|
Наименование
|
Цена (за мешок
50кг) руб.
|
Группа
эффективности при пропаривании
|
|
ПЦ 400-Д20 (ЦЕМ
II /А-Ш 32,5 Н)
|
195
|
1
|
|
ПЦ-400-Д0 (ЦЕМ I 32,5 Н)
|
225
|
1
|
|
ПЦ 500-Д0 (ЦЕМI 42,5Н)
|
250
|
1
|
2.1.2 Крупный
заполнитель
По [10] в качестве крупных заполнителей для бетонов
используют щебень и гравий из плотных горных пород по [17], щебень из доменных
и ферросплавных шлаков черной металлургии и никелевых и медеплавильных шлаков
цветной металлургии по [24], а также щебень из шлаков ТЭЦ по [25]. Крупные
заполнители должны иметь среднюю плотность зерен от 2000 до 3000 кг/м3.
Предложенный в задании отсев дробления (фр.0-10 мм) не
соответствует ГОСТ 8267. Поэтому в качестве крупного заполнителя применяется
известняковый щебень фр. 10-20 соответствующий [10] и [17].
Прочность (М 600);
Экологичность (1 класс);
Насыпная плотность (1300 кг);
Лещадность (15-35 %);
Морозостойкость (F150);
Влажность (3,5%);
Содержание пылевидных и глинистых частиц по [10] для бетона
класса В 22.5 должно быть не более 2%;
Содержание глины в комках (не более 0,25%).
2.1.3 Мелкий
заполнитель
По [10] в качестве мелких заполнителей для бетонов используют
природный песок и песок из отсевов дробления горных пород со средней плотностью
зерен от 2000 до 2800 кг/м3 и их смеси, удовлетворяющие требованиям
[18] <2503.htm>, песок из доменных и ферросплавных шлаков черной
металлургии и никелевых и медеплавильных шлаков цветной металлургии по [24]
<2499.htm>, а также золошлаковые смеси по [26 <2512.htm>]. Мелкие
заполнители должны иметь среднюю плотность зерен от 2000 до 2800 кг/м3.
Предложенный в задании отсев дробления известняка (Мк= 2,1, Вл =
6,5%) соответствует [18] и является средним. Данный мелкий заполнитель
разрешено использовать в бетонных смесях для проектируемой плиты перекрытия и
замене не подлежит.
2.1.4 Вода
По [16] вода для затворения бетонной смеси при изготовлении
бетонных и железобетонных конструкций с ненапрягаемой арматурой должна отвечать
следующим требованиям:
Количество растворимых солей не должно превышать 5000 мг/л;
Количество ионов SO-24 не должно превышать
2700 мг/л;
Количество Ионов Cl - 1 не должно превышать 1200 мг/л;
Количество взвешенных частиц не должно превышать 200 мг/л.
Водопроводная вода в Перми удовлетворяет требованиям СанПиН
2.1.4.1074-01, а именно количество растворимых солей не превышает 1000 (1500)
мг/л, количество хлор ионов не превышает 350 мг/л, количество сульфатов не
превышает 500 мг/л. Поэтому водопроводная вода города Перми подходит для
затворения бетонной смеси.
2.1.5 Добавки
Предложенная заданием добавка "Универсал П-2"По
[27] является ускорителем твердения, пластификатором (II группа) с
воздухововлекающим эффектом.
Добавка "Универсал П-2" является:
суперпластификатором - улучшение прочности бетона за счет
незначительного воздухововлечения, а также:
повышает прочность бетона в проектном возрасте до 37%;
увеличение подвижности бетонной смеси от П1 до П4;
значительное повышение удобоукладываемости и уменьшение
расслаиваемости бетонных конструкций;
монолитное домостроение, товарный бетон;
при производстве железобетонных изделий увеличивает
коррозионную стойкость арматуры (пассивация поверхности арматуры);
. ускорителем твердения бетона - при сокращении количества
затворяемой воды, за 24 - 36 часов без пропарки (ТВО) - изделия набирают до 85%
нормируемой прочности бетона (в зависимости от качества цемента);
Позволяет сэкономить до 20% цемента без снижения марки
изделия.
Значительно повысить морозостойкость и водонепроницаемость
изделий (на 2 - 2,5 класса).
2.2
Арматура
В плите ПК56.15-13АтV используется преднапряжённая арматура
соответствующая [13]. В соответствии с материалами для проектирования [2]
арматура напрягается электротермическим способом, класс используемой арматуры
А800.
3. Подбор
состава бетона
3.1
Исходные данные
Бетон: класс бетона по прочности на сжатие В22,5 (Rсж=28,8 МПа), марки по
морозостойкости F50, марки по водонепроницаемости W4;
Бетонная смесь: марка по удобоукладываемости Ж2;
Цемент: ПЦ-400-Д20, активность цемента Rсж=41,3 МПа, начало
схватывания - не ранее 45 минут;
Щебень: Известняковый фр.10 - 20 мм,
Песок: отсев дробления известнякаМк=2,1,
Добавка: Универсал П - 2 - ускоритель - пластификатор - ингибитор.
Воздухововлекающая добавка. Дозировка 0,5 - 0,6% от массы цемента.
Партерная схема производства бетонной смеси. Уплотнение бетона
производится на виброплощадке с частотой 50 Гц в форме.
Ориентировочный состав бетона
Определяем В/Ц в зависимости от требуемой прочности, срока и
условий твердения бетона [1]:
(3.1)
где В/Ц - водоцементное отношение;б - предел прочности
бетона на сжатие, МПа;ц - активность цемента, МПа;
А - коэффициент, учитывающий качество материала;
.
Определяем расход воды (В, кг/м3), в зависимости от
требуемой подвижности бетонной смеси и вида заполнителей ориентировочно [1].
Для изготовления многопустотных плит перекрытия применяется жёсткая бетонная
смесь с маркой по удобоукладываемости Ж2. Таким образом, расход воды составляет
160 л/м3.
Определяем расхода цемента (Ц, кг/м3), по известному
В/Ц и водопотребности бетонной смеси:
; (3.2)
где В - расход воды, л/м3;

кг/м3.
Согласно [20] минимальная норма расхода цемента марки 400 для
тяжелого бетона класса В22,5 (М300) при твердении в условиях тепловой обработки
при отпускной прочности 70% и учётом поправочных коэффициентов составляет 310
кг/м3.
Согласно упомянутому [20] для бетона марки по морозостойкости F50 расход цемента равен 240 кг/м3, а для бетона
марки по водонепроницаемости W4 - 310 кг/м3.
Принимаем Ц = 309кг/м3.
Определяем новое В/Ц
Определим прочность бетона при принятом В/Ц:
Сравниваем фактическую прочность бетона с требуемой, превышение
фактической прочности не должно превышать 20 %

(3.3)
Фактическая прочность бетона
= 35,62 МПа выше заданной прочности 
=34,56 МПа, что не удовлетворяет требованиям не превышать 20%,
для, выполнения данного условия понижаем активность цемента золой. Для
получения активности цемента 35 МПа заменяем 47,28 кг цемента на золу. С такой
активность цемента

Что удовлетворяет условию не превышать 
на 20%.
Определяем расход крупного заполнителя Щ, кг/м3, по
формуле:
; (3,4)
где
- насыпная плотность щебня, кг/м3;
- истинная плотность щебня, кг/м3;
- коэффициент раздвижки зерен щебня; Vпуст - пустотность щебня.
Пустотность щебня определяется по формуле:

α=1,1 для жёстких смесей [1].
После найденных величин определяем расход щебня (Щ, кг/ м3)
1235,91 кг/м3.
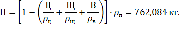
Определяем расход песка (П, кг/м3), по формуле:

(3,5)

=762,084.
В результате, расход материалов на 1 м3 бетонной смеси
равен:
Ц = 310 кг;
В = 160 л;
Щ =1235,91 кг;
П = 762,084 кг.
Определяем соотношение между мелким и крупным заполнителем:

; (3,6)
Плотность бетонной смеси равна
310+160+1235,91+762,084=2468 кг/м3.
3.2 Подбор
состава бетона с добавкой
Добавка Универсал П-2 берётся 0,6% от цемента. Количество
сухой добавки рассчитываем по формуле:

(3,7),
Добавка уменьшает количество воды на 15%, поэтому расход её будет
составлять:
Водоцементное отношение остаётся неизменным, исходя из этого,
расход цемента будет составлять:
Коэффициент раздвижки зёрен α остаётся неизменным.

Рассчитываем расход песка:
Рассчитываем плотность бетонной смеси:

;

(10 % раствор добавки).
Масса воды, требуемая для разведения добавки будет составлять:
3.3
Производственный подбор состава бетона
В производственно подборе состава учитывается влажность
заполнителей.
Вода, содержащаяся, в щебне составляет:
В песке:
Вода, требуемая для бетонной смеси будет составляет:

(3,8)
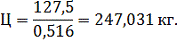
Окончательный состав бетона будет выглядеть следующим образом:
Вода: 37,95 л;
Цемент: 247,03 кг;
Щебень: 1279,172 кг;
Песок: 811,62 кг;
Добавка (10% раствор): 14,82 л;

2390,59.
4. Основные
расчеты бетоносмесительного узла
4.1
Рабочий режим бетоносмесительного узла
Режим работы предприятия зависит от схемы технологической
линии, при агрегатно-поточной схеме на основании [14] я принимаю годовой фонд
времени работы основного технологического оборудования 253 суток и 7 суток
плановых остановок на ремонт технологического оборудования. Изделия предприятия
подвергаются ТВО, в связи с этим предприятие работает в 3 смены по 8 часов.
Годовой фонд рабочего времени предприятия равен 6072 часа
4.2
Производственная программа
Для дальнейших расчетов бетоносмесительного цеха производится
расчет рабочей программы по принятому режиму работы предприятия. Рабочая
программа отражает производительность бетоносмесительного цеха и расход всех
компонентов бетонной смеси в год, сутки, смену, час и замес. Рабочая программа
бетоносмесительного цеха по производству многопустотных плит перекрытия
приведена в таблице 4.1
Таблица 4.1 - Рабочая программа
|
|
в год
|
в месяц
|
в сутки
|
в смену
|
в час
|
на замес
|
|
БС, м3
|
6100,000
|
508,333
|
24,111
|
8,037
|
1,005
|
|
|
БС, м3
|
6314,880
|
526,240
|
24,960
|
8,320
|
1,040
|
0,087
|
|
с уч. пот.1,5%
|
6409,603
|
534,134
|
25,334
|
8,445
|
1,056
|
0,088
|
|
Ц+зола (т)
|
1583,372
|
131,948
|
4,398
|
1,466
|
0,183
|
0,015
|
|
с уч. пот.2%
|
1615,040
|
134,587
|
4,486
|
1,495
|
0,187
|
0,016
|
|
Щ (т)
|
8198,988
|
683,249
|
22,775
|
7,592
|
0,949
|
0,079
|
|
с уч. пот.2%
|
8362,968
|
696,914
|
23,230
|
7,743
|
0,968
|
0,081
|
|
П (т)
|
5202,162
|
433,514
|
14,450
|
4,817
|
0,602
|
0,050
|
|
с уч. пот.3%
|
5358,227
|
446,519
|
14,884
|
4,961
|
0,620
|
0,052
|
|
В (л)
|
243256,375
|
20271,365
|
675,712
|
225,237
|
28,155
|
2,346
|
|
с. уч. пот.2%
|
248121,502
|
20676,792
|
689,226
|
229,742
|
28,718
|
2,393
|
|
Д (кг)
|
95002,337
|
7916,861
|
263,895
|
87,965
|
10,996
|
0,916
|
|
с. уч. пот.2%
|
96902,384
|
8075, 199
|
269,173
|
89,724
|
11,216
|
0,935
|
Производительность предприятия была увеличена с целью
производства целого числа плит в смену.
Из производственной программы видно маленькие объемы выпуска
изделий, что приведёт к отрицательному экономическому эффекту, для увеличения
прибыли предприятия устанавливается бетоносмеситель большего объема.
Бетоносмесительный узел будет выпускать бетон не только для выпуска плит
перекрытия, но и на продажу. В дальнейшем расчёт складов и подбор оборудования
будет рассчитываться с учётом использования бетоносмесителя на 1 куб. метр и
производительности бетоносмесительного узла 12 куб. метров в час. Рабочая
программа бетоносмесительного цеха с учётом использования бетоносмесителя на 1
куб. метр в таблице 4.2 приведена для наглядности (рассчитана на производство
бетона марки В22,5).
Таблица 4.2 Рабочая программа бетоносмесителя на 1 м3
|
|
в год
|
в месяц
|
в сутки
|
в смену
|
в час
|
на замес
|
|
БС, м3
|
6100,000
|
508,333
|
24,111
|
8,037
|
1,005
|
|
|
БС, м3
|
72864
|
6072,000
|
288,000
|
96,000
|
12,000
|
1,000
|
|
с уч. пот.1,5%
|
73956,960
|
6163,080
|
292,320
|
97,440
|
12,180
|
1,015
|
|
Ц+зола (т)
|
18269,680
|
1522,473
|
50,749
|
16,916
|
2,115
|
0,176
|
|
с уч. пот.2%
|
18635,074
|
1552,923
|
51,764
|
17,255
|
2,157
|
0,180
|
|
Щ (т)
|
7883,643
|
262,788
|
87,596
|
10,950
|
0,912
|
|
с уч. пот.2%
|
96495,786
|
8041,316
|
268,044
|
89,348
|
11,168
|
0,931
|
|
П (т)
|
60024,948
|
5002,079
|
166,736
|
55,579
|
6,947
|
0,579
|
|
с уч. пот.3%
|
61825,696
|
5152,141
|
171,738
|
57,246
|
7,156
|
0,596
|
|
В (л)
|
2806804,325
|
233900,360
|
7796,679
|
2598,893
|
324,862
|
27,072
|
|
с. уч. пот.2%
|
2862940,411
|
238578,368
|
7952,612
|
2650,871
|
331,359
|
27,613
|
|
Д (кг)
|
1096180,817
|
91348,401
|
3044,947
|
1014,982
|
126,873
|
10,573
|
|
с. уч. пот.2%
|
1118104,433
|
93175,369
|
3105,846
|
1035,282
|
129,410
|
10,784
|
4.3
Склад сырьевых материалов
Запасы сырьевых материалов для выполнения производственной
программы бетоносмесительного узла рассчитывается по формуле:

(4,1)
Х - запас материала, т;
Q - производительность завода, м3/год;
Зх - средний расход материала, т/м3 бетонной
смеси;
n - запас материала при поступлении его на склад автотранспортом,
сутки;
р - расчетный годовой фонд рабочего времени, сутки.
4.3.1 Расчет
склада цемента
Запас цемента, для выполнения производственной программы
бетоносмесительного узла: при расчёте запаса цемента появляется коэффициент
заполнения силоса равный 0,9.
Минимальное количество силосов для хранения цемента
принимается согласно [14]. Принимаю 3 силоса с одновременной вместимостью 468т,
156 т каждый. Высота одного силоса 15,7 м, диаметр 3,8 м, масса 12 тонн. [3]
4.3.2 Расчет
склада крупного заполнителя
Запас щебня, обходимый для выполнения производственной
программы бетоносмесительного узла:
4.3.3 Расчет
склада мелкого заполнителя
Запас песка, обходимый для выполнения производственной
программы бетоносмесительного узла:
.4
Расчёт площади склада
Высота штабеля согласно [14] принимается не выше 12 м. Угол
естественного откоса - 40º. Схема склада
заполнителей приведена на рисунке 4.1.
Задача поиска площади склада заполнителей была решена с
помощью надстройки excel поиск решения таблица 4.3
Таблица 4.3 Оптимизации площади склада.
|
|
Объём, м3 (V)
|
Высота, м (H)
|
Длина, м (L)
|
Ширина, м (b)
|
Площадь, м2 (S)
|
|
Насыпь песка
|
802,439
|
3,397
|
29,183
|
8,096
|
236,254
|
|
Насыпь щебня
|
1579,981
|
4,766
|
29,183
|
11,360
|
331,512
|
|
Склад
заполнителей
|
|
|
29,183
|
29,183
|
851,649
|
Рисунок 4.1 Модель склада,
При расчёте оптимальной площади склада, ячейка объем
высчитывалась путём деления массы заполнителей на насыпную плотность, параметр
высота изменялся от 0 до 12, длина изменялась по формуле L=tg (40) / (H^2*2), ширина менялась по
формуле b=2*H/tg (40), а площадь S=b*L. При этом общая площадь
вычисляется по формулеSскл= (Sщеб+Sпес) *1.5 В поиске решения целевая функция - общая площадь
склада, изменяемым параметром является высота штабеля, ограничения при поиске
минимальной площади склада:
штабель не более 12 м;
ширина склада равна длине склада (при минимальном периметре
площадь квадрата максимальна);
длины насыпей заполнителей равны.
Результатом оптимизации стали таки данные:
Высота насыпи: щебня 4,76 м, песка 3,39 м;
Ширина насыпи: щебня 11,36 м, песка 8,096 м;
Длина насыпи: 29,183 м;
Ширина прохода между насыпями: 9,727 м, что даёт возможность
работать технике.
4.5 Расчет
расходных бункеров
Расходные бункера рассчитывается по формуле:

(4,2)
где V - запас материала в расходных бункерах, м3;
t - время запаса материала в бункере, час;
Qчас -
часовая производительность бетонной смеси, м3/ч;
З - расход материала на м3 бетонной смеси, м3;
γ - коэффициент заполнения бункера.
4.5.1 Запас
заполнителей в расходных бункерах на 2 часа
VЩ = 2∙12∙0,983/0,9 =26,63, м3;
VП = 2∙12∙0,494/0,9= 13,39м3.
4.5.2 Запас
цемента в расходном бункере на 3 часа
Расстояние от силоса до бетоносмесителя мало и поэтому
расходный бункер для цемента можно не использовать [1].
Запас
добавки в сухом виде, воды и раствора добавки в расходных баках на 5 часов:
Vд = 5∙12∙0,0029/0,9=0, 19м3;
Vв = 5∙12∙0,049/0,9 = 2,56 м3;
Vр-р=5∙12∙0,0148/0,9 = 1, м3.
4.5
Расчёт размеров расходного бункера
Рассчитаем габаритные размеры расходных бункеров при высоте,
равной двум ширинам основания:
V = SH; (4.2)
где V - объем расходного бункера, м3;
S - площадь основания бункера, м2;
Н - высота расходного бункера, м;
Vщ=2х3 =>x= (26,633/2) (1/3) =2,37
м; Н=4,74 м;
Vп=2х3 =>x= (13,39/2) (1/3) =1,88
м; Н=3,76 м.
5. Подбор
технологического оборудования
5.1
Подбор дозаторов
Подбор оборудования проводился с учётом [8] итого, что
механическое оборудование точно работает в пределах шкалы от 0,2 до 0,8, на
основании этого были подобраны следующие дозаторы. Система подачи
заполнителей (скиповый подъемник): система подачи материала включает в себя подъемный ковш,
подъемную систему, лебедку и направляющие
Объем ковша: 1000 л;
Мощность двигателя лебедки: 7.5 кВт;
Скорость движения скипового подъёмника 0,25 м/с.
Система взвешивания инертных материалов:
Щебень дозируется ДЗТ-1600
Характеристики:
Макс. взвешиваемый вес 1600 кг;
Мин. взвешиваемый вес 160 кг;
Погрешность 0,5-2%.
Песок дозируестя ДЗТ-1250
Макс. взвешиваемый вес 1250 кг;
Мин. взвешиваемый вес 125 кг;
Погрешность 0,5-2%.
Система взвешивания цемента:
Цемент дозируется в ДЦТ-630
Макс. взвешиваемый вес 630 кг;
Мин. взвешиваемый вес 63 кг;
Погрешность 0,3-1%.
Система подачи воды:
Система подачи воды состоит из бункера для воды, насоса,
бункера для взвешивания и электромагнитного клапана.
В качестве дозатора используется ДВТ-80: наибольший предел
дозирования, кг80; количество дозируемых компонентов 1; температура продукта, 
+ 5. + 55; точность дозирования, %±1;
Время прогрева, мин 5; максимальное время дозирования, с20.
Система подачи добавок: ДХТ-20
Система подачи добавок идёт совместно с ДВТ-80 имеет собственный
бункер для разбавления добавки, водяного насос, временное реле, и датчики.
5.2
Подбор бетоносмесителя
Для бетонной смеси Ж2 был подобран бетоносмеситель
планетарного типа. Планетарный бетоносмеситель марки MP 1500/1000, выполнен
компанией SICOMA. Их широко применяют в промышленном и гражданском
строительстве.
Технические характеристики бетоносмесителя приведены в
таблице 5.1
Таблица 5.1 - Технические характеристики бетоносмесителя MP
1500/1000
|
Наименование
параметра
|
MP 1500/1000
|
|
Объём по
загрузке, л
|
1500
|
|
Объём готового
замеса, л
|
1000
|
|
Мощность
электродвигателя, кВт
|
45
|
|
Мощьность
гидростанции, кВт
|
4
|
|
Масса (без
скипа), кг
|
4900
|
В комплекте с бетоносмесителем предоставляется скиповый
подъёмник, характеристики которого приведены выше.
6. Охрана
труда и техника безопасности
Техника безопасности - комплекс технических и организационных
мероприятий, направленный на обеспечение безопасности условий труда. В состав
таких мероприятий могут входить: разработка правил безопасного проведения работ,
ограждение вращающихся частей машин и механизмов, защитное заземление
электроустановок, изучение персоналом правил техники безопасности.
Для создания безопасных условий труда при приготовлении
бетонной смеси соблюдают следующие правила:
· Площадки в пределах рабочей зоны
бетоносмесителей содержат в чистоте и не загромождают. Все работающие механизмы
освещают.
· Подъемники, бункера, лотки и другие
устройства для подачи материалов ограждают, а все корпуса электродвигателей
заземляют.
· Закрытые помещения, в которых работают с
пылящими материалами и добавками, оборудуют вентиляцией и устройствами,
предупреждающими распыление материалов. Пылеобразование в основном возникает
при транспортировании и перегрузки цемента, поэтому во время таких операций
рабочие должны пользоваться противопылевой спецодеждой, защитными очками с
плотной оправой, а для защиты дыхательных путей - респираторами.
· При приготовлении бетонных смесей с
химическими добавками соблюдают меры предосторожности против ожогов,
повреждения глаз и отравления.
· До пуска в эксплуатацию каждую
установленную или отремонтированную машину осматривают и испытывают.
· При выгрузке бетонной смеси из
бетоносмесителя запрещается ускорять опорожнение вращающегося барабана лопатой
или другим приспособлением.
· Не допускается проверять, смазывать и
ремонтировать электропневматические сборочные единицы дозаторов во время их
работы.
· Силосы и бункера для хранения цемента
оборудуют устройствами для обрушения сводов цемента.
· Загрузочные отверстия емкостей для хранения
пылевидных материалов закрывают защитными решетками, люки в защитных решетках
запирают на замок.
Производственное оборудование, оснастка,
приспособления и инструменты должны отвечать требованиям государственных
стандартов по безопасности труда.
Персонал, эксплуатирующий оборудование,
оснастку, приспособления и ручные машины до начала работ должен быть обучен
безопасным методам и приемам работ с их применением согласно требованиям
инструкций завода изготовителя и инструкций по охране труда.
Включение, запуск в работу оборудования и
других средств механизации должен производиться только лицом, за которым они
закреплены, имеющим удостоверение на право управление этим средством.
Съемные грузозахватные приспособления и тара в процессе
эксплуатации должны подвергаться техническому освидетельствованию лицом,
ответственным за их техническое состояние в сроки, установленные требованиями
правил устройства и безопасности эксплуатации грузоподъемных кранов, а вся
технологическая оснастка - не реже чем через 6 месяцев.
Заключение
При выполнении курсового проекта на тему бетоносмесительный
узел для производства многопустотных плит перекрытия серии 1.041.1-3
производительностью 6100 м3/год с расчетом производственного состава
бетона, емкости силосов цемента, складов заполнителей, расходных бункеров; были
подобраны дозаторы воды и добавки, цемента, заполнителей и бетоносмеситель,
обеспечивающий заданную производительность бетонной смеси.
Как результат проведенной работы представлен чертеж линии по
приготовлению бетонной смеси для производства многопустотных плит перекрытия
серии 1.041.1-3, на котором изображен запроектированный бетоносмесительный цех,
два разреза бетоносмесительного узла, силосы для цемента и склад расчет которых
произведен в курсовом проекте.
Список используемой
литературы
1. Баженов
Ю.М. "Технология бетонных и железобетонных изделий": учебник для
ВУЗов / Ю.М. Баженов, А.Г. Комар.
2. Серия
1.041.1-3 "сборные железобетонные многопустотные плиты перекрытий
многоэтажных общественных зданий, производственных зданий промышленных
предприятий": материалы для проектирования.
3. Сайт завода
"строй бетон" <http://www.ibeton.ru>
. Сайт компании
"SICOMA" <http://www.sicoma.ru/>
. ГОСТ 9561-91:
"Плиты перекрытии железобетонные многопустотные для зданий и сооружений".
. ГОСТ 31384-08:
"Защита бетонных и железобетонных конструкций от коррозии".
. СНиП 3.09.01-85
(94): "Производство сборных железобетонных конструкций и изделий".
. ГОСТ 7473-94:
"Смеси бетонные. Технические условия".
. ГОСТ 7.32-2001:
"Система стандартов по информации, библиотечному и издательскому делу.
Отчет о научно-исследовательской работе. Структура и правила оформления".
. ГОСТ 26633-91:
"Бетоны тяжелые и мелкозернистые. Технические условия".
. ГОСТ 10178-85:
"Портландцемент и шлакопортландцемент. Технические условия".
. ГОСТ Р 21.1101:
"Основные требования к проектной рабочей документации".
. ГОСТ 5781-82:
"Сталь горячекатаная для армирования железобетонных конструкций".
. ОНТП 07-85:
"Общесоюзные нормы технологического проектирования предприятий сборного
железобетона".
. ГОСТ 30515:
"Цементы. Общие технические условия".
. ГОСТ 23732-79:
"Вода для бетонов и растворов. Технические условия".
. ГОСТ 8267-93:
"Щебень и гравий из плотных горных пород для строительных работ.
Технические условия".
. ГОСТ 8736-93:
"Песок для строительных работ. Технические условия".
. ГОСТ 27006-86:
"Бетоны. Правила подбора состава".
. СНиП 82-02-95:
"Федеральные элементные нормы расхода цемента при изготовлении бетонных и
железобетонных изделий и конструкций".
. ГОСТ 10884-94:
"Сталь арматурная термомеханически упрочненная для железобетонных
конструкций. Технические условия. "
. ГОСТ 25820-2000:
"Бетоны легкие. Технические условия".
. ГОСТ 31108-03:
"Цементы общестроительные. Технические условия".
. ГОСТ 5578-94
"Щебень и песок из шлаков черной и цветной металлургии для бетонов.
Технические условия".
. ГОСТ 26644
"Щебень и песок из шлаков тепловых электростанций для бетона. Технические
условия".
. ГОСТ 25592-91:
"Смеси золошлаковые тепловых электростанций для бетонов. Технические
условия".
. ГОСТ 24211-91:
"Добавки для бетонов. Технические требования".