Разработка предложений по совершенствованию системы продаж продукции ОАО 'Электрон'

  • Вид работы:
    Курсовая работа (т)
  • Предмет:
    Маркетинг
  • Язык:
    Русский
    ,
    Формат файла:
    MS Word
    291,7 Кб
  • Опубликовано:
    2013-03-11
Вы можете узнать стоимость помощи в написании студенческой работы.
Помощь в написании работы, которую точно примут!

Разработка предложений по совершенствованию системы продаж продукции ОАО 'Электрон'

Введение

товародвижение канал политика

Становление и развитие рыночных отношений требует более широкого применения маркетинга в различных областях человеческой деятельности. Однако его практическое применение сопряжено с наличием ряда проблем, обусловленных в большинстве своем непониманием сущности и возможностей маркетинга, особенно на промышленных предприятиях постсоветского пространства. Это обусловлено тем, что многие предприятия еще не вполне освоили в своей деятельности принципы маркетинга, т.к. до сих пор существует невысокий уровень конкуренции среди производителей товаров промышленного назначения, а также административная система распределения многих товаров промышленного назначения.

Практически для большинства промышленных предприятий маркетинг ассоциируется со сбытом. Данный этап развития маркетинга в западных компаниях был пройден десятки лет назад. Хотя стоит отметить, что большая часть маркетинговых приемов применялась на наших предприятиях всегда. Это происходило интуитивно и хаотически. Аналогично действовали и на ОАО «Электрон», предприятии которое будет исследовано в данной работе.

Современные рыночные отношения требуют более глубокого понимания сущности маркетинга, а главное применения на практике в отечественных предприятиях. Постепенно данный процесс набирает обороты. Кроме этого маркетинг становится основой стратегического менеджмента и появляются организации, которые управление деятельностью своей компании строят на принципах маркетинга, т.е. ориентируют все подразделения и службы на нужды потребителей. Такие компании значительно опережают конкурентов, не применяющих данных принципов.

В качестве объекта исследования в курсовой работе рассматривается открытое акционерное общество «Электрон» - производитель светотехнических изделий, поставляющий их для предприятий автотракторной промышленности России и стран ближнего и дальнего зарубежья.

Предметом исследования в настоящей работе являются система продажи продукции промышленного предприятия.

Целью данной работы является разработка предложений по совершенствованию системы продаж продукции предприятия.

Для написания курсовой работы использована литература отечественных и зарубежных авторов, практический материал ОАО «Электрон» и собственные исследования.

1. Теоретические основы сбыта продукции предприятия

.1 Роль каналов распределения продукции в деятельности предприятия

Основными элементами системы товародвижения являются каналы товародвижения, которые включают все организации или всех людей, связанных с передвижением и обменом товаров и услуг, являющихся участниками каналов сбыта или посредниками.

Обоснование и выбор канала товародвижения - наиболее важное решение фирмы. Для создания хороших отношений с каналами сбыта требуется длительное время. Когда они есть, новой фирме внедриться сложно, старой же легче организовать сбыт подходящих новых товаров. Координировать планирование и реализацию стратегии должны участники каналов сбыта; если они влиятельны, существенно возрастают маркетинговые возможности производителей. Потребители часто предпочитают не менять сложившиеся способы приобретения товаров и услуг.

Почему производитель готов переложить часть работы по сбыту на посредников? Ведь это означает, что он в какой-то мере теряет контроль над тем, как, и кому продают товар. И, тем не менее, производители считают, что использование посредников приносит им определенные выгоды.

У многих производителей не хватает финансовых ресурсов для осуществления прямого маркетинга. Использование посредников объясняется в основном их большой эффективностью в обеспечении широкой доступности товара и доведения его до целевых рынков. Благодаря своим контактам, опыту, специализации и размаху деятельности посредники предлагают фирме больше того, что она обычно может сделать в одиночку.

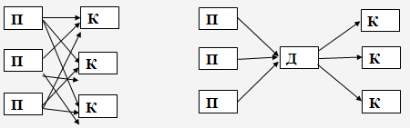
На рисунке 1.1. представлен один из основных источников экономии, обеспечиваемой благодаря использованию посредников [3, с.47].

В части «А» показано, как три производителя (П) пытаются достичь трех клиентов (К) методами прямого маркетинга. Этот вариант требует установления девяти отдельных контактов. В части «Б» показана работа также трех производителей через одного дистрибьютора (Д), который устанавливает контакты со всеми тремя клиентами. При такой схеме требуется установить только шесть контактов. Так посредники помогают сократить объем работы, которую необходимо выполнить.

Рисунок 1.1 - Варианты контактов между производителями и посредниками

При выборе каналов товародвижения следует учитывать ряд основных факторов [3, с.49]:

) потребители: характеристики их - количество, концентрация, размер средней покупки; потребности - размещение и часы работы магазина, ассортимент, помощь торгового персонала, условия кредита; сегменты - размер, поведение в отношении покупок;

) компания: цели - контроль, сбыт, прибыль, время;

) ресурсы: уровень, гибкость, потребности в сервисе;

) знания функции, специализация, эффективность;

) опыт: методы продвижения в системе сбыта;

) товар или услуга: стоимость - цена за единицу; сложность - техническая сторона; сохранность - период хранения, частота отгрузок; объем - масса единицы;

) конкуренция: характеристики - число, концентрация, ассортимент; потребители: тактика - методы товародвижения; альтернативы - прямой, косвенный; характеристики - количество, выполняемые функции, традиции; доступность - монопольные договоренности, территориальные ограничения; юридические аспекты - существующие законы, законопроекты.

Один из ключевых вопросов доведения продукта до потребителя - выбор для различных видов продукта типа канала распределения, называемого каналом маркетинга.

Канал распределения - это путь, по которому товары движутся от производителя к потребителю, представляющий собой совокупность организаций или отдельных лиц, принимающих на себя право собственности на конкретный товар или услугу на пути от производителя к потребителю [1, с.124].

Канал распределения может быть обеспечен множеством различных участников. К участникам канала распределения относятся производители и различного рода посредники.

Участники канала распределения, выполняют ряд очень важных функций, в числе которых [8, с. 98]:

-  исследовательская работа - сбор информации, необходимой для планирования и облегчения обмена;

-       стимулирование сбыта - создание и распространение информации о товаре;

-       установление контактов - налаживание и поддержание связи с потенциальными покупателями;

-       приспособление товара - производство товара с учетом требований покупателей.

-       проведение переговоров - попытки согласования цен и прочих условий для последующего осуществления акта передачи собственности или владения;

-       организация товародвижения - транспортировка и складирование товара;

-       финансирование - изыскание и использование средств для покрытия издержек по функционированию канала;

-       принятие риска - принятие на себя ответственности по функционированию канала.

Посредник - это физическое или юридическое лицо, способствующее установлению деловых связей между производителями продукции, с одной стороны, и потребителями - с другой.

Существующие каналы распределения предполагают использование трех основных методов сбыта [10, с.68]:

-  прямого - производитель продукции вступает в непосредственные отношения с ее потребителями и не прибегает к услугам независимых посредников;

-       косвенного - для организации сбыта своих товаров прибегает к услугам различного типа независимых посредников;

-       комбинированного - в качестве посреднического звена используются организации со смешанным капиталом, включающим как средства производителя, так и другой независимой компании.

Хотя канал прямого маркетинга является простейшим, он не обязательно дешевый. В случае достаточно разнообразного ассортимента выпускаемой продукции, большого числа рынков, географических факторов экономическая целесообразность диктует использование более сложных видов каналов распределения.

Таким образом, наиболее сложные каналы для определенных потребительских товаров могут быть наиболее эффективными. Когда несколько посредников могут эффективно выполнять специализированные функции, издержки могут быть ниже, чем в случае, когда один посредник ответственен за их реализацию во многих регионах. С точки зрения производителя, чем длиннее канал, тем сложнее контролировать его функционирование.

1.2 Виды каналов распределения

Каналы распределения могут быть простыми или сложными. Они могут основываться на устном согласии между пред или требовать детальных письменных контрактов между рядом производителей, оптовиков и розничных магазинов.

Каналы распределения можно охарактеризовать по числу составляющих их уровней. Уровень канала распределения - это любой посредник, который выполняет ту или иную работу по приближению товара и права собственности на него к конечному покупателю. Поскольку определенную работу выполняют и сам производитель, и конечный потребитель, то они тоже входят в состав любого канала.

При выборе канала распределения определяются его параметры. Этими параметрами являются длина (протяженность) и ширина канала распределения.

Под длиной канала подразумевают число промежуточных звеньев, выполняющих работу по движению товара от производителя к потребителю.

Канал товародвижения, содержащий нулевой уровень, относится к прямому типу каналов, а канал, содержащий большее количество промежуточных уровней - к косвенным каналам. Канал нулевого уровня предполагает прямой контакт производителя с потребителем без участия посредников. В этом случае потребитель может купить товар непосредственно у производителя (через принадлежащие ему магазины, посылочную торговлю и т.п.) [3, с.105].

Одноуровневый канал включает в себя одного посредника. На потребительских рынках этим посредником обычно бывает розничный торговец (например, при продаже продукции с ограниченным сроком реализации), а на рынках товаров промышленного назначения - агент по сбыту, оптовый посредник (при относительно небольшом спросе на товары и нестабильных хозяйственных связях).

Двухуровневый канал включает в себя двух посредников. На потребительских рынках такими посредниками обычно становятся оптовые и розничные торговцы, на рынках товаров промышленного назначения это могут быть дистрибьюторы и дилеры.

Трехуровневый канал включает в себя трех посредников, чаще всего двух оптовых и одного розничного.

Существуют каналы и с большим количеством уровней, но они встречаются реже. С точки зрения производителей, чем больше уровней имеет канал распределения, тем меньше возможностей контролировать его.

Традиционные каналы распределения состоят из независимого производителя и одного или нескольких независимых посредников (рисунок 1.2).

Другой характеристикой канала товародвижения является его ширина, т.е. количество посредников на каждом уровне, участвующих в распространении продукции. Так, если предприятие производит, например, товары народного потребления, то оно может воспользоваться услугами либо одного оптового покупателя (например, универмага), что определяет узкий канал сбыта; либо различных оптовых покупателей (фирм оптовой торговли, независимых агентов, специализированных магазинов), которые определяют широкий канал сбыта.

Каналы распределения классифицируются также на горизонтальные и вертикальные [10, с.207].:

Горизонтальные каналы образуются независимыми друг от друга производителем и посредниками. Каждое звено горизонтального канала представляет собой юридическое лицо, работающее за свой страх и риск и стремящееся максимизировать собственную прибыль. Это иногда может привести к снижению общей прибыли всей системы, что противоречит концепции логистики и принятому в рамках этой концепции принципу экономических компромиссов.

Рисунок 1.2 - Каналы распределения товаров

Вертикальные каналы распределения состоят из звеньев, между которыми устанавливаются те или иные взаимосвязи. Самой распространенной является ситуация, когда один из участников канала распределения является собственником остальных. В этом случае среди участников процесса распределения устанавливаются иерархические отношения соподчинения, и весь канал может функционировать как единое целое. Вертикальные каналы исключают дублирование участниками канала исполняемых функций и контролируют поведение канала.

Важным вопросом при формировании канала распределения товара является решение о структуре канала, т. е. о числе уровней канала и конкретном составе его участников. При выявлении возможных вариантов каналов распределения необходимо определиться с типом используемых посредников. Чаще всего используется классификация посредников по сочетанию двух признаков: от чьего имени работает посредник и за чей счет посредник ведет свои операции. Исходя из этого, следует выделять два типа посредников:

-  посредники, оказывающие содействие в распределении продукции изготовителю (продавцу), но не получающие права собственности на эту продукцию (зависимые);

-  посредники, участвующие в распределении продукции изготовителя как собственники этой продукции (независимые).

К первой группе относятся независимые от изготовителя организации, а также отдельные лица, которые оказывают содействие изготовителю (владельцу) товара в его распределении (продаже), но не принимают непосредственного участия в сделках купли-продажи своим капиталом и не несут при этом никаких коммерческих рисков. К этой группе посредников относят: агентов; брокеров; комиссионеров; консигнаторов и др.

Агент (маклер, брокер, комиссионер, коммивояжер и т. д.) - физическое или юридическое лицо, совершающее операции или выполняющее деловые поручения другого лица за его счет и от его имени, представляющее интересы покупателя или продавца на относительно постоянной основе, не принимающее на себя право собственности на товар. Агент ведет поиск потенциальных покупателей, продавцов, организует между ними переговоры, готовит проекты договоров, помогает в оформлении передачи права собственности на товары, рекламирует товар, заинтересовывает в покупке товара. Наиболее распространенной формой зависимых посредников являются торговые агенты, которые разделяются на промышленных и сбытовых.

Промышленные агенты, как правило, заменяют службу сбыта предприятия, но получают на заработную плату и комиссионное вознаграждение, которое может колебаться от 3 до 10 % от объема сбыта. В большей степени, чем все другие посредники этой группы, промышленные агенты зависят от указаний производителя. Промышленные агенты, как правило, работают на одного производителя и пользуются исключительным правом сбыта на окружающей территории, поэтому они могут избегать конфликтов и иметь достаточно полный ассортимент продукции. Крупные предприятия могут иметь агентов для каждой ассортиментной группы.

Сбытовые агенты имеют дело с небольшими предприятиями и, по существу, становятся подразделением производителя и полномочны вести переговоры по ценам и другим условиям реализации. Коммивояжер - разъездной агент торгового предприятия, фирмы, предлагающий покупателям товары по имеющимся у него образцам, каталогам.

Брокер (оценщик, комиссионер) - физическое или юридическое лицо, выступающее посредником при заключении оптовых сделок между заинтересованными сторонами. Брокеры сводят покупателей и продавцов для совершения сделки. Они хорошо информированы о состоянии рынка, условиях продаж, уровне цен, владеют искусством вести переговоры. В отдельных случаях могут обеспечить доставку и хранение продукции. За посредничество между покупателем и продавцом брокер получает комиссионное вознаграждение в виде определенного процента от суммы сделки или заранее указанную в договоре абсолютную сумму, как правило, от обеих сторон сделки, чем отличается от других зависимых посредников. Иногда брокер может принимать на себя право собственности на товар.

Комиссионер - посредник в сделке. Комиссионер, так же как и дилер, совершает различные операции по сбыту продукции от своего имени. Но, в отличие от дилера, он совершает эти операции за счет производителя. Поэтому производитель комитента передавая комиссионеру права на продажу своей продукции (сдавая ее «на комиссию»), сохраняет права собственности на эту продукцию вплоть до момента ее оплаты потребителем. Следовательно, для производителя комиссионер выполняет роль посредника, а для потребителя посредником не является, поскольку операции и оплаты, и получения товара потребитель совершает с одним и тем же лицом. Комиссионеры могут вести переговоры по ценам с потребителями в интервалах, определенных производителем. Вознаграждение за услуги комиссионер обычно получает в виде процента от стоимости выполненной им операции либо в виде разницы между ценой, назначенной комитентом, и ценой, за которую данный товар фактически удалось продать.

Консигнатор - оптовый торговец, получающий от поручителя товары и продающий их со своего склада и от своего имени, за вознаграждение, которое поручитель выплачивает консигнатору по договору. Они располагают конторой, а также складскими помещениями для хранения и продажи изделий.

Зависимые посредники не претендуют на право собственности на продаваемые ими товары и работают за комиссионное вознаграждение. Размер вознаграждения зависит от объема и сложности совершаемых ими сделок. На долю брокеров и агентов в развитых странах приходится около 9 % оптового товарооборота.

Ко второй группе посредников относятся независимые организации, которые участвуют в процессе распределения продукции изготовителя от своего имени и за свой счет, приобретая тем самым право собственности на реализуемую продукцию. В свою очередь, в этой группе можно выделить:

1) Посредников, которые выступают по отношению к изготовителю (продавцу) как покупатели, приобретающие его продукцию на основе договора купли-продажи. Они становятся собственниками этой продукции и могут в дальнейшем реализовать ее по своему усмотрению на любом товарном рынке и по любой цене. В системе распределения в качестве таких фирм выступают торговые дома, оптовые и розничные организации.

Торговые дома - крупные оптово-розничные фирмы, тесно связанные с изготовителями продукции. Торговые дома осуществляют, как правило, операции с нестандартизированными потребительскими товарами: (одежда, электроника и бытовые приборы, продукты питания и т.д.).

2) Посредников, которые получают от изготовителя (товаровладельца) по отдельному договору, право продажи его продукции (товаров) на определенной территории в течение согласованного периода времени. Такой договор устанавливает общие условия отношений между изготовителем (товаровладельцем) и посредником при распределении его продукции. Для его выполнения стороны заключают самостоятельные контракты, по которым посредники выступают как покупатели продукции (товаров). К ним относятся дистрибьюторы, дилеры.

Дистрибьютор - физическое или юридическое лицо - оптовый посредник, обслуживающий разные отрасли промышленности, имеющий склады и транспортные средства и осуществляющий коммерческую деятельность от своего имени и за свой счет. В логистической цепи дистрибьюторы обычно занимают положение между производителем и дилерами. Дистрибьюторы делятся на 2 типа: имеющие или арендующие складские помещения; и не имеющие и не арендующие складские помещения.

Производитель может продавать продукцию непосредственно дистрибьюторам, которые затем самостоятельно сбывают ее непосредственным потребителям. Выбор такого канала эффективен, если:

-  рынок разбросан, а объем сбыта в каждой географической зоне недостаточен для оправдания расходов по прямому каналу распределения;

-       изделие должно сбываться потребителям многих отраслей промышленности, что требует широкой сети оптовиков;

-       потребители предпочитают закупать изделия мелкими партиями, неудобными для складской и транзитной обработки;

-       разница между себестоимостью продукции и продажной ценой слишком мала для содержания производителем собственной сбытовой сети.

Дилеры - это оптовые, реже розничные посредники, которые ведут операции от своего имени и за свой счет. Товар приобретается ими по договору поставки. Таким образом, дилер становится собственником продукции после полной оплаты поставки. Отношения между производителем и дилером прекращаются после выполнения всех условий по договору поставки. Однако взаимоотношения производителя с дилерами в последнее время приобретают разнообразные формы из-за желания производителей формировать вертикальные каналы распределения. При этом дилеры становятся держателями привилегий, объединяя в своих руках ряд последовательных этапов процесса производства и распределения. Дилер выполняет оптово-розничные функции и должен находиться ближе к покупателю.

В идеальном случае все участники канала распределения должны тесно сотрудничать между собой с целью поддержания нормальной прибыли и увеличения продаж, поскольку успех каждого участника зависит от успешной работы всего канала распределения. Участники должны выполнять свои функции, согласовывать цели и действия, кооперироваться с другими участниками для успешного достижения целей всего канала распределения. Важная часть логистической системы распределения товародвижения любой фирмы - её уровень обслуживания потребителей. Принимаемые решения касаются частоты поставок, их скорости и стабильности; процедур срочных поставок; принятие малых заказов; хранения; координации ассортимента и т.д. Такие разногласия по поводу целей и функций могут приводить к конфликтам внутри канала товародвижения.

Рассмотрим отдельно сферу оптовой и розничной торговли. Сфера оптовой и розничной торговли состоит из множества организаций, занимающихся перемещением товара и услуг из мест их производства к местам использования. Розничная торговля - это любая деятельность по продаже товаров или услуг непосредственно конечным потребителям, для их личного некоммерческого использования. Оптовая торговля включает в себя любую деятельность по продаже товаров или услуг тем, кто приобретает их с целью перепродажи или профессионального использования.

Оптовая торговля выполняет множество важных функций, связанных с процессом сортировки, покупки или обращения с товарами и их последующей перепродажей организациям розничной торговли или другим оптовым организациям, но не связана с продажей больших количеств товара конечным потребителям.

Среди важных функций, выполняемых обычно оптовой торговлей, можно указать следующие [7, с.55]:

оптовая торговля позволяет производителям сбывать свои товары на местах с минимумом контактов с потребителями;

выделяет подготовленный торговый персонал;

обеспечивает маркетинговую и техническую поддержку для производителя или поставщика;

набирает ассортимент для их потребителей и позволяет им заключать меньше сделок;

закупает товары в больших количествах;

снижает издержки поставки;

гарантирует материальную базу для хранения и поставки;

предоставляет финансовую помощь как производителям (оплачивая товары при их поставке, а не при продаже), так и розничным или коммерческим потребителям (через торговый кредит);

решает проблемы возврата товаров и делает скидки на дефектную продукцию;

берет на себя риск, отвечая за хищения, повреждения и устаревание запасов.

Розничная торговля включает всю предпринимательскую деятельность, связанную с продажей товаров и услуг конечным потребителям для личного, семейного или домашнего пользования. Это конечный этап каналов сбыта. Производители, импортеры и оптовая торговля выступают в качестве розничных продавцов, когда сбывают продукцию непосредственно конечным потребителям.

В целом розничная торговля выполняет следующие основные функции:

участвует в процессе сортировки, собирает ассортимент товаров и услуг от большого числа поставщиков и предлагает их для продажи; ширина и глубина ассортимента зависят от стратегии конкретного розничного торговца;

предоставляет информацию потребителям через рекламу, витрины и надписи, а также свой персонал;

оказывает содействие в маркетинговых исследования другим участникам сбыта;

хранит товары, устанавливает на них цены, располагает торговыми помещениями и осуществляет прочие операции с товаром;

платит поставщикам за продукцию обычно до ее продажи конечным потребителям;

завершает сделки, используя соответствующее расположение магазинов и время их работы, кредитную политику, предоставляя другие услуги.

Розничная торговля чутко реагирует на демографические изменения характеристик и особенностей стиля жизни потребителей, которые все больше заинтересованы в улучшении качества обслуживания, на что розничная торговля отвечает немедленным расширением комплекса предлагаемых услуг.

1.3 Методы оценки эффективности каналов распределения

Главная цель построения маркетинговых каналов - обеспечение доступности продуктов компании максимально большому числу потребителей при минимальных удельных издержках на содержание этой системы. Соответственно, критериями эффективности каналов являются:

скорость товародвижения,

уровень удельных издержек обращения и объёмы реализации продукции.

Скорость товародвижения, определяет время, которое проходит с момента выхода продукта с конвейера до поступления на счет компании денежных средств от его продажи. Оперативное поступление денежных средств сокращает потребность компании в оборотном капитале и как следствие - в источниках финансирования.

Уровень удельных издержек, фактически, складывается из торговых наценок или размера комиссии выплачиваемой на всех стадиях движения продукта по маркетинговому каналу. Чаще всего размер удельных издержек прямо пропорционален «длине» канала (количеству промежуточных звеньев) и скорости товародвижения (за счет роста издержек на хранение с увеличением среднего срока оборачиваемости). Высокие удельные издержки либо вынуждают увеличивать цену продукта, снижая его конкурентоспособность на рынке, либо снижают удельную прибыль компании с единицы продукта.

Считается, что эффективность избираемых фирмой маркетинговых каналов тем выше, чем короче период времени, затрачиваемого на доведение товаров от места производства до места реализации и на их продажу конечному потребителю; меньше расходы на их организацию; больше объёмы реализации и полученная при этом чистая прибыль. При выборе способа построения каналов именно по этим показателям необходимо сравнивать альтернативные варианты.

Идеальный маркетинговый канал должен доводить продукт до максимально большого количества потенциальных потребителей максимально быстро и с минимальными издержками.

Следует заметить, что оценка каналов распределения осуществляется после того, как определена рыночная ориентация компании, то есть определены основные группы конкурентов, стратегия развития и поведения на рынке.

При оценке каналов наиболее часто используются следующие критерии [13, с.359]:

прибыльность каналов;

степень их соответствия требованиям потребителей;

управляемость, то есть возможность дальнейшего контроля со стороны предприятия-производителя за товародвижением и ценами;

уровень конкуренции за возможность работы с каналом;

перспективность каналов с точки зрения долгосрочных тенденций.

Исходя из специфики бизнеса, могут использоваться также и более узкие критерии оценки работы каналов, такие как:

объем продаж;

процент продаж целевым клиентам;

темпы роста продаж;

оборачиваемость товарных запасов;

средний уровень товарных запасов;

востребованность дополнительных сервисных услуг, предоставляемых поставщиком и т.п.

При оценке каналов используют следующий метод. По каждому из критериев необходимо определить систему баллов (например, это может быть 10-бальная шкала, где 1 балл означает, что критерий минимально выражен, 10 баллов - критерий максимально выражен), а также ввести весовой коэффициент для каждого критерия. Итоговый суммарный балл каждого канала с учетом весовых коэффициентов даст четкую картину приоритетности того или иного канала.

Проанализировав и оценив каждый из существующих или планируемых каналов, необходимо составить итоговую таблицу с данными по каждому из них. Каналы, суммарный балл которых максимальный, являются наиболее перспективными. Каналы с низким суммарным баллом необходимо закрыть и перенаправить поток товаров в другие, более перспективные каналы распределения. Что же касается каналов, которые находятся по сумме балов посредине между минимальным и максимальным значениями, то действия компании-производителя по отношению к ним могут быть различными в зависимости от ее маркетинговой стратегии: их можно как закрыть, так и сконцентрировать на работе с ними свои усилия с целью повысить их эффективность.

Данная методика оценки эффективности каналов распределения имеет как преимущества, так и недостатки. К преимуществам относятся [13, с.408]:

четкость и логическая последовательность этапов оценки;

относительная простота применения;

возможность определения эффективности каждого канала в отдельности;

возможность воссоздания общей картины состояния системы распределения предприятия;

наглядность результатов оценки эффективности каналов распределения.

Недостатками данной методики являются:

наличие субъективного фактора (выбор критериев оценки, определение системы баллов и весовых коэффициентов осуществляются, исходя из субъективной точки зрения одного или нескольких экспертов);

сравнительно долгое время, необходимое для оценки эффективности каналов;

возможность ошибочных выводов по результатам оценки.

Но, несмотря на отрицательные стороны данной методики, с ее помощью компания может составить план продаж, основанный не на интуитивных оценках, а на комплексной всесторонней оценке каждого из каналов с учетом рыночной ориентации компании.

В книге «Маркетинговые каналы» Штерна в качестве наиболее полного перечня критериев предоагается использовать список каналов из 56 пунктов.

Итак, проанализировав и оценив каждый из существующих или планируемых каналов, составляеется итоговая таблица с данными по каждому из них. Таким образом, у компании появится план продаж, основанный не на интуитивных оценках руководителя сбытового подразделения, а на комплексной всесторонней оценке стратегических перспектив каждого из каналов с учетом рыночной ориентации компании.

2. Анализ системы продаж предприятия ОАО «Электрон»

.1 Характеристика ОАО «Электрон»

В 1995 году Электроний завод пластмассовых изделий был преобразован из арендного предприятия в открытое акционерное общество (ОАО «Электрон»).

Форма собственности: частная (открытое акционерное общество).

Дата регистрации: 23.06.1995г., перерегистрация 30.06.2000г.

Размер уставного фонда по состоянию на 1.01.2012 г.- 3258 тыс.USD, 9839 тыс.руб.

Учредители предприятия: организация арендаторов арендного предприятия «Электроний завод пластмассовых изделий».

Среднесписочная численность - 389 человек

Сегодня в ассортименте предприятия более 70 наименований светотехнической продукции. Успешной реализации и продвижению за рубеж светотехнических изделий с маркой ОАО «Электрон» способствует проектирование и производство их в соответствии с международным стандартом ИСО 9001-2000.

В настоящее время ОАО «Электрон» является основным производителем светотехнических изделий для автотракторной промышленности. Более 15 предприятий автотракторной промышленности Беларуси и около 30 предприятий России, стран Балтии и Украины сотрудничают с ОАО «Электрон». Среди них такие гиганты автомобилестроения как РУП «МАЗ», ПО»БелАЗ», РУП»Минский тракторный завод», «Гомсельмаш». Российские и украинские предприятия: АМО «ЗИЛ», ОАО «КамАЗ», «АЗ»Урал», ОАО «Павловский автобус», ХК «АвтоКрАЗ», Львовский автозавод, НефАЗ и другие.

Высокий творческий потенциал заводских специалистов, применяемые передовые технологии и хорошая производственная база делает ОАО «Электрон» привлекательным объектом для размещения новых производств, выполнения заказов и инвестирования производства.

Основное производство позволяет изготавливать следующие виды изделий:

) Светотехнические изделия - более 150 наименований и модификаций. Изделия применяются для нужд автотракторной промышленности. Ассортимент СТИ включает фары, фонари, указатели поворотов, подфарники, световозвращатели и др.

) Товары бытовой и промышленной химии (крем для обуви с фасовкой в алюминиевые тубы и полимерную тару, клея, смазывающее-охлаждающие жидкости (СОЖ), модельные составы- более 10 наименований.

) Изделия хозяйственного обихода около 30 наименований.

) Полиэтиленовая плёнка и плёночные изделия. Область применения- нужды пищевой и аграрной промышленности, в быту.

) Изделия, комплектующие промышленной кооперации. Ассортимент от 40 до 70 в год.

Производственные мощности позволяют выпускать светотехнические изделия в ассортименте более 2 тыс. штук в год. Производство светотехники оснащено высокопроизводительным оборудованием для литья под давлением, монтажа и контроля качества выпускаемых светотехнических изделий.

Миссия ОАО «Электрон» заключается в удовлетворении потребностей автотракторной промышленности, стран ближнего и дальнего зарубежья, а также в обеспечении потребителей, эксплуатирующих автомобили и трактора надежными и качественными изделиями, обеспечивающими безопасность эксплуатации транспортных средств на основе безукоризненного соблюдения двух принципов:

- пожелания потребителя должны быть максимально выполнены в кратчайшие сроки;

- соответствие системы маркетинга для качества проектирования и производства светотехнических изделий, для транспортных средств по требованиям международных стандартов качества.

Действуя, таким образом, ОАО «Электрон», должно обеспечить акционерам общества получение оптимальной прибыли, а ее персоналу - достойное справедливое вознаграждение.

2.2 Анализ основных показателей деятельности ОАО "Электрон"

Предприятие ОАО «Электрон» постоянно развивается. Изменяется ассортимент выпускаемой продукции, проводятся исследования в области новых товаров и материалов. Динамика роста объема производства продукции ОАО «Электрон» приведена в таблице 2.1.



Таблица 2.1 - Темп роста объема производства в сопоставимых ценах

Год

Темп роста, %

Примечание по группе светотехнических изделий

2008

123,8

Ассортимент до 79 наименований

2009

103,5

Ассортимент около 100 наименований

2010

59,1

Начато производство фар для тракторов. Ассортимент изделий превысил 100 наименований и модификаций

2011

177,2

Ассортимент изделий 150 наименований и модификаций. Начаты работы по внедрению инвестиционного проекта: «Создание производства рефлекторов и автомобильных фар на ОАО «Электрон»


С учетом имеющихся возможностей и спроса светотехнической продукции на рынке, происходило постепенное освоение проектных мощностей. Объем реализации вырос с 200 тыс. долларов США в год в 1995 г. до 5,3 тыс. долларов США в 2010 г., причем численность работающих даже сократилась. Полученная выручка в 2011 г. составила 24,6 млрд. бел. руб. (или более 8,0 тыс. долларов США).

Таблица 2.2 - Основные показатели финансово-хозяйственной деятельности ОАО «Электрон»

Наименование показателей

Единица изм.

2009 г.

2010 г.

2011 г.

1

2

3

4

5

Годовой объем производства в стоимостном выражении (в действующих ценах)

тыс.руб.

21840

12901

22856

Темпы к предыдущему году

%

111,0

59,1

177,2

В том числе экспорт

тыс.дол.

3782,40

1958,7

3351,3

Темпы к предыдущему году

%

103,0

51,8

171,2

Выручка от реализации продукции

тыс.руб.

22725

15861

24597

Выручка от реализ. продукции (без НДС)

тыс.руб.

20206

14096

22154

Налоги, сборы, платежи (без подох. налога)

тыс.руб.

2016

1521

2679,5

Чистый доход от реализации продукции

тыс.руб.

126

-907

925

Рентабельность реализованной продукции

%

4,9

4,4

7,8

Среднесписочная численность работающих

чел.

494

395

389


Как видно из представленных в таблице 2.2 данных, у предприятия отмечалось снижение основных экономических показателей в 2010 г. В 2011 г. произошел рост показателей. Годовой объем производства, выручка от реализации были выше «докризисных» показателей 2009 г. Следует отметить, что рентабельность реализованной продукции находится не на высоком уровне. Ее среднее значение за исследуемый период 2009 - 2011 г. составляет 5,7%.

В таблице 2.3 представлены данные о затратах на предприятии



Таблица 2.3 - Данные о затратах на предприятии

Наименование показателей

Единица измерения

2009 г.

2010 г.

2011 г.

Полные издержки на произведенную продукцию, всего в том числе: - материальные затраты - расходы на оплату труда - отчисления на социальные нужды - амортизация основных средств и нематериальных активов - прочие затраты

тыс.руб. тыс.руб. тыс.руб. тыс.руб. тыс.руб. тыс.руб.

21693 11556 4946 1779 2495 917

12674 6505 3876 1275 466 642

21280 10847 5214 1772 2775 672

Из полных издержек: условно-постоянные издержки условно-переменные издержки

 тыс.руб. тыс.руб.

 8544 13149

 5021 7743

 8941 12339


Следует отметить, что в затратах предприятия условно - переменные издержки занимают значительный удельный вес - 42% в 2011 г., 39% в 2010г. и 2009 гг.

Основной проблемой предприятия являлось наличие значительных кредитных обязательств в валюте перед иностранным банком. В 2008 году была проведена реструктуризация несколько улучшившая в дальнейшем финансовое состояние предприятия. В таблице 2.4 представлены основные финансовые показатели деятельности предприятия.

Особенно тяжелыми для предприятия были последствия мирового финансового кризиса 2009 г., так как предприятие выпускает продукцию, предназначенную для других производственных предприятий. Их закупки и в целом состояние дел влияют на положение дел у ОАО «Электрон».

Состояние предприятия в конце 2009 и в 2010 г. было крайне тяжелое. Данные финансово-экономической деятельности (таблица 2.2) показывают, что практически все показатели значительно ухудшились, начиная от падения объемов производства (59,1 %) до сроков оборачиваемости дебиторской задолженности (возросла до 99 дней).

2.3 Анализ сбытовой политики ОАО «Электрон»

Основными задачами в сфере сбыта на ОАО «Электрон» являются изучение спроса и установление тесных контактов с потребителями продукции; поиск наиболее эффективных каналов и форм реализации, отвечающим требованиям потребителей; обеспечение доставки продукции потребителю в нужное время; контроль за ходом реализации продукции в целях снижения коммерческих (внепроизводственных) издержек и ускорение оборачиваемости оборотных средств.

На предприятии ОАО «Электрон» реализация произведенной продукции осуществляется как на внутреннем рынке, так и в странах ближнего и дальнего зарубежья. На рисунке 2.1 отражен удельный вес продаж готовой продукции на каждом рынке. Функции по организации сбыта продукции на ОАО «Электрон» выполняет коммерческий отдел.

Рисунок 2.1 - Структура продаж продукции на различных рынках

При работе на заказ, выпуск продукции предприятием осуществляется в соответствии с имеющимся портфелем заказов, заключенными контрактами и предварительными соглашениями о поставках произведенной продукции и оказания услуг. Заранее оговариваются сроки, технические характеристики товаров, объемы поставок продукции. Проблемы реализации в данном случае сводятся к соблюдению договорной дисциплины и взаимных соглашений: предприятие обязано своевременно произвести и предоставить потребителю соответствующий вид товаров и услуг, в то время как заказчик должен оплатить в указанные сроки получаемые товары.

Коммерческий отдел, принимая от покупателей заявки, сопоставляет их с планом производства и реализации и определяет возможность их удовлетворения.

Существует два варианта приемки заказов от покупателей:

1) Покупатель сам приезжает на предприятие и предоставляет заказ по специально разработанной форме.

2)      Покупатель отправляет заявку с необходимыми реквизитами и описанием продукции почтой или по факсу.

Таким образом, в соответствии с мировой практикой предприятие осуществляет реализацию продукции двумя методами:

–    работа под заказ;

–       работа на свободный рынок.

При работе на свободный рынок предприятие выпускает продукцию без заранее установленных ограничений относительно количественных и качественных характеристик товаров. Реализация продукции на свободный рынок осуществляется через оптовую и розничную торговлю.

Формируя портфель заказов потребителей, коммерческий отдел предприятия оказывает существенное влияние на составление номенклатурного плана производства, способствует расширению ассортимента, повышению качества и выпуску новых видов продукции.

При формировании портфеля заказов на ОАО «Электрон» учитывают нормы заказа продукции и транзитные нормы.

Норма заказа - это минимальное количество определенного вида продукции, менее которого завод-поставщик не производит и не поставляет одному адресату.

На ОАО «Электрон»существует следующий порядок заключения договоров с оптовыми покупателями:

1) установление контакта с покупателями (представление продукции выпускаемой предприятием);

2)      заключение предварительного соглашения о поставке (обсуждение объемов поставляемой продукции);

)        составление договора о поставке продукции;

)        рассмотрение образца договора сторонами;

)        подписание договора.

В договоре указывается:

1) предмет договора (перечень поставляемой продукции);

2)      технология изготовления и качество товара;

)        цена;

)        сроки изготовления, поставка, передача и приемка товара;

)        ответственность сторон;

)        другое.

Коммерческий отдел осуществляет контроль за выполнением заказов цехами, а именно:

- контроль сроков выполнения заказов

контроль качества

контроль количества

Большое внимание уделяется цене, условиям оплаты, рекламной поддержке продукции, формированию товарного ассортимента. Применяются разные формы оплаты: предоплата, отсрочка платежа. Продукция реализуется как самовывозом потребителем, так и самим ОАО «Электрон» до места назначения (дальнее зарубежье, страны СНГ).

В условиях тенденции к снижению объемов поставок ОАО «Электрон» в странах СНГ основой для удержания и расширения доли рынка является систематическая работа отдела по поиску новых заказов, обеспечение минимальных сроков подготовки производства, изготовления и сбыта продукции исходя из конкретных заказов от оптовых покупателей.

На ОАО «Электрон» используется 3 способа доставки готовой продукции покупателям. Это:

–    перевозка в вагонах;

–    контейнерами;

–       автомобильный транспорт.

Повагонная перевозка готовой продукции очень выгодна (как правило, мелкие отправки), так как по железной дороге тарифы более низкие, однако этот способ перевозки удобен при наличии подъездных железнодорожных путей непосредственно к самому покупателю.

Способ перевозки определяется особенностями расположения складов у покупателя, подъездных путей, расстояния, сроков и условий доставки и другими факторами. С ОАО «Электрон» оптовая продукция доставляется к покупателю транспортом покупателя либо им же заказанным транспортом у компании, специализирующейся на грузоперевозках. Так происходит в связи с тем, что доставка транспортом ОАО «Электрон»- дорогостоящий процесс (завод не специализируется на данном виде услуг и не имеет доступной возможности содержать, обслуживать и ремонтировать данные транспортные средства), и покупатель сам выбирает более экономичный для себя способ доставки продукции.

На ОАО «Электрон» при организации сбыта продукции используется горизонтальные каналы: нулевого уровня (0), одноуровневые (1а, 1б) и двухуровневые каналы распределения продукции (2) - рисунок 2.2.

Каналы распределения продукции применяются в зависимости от покупателя, как в РФ, так и за рубежом. Розничный продавец присутствует в каналах товародвижения в случае продажи товаров народного потребления, которые в настоящее время занимают небольшой удельный вес.

При выборе канала распределения с участием посредников ОАО «Электрон» руководствуется следующими целями:

–       сокращение периода оборачиваемости денежных средств при реализации за счет систематизации планирования производства и отгрузки продукции;

–       расширение географии и увеличение объемов поставок продукции;

–       получение аналитической информации о состоянии рынка через посредников;

–       проведение рекламных мероприятий через посредников.

Продажа продукции производится через сеть покупателей во всех регионах стран СНГ, с которыми заключены прямые постоянные договоры.

По форме организации продаж продукции предприятия с помощью посредников можно выделить:

– дилер - лицо или фирма, занимающиеся продажей (перепродажей) товаров от своего имени и за свой счёт.

–       дистрибъютер - независимый оптовый посредник, осуществляющий деятельность по закупке продукции с целью её продажи розничным фирмам и магазинам для конечного потребления.

Рисунок 2.2 - Каналы распределения ОАО «Электрон»

Действующая дилерская товаропроводящая сеть представлена в таблице 2.4.

В 2011 году продукция ОАО «Электрон» была постоянно представлена в товаропроводящей сети, содержащей около 4000 магазинов и выставочных залов (по группе товары народного потребления). В таблице 2.5 представлено количество магазинов, реализующих продукцию ОАО «Электрон».

Таблица 2.4 - Действующая дилерская товаропроводящая сеть

Регион

Количество дилеров

Беларусь

3

Украина

1

Казахстан

2

Молдова

1

Средняя Азия и Закавказье

3


Таблица 2.5 - Реализация продукции ОАО «Электрон»

Страна

Количество магазинов

Россия

81

Беларусь

23

Украина

12

Казахстан

26


3. Разработка предложений по совершенствованию системы продаж предприятия ОАО «Электрон» и их экономическое обоснование

.1 Предложение по совершенствованию каналов распределения на ОАО «Электрон»

Для увеличения доли продукции ОАО «Электрон» на рынках различных стран необходимо расширять ассортимент выпускаемой продукции, чтобы составлять достойную конкуренцию отечественным и западным производителям по широте ассортимента. Кроме того, необходимо осваивать новые виды продукции, ориентированные на разные сегменты потребителей.

Для эффективного развития ОАО «Электрон» необходимо разработать продуктово - маркетинговую программу, позволяющую оптимально совмещать производственные возможности предприятия и конъюнктурные условия рынка.

С этой целью рекомендуется провести сегментацию рынка и дифференциацию портфеля продукции на товарные группы, производство которых должно осуществляться с учетом оптимальной загрузки мощностей

При разработке ассортиментной политики необходимо учитывать: рентабельность товаров, потребности рынка, широкий выбор, тенденции в предпочтениях потребителей. Сбытовая функция маркетинга объединяет в себе осуществление продвижения продукции и систему стимулирования сбыта. Одним из наиболее важных решений является выбор канала реализации, способного максимально эффективно доставить продукцию от производителя к выбранному сегменту.

При изучении запросов потребителей на предприятии целесообразно использовать:

- опросы и анкеты, позволяющие улавливать сдвиги в структуре потребительского спроса и разрабатывать планы реализации продукции, учитывающие запросы потребителей;

- метод наблюдений для изучения потребителей в определенной ситуации на рынке.

На ОАО «Электрон» необходимо планировать исследования покупателей, в результате которых должны выясняться следующие вопросы:

Кто является потенциальным покупателем товаров предприятия - с разбивкой целевых групп на подгруппы по положению в цепи товародвижения, виду предприятия, цели приобретения товаров и т.д.?

Из какого источника покупатели узнали о предприятии?

Нужна ли дополнительная информация о товаре, продающемся на предприятии, и в каком виде она наиболее удобна покупателям?

Как покупатели относятся к предоплате, каков ее оптимальный размер при заказе товаров?

Какая форма доставки и оплаты приобретенных товаров наиболее устраивает потенциальных покупателей?

Почему покупатель обратился именно на наше предприятие?

Все ли устраивает покупателей: отношение персонала, время доставки, цены и др.?

Каждый работник коммерческого отдела выполняет очень сложные и ответственные работы. От работников требуется хорошее понимание целей и задач сбытовой политики предприятия, умение самостоятельно находить решения сложных проблем и брать на себя ответственность за эти решения. Неправильные решения могут отразиться на многих показателях предприятия в целом. В целях учета достигнутых результатов в сбытовой деятельности работниками предлагается использовать определенную форму, представленную в таблице 3.1. Собранные данные можно учитывать в распределении дополнительных премиальных выплат работникам.

Таблица 3.1 - Предлагаемая форма отчетности сотрудников коммерческого отдела

Дата покупки

Наименование товара

Объем закупки

Цена единицы продукции

Общая стоимость закупки

Наименование покупателя

1

2

3

4

5

6













Итого общая сумма продаж:


хххххххххххххххх


Таким образом, если работник отдела продаж желает увеличить свои доходы, ему необходимо совершенствовать свои навыки общения с клиентом, убедить его в совершении выгодной покупки и желательно (при возможности) как можно большими партиями. Такое стимулирование работников отдела продаж является важным элементом стимулирования продаж.

Для увеличения объемов продаж и более плодотворной работы с уже сформировавшимися каналами распределения предлагается периодически проводить исследование покупателей ОАО «Электрон», т.е. локальное маркетинговое исследование, касающееся уровня удовлетворения запросов потребителей. В качестве формы для сбора информации была разработана анкета, которая представлена на Приложении1.

.2 Экономическое обоснование предложений по совершенствованию каналов распределения ОАО "Электрон"

Для устранения описанных выше недостатков предлагается усовершенствовать сайт предприятия так, чтобы с его помощью можно было бы проводить исследования потребителей. Определим эффект от внедрения мероприятий по совершенствованию сайта. Стоимость таких услуг определяется по согласованию с исполнителем и носит рыночный характер. Для проведения работ по модернизации сайта необходимо затратить 9870 тыс. руб. При этом данная сумма получается исходя из следующих расчетов:

себестоимость работ - 5914,83 тыс. руб.

прибыль (рентабельность 40%) - 5914,83*0,4 = 2365,93 тыс. руб.

итого сумма работ без НДС (сумма первых двух строк) = 8364,4 тыс. руб.

НДС (20%) = 8364,4 * 20%/100% = 1505,6 тыс. руб.

итого стоимость работ с НДС = 8364,4 + 1505,6 = 9870 тыс. руб.

Внедрение таких мероприятий позволяет повысить выручку, и соответственно прибыль предприятия.

Рассчитаем период окупаемости - один из наиболее часто применяемых показателей. Существует статический и динамический методы определения данного показателя, т.е. без учета и с учетом фактора времени (на основе дисконтированных потоков и затрат).

Статический срок окупаемости капитальных затрат (Т) определяется как отношение капитальных затрат к прибыли по формуле:

Т = Ко/ Пч (3.1)

где Ко - капитальные затраты

Пч - прибыль

Исходя из плана мероприятий и составленных плановых смет на эти мероприятия, расходы составят 9870 тыс. рублей, планируемый прирост прибыли - 6900 тыс. рублей, тогда:

Т =9870 / 6900 = 1,43 года

Рассчитаем срок окупаемости другим - динамическим методом с использованием коэффициента дисконтирования, который является более точным. В процессе работы чистая прибыль в конечном итоге возмещает затраты. Однако полученные при этом суммы результатов (прибыли) и затрат по годам приводят к единому времени - расчетному году (за расчетный год принят 2010 год) путем умножения результатов и затрат за каждый год на коэффициент дисконтирования (&), который рассчитывается по формуле (3.2)

&=1/(1+Еn)^t (3.2)

где En - норматив приведения разновременных затрат и результатов;

t- номер года результаты и затраты которого приводятся к расчетному.

Норматив приведения разновременных затрат и результатов (En) для PR - деятельности принимается равным 0,1. Следовательно, коэффициентам приведения по годам будут соответствовать следующие значения:

&=1/(1+0,1)^0=1 -2012 (расчетный) год

&=1/(1+0,1)^1=0,91 -2013 год

&=1/(1+0,1)^2=0,83 -2014 год

&=1/(1+0,1)^3=0,75 - 2015 год

Расчет эффективности от внедрения приведен ниже (таблица 3.2):

Таблица 3.2 - Расчет экономического эффекта

Показатель

Ед. изм.

Значение по годам



2012

2013

2014

2015

Годовой прирост прибыли

тыс. руб

-

6900

6900

6900

Коэффициент дисконтирования

-

1

0,91

0,83

0,75

Дисконтированная прибыль

тыс. руб.

-

6279= 6900*0,91

5727

5175

Капитальные вложения

тыс. руб.

-9870

-

-

-

Чистая дисконтированная прибыль (ЧДП)

тыс. руб.

-9870

-3591 (6279- 9870)

2136 (5727-3591)

7311 (5175+2136)


Представленные в таблице 3.2 данные отразим на графике (рисунок 3.2).

Рисунок 3.2 - Период окупаемости затрат

Таким образом, на основании таблицы и графика делаем вывод, что прибыль от осуществления запланированных мероприятий по модернизации сайта начиная с 2014 года возрастет, что свидетельствует о положительном экономическом эффекте. Следовательно, предлагаемый план мероприятий принесет положительный экономический эффект.

С целью улучшения финансового состояния предприятия и обеспечения возможности покупателям своевременно рассчитываться по своим обязательствам, для него было бы целесообразно ввести в практику использование скидок на реализуемые товары в зависимости от ускорения оплаты.

Суть предоставления данной скидки заключается в том, что чем скорее будет оплачен товар покупателем, тем больший размер скидки будет ему предоставлен. Предоставление скидок определяется сроками оплаты товара, а их размер - ставкой процента за кредит банка, в котором обслуживается предприятие, и количеством дней после отгрузки товаров, по истечении которых будет осуществлена оплата в соответствии с договором.

При максимальных сроках оплаты скидка не предоставляется.

Размер скидки в зависимости от сроков оплаты рассчитывается по формуле:

Соп = (П / 365) ´ Ка, (3.3)

где Соп - размер скидки с цены в зависимости от сроков оплаты, %;

П - процентная ставка за банковский кредит;

Ка - количество дней, не подлежащих «кредитованию».

Количество дней, не подлежащих «кредитованию», определяется по формуле:

Ка = М - К, (3.4)

где М - принятый предприятием максимальный срок отсрочки оплаты товаров, дней;

К - количество дней, в течение которых в соответствии с договором будет осуществлена оплата.

На предприятии ОАО «Электрон» максимальный срок оплаты поставленной продукции 45 дней. Процентная ставка за кредит банка 55%.

Договорами с покупателями можно предусмотреть следующие условия оплаты отгружаемой продукции: предоплата, оплата в течение 5 дней, 10 дней, 15 дней, 30 дней. Результаты расчета размера скидок представлены в таблице 3.3.

Таблица 3.3 - Размеры возможных скидок с отпускных цен в зависимости от сроков оплаты

Сроки оплаты, дней

Предоплата

5

10

15

30

Размер скидки, %

6,8

6,0

5,3

4,5

2,2


Данные таблицы 3.3 графически отображены на рисунке 3.3.

Рисунок 3.3 - Размеры возможных скидок с цен в зависимости от сроков оплаты

Размеры предоставляемых скидок с отпускных цен в зависимости от сроков оплаты должны стимулировать ускорение оплаты, поэтому они могут отклоняться от величин возможных скидок полученных при расчетах.

Условия и сроки оплаты предварительно оговариваются в заключенных с покупателями договорах купли-продажи. Если расчеты осуществляются по ценам, отличным от помещенных в прейскурант организации на размер предоставляемой скидки отпускные цены (тарифы) должны согласовываться с покупателями в спецификациях (приложениях к договору), которые являются протоколами согласования цен.

Правильное использование вышеперечисленных систем скидок на реализуемые товары ОАО «Электрон» позволит: стимулировать сбыт в продвижении товаров к конечному потребителю; повысить выручку; закрепить и значительно увеличить клиентскую базу; выровнять объемы спроса в течение года; повысить результаты финансовой деятельности предприятия.

Заключение

Сбыт характеризуется как распределение и движение товара от производителя до потребителя. Это деятельность предприятия, направленная на обеспечение доступности товара для покупателя, выполнение всех операций с товаром с момента завершения производства до передачи покупателю.

Организационно-коммерческие функции сбыта связаны с установлением коммерческих взаимоотношений с посредниками и покупателями при продаже продукции предприятия. Выполнение этих функций предполагает следующие виды оперативной сбытовой деятельности: установление контактов с посредниками и покупателями; подготовка и заключение договоров; организация исполнения договорных обязательств.

Канал распределения - это путь, по которому товары движутся от производителя к потребителю, представляющий собой совокупность организаций или отдельных лиц, принимающих на себя право собственности на конкретный товар или услугу на пути от производителя к потребителю.

Канал распределения может быть обеспечен множеством различных участников. К участникам канала распределения относятся производители и различного рода посредники.

Для увеличения объемов продаж и более плодотворной работы с уже сформировавшейся базой потребителей предлагается периодически проводить исследование покупателей ОАО «Электрон», т.е. локальное маркетинговое исследование, касающееся уровня удовлетворения запросов потребителей.

Сайт ОАО «Электрон» отличается довольно хорошим дизайном, оригинальностью. Но недостатком сайта, во-первых, является то, что на нем представлено в целом очень мало информации. Во-вторых, на сайте отсутствует обратная связь с посетителями, с помощью которой можно было собирать информацию о потребителях, проводить опросы с помощью анкетирования. Для устранения описанных выше недостатков предлагается усовершенствовать сайт предприятия так, чтобы с его помощью можно было бы проводить исследования потребителей. Рассчитанный срок окупаемости предлагаемых мероприятий - 1,43 года.

От условий оплаты поставляемой продукции во многом зависят финансовое состояние предприятия, его возможности своевременно рассчитываться по своим обязательствам. Ввиду этого на ОАО «Электрон» целесообразно применять предоставление скидок с отпускных цен в зависимости от сроков оплаты за поставляемую продукцию (например, предоплата, оплата в течение 5 дней, 10 дней и т. д.). У предприятия ОАО «Электрон» суть предоставления скидки за ускорение оплаты заключается в том, что чем скорее будет оплачен товар, тем большая скидка предоставляется его покупателю. Предоставление скидок определяется сроками оплаты товара, а размер - ставкой процента за кредит банка, в котором обслуживается предприятие, и количеством дней после отгрузки товаров, по истечении которых будет осуществлена оплата в соответствии с договором.

Список использованных источников

.Альбеков А.У., Федько В.П., Митько О.А. Логистика коммерции. - Ростов-на-Дону: Феникс, 2008. - 512с.

.Бауэрсокс Доналд Дж., Клосс Дейвид Д. Логистика: интегрированная цепь поставок, 2-е изд. / Пер. с англ. - М.: ЗАО «Олимп-Бизнес, 2008.- 640 с.

.Болт Г.Дж. Практическое руководство по управлению сбытом. СПб.: Питер, 2009. - 427 с.

.Гаджинский А.М. Логистика. - М.: Информационно-внедренческий центр "Маркетинг", 2010. - 228с.

.Голиков Е.А. Маркетинг и логистика. - М.: Издательский дом "Дашков и Ко", 2007.- 412с.

.Голубков Е.П. Маркетинг. М.: Дело, 2008. - 588 с.

.Гордон М.П., Карнаухов С.Б. Логистика товародвижения. - М.: Центр экономики и маркетинга, 2009. - 208с.

.Джоббер Д., Ланкастер Д. Продажи и управление продажами. Мн.: Амалфея, 2004. - 537 с.

.Дурович А.П. маркетинг в предпринимательской деятельности. Мн.: НПЖ «Финансы, учет, аудит», 1997. - 464 с.

.Ланкастер Д., Джоббер Д. Организация сбыта. Мн.: Амалфея, 2009. -415 с.

.Логистика: учеб. пособие/ под ред. И.И. Полещук. Мн.: БГЭУ, 2008. - 431 с.

.Снабженческо - сбытовая деятельность: Учеб. пособие / Т.Н. Байбардина, И.И. Грищенко, Л.И. Старовойтова и др.; Под общ. ред. Т.Н. Байбардина. Мн.: ЗАО «Техноперспектива», 2004. - 453 с.

Приложение

Анкета для опроса покупателей

Похожие работы на - Разработка предложений по совершенствованию системы продаж продукции ОАО 'Электрон'

 

Не нашли материал для своей работы?
Поможем написать уникальную работу
Без плагиата!
Без нейросетей!