Обработка металлов резанием
Содержание
Введение
1.
Описание назначения детали и условий работы ее основных поверхностей
2.
Анализ технологичности детали
.
Обоснование выбора базирующих поверхностей
.
Обоснование метода получения заготовки
5.
Разработка маршрута обработки отдельных поверхностей и полной маршрутной
технологии
6.
Аналитический расчет припуска на поверхность
7.
Основные принципы выбора технологического оснащения
.1 Расчет режимов резания и техническое нормирование
8.
Патентно-информационный поиск
8.1
Регламент поиска
.2 Анализ
применяемости известных технических решений
Список
литературы
Введение
Деталь «Вилка»
предназначена для передачи осевых нагрузок в шарнирных соединениях,
используются в ковочных Манипуляторах. К таким изделиям предъявляются
повышенные эксплуатационные требования. Трудоёмкость их изготовления
обуславливают: выбор материала, наличие значительного количества ответственных
поверхностей высокой точности и сложной формы.
Тип производства из
условий задания на проектирование технологического процесса - среднесерийный. В
связи с этим необходима детальная проработка маршрута обработки и переходов. В
ходе работы производятся расчеты режимов резания и определение штучного
времени, что позволяет обосновать экономическую эффективность производства и
разработать в последствие план участка механического цеха.
Особое внимание
необходимо уделить рациональному выбору технологического оборудования,
инструмента и технологической оснастки. Среднесерийное производство
характеризуется частой сменяемостью деталей в течение короткого промежутка
времени. Быстрота переналадки технологического процесса является необходимым
условием такого типа производственного цикла. Повысить производительность можно
за счёт сокращения времени на обработку назначая наиболее выгодные режимы резания
и оптимальный припуск, расчёт которого на ответственные поверхности
производится аналитически. Предварительно анализируют способ получения
заготовки. В зависимости от конструкции детали и общими требованиями могут быть
использованы: литьё, обработка давлением, из пруткового материала. Обоснование
производится на основании расчёта коэффициента использования материала.
В значительной мере
эффективность технологического процесса может быть повышена применением
приспособлений, которые расширяют технологические возможности станка. Основой
для проектирования устройства служит типовая конструкция, выбранная по
результатам патентного поиска.
1. Описание
назначения детали и условий работы ее основных поверхностей
Изделие «Вилка»
используются в ковочных Манипуляторах.
Наружная
цилиндрическая поверхность контактирует с опорными площадками направляющих
машины. Она работает в условиях трения, значительных циклических нагрузок при
высоких значениях контактной деформации.
Существенным
требованием, предъявляемым к этому элементу детали является повышенная
твёрдость, которая обеспечивается закалкой. Диаметр 120 мм особая важная часть
детали и требует точности и шероховатости Rz=3,2 чтобы избежать
люфта в креплении детали. И 2 поверхности в 230 мм с шероховатостью Rz=6,3эти плоскости будут
постоянно находится в трении.
Для изготовления
детали используется материал Сталь 45 ГОСТ 1050 -88.
Химический состав и
механические свойства.
Содержание:
· углерода 0,42 - 0,5 %;
· марганца 0,5 - 0,8 %;
· хрома 0,25 %;
· кремния 0,17 - 0,37 %;
· серы не более 0,04 %;
· фосфора не более 0,35 %;
Предел текучести от
=350 МПа;
Предел прочности ав
= 600 МПа;
Относительное
удлинение 8=16 %;
Относительное
сужение \|/ = 40 %.
2. Анализ
технологичности детали
Трудоёмкость
получения изделия обуславливается следующими факторами:
· сложностью точностью и обрабатываемых поверхностей;
· доступностью инструмента к ним;
· жёсткостью самой детали;
· обрабатываемым материалом;
· требованиями предъявляемыми к шероховатости.
Это обуславливает
возможность использования типовых технологических процессов, унифицированного
технологического оборудования, оснастки, режущего и мерительного инструмента.
Рассматриваемая
деталь «Вилка» представляет собой семеричную деталь с хвостовиком для ее
закрепления в 120мм и прорезь для закрепления штока. Так же имеет отверстие для
крепления штока, пальцем равным 100мм Изделие имеет высокую жёсткость, что
позволяет при обработке назначать производительные режимы. Обработка будет
производиться на токарных станках с 4 кулачковыми и 3 кулачковыми патронами.
Обработка может
производиться на широко распространённых станках с применением типовой
технологической оснастки.
Особое внимание при
проектировании технологического процесса следует уделить точности расположения
отдельных поверхностей и отверстий, которые обеспечивают крепление детали.
Требуемые параметры точности расположения могут быть достигнуты выбором
рациональной схемы базирования.
3. Обоснование
выбора базирующих поверхностей
Целью базирования
является придание обрабатываемому изделию положения относительно системы
координат станка. Оптимальный выбор базирующих поверхностей во многом
определяет эффективность технологического процесса.
Основным принципов
назначения баз является принцип их единства. То есть, технологическая,
измерительная, конструкторская и другие базы должны совпадать. При этом должно
обеспечиваться устойчивое положение заготовки, доступ к обрабатываемым
поверхностям. Для достижения размерной точности изделие должно быть установлено
на ранее обработанные участки поверхности.
На первой операции
пользуются черновой базой по необработанной наружной поверхности с установкой в
трёх кулачковый самоцентрирующийся патрон. В начале подготавливается осевой
диаметр равный 120 мм, который будет служить базой на последующей операции.
Фрезерование и
шлифования обработка производится при установке заготовки по осевому диаметру
120. Сверление и нарезание резьбы осуществляется при базировании по торцевым
поверхностям, полученным на фрезерной операции.
4. Обоснование
метода получения заготовки
Для изготовления
заготовки используются операции пластического деформирования. В частности,
ковка с применением штампов, исходная деталь представляет собой параллелепипед
со сторонами 482х271х201 мм. с хвостовиком диаметром 140 мм и 155 мм длиной.
Масса готового
изделия qдет = 67 кг
Масса поковки:
где D = 140 мм. - наибольший диаметр:
L = 155 м. - длина заготовки;
р = 7800 кг -
удельная плотность стали 45.
где L - длина заготовки
H - ширина заготовки
A - высота заготовки
qзаг = 78 КГ.
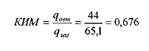
Для проката:
КИМ=67/78=0,86
Коэффициент
использования материала имеет малое значение. Альтернативный вариант получение
заготовки из проката 482х271 мм.
При этом масса
заготовки:
qзаг = 100 КГ.
=67/100=0,67
Значение коэффициента использования
материала имеет меньшие значения по сравнению с рассмотренным выше. Кроме того,
значительно увеличивается машинное время необходимое при обработке резанием.
Поэтому в качестве исходной детали предлагается использовать поковку.
5. Разработка маршрута обработки
отдельных поверхностей и полной маршрутной технологии
Операция 005
«Фрейзерная »
А. Установить и
снять деталь
Фрезеруем начерно и
начисто 2 плоскости в размер170d11
Фрезеруем 4
плоскости 240Х430
Операция 010
«Токарная»
А. Установить и
снять деталь
Точить диаметр
128(120) на длине 140
Подрезать торец 170
Точить начерно и
начисто диаметр 120 мм на длине 150 с подрезкой торца
Точить 2 фаски
2x45°
Операция 015
«Горизонтально расточная»
А. Установить и
снять деталь
Фрезируем паз
начерно и начисто70х230
Расточить начерно и
начисто диаметр 100 на проход 2 стенок
Операция 020
«Радиально сверлильная »
А. Установить и
снять деталь
Сверлить отверстие
диаметром 6,7(М8) на глубину 27
Рассверлить
отверстие 13 на глубину 5
Нарезать резьбу М 8
Б. Установить и
снять деталь.
Сверлить 2
отверстия по 23 мм на проход
6. Аналитический
расчет припуска на поверхность
Для получения
деталей требуемого качества необходимо при каждом технологическом переходе
механической обработки заготовки предусматривать погрешности, характеризующие
отклонения размеров, геометрические отклонения формы поверхностей, отклонения
расположения поверхности, микронеровности.
Каждый
технологический переход характеризуется значением высоты неровности профиля Rz и глубины дефектного
поверхностного слоя Т. Расчёт производится для точения 0 120 Н11 и
шероховатостью Ra 3,2 (Rz 12,5).
Исходная заготовка
получена объёмной штамповкой. Требуется определить его диаметр и припуски на
механическую обработку на каждой из формообразующих операций. Обработка
производится с использованием следующих переходов: чернового и чистового
растачивания, однократное шлифование.
Rz
Поковка: 500
точение
черновое: 250
чистовое: 40
тонкое 5
Допуски на
заготовку и межоперационные размеры:
Поковка: -2000 мкм.
- +1200 мкм.
Черновое
растачивание: +300 мкм. (12 квалитет)
Чистовое
растачивание: +120 мкм. (10 квалитет)
Суммарное
отклонение расположения поверхности определяется по формуле:
где Ркор - величина
коробления заготовки;
рсм -
величина смещения частей штампа.
Акор = 3
мкм/мм - удельная величина коробления поверхности на 1 мм. длины;
l = 170 мм. - глубина отверстия.
рсм =
1400 мкм.
Тогда
Рзаг=
=1490мкм
Остаточное отклонение
расположения поверхности:
где Рост i - остаточная погрешность поверхности на текущей операции;
р і-1 - погрешность поверхности на предыдущей операции;
Ку -
коэффициент уточнения, характеризующий качество обработки.
Черновое растачивание:
рчерн = 1490
• 0,06 = 85,9 мкм
Чистовое растачивание:
Рчист=
85,9- 0,05 = 4,30 мкм.
В дальнейшем из-за
малого значения р не учитываем.
Погрешность установки
заготовки возникает в случае несовпадения установочной и измерительной баз и
изменения положения заготовки под действием сил резания. Для различных схем
базирования используются приспособления обеспечивающие различные погрешности положения
изделия в системе координат станка:
- черновое
растачивание производится на черновой поверхности, погрешность установки
составляет 660 мкм;
- чистовое
растачивание производится по предварительно обработанной поверхности, погрешность установки
составляет 70 м
Таблица 1
|
Предельные припуски мкм
|
Zmin
|
|
2100
|
900
|
200
|
|
Zmax
|
|
4200
|
2080
|
320
|
|
Предельные размеры мм
|
Dmin
|
123,2
|
121,1
|
120,2
|
120
|
|
Dmax
|
126,7
|
122,5
|
120,45
|
120,1
|
|
Допуск по переходам в мкм
|
1000
|
390
|
160
|
62
|
|
Расчётный размер мм
|
123
|
121
|
120,6
|
120
|
|
Расчётный припуск мкм
|
|
2097,3
|
980
|
160
|
|
Элмент припуска
|
P
|
3500
|
1400
|
220
|
100
|
|
T
|
500
|
240
|
40
|
5
|
|
Rz
|
500
|
250
|
40
|
5
|
|
Маршрут обработки поверхности
|
Заготовка
|
Черновое растачивание
|
Чистовое растачивание
|
Шлифование
|
7. Основные
принципы выбора технологического оснащения. Расчет режимов резания и
техническое нормирование
Для выполнения
токарных работ используется станок модели 1627. Технические
характеристики станка.
Наибольший диаметр
обрабатываемой заготовки:
Над станиной - 630 мм.
Над суппортом - 350 мм.
Наибольший диаметр
прутка проходящего через отверстие шпинделя - 70 мм.
Наибольшая длина
обрабатываемой заготовки - 3000 мм.
Шаг нарезаемой
резьбы:
Метрической - до 10 мм.
Дюймовой(число
ниток на дюйм) - до 10 мм.
Модульной - до 10 мм.
Частота вращения
шпинделя - 6,30 - 1250 об/мин.
Число скоростей
шпинделя - 24.
Наибольшее
перемещение суппорта:
Продольное - 1250 мм.
Поперечное - 370 мм.
Подача суппорта:
Продольная 1 - 1200 мм/мин.
Поперечная 1 - 600 мм/мин.
Скорость быстрого
перемещения суппорта:
Продольного - 4800 мм/мин.
Поперечного - 2400 мм/мин.
Мощность главного
привода - 22 КВт.
Габаритные размеры:
Длина - 5190 мм.
Ширина - 1780 мм.
Высота - 1550 мм.
Масса - 5750 кг.
Растачивание
производится на станке 2Д450
Технические
характеристики координатно-расточного станка
Размеры рабочей
поверхности стола - 630x1100 мм.
Вылет шпинделя - 710 мм.
Расстояние от торца
шпинделя до рабочей поверхности стола - 200^830 мм.
Наибольшая масса
обрабатываемой детали - 600 кг.
Наибольшее
перемещение стола
продольное - 1000 мм.
поперечное 630 мм.
гильзы шпинделя - 270 мм.
шпиндельной бабки - 330 мм.
Наибольший диаметр
растачивания - 250 мм.
Частота вращения
шпинделя - 50-2000 об/мин.
Подача:
шпинделя - 0,03-0,16 мм/об.
стола - 30-300 мм/мин.
Скорость быстрого
перемещения стола - 1500 мм/мин.
Мощность двигателя
главного движения - 2,0 КВт.
Габаритные размеры
длина - 3305 мм.
ширина - 2705 мм.
высота - 2800 мм.
Масса - 7800 кг.
Универсально
фрезерный 6Р83
Технические
характеристики станка
. Класс
точности станка по ГОСТ 8-82, (Н,П,В,А,С)
- Н
. Длина
рабочей поверхности стола, мм - 1600
. Ширина
стола, мм - 400
. Перемещение
стола X,Y,Z, мм - 1000_320-350
. Габариты
станка Длинна Ширина Высота (мм)
- 2560_2260_1770
. Масса - 3800
. Мощность
двигателя кВт - 11
. Пределы
частоты вращения шпинделя Min/Max об/мин
- 31.5/1600
. Число
инструментов в магазине - 12
Горизонтально-расточный
станок с системой ЧПУ предназначен для расточных, фрезерных и сверлильных
работ, включая контурное фрезерование и нарезание резьбы метчиками. Станок
2А622Ф4 предназначен преимущественно для работы в режиме программного
управления, но предусмотрено ручное управление со стационарного пульта.
Размеры рабочей
поверхности поворотного стола, мм :
- ширина 1120
длина 1250
расстояние между пазами 140±0,5
. Количество пазов, шт. 7
. Наибольшая масса
обрабатываемого изделия, кг 4000
. Наибольшее продольное
перемещение выдвижного шпинделя, мм 710
. Наибольшее продольное
перемещение поворотного стола, мм 1000
. Наибольшее вертикальное
перемещение шпиндельной бабки, мм 1000
. Наибольшее поперечное
перемещение поворотного стола, мм 1250
. Частота вращения шпинделя,
об/мин 4....1250 по программе
. Наибольший диаметр сверла,
мм 50
. Наибольший диаметр фрезы,
мм 250
. Скорость быстрых
установочных перемещений подвижных узлов, м/мин 9000
. Габаритные размеры, мм :
ширина 4050
длина 5750
высота 4080
. Масса станка, кг 20
Станок
радиально-сверлильный 2А554
Технические
характеристики
Диаметр сверления в
стали, мм - 50
Диаметр сверления в
чугуне, мм - 63
Крутящий момент
шпинделя, нм - 710
Осевое усилие на
шпинделе, н - 20000
Мощность главного
двигателя, кВт - 5.5
Осевое перемещение
шпинделя, мм - 400
Перемещение головки
по рукаву, мм - 1225
Перемещение рукава
по колонне, мм - 750
Вращение рукава
вокруг колонны, грд - 360
Частота вращения
шпинделя, об/мин 18-2000
К-во частот
вращения шпинделя - 24
Подачи шпинделя на
оборот, мм/об 0,045-5,0
К-во подач шпинделя
- 24
Конус шпинделя - МК5
Длина, мм - 2665
Ширина, мм - 1030
Высота, мм - 3430
Вес, кг - 4700
7.1 Расчет режимов резания и техническое нормирование
1)
Производится расчет режимов резания для токарных операций.
На данном переходе выполняется
черновое точение цилиндрической поверхности диаметром 126,7 мм, на длине 150
мм.
Исходные данные для
расчета:
диаметр обработки - d = 126,7 мм;
глубина резания - t = 2,2 мм;
по справочным данным выбирается
подача - s = 0,91 мм/об.
Скорость резания определяется по
формуле:
V = Cv * Kv ,
где Cv = 420 - постоянный
коэффициент,
x = 0,15 - показатель степени при
глубине резания,
y = 0,2 - показатель степени при
подаче,
m = 0,2 - показатель степени при
стойкости инструмента,
T = 90 мин. - период стойкости резца
из твердого сплава,
Kv - поправочный коэффициент,
учитывающий условия резания, определяется по формуле:
= Kmv*Kпv*Kиv*Kтv*Kuv*Krv , (2)
где Kmv = 1 - коэффициент,
учитывающий влияние материала детали,
Kпv = 0,85 - коэффициент,
учитывающий состояние поверхности,
Kиv = 1 - коэффициент, учитывающий
материал инструмента,
Kтv = 1 - коэффициент, учитывающий
стойкость инструмента,
Kuv = 1,4 - коэффициент, учитывающий
угол в плане резца,
Krv = 1 - коэффициент, учитывающий
радиус при вершине резца.
Kv = 1*0,85*1*1*1,4*1 = 1,19 .
По формуле (1) вычисляется скорость
резания:= 420 * 1,19 = 183,98 м/мин.
Число оборотов рассчитывается по
формуле:
= 1000*V , (3)
= 1000 * 183,98 = 462,22 об/мин.
Принимается число оборотов шпинделя
n = 480 об/мин.
Фактическая скорость резания
определяется по формуле:
ф = п*D*n , (4)
где D = 126,7 - диаметр
обрабатываемой поверхности, мм;ф = 3,14 * 126,7 * 480 = 191,05 м/мин.
Сила резания Pz рассчитывается по
формуле:
Pz = 10 * Cp * t * s * Vф * Kp , (5)
где Cp = 300 - постоянный
коэффициент= 1 - показатель степени при глубине резания,= 0,75 - показатель
степени при подаче,= -0,15 - показатель степени при скорости резания, -
поправочный коэффициент, учитывающий условия резания,
определяется по формуле:
Kp = Kmp*Kup*Kуp*Kлp*Krp, (6)
где Kmp = 1 - коэффициент,
учитывающий влияние материала детали на силовые зависимости,
Kup, Kуp, Kлp, Krp - коэффициенты,
учитывающие влияние параметров режущей части инструмента на силу резания,
Kup = 1,08;
Kуp = 1;
Kлp = 1;
Krp = 1,
Kp = 1*1,08*1*1*1 = 1,08
.
По формуле (5) вычисляется сила
резания:= 10 * 300 * 2,2 * 0,91 * 191,05 * 1,08 = 3020,46 Н.
Мощность резания определяется по
формуле:
= Pz*Vф , (7)
N = 3020,46 * 191,05 = 9,42 кВт.
Основное время перехода
рассчитывается по формуле:
To = L + L , (8)
где s = 0,91 мм/об - рабочая подача
инструмента;= 3 - ускоренная подача отвода инструмента;= 480 об/мин - частота вращения
шпинделя;- длина пути обработки, мм, определяется по формуле:
= l + l1 + l2
, (9)
где l = 150 мм - длина пути резания;1
= 3 мм - врезание;2 = 3 мм - перебег.
Тогда= 150 + 3 + 3 = 156 мм.
По формуле (8) вычисляется основное
технологическое время на операции:= 156 + 156 = 0,46 мин.
) Производится расчет режимов резания токарной чистовой операции.
На данном переходе выполняется
чистовое точение цилиндрической поверхности диаметром 122,5 мм, на длине 150
мм.
Исходные данные для расчета:
диаметр обработки - d = 122,5 мм;
глубина резания - t = 1,25 мм;
по справочным данным выбирается
подача - s = 0,329 мм/об.
Скорость резания определяется по
формуле:
где Cv = 420 - постоянный
коэффициент,
x = 0,15 - показатель степени при
глубине резания,
y = 0,2 - показатель степени при
подаче,
m = 0,2 - показатель степени при
стойкости инструмента,
T = 90 мин. - период стойкости резца
из твердого сплава,
Kv - поправочный коэффициент,
учитывающий условия резания, определяется по формуле:
= Kmv*Kпv*Kиv*Kтv*Kuv*Krv , (2)
где Kmv = 1 - коэффициент,
учитывающий влияние материала детали,
Kпv = 0,85 - коэффициент,
учитывающий состояние поверхности,
Kиv = 1 - коэффициент, учитывающий
материал инструмента,
Kтv = 1 - коэффициент, учитывающий
стойкость инструмента,
Kuv = 1,4 - коэффициент, учитывающий
угол в плане резца,
Krv = 1 - коэффициент, учитывающий
радиус при вершине резца,
Kv = 1*0,85*1*1*1,4*1 = 1,19
По формуле (1) вычисляется скорость
резания:= 420 * 1,19 = 245,45 м/мин.
Число оборотов рассчитывается по
формуле:
n = 1000*V , (3)
где D = 122,5 - диаметр
обрабатываемой поверхности, мм;= 1000 * 245,45 = 637,81 об/мин.
Принимается число оборотов шпинделя
n = 640 об/мин.
Фактическая скорость резания
определяется по формуле:
ф = п*D*n , (4)
Vф = 3,14 * 122,5 * 640 = 246,31
м/мин.
Сила резания Pz рассчитывается по
формуле:
Pz = 10 * Cp * t * s * Vф * Kp , (5)
где Cp = 300 - постоянный
коэффициент,
x = 1 - показатель степени при
глубине резания,
y = 0,75 - показатель степени при
подаче,
n = -0,15 - показатель степени при
скорости резания,
Kp - поправочный коэффициент,
учитывающий условия резания,
определяется по формуле:
Kp = Kmp*Kup*Kуp*Kлp*Krp, (6)
где Kmp = 1 - коэффициент,
учитывающий влияние материала детали на силовые зависимости,
Kup, Kуp, Kлp, Krp - коэффициенты,
учитывающие влияние параметров режущей части инструмента на силу резания,
Kup = 1,08;
Kуp = 1;
Kлp = 1;
Krp = 1,
Kp = 1*1,08*1*1*1 = 1,08
.
По формуле (5) вычисляется сила
резания:= 10 * 300 * 1,25 * 0,329 * 246,31 * 1,08 = 770,25 Н.
Мощность резания определяется по
формуле:
= Pz*Vф , (7)
= 770,25 * 246,31 = 3,09 кВт.
Основное время перехода
рассчитывается по формуле:
= L + L , (8)
где s = 0,329 мм/об - рабочая подача
инструмента;= 3 - ускоренная подача отвода инструмента;= 640 об/мин - частота
вращения шпинделя;- длина пути обработки, мм, определяется по формуле:
= l + l1 + l2
, (9)
где l = 150 мм - длина пути резания;1
= 3 мм - врезание;2 = 3 мм - перебег.
Тогда= 150 + 3 + 3 = 156 мм.
По формуле (8) вычисляется основное
технологическое время на 1 переходе токарной операции:
To =156+156 = 0,82
мин.
3)
Производится расчет режимов резания для тонкой токарной операции.
На данном переходе выполняется
тонкое точение цилиндрической поверхности диаметром 120,45 мм, на длине 150 мм.
Исходные данные для расчета:
диаметр обработки - d = 120,45 мм;
глубина резания - t = 0,2 мм;
по справочным данным выбирается
подача - s = 0,028 мм/об.
Скорость резания определяется по
формуле:
V = Cv * Kv , (1)
где Cv = 420 - постоянный
коэффициент,
x = 0,15 - показатель степени при
глубине резания,
y = 0,2 - показатель степени при
подаче,
m = 0,2 - показатель степени при
стойкости инструмента,
T = 90 мин. - период стойкости резца
из твердого сплава,
Kv - поправочный коэффициент, учитывающий
условия резания, определяется по формуле:
= Kmv*Kпv*Kиv*Kтv*Kuv*Krv , (2)
где Kmv = 1 - коэффициент,
учитывающий влияние материала детали,
Kпv = 0,85 - коэффициент,
учитывающий состояние поверхности,
Kиv = 1 - коэффициент, учитывающий
материал инструмента,
Kтv = 1 - коэффициент, учитывающий
стойкость инструмента,
Kuv = 1,4 - коэффициент, учитывающий
угол в плане резца,
Krv = 1 - коэффициент, учитывающий
радиус при вершине резца,
Kv = 1*0,85*1*1*1,4*1 = 1,19 .
По формуле (1) вычисляется скорость
резания:=420 * 1,19 = 528,88 м/мин.
Число оборотов рассчитывается по
формуле:
= 1000*V , (3)
где D = 120,45 - диаметр
обрабатываемой поверхности, мм;= 1000 * 528,88 = 1397,67 об/мин.
Принимается число оборотов шпинделя
n = 1200 об/мин.
Фактическая скорость резания
определяется по формуле:
Vф = п*D*n , (4)
ф = 3,14 * 120,45 * 1200 = 454,08
м/мин.
Сила резания Pz рассчитывается по
формуле:
Pz = 10 * Cp * t * s * Vф * Kp , (5)
где Cp = 300 - постоянный
коэффициент,
x = 1 - показатель степени при глубине
резания,
y = 0,75 - показатель степени при
подаче,
n = -0,15 - показатель степени при
скорости резания,
Kp - поправочный коэффициент,
учитывающий условия резания, определяется по формуле:
Kp = Kmp*Kup*Kуp*Kлp*Krp, (6)
где Kmp = 1 - коэффициент, учитывающий
влияние материала детали на силовые зависимости,
Kup, Kуp, Kлp, Krp - коэффициенты,
учитывающие влияние параметров режущей части инструмента на силу резания,
Kup = 1,08;
Kуp = 1;
Kлp = 1;
Krp = 1,
Kp = 1*1,08*1*1*1 = 1,08 .
По формуле (5) вычисляется сила
резания:= 10 * 300 * 0,2 * 0,028 * 454,08 * 1,08 = 17,71 Н.
Мощность резания определяется по
формуле:
N = Pz*Vф , (7)
= 17,71 * 454,08 = 0,13 кВт.
Основное время перехода
рассчитывается по формуле:
= L + L , (8)
где s = 0,028 мм/об - рабочая подача
инструмента;= 3 - ускоренная подача отвода инструмента;= 1200 об/мин - частота
вращения шпинделя;- длина пути обработки, мм, определяется по формуле:
= l + l1 + l2
, (9)
где l = 150 мм - длина пути резания;1
= 3 мм - врезание;2 = 3 мм - перебег.
Тогда= 150 + 3 + 3 = 156 мм.
По формуле (8) вычисляется основное
технологическое время на 1 переходе 100 токарной операции:=156 +156 = 4,68 мин.
Производится расчет режимов резания
для сверлильных операций.
Производится расчет режимов резания
сверлильной операции. На данном переходе выполняется предварительное сверление
отверстия диаметром 23 мм, на глубину 120 мм.
Исходные данные для расчета:
диаметр сверления - D = 23 мм;
по справочным данным выбирается
подача - s = 0,2064 мм/об.
Скорость резания определяется по
формуле:
V = Cv*D*Kv , (1)
где Cv = 7 - постоянный коэффициент,
q = 0,4 - показатель степени при
диаметре сверления,
y = 0,7 - показатель степени при
подаче,
m = 0,2 - показатель степени при
стойкости инструмента,
T = 30 мин. - период стойкости
твердосплавного сверла,
Kv - поправочный коэффициент,
учитывающий условия резания, определяется по формуле:
Kv = Kmv*Kuv*Klv , (2)
где Kmv = 1 - коэффициент,
учитывающий влияние материала детали,
Kuv = 1 - коэффициент, учитывающий
материал инструмента,
Klv = 0,75 - коэффициент,
учитывающий соотношение глубины и диаметра сверления,
Kv = 1*1*0,75 = 0,75 .
По формуле (1) вычисляется скорость
резания:= 7 * 23 * 0,75 = 28,12 м/мин.
Число оборотов рассчитывается по
формуле:
= 1000*V , (3)
где D = 23 - диаметр обрабатываемой
поверхности, мм;= 1000 * 28,12 = 389,27 об/мин.
3,14 * 23
Принимается число оборотов шпинделя
n = 300 об/мин.
Фактическая скорость резания
определяется по формуле:
ф = п*D*n , (4)
Vф = 3,14 * 23 * 300 = 21,67 м/мин.
Крутящий момент Мкр и осевая сила
резания Ро рассчитываются по формулам:
Mkp = 10 * Cm * D * s *
Kp , (5)= 10 * Cp * D * s * Kp , (6)
где Cm = 0,0345 и Cp = 68 -
постоянные коэффициенты,
qm = 2 и qp = 1 - показатели степени
при диаметре сверления,
ym = 0,8 и yp = 0,7 - показатели
степени при подаче,
Kp - поправочный коэффициент,
учитывающий условия резания, определяется по формуле:
= Kmp, (7)
Kmp = 1 - коэффициент, учитывающий
влияние материала детали на силовые зависимости, = 1.
Тогда по формулам (5), (6):= 10 *
0,0345 * 23 * 0,2064 * 1 = 51,64 Нм;= 10 * 68 * 23 * 0,2064 * 1 = 5182,43 Н.
Мощность резания определяется по
формуле:
= Mkp*n , (8)
= 51,64 * 300 = 1,58 кВт.
Основное время перехода
рассчитывается по формуле:
= L + L , (9)
где s = 0,2064 мм/об - рабочая
подача инструмента;= 1,2 - ускоренная подача отвода инструмента;= 300 об/мин -
частота вращения шпинделя;- длина пути обработки, мм, определяется по формуле:
= l + l1 + l2
, (10)
где l = 120 мм - длина пути резания;1
= 3 мм - врезание;2 = 2 мм - перебег.
Тогда= 120 + 3 + 2 = 125 мм.
По формуле (9) вычисляется основное
технологическое время на 1 переходе 100 сверлильной операции:= 125+ 125 = 2,36
мин.
8. Патентно-информационный поиск
вилка заготовка резание
токарный
8.1 Регламент поиска
Таблица 2
|
Предмет поиска
|
Страна поиска
|
Цель поиска
|
УДК
|
МКИ
|
Ретроспектива поиска
|
Название источника информации
|
|
Резец для одновременной черновой и чистовой обработки
|
СССР
|
Для обработки цилиндрической поверхности
|
621.9.0 25 (088.8)
|
В 23 В 27/00
|
35 лет
|
Патент. открытия изобретений
|
|
Резец
|
СССР
|
Для обработки цилиндрической поверхности
|
621.9-025(08 8.8)
|
В 23Ь 27/00
|
31 год
|
Патент. открытия изобретений
|
|
Токарный резец
|
СССР
|
Для обработки цилиндрической поверхности
|
621.9.0 25(088. 8)
|
В 23Ь 27/00
|
33 года
|
Патент. открытия изобретений
|
.2 Анализ применяемости известных
технических решений
Таблица 3
|
Номера патентов
|
Сущность технического решения
|
Наименование объекта
|
Возможность использования технических решений
|
Ожидаемый эффект
|
|
545415
|
Резец для черновой и чистовой обработки, отличающийся тем, что,
с целью повышения чистоты обработки канавка расположена под острым углом к
вспомогательной режущей кромке и пересекается с ней в точке, отстоящей от
вершины резца на величину порядка (0.05 0.25) радиуса при вершине
|
Резец для одновременной черновой и чистовой обработки
|
Приспособления для снятия стружки
|
Повышение производительности за счёт канавки расположенной под
острым углом к вспомогательной режущей кромке.
|
|
709258
|
Резец для механической обработки с укороченными
передней и задними (главной, вспомогательной и переходной) поверхностями,
отличающийся тем что с целью увеличения стойкости инструмента упомянутые
задние поверхности выполнены ступенчатыми, причем угол наклона каждой ступени
выполнен равным заднему углу соответствующей задней поверхности, а общая
высота всех ступеней каждой поверхности равна допустимой величине износа по
главной задней поверхности
|
Резец
|
Приспособления для снятия стружки
|
Повышение производительности за счёт угла наклона каждой ступени
выполненной равноверхностно.
|
|
624728
|
Токарный резец с размерно-стабилизирующей фаской, отличающийся
тем, что с целью повышения его размерной стойкости, фаска выполнена на
вспомогательной задней поверхности, уменьшающейся
от главной задней поверхности
|
Токарный резец
|
Приспособления для снятия стружки
|
Повышение производительности за счёт фаски,
выполненной в вспомогательной задней поверхности
|
Список литературы
1. Методические указания к выполнению курсового проекта по дисциплине
«Технология машиностроения» для студентов специальности 060800 «Экономика и
управление на предприятиях» вечерней заочной форм обучения и экстернов /
Воронеж, гос. техн. ун-т; сост. В.М. Пачевский, А.Н. Осинцев, В.И. Корнеев,
Л.А. Иванов. Воронеж, 2001.
2. Пачевский В.М. Курсовое проектирование по технологии
машиностроения: Учеб. пособие. Воронеж: Воронеж, гос. техн. ун-т. 2004. 177 с.
3. Справочник технолога машиностроителя. В 2-х т. Т. 2 / под ред.
А.Г. Косиловой и Р.К. Мещерякова.- 4-е изд., перераб. и доп. - М.:
Машиностроение, 1986. - 496 с.
4. Технология
машиностроения: Учебник для машиностроительных вузов специальности «Технология
машиностроения, металлорежущие станки и инструменты». -Л.: Машиностроение,
Ленинград, отд - ние, 1985. -496 с.
5. В.М. Пачевский «Конспект лекций по курсу «Технология
машиностроения» для студентов экономических специальностей
(экстернат)»/Воронеж: Воронеж, гос. тех. ун-т; 2002. с. 122
6. Горбацевич А.Ф. «Курсовое проектирование по технологии
машиностроения», Минск Высшая школа 1975.
7. Добрыдневев И.С. «Курсовое
проектирование по предмету Технология машиностроения»: Учебн. пособие для
техникумов по специальности «Обработка металлов резанием». М.: Машиностроение,
1985. 184с, ил.
8. Ансеров М.А.
«Приспособление для металлорежущих станков», Л. Машиностроение, 1975.
9. Бабук В.В. «Дипломное
проектирование по технологии машиностроения», Минск; Высшая школа, 1975.
10. Маталин А.А. «Технология
машиностроения», Л. Машиностроение 1985.
11. Егоров М.Е. «Основы проектирования
машиностроительных заводов». - М.: Машиностроение, 1985.