Расчет двигателя внутреннего сгорания
Курсовой
проект
Тема
Расчет
двигателя внутреннего сгорания
Пункт 1. Исходные данные
тепловой двигатель динамический
Исходные данные и основные параметры для
теплового расчёта
. Мощность 550кВт
. Число оборотов 600
об/мин
. Число цилиндров 8
. Степень сжатия
=
12-17
Принимаю
=
16
. Значение средних показателей политропы:
Сжатие n1=1,35-
1,42
Принимаю n1=
1,37
Расширение n2=
1,2-1,27
Принимаю n2=
1,25
6. Степень повышения давления л= 1,5-2,5
Принимаю л=1,6
. Коэффициент избытка воздуха б=1,8-2,2
Принимаю б=2
8. Отношение хода поршня к диаметру
цилиндра S/D=
0,8-1,85
. Механический КПД двигателя ŋм=0,7-0,92
Принимаю ŋм= 0,8
Пункт 2. Тепловой расчёт
.Расчёт параметров процесса наполнения:
а. Давление атмосферного воздуха
б. Температура окружающего воздуха
в. Давление в цилиндре в конце наполнения
г. Давление выпускных газов
д. Подогрев воздуха от стенок цилиндров
е. Температура воздуха с учётом подогрева
от стенок цилиндра
ж. Коэффициент остаточных газов
з. Температура остаточных газов Тr
=
600-900 К
Принимаю:
и. Определяем температуру воздуха в конце
наполнения
. Расчёт параметров процесса сжатия
а. Определяем давление в конце сжатия
б. Определяем температуру в конце сжатия
в. Определяем температуру в конце сгорания
Принимаю:
г. Определяем максимальное давление цикла
д. Определяем степень предварительного
расширения
е. Определяем степень последующего расширения
. Расчёт параметров процесса расширения
а. Определяем температуру газа
в конце расширения
б. Определяем давление газов в конце
расширения
4. Определяем эффективные показатели работы
двигателя
а. Определяем среднее индикаторное
давление теоретического цикла
б. Определяем среднее индикаторное давление
с учетом поправки на полноту диаграммы
Где
в. Определяем среднее эффективное давление
г. Определяем удельный индикаторный расход
топлива
д.
Определяем индикаторный КПД
е. Определяем удельный эффективный расход
ж. Определяем эффективный КПД
з. Определяем диаметр цилиндра
=
=
Где, Ne-
эффективная мощность двигателя (Вт)число рабочих ходов во всех цилиндрах
двигателя за
оборот коленчатого
вала
Где, к- коэффициент тактности для всех 4х =0,5
z- число цилиндров
См- средняя скорость хода поршня 6-13
м/с
Принимаю См=6
и. Определяем ход поршня
Где, n-
число оборотов
к. Проверяем отношение S/D
Принимаю S/D=0,26/0,25=1
Пункт 3. Порядок построения индикаторной
диаграммы
По результатам теплового расчета строится
теоретическая
диаграмма. Для ее построения необходимо выбрать
масштаб для
осей давления и объем.
а. Выбираем масштаб для оси объемов
б. Выбираем масштаб для оси давления
в. Определяем объем камеры сжатия в
масштабе по формуле:
Где, ɛ-
степень сжатия.
г. Определяем объем конца сгорания в
масштабе
Где, с- степень предварительного расширения
д. Определяем рабочий объем в масштабе
е. Переводим величины давлений в
характерных точках цикла,
в отрезки, путем умножения их на масштаб для
давлений
ж. Отложим в масштабе базу диаграммы и
проведем линию пуска
и выпуска. Разделим объем
на
десять равных частей и
вычислим промежуточные значения давления для
каждой
части объема линии сжатия и расширения.
После вычислений наносим на диаграмму
характерные точки.
Затем наносим промежуточные точки линии сжатия и
расширения. Полученные точки соединяем плавными
линиями.
з. Определяем ординаты точек линии сжатия
и. Определяем ординаты точек линии процесса
расширения

Пункт 4. Проверка показателей работы двигателя
а. Определяем площадь индикаторной
диаграммы путём
подсчета клеточек и определяем среднее индикаторное
давление:
Fд-
площадь диаграммы в мм2
б. Определяем среднее индикаторное давление
с учётом поправки
на полноту диаграммы
в. Определяем среднее эффективное давление
г. Определяем удельный индикаторный расход
топлива
д. Определяем удельный эффективный расход
топлива
е. Определяем индикаторный КПД
ж. Определяем эффективный КПД
з. Определяем диаметр цилиндра
=
=
и. Определяем ход поршня
к. Проверяем отношение S/D
л. Составляем проверочную таблицу
|
Величина
|
Обозначение
|
Значения
|
Расхождение,
%
|
|
|
Расчетное
|
Фактическое
|
|
|
Среднее
индикаторное давление, МПа
|
Рi
|
0,6
|
0,57
|
5,3
|
|
Среднее
эффективное давление, МПа
|
Ре
|
0,46
|
0,42
|
9,5
|
|
Удельный
эффективный расход топлива, кг/кВт∙ч
|
Ge
|
0,3
|
0,27
|
11,1
|
|
Эффективный
КПД
|
зe
|
0,3
|
0,32
|
6,7
|
|
Диаметр
цилиндра, м
|
D
|
0,25
|
0,26
|
4
|
|
Ход
поршня, м
|
S
|
0,26
|
0,26
|
0
|
Пункт 5. Динамический расчет и построение
диаграммы удельных сил инерции
. Определяем массу поступательно
движущихся частей (п.д.ч.)
а. Определяем вес поршня

D- диаметр цилиндра
в дм
б. Определяем вес шатуна
Где, К=30 Н/м2
в. Определяем вес п.д.ч.
г. Определяем массу п.д.ч.
д. Определяем угловую скорость вращения
коленчатого вала
е. Определяем площадь поршня
ж.
Принимаем отношение радиуса кривошипа к длине шатуна
Из этой формулы определяем длину шатуна
Где, R- радиус
кривошипа
з. Принимаем масштаб ординат для
построения диаграммы
сил инерции такой же как и для давлений
МПа = 30мм= К0
и. Определяем удельную силу инерции при
положении поршня
в ВМТ
к. Определяем удельную силу инерции при
положении поршня
в НМТ
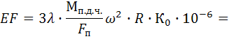
л. Определяем величину отрезка EF
м. Переводим величины сил инерции в мертвых
точках в
отрезки, путем умножения их на масштаб
н. Производим построение диаграммы удельных
сил инерции п.д.ч. на участке АВ= Vs
по индикаторной диаграмме.
Из точки А восстанавливаем перпендикуляр вверх
равный силам инерции в ВМТ. Из точки В опускаем перпендикуляр вниз равный силам
инерции в НМТ. Полученные точки С и D
соединяем тонкой линией. Из точки пересечения Е опускаем перпендикуляр вниз
равный отрезку ЕF. Соединяем
точки CF и FD.
Полученные отрезки делим на равное количество частей (6-8) и тонкими линиями
соединяем одноименные точки. По верху этих линий проводим плавную прямую,
которая и будет являться кривой сил инерции п.д.ч.
Пункт 6. Порядок построения диаграммы движущих и
касательных усилий
а. Проводим горизонтальную линию ММ,
равную четырем отрезкам АВ (4АВ=4Vs)по
индикаторной диаграмме.
б. Делим этот отрезок на четыре равных
участка.
в. Принимаем линию ММ за атмосферную (P0)
и строим на ней развернутую индикаторную диаграмму.
г. На каждом участке строим кривую сил
инерции в зеркальном отражении. Отрезок Рu0
откладываем в точках 0о, 360о, 720о вверх;
отрезок Рu180
откладываем вниз в точках 180о и 540о.
д. Проводим линию NN,
равную и параллельную линии ММ на расстоянии 20- 30 мм ниже ее. Делим ее на
четыре равных участка. И на каждом участке радиусом ½
АВ проводим полуокружности из центра О.
е. На каждом участке откладываем поправку
Брикса 00’= Ѕ лR
ж. Из точки 00’ проводим деление
полуокружностей через каждые 15о.
з. Из каждой точки деления дуги
восстанавливаем перпендикуляр до пересечения с кривой сил инерции и кривой
давления газов, и замеряем высоту ординат между этими кривыми, которые
показывают нам движущие усилия.
и. Результаты измерений заносим во вторую
колонку таблицы с учетом знака.
к. Значение функции
записываем
в третью колонку таблицы.
л. По данным второй колонки таблицы строим
диаграмму движущих усилий на линии LL
равной ММ.
м. По данным расчетов в последней колонке
таблицы строим диаграмму касательных усилий на линии РР.
|
ϕ0
|
Рд,
мм
|
Sin )/
|
Рк,
мм
|
|
0
|
|
0
|
2колонка*на3ю
|
|
15
|
|
0,321
|
|
|
30
|
|
0,608
|
|
|
45
|
|
0,832
|
|
|
60
|
|
0,975
|
|
|
75
|
|
|
90
|
|
1
|
|
|
105
|
|
0,903
|
|
|
120
|
|
0,757
|
|
|
135
|
|
0,581
|
|
|
150
|
|
0,391
|
|
|
165
|
|
0,196
|
|
|
180
|
|
0
|
|
|
195
|
|
0,196
|
|
|
210
|
|
0,391
|
|
|
225
|
|
0,581
|
|
|
240
|
|
0,757
|
|
|
255
|
|
0,903
|
|
|
270
|
|
1
|
|
|
285
|
|
1,029
|
|
|
300
|
|
0,975
|
|
|
315
|
|
0,832
|
|
|
330
|
|
0,608
|
|
|
345
|
|
0,321
|
|
|
360
|
|
0
|
|
|
375
|
|
0,321
|
|
|
390
|
|
0,608
|
|
|
405
|
|
0,832
|
|
|
420
|
|
0,975
|
|
|
435
|
|
1,029
|
|
|
450
|
|
1
|
|
|
465
|
|
0,903
|
|
|
480
|
|
0,757
|
|
|
495
|
|
0,581
|
|
|
510
|
|
0,391
|
|
|
525
|
|
0,196
|
|
|
540
|
|
0
|
|
|
555
|
|
0,196
|
|
|
570
|
|
0,391
|
|
|
585
|
|
0,581
|
|
|
600
|
|
0,757
|
|
0,903
|
|
|
630
|
|
1
|
|
|
645
|
|
1,029
|
|
|
660
|
|
0,975
|
|
|
675
|
|
0,832
|
|
|
690
|
|
0,608
|
|
|
705
|
|
0,321
|
|
|
720
|
|
0
|
|