Проектирование и техническая эксплуатация судового вспомогательного энергетического оборудования

  • Вид работы:
    Курсовая работа (т)
  • Предмет:
    Транспорт, грузоперевозки
  • Язык:
    Русский
    ,
    Формат файла:
    MS Word
    71,07 Кб
  • Опубликовано:
    2013-04-19
Вы можете узнать стоимость помощи в написании студенческой работы.
Помощь в написании работы, которую точно примут!

Проектирование и техническая эксплуатация судового вспомогательного энергетического оборудования

Министерство транспорта Российской Федерации

Государственное образовательное учреждение

высшего профессионального образования

Волжская государственная академия водного транспорта

Кафедра эксплуатации судовых энергетических установок

Пояснительная записка

Проектирование и техническая эксплуатация судового вспомогательного энергетического оборудования











Нижний Новгород 2012

Содержание

1. Введение

. Общие характеристики судна-прототипа, его вспомогательных механизмов, систем и устройств

. Оборудование и механизмы судовых устройств

.1 Рулевое устройство

.1.1 Выбор типа рулевого органа, их числа и расположения

.1.2 Определение геометрических характеристик

.1.3 Выбор рулевой машины

.2 Подруливающее устройство

.3 Якорно-швартовное устройство

.3.1 Якорные устройства

3.3.2 Швартовные устройства

3.4 Спасательные устройства

.5 Буксирные устройства

. Оборудование и механизмы общесудовых и специальных систем

.1 Осушительная система

.2 Балластная система

.3 Противопожарные системы

.4 Система водоснабжения

.5 Система сточная и фановая

. Расчёт брашпиля

6. Рекомендации по технической эксплуатации якорного брашпиля

Заключение

Список использованных источников

1. Введение

Целью курсового проекта является закрепление теоретических знаний, приобретённых при изучение курсов «Гидравлика и гидравлические машины», «Судовое вспомогательное энергетическое оборудование», «Судовые вспомогательные механизмы, устройства и системы».

Курсовой проект состоит из двух частей. В первой части предусматривается определение параметров и подбор оборудования общесудовых систем, а также оборудования и механизмов судовых устройств. Вторая часть проекта включает в себя расчёт и проектирование брашпиля.

2. Общая характеристика судна-прототипа и его вспомогательных механизмов, систем и устройств

Тип судна - сухогрузный теплоход - площадка с деревянным тентом, МО и надстройкой в кормовой части. Проект № Р40.

Назначение судна - перевозка генеральных сыпучих и навалочных грузов, промышленного оборудования и грузов в контейнерах.

Класс Речного Регистра и район плавания - «О», река Лена до бухты Тикси.

Размеры судна габаритные:

длина- 68,42м; ширина- 14,4м.

Водоизмещение судна с грузом 800т и запасами-1159т.

Грузоподъёмность судна- 800т.

Скорость судна:

с полным грузом при осадке 1,55м- 19км/ч

порожнем- 20км/ч

Мест для экипажа- 9

Автономность- 20сут.

Главные двигатели:

Марка- 8NVD36

Количество- 2 (правой и левой модели)

Мощность- 294 кВт

Частота вращения- 500об/мин

Пуск воздухом давлением- 2,94Мпа

Дистанционное управление - механическое

Движители:

Гребной винт

Количество- 2

Диаметр- 1,2м

Число лопастей- 4

Электростанция:

Дизель - генератор- ДГА- 50-9

Дизель- 6412/14

Мощность- 58,8кВт

Генератор - МС94-4

Род тока - переменный

Дизель - генератор - ДГ-12/1-1

Дизель-24 10,5/13

Мощность- 14,7кВт

Генератор - МСА 72-4

Род тока - переменный

Общесудовые системы:

Балластно-осушительная система

Балластный отсек вместимостью- 328м3

Балластно-осушительный насос

Подача- 120м3

Напор - 20м

Осушительный эжектор - водоструйный

Подача- 25м3

Противопожарная система

Система водотушения

Пожарный насос- ЗК-6а

Подача- 30-45м3

Напор- 45-30м

Система водоснабжения

Санитарный насос- 1ВС-0,9

Подача- 1-3,5м3

Напор- 36-12м

Система отопления

Котёл- ВНИИСТО№14

Система вентиляции - естественная

Рулевое устройство

Руль балансирный

Количество- 2

Площадь- 2,88м2

Рулевая машина ручная с валиковым приводим.

Якорное устройство

Якорь Холла

Количество и масса якорей- 1*700; 1* 500кг

Калибр и длина цепей- 28*100(мм*м); 28*125(мм*м)

Брашпиль- электроручной, модель 2

Тяговое усилие на звёздочке- 60кН

Кормовой шпиль - ШЭР1, электроручной

Тяговое усилие на швартовном барабане-10кН

Спасательное устройство

Спасательная шлюпка «Казанка» с подвесным мотором

Шлюпбалка - поворотная

Лебёдка - ручная.

3. Оборудование и механизмы судовых устройств

.1 Рулевое устройство

.1.1 Выбор типа рулевого органа, их числа и расположения

По [1], стр. 16 принимаем профилированные рули. Число рулей принимаем по числу гребных винтов- 2, расположенных по бортам за винтами.

3.1.2 Определение геометрических характеристик

Суммарная площадь рулей ΣFP

ΣFP =L*T/z = 65*1.55/29=3.47м2

где L- расчётная длина судна, м;

Т- максимальная осадка (max из Т и Тk), м;

А=29- коэффициент, зависящий от класса судна.

F1= ΣFP/z =3,47/2=1,74м2

где z-число рулей.








Высота руля «h» принимается в зависимости от класса судна.

У судов класса «О» руль должен быть полностью погружён в воду.

=Tk-h1-h2

2=0,05-0,25м принимаем h2=0,1м

т. к. нет дифферента1=0,125h=Tk-0,125h-h2=Tk-h2/l,125=1,55-0,1/1,125=1,29м


Длина руля прямоугольной формы определяется из соотношения

=F1/h=l,74/l,29=l,35м

Относительное удлинение пера руля

λ=h/b=l,29/1,35=0,956 0,5≤ λ ≤3

Принимаем профиль NACA, рекомендуемый для рулей установленных за винтами. Принимаем балансирный руль.

Определяем длину балансирной части руля b0








b0= b*k= l,35*0.2=0,27

где k= 0,15-0,25- коэффициент компенсации, принимаем k=0,2









Рис. 1. Балансирный руль.

b0=0,3b=0,3*1,35=0,405м х=0,18b=0,18*1,35=0,243м

3.1.3 Выбор рулевой машины

Для выбора рулевой машины увеличиваем Мmax на 15% для учёта потерь на трение в опоре баллера.

М=7429* 1,15=8,54кНм

По [22] выбираем электрогидравлическую плунжерную двух рулевую машину Р08.

Характеристики рулевой машины Р08.

Номинальный крутящий момент на баллере руля, развиваемый рулевой машиной при работе:

а) основного насосного агрегата (α=±35°)- 24,5кНм

б) аварийного ручного насоса (α=±35°)- 6,4кНм

Наибольший рабочий угол поворота руля а от среднего положения на каждый борт-35+1°

Длительность перекладки руля:

а) с 35° одного борта на 30° другого борта на полном переднем ходу при работе основного насоса, не более 28сек;

б) с 20° одного борта на 20° другого борта при половинной скорости полного переднего хода, не менее 7 узлов - не более 60сек.

Установленная мощность электродвигателя- 2,2 кВт

3.2 Подруливающее устройство

Подруливающее устройство относится к средствам активного управления судами, они способны создавать боковую силу на судне, ход которого отсутствует. В соответствии с Правилами РРР [4], ч. 3, п. 2.6., подруливающее устройство рекомендуется устанавливать на судах, у которых площадь боковой проекции на ДП превышает 800м, при этом для грузовых судов учитывается так же площадь палубного груза.

Fб.п.=65*2+8*6=178м2<800м2 - поэтому подруливающее устройство отсутствует.

3.3 Якорно-швартовное устройство

Для надёжного закрепления судов и плавучих установок в различных условиях эксплуатации используются якорно-швартовные устройства.

3.3.1 Якорные устройства

Выбор якоря, цепи, стопоров и якорных механизмов (для носового и кормового якорных устройств). Выбор производим в соответствии с Правилами РРР [4].

Число и массу носовых якорей, длину якорных цепей определяем в зависимости от характеристики снабжения:

c=L(B+H)+kΣlh,

где k- коэффициент

т.к. длина надстроек и рубок меньше четверти длины судна, поэтому коэффициент "k" не учитывается.c=65*(14+2)=1040m2

По [4], табл. 3.31-2 для судов класса "О" принимаем при характеристике снабжения 1000м2:

Число якорей- 2

Суммарная масса якорей- 1000кг (два якоря по 500кг)

Суммарная длина цепей- 200м

По [1] выбираем:

Два якоря Холла ГОСТ 761-74 по m=500кг, исполнение К, обозначение 211-02.163.

Принимаем две носовые цепи по 100м.

По [1], табл. 3.3.1-2, стр. 174 принимаем при m=500кг:

цепь с распорками при категории прочности 1-26; 2-22

По [4] выбираем две цепи якорные сварные с распорками ГОСТ 228-79, исполнение 1, калибр 26, длина 100м, m=1 427кг.

Т.к. характеристика снабжения более 1000м2, то масса кормового якоря должна составлять не менее четверти суммарной массы носовых якорей

m=0,25*1000=250кг.

По [1] выбираем якорь Холла ГОСТ 761-74, исполнение П, m=250кг, обозначение 21-01.123.

Длина кормовой цепи L=75м, цепь с распорками калибра 1-16.

По [1] выбираем цепь: исполнение 7, ГОСТ 228-79, калибр-16, длина 75м, m=406кг.

Согласно [4] мощность привода якорного механизма должна обеспечивать подтягивание судна к якорю, отрыв и подъём любого из якорей со скоростью не менее 0,12м/с при номинальном тяговом усилие на звёздочке, равным: F=22,6md2, где m- коэффициент прочности; m=1- для цепей с распорками; d- калибр цепи, мм.

Для шпиля:=22,6*1*162=5785,6H

По [2] выбираем шпиль с электроприводом ЯШ1РД, калибр 16; тяговое усилие- 5,94кН скорость выбирания якорной цепи- 0,23м/с скорость выбирания швартовного каната- 0,19м/с

Наибольшие размеры швартовного каната:

диаметр стального по ГОСТ 3083-80- 11,5 см

Тип электродвигателя МАП 122-4/8

мощность- 2,2/1,5кВт

срок службы- 25 лет

Масса: с дистанционной отдачей якоря- 560кг;

без дистанционной отдачи якоря- 545кг.

Для шпиля выбираем стопор:

Тип II, калибр 16, обозначение 211-03.628, масса 34кг.

3.3.2 Швартовные устройства

По [6] разрывное усилие стального швартовного каната для судов с характеристикой снабжения более 1000м2:p-171+3,92*10-2(Nc-1000)=171+3,92*10-2*(1040-1000)=172,6кH.

По ГОСТ 30.055-93 выбираем пеньковый канат тросовой свивки.

длина окружности- 175 мм

диаметр- 56мм

линейная плотность- 2,370 ктскс (г/пог.м)

разрывная нагрузка каната в целом- 173кН (гр Б)

По [8] выбираем:

кнехт, ГОСТ 11265-73, тип IA- крестовый литой чугунный, длина окружности-200мм

диаметр тумбы-220мм, L=920мм, В=260мм, Н=490мм

Вьюшку стальную для буксирного швартовного каната, ОСТ 5.2109-74, тип II-безприводное с ленточным тормозом, правые, длина наматываемого каната-50м, масса 110кг.

Стопор выбираем по [8], табл. 8.6. (для швартовных канатов):

при L=175мм; В=322мм; Н=384мм; D=41,0мм, масса m=61кг.

Якорные механизмы являются швартовными.

3.4 Спасательные устройства

Спасательные устройства представляют собой комплекс спасательных средств, грузоподъёмных механизмов, а также конструкции для хранения по походному спасательных средств на судне. Снабжения судов коллективными и индивидуальными спасательными средствами должно производиться в соответствии с [7].

По [7] табл. 6.3.4. выбираем для судна класса "О" при L>30м- количество людей, обеспечиваемых коллективными спасательными средствами: шлюпками-100%, плотами-0, приборами-0.

Судно должно быть обеспечено спасательными жилетами исходя из обеспечения 100% людей, находящихся на борту.

По [7] табл. 6.4.4. для грузовых судов длиной L>30m- количество спасательных кругов- 4шт, из них самозажигающимся буйком- 1шт, с спасательным линем-1шт.

По [7] табл. 4. Выбираем гравитационную двухшарнирную шлюпбалку и шлюпочную лебёдку со следующими характеристиками:

Тип шлюпки- СШП-10.

Тип шлюпбалки- ШБ2Ш2.

Грузоподъёмность балок- 2000кг.

Количество людей, допускаемых к посадке в шлюпку:

при спуске- 10чел

при заваливании- 2чел.

Тип лебёдки- ЛШ2

Диаметр лопаря- 11мм

Канатоёмкость барабана- 40м

Скорость подъёма шлюпки- 5÷10м/мин.

3.5 Буксирные устройства

На судах транспортного и технического флота буксирные устройства используются эпизодически при вынужденных буксировках этими судами других судов, или когда они должны сами перемещаться с помощью буксира, ледокола или другого типа.

По [5], ч.III, п. 5.2.3. длина буксирного каната для судов класса "О" должна быть не менее 100м.

Разрывное усилие каната вычисляем в соответствии с требованиями пл.5,2.1 и 5.2.2:

Расчётная тяга на гаке:

=0,16Nc=0,16*588=94,08кН

где Nc- суммарная мощность главных двигателей, кВт.

Разрывное усилие каната в целом должно быть не менее:

o=кF=5*94,08=470,4кH

где к- коэффициент запаса прочности, к=5.

В стальных канатах применяемых в качестве буксирных, должно быть не менее 144 проволок и 7 органических сердечников.

По ГОСТ 3083-80 выбираем канат двойной свивки: D=38мм, разрывное усилие- 490,5кН, маркир.гр- 1372МПа(140кгс/мм2)

По справочнику [5] табл. 8.2. для диаметра стальных канатов d=1800мм; В=676мм, Н=1105мм, масса m=950кг.

По табл. 9.1. выбираем переносной держатель буксирного каната:

Предельная нагрузка Т=650кН.

Диаметр стального каната dк=(32÷41)мм.

Размеры: L=565мм, В=300мм, Н=360мм, h=143мм, b1=150мм, d=55мм, масса держателя m=60,0кг.

Для хранения буксирного каната выбираем банкет.

4. Оборудование и механизмы общесудовых и специальных систем

.1 Осушительная система

В соответствии с требованиями правил [4] на каждом самоходном судне с главными двигателями общей мощностью 220 кВт и более должно быть не менее двух осушительных насосов с механическим приводом, из которых один должен быть стационарным и включён в осушительную систему.

Осушительные насосы должны быть самовсасывающего типа. Могут быть использованы поршневые, вихревые насосы, эжекторы.

Для определения технических показателей осушительного насоса необходимо найти внутренний диаметр осушительной магистрали, по формуле:

1=l,5*√L*(B+H)+25,

где L, В, Н- главные размерения судна, м;1=1.5*√65*(14+2)+25=77,4 мм

Округляем до стандартного значения D1=80 мм.

Подача осушительного насоса, м3/ч, определяется по формуле:

=2826*D12*V,

где V- скорость движения воды в магистрали, принимаем равной 2 м/с;1- диаметр магистрали, округлённый до стандартного значения, м;=2826*0,082*3=54,2м3

По [3] выбирается центробежный самовсасывающий насос НЦС-3 ТУ 24-3-487-76.

Технические характеристики:

Подача, м3/ч- 8÷60 м3/ч (2,2-17л/с)

Напор, м- 21,7÷4,Зм

Вакууметрическая высота всасывания- 8÷6,5м

Мощность на валу- 2,4÷3,8 кВт

Частота вращения- 2880об/мин

Электродвигатель- 4A100S2

Мощность- 4кВт

Частота вращения- 3000об/мин=220B или 380В

Масса- 150кг

Срок службы- 5лет

Для осушения машинного отделения необходимо установить отдельный насос.

Определим внутренний диаметр осушительной магистрали, мм:

=l,5*√L*(B+H)+25,

где L- длина машинного отделения , принимаем по судну прототипу, L= 8м В и Н- главные размерения судна, м;=1,5*√8*(14+2)+25=42мм

Округляем до стандартного значения D=40мм

Подача осушительного насоса, м3/ч:=2826*D12*V=2826*0,042*3=13,6м3

Напор принимаем Н=21м- по рабочей характеристики насоса.

Выбираем центробежный самовсасывающий насос НЦС-3

Технические характеристики:

Подача, м3/ч- 8÷60 м3

Напор, м- 21,7÷4,Зм

Вакууметрическая высота всасывания- 8÷6,5м

Мощность на валу- 2,4÷3,8кВт

Частота вращения- 2880мин-1

Электродвигатель- 4A100S2

Мощность- 4кВт=220B или 380В

Срок службы не менее 5лет

Масса- 150кг.

Для сбора подсланевых и других нефтесодержащих вод, все суда оборудуются цистернами. Эти воды затем передаются на берег или в суда сборщики.

В соответствии с ОСТ 5.5064-83 при водоизмещении судна

=L*B*T*δ=65*14*1,55*0,833=1174,9м3

тонн накопление этих вод оценивается в 0,8 м3/сут.

Вместимость цистерны равна:

Vцчс=0,8*5=4,0м3

Для переработки этих вод выбираем из [17] табл.11 установку ОНВ со следующими характеристиками:

Производительность- 0,2м3/сут.

Габаритные размеры: L=l500мм

В=860мм

Н=2250мм

Масса- 927кг

Мощность- 2кВт

Срок службы- 10лет

4.2 Балластная система

В качестве балластного насоса может быть использован насос общесудового назначения достаточной подачи, в том числе осушительный, пожарный или резервный насос охлаждающей воды.

Подача балластного насоса определяется по вместимости наибольшей балластной цистерны.

=2826*DB2*V,

где V≥2м/с- скорость движения воды в магистрали, м/с.B- внутренний диаметр балластной магистрали, округлённый

до стандартного значения.

B=16*3√Vmax

где Vmax- вместимость наибольшей балластной цистерны, м3max принимаем равной 25% от полной вместимости балластных цистерн, которая составляет 15÷30% грузоподъёмности судна.

Vmах=0,25*(0,2σе)=0,25*0,2*800=40м3

DВ=16*3√40=54,7мм, округляем до 50мм.=2826*0,052*3=25,4м3

Напор принимаем равным 20м. Н=20м.

Насос марки КМ 45/30

Подача- 45м3

Напор- 20м

Частота вращения- 2900об/мин

Допустимый кавитационный запас- 4,5м

Мощность насоса- 3,4кВт

4.3 Противопожарные системы

Эти системы подразделяются на водяные, пенотушения, газотушения и объёмного химического тушения.

По правилам РРР, суда на которых устанавливаются источники энергии суммарной мощностью 110кВт и более, должны быть оборудованы системой водотушения с насосом, имеющим механический привод.

По табл. 3.1.5. [8] для судна длиной 65м.

Основной механический пожарный насос- 1

Покрывало для тушения пламени- 1

Пожарный инструмент- 1 комплект

Вёдра пожарные- 4

Основными элементами системы являются: пожарные насосы, магистральный трубопровод с ответвлениями, пожарные краны (рожки) и шланги (рукава) со стволами (брандспойтами). Внутренний диаметр пожарных рукавов- 51мм, длина пожарных рукавов: для открытых палуб- 20м; для палубных помещений-10м. Диаметр спрыска ручных стволов на открытых палубах судов грузоподъёмностью менее 1000т- 12мм. Диаметр магистральных трубопроводов и ответвлений от них должен быть таким, чтобы скорость воды не превышала 4м/с. В системах водяного пожаротушения по требованию Регистра давление у пожарных кранов должно быть не менее 0,25МПа, а подача насоса должна обеспечивать одновременную работу не менее трёх кранов. Расход через шланг с присоединённым шлангом и брандспойтом определяем из [3] по формуле:


где Рпк- избыточное давление жидкости у пожарного крана; Рпк-0,25*106 Па

ρ- плотность жидкости; ρ=1000кг/м3

μ- коэффициент расхода брандспойта; μ=1,0

dc- диаметр спрыска ствола брандспойта; dc=0,012мT- сопротивление трения шланга; из [3] табл. 1.1. для диаметра шланга

мм-0,15с23

Σζш- суммарный коэффициент местных сопротивлений шланга; Σζш -0,62

dш- диаметр шланга; dш =0,051м.

Qпк=2,5дм3/с=9,1м3

Минимально требуемая подача равна:

min=3*Qпк=3*9,l=27,3м3

Напор принимаем равным 50м.

Из [3] выбираем агрегат электронасосный центробежный консольный К 45/55 (3К-6У):

Подача- 45м3

Напор- 55м

Допускаемый кавитационный запас- 4,5м

Мощность- 10,7кВт

Частота вращения- 2900об/мин

Электродвигатель- 4A160S2

Мощность электродвигателя- 15кВт

Масса- 310кг

Так же на судне предусмотрена система пенотушения, противопожарная сигнализация и противопожарный инвентарь.

4.4 Система водоснабжения

Система водоснабжения включает в себя трубопроводы (системы) питьевой, мытьевой и забортной воды. Согласно [9] расчётная суточная величина расхода воды (питьевой и мытьевой) на одного человека q для грузовых судов грузоподъёмностью менее 1000т величина расхода равна 150л/чел.сут. Для обработки и обеззараживания воды на судах в последние годы широкое применение получили СППВ с использованием озонирования. Производительность СППВ, м3/ч, считая, что она работает 20 часов в сутки, можно определить по формуле:

=m3*(q/20)*(A/103)

где m3- коэффициент запаса, m3=1,3- для грузовых судов

А- число членов экипажа, А=9 человек=1,3*(150/20)*(9/103)=0,08775м3

По полученному значению из [11] табл. 12 выбираем станцию СППВ "Озон-0.1" со следующими показателями:

производительность- 0,1м3

габаритные размеры, мм; L*B*H 1270*535*2085

мощность- 0,2кВт

срок службы до капитального ремонта- 20лет

Вода для последующей обработки принимается из берегового водопровода или на условно чистых плёсах, определяемых санитарно-эпидемиологическими службами. Поэтому в составе системы должны быть запасные цистерны забортной воды. Вместимость запасных цистерн, м3, можно определить по формуле:

=(q/20)*(A/103)*τ

где τ - время нахождения судна на загрязнённом участке бассейна,

τ =50 для грузовых судов.=(150/20)*(9/103)*50=3,375м3

Подача насоса забортной воды:=V/τ =3,375/1,5=2,25м3

где τ - время заполнения запасных цистерн, когда судно проходит чистый плёс

Из [11] выбираем насос забортной воды ВКС 1/16А со следующими

характеристиками:

Подача- 3,6м3

Напор- 16м

Допустимый кавитационный запас- 4м

Мощность насоса- 0,6кВт

Частота вращения-1450мин-1

Электродвигатель- 4АМХ80В4

Мощность- 1,5кВт

Масса- 62кг

Насос, перекачивающий воду из запасной цистерны через фильтр, эжектор-смеситель и контактную колонну в накопительную цистерну (цистерну для хранения питьевой воды), входит в состав озонаторной установки и не выбирается. Для расчёта насоса, подающего воду от накопительной цистерны к пневмоцистерне (гидрофору), следует определить вместимость накопительной цистерны. Она определяется с учётом того, что весь расчётный расход воды, который можно достичь при работе с СППВ в течении 20 часов, расходуется в пиковом режиме за два часа.

нц=2*Kн*(q/20)*(A/103)

где Кн- коэффициент часовой неравномерности водопотребления, Кн=5,8 для грузовых судов

Vнц=2*5,8*(150/20)*(9/103)=0,783м3

Подача насоса определяется из условия опорожнения цистерн за два часа:

=Vнц/τ=0,783/2=0,39м3

Выбираем из [3] насос ВКС 1/16А, характеристики которой приведены выше.

Объём пневмоцистерны:

пц=Q*τ

где τ - время одного наполнения пневмоцистерны, τ =0,16ч

Vпц=0,39*0,16=0,062м3

По вычисленному объёму из [11] выбираем пневмоцистерну тип I, Рраб≤0,3МПа, со следующим показателями: Объём- V=0,2м3

Габаритные размеры: L=950мм; Н=946мм; п=220мм; П1=196мм; l=85мм

Количество отверстий n=2

Масса М=165,7кг

Автономная система забортной воды, предназначена для обеспечения санузлов и прочих нужд, оборудуется насосом и пневмоцистерной. Удельный расход воды qpa6 в данной системе принимаем равной 60л/чел.сут. Подача насоса определяется исходя из максимального потребления воды за время τ=3ч в период пиковой нагрузки:

Qзаб=(qзаб*А)/(1000* τ)=(60*9)/(1000*3)=0,18м3

Выбираем из [11] насос ВКС 1/16А

Вместимость пневмоцистерны:

пц=Q*τ =0,18*0,16=0,029м3

Выбираем такую же пневмоцистерну, как и в предыдущем случае.

4.5 Система сточная и фановая

судно якорный брашпиль рулевой

Вместимость сборочных цистерн сточной системы:

сц=(q/20)*(A/103)*τ

где τ - автономность плавания по срокам сдачи сточных вод, τ =5 суток=120ч

Vсц=(150/20)*(9/103)*120=8,1м3

Для очистки и обеззараживания сточных вод непосредственно на судне принимаем из [11], табл. 13 станцию очистку и обеззараживания сточных вод "Сток-10" со следующими техническими показателями:

Производительность- 0,5м3

Показатели обеззараживания сточной воды (не более):

БПК- 50мг/л

Взвешенные вещества- 50мг/л

Колииндекс- 1000

Мощность- 6

Масса-1500

Габаритные размеры, мм L*B*H 1970*960*2300

Срок службы- 15лет

Полезный объём цистерны фекальных стоков:

Vф=kф*qф*А*τ/1000

где kф=1,1- коэффициент запаса

qф - расчётное количество фекальных стоков на 1 чел в сутки

qф =16 для судов 1 группы

τ - максимальная продолжительность рейса между пунктами опорожнения цистерн,

τ=5 суток

Vф=1,1*16*9*5/1000=0,792м3

Подача фекального насоса:

Q=Vф

где τ =1ч- время работы фекального насоса в сутки

Q=0,792/1=0,792м3

Напор принимаем равным 20м.

Из [11] в качестве фекального насоса выбираем эжектор водоструйный фекальный с показателями:

Подача- 15м3

Высота нагнетания- 2÷4м

Высота всасывания- 2÷4м

Срок службы до списания- 10лет

Масса- 17,8кг

Для мусора принимаем специальные мусорные баки.

5. Расчёт брашпиля

Для надёжного закрепления судов и плавучих установок в различных условиях эксплуатации используется якорно-швартовные устройства. На строящихся судах не всегда можно использовать механизмы, находящиеся в производстве. Это приводит к созданию новых механизмов.

Определяем усилие, возникающее на звёздочке якорно-швартовного механизма.

Определяем внешнюю равнодействующую силу:

R=RB+RT+Rгp

где RB- равнодействующая сила ветра, приложенная к надводной части судна

RT- равнодействующая силы течения, приложенная к подводной части корпуса

Rгp- равнодействующая силы течения, приложенная к неподвижным гребным винтам.

Результирующая сила ветра:

RB=kнобВн

где kноб =0,7- коэффициент обтекания надводной части корпуса, зависящей от конфигурации надстройки судна

РВ- давление ветра, РВ=(ρВВ2)/2=(1,2*122)/2=86,4Па

ΩH- площадь проекции надводной части судна на миделевое сечение

ΩH =BhH+Σвihi=14*0,45+10*2,5+10*2,5+10*2,5=81,3м2

В - ширина судна

Нн - высота надводной части корпуса

вi, hi- ширина и высота отдельных надстроек

RB=0,7*86,4*81,3=4917H

Сила течения, действующая на подводную часть корпуса судна:

RT=ξ*(ρ*υT2/2)*Ωсм

где ξ =0,0035- коэффициент трения с учётом шероховатости подводной части судна

ρ=1000кг/м3- плотность

υт=5км/ч=1,39м/с- скорость течения воды

Ωсм - площадь смоченной поверхности корпуса судна

Ωсм=L(аТ+δвВ)=65*(1,36*1,55+0,833*1,24*14)=1076,98м2

где L, В, Т- соответственно длина, ширина, осадка судна

δ- коэффициент полноты водоизмещения, δ=0,833

а=1,36, в=1,24- коэффициенты, зависящие от формы оконечностей и

мидель-шпангоута в подводной части судна.T=0,0035*(1000*1,42/2)*1076,98=3694H

Сила потока воды на гребные винты

Rгр.в=zгр.вгр.в*Dв2т2

где zгр.в - число гребных винтов

Сгр.в =250кг/м3- параметр, увеличивающийся с возрастанием дискового отношения

Dв - внешний диаметр гребных винтов

Rгр.в =2*250*l,22*l,42=1411,2H=4917+3694+1411,2=10022,2H

Масса единицы цепи:

mц≈0,0213d2≈0,0213*262≈14,4кг/м

где d=26мм- калибр якорной цепи

Длина участка якорной цепи лежащей на дне 1ц=5m для судов класса "О".

Длина провисшей части цепи:


где Ня=40м- глубина заложения якоря

Процесс снятия судна с якоря делят на три основных периода: уборке цепи, лежащей на дне; выбирания провисающего участка цепи с отрывом якоря от грунта; вертикальный подъём якоря и цепи. Для каждого из указанных периодов определяем усилие на звёздочке якорно-швартовного механизма.

Уборка лежащей на дне цепи:

P1I =(1,2÷l,3)*(R+0,87mц*g*Hя) =l,25*(10022,2+ 0,87*14,4*9,8*40) =18666,47Н

Выбирание провисающего участка цепи:

P1II =(l,2÷l,3)*(0,87 (mя*g+mц*g*Hя)+ 2mя*g)= l,25*(0,87*(500*9,8+ 14,4*9,8*40)+2 *500*9,8) =23717,47Н

Вертикальный подъём якоря и цепи:III=(l,2÷l,3)*(mя+mц*Hя)*g=l,25*(500+14,4*40)*9,8=1381H- в начале периодаIII =(l,2÷l,3)*g*mя=l,25*500*9,8=6125H

По калибру цепи определяем размеры звёздочки:

Калибр цепи, мм

Dн.о, мм

Dрасч., мм

D, мм

Dг, мм

Dз, мм

R, мм

B, мм

b, мм

Z, мм

Z1, мм

α, град

D1, мм

26

340

320

405

375

178

98

115

45

7

3

72

405


Расстояние между осями звездочек брашпиля 800мм.

Ориентировочное передаточное число механизма с электроприводом i=170

Рис. 2. Профиль пятикулачковой звёздочки.

Определяем усилие в швартове

Ршв=1,572*σш*d2

где σш =10Н/мм2 - условное напряжение, которое рекомендуется принимать в следующих пределах 9,81÷12,75Н/мм2калибр якорной цепи, мм

Ршв=1,572*10*262=10626,72

По таблице выбираем диаметр швартовного каната dшв=17мм

По диметру швартовного каната определяем размеры швартовного барабана.

Диаметр стального каната, мм

D

L

A

Расчётные диаметры

B





Крутящего момента

Скорости каната






D1

D2


17,0

305

290

175

365

322

40


Рис. 3. Профиль швартовного барабана.

Определяем моменты на валу электродвигателя:

а) В период уборки лежащей на дне цепи

MI =(P1I*Dpaсч)/(2*i*η)

где Dрасч=320мм- расчётный диаметр тягового органапредельное число механизма i=170

η=0,73- общий КПД механизма

MI=(18666,47*320)/(2*170*0,73)=24066,2H*мм

б) Во второй период выбирания провисшей части цепи

MII =(Pmax*Dpacч)/(2*i*η)=(23717,47*320)/(2*170*0,73)=30578,53H*мм

в) В начале третьего периода подъёма якоря и цепи

MнIII= PIII*Dpacч)/(2*i*η)=(13181*320)/(2*170*0,73)==16994,04H*мм

г) В конце третьего периода

MкIII =( PIII*Dpacч)/(2*i*η)=(6125*320)/(2*170*0,73)=7896,86H*мм

д) При выполнении швартовных операций

Мшв=(Ршв*(Вшв+dшв))/(2*i*η)=(10626,7*(365+17))/(2*170*0,73)=16355,4Н*мм

где Dшв=365мм- диаметр швартовного барабанашв=17мм- диаметр швартовного каната

В качестве электродвигателей якорно-швартовного механизма по рекомендациям выбираем быстроходный двигатель смешанного возбуждения постоянного тока серии ДПМ.

Перегрузочная Характеристика этого класса электродвигателей позволяет развивать максимальный момент в двое больше номинального, достаточный для отрыва якоря от грунта. Так как в судовой сети судна находится переменный ток, то питание ДПМ осуществляется через выпрямитель. Номинальный момент электродвигатель:

МномII/2=30578,53/2=15289,3Н*мм≈15,ЗН*м

Мощность электродвигателя:

ном=Mном*nном/9550

где nном - номинальная частота вращения, мин-1

ном=(60*υ)/(π*Dрасч)*i=(60*0,15)/(3,14*0,32)*170=1522мин-1

υ=0,15м/с- скорость выбирания якорной цепи, регламентированная ПРРРном=15289,3* 1522/9550=2436,7Вт≈2,4кВт

По значениям Nном и nном отнесённых к получасовому режиму выбираем быстроходный двигатель смешанного возбуждения ДПМ11 по [21].

Параметры ЭД ДПМ 11:

Габаритные размеры: L=660мм, h=315мм

Мощность N=3кВт

Ток I=18А

Частота вращения n=1610об/мин

Для расчёта средней скорости выбирания якорной цепи используем графический метод.

На участке ав от М0 до МII характеристика строится по уравнению:

0=0,12* МII=0,12*30,579≈3,67H*M

Определяем продолжительность снятия судна с якоря:

τ1=lц.л./υ=5/0,l5=33,33с- уборка лежащей на дне цепи

τ2=lц.л.я/υ=90,2-40/0,15=334,67с- уборка провисшего участка цепи τ3я/υ=40/0,15=266,67с- продолжительность подъёма якоря.

Общая продолжительность выбирания якоря:

τ=τ123=33,33+334,67+266,67=634,67с

Средняя скорость выбирания:

υср=(lц1+lцп)/τ=(5+90,2)/634,67=0,15м/с

Скорость выбирания швартова:

υшв=(π*D2*n)/i=(З,14*0,322*1570)/170=9,34м/мин=0,156м/с

где n=1570об/мин - частота вращения ЭД, соответствующая моменту Мшв и определяется из графика.

Рассчитываем ручной привод для брашпиля из [20].

Наибольшая нагрузка, приходящаяся на одного работающего у брашпиля с рукояточными приводами, составляет:

Ppmaxmax/rp*zp

где rp=0,35м- радиус рукояткиp=2- число работающих

Мmах- максимальный момент на ведущем валу брашпиля

Mmax=(Pmax*Dpacч)/(2*i*η)

где i=5- передаточное число ручного брашпиля

Рmах= P1II≈23717,47Н

Мmах=(23717,47*0,32)/(2*5*0,73)=1039,67Н*м

Ррmах=1039,67/0,35*2=1485,24Н

Так как усилие на рукоятке Рmах=1485,24Н превышает допустимое в 160Н, то ручной привод не устанавливается. Ручной привод на брашпиле устанавливать не рекомендуется.

Частота вращения звёздочки брашпиля в передаточное число раз i=l70 должна быть меньше частоты вращения электродвигателя. Роль связующего звена в этой кинематической схеме играет редуктор, который уменьшает частоту вращения, увеличивает момент на грузовом валу.

Выбираем редуктор коническо-цилиндрический двухступенчатый КЦ1-200 с номинальным передаточным числом i=28 и главными размерениями:

А=200мм; Ач=375мм; L=900мм; Н=435мм; В=200мм; H1=225mm.

Так как передаточное число редуктора является ниже требуемого, то необходимо установить открытую передачу, которая бы обеспечивала условие:

м=Up*Uо.п.

где Uм- передаточное число якорно-швартовного механизма, Uм=170p=28- передаточное число редуктораo.п.- передаточное число открытой передачи.

о.п.=Uм/Up= 170/28=6,07

Из стандартного ряда передаточных чисел выбираем Uо.п.=6,3. В связи с чем корректируется передаточное число механизма Uм=6,3*28=176,4.

Найдём параметры открытой передачи: nэд=nб=1610об/мин

где nэд- частота вращения электродвигателя

nб- частота вращения быстроходной ступени редуктора

т=nб/Up=1610/28=57,5об/мин

где nт - частота вращения тихоходной ступени редуктора

nо.п.=nгр.в.= nт /Uо.п.=57,5/6,3=9,127об/мин

где nо.п.- частота вращения открытой передачи.

Крутящий момент на двигателе м.б. определяем по формуле:

Тдв=9550*(Рдв/nдв)=9550*(3/1610)=17,795Н*м

Крутящий момент на открытой передаче:

То.п.дв*Uмм=17,795*176,4*0,85=2668,2Н*м

где ηм=0,85- КПД механизма.

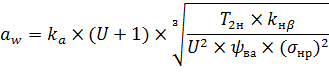
Определим межосевое расстояние зубчатой передачи:


где kа=495- вспомогательный размерный коэффициент=6,3- передаточное число открытой передачи

Тo.п.=2668,2Н*м- крутящий момент на валу

kнβ=1,3- коэффициент, учитывающий распределение нагрузки по ширине венца

σнр=466МПа

ψвa=0,25- коэффициент рабочей ширины венца зубчатого колеса

Из ряда стандартных межосевых расстояний выбираем аw=450мм

Определяем модуль зацепления: m=(0,01÷0,02)aw=4,5÷9

Принимаем m=6

Суммарное число зубьев передачи:

Zc=2*aw/6=2*450/6=150

Число зубьев шестерён:

zш=zc/U+l=150/6,3+1=21 зуб.

Число зубьев колеса:

zк=l50-21=129 зубьев.

Уточняем значение передаточного числа:уточн= 129/21=6,143

Частота вращения открытой передачи:

nо.п.=nт/Uуточн=57,5/6,143=9,36об/мин

Действительная скорость выбирания якорной цепи:

υд=(nо.п.*π*D)/60=(9,36*3,14*0,32)/60=0,157м/с

Диаметры делительных окружностей:

d1=m1*z1=6*21=126MM2=m1*z2=6* 129=774мм

Диаметры впадин:

dr1=d1+2.5m1=126-2,5*6=l 11мм

dr2=d2+2.5m1=774-2,5*6=759мм

Диаметры вершин:

dа1=d1+2m1=126+2*6=138мм

da2=d2+2m1=774+2*6=786мм

Ширина колеса: Bψ=0,25*450=112мм

Ширина шестерни: Вф=112+5=117мм


где Т- крутящий момент на выходе из редуктора

Т=Тдв*Uр*η=17,795*28*0,95=473,ЗН*м

где η=0,95- КПД редуктора.

Из за ослабления шпоночным пазом диаметр увеличиваем на 8%.=53мм

Диаметр вала в месте посадки зубчатого колеса:


Из за ослабления увеличиваем на 8% d=95мм.

Для передачи вращающего момента с электродвигателя на редуктор служит устройство, называемое муфтой. Для соединения вала ЭД с быстроходным валом редуктора выбираем: МУВП 1-45 МН 2096-64.

По определённым габаритным размерам, размерам тяговых органов и электродвигателя выполняется чертёж общего вида якорно-швартовного механизма.

6. Рекомендации по технической эксплуатации якорного устройства

Согласно правилам [4] якорное устройство судна должно удовлетворять требованиям ПРРР и обеспечивать при любых условиях плавания быструю отдачу и подъём якорей и надёжную стоянку на них судна, а якорное устройство в период эксплуатации судна должно быть всегда готово к действию. При осмотрах якорного устройства и технических уходах за ним необходимо особенно тщательно проверить наличие смазки на трущихся частях брашпилей и шпилей, а также уровень масла в редукторах, надёжность крепления якорей тормозом и стопорами, надёжность соединения коренных концов якорей цепей с устройствами для их отдачи, неисправность устройства для закрепления и отдачи коренного конца якорной цепи и самой якорной цепи, штыри соединительных звеньев.

Необходимо сладить за наличием и состоянием кожухов на якорно-швартовых механизмах и постоянно поддерживать их в исправности. Осмотр и обслуживание электрооборудования якорных устройств должны производиться в объёме и в сроки, предусмотренные графиком технических уходов, составленным в соответствие с действующими Правилами обслуживания электрооборудования и ухода за ними.

Запрещается выпускать судно в эксплуатацию при несоответствии якорного снабжения установленным нормам или неисправности якорного устройства, если:

а) якорные цепи не помещаются в цепных ящиках, концы цепей ненадёжно прикреплены к набору корпуса с помощью жвака-галса;

б) уменьшение диаметра цепей вследствие их износа превышает 20%;

в) обнаружение звеньев с выпавшими контрфорсами;

г) звенья, скобы и стопоры цепей, тормозы якорной машины имеют трещины или повреждения;

д) якорная цепь проскальзывает в звёздочке брашпиля, шпиля или в щеколде стопора;

е) неисправны смотры цепей, тормозное устройство брашпиля и шпиля, а также узлы дистанционной отдачи якоря;

ж) при отсутствии дистанционной отдачи якорной цепи не обеспечена возможность отдачи жвака-галса усилиями одного человека;

з) износ клюзов и стопоров препятствует нормальной работе устройства; и) ненадёжно действует дистанционная отдача якорей из рулевой рубки;

к) якорные цепи не подвергались испытанию и не имеют соответствующего свидетельства.

Заключение

В данном курсовом проекте было выбрано оборудование общесудовых систем, а также оборудование и механизмы судовых устройств. Произведен расчёт брашпиля.

Список использованных источников

1. Альбом ОРФ. Судовые устройства и дельные вещи.

. Альбом ОРФ. Палубные механизмы.

. Альбом ОРФ (компрессоры, насосы, эжекторы и вентиляторы).

. ПРРР т. 1. М. Маркин Нижинженеринг сервис. 1995г.-329с.

. ПРРР т.2. М. Маркин Нижинженеринг сервис. 1995г.- 395с.

. ПРРР т.З. М. Маркин Нижинженеринг сервис. 1995г.- 432с.

. Снабжение спасательными средствами. Расчёт, выбор и проектирование шлюпочных устройств. С.Г.Яковлев.

. Проектирование и техническая эксплуатация судового вспомогательного энергетического оборудования. Н.Н. Борисов, В.В. Королёв, Н.А. Пономарёв, С.Г. Яковлев. Н. Новгород. 1997г.

. Санитарные правила для речных судов Министерства здравоохранения СССР. Л. Транспорт. 1986г.-207с.

. Чиняев И.А. Судовые системы. М. Транспорт. 1984г.

. ПТМ 212-0140-85. Система бытового водоснабжения судов внутреннего плавания. Правила и нормы проектирования. Срок введения с 01.06.86.

. Правила безопасности труда на судах речного флота Минречфлота РСФСР. М. Транспорт. 1980

. Карюков В.А, Лукин Н.В. Гидравлические машины, вспомогательные механизмы и системы. Н.Н. ВГАВТ. 1994г.

. Башкиров В.Д. Атлас аэродинамических характеристик изолированных рулей. Горький. 1964г. Учебное пособие ГИИВТа.

. Справочник по серийным судам т.9.

. Альбом ОРФ. Котлы судовые, аппараты теплообменные, оборудование кондиционирования воздуха, пневмоцистерны, баллоны, фильтры, сепараторы.

. И. А. Тув. Судовые технические средства предотвращения загрязнений.

. Нукулаев С.М. Предотвращение загрязнений моря с судов. Учебное пособие для вузов. М. Транспорт. 1985г.

. Н.Г. Смирнов. ТУС. Учебник для речных училищ и техникумов. М. Транспорт. 1992г.

. Сизов Г.Н., Аристов Ю.Н, Лукин Н.В. Судовые насосы и вспомогательные механизмы. М. Транспорт. 1982г.

21. Судовые электроприводы. Справочник в двух томах. Судостроение. 1983.

. Анурьев В.И. «Справочник конструктора машиностроителя» т.3

Похожие работы на - Проектирование и техническая эксплуатация судового вспомогательного энергетического оборудования

 

Не нашли материал для своей работы?
Поможем написать уникальную работу
Без плагиата!
Без нейросетей!