Техническая характеристика легкового автомобиля
Курсовая
работа
по
дисциплине «Автомобили»
Исходные данные
|
Тип
автомобиля
|
Легковой
|
|
Колесная
формула
|
4х2
|
|
Пассажировместимось,
чел.
|
5
|
|
Тип
привода
|
П
|
|
Число
передач в КП
|
5
|
|
Тип
двигателя
|
Д
|
|
Коэф.
приспособляемости по моменту, км
|
1,18
|
|
Коэф.
приспособляемости по угловой скорости, кφ
|
1,75
|
|
Габаритная
длина автомобиля, Lr> м
|
4,8
|
|
Макс,
скорость движения автомобиля, км/ч
|
220
|
1. Оценка тягово-скоростных свойств автомобиля
1.1 Скоростные
характеристики ДВС
Скоростная характеристика
двигателя представляет собой зависимость эффективной мощности Ре и
крутящего момента Ме двигателя при установившемся режиме его работы
от угловой скорости коленчатого вала двигателя φе
или частоты его вращения ne.
Скоростная характеристика, полученная при полной
подаче топлива, называется внешней скоростной характеристикой, а скоростные
характеристики, полученные при неполной подаче топлива, - частичными.
Условия работы двигателя,
установленного на автомобиле, отличаются от стендовых, что связано с установкой
на двигатель элементов, которые были сняты при испытаниях. Кроме того, давление
и температура при работе двигателя на автомобиле отличаются от нормальных
условий.
Поэтому мощность двигателя Ре,
установленного на автомобиле, несколько меньше мощности
,
полученной при стендовых испытаниях. При использовании стендовых характеристик
для тягово-скоростных расчетов значения мощности
уменьшают
путем их умножения на коэффициент коррекции Кст, зависящий как от
конструктивных особенностей и условий эксплуатации АТС, так и от особенностей
стандарта, по которому была снята внешняя характеристика.
В приближенных расчетах можно
принимать Кст = 0,93...0,96, т.е.
Важнейшими параметрами внешней
скоростной характеристики двигателя, снятой на тормозном стенде, являются:
- максимальная
эффективная мощность, кВт;
- максимальный
крутящей момент, Н∙м;
Коэффициент дорожного
сопротивления для легковых автомобилей ψ = 0,25...0,5
Так как при максимальной
скорости движения автомобиля двигатель работает на максимальных оборотах, то в
случае установки на автомобиле дизельного двигателя φе
max = φр,
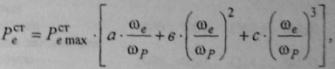
Реv = Ре max.
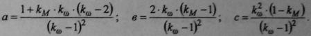
Для дизельных, бензиновых с
впрыском и карбюраторных двигателей коэффициенты а, в и с определяются по
формулам:
При этом должно соблюдаться равенство
а + в + с = 1.
Минимальная частота вращения
(угловая скорость) ne min (φе
min) коленчатого вала двигателей внутреннего
сгорания, при которой они устойчиво работают с полной нагрузкой, находится в
пределах 800... 1000 об/мин (83,77... 104,71 рад/с).
Частота вращения (угловая
скорость) при максимальном крутящем моменте двигателя nм
(φм) определяется по
формуле
У нашего автомобиля np
(φр) = 3500...5000
(366,5...523,5) со средним значением 4500 об/мин.
У дизельных двигателей и
бензиновых двигателей с впрыском устойчивое значение максимальной частоты
вращения ne max = nр.
- крутящий момент
при максимальной мощности, Н∙м;e min и ne max -
минимальная и максимальная частоты вращения коленчатого вала двигателя, об/мин;М
и nр - частоты вращения коленчатого вала двигателя соответственно
при
и
;
км - коэффициент приспособляемости по
моменту
км = Ме max/Мр
кφ
-
коэффициент приспособляемости по частоте вращения
кφ
=
np/ nМ.
а =
=
=
0,86
b =
=
=
1,12
с =
=
=
- 0,98
а + b + c = 0,86 + 1,12 - 0,98
= 1
Важнейшими параметрами внешней скоростной
характеристики двигателя, снятой на тормозном стенде, являются:
- максимальная
эффективная мощность, кВт;
- максимальный
крутящий момент, Н∙м;
Максимальная мощность в зависимости от
максимальной скорости определяется формулой:
Ре v =
∙
(g ∙ ma ∙ ψv
+
)
= 114,9 кВт
Определение текущего значения эффективной
мощности от частоты вращения коленчатого вала двигателя, производится по
эмпирической зависимости, предложенной С.Р. Лейдерманом:
Так как при максимальной скорости движения
автомобиля двигатель работает на максимальных оборотах, то в случае установки
на автомобиле дизельного двигателя
ωe max
= ωp
и
Pe v = pe max
Pe = 114,9 ∙ [0,86 ∙
+
1,12 ∙
- 0,98 ∙
]
|
ne,
об/мин
|
|
800
|
1000
|
1500
|
2000
|
2500
|
3000
|
3500
|
4000
|
4500
|
|
Ре,
кВт
|
21,4
|
27,0
|
42,60
|
58,9
|
76,0
|
90,2
|
102,0
|
110,6
|
114,9
|
|
,
кВт
|
22,5
|
28,4
|
44,9
|
62,0
|
80,0
|
95,0
|
107,4
|
116,4
|
121,0
|
|
Me,
Н∙м
|
250,5
|
258,0
|
272,4
|
285,1
|
290,3
|
287,1
|
278,4
|
264,0
|
243,8
|
|
Meст,
Н∙м
|
263,7
|
271,5
|
286,7
|
299,0
|
305,6
|
302,2
|
293,0
|
278
|
256,7
|
Ме = 1000 ∙
,
ωе
= nе ∙
.
2. Уравнение движения автомобиля
Окружная сила на ведущих
колесах Fk при движении автомобиля затрачивается на преодоление сил
сопротивления воздуха, качению Ff, подъему Fh и разгону Fa
автомобиля, т.е.
k
- FB - Ff ± Fh ± Fa = 0
Знак « -» при силе Fh
соответствует движению автомобиля на подъёме, а знак «+» - движению на спуске;
знак « - » при силе Fa соответствует разгону автомобиля, а знак «+»
- торможению.
Уравнение движения автомобиля:
a
- полная масса автомобиля, кг;a- сила тяжести автомобиля, Н;
Ме- крутящий момент
двигателя, Нм;тр - передаточное число трансмиссии;
г0-расчетный радиус
качения ведущих колес, м;
ήтp
- коэффициент полезного действия трансмиссии;B - коэффициент
сопротивления воздуха, Н ∙ с2/м4 ;a-
скорость движения автомобиля, м/с;
Ав - площадь
лобового сопротивления автомобиля, м2;- коэффициент сопротивления
качению;-величина продольного уклона дороги (тангенс угла наклона дороги к
горизонту);
α
- угол наклона продольного профиля дороги, град(рад);
δ
- коэффициент учета вращающихся масс автомобиля. Данное уравнение справедливо
для неустановившегося движения автомобиля. При этом
где Iм - момент
инерции маховика двигателя и ведущей части сцепления, кг∙м2;кi
- момент инерции i-го колеса автомобиля, кг∙м2;- число колес
автомобиля.
Уравнение силового (или
тягового) баланса
Заменим обозначения сил их
развернутыми выражениями.
Уравнение позволяет определить
величину окружной силы, развиваемой на ведущих колесах автомобиля, и
установить, как она распределяется по различным видам сопротивлений.
2.1 Тяговый расчет автомобиля
Задачей тягового расчета является определение
характеристик двигателя и трансмиссии, обеспечивающих требуемые
тягово-скоростные свойства автомобиля и его топливную экономичность в заданных
условиях эксплуатации.
Кривую силы сопротивления воздуха FB
движению автомобиля строят, откладывая значения этой силы вверх от значений
силы Fv, для соответствующих скоростей движения автомобиля.
Абсцисса точки пересечения кривой суммарного
сопротивления Fψ
+ Fb определяет величину окружной силы, необходимой для движения
автомобиля с постоянной скоростью Va = const.
Если при некоторой скорости V1 кривая
Fк проходит выше кривой Fψ
+ Fb, то ордината F3, заключенная между этими кривыми,
представляет собой нереализованную часть окружной силы или запас силы, который
можно реализовать для преодоления повышенного дорожного сопротивления или
разгона автомобиля.
2.1.1 Определение полной массы
автомобиля
Полная масса автомобиля определяется следующим
образом:
ma = mo + (mч
+ mб)
∙ ni
где mo - масса снаряженного
автомобиля: mo = 945 кг;ч - масса водителя или пассажира: принимаем
mч = 75 кг;б - масса багажа из расчета на одного пассажира: mб = 10
кг;i - количество пассажиров, включая водителя: nп = 5 чел..
ma = 945 + (75 + 10) ∙ 5 = 1370
кг
2.1.2 Распределение полной массы по
мостам автомобиля
При распределении нагрузки по осям легкового
автомобиля с передним расположением двигателя и передним ведущим мостом на
задний мост приходится 43-47% полной массы автомобиля.
Принимаем на менее нагруженный задний мост 45%
полной массы. Тогда на передний мост приходится 55% полной массы.
Определим полный вес автомобиля:
a
= ma ∙ g;a = 1370 ∙ 9,81 = 1349,7 H.
Определим вес, приходящийся на переднюю ось
автомобиля:
1
=
;1
=
=
7391,835 H.
Определим вес, приходящийся на заднюю ось
автомобиля:
1
=
;1
=
=
6047,865 H.
2.1.3 Подбор шин
При выборе шин исходным параметром является
нагрузка на наиболее нагруженных колесах. Наиболее нагруженными являются шины
переднего моста. Определяем нагрузку на одну шину:
где n - число шин одного моста: n =
2.
Н.
Из ГОСТ 4754 - 97 «Шины
пневматические для легковых автомобилей, прицепов к ним, легких грузовых
автомобилей и автобусов особо малой вместимости» принимаем шину 165/70R13.
Определяем посадочный диаметр обода d, наружный
диаметр Dн и статический радиус колеса rст:
=
13 · 0,0254 = 0,3302 м;i = d +
;
где kш - H/B (H и B - высота и ширина
профиля): для шины 165/70R13 kш = 0,7; B = 165 мм;
i
= 0,3302 +
= 0,5612 м ;i
= 0,5 ∙ d +
где λсм
- коэффициент, учитывающий смятие шины под нагрузкой: для радиальных шин
легковых автомобилей принимаем λсм
= 0,81;
ri = 0,5 ∙ 0,3302 +
=
0,2587 м.
Определяем радиус качения колеса:
o
=
;
м.
.1.4 Определение передаточных чисел
коробки передач
Передаточное число трансмиссии
на j-й передаче определяется по выражению:
где uкп j -
передаточное число в коробке передач автомобиля на j-й передаче;
ирк - передаточное
число в раздаточной коробке на высшей передаче (при отсутствии раздаточной
коробки в трансмиссии автомобиля uрк= 1);гп - передаточное
число главной передачи автомобиля.
Передаточное число первой передачи
рассчитывается, исходя из того, чтобы автомобиль мог преодолеть максимальное
сопротивление дороги, характеризуемое коэффициентом
, не буксовал
при трогании с места, и мог двигаться с устойчивой минимальной скоростью.
Максимальное сопротивление дороги
для легковых автомобилей должно находиться в пределах
Определим минимальный коэффициент
сцепления, при котором данный автомобиль может тронуться с места без
пробуксовки ведущих колес:
;
где
- коэффициент перераспределения
нормальных реакций, для переднеприводного автомобиля принимаем
.
.
Минимальный коэффициент сцепления
составил
.
Определим минимальную устойчивую
скорость движения автомобиля:
;
где
- минимальные устойчивые обороты
двигателя, принимаем для дизельного двигателя nemin = 800 об/мин.
Vmin =
=
6,042 км/час
Передаточные числа промежуточных передач
выбираются из условия обеспечения максимальной интенсивности разгона
автомобиля, а также длительного движения при повышенном сопротивлении дороги.
Передаточное число главной передачи автомобиля
определяется из условия обеспечения заданной максимальной скорости движения
автомобиля Vmax на высшей передаче из выражения:
,
где uk - передаточное
число коробки передач на высшей передаче.0 = 0,377 ∙
∙
5000/1*220 = 2,3
КПП проектируемого автомобиля не
имеет ускоряющую передачу, поэтому uk = 1
Передаточное число первой передачи
КПП определяется из условия преодоления автомобилем максимального сопротивления
дороги. При этом используется формула:
,
где Ψmax -
максимальный коэффициент сопротивления дороги, преодолеваемой автомобилем на
первой передаче (Ψmax = 0,3…0,4).
Принимаем Ψmax = 0,4.
Меmax - максимальный
вращающий момент, развиваемый двигателем, Нм (Меmax = 478 Нм).
ηтр - КПД
трансмиссии автомобиля (ηтр = 0,85)k1
=
= 3,636
Таблица 2.1 Передаточные числа КП
|
№
передачи
|
Обозначение
|
Фактическое
значение
|
Рассчитанное
значение
|
|
1
|
U1
|
3,636
|
3,636
|
|
2
|
U2
|
1,950
|
2,478
|
|
3
|
U3
|
1,357
|
1,689
|
|
4
|
U4
|
0,941
|
1,151
|
|
5
|
U5
|
1
|
1
|
Как видно из таблицы фактические значения
передаточных чисел промежуточных передач меньше рассчитанных значений. Таким
образом, коробка передач заданного автомобиля не обеспечивает максимальной
интенсивности разгона автомобиля. Поскольку фактические значения передаточных
чисел промежуточных передач незначительно отличаются от рассчитанных значений
можно сделать вывод, что данная коробка передач обеспечивает уместную
интенсивность разгона автомобиля, при улучшенных показателях топливной
экономичности.
2.1.5 Построение графика тяговой
характеристики
Определим значения окружной силы
, в
зависимости от скорости, при движении автомобиля на различных передачах:
.
В данном уравнении эффективный
крутящий момент
является
функцией от оборотов коленчатого вала ne. Значение эффективного
крутящего момента
в
зависимости от оборотов коленчатого вала ne определяется по внешней
скоростной характеристике двигателя.
В предположении отсутствия
буксования сцепления и ведущих колес автомобиля связь между частотой вращения
коленчатого вала двигателя ne и скоростью V находится из
соотношения:
;
где i - номер передачи.
Производим расчеты значений окружной
силы
и скорости
Vi для различных оборотов коленчатого вала в диапазоне от nemin
до nemax на различных передачах коробки передач.
Для следующих значений
на i-той
передаче расчеты ведем аналогично. Результаты расчетов заносим в таблицу.
Полученные значения наносим на тяговую характеристику. Определим силу
сопротивления качению
в
зависимости от скорости движения автомобиля:
;
где fo - коэффициент
сопротивления качению при движении автомобиля с малой скоростью (при расчетах
используем значение fo = 0,012).
Силу сопротивления подъема
принимаем
равной нулю, так как рассматриваем движение автомобиля на дороге без уклона.
Определим силу сопротивления воздуха
в
зависимости от скорости движения автомобиля:
FA =
Результаты расчетов сил
сопротивления дороги (качения)
и воздуха
Таблица 2.2
|
№
п/п
|
Va,
км/ч
|
,
Н ,
Н ,
Н
|
|
|
|
1
|
0
|
161,3
|
0
|
161,3
|
|
2
|
10
|
161,9
|
2,7
|
164,6
|
|
3
|
20
|
163,6
|
10,7
|
174,3
|
|
4
|
30
|
166,5
|
24,2
|
190,7
|
|
5
|
40
|
170,6
|
43
|
213,6
|
|
6
|
50
|
175,8
|
67,1
|
242,9
|
|
7
|
60
|
182,2
|
96,7
|
278,9
|
|
8
|
70
|
189,7
|
131,6
|
321,3
|
|
9
|
80
|
198,4
|
171,9
|
370,3
|
|
10
|
90
|
208,3
|
217,5
|
425,8
|
|
11
|
100
|
219,3
|
268,5
|
487,8
|
|
12
|
110
|
231,5
|
324,9
|
556,4
|
|
13
|
120
|
244,9
|
386,7
|
631,6
|
|
14
|
130
|
259,4
|
453,8
|
713,2
|
|
15
|
140
|
275,1
|
526,3
|
801,4
|
|
16
|
150
|
291,9
|
604,2
|
896,1
|
|
17
|
160
|
309,9
|
687,4
|
997,3
|
|
18
|
170
|
329,1
|
776
|
1105,1
|
|
19
|
180
|
349,4
|
870
|
1219,4
|
|
20
|
190
|
370,9
|
969,4
|
1340,3
|
|
21
|
200
|
393,5
|
1074,1
|
1467,6
|
|
22
|
210
|
417,3
|
1601,5
|
|
23
|
220
|
442,3
|
1299,6
|
1741,9
|
По рассчитанным значениям строим тяговую характеристику
автомобиля.
Рис. 2.1. Тяговая характеристика автомобиля.
2.1.6 Практическое использование
тяговой характеристики автомобиля
По тяговой характеристике автомобиля определяем
следующие показатели:
1. Окружная сила Fкv при
максимальной скорости Vmax:
Н.
. Максимальная окружная сила на
высшей передаче Fк5max:к5max = 1006,9 Н.
. Максимальная окружная сила Fкmax,
развиваемая на ведущих колесах автомобиля: Fкmax = 4669,8 Н.
. Минимальная устойчивая скорость
движения автомобиля Vmin:min = 6,042 км/ч.
. Максимальная окружная сила по
сцеплению шин ведущих колес с дорогой Fφ:
;
Н.
На данном покрытии (асфальтобетонное шоссе) сила
сцепления ведущих колес с дорогой больше максимального значения окружной силы
тяги.
. Критическая скорость движения автомобиля по
условию величины окружной силы на высшей передаче Vк5: Vк5
= 119,089 км/ч.
. Скоростной диапазон автомобиля на высшей
передаче dV5:
;
.
. Силовой диапазон автомобиля на высшей передаче
dF5:
;
.
3. Мощностная и топливная
характеристика автомобиля
Для анализа динамических свойств автомобиля
можно вместо соотношения сил использовать сопоставление тяговой мощности NT с
мощностью, необходимой для преодоления сопротивления движению. Мощностной
баланс автомобиля в общем виде можно представить следующей формулой
,
где Рв - мощность,
подводимая к ведущим колесам автомобиля, кВт;
где
- мощность на выходном конце
коленчатого вала двигателя, кВт;
- мощность, затрачиваемая на
преодоление сопротивления качению колес автомобиля, кВт; определяется по
формуле-18
- мощность, затрачиваемая на
преодоление сопротивления воздуха, кВт;
,
Уравнение мощностного баланса, так же как и
уравнение силового баланса, проще решать графически. С этой целью строим график
зависимости тяговой мощности Рв от скорости движения автомобиля,
предварительно подсчитав Рв по для всех значений скоростей
автомобиля.
Значение степени использования мощности:
И =
Значение степени использования оборотов
коленчатого вала двигателя:
.
Путевой расход топлива (в л/100км) определяем по
формуле:
;
где
- удельный расход топлива при
максимальной мощности, выше
на 5-10%,
- плотность
топлива.
Производим расчеты необходимых
величин, результаты расчетов заносим в таблицу. По полученным значениям строим
мощностную и топливную характеристики автомобилей на высшей передаче.
Таблица 3.1. Расчет мощностной и топливной
характеристики автомобиля на высшей передаче
|
п
|
V1,
км/ч
|
,
кВт ,
кВт ,
кВтИЕkИkЕQS, л/100км
|
|
|
|
|
|
|
|
|
800
|
28,021
|
5,75046
|
1,3
|
0,164
|
0,255
|
0,143
|
1,748
|
1,127
|
4,56
|
|
1000
|
35,026
|
7,56542
|
1,6
|
0,321
|
0,254
|
0,179
|
1,752
|
1,102
|
4,7
|
|
1500
|
56,042
|
13,60294
|
2,8
|
1,313
|
0,302
|
0,286
|
1,565
|
1,04
|
5,3
|
|
2000
|
70,052
|
17,97366
|
3,7
|
2,564
|
0,349
|
0,357
|
1,411
|
1,009
|
5,65
|
|
2500
|
91,068
|
24,71494
|
5,3
|
5,633
|
0,442
|
0,464
|
1,177
|
0,976
|
6,12
|
|
3000
|
105,079
|
29,1227
|
6,6
|
8,654
|
0,524
|
0,536
|
1,041
|
0,963
|
6,45
|
|
3500
|
126,094
|
35,27134
|
8,9
|
14,954
|
0,676
|
0,643
|
0,927
|
0,954
|
7,42
|
|
4000
|
140,105
|
38,87348
|
10,7
|
20,513
|
0,803
|
0,714
|
0,926
|
0,955
|
8,74
|
|
4500
|
154,115
|
41,9015
|
12,8
|
27,303
|
0,957
|
0,786
|
0,982
|
0,96
|
10,88
|
Рис. 3.1. Мощностная характеристика автомобиля
на высшей передаче
Рис. 3.2. Топливная характеристика автомобиля на
высшей передаче
.1 Определение эксплуатационного
расхода топлива
Для определения эксплуатационного расхода
топлива Qэ при движении автомобиля на высшей передаче по дороге с
асфальтобетонным покрытием:
1) задаемся максимальным значением
скорости движения в соответствии с Правилами дорожного движения, для легковых
автомобилей, а также грузовых автомобилей полной массой не более 3,5 т на
автомагистралях скорость не более
км/ч;
2) определяем эксплуатационную скорость:
;
км/ч;
3) по графику топливной характеристики
установившегося движения для эксплуатационной скорости Vэ определяем
расход топлива QVэ:Vэ = 5,73 л/100км;
4) вычисляем эксплуатационный расход топлива Qэ
в л/100 км:
л/100 км.
4. Динамическая характеристика
автомобиля
Методы силового и мощностного балансов
затруднительно использовать при сравнении тягово-динамических свойств
автомобилей, имеющих различные веса и грузоподъемности, т. к. при движении их в
одинаковых условиях силы и мощности, необходимые для преодоления суммарного дорожного
сопротивления различны. От этого недостатка свободен метод решения уравнения
движения с помощью динамической характеристики. Поэтому воспользуемся методом
решения уравнения движения с помощью динамической характеристики.
Графическая зависимость динамического фактора от
скорости движения автомобиля при различных передачах и полной нагрузке
называется динамической характеристикой.
4.1 Построение динамической
характеристики
При построении динамической характеристики
используем следующие допущения:
) двигатель работает по внешней скоростной
характеристике;
) автомобиль движется по ровной горизонтальной
дороге.
С целью построения динамической характеристики
воспользуемся безразмерной величиной D - динамическим фактором, равным
отношению свободной силы тяги (Fк - Fв) к силе тяжести
автомобиля Ga:
.
Для расчета динамического фактора D
и построения динамической характеристики используют значения Fкi и Fв
в функции скорости движения автомобиля V на различных передачах.
Таким образом имеем:
.
Результаты расчетов заносим в таблицу.
Полученные значения наносим на динамическую характеристику.
Для решения уравнения движения на динамическую
характеристику наносится зависимость коэффициента сопротивления дороги ψ
от
скорости. Поскольку в нашем случае дорога без уклона ψ
= f.
.
Результаты расчетов заносим в таблицу.
Полученные значения наносим на динамическую характеристику.
По рассчитанным значениям строим тяговую
характеристику автомобиля.
Таблица 4.1. Результаты расчетов динамического
фактора D
|
n,
об/мин
|
1-я
передача
|
2-я
передача
|
3-я
передача
|
4-я
передача
|
5-я
передача
|
|
V1,
км/ч
|
D1
|
V2,
км/ч
|
D2
|
V3,
км/ч
|
D3
|
V4,
км/ч
|
D4
|
V5,
км/ч
|
D5
|
|
800
|
6,042
|
0,2549
|
11,266
|
0,1365
|
16,189
|
0,0946
|
23,346
|
0,0649
|
28,021
|
0,0534
|
|
1000
|
7,552
|
0,2682
|
14,082
|
0,1435
|
20,236
|
0,0993
|
29,182
|
0,0677
|
35,026
|
0,0554
|
|
1500
|
12,084
|
0,3012
|
22,532
|
0,1607
|
32,378
|
0,1104
|
46,692
|
0,0737
|
56,042
|
0,0587
|
|
2000
|
15,105
|
0,3183
|
28,165
|
0,1693
|
40,472
|
0,1157
|
58,365
|
0,0757
|
70,052
|
0,0589
|
|
2500
|
19,636
|
0,3364
|
36,614
|
0,1781
|
52,614
|
0,1203
|
75,874
|
0,0758
|
91,068
|
0,0561
|
|
3000
|
22,657
|
0,3433
|
42,247
|
0,1811
|
60,709
|
0,1211
|
87,547
|
0,0738
|
105,079
|
0,0522
|
|
3500
|
33,231
|
2,007
|
61,962
|
1,305
|
89,039
|
0,827
|
128,402
|
0,32
|
154,115
|
0,029
|
|
4000
|
40,783
|
0,2997
|
76,045
|
0,151
|
109,276
|
0,0892
|
157,585
|
0,0288
|
189,142
|
0,0061
|
|
4500
|
45,314
|
0,266
|
84,494
|
0,1306
|
121,417
|
0,0714
|
175,094
|
0,0087
|
210,157
|
0,003
|
Таблица 4.2. Результаты расчетов коэффициента
сопротивления дороги ψ
|
№
п/п
|
Va,
км/ч
|
ψ
|
|
1
|
0
|
0,012
|
|
2
|
10
|
0,012
|
|
3
|
20
|
0,012
|
|
4
|
30
|
0,012
|
|
5
|
40
|
0,013
|
|
6
|
50
|
0,013
|
|
7
|
60
|
0,014
|
|
8
|
70
|
0,014
|
|
9
|
80
|
0,015
|
|
10
|
90
|
0,015
|
|
11
|
100
|
0,016
|
|
12
|
110
|
0,017
|
|
13
|
120
|
0,018
|
|
14
|
130
|
0,019
|
|
15
|
140
|
0,02
|
|
16
|
150
|
0,022
|
|
17
|
160
|
0,023
|
|
18
|
170
|
0,024
|
|
19
|
180
|
0,026
|
|
20
|
190
|
0,028
|
|
21
|
200
|
0,029
|
|
22
|
210
|
|
23
|
220
|
0,033
|
.2 Практическое использование
динамической характеристики автомобиля
двигатель автомобиль коробка
топливный
По динамической характеристике автомобиля
определяем следующие показатели:
1. Динамический фактор при
максимальной скорости движения автомобиля Dv:
.
2. Максимальный динамический фактор
на высшей передаче D5max:5max = 0,0591.
. Максимальный динамический фактор
автомобиля Dmax: Dmax = 0,347.
.
Максимальное дорожное сопротивление, преодолеваемое автомобилем на высшей и
низшей передачах
,
:
,
.
5. Максимальный подъем,
преодолеваемый автомобилем на высшей и низшей передачах
,
:
;
;
;
.
6. Минимальная устойчивая скорость движения
автомобиля Vmin:min = 6,042 км/ч.
Рис. 4.1. Динамическая характеристика автомобиля
7. Динамический фактор по сцеплению шин с
поверхностью дорожного покрытия Dφ:
;
.
. Критическая скорость движения автомобиля на
высшей передаче по условию величины динамического фактора Vк5: Vк5
= 63,047 км/ч.
9. Скоростной диапазон автомобиля на высшей
передаче dV5 :
;
.
10. Силовой диапазон автомобиля на
высшей передаче dD5:
;
.
.3 Ускорение автомобиля при разгоне
Ускорение рассчитывают применительно к
горизонтальной дороге с твердым покрытием при условии максимального
использования мощности двигателя и отсутствии буксования ведущих колес.
4.3.1 Построение графика ускорения
автомобиля при разгоне
Величину ускорения находим из уравнения,
связывающего динамический фактор с условиями движения автомобиля:
;
где
- коэффициент учета вращающихся
масс;
;
для одиночных автомобилей при их
номинальной нагрузке можно считать
;
.
Таким образом, имеем:
;
Результаты расчетов заносим в
таблицу. Полученные значения наносим на график ускорений автомобиля.
По рассчитанным значениям строим
график ускорений автомобиля.
Таблица 4.3. Результаты расчетов
ускорения автомобиля а
|
n,
об/мин
|
1-я
передача
|
2-я
передача
|
3-я
передача
|
4-я
передача
|
5-я
передача
|
|
V1,
км/ч
|
ax1, V2,
км/чax2, V3, км/чax3, V4,
км/чax4, V5, км/чax5,
|
|
|
|
|
|
|
|
|
|
800
|
6,042
|
1,509
|
11,266
|
1,016
|
16,189
|
0,72
|
23,346
|
0,476
|
28,021
|
0,375
|
|
1000
|
7,552
|
1,592
|
14,082
|
1,073
|
20,236
|
0,76
|
29,182
|
0,5
|
35,026
|
0,391
|
|
1500
|
12,084
|
1,796
|
22,532
|
1,212
|
32,378
|
0,855
|
46,692
|
0,549
|
56,042
|
0,414
|
|
2000
|
15,105
|
1,902
|
28,165
|
1,281
|
40,472
|
0,899
|
58,365
|
0,563
|
70,052
|
0,409
|
|
2500
|
19,636
|
2,014
|
36,614
|
1,351
|
52,614
|
0,935
|
75,874
|
0,554
|
91,068
|
0,37
|
|
3000
|
22,657
|
2,057
|
42,247
|
1,374
|
60,709
|
0,938
|
87,547
|
0,529
|
105,08
|
0,323
|
|
3500
|
33,231
|
2,007
|
61,962
|
1,305
|
89,039
|
0,827
|
128,402
|
0,32
|
154,115
|
0,229
|
|
4000
|
40,783
|
1,783
|
76,045
|
1,114
|
109,276
|
0,629
|
157,585
|
0,055
|
189,142
|
0,131
|
|
4500
|
45,314
|
1,573
|
84,494
|
0,943
|
121,417
|
0,463
|
175,094
|
0,015
|
210,157
|
0,057
|
Рис. 4.2. График ускорений автомобиля
.3.2 Практическое использование
графика ускорений автомобиля
По графику ускорений автомобиля определяем
следующие показатели:
. Максимальное ускорение ахmax: ахmax
= 2,074 м/с2.
2. Скорость автомобиля при максимальном
ускорении Vaxmax:axmax = 25,678 км/ч.
. Максимальное ускорение на высшей передаче ax5max:
ax5max = 0,415 м/с2.
4. Скорость автомобиля на высшей передаче при
максимальном ускорении Vax5max: Vax5max = 60 км/ч.
4.3.3 Определение времени разгона
Путь и время разгона рассчитывают в
предположении, что автомобиль разгоняется на ровной горизонтальной дороге, при
полной подаче топлива, на участке длиной 2000 м (согласно ГОСТ 22576-90
“Автотранспортные средства. Скоростные свойства. Методы испытаний.”).
Трогание автомобиля с места начинают на
передаче, обеспечивающей максимальное ускорение. Для определения наиболее
интенсивного разгона в расчет вводят максимально возможное ускорение при данной
скорости движения автомобиля.
Для первой передачи расчет ведется в диапазоне
от Vmink до Vmaxk.
Для определения времени разгона разбиваем кривую
ускорения на каждой передаче на интервалы. Определим изменение скорости на этих
промежутках:
.
Среднее ускорение для i-того интервала составит:
.
Время движения автомобиля Δti
в секундах, за которое его скорость вырастает на величину ΔVi,
определяется по закону равноускоренного движения:
.
Общее время разгона автомобиля на k-ой передаче
от скорости Vmink до Vmaxk, при которой начинается
переключение на (k + 1)-ую передачу, находят суммированием времен разгона в
интервалах:
Принимаем время переключения
передачи
с.
Падение скорости автомобиля при
переключении передачи рассчитываем по формуле:
.
Для следующей передачи расчет ведется в
диапазоне от Vmink+1 = Vmaxk - VП до Vmaxk+1.
Производим расчеты. Рассчитанные значения
заносим в таблицы 4.4 для 1-й передачи, 4.5. для 2-й передачи, 4.6. для 3-й
передачи, 4.7 для 4-й передачи. Для 5-й передачи расчет не проводится.
.3.4 Определение пути разгона
Средняя скорость в интервале от
до
составляет:
.
При равноускоренном движении в
интервале от
до
путь
проходимый автомобилем составляет:
.
Путь разгона автомобиля от минимальной скорости
до максимальной на данной передаче определяем суммированием:
Определим путь проходимый автомобилем за время
переключения передачи:
.
Для построения графика разгона
автомобиля время и путь разгона на последующей передаче прибавляется к
соответствующим значениям на предыдущей передаче.
Производим построение скоростных характеристик
времени и пути разгона автомобиля.
Таблица 4.4. Расчет характеристик времени и пути
разгона автомобиля на 1-й передаче
|
№
п/п
|
Vi1,
км/ч
|
Vi1,
м/с
|
ΔVi1,
м/с
|
ai1,
м/с2
|
aiср1,
м/с2
|
Δti1,
c
|
ti1,
c
|
tП1,
c
|
Vmax1
- VП1,
км/ч
|
Viср1,
м/с
|
ΔSi1,
м
|
Si1,
м
|
SП1,
м
|
|
1
|
4,531
|
1,259
|
|
1,421
|
|
|
0
|
1
|
44,882
|
|
|
0
|
12,5272
|
|
2
|
6,042
|
1,678
|
0,419
|
1,509
|
1,465
|
0,28601
|
0,28601
|
|
|
1,4685
|
0,42
|
0,42
|
|
|
3
|
7,552
|
2,098
|
0,42
|
1,592
|
1,551
|
0,27079
|
0,5568
|
|
|
1,888
|
0,511
|
0,931
|
|
|
4
|
9,063
|
2,518
|
0,42
|
1,665
|
1,629
|
0,25783
|
0,81463
|
|
|
2,308
|
0,595
|
1,526
|
|
|
5
|
10,573
|
2,937
|
0,419
|
1,736
|
1,701
|
0,24633
|
1,06096
|
|
|
2,7275
|
0,672
|
2,198
|
|
|
6
|
12,084
|
3,357
|
0,42
|
1,796
|
1,766
|
0,23783
|
1,29879
|
|
|
3,147
|
0,748
|
2,946
|
|
|
7
|
13,594
|
3,776
|
0,419
|
1,853
|
1,825
|
0,22959
|
1,52838
|
|
|
3,5665
|
0,819
|
3,765
|
|
|
8
|
15,105
|
4,196
|
0,42
|
1,902
|
1,878
|
0,22364
|
1,75202
|
|
|
3,986
|
0,891
|
4,656
|
|
|
9
|
16,615
|
4,615
|
0,419
|
1,946
|
1,924
|
0,21778
|
1,9698
|
|
|
4,4055
|
0,959
|
5,615
|
|
|
10
|
18,126
|
5,035
|
0,42
|
1,983
|
1,965
|
0,21374
|
2,18354
|
|
|
4,825
|
1,031
|
6,646
|
|
|
11
|
19,636
|
5,454
|
0,419
|
2,014
|
1,999
|
0,2096
|
2,39314
|
|
|
5,2445
|
1,099
|
7,745
|
|
|
12
|
21,147
|
5,874
|
0,42
|
2,038
|
2,026
|
0,20731
|
2,60045
|
|
|
5,664
|
1,174
|
8,919
|
|
|
13
|
22,657
|
6,294
|
0,42
|
2,057
|
2,048
|
0,20508
|
2,80553
|
|
|
6,084
|
1,248
|
10,167
|
|
|
14
|
24,168
|
6,713
|
0,419
|
2,069
|
2,063
|
0,2031
|
3,00863
|
|
|
6,5035
|
1,321
|
11,488
|
|
|
15
|
25,678
|
7,133
|
2,074
|
2,072
|
0,2027
|
3,21133
|
|
|
6,923
|
1,403
|
12,891
|
|
|
16
|
27,189
|
7,553
|
0,42
|
2,073
|
2,074
|
0,20251
|
3,41384
|
|
|
7,343
|
1,487
|
14,378
|
|
|
17
|
28,699
|
7,972
|
0,419
|
2,066
|
2,07
|
0,20242
|
3,61626
|
|
|
7,7625
|
1,571
|
15,949
|
|
|
18
|
30,21
|
8,392
|
0,42
|
2,053
|
2,06
|
0,20388
|
3,82014
|
|
|
8,182
|
1,668
|
17,617
|
|
|
19
|
31,72
|
8,811
|
0,419
|
2,033
|
2,043
|
0,20509
|
4,02523
|
|
|
8,6015
|
1,764
|
19,381
|
|
|
20
|
33,231
|
9,231
|
0,42
|
2,007
|
2,02
|
0,20792
|
4,23315
|
|
|
9,021
|
1,876
|
21,257
|
|
|
21
|
34,741
|
9,65
|
0,419
|
1,975
|
1,991
|
0,21045
|
4,4436
|
|
|
9,4405
|
1,987
|
23,244
|
|
|
22
|
36,252
|
10,07
|
0,42
|
1,937
|
1,956
|
0,21472
|
4,65832
|
|
|
9,86
|
2,117
|
25,361
|
|
|
23
|
37,762
|
10,489
|
0,419
|
1,892
|
1,915
|
0,2188
|
4,87712
|
|
|
10,2795
|
2,249
|
27,61
|
|
|
24
|
39,273
|
10,909
|
0,42
|
1,84
|
1,866
|
0,22508
|
5,1022
|
|
|
10,699
|
2,408
|
30,018
|
|
|
25
|
40,783
|
11,329
|
0,42
|
1,783
|
1,812
|
0,23179
|
5,33399
|
|
|
11,119
|
2,577
|
32,595
|
|
|
26
|
42,294
|
11,748
|
0,419
|
1,719
|
1,751
|
0,23929
|
5,57328
|
|
|
11,5385
|
2,761
|
35,356
|
|
|
27
|
43,804
|
12,168
|
0,42
|
1,649
|
1,684
|
0,24941
|
5,82269
|
|
|
11,958
|
2,982
|
38,338
|
|
|
28
|
45,314
|
12,587
|
0,419
|
1,573
|
1,611
|
0,26009
|
6,08278
|
|
|
12,3775
|
3,219
|
41,557
|
|
Таблица 4.5. Расчет характеристик времени и пути
разгона автомобиля на 2-й передаче
|
№
п/п
|
Vi2,
км/ч
|
Vi2,
м/с
|
ΔVi2,
м/с
|
ai2,
м/с2
|
aiср2,
м/с2
|
Δti2,
c
|
ti2,
c
|
tП2,
c
|
Vmax2
- VП2,
км/ч
|
Viср2,
м/с
|
ΔSi2,
м
|
Si2,
м
|
SП2,
м
|
|
13
|
44,882
|
12,467
|
|
1,374
|
|
|
7,08278
|
1
|
83,988
|
|
|
54,084
|
23,4003
|
|
14
|
45,064
|
12,518
|
0,05
|
1,378
|
1,376
|
0,03634
|
7,11912
|
|
|
12,4925
|
0,454
|
54,538
|
|
|
15
|
47,88
|
13,3
|
0,78
|
1,378
|
1,378
|
0,56604
|
7,68516
|
|
|
12,909
|
7,307
|
61,845
|
|
|
16
|
50,696
|
14,082
|
0,78
|
1,372
|
1,375
|
0,56727
|
8,25243
|
|
|
13,691
|
7,766
|
69,611
|
|
|
17
|
53,513
|
14,865
|
0,78
|
1,362
|
1,367
|
0,57059
|
8,82302
|
|
|
14,4735
|
8,258
|
77,869
|
|
|
18
|
56,329
|
15,647
|
0,78
|
1,348
|
1,355
|
0,57565
|
9,39867
|
|
|
15,256
|
8,782
|
86,651
|
|
|
19
|
59,146
|
16,429
|
0,78
|
1,329
|
1,339
|
0,58252
|
9,98119
|
|
|
16,038
|
9,342
|
95,993
|
|
|
20
|
61,962
|
17,212
|
0,78
|
1,305
|
1,317
|
0,59226
|
10,57345
|
|
|
16,8205
|
9,962
|
105,955
|
|
|
21
|
64,779
|
17,994
|
0,78
|
1,276
|
1,291
|
0,60418
|
11,17763
|
|
|
17,603
|
10,635
|
116,590
|
|
|
22
|
67,595
|
18,776
|
0,78
|
1,242
|
1,259
|
0,61954
|
11,79717
|
|
|
18,385
|
11,39
|
127,980
|
|
|
23
|
70,412
|
19,559
|
0,78
|
1,204
|
1,223
|
0,63778
|
12,43495
|
|
|
19,1675
|
12,225
|
140,205
|
|
|
24
|
73,228
|
20,341
|
0,78
|
1,161
|
1,183
|
0,65934
|
13,09429
|
|
|
19,95
|
13,154
|
153,359
|
|
|
25
|
76,045
|
21,124
|
0,78
|
1,114
|
1,138
|
0,68541
|
13,7797
|
|
|
20,7325
|
14,21
|
167,569
|
|
|
26
|
78,861
|
21,906
|
0,78
|
1,061
|
1,088
|
0,71691
|
14,49661
|
|
|
21,515
|
15,424
|
182,993
|
|
|
27
|
81,678
|
22,688
|
0,78
|
1,005
|
1,033
|
0,75508
|
15,25169
|
|
|
22,297
|
16,836
|
199,829
|
|
|
28
|
84,494
|
23,471
|
0,78
|
0,943
|
0,974
|
0,80082
|
16,05251
|
|
|
23,0795
|
18,483
|
218,312
|
|
Таблица 4.6. Расчет характеристик времени и пути
разгона автомобиля на 3-й передаче
|
№
п/п
|
Vi3,
км/ч
|
Vi3,
м/с
|
ΔVi3,
м/с
|
ai3,
м/с2
|
aiср3,
м/с2
|
Δti3,
c
|
ti3,
c
|
tП3,
c
|
Vmax3
- VП3,
км/ч
|
ΔSi3,
м
|
Si3,
м
|
SП3,
м
|
|
18
|
83,988
|
23,33
|
|
0,879
|
|
|
17,05251
|
1
|
120,8
|
|
|
241,713
|
33,6413
|
|
19
|
84,992
|
23,609
|
0,28
|
0,855
|
0,867
|
0,32295
|
17,37546
|
|
|
23,4695
|
7,579
|
249,292
|
|
|
20
|
89,039
|
24,733
|
1,12
|
0,827
|
0,841
|
1,33175
|
18,70721
|
|
|
24,171
|
32,19
|
281,482
|
|
|
21
|
93,087
|
25,858
|
1,13
|
0,796
|
0,812
|
1,39163
|
20,09884
|
|
|
25,2955
|
35,202
|
316,684
|
|
|
22
|
97,134
|
26,982
|
1,12
|
0,76
|
0,778
|
1,43959
|
21,53843
|
|
|
26,42
|
38,034
|
354,718
|
|
|
23
|
101,181
|
28,106
|
1,12
|
0,721
|
0,741
|
1,51147
|
23,0499
|
|
|
27,544
|
41,632
|
396,350
|
|
|
24
|
105,228
|
29,23
|
1,12
|
0,677
|
0,699
|
1,60229
|
24,65219
|
|
|
28,668
|
45,934
|
442,284
|
|
|
25
|
109,276
|
30,354
|
1,12
|
0,629
|
0,653
|
1,71516
|
26,36735
|
|
|
29,792
|
51,098
|
493,382
|
|
|
26
|
113,323
|
31,479
|
1,13
|
0,577
|
0,603
|
1,87396
|
28,24131
|
|
|
30,9165
|
57,936
|
551,318
|
|
|
27
|
117,37
|
32,603
|
1,12
|
0,522
|
0,55
|
2,03636
|
30,27767
|
|
|
32,041
|
65,247
|
616,565
|
|
|
28
|
121,417
|
33,727
|
1,12
|
0,463
|
0,493
|
2,27181
|
32,54948
|
|
|
33,165
|
75,345
|
691,910
|
|
Таблица 4.7. Расчет характеристик времени и пути
разгона автомобиля на 4-й передаче
|
№
п/п
|
Vi4,
км/ч
|
Vi4,
м/с
|
ΔVi4,
м/с
|
ai4,
м/с2
|
aiср4,
м/с2
|
Δti4,
c
|
ti4,
c
|
tП4,
c
|
Vmax4
- VП4,
км/ч
|
Viср4,
м/с
|
ΔSi4,
м
|
Si4,
м
|
SП4,
м
|
|
18
|
120,801
|
33,556
|
|
0,399
|
|
|
33,54948
|
|
|
|
|
725,551
|
|
|
19
|
122,566
|
34,046
|
0,49
|
0,361
|
0,38
|
1,28947
|
34,83895
|
|
|
33,801
|
43,585
|
769,136
|
|
|
20
|
128,402
|
35,667
|
1,62
|
0,32
|
0,341
|
4,75073
|
39,58968
|
|
|
34,8565
|
165,594
|
934,730
|
|
|
21
|
134,239
|
37,289
|
1,62
|
0,274
|
0,297
|
5,45455
|
45,04423
|
|
|
36,478
|
198,971
|
1133,701
|
|
|
22
|
140,075
|
38,91
|
1,62
|
0,225
|
0,25
|
6,48
|
51,52423
|
|
|
38,0995
|
246,885
|
1380,586
|
|
|
23
|
146,318
|
41,72
|
1,62
|
0,175
|
0,205
|
9,887
|
57,8851
|
|
|
38,655
|
345,853
|
1890,659
|
|
Таблица 4.8. Расчет характеристик времени и пути
разгона автомобиля на 5-й передаче
|
№
п/п
|
Vi4,
км/ч
|
Vi4,
м/с
|
ΔVi4,
м/с
|
ai4,
м/с2
|
aiср4,
м/с2
|
Δti4,
c
|
ti4,
c
|
tП4,
c
|
Vmax4
- VП4,
км/ч
|
Viср4,
м/с
|
ΔSi4,
м
|
Si4,
м
|
SП4,
м
|
|
23
|
145,912
|
40,531
|
|
0,173
|
|
|
59,66493
|
|
|
|
|
1703,939
|
|
|
24
|
151,748
|
42,152
|
1,62
|
0,115
|
0,144
|
11,25
|
70,91493
|
|
|
41,3415
|
465,092
|
2169,031
|
|
|
25
|
157,585
|
43,774
|
1,62
|
0,055
|
0,085
|
19,05882
|
89,97375
|
|
|
42,963
|
818,824
|
2987,855
|
|
|
26
|
163,421
|
45,395
|
1,62
|
-0,009
|
0,023
|
70,43478
|
160,40853
|
|
|
44,5845
|
3140,299
|
6128,154
|
|
Рис. 4.3. Скоростная характеристика времени
разгона автомобиля
Рис. 4.4. Скоростная характеристика пути разгона
автомобиля
4.3.5 Практическое использование
характеристик времени и пути разгона автомобиля
По скоростной характеристике разгона
определяются следующие оценочные измерители тягово-скоростных свойств
автомобиля:
) условная максимальная скорость Vymax
в км/ч.
Данная скорость определяется как средняя
скорость прохождения автомобилем последних 400 м двухкилометрового участка:
;
где t2000 и t1600 - время
разгона автомобиля на участках протяженностью соответственно 2000 м и 1600 м;
км/ч;
) время разгона автомобиля t400
и t1000 на участках протяженностью 400 м и 1000 м.
По характеристикам времени и пути разгона
автомобиля t400 = 23 с;
t1000 = 42 с;
) время разгона tз до заданной
скорости Vз.
Для автотранспортных средств полной массой менее
3,5 т Vз = 100 км/ч.
По характеристикам времени и пути разгона
автомобиля tз = 22,4 с.
5. Итоговые таблицы
Таблица 5.1 Данные, определенные по тяговой
характеристике
|
Параметр
|
Vmax
|
Fkv
|
Fkmax,k
|
Fkmax
|
Vmin
|
Fφ
|
Vкр,k
|
dVn
|
dFn
|
|
Размерность
|
км/ч
|
Н
|
Н
|
Н
|
км/ч
|
Н
|
км/ч
|
-
|
-
|
|
Значение
|
6,042
|
964,6
|
1006,9
|
4669,8
|
6,042
|
5322
|
119,089
|
1,31
|
1,044
|
Таблица 5.2 Данные, определенные по динамической
характеристике
|
Параметр
|
Vmax
|
Dv
|
Dnmax
|
Dmax
|
inmax
|
Vmin
|
Dφ
|
Vкрk
|
dVn
|
dDn
|
|
Размерность
|
км/ч
|
-
|
-
|
-
|
-
|
км/ч
|
-
|
км/ч
|
-
|
-
|
|
Значение
|
161
|
0,024
|
0,0591
|
0,347
|
0,335
|
6,042
|
0,396
|
63,047
|
2,474
|
2,463
|
Таблица 5.3 Данные, определенные по
характеристике ускорений автомобиля
|
Параметр
|
aXmax
|
Vaxmax
|
aXmax.k
|
Vaxmax,k
|
Vmax
|
|
Размерность
|
м/с2
|
км/ч
|
м/с2
|
км/ч
|
км/ч
|
|
Значение
|
2,074
|
0,415
|
60
|
161
|
Таблица 5.4 Данные, определенные по
характеристикам времени и пути разгона автомобиля
|
Параметр
|
Vymax
|
t400
|
t1000
|
V3
|
t3
|
|
Размерность
|
км/ч
|
с
|
с
|
км/ч
|
с
|
|
Значение
|
147
|
23
|
42
|
100
|
22,4
|
Таблица 5.5 Данные, определенные по топливной
характеристике установившегося движения автомобиля
|
Параметр
|
VQk
|
Qk
|
Vэ
|
Qэ
|
|
Размерность
|
км/ч
|
л/100км
|
км/ч
|
л/100км
|
|
Значение
|
110
|
5,73
|
73,3
|
6,3...6,6
|