Экспертиза качества молока на примере ОАО 'Вними'
Содержание
Введение
. Литературный обзор
.1 Конъюнктура рынка молочной
продукции
.2 Факторы, формирующие
ассортимент и качество молока
.3 Ассортимент молока
.4 Требования, предъявляемые
к упаковке в товароведении
.5 Требования к качеству ,
экспертиза молока
. Объект и методы
исследования
.1 Объект исследования
.2 Методы исследования
. Экспериментальная часть
.1 Органолептическая оценка
молока
.3 Оценка
конкурентоспособности молока
Заключение
Список литературы
Введение
Молоко - полноценный продукт питания. Академик И. П.
Павлов сказал: «Между сортами человеческой еды в исключительном положении
находится молоко... как пища, приготовленная самой природой».
Легкая усвояемость - одно из наиболее важных свойств
молока как продукта питания. Более того, молоко стимулирует усвоение
питательных веществ других пищевых продуктов. Ежегодно в мире пьют более 600
млн л молока, потребление которого вносит разнообразие в питание, улучшает вкус
других продуктов.
Так, в 2008 г. производство молока в мире по
предварительным данным составило 600 млн т, что на 1,1 % больше, чем в
предыдущем году. Темпы роста замедлились из-за засухи и снижения доходов от
продаж, однако увеличение объема производства соответствует тенденции последних
10 лет.
В среднем 76 % коровьего молока направляется на
промышленную переработку. Причем обработка молока в странах с развивающимися
рынками увеличивается. Продолжает возрастать доля продуктов с повышенной
питательной ценностью. Около 24 % молока идет на производство питьевого, кроме
того, для этих целей используется восстановленное молоко из сухого молока,
концентратов и молочного жира. Выработка масла и сухого обезжиренного молока
осталась практически на прежнем уровне, а сыра и сухого цельного молока
продолжала расти.
Молоко обладает лечебно-профилактическими свойствами.
Пищевая и биологическая ценность молока и молочных продуктов выше, чем у других
продуктов, встречающихся в природе. В молоке содержится более 120 различных
компонентов, в том числе 20 аминокислот, 64 жирные кислоты, 40 минеральных веществ,
15 витаминов, десятки ферментов и т. д.
Энергетическая ценность 1 л сырого молока составляет
2797 кДж. Основное значение молока в природе заключается в обеспечении питанием
рожденного молодого организма.
При употреблении 1 л молока удовлетворяется суточная
потребность взрослого человека в жире, кальции, фосфоре, на 53% - потребность в
белке, на 35% - в витаминах А, С и тиамине, на 26% - в энергии.
Самая важная задача производителей - сохранить
природные свойства молока и донести их без изменения до человека. Появление на
рынке молока большого количества производителей увеличило конкуренцию среди
них. В борьбе за рынок сбыта и увеличения срока годности молока иногда имеет
место фальсификация качества, то есть добавляются консерванты, сода , что вообще
не допустимо , например для пастеризованного молока.
Тема актуальна, так как необходим контроль за
соблюдением качества молока, как необходимого повседневного продукта.
Объект исследования - рынок молока.
Предмет исследования- пастеризованное молоко, производство
ОАО «ВНИМИ:.
Задачи работы :
. Показать факторы, формирующие ассортимент и
качество молока
. Изучить ассортимент молока
. Показать требования к качеству , экспертиза
молока
. Провести экспертизу качества молока.
При написании работы была использована литература по
товароведению, журналы, ГОСТы.
1. Литературный обзор
.1 Конъюнктура рынка молочной продукции
Предприятия молочной промышленности в 2009 г.
выработали продукции на 122 119 млн. руб., или около 15 % от общего объема
пищевой и перерабатывающей промышленности.
Мощности действующих предприятий на 01.01.2009 г.
позволяли перерабатывать более 250 тыс. т молока в сутки и производить в смену:
животного масла - 3317 т, цельномолочной продукции - 33 556 т, сычужного сыра -
672 т, молока сухого - 1331 т, молочных консервов - 2260 туб.[14, с.56]
Удельный вес прибыльных предприятий в общем количестве
составил 55,7 % (632 предприятия) против 59,2 % (684 предприятия) в 2006 г.,
соответственно убыточных - 44,3 (502) и 40,8 % (472). Дебиторская задолженность
за январь-декабрь 2009 г. увеличилась на 44 % (с 5301 млн до 7624 млн руб.). В
2006-2008 гг. (в среднем за год) производство ряда молочных продуктов по
сравнению с 2007 г. увеличилось. [14, с.57]
Рост выработки молочной продукции достигнут за счет
использования в производстве сухого цельного и обезжиренного молока,
преимущественно импортного. Это способствовало увеличению выпуска животного
масла на 3 %, цельномолочной продукции - на 5, жирных сыров - на 36, молочных
консервов - на 14,3 % по сравнению с 2007 г. Следует отметить незначительный
рост поступления молока, получаемого в личных подсобных хозяйствах населения, а
также дальнейшее привлечение для производства молочной продукции растительных
жиров.
Превышен уровень производства 2007 г. по основным видам
молочной продукции в Белгородской, Брянской, Калужской, Липецкой, Рязанской,
Смоленской, Тверской, Ярославской, Псковской, Самарской, Амурской, Омской
областях, в Дагестане, Удмуртии, Бурятии, Хакасии, а также Краснодарском,
Алтайском краях и других регионах.
Надой молока во всех категориях хозяйств снизился на 1
%, составив 33 170 тыс. т.
Ресурсы молочных продуктов (в пересчете на молоко) в
2009 г. составили 39,9 млн т, или на 27,3 млн т меньше, чем в 1990 г., в том
числе за счет собственного производства - 33,5 млн т против 55,7 млн т
(сокращение в 1,7 раза). [14, с.57]
Производство молока и молочных продуктов на душу
населения в 2009 г. - 230 кг (снижение на 38,8 %), потребление сократилось на
157 кг и составило 229 кг (снижение на 41 %) при рекомендуемой норме 390 кг.
Доля импорта в потреблении молока и молокопродуктов за
последние 5 лет равнялась 13-15 %.
Уменьшение ресурсов молока явилось следствием
сокращения численности коров. Их поголовье во всех категориях хозяйств за 12
лет уменьшилось на 9,4 млн голов (на 46 %).
Производство молока во всех категориях хозяйств
сократилось с 51,9 млн т в 1991 г. до 33,2 млн т в 2008 г. (на 36 %). За этот
период снизился объем поступления молока для промышленной переработки с 39,8
млн до 13,9 млн т.
Большую часть молока сельхозтоваропроизводители
использовали на внутрихозяйственные цели, переработку в цехах малой мощности и
реализацию населению. В настоящее время функционируют более 700 мини-заводов и
цехов малой мощности, на которых перерабатывается до 16 % ресурсов молока в
стране.
На этих производствах нет условий для глубокого
комплексного использования молочного сырья, повышены потери. Удельные
капиталовложения при их строительстве выше в 1,6 раза.
В молочной промышленности основные причины снижения
производства - сокращение получения молока на сельскохозяйственных предприятиях
и уменьшение поступления его на промышленную переработку.
Удельный вес промышленной переработки молока к объему
его производства уменьшился до 42 %. Из-за дефицита в сырьевых ресурсах в
2006-2008 гг. (в среднем за год) по сравнению с 1990 г. сократилось
производство жирных сыров - в 1,5 раза, сухого цельного молока - почти в 2,
цельномолочной продукции -в 2,85, животного масла - в 3 раза. [14, с.58]
В этих условиях многие предприятия принимают меры по
максимальному вовлечению сырья на промышленную переработку, комплексному и
рациональному его использованию, выпуску конкурентоспособной продукции с
улучшенными качеством и товарным видом, более длительным сроком хранения.
Выработка молока пастеризованного 2,5 %-ной жирности в
2009 г. составила 1173 тыс. т (35 % от общего производства молока), 1,5 %- и 1
%-ной жирности - 48,7 тыс. т (1,5 %), топленого - 41,2 тыс. т (1,2 %),
стерилизованного - 574 тыс. т (17 %). Произведено 44 тыс. т сливок, в том числе
10 %-ной жирности и ниже - 25 тыс. т (57 % от общего их количества).
В 2009 г. получено 1523 тыс. т кисломолочных продуктов
(рост к 2006 г. - 24 %), в том числе кефира - 703 тыс. т (46 % от общего
выпуска), йогурта -425 тыс. т (28 %), простокваши и варенца - 35,6 тыс. т (2,3
%), ряженки - 153 тыс. т (10 %), ацидофильных напитков - 6,6 тыс. т (0,4 %).
Выпуск напитков с плодово-ягодными наполнителями составил 242 тыс. т (рост к
2009 г. - 31 %), или 16 % от выработки всей кисломолочной продукции.
Из общего количества цельного молока, кисломолочной
продукции и сливок (4916 тыс. т) в расфасованном виде выработано 3672 тыс. т, в
том числе в бумажных пакетах - 1864 тыс. т (51 %), пленке - 1557 тыс. т (42
%).[14, с.58]
Таким образом, наметилась тенденция роста объемов производимого и
перерабатываемого молока.
1.2 Факторы, формирующие ассортимент и качество молока
Молоко - это продукт нормальной секреции молочной
железы коровы. С физико-химических позиций молоко представляет собой сложную
полидисперсную систему, в которой дисперсионной средой является вода, а
дисперсной фазой - вещества, находящиеся в молекулярном, коллоидном и
эмульсионном состоянии. Молочный сахар и минеральные соли образуют молекулярные
и ионные растворы. Белки находятся в растворенном (альбумин и глобулин) и
коллоидном (казеин) состоянии, молочный жир - в виде эмульсии.
Состав молока непостоянен и зависит от породы и
возраста коровы, условий кормления и содержания, уровня продуктивности и
способа доения, периода лактации и других факторов. Период лактации у коров
длится 10-11 мес, в течение этого времени от коров получают доброкачественное
молоко. [7, с.41]
Химизация сельского хозяйства, лечение заболеваний
крупного рогатого скота, загрязнение окружающей среды предприятиями и транспортом
привели к увеличению содержания в молоке посторонних веществ.
Компоненты молока делят на истинные и посторонние, а
истинные - на основные и второстепенные исходя из их содержания в молоке.
Такие основные компоненты, как молочный жир, лактоза,
казенны, лактоальбунин, лактоглобулин, являются соединениями, которые
синтезируются в молочной железе и встречаются только в молоке. При
производстве, оценке состава и качества молока принято выделять содержание
жировой фазы и молочной плазмы (все остальные компоненты, кроме жира).
С технологической и экономической точек зрения молоко
можно разделить на воду и сухое вещество, в которое входит молочный жир и сухой
обезжиренный молочный остаток (СОМО) (рис. 1). [12, с.56]
Наибольшие колебания в химическом составе молока
происходят за счет изменения воды и жира, содержание лактозы, минеральных
веществ и белков постоянно. Поэтому по содержанию СОМО можно судить о
натуральности молока.
Рис. 1. Среднее процентное содержание составных частей
молока
В составе молока имеется фосфор, кальций, калий,
натрий, железо, сера. Они находятся в молоке в легкоусвояемой форме, что имеет
особо важное значение в раннем детском возрасте, когда молоко является основным
продуктом питания. Из микроэлементов в молоке содержится цинк, медь, йод, фтор,
марганец.
Основными витаминами молока являются витамин А и D, некоторые количества аскорбиновой
кислоты, тиамина, рибофлавина, никотиновой кислоты. Содержание их подвержено
значительным колебаниям. Летом, когда животные питаются сочными зелеными
кормами, содержание витаминов в молоке повышается.
Зимой в связи с переходом на сухие корма количество
витаминов в молоке уменьшается. В дальнейшем содержание витаминов зависит от
условий хранения, транспортировки и переработки молока. Среднее содержание
аскорбиновой кислоты в молоке составляет 6,6-18,9 мг, тиамина - 370-485 мкг,
никотиновой кислоты- 1500 мкг, рибофлавина - 952-1580 мкг, витамина А -
0,1-0,35 мг, каротина - 0,08-0,23 мг на 1 л. Калорийность молока невысока и
составляет в среднем 65-66 ккал на 100 г продукта.(таб. 1) [9, с.78]
Таблица 1 Витаминный состав молока
|
Витамины
|
Среднее содержание в 100 см
молока
|
|
Жирорастворимые
|
|
А(ретинол)
|
0,03 мг
|
|
Р-каротин (проритамин А)
|
0,02 мг
|
|
Д (кальциферол)
|
0,04 мг
|
|
Е (токоферол)
|
0,1 мг
|
|
К(филлохинон)
|
60 мкг/см (следы)
|
|
Водорастворимые
|
|
В1 (тиамин)
|
0,04 мг
|
|
В2 (рибофларин)
|
0,15 мг
|
|
В4 (холин)
|
15,0 мг
|
|
Вб (пиридоксин)
|
0,07 мг
|
|
Вз (пантотеноЗая кислота)
|
0,3 мкг/л
|
|
В8(инозит)
|
18,0 мг
|
|
В |2 (цианокобаламин)
|
0,7 мкг/см3
|
|
Вс (фолиеЗая кислота)
|
0,1 мкг/см3
|
|
РР (никотиноРая кислота)
|
0,3 мг
|
|
Н (биотин)
|
5,0 мкг/см3
|
|
С (аскорбиноЗая кислота)
|
2,0 мг
|
В молоке имеется ряд ферментов, основные из них:
фосфатаза, пероксидаза, редуктаза, амилаза, липаза и каталаза.
Физико-химические свойства молока, характеризующие его
качество.
Молоко характеризуется следующими основными
физико-химическими показателями: титруемой и активной кислотностью, плотностью,
вязкостью, поверхностным натяжением, осмотическим давлением, температурой
замерзания, электропроводностью, диэлектрической постоянной, температурой
кипения, светлопреломлением.
По изменению физико-химических свойств можно судить о
качестве молока. Общая {титруемая) кислотность является важнейшим показателем
свежести молока. Титруемая кислотность отражает концентрацию составных частей
молока, имеющих кислотный характер. Она выражается в градусах Тернера (°Т) и
для свежевыдоенного молока составляет 16-18 °Т. Основными компонентами молока,
обусловливающими титруемую кислотность, являются кислые фосфорно-кислые соли
кальция, натрия, калия, лимоннокислые соли, углекислота, белки. На долю участия
белков в создании титруемой кислотности молока приходится 3-4 °Т. При хранении
молока титруемая кислотность увеличивается за счет образования молочной кислоты
из лактозы. Однако кислый характер молока определяют не только ионы водорода,
которые образуются в результате электролитической диссоциации содержащихся в
молоке кислот и кислых солей. [9, с.82]
Активная кислотность является одним из показателей
качества молока. Активная кислотность (рН) определяется концентрацией
водородных ионов. Для свежего молока рН находится в пределах 6,4-6,7, т. е.
молоко имеет слабокислую реакцию.
От значения рН зависит коллоидное состояние белков
молока, рост полезной и вредной микрофлоры, термоустойчивость молока,
активность ферментов.
Молоко обладает буферными свойствами благодаря наличию
белков, гидрофосфатов, цитратов и диоксида углерода. Это доказывается тем, что,
несмотря на повышение титруемой кислотности, рН молока до определенного предела
не изменяется. Под буферной емкостью молока понимают количество 0,1н кислоты
или щелочи, необходимое для изменения рН среды на 1 ед. При образовании
молочной кислоты сдвигается равновесие между отдельными буферными системами и
снижается рН. Молочная кислота растворяет также коллоидный фосфат кальция, что
приводит к повышению содержания титруемых гидрофосфатов и увеличению действия
кальция на результат титрования.
Плотность молока - это отношение массы молока при
температуре 20 °С к массе того же объема воды при температуре 4 °С. Плотность
сборного коровьего молока находится в диапазоне 1,027-1,032 г/см3.
На плотность молока влияют все составные части, но в первую очередь, белки,
соли и жир. [6, с.36]
Плотность молочного жира - 0,931, белка - 1,451,
лактозы - 1,545, солей - 3. Таким образом, подснятие жира повышает плотность,
разбавление водой - понижает. При добавлении воды к молоку в количестве 10%
плотность уменьшается на 0,003 ед., поэтому может находиться в пределах
колебания плотности молока. Достоверно фальсификацию молока водой можно
определить по плотности, если добавлено 15% воды. [6, с.36]
Осмотическое давление молока довольно близко к
осмотическому давлению крови и составляет около 0,74 МПа. Главную роль в
создании осмотического давления играют молочный сахар и некоторые соли. Жир в
создании осмотического давления не участвует, белку принадлежит ничтожная роль.
Осмотическое давление молока благоприятно для развития
микроорганизмов. Оно тесно связано с температурой замерзания (криоско-пической
температурой). Температура замерзания, как и осмотическое давление молока, у
здоровых коров практически не меняется. Поэтому по криоскопической температуре
можно достоверно судить о фальсификации (разбавлении водой) молока.
Криоскопическая температура молока ниже нуля и в среднем составляет -0,55-0,56
°С.
Вязкость молока почти в 2 раза больше вязкости воды и
при 20 °С для разных видов молока она составляет 1,67-2,18 сП.
Самое сильное влияние на показатель вязкости оказывают
количество и дисперсность молочного жира и состояние белков.
Поверхностное натяжение молока приблизительно на одну
треть ниже поверхностного натяжения воды. Оно зависит прежде всего от
содержания жира, белков. Белковые вещества снижают поверхностное натяжение и
способствуют образованию пены.
Оптические свойства выражаются коэффициентом
рефракции, который составляет 1,348. Зависимость коэффициента преломления от
содержания сухих веществ используют для контроля СОМО, белка и определения
йодного числа рефрактометрическими исследованиями.
Диэлектрическая постоянная молока и молочных продуктов
определяется количеством и энергией связи влаги. Для воды диэлектрическая
постоянная 81, для молочного жира 3,1-3,2. По диэлектрической постоянной
контролируют содержание влаги в масле, сухих молочных продуктах.
Температура кипения молока 100,2 °С.
1.3 Ассортимент молока
Все виды молока различаются прежде всего по содержанию
СОМО, по пищевым добавкам и наполнителям, а также по способу тепловой
обработки.
При разработке того или иного вида молока прежде всего
учитывают вкусовые привычки многонационального населения нашей страны,
диетическую ценность продукта и эффективность его производства. Сырьем для
производства молока являются натуральное молоко, сливки, обезжиренное молоко.
Натуральное молоко - это необезжиренное молоко без
каких-либо добавок. Оно не поступает в реализацию, так как имеет
нестандартизованное содержание жира и СОМО и направляется для выработки
различных видов молока и молочных продуктов. Согласно ГОСТ Р 51917-2009,
натуральное молоко - это молоко - сырье без извлечений и добавок молочных и
немолочных компонентов. [18, с.228]
Питьевое молоко - пресный молочный продукт с массовой
долей жира не более 9,5%, изготовленный из молока без добавления немолочных
компонентов, подвергнутый термообработке.
Обезжиренное молоко - обезжиренная часть молока,
получаемая сепарированием и содержащая не более 0,05% жира.
Сливки - жировая часть молока, получаемая
сепарированием. В соответствии с ГОСТ Р 51917-2009 «Термины и определения»
сливки -пресный молочный продукт с массовой долей жира 10% и более,
изготовленный из молока, представляющий собой дисперсную систему «жир в воде»,
без добавления немолочных компонентов.
Пастеризованное молоко - молоко, подвергнутое
термической обработке при определенных температурных режимах.
Нормализованное молоко - молоко, значения массовой
доли жира или белка, или СОМО которого приведены в соответствие с нормами,
установленными в нормативных или технических документах.
Восстановленное молоко - пастеризованное молоко с требуемым
содержанием жира, вырабатываемое из сухого молока или из молочных консервов, и
воды.
Цельное молоко - нормализованное молоко или
восстановленное молоко с установленным содержанием жира.
Молоко повышенной жирности - нормализованное молоко с
содержанием жира 4 и 6%, подвергнутое гомогенизации.
Нежирное молоко - пастеризованное молоко,
вырабатываемое из обезжиренного молока. [18, с.228]
Питьевое молоко - пресный молочный продукт с массовой
долей жира не более 9,5%, изготовляемый из молока без добавления немолочных
компонентов, подвергнутый термообработке.
Основным видом питьевого молока, вырабатываемого у нас
в стране, являлось молоко цельное пастеризованное жирностью 3,2% и СОМО 8,1%. В
последние годы значительно увеличилось производство молока с пониженным
содержанием жира (2,5, 1% и нежирное). С целью сохранения пищевой ценности в
молоко пониженной жирности добавляют сухое цельное или сухое обезжиренное
молоко. Растет производство витаминизированного молока с витаминами С, А и Д2
и повышенной жирности 4 и 6%. Основные виды молока и их физико-химические
показатели приведены в табл. 2. [18, с.229]
Таблица 2. Ассортимент молока
|
Виды молока
|
Массовая доля, %
|
Плотность г/см3,
не менее
|
Кислотность, °Т, не более
|
|
жир, не менее
|
СОМО, не менее
|
|
|
|
Пастеризованное
|
2,5
|
8,2
|
1,027
|
21
|
|
Пастеризованное
|
3,2
|
8,1
|
1,027
|
21
|
|
Пастеризованное
|
3,5
|
8,1
|
1,027
|
21
|
|
Пастеризованное
|
4,0
|
8,0
|
1,025
|
21
|
|
Пастеризованное
|
6,0
|
8,0
|
1,024
|
20
|
|
Пастеризованное нежирное
|
-
|
8,1
|
1,030
|
21
|
|
Пастеризованное с витамином
С
|
3,2
|
8,1
|
1,027
|
21
|
|
Пастеризованное с витамином
С
|
2,5
|
8,2
|
1,027
|
21
|
|
То же с витамином С
нежирное
|
-
|
8,1
|
1,030
|
21
|
|
Пастеризованное белковое
|
1,0
|
11,0
|
1,037
|
25
|
|
Пастеризованное белковое
|
2,5
|
10,5
|
1,036
|
25
|
|
Пастеризованное с какао
|
3,2
|
20,8
|
-
|
22
|
|
Пастеризованное с кофе
|
3,2
|
19,9
|
-
|
22
|
|
Топленое
|
4,0
|
8,0
|
1,025
|
21
|
|
Топленое
|
6,0
|
8,2
|
1,024
|
21
|
|
Стерилизованное в бутылках
|
3,2
|
8,1
|
1,027
|
20
|
|
Стерилизованное в пакетах
|
3,5
|
8,1
|
1,027
|
20
|
|
Ионитное
|
3,2
|
8,0
|
1,026
|
18
|
Восстановленное молоко - с содержанием жира 3,2 и 2,5%
- вырабатывают полностью или частично из сухого коровьего молока распылительной
сушки. Для получения восстановленного молока сухое цельное молоко
распылительной сушки смешивают с подогретой водой, перемешивают. В полученную
эмульсию с содержанием жира 20% добавляют воды до жирности 3,2%, фильтруют,
охлаждают и выдерживают 3-4 ч при температуре не выше 6 °С для более полного
растворения основных компонентов и набухания белков. Далее нормализованное
молоко пастеризуют, гомогенизируют, охлаждают и разливают.
Цельному пастеризованному молоку, полученному из восстановленного,
присущи выраженный привкус пастеризации (ореховый привкус), слегка водянистая
консистенция. Для устранения этих недостатков восстановленное молоко
«облагораживают», частично добавляя в него натуральное молоко.
Молоко пастеризованное повышенной жирности готовят из
цельного молока путем добавления сливок до содержания жира 4 или 6%. Это молоко
должно обязательно подвергаться гомогенизации с целью замедления отстоя
молочного жира. [9, с.136]
Витаминизированное молоко вырабатывают двух видов: с
витамином Сие витаминами С, А и Д2 для детей дошкольного возраста.
Содержание витамина С должно быть не менее 10 мг на 100 см3 молока.
Для производства витаминизированного молока необходимо иметь молоко пониженной
кислотности (не больше 18 °Т), так как добавление аскорбиновой кислоты повышает
кислотность. В целях уменьшения потерь витаминов их вносят в молоко после
пастеризации, однако это приводит к вторичному обсеменению микроорганизмами и
понижению стойкости молока.
Белковое молоко характеризуется низким содержанием
жира и повышенным количеством СОМО. При выработке белкового молока сырье
нормализуют по жиру и СОМО, добавляя необходимое количество сухого цельного или
обезжиренного молока. Белковое молоко имеет повышенную кислотность (до 25 °Т)
за счет высокого содержания СОМО, в том числе белков, имеющих кислую реакцию.
Молоко с какао и кофе вырабатывается в ограниченном
количестве у нас в стране, так как для их производства необходимы импортное
сырье какао-порошок, кофе и дорогостоящий агар.
В нормализованное молоко вносят пищевые наполнители:
сахарный песок, какао-порошок, натуральный кофе и агар. Количество добавляемой
сахарозы - не менее 2,5% (молоко с какао) и не менее 7% (молоко с кофе), какао
- не менее 2,5%, кофе - не менее 2%. Основной недостаток молока с какао -
образование осадка на дне тары. Внесение агара из расчета 1кг на 1 т смеси
стабилизирует систему и замедляет осаждение какао-порошка на дно тары.
Учитывая, что за счет наполнителей увеличивается СОМО и дополнительно в молоко попадают
посторонние бактерии, готовую смесь пастеризуют при повышенной температуре 85
°С. Молоко должно обязательно подвергаться гомогенизации. [9, с.137]
Топленое молоко - это нормализованное молоко с
содержанием жира 4 или 6%, подвергнутое гомогенизации, пастеризованное при
температуре не ниже 95 °С с выдержкой 3-4 ч. Длительную выдержку молока при
температурах, близких к 100 °С, называют топлением.
В процессе топления молоко перемешивают, далее
гомогенизируют, охлаждают и разливают. Готовый продукт имеет характерный вкус и
запах, кремовый цвет, являющийся следствием взаимодействия аминокарбоксильных
соединений лактозы с белками и некоторыми свободными аминокислотами.
Образовавшиеся меланоидины и сульфгидрильные соединения (SH-группы) участвуют в изменении вкуса
и цвета молока. Пищевая ценность топленого молока ниже, чем пастеризованного,
за счет денатурации белков, разрушения витаминов, образования меланои-динов и
перехода кальция в труднорастворимое состояние.
Стерилизованное молоко - молоко, подвергнутое гомогенизации
и высокотемпературной термической обработке при температуре выше 100 ° С.
Основное отличие стерилизованного молока от пастеризованного - высокая
стойкость при комнатной температуре и характерные вкусовые особенности.
Вырабатывают стерилизованное молоко в бутылках и в пакетах (УВТ-молоко).
Применяют два способа стерилизации: одностадийный и двухстадийный.
Одностадийный используют для выработки стерилизованного молока в пакетах.
Сущность этого способа состоит в том, что из подогретого до 75 °С молока
удаляют воздух, молоко стерилизуется пароконтактным способом (прямой нагрев)
или косвенным (нагрев в теплообменнике). При этом молоко за 1 с нагревается до
140-150 °С, охлаждается, гомогенизируется. При необходимости (при прямом
нагреве) удаляется избыточное количество влаги, после чего молоко ассептически
разливается в стерильную тару. Способ одностадийный стерилизации позволяет
лучше по сравнению с двухстадийным сохранить органолептические показатели
молока и биологическую ценность.
При двухстадийной стерилизации нормализованную смесь
сначала стерилизуют при температуре 140-150 °С в течение 5 с в потоке. Затем
молоко охлаждается до 20-75 °С и разливается в стеклянные бутылки, укупоренные
герметично. После этого молоко в бутылках вторично стерилизуют в автоклавах
периодического или непрерывного действия при температуре 120 °С со временем
выдержки 20 мин.
В последние годы увеличивается выпуск стерилизованного
молока в полимерной упаковке и в бумажных пакетах типа «Тетра-Брик».
Ионитное молоко получают путем удаления из него
кальция, который замещается эквивалентным количеством калия или натрия при
обработке молока в ионообменниках. Полученное молоко при свертывании образует
мелкую хлопьевидную консистенцию, поэтому легко и быстро усваивается организмом
ребенка. Ионитное молоко обогащается витаминами и стерилизуется в стеклянной
таре вместимостью 200 см3. [12, с.102]
1.4 Требования, предъявляемые к упаковке в товароведении
В товароведении потребительская тара считается
неотъемлемой частью товара, она выполняет свою важнейшую функцию - сохранение
качества и количества упакованного товара. Упаковка в товароведении традиционно
рассматривается в качестве сохраняющего фактора.
Упаковка способствует сохранению товара от воздействия
внешних факторов (механических, биологических, физических, физико-химических),
загрязнений -и порчи.
В товароведении идентифицирующая функция упаковки и
маркировки играет первостепенную роль при экспертизе товаров, поскольку
начальной ее стадией при идентификации является уточнение маркировки и
установление ее соответствия товарно-сопроводительным документам. Для того
чтобы упаковка выполняла указанные функции на высоком уровне, она должна
отвечать определенным требованиям.
В настоящее время расширяются функции упаковки. Тару и
упаковочные материалы можно рассматривать как новую однородную группу
непродовольственных товаров, объединенную функциональным показателем
назначения. Она четко различается по типам, видам, разновидностям и
наименованиям. Поэтому можно охарактеризовать упаковку (тару) как товар,
выполняющий различные функции и обладающий комплексом потребительских свойств и
характеристик, присущих товару (ассортиментные, качественные, количественные и
др.). Совокупность потребительских свойств в конечном итоге определяет качество
тары. То, что упаковка обладает своими потребительскими свойствами, делает ее
способной удовлетворить социальные и иные потребности в соответствии с
назначением, т.е. делает полезной [5].
Тару следует рассматривать как изделие с незавершенным циклом производства
- например, заготовка тубы с укупорочным средством предназначена для линий
фасования, упаковывания продукции. То же самое относится к жестяной банке,
стеклянной бутылке, полимерной банке.
Элементы упаковки выполнены из различных материалов.
Это рулонная пленка или листовые материалы, предназначенные для упаковывания
или для производства тары, например полимерный пленочный материал; бумагу,
картон используют для упаковывания товаров и производства тары.
В процессе развития науки и техники, создания новых
технологий, появления новых материалов, товаров, при общем повышении уровня
жизни и образованности населения требования к упаковке постоянно повышаются.
Эти требования могут быть текущими и перспективными. Текущие требования
предъявляют к различным видам упаковки с учетом технических и экономических
возможностей производства на определенном этапе развития. Перспективные
требования разрабатывают на основе текущих, они представляют собой более
высокий по уровню комплекс показателей качества упаковки. Они побуждают
постоянно вести научные исследования, направленные на повышение качества и
создание наиболее экономически оправданных технологий производства тары и
технологий упаковывания.
С появлением новых требований, например устойчивости к
высоким температурам (требования стерилизации) или к СВЧ-воздействиям,
появилась необходимость разработать новые полимерные материалы, стойкие к
высоким температурам или к коротковолновым источникам излучений и т. п. [4]
Требования, предъявляемые к упаковке, подразделяют на
следующие группы: социального назначения, функциональные, надежности,
эргономические, эстетические, безопасности для человека и окружающей среды
(экологические).
Требования социального назначения. Они характеризуют соответствие
производства различных видов упаковки и упаковочных материалов потребностям
общества в целом, групп населения, оптимальному ассортименту и объемам
производства упаковываемого товара.
Так как упаковка является частью любого товара, то
потребность в ней будет до тех пор, пока существуют товары. Потребность в
упаковке дифференцируется в зависимости от доступности и стоимости сырьевых
материалов, от видов и разновидностей упаковки. Например, по оценкам экспертов,
в России одним из важных направлений в развитии упаковки является производство
упаковки для пищевых продуктов и парфюмерно-косметических товаров.
Функциональные требования. Они предусматривают соответствие
упаковки выполнению основной функции - защите товара от внешних воздействий и
т.д. Упаковочные средства должны отвечать следующим функциональным требованиям
- предохранять упакованный товар от отрицательного воздействия влаги, кислорода
воздуха, тепла, света, механических воздействий и др., обеспечивать полную
сохранность качества и количества товара при транспортировании, хранении и
реализации. Упаковка должна быть химически инертна и устойчива к действию
упакованного товара, например к пищевым органическим кислотам, спиртам,
неорганическим кислотам и щелочам, агрессивным органическим растворителям,
которые способны вызвать ее набухание, растворение, коррозию, механическое
растрескивание, помутнение и т.п.
Если упаковка не отвечает функциональным требованиям,
то она не может быть использована по основному назначению [3].
Требования к надежности в
потреблении. Надежность
- это способность упаковки выполнять свои функции в течение определенного
времени. Упаковка (в зависимости от назначения) должна быть прочной и надежной
при эксплуатации в течение времени, совпадающего со сроками годности, хранения
или транспортирования товара. Особое значение эта группа требований имеет,
когда речь идет не только о разовой потребительской, но и транспортной
возвратной таре, эксплуатация которой продолжается длительный период времени.
Требования к надежности тары и упаковки зависят от требований к ее
ремонтопригодности, долговечности и сохраняемости.
Ремонтопригодность характеризует пригодность
возвратной тары к обнаружению и устранению неисправностей путем ремонта. Это
требование тесно связано с унификацией узлов и деталей, используемых при
изготовлении различных видов упаковки, чаще всего деревянных ящиков,
тары-оборудования, металлических фляг, канистр.
Долговечность тары и упаковочных материалов
подразумевает обеспечение и сохранение основных физико-механических и
физико-химических показателей качества и способность выполнять свои функции в
течение необходимого времени при упаковывании, хранении, транспортировании,
распределении товара и использовании его в течение срока годности.
Долговечность предполагает неизменность свойств тары при погрузочно-разгрузочных
работах (удары), штабелировании (давление верхних рядов, устойчивость к
торцевому сжатию, скольжение), транспортировании (вибрация, удары) и
потреблении товара (возможность повторного закрывания и др.).
Сохраняемость тары должна обеспечивать сохранение
указанных выше показателей качества в течение срока годности товара или времени
использования разовой тары. Требования сохраняемости разовой тары должны быть
оптимальными, поскольку она не должна быть намного выше долговечности (или
годности) упакованного товара, так как это вступит в противоречие с
требованиями утилизации упаковки.
Эргономические требования. Они предусматривают удобство
пользования тарой, ее соответствие особенностям человеческого организма,
обеспечение оптимальных условий использования упаковки и потребления товара.
Упаковка обеспечивает удобство дозирования и обусловливает практичное
использование содержимого. Данная функция особенно характерна для различных
видов потребительской упаковки с отмеряющими крышками, дозирующими устройствами,
пульверизаторами и другими укупорочными приспособлениями.
Эргономические требования определяют соответствие
упаковки гигиеническим, антропометрическим, физиологическим,
психофизиологическим характеристикам человека.
Внешний вид упаковки очень важен и даже влияет на
мнение о качестве товара (хорошем или плохом). Это называется «чувственным
переносом».
Экологические требования. Они предусматривают отсутствие
отрицательного воздействия на окружающую среду при производстве,
транспортировании, хранении и эксплуатации упаковки, а также и после ее
функционального использования. Острая экологическая проблема возникла в области
применения упаковочных материалов в связи с большими затратами сырья и энергии
при их производстве, а также с загрязнением окружающей среды как в ходе
процесса производства, так и после использования таро-упаковочных материалов.
Требования безопасности. Это необходимость обеспечить
безопасность человека при пользовании упаковкой. Требования безопасности
упаковки являются приоритетными в установлении ее качества. Если они не
соблюдаются, то важность иных потребительских свойств тары или упаковочного
материала становится незначительной [2].
В Законе РФ «О защите прав потребителей», ст. 7
сказано, что потребитель имеет право на то, чтобы товар (и его упаковка) при
обычных условиях его использования, хранения, транспортирования и утилизации
был безопасен для жизни и здоровья потребителей, окружающей среды. В этих целях
необходимо установить контроль за соблюдением требований стандартов, санитарных
норм и других нормативных документов, чтобы опасные товары не попадали в
продажу.
В Федеральном законе «О санитарно-эпидемиологическом
благополучии населения» от 30.03.1999 г. в ст. 13 устанавливаются
санитарно-эпидемиологические требования к продукции
производственно-технического назначения, товарам для личных и бытовых нужд и
технологиям их производства. Пункт 2 предусматривает: «Производство и
применение (использование) и реализация населению новых видов продукции
(впервые разрабатываемых или внедряемых), новые технологические процессы
производства допускаются при наличии санитарно-эпидемиологических заключений о
соответствии их санитарным правилам».
Основные требования безопасности продукции (в том
числе тары) устанавливает Федеральный закон «О техническом регулировании».
1.5 Требования к качеству, экспертиза молока
молоко
ассортимент качество упаковка
Оценка качества пастеризованного молока производится
по ГОСТу 13277-79. Экспертизу молока проводят по органолептическим показателям:
внешний вид и консистенция, вкус и запах, цвет и физико- химическим. Важнейшие
физико-химические показатели: массовая доля жира, плотность, кислотность,
степень чистоты, температура. По микробиологическим показателям пастеризованное
молоко подразделяется на 3 группы: А, Б и пастеризованное во флягах и
цистернах, общее количество бактерий в котором 50, 100 и 200 тыс. в 1 см3 соответственно.
Отбор проб, подготовка их к анализам и
органолептической оценке при приемке, хранении и реализации в торговой сети
производится в соответствии со стандартами.
Каждая принимаемая партия молока и молочных продуктов
должна иметь сопроводительные документы: о количестве - счет-фактуру,
товарно-транспортную накладную предприятия-изготовителя и удостоверение о
качестве.
При приемке молока обращают внимание на внешний вид
тары, состояние поверхности, наличие деформации или ржавчины на металлической
таре; загрязнений, сколов на стеклянных бутылках на герметичность бумажной или
полимерной тары.
Сопоставляют сроки хранения по маркировке и сопроводительным
документам. Определяют температуру поступившего молока. Приемку молока по
количеству проводят путем сплошной проверки всей партии.
Под однородной партией молока или сливок понимают
различные их виды, выпущенные с одного предприятия, одинаково обработанные,
одного наименования, выработанные в одну рабочую смену, расфасованные в
однородную тару из одного молокохранительного резервуара. [9, с.137]
При приемке молока по качеству проверяют соответствие
качества молока сопроводительным документам поставщика.
Качество молока устанавливают для каждой однородной
партии осмотром средней пробы и среднего образца по ГОСТу.
Средней пробой называют часть товара, отобранного от
контрольных единиц упаковки однородной партии в одну посуду. Единицей упаковки
считают ящик, флягу, отсек цистерны и др.
Средний образец - это определенная часть средней
пробы, выделенная для лабораторного испытания.
От поступившей партии товаров отбирают определенное
количество единиц упаковки в соответствии с требованиями ГОСТа.
Органолептические показатели молока и молочных
продуктов оценивают по каждой контролируемой единице упаковки отдельно.
Для определения физико-химических показателей из
средних проб выделяют средний образец, который помещают в чистую тару и
опечатывают или пломбируют пломбами получателя и предприятия (поставщика),
приславшего представителя для отбора образцов. Пробы для исследования должны
направляться в лабораторию, не входящую в систему получателя или поставщика.
Пробы для лабораторных исследований снабжают сопроводительными
документами с указанием наименования предприятия, выработавшего продукт, ГОСТа
или ТУ на продукт, наименования и сорта продукта, температуры продукта в момент
отбора средней пробы. Исследования должны быть проведены не позднее 4 ч со
времени отбора пробы.
Пороки молока - отклонения органолептических
показателей, химического состава, упаковки и маркировки молока от показателей,
предусмотренных стандартом, возникающие при использовании недоброкачественного
сырья, нарушения технологических режимов и хранения.
Термин «дефект» правильнее отражает суть этих явлений,
однако ГОСТ «Термины и определения» для маслодельной, сыродельной
промышленности и других обязывают нас применять термин «пороки». [9, с.140]
Пороки бывают кормового, бактериального и физико-химического происхождения.
Наличие их в молоке существенно снижает качество продукта или даже не позволяет
направлять молоко в реализацию, если пороки сильно выражены.
Пороки кормового происхождения возникают при
поглощении молоком резких запахов кормов, помещений и др. Эти пороки можно
устранить или ослабить путем дезодорации молока, тепловой обработки. Пороки
бактериального происхождения могут сильно изменять вкус и запах, консистенцию и
цвет молока. При хранении эти пороки усиливаются.
К порокам кормового и бактериального происхождения
относятся пороки вкуса: кислый вкус возникает в результате жизнедеятельности
молочнокислых бактерий; прогорклый вкус образуется при хранении молока, под
воздействием ферментов липаз на жировую часть; горький вкус вызывается
присутствием в кормах полыни и гнилостных пептонизирующих бактерий; соленый
вкус является следствием заболеваний вымени животных.
Пороки цвета появляются под влиянием пигментирующих
бактерий с образованием посинения, покраснения или пожелтения молока. Пороки
запаха вызываются продуктами жизнедеятельности гнилостных бактерий,
специфическими запахами кормов. К ним относятся: хлевный, сырный, тухлый,
чесночный и др.
Пороки консистенции возникают в результате жизнедеятельности
молочнокислых бактерий и слизиобразующих бактерий (густая, тягучая, слизистая
консистенция).
2. Объект и методы исследования
.1 Объект исследования
Объектом исследования данной работы является молоко пастеризованное,
реализуемое производство ОАО «ВНИИМИ» жирностью 3,5%, 2,5%.
Институт молочной продукции «Вними-Сибирь» является специализированным
предприятием и занимается производством и реализацией молочных и кисло-молочных
продуктов общественного питания.
Данное предприятие расположено по адресу: 644008 г. Омск, улица Красный
Путь, 163. Тел./факс: 23-26-71 ОКПО: 11874082 ИНН: 5502022536 ОКОПФ:
Представительства и филиалы OKATO: 52401380000 ОКОГУ: Российская академия
сельскохозяйственных наук. Учредители: ГУП "Вними-Сибирь" РАСХН
38617788 от 30.11.2006 регистрационная палата депа.
Институт молочной продукции «Вними-Сибирь» является унитарным
предприятием, то есть является коммерческой организацией, не наделенной правом
собственности на закрепленное за ней собственником имущество. Имущество ГУП
«Вними-Сибирь» является неделимым и не может быть распределено по вкладам
(долям, паям), в том числе между работниками предприятия. Имущество предприятия
находится в государственной собственности и принадлежит такому предприятию на
правах хозяйственного ведения или оперативного управления. Генеральный директор
института молочной продукции «Вними-Сибирь» - Батухтин Анатолий Николаевич.
Институт молочной продукции «Вними-Сибирь» был создан государственным
органом управления за счет ассигнований из средств соответствующего бюджета.
Основными видами деятельности предприятия являются:
закупка и переработка молока;
производство и реализация молочной продукции;
торгово - коммерческая деятельность;
посредническая деятельность;
оптовая и розничная торговля продуктами питания и товарами народного
потребления.
Согласно нормам, предприятие относится к IV классу - «производства по
обработке пищевых и вкусовых веществ». Санитарно-защитная зона составляет 50 м.
Грузовые потоки обеспечиваются автотранспортом.
В состав предприятия входит:
цельномолочное производство мощностью 100 т переработки сырья в смену;
цех по производству сухого обезжиренного молока производительностью 10т в
смену, масла - 12 т, оснащенный комплектом чешского оборудования, работающим в
автоматическом режиме;
управление;
котельная;
компрессорная.
Ассортимент продукции института молочной продукции «Вними-Сибирь» очень
широк. На рынки Омска, Омской области и близлежащих городов поступают такие
виды продукции, как масло животное, цельномолочная продукция, молоко,
кисломолочная продукция, кефир жирный, сливки, сметана, творог жирный, молоко
сухое обезжиренное, молоко сухое цельное.
масло животное - поступает в продажу жирностью 80% и расфасовывается
объемом по 1000, 500 и 250 грамм.
цельномолочная продукция - жирность данного продукта составляет 4,6 % и
поступает в продажу объемом 1 литр.
молоко - институт молочной продукции выпускает в продажу молоко жирностью
3,2 %, 2,5 %, 1%. Также выпускается объемом 1 литр.
кисломолочная продукция - поступает в продажу жирностью 3,2% и розлив
производится в тару объемом 1 литр.
кефир жирный - жирность данного продукта составляет 3,2 % и розлив
производится в тару объемом 1 литр.
сливки - данный продукт поступает в продажу жирностью 30% и выпускается
объемом 500, 20 грамм.
сметана - жирность данного продукта составляет 62% и фасуется в тару
объемом 500 грамм.
творог жирный - поступает в продажу жирностью 76% и фасуется в упаковки
по 500, 250 и 100 грамм.
молоко сухое обезжиренное - выпускается объемом 500 грамм.
молоко сухое цельное - поступает в продажу жирностью 4,2% и фасуется в
упаковки по 500 грамм.
2.2 Методы исследования
В качестве методов исследования при написании данной работы были выбраны
следующие:
. Органолептический.
. Статистический.
Метод основан на использовании органов чувств человека, которые служат
приемниками информации.
Достоинство органолептического метода - его простота - характерно для
оценки показателей качества на уровне потребителя. При оценке товара экспертами
даже незначительные различия в значениях органолептических показателей играют
существенную роль.
Оценка потребительских свойств молока по органолептическим показателям.
Произведите оценку качества предложенных образцов молока в соответствии с
требованиями действующего ГОСТ Р 52090 "Молоко питьевое. Технические
условия". При органолептической оценке молока определяют состояние тары,
внешний вид молока, его консистенцию, цвет, вкус и запах.
. Определение полноты маркировки на потребительской таре. Проверьте
информационные данные на маркировке потребительской тары питьевого молока, сравните
их с требованиями ГОСТа
. Определение внешнего вида и консистенции. При оценке внешнего вида и
консистенции молока обращают внимание на его однородность, наличие осадка,
плавающих комков и отстоявшихся сливок.
. Определение цвета. Молоко наливают в прозрачный стакан и рассматривают
при рассеянном дневном свете, обращая внимание на наличие посторонних оттенков.
. Определение запаха и вкуса проводят по ГОСТ Р 52090 Молоко питьевое и
напиток молочный. Технические условия.
3. Экспериментальная часть
.1 Органолептическая оценка молока
Первым этапом экспертизы было проведение идентификации маркировки
образцов стерилизованного молока по ГОСТ Р 52092-03. Полученные сведения были
собраны в таблицы.
Таблица
2.1 Идентификация молока по маркировке производимого ОАО «ВИНИМИ»
|
Показатели, обязательно
маркируемые по ГОСТ Р 52092-03
|
Фактическая информация на
упаковке
|
|
Наименование Изготовитель
Объем Состав Пищевая ценность (100гр): белок жиры углеводы Энергетическая
ценность (ккал) Дата изготовления Условия хранения Срок годности Обозначения
НД Информация о сертификации Вид упаковки
|
Молоко питьевое, коровье,
классическое ОАО «ВНИМИ» 1000 гр Молоко нормализованное по содержанию жира
3,0 3,5 4,7 63 15,12,10 t от 0 до 250 С 18,12,10 + Высший молочный
стандарт, РСТ Тетра-брик-асептик
|
На упаковке молока ОАО «ВНИМИ» имеется вся предусмотренная ГОСТом
дополнительная информация, рассчитанная на потребителя: содержание минеральный
веществ и витаминов, штриховой код, рекомендация по хранению. При оценки
органолептических свойств в соответствии с ГОСТ Р 52090-03 Молоко питьевое и
напиток молочный. Технические условия, было установлено следующее:
Таблица 3.2 Органолептические показатели качества исследуемого молока
|
Жирность (%)
|
Показатели и
характеристика.
|
|
Внешний вид и консистенция
|
Вкус и запах
|
Цвет
|
|
3,5
|
Однородная жидкость без
осадка.
|
Чистые, без посторонних
привкусов и запахов
|
Белый
|
|
2,5
|
Однородная жидкость без
осадка.
|
Чистый, приятный
|
Белый
3.3 Оценка конкурентоспособности молока
Итак, потребительская оценка качества товаров является
одним из важнейших критериев конкурентоспособности товаров.
Вместе с тем качество тесно связано с другим критерием
конкурентоспособности - ассортиментом. Более того, целый ряд показателей
качества одновременно применяется для целей идентификации ассортиментной
характеристики товаров. К числу таких показателей относятся органолептические
показатели (внешний вид), иногда консистенция и (или) внутреннее строение.
Отличительные признаки между СМС разных наименований
также определяются с помощью показателей качества и влияют на их
конкурентоспособность. Повышенная значимость показателей ассортиментной
идентификации (функционального назначения, внешнего вида и др.) обусловливает
большую роль ассортимента как критерия конкурентоспособности. Ассортиментная
принадлежность товара имеет важнейшее значение для принятия решения об его
покупке, особенно если она не импульсивная, а заранее запланированная и служит
средством удовлетворения неотложных потребностей.
Следовательно, по степени значимости, критерии
конкурентоспособности - ассортимент и качество - могут быть равнозначными, а в
некоторых случаях ассортимент может оказаться наиболее весомой характеристикой.
Однако при наличии товаров-конкурентов одного вида потребитель чаще всего
отдаст предпочтение качеству.
Важнейшим экономическим критерием конкурентно -
способности СМС является цена.
Следует иметь в виду, что довольно часто
индивидуальный потребитель связывает цену реализации с основополагающими
характеристиками товара, особенно с качеством. У многих потребителей повышенные
цены на товар ассоциируются с высоким качеством. Однако это не всегда
правильно, так как цена реализации определяется следующими факторами:
закупочной ценой, транспортными расходами, затратами на хранение, издержками
обращения, торговыми наценками и т.п. От их размера и будет зависеть цена.
Качество реализуемого товара является лишь одним, хотя
и важным, фактором, заложенным в реализационную цену, в частности в затраты на
его обеспечение.
Степень воздействия цены на обеспечение
конкурентоспособности товаров неодинакова у разных потребителей. Низкие цены в
большей мере влияют на потребительские предпочтения покупателей с низкими и
средними доходами. Высокие цены создают большую привлекательность для
обеспеченных потребителей. Вместе с тем, говоря о цене как об одном из
критериев конкурентоспособности, нельзя считать цену прямой мерой полезности
товаров или их потребительной ценности.
Потребитель покупает товар не потому, что он имеет
высокую или низкую стоимость (цену), а потому, что он отвечает его требованиям
по основополагающим характеристикам потребительной стоимости (ценности).
Однако в литературе существует иная точка зрения,
согласно которой «потребительной ценностью товара называется максимальная цена,
которую покупатель считает для себя выгодной заплатить за данный товар». В
данном случае речь идет о неверном применении термина «потребительная
ценность», которая, по нашему мнению, является синонимом «потребительной
стоимости».
Приведенное выше определение термина есть не что иное,
как выгода потребителя, которую он может получить. Однако максимальный уровень
цен может установить лишь производственный потребитель, следящий за ценовой
конъюнктурой рынка.
Индивидуальный потребитель достаточно часто такой
информацией не располагает, а потому не может установить для себя эту
максимальную цену.
К экономическим критериям, кроме цены, относятся также
скидки на товары, которые в конечном счете и определяют фактическую цену
реализации.
Система скидок устанавливается в зависимости от
количественных характеристик покупки (размера товарной партии, количества
единичных экземпляров товаров), времени продажи, стабильности приобретения
товаров (скидки для постоянных покупателей) и других критериев.
Таким образом, можно сделать вывод о том, что
конкурентоспособность является сложным свойством товаров, характеризуемым
интегральным относительным показателем. Определить этот показатель для каждого
товара можно лишь в сравнении с другим товаром-конкурентом, показатели которого
являются базовыми, принятыми за основу для сопоставления двух или нескольких
товаров-конкурентов.
В этом заключается одно из отличий интегрального
показателя конкурентоспособности от уровня качества, для которого базовыми
служат регламентированные нормативными документами показатели.
Конкурентоспособность - важнейшая особенность
товаров-конкурентов, базирующаяся на определенных принципах:
комплексность;
относительность;
социальная адресность.
Комплексность конкурентоспособности товаров
заключается в том, что при ее оценке должна учитываться совокупность критериев,
определяющих особенности товаров-конкурентов.
Относительность конкурентоспособности предполагает
сравнительный характер ее оценки, когда выбранные критерии одного товара
сравниваются с критериями другого товара, принятыми за базовые.
Социальная адресность конкурентоспособности
определяется степенью удовлетворения с помощью товаров конкурентов потребностей
конкретных социально ориентированных сегментов потребителей. Так, одни и те же
товары могут обладать конкурентоспособностью для определенных потребителей и не
обладать ею для других.
Конкурентоспособность товара - это степень его
потребительской привлекательности по сравнению с товаром-аналогом на конкретном
сегменте потребительского рынка.
Для оценки конкурентоспособности молока, были выбраны
следующие производители:
- ООО «Манрос-М» (ТМ «На здоровье», ТМ «Молочная долина»),
- ОАО «Сибирское молоко» (ТМ «Домик в деревне», ТМ «Веселый
молочник»),
Выберем показатели, влияющие на покупательские предпочтения при выборе
СМС. Номенклатуру покупателей представим в виде таблицы 3.4.
Таблица 3.4 Номенклатура показателей конкурентоспособности молока
|
№ п/п.
|
Показатели
конкурентоспособности
|
Обозначение
|
|
1
|
Торговая марка изготовителя
|
Х 1
|
|
2
|
Запах
|
Х2
|
|
3
|
Вкус
|
Х3
|
|
4
|
Состав
|
Х4
|
|
5
|
Цена
|
Х5
|
|
6
|
Качество продукта
|
Х6
|
Поставим наиболее значимому свойству наивысший балл, остальным свойствам
в порядке их относительной значимости. Результаты ранжирования запишем в виде
таблицы.
Таблица 3.5 Результаты ранжирования показателей конкурентоспособности
молока
|
Эксперты, r
|
Свойство, n
|
|
Х1
|
Х2
|
Х3
|
Х4
|
Х5
|
Х6
|
|
|
1
|
3
|
2
|
1
|
4
|
5
|
6
|
21
|
|
2
|
2
|
1
|
3
|
4
|
5
|
6
|
21
|
|
3
|
2
|
1
|
3
|
5
|
4
|
6
|
21
|
|
4
|
4
|
3
|
1
|
2
|
5
|
6
|
21
|
|
5
|
2
|
3
|
1
|
5
|
4
|
6
|
21
|
|
6
|
2
|
1
|
3
|
4
|
6
|
5
|
21
|
|
|
15
|
11
|
12
|
24
|
29
|
35
|
|
|
Δi
|
- 6
|
- 10
|
- 9
|
3
|
8
|
14
|
|
|
Δi²
|
36
|
100
|
81
|
9
|
64
|
196
|
S = 486
|
|
|
0,12
|
0,09
|
0,10
|
0,19
|
0,23
|
0,28
|
1
|
Рассчитаем коэффициент весомости показателей конкурентоспособности молока
ml.
Проверим согласованность мнений экспертов.
Рассчитываем средний ранг (Т) путём деления сумм рангов на количество
свойств. Дальше рассчитаем отклонение оценок Δi.выставленных всеми экспертами по
каждому свойству.
Рассчитаем
 , после
чего рассчитаем Σ =S -
сумма квадратов отклонений. Результаты приведённых выше расчетов запишем в
таблицу 14.
Проверим
согласованность мнений экспертов с помощью коэффициента конкордации.
При
W ≥0.75 -
согласованность мнений экспертов хорошая.
Дифференциальная
оценка конкурентоспособности проводится в соответствии с оценочной шкалой:
Отлично
- 1;
Хорошо
- 0,75;
Удовлетворительно
- 0,5;
Неудовлетворительно
- 025.
Результаты
оценки конкурентоспособности исследуемых образцов молока представим в виде
таблицы 16.
Таблица
3.6. Результаты оценки конкурентоспособности молока «На здоровье»
|
Эксперты
|
Свойства
|
|
Х1
|
Х2
|
Х3
|
Х4
|
Х5
|
Х6
|
|
1
|
1
|
1
|
1
|
1
|
0,75
|
0,5
|
|
2
|
0,75
|
0,75
|
1
|
1
|
1
|
0,25
|
|
3
|
0,75
|
0,75
|
1
|
1
|
0,5
|
0,25
|
|
4
|
1
|
0,75
|
1
|
0,75
|
1
|
0,5
|
|
5
|
0,75
|
0,75
|
0,75
|
1
|
1
|
0,5
|
|
6
|
0,75
|
0,75
|
0,75
|
1
|
0,75
|
0,25
|
|
S
|
6.0
|
4.75
|
5.5
|
5.75
|
5.0
|
2.25
|
|
gi
|
0.83
|
0.79
|
0.92
|
0.96
|
0.83
|
0.38
|
Таблица 3.7 Результаты оценки конкурентоспособности молока «ВНИМИ»
|
Эксперты
|
Свойства
|
|
Х1
|
Х2
|
Х3
|
Х4
|
Х5
|
Х61
|
|
1
|
0,75
|
1
|
1
|
1
|
0,75
|
1
|
|
2
|
0,75
|
0,75
|
1
|
1
|
0,75
|
1
|
|
3
|
1
|
1
|
1
|
0,75
|
0,5
|
1
|
|
4
|
1
|
1
|
1
|
0,75
|
0,75
|
1
|
|
5
|
0,75
|
0,75
|
0,75
|
0,75
|
0,25
|
0,75
|
|
6
|
0,75
|
0,5
|
0,75
|
1
|
1
|
1
|
|
S
|
5.0
|
5.0
|
5.5
|
5.25
|
4.0
|
5.75
|
|
gi
|
0.83
|
0.83
|
0.92
|
0.88
|
0.67
|
0.96
|
Таблица 3.8 Результаты оценки конкурентоспособности молока «Домик в
деревне»
|
Эксперты
|
Свойства
|
|
Х1
|
Х2
|
Х3
|
Х4
|
Х5
|
Х6
|
|
1
|
1
|
1
|
0,75
|
1
|
1
|
0,5
|
|
2
|
0,75
|
0,75
|
1
|
1
|
1
|
0,25
|
|
3
|
0,75
|
0,75
|
0,75
|
1
|
0,75
|
0,25
|
|
4
|
1
|
0,75
|
0,75
|
0,75
|
1
|
0,5
|
|
5
|
0,75
|
0,5
|
0,75
|
1
|
0,75
|
0,5
|
|
6
|
0,75
|
0,75
|
1
|
1
|
0,75
|
0,25
|
|
S
|
5.0
|
4.5
|
5.0
|
5.75
|
5.25
|
2.25
|
0.83
|
0.75
|
0.83
|
0.96
|
0.88
|
0.38
|
Таблица 3.9 Результаты оценки конкурентоспособности молока «Молочная
долина»
|
Эксперты
|
Свойства
|
|
Х1
|
Х2
|
Х3
|
Х4
|
Х5
|
Х6
|
|
1
|
0.5
|
0.5
|
0.75
|
0.25
|
1
|
1
|
|
2
|
0.75
|
0.75
|
1
|
0.75
|
1
|
1
|
|
3
|
0.75
|
0.75
|
1
|
0.75
|
0.75
|
1
|
|
4
|
1
|
1
|
1
|
1
|
1
|
1
|
|
5
|
1
|
1
|
1
|
0.75
|
0.75
|
1
|
|
6
|
0.75
|
0.75
|
0.75
|
0.25
|
0.75
|
0.75
|
|
S
|
4.75
|
4.75
|
5.5
|
3.75
|
5.25
|
5.75
|
|
Qi
|
0.79
|
0.79
|
0.92
|
0.63
|
0.88
|
0.96
|
Для каждого наименования молока рассчитаем сумму баллов и средний балл.
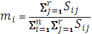
Коэффициент конкурентоспособности определяем по формуле:
Где: К - комплексный показатель;
mi -
коэффициент весомости показателей конкурентоспособности;
gi -
средний балл.
К1 = 0,12 * 0,83 + 0,09 * 0,79 + 0,10 * 0,92 + 0,19 * 0,96 + 0,23 * 0,83
+ 0,28 * 0,38 = 0,74
К2 = 0,12 * 0,83 + 0,09 * 0,83 + 0,10 * 0,92 + 0,19 * 0,88 + 0,23 * 0,67
+ 0,28 * 0,96 = 0,86
К3 = 0,12 * 0,83 + 0,09 * 0,75 + 0,10 * 0,83 + 0,19 * 0,96 + 0,23 * 0,88
+ 0,28 * 0,38 = 0,74
К4 = 0,12 * 0,79 + 0,09 * 0,79 + 0,10 * 0,92 + 0,19 * 0,63 + 0,23 * 0,88
+ 0,28 * 0,96 = 0,85
По результатам проведённой оценки можно сделать вывод, что оцениваемые
нами торговые марки молока имеют приблизительно одинаковый уровень
конкурентоспособности от 0,78 до 0,85. Лидером оценки является молоко ВНИМИ»
(0,86). Самый низкий уровень показали «Домик в деревне» и «На здоровье» (0,74).
Заключение
Анализ литературы показал, что :
Академик И. П. Павлов сказал: «Между сортами
человеческой еды в исключительном положении находится молоко... как пища,
приготовленная самой природой».
В 2008 г. производство молока в мире по
предварительным данным составило 600 млн т, что на 1,1 % больше, чем в
предыдущем году. Темпы роста замедлились из-за засухи и снижения доходов от
продаж, однако увеличение объема производства соответствует тенденции последних
10 лет.
Компоненты молока делят на истинные и посторонние, а
истинные - на основные и второстепенные исходя из их содержания в молоке.
Молоко характеризуется следующими основными
физико-химическими показателями: титруемой и активной кислотностью, плотностью,
вязкостью, поверхностным натяжением, осмотическим давлением, температурой
замерзания, электропроводностью, диэлектрической постоянной, температурой
кипения, светлопреломлением.
Молоко подвергается различным воздействиям, прежде
всего механическому и термическому.
Все виды молока различаются прежде всего по содержанию
СОМО, по пищевым добавкам и наполнителям, а также по способу тепловой
обработки.
При разработке того или иного вида молока прежде всего
учитывают вкусовые привычки многонационального населения нашей страны,
диетическую ценность продукта и эффективность его производства. Сырьем для
производства молока являются натуральное молоко, сливки, обезжиренное молоко.
Оценка качества пастеризованного молока производится по ГОСТ Р 52090-03
Молоко питьевое и напиток молочный. Технические условия. Экспертизу молока
проводят по органолептическим показателям: внешний вид и консистенция, вкус и
запах, цвет и физико- химическим. Важнейшие физико-химические показатели:
массовая доля жира, плотность, кислотность, степень чистоты, температура.
Таким образом, проведенный анализ показал, что качество молока напрямую
зависит от упаковки. Разная упаковка сохраняет продукт от скисания в разные
сроки. Молоко довольно специфический для хранения продукт. Он очень быстро
подвержен влиянию действия микроорганизмов.
Список литературы
1. ГОСТ
26809-86 «Молоко и молочные продукты : Правило приемки, методы отбора и
подготовки проб к анализу».
. ГОСТ
3624-92 «Молоко и молочные продукты : Титриметрические методы определения
кислотности».
. ГОСТ
Р 52090-03 Молоко питьевое и напиток молочный. Технические условия
. ГОСТу
24065-85. «Молоко и молочные продукты: Методы определения соды»
. Закон
РФ «О стандартизации» от 10 июня 1993г. № 5151-1
. Горбатова
К. К. Биохимия молока и молочных продуктов. - М.: Легкая и пищевая
промышленность, 1984.- 258с.
. Горфункель
И. И., Кононов В. С. и др. Товароведение мясных, рыбных, молочных и жировых
товаров: Учебное пособие для вузов. - М.: Экономика, 1985.-314с.
. Красовский
П. А., Ковалев А. И., Стрижов С. Г. Товар и его экспертиза. - М.:Центр
экономики и маркетинга, 1998.- 258с.
. Кругляков
Г.Н., Круглякова Г.В. Товароведение. :Учебник.- М.: Маркетинг,2006.- 368с.
. Кученев
П.В. Молоко и молочные продукты. М.:Росиздат,1981 - 290с.
. Лазарев
Е. И. Товароведение продовольственных товаров. - М.: Экономика, 1982.- 368с.
. Микулович
Л. С. и др. Товароведение продовольственных товаров. - Минск:БГЭУ, 1998.- 456с.
. Сборник
стандартов «Молоко и молочные продукты» М.: Издательство стандартов,1998.-
446с.
. Смирнов
А.Р. Проблемы развития молочной промышленности. // Молочная промышленность
,2008, № 1, с.56-58
. Николаева
М. А.. ЛычниковД.С. и др. Идентификация и фальсификация пищевых продуктов. -
М.: Экономика. 1996.- 420с.
. Николаева
М.А. Товарная экспертиза. Учебн.пособие.М.:Маркетинг.1998.- 380 с.
. Сергеев
В.Н. Молочная промышленность России // Молочная промышленность , 2004, №2,
с.8-15
. Шепелев
А.Ф., Печенежская И.А., Кожухова О.И. Товароведение и экспертиза
продовольственных товаров. Ростов- на -Дону.2006.-682с.
Похожие работы на - Экспертиза качества молока на примере ОАО 'Вними'
|