпиндельные узлы с
опорами качения: учебно-методическое пособие по курсовому проектированию
металлорежущих станков для студентов машиностроительных специальностей. - Мн.:
БНТУ, 2007. 124с.
. Кочергин А.И. Конструирование металлорежущих
станков. - Мн.: 1997.
. Каталог «KNUTH», 2009.