Проектирование грузового автомобиля семейства КамАЗ
Содержание
1.
Анализ типажа прототипа
2.1
Определение полной массы автомобиля
2.2
Подбор пневматических шин
2.3
Определение мощности двигателя
2.4
Выбор типа коробки передач
2.5
Расчёт передаточного числа главной передачи
2.6.Определение
передаточного числа коробки передач на первой передаче
3.
Кинематическая схема трансмиссии
4.
Проектирование фрикционного сцепления
4.1
Определение статического момента трения
4.2
Определение наружного и внутреннего радиуса фрикционной накладки
4.3
Определение суммарного усилия пружин
4.4
Определение количества нажимных пружин
4.5
Определение основных размеров нажимного диска
4.5.1
Проверочный расчёт нажимного диска по окружной скорости
4.5.2
Определение массы нажимного диска
4.6
Расчёт работы буксования сцепления
4.7
Определение удельной работы буксования
4.8
Расчёт на нагрев нажимного диска
5.
Проектирование коробки передач
5.1
Определение основного размера КП
5.2
Расчёт редукторной части КП
5.2.1
Диаметр первичного вала в шлицевой части
5.2.2
Диаметр первичного и вторичного валов в средней части
5.2.3
Диаметр шейки вторичного вала под передний подшипник
5.2.4 Ширина
венцов зубчатых шестерён
5.2.5 Осевой
размер зубчатой муфты двухсторонней с синхронизатором
5.3
Картер КП
5.3.1
Длина картера
5.3.2
Зазор между стенками и вращающимися деталями
5.3.3
Зазор в днище
5.3.4
Уровень масла в КП
5.3.5
Величина перемычки между гнёздами подшипников
5.3.6
Предварительный расчёт массы КП
5.4
Расчёт суммарного числа зубьев в паре
5.5
Определение передаточных чисел промежуточных ступеней КП
5.6
Определение числа зубьев шестерён
5.7
Уточнённые передаточные отношения
5.8
Определение плотности ряда передаточных чисел
6.
Определение основных параметров рулевого управления
6.1
Исходные данные
6.2
Определение углов поворота управляемых колёс
6.3
Определение параметров рулевой трапеции
6.4
Определение величины угла Ф в основании трапеции
7.
Подбор типа несущей системы, подвески, тормозной системы, рулевого управления
7.1 Несущая
система
7.2
Состав несущей системы
7.3
Подвеска
7.4
Тормозное управление
.5
Рулевое управление
.
Описание тормозного управления
.
Техническая характеристика подвижного состава
Заключение
Список
литературы
1. Анализ типажа прототипа
двигатель трансмиссия подвеска
тормозной
Рис. 1 КамАЗ 4310
В 1960-х годах экономика СССР нуждалась в
увеличении парка грузовых автомобилей, особенно современного типа с
грузоподъёмностью от 8 до 20 тонн с более экономичным дизельным двигателем.
Существующие автомобильные заводы эту потребность восполнить не могли. Так, в
1969 году было принято Постановление ЦК КПСС и Совета Министров СССР о
строительстве комплекса заводов по производству большегрузных автомобилей в
Набережных Челнах. Этот населенный пункт, расположенный в самом центре
огромного государства, позволял обеспечить завод строительными материалами,
комплектующими, сырьем и оборудованием в быстрые сроки благодаря находящимся
рядом железным дорогам и судоходным рекам Кама и Волга.
Первые 5 грузовиков КамАЗ-4310 сошли с главного
сборочного конвейера, работающего еще только пуско-наладочном режиме, 16
февраля 1976 года. По традиции тех лет грузовики из первой партии были украшены
лозунгом «Наш трудовой подарок XXV съезду КПСС ». Пока коллектив КамАЗа продолжал
сборку автомобилей на главном конвейере в наладочном режиме из деталей,
полученных процессе пуско-наладки технологического оборудования, правительство
утвердило генеральную схему управления автомобильной промышленностью. 29
декабря 1976 года государственная комиссия во главе с министром автомобильной
промышленности СССР В.Н. Поляковым подписала акт о вводе в эксплуатацию первой
очереди Камского комплекса заводов по производству большегрузов. К концу 1976
года было выпущено 5000 автомобилей, в том числе которых были КамАЗ-4310.
Бортовой грузовой автомобиль КамАЗ-4310 (6х6)
был оборудован трехместной кабиной откидывающейся вперед. Кузов- металлическая
платформа с открывающимися боковыми и задними бортами.
На КамАз-4310 устанавливали V-образный
восьмицилиндровый четырехтактный дизель КамАз-740 мощностью 210л.с.
Трансмиссия была многоступенчатой и состояла из
механической пятискоростной коробки передач с двухступенчатым передним
делителем. Делитель снабжен синхронизатором, управление двигателем -
пневмомеханическое, преселекторное. Сцепление - фрикционное, сухое,
двухдисковое, с периферийными пружинами, привод выключения - гидравлический с
пневмоусилителем. Диаметр накладок - 350мм. Карданная передача - два карданных
вала.
Подвеска зависимая: передняя - на полуэллиптических
рессорах, с амортизаторами, с задними скользящими концами рессор. Задняя -
балансирная, на полуэллиптических рессорах, с реактивными штангами, концы
рессор - скользящие. Рабочая тормозная система - с барабанными механизмами,
двухконтурным пневматическим приводом. Стояночный тормоз - на тормоза тележки
от пружинных энергоаккумуляторов, привод - пневматический. Запасной тормоз -
совмещен со стояночным. Вспомогательный тормоз - моторный замедлитель с
пневматическим приводом. Привод тормозов прицепа - комбинированный (двух- и
однопроводный). Пневматический привод тормозов оборудован термодинамической
осушкой сжатого воздуха.
Рулевой механизм - винт с шариковой гайкой и
поршень-рейка, зацепляющая с зубчатым сектором вала сошки. Гидроусилитель -встроенный,
передаточное число рулевого механизма - 20.
2. Расчёт автомобиля
.1. Определение полной массы автомобиля
= mсн + mгр + mп(1+z) + mб(1+z), кг
п = 75 кг - масса пассажира= 2 - количество
пассажировб = 5 кг - масса багажа
ηq = 0,68 -
коэффициент использования массы
Принимаем ma = 15065 кг.
.2 Подбор пневматических шин
Определяем максимальную нагрузку на колесо

Подбираем шину: 280R508= 1280 мм
В = 600 мм= DH/2= 640 мм= rc*λш
= 640*0,96 =614,4 ммст=dст/2 = 317,5 мм
.3 Определение мощности двигателя
= 0,6 - коэффициент
обтекаемости= 4 м2 - лобовая площадь
Выбираем дизельный двигатель КамАЗ 740
= 600 об/мин
Рассчитываем внешнюю характеристику двигателя
с1 = 0,5 ; с2 = 1,5
Результаты расчета представлены в таблице 1.
Таблица 1
|
n
|
600
|
800
|
1000
|
1200
|
1400
|
1600
|
1800
|
2000
|
2200
|
2400
|
2600
|
|
Ne
|
31,3
|
45,7
|
61,2
|
77,4
|
94
|
110
|
139,9
|
140
|
152,5
|
163
|
171,2
|
|
Мкр
|
263
|
328
|
379
|
446
|
641
|
656
|
665
|
668
|
662
|
649
|
629
|
Внешняя характеристика двигателя:
Рис. 2 Внешняя характеристика Мкр = f(m)
Рис. 3 Внешняя характеристика Ne = f(m)
Выбираем трёхвальную пятиступенчатую
механическую коробку передач с прямой высшей передачей.
.5 Расчёт передаточного числа главной передачи
.6 Определение передаточного числа коробки
передач на первой передаче
Автомобиль на первой передаче должен
преодолевать максимальное дорожное сопротивление.
Автомобиль на первой передаче должен реализовать
максимальное тяговое усилие по условию сцепления колёс с дорогой.
Автомобиль на первой передаче должен иметь
возможность движения с минимально устойчивой скоростью.
Принимаем
3. Кинематическая схема трансмиссии
Рис. 4 Кинематическая схема трансмиссии
- двигатель; 2 - сцепление; 3 - карданные
передачи и шрусы; 4 - КПП; 5 - Карданные передачи ( не шрус); 6 -первый и
второй задние ведущие мосты; 7 - межосевой диффренциал; 8 -раздаточная коробка;
9 - передний ведущий мост.
4. Проектирование фрикционного сцепления
.1 Определение статического момента трения
.2 Определение наружного и внутреннего радиуса
фрикционной накладки
с
= 0,6 - отношение наружного радиуса к внутреннему
.3 Определение суммарного усилия пружин
.4 Определение количества нажимных пружин
Принимаем nпр=13
.5 Определение основных размеров нажимного диска
Принимаем Rнд = 0,133 м; rвд = 0,08 м.
.5.1 Проверочный расчёт нажимного диска по
окружной скорости
.5.2 Определение массы нажимного диска
- толщина диска
.6 Расчёт работы буксования сцепления
=0,09
.7 Определение удельной работы буксования
.8 Расчёт на нагрев нажимного диска

Рис. 5 Эскиз фрикционной накладки
5. Проектирование коробки передач
Проектируем трёхвальную пятиступенчатую
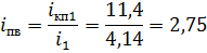
механическую коробку передач с iкп1 = 11,4; iкп5 = 1 для грузового автомобиля.
Максимальный крутящий момент двигателя Мкр = 637 Нм.
.1 Определение основного размера КП
Принимаем aw = 149 мм.
.2 Расчёт редукторной части КП
.2.1 Диаметр первичного вала в шлицевой части
Принимаем
.2.2 Диаметр первичного и вторичного валов в
средней части
Принимаем
.2.3 Диаметр шейки вторичного вала под передний
подшипник
Принимаем
.2.4 Ширина венцов зубчатых шестерён
.2.5 Осевой размер зубчатой муфты двухсторонней
с синхронизатором
.3 Картер КП
.3.1 Длина картера
.3.2 Зазор между стенками и вращающимися
деталями
5.3.3 Зазор в днище
Более 15 мм.
.3.4 Уровень масла в КП
На 40 мм выше оси промежуточного вала.
.3.5 Величина перемычки между гнёздами
подшипников
.3.6 Предварительный расчёт массы КП
- число передач
.4 Расчёт суммарного числа зубьев в паре
5.5 Определение передаточных чисел промежуточных
ступеней КП
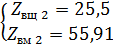
.6 Определение числа зубьев шестерён
Рис. 6 Кинематическая схема коробки передач
Исходя из конструктивных решений задаёмся числом
зубьев шестерни
Таблица 2
|
Тип
авто
|
Zвщ1
|
|
Легковой
|
15-17
|
|
Грузовой
|
12-16
|
вщ1=14.
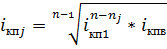
Определяем передаточное число i1.

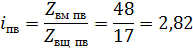
Определяем числа зубьев Zвщ пв и Zвм пв.
Принимаем Zвщ пв = 17, Zвм пв = 48.
Определяем числа зубьев шестерён второй
передачи.
Принимаем Zвщ 2 = 25, Zвм 2 = 56.
Аналогичным образом находим числа зубьев 3, 4, 5
передач. В результате получим:
)
)
.7 Уточнённые передаточные отношения
.8. Определение плотности ряда передаточных
чисел
. Определение основных параметров рулевого
управления
.1 Исходные данные
.2 Определение углов поворота управляемых колёс
.3 Определение параметров рулевой трапеции
Выбираем заднюю рулевую трапецию.
Рис. 7 Расчётная схема рулевой трапеции
=
=1870 = 1,8 м
=0.14*1870 = 0.26 м
Решая систему уравнений получаем
.4 Определение величины угла Ф в
основании трапеции
. Подбор типа несущей системы,
подвески, тормозной системы, рулевого управления
.1 Несущая система
Несущей системой называется рама или
кузов автомобиля, служащие для установки и крепления всех частей автомобиля.
Несущая система является одной из наиболее ответственных, сложных в
изготовлении, материалоёмких и дорогостоящих систем автомобиля.
.2 Состав
На автомобилях применяют лонжеронные
и хребтовые рамы различных конструкций. Наиболее распространены лонжеронные
рамы.
Рис.8 Рама автомобиля
Лонжеронная рама грузового
автомобиля состоит из двух лонжеронов 1, которые соединены между собой
отдельными поперечинами 2. Лонжероны отштампованы из листовой стали и имеют
швеллерное сечение переменного профиля. Наибольшая высота профиля - в средней
части лонжеронов, где они более всего нагружены. В зависимости от типа автомобиля
и его компоновки лонжероны могут быть установлены один относительно другого
параллельно или под углом, а также могут быть изогнуты в вертикальной и
горизонтальной плоскостях. К лонжеронам обычно приклёпывают кронштейны для
крепления кузова, устройств подвески колёс, механизмов трансмиссии, систем
управления и др. Поперечины выполнены штампованными из листовой стали. Они
имеют форму, обеспечивающую крепление к раме соответствующих агрегатов и
механизмов. Например, поперечина 4 приспособлена для установки передней части
двигателя. Лонжероны и поперечины соединены между собой клёпкой или сваркой. На
переднем конце рамы установлен буфер 5 и буксирные крюки 6. Буфер предназначен
для восприятия толчков и ударов при наездах и столкновениях, крюки - для буксировки
автомобиля. В задней части рамы грузового автомобиля расположено тягово-сцепное
устройство 3 для присоединения к автомобилю прицепов, буксируемых автомобилей и
т.д. В устройстве имеются крюк с запором и пружина или резиновый амортизатор
для гашения толчков и ударов при движении автомобиля с буксиром по неровной
дороге, при торможении и трогании с места.
.3 Подвеска
Подвеска служит для смягчения и
поглощения толчков и ударов, возникающих при движении автомобиля по неровной
дороге.
На грузовых автомобилях применяют
зависимые подвески, при которых оба колеса одного моста имеют упругую связь с
рамой. При наезде одного колеса на неровность его перемещение относительно рамы
передается другому колесу.
На автомобилях различают переднюю
подвеску, связывающую передний мост с рамой и заднюю подвеску, которая
соединяет с рамой одновременно промежуточный и задний мост.
Передняя подвеска зависимая,
рессорная, с телескопическими амортизаторами.
подвеска состоит из двух продольных
полуэллиптических рессор 12 с деталями крепления, четырех опорных кронштейнов 9
и 23, четырех резиновых буферов 4 и 6, двух амортизаторов 13. Каждая рессора
набрана из 15 листов разной длины, изготовленных из упругой стали. Верхний
самый длинный лист называется коренным, он имеет прямоугольное сечение,
остальные - Т-образное. В каждом листе выполнена выдавка, которая входит в
углубление нижележащего листа, тем самым листы фиксируются от продольных
смещений. От поперечных смешений листы удерживаются хомутами.
Рис. 9 Передняя подвеска автомобиля
КамАЗ 4310:
-болт крепления ушка; 2 - стяжной
болт; 3 - накладка ушка; 4, 8 - буферов; 5 - стремянка; 6 - накладка реестры; 7
- кронштейн опоры кабины; 9, 23 - кронштейн рессоры; 10 - накладка коренного
листа; 11 - палец, кронштейна; 12 - рессора; 13 - амортизатор; 14 - втулка
амортизатора; 15 - кронштейн амортизатора; 16 - палец амортизатора; 17 -балка
моста; 18 -проставка рессоры; 19 -масленка; 20 -палец ушка; 21 - втулка ушка;
22 - ушко рессоры; 24 - накладка стремянок.
Рис. 9 Задняя подвеска трехосного
автомобиля:
- промежуточный мост; 2, 3 -
кронштейны реактивных штанг; 4, 8 -кронштейны рессор; 5 - рессора; 6,15 -
кронштейн подвески; 7 -стремянка; 9 - задний мост; 10, 11, 14-реактивные
штанги; 12 - балансир; 13 - ось.
.4 Тормозное управление
Рабочая тормозная система состоит из
шести тормозных механизмов и пневматического привода.
На грузовых автомобилях применяются
барабанные, колодочные тормозные механизмы с внутренним расположением колодок.
Механизмы установлены во всех шести колесах.
Привод рабочей тормозной системы
предназначен для приведения в действие тормозных механизмов. Он является
составной частью общей пневматической системы автомобиля, в которую входят:
система питания пневмопривода тормозов сжатым воздухом, контур привода тормозов
колес передней оси, контур привода тормозов колес задней тележки, контур
привода тормозов стояночной и запасной тормозных систем, контур привода
вспомогательной тормозной системы и питания других потребителей, привод
тормозов прицепа, контур привода системы аварийного растормаживания тормозов
стояночной тормозной системы, а также система сигнализации и контроля за
состоянием пневматической системы и ее частей.
.5 Рулевое управление
Рулевой механизм со встроенным
гидроусилителем и передаточным числом 21,7. Механизм крепится болтами к
кронштейну левой рессоры. Водитель воздействует на. рулевой механизм через
рулевое колесо 1, рулевую колонку 2. карданную передачу 5, угловой редуктор 9.
Рис. 10 Рулевое управление
автомобиля КамАЗ 4310:
1 - рулевое колесо; 2 - рулевая
колонка; 3 - хомут; 4 - фланец; 5 - регулировочная гайка;6-карданная
передача;7-радндатор;8-распределнтель; 9-угловой редуктор; 10-рулевой механизм;
11-продольная рулевая тяга; 12-сошка; 13-вал сошки; 14-насос; 15-бачок.
Рулевая колонка крепится к верхней
панели кабины, с помощью хомута 3, в нижней части - при помощи фланца 4 к её
полу. Внутри колонки на двух шариковых подшипниках установлен рулевой вал.
Подшипники снабжены уплотнениями. Смазка в подшипники закладывается при сборке.
Осевой зазор в подшипниках регулируется гайкой 5. На верхнем конце вала
крепится рулевое колесо, нижний конец вала имеет канавку для крепления вилки
карданной передачи.
8. Описание тормозного управления
Автомобили КамАЗ оборудованы четырьмя
автономными тормозными системами: рабочей, запасной, стояночной и
вспомогательной. Кроме того, автомобиль оснащен приводом аварийного растормаживания,
обеспечивающим возможность возобновления движения автомобиля при автоматическом
его торможении из-за утечки сжатого воздуха, аварийной сигнализацией и
контрольными приборами, позволяющими следить за работой пневмопривода.
Система рабочая тормозная предназначена для
уменьшения скорости движения автомобиля или полной его остановки. Тормозные
механизмы этой системы установлены на всех шести колесах автомобиля. Привод
рабочей тормозной системы - пневматический двухконтурный, он приводит в
действие раздельно тормозные механизмы передней оси и задней тележки
автомобиля. Управляется привод ножной педалью, механически связанной с
тормозным краном. Исполнительными органами привода рабочей системы являются
тормозные камеры.
Система тормозная запасная предназначена для
плавного снижения скорости или остановки движущегося автомобиля в случае
полного или частичного выхода из строя рабочей системы.
Система тормозная стояночная обеспечивает
торможение неподвижного автомобиля на горизонтальном участке, а так же при уклоне
и при отсутствии водителя. Стояночная тормозная система на автомобилях КамАЗ
выполнена как единое целое с запасной и для ее включения рукоятку ручного крана
следует установить в крайнее (верхнее) фиксированное положение.
Система торможения вспомогательная автомобиля
служит для уменьшения загруженности и температуры тормозных механизмов рабочей
тормозной системы. Вспомогательной тормозной системой на автомобилях КамАЗ
является моторный тормозамедлитель, при включении которого перекрываются
выпускные трубопроводы двигателя и отключается подача топлива.
Система растормаживания аварийная предназначена
для оттормаживания пружинных энергоаккумуляторов при их автоматическом
срабатывании и остановке автомобиля вследствие утечки сжатого воздуха в
приводе.
Система аварийной сигнализации и контроля
состоит из двух частей:
Световой и акустической сигнализации в работе
тормозных систем и их приводов
Клапанов контрольных выводов, с помощью которых
производится диагностика технического состояния пневматического тормозного
привода, а так же (при необходимости) отбор сжатого воздуха
Рабочая тормозная система состоит из шести
тормозных механизмов и пневматического привода.
На грузовых автомобилях применяются барабанные,
колодочные тормозные механизмы с внутренним расположением колодок. Механизмы
установлены во всех шести колесах.
Рис.11 Тормозной механизм автомобиля КамАЗ-4310:
1 - эксцентриковая ось; 2 - опорный диск; 3 -
щиток; 4 - гайка оси; 3 - накладка осей; 6 - чека оси; 7 - колодка; 8 - стяжная
пружина; 9 - накладка колодки; 10 - кронштейн; 11 - ось ролика; 12 - разжимной
кулак; 13 - ролик; 14 - регулировочный рычаг
Основные детали тормозного механизма: тормозной
барабан, опорный диск 2 две колодки 7 с фрикционными накладками 9, две
эксцентриковые оси 1, четыре стяжных пружины 8, разжимной кулак 12 с валом,
щиток 3, регулировочный рычаг 14.
Рис. 12 Регулировочный рычаг
1 - крышка; 2 - заклёпка; 3 - шестерня; 4 -
заглушка; 5 - червяк; б - корпус; 7 - втулка; 8 - болт фиксатора; 9 - пружина;
10 - шарик; 11 - валик червяка; 12 -маслёнка
Регулировочный рычаг служит для поворота вала
разжимного кулака и для регулировки зазора между накладками колодок и тормозным
барабаном. Рычаг установлен на шлицах вала разжимного кулака. Он состоит из
корпуса б с боковыми крышками, червяка 5 с валиком 11, червячной шестерней 3,
шарикового фиксатора со стопорным болтом 8. При повороте червяка находящаяся в
зацеплении с ним червячная шестерня поворачивает вал разжимного кулака. Для
смазки червячной пары в корпусе рычага имеется масленка 12.
Рис. 10 Схема пневматического привода тормозных
систем КамАЗ 4310
1 - тормозная камера передних колес;
2- клапан контрольного вывода; 3 - контрольные лампы и зуммер; 4 -
двухстрелочный манометр; 5 - кран аварийного растормаживания; 6 - кран
управления стояночным тормозом; 7 - кран у правления вспомогательным тормозом;
8 -датчик включения электромагнитного клапан прицепа; 9 - компрессор; 10 -
пневмоцилиндр привода рычага останова двигателя <http://xn----7sbfkccucpkracijq8iofobm.xn--p1ai/%D0%BC%D0%B5%D1%82%D0%BA%D0%B0/%D0%B4%D0%B2%D0%B8%D0%B3%D0%B0%D1%82%D0%B5%D0%BB%D0%B8>;
11 - пневмоцилиндр привода вспомогательного тормоза; 12 -регулятор давления; 13
- предохранитель против замерзания; 14 - двухсекционный тормозной кран; 15 -
тройной защитный клапан; 16, 31 - пожарные защитные клапаны; 17, 18, 19 -
датчики падения давления; 20 - конденсационный воздушный баллон; 21 - воздушные
баллоны третьего контура; 22 - воздушный баллон первого контура.; 23 -
воздушные баллону второго контура; 24 - кран слива конденсата; 25 - клапан
ускорительный; 26 - двухмагистральный перепускной клапан; 27 - датчик включения
стояночного тормоза; 28 - пружинный энергоаккумулятор; 29 -тормозная камера
колес: заднего и промежуточного мостов; 30 - клапан управления тормозами
прицепа с двухпроводным приводом; 32 -датчик включения сигнала торможения; 33 -
клапан управления тормозами, прицепа с однопроводным приводом; 34 -
разобщительный кран; 35 -задний фонарь; 36 - соединительная головка типа
«Палм»; соединительная головка типа А; А, В, С, Д, Е - клапаны контрольных
выводов; R - к питающей магистрали двухпроводного привода; Р - к соединительной
магистрали однопроводного привода; N - к управляющей магистрали двухпроводного
привод.
Привод рабочей тормозной системы
предназначен для приведения в действие тормозных механизмов. Он является
составной частью общей пневматической системы автомобиля, в которую входят:
система питания пневмопривода тормозов сжатым воздухом, контур привода тормозов
колес передней оси, контур привода тормозов колес задней тележки, контур
привода тормозов стояночной и запасной тормозных систем, контур привода
вспомогательной тормозной системы и питания других потребителей, привод
тормозов прицепа, контур привода системы аварийного растормаживания тормозов
стояночной тормозной системы, а также система сигнализации и контроля за
состоянием пневматической системы и ее частей.
9. Техническая характеристика подвижного состава
Таблица 3
|
Грузоподъемность,
кг
|
6000
|
|
масса
буксируемого прицепа, кг
|
10000
по шоссе 7000 по грунту
|
|
полная
масса, кг
|
15000
|
|
снаряженная
масса, кг
|
8410
|
|
габаритные
размеры (ДхШхВ), мм
|
7650
х 2500 х 2900
|
|
размеры
платформы (ДхШхВ), мм
|
4800
х 2320 х 500
|
|
погрузочная
высота, мм
|
1530
|
|
дорожный
просвет, мм
|
365
|
|
колесная
база, мм
|
3340
+ 1320
|
|
колея
передних/ задних колес, мм
|
2010/
2010
|
|
наружный
радиус поворота, м
|
11,2
|
|
максимальная
скорость, км/ч
|
80
|
|
расход
топлива, л/100 км
|
30
|
|
объем
топливного бака, л
|
125
х 2
|
|
запас
хода, км
|
830
|
двигатель: ЯМЗ-740
|
дизель,
четырехтактный, 8-ми цилиндровый, V-образный 90°, верхнеклапанный,
жидкостного охлаждения
|
|
диаметр
цилиндра, мм
|
120,0
|
120,0
|
|
рабочий
объем, л
|
10,85
|
|
степень
сжатия
|
17
|
|
мощность
двигателя, л.с. (кВт)
|
210
(154) при 2600 об/мин
|
|
крутящий
момент, кГс*м (Нм)
|
65,0
(637) при 1400-1650 об/мин
|
Трансмиссия
|
сцепление
|
двухдисковое,
сухое
|
|
коробка
передач
|
механическая,
5-ти ступенчатая (синхронизаторы 2, 3, 4, 5)
|
|
раздаточная
коробка
|
2-х
ступенчатая (1,692:1 и 0,917:1) с блокируемым межосевым дифференциалом (1:2)
|
|
главная
передача
|
двойная,
пара конических и пара цилиндрических шестерен (7,22:1)
|
|
привод
переднего моста
|
постоянный,
неотключаемый
|
|
привод
задних мостов
|
последовательный,
проходной
|
|
размер
шин/ модель
|
1220x400-533/
ИП-184
|
Проходимость
|
преодолеваемый
брод, м
|
1,4
|
|
преодолеваемый
подъем, град.
|
31
|
Заключение
В данной курсовой работе был спроектирован
грузовой автомобиль марки КамАЗ, рассчитана полная масса автомобиля, мощность
двигателя, подобраны шины и двигатель, построена внешняя характеристика
двигателя, определены основные агрегаты трансмиссии. Выполнены расчёты
передаточных чисел главной передачи и КП, сцепления с приводом, КП, рулевой
трапеции. Подобраны несущая система, подвеска, тормозное и рулевое управление,
а также составлена техническая характеристика спроектированного автомобиля.
Список литературы
Основная
Вахламов
В.К. Автомобили: Основы конструкции: учебник для студ. высш. учеб. заведений /
В.К. Вахламов. - 2-е изд., стер.- М.: Издательский центр «Академия», 2006. -
528с.
Вахламов
В.К. Автомобили: конструкция и элементы расчета: учебник для студ. высш. учеб.
заведений / В.К. Вахламов. - М.: Издательский центр «Академия», 2006. - 480 с.
Нарбут
А.Н.. Автомобили: Рабочие процессы и расчет механизмов и систем: учебник для
студ. высш. учеб. заведений / А.Н. Нарбут. - М.: Издательский центр «Академия»,
2007. - 256 с.
Осепчук
В.В., Фрумкин А.К. Автомобили: анализ конструкций и элементы расчета: учебник
для студентов вузов по специальности «Автомобили и автомобильное хозяйство». -
М.: Машиностроение, 1989. - 304 с.
Дополнительная
Автомобильный
справочник. Пер. с англ. - 2-е изд., перераб. и доп. - М.:ЗАО «КЖИ «За рулём»,
2004. - 992 с.: ил.
Иванов
А.М., Солнцев А.Н., Гаевский и др. Основы конструкции автомобиля. - М.: ООО
«Книжное издательство «За рулем», 2006. - 336 с.: ил.
Учебные, учебно-методические и методические
материалы, изданные в БГАРФ
Алексеев
И.Л. Эксплуатационные свойства автомобилей. Расчет дисковых и барабанных
тормозных механизмов. Расчет ведущих и управляемых мостов. Учебное пособие для
студентов специальности 190601 «Автомобили и автомобильное хозяйство» и 190603
«Эксплуатация и обслуживание транспортных и технологических машин и
оборудования» (Автомобильный транспорт). - Калининград: БГАРФ, 2007. - 47 с.
Алексеев
И.Л., Эксплуатационные свойства автомобилей. Проектирование и расчет сцепления
автомобилей: Учебное пособие для студентов специальности 190601 «Автомобили и
автомобильное хозяйство» и 190603 «Сервис и техническая эксплуатация
транспортных машин и оборудования (Автомобильный транспорт). - Калининград:
БГАРФ, 2008. 36 с.
Алексеев
И.Л. Эксплуатационные свойства автомобилей. Трансмиссии и коробки передач:
Учебное пособие для студентов специальности 190601 «Автомобили и автомобильное
хозяйство» и 190603 «Сервис и техническая эксплуатация транспортных машин и
оборудования» (автомобильный транспорт). - Калининград: БГАРФ, 2008. - 43 с.
Алексеев
И.Л. Эксплуатационные свойства автомобилей. Карданные передачи: Учебное пособие
для студентов специальности 190601 «Автомобили и автомобильное хозяйство» и
190603 «Сервис и техническая эксплуатация транспортных машин и оборудования»
(Автомобильный транспорт). - Калининград: БГАРФ, 2008. - 40с.
Алексеев,
И.Л. Эксплуатационные свойства автомобилей. Рулевое управление (анализ
конструкций, элементы расчета): учебное пособие. - Калининград: Издательство
БГАРФ, 2009. - 104 с.
Алексеев
И. Л. Эксплуатационные свойства автомобилей. Подвески автомобилей. Анализ
конструкций, элементы расчета: учеб. пособие. - Калининград: Изд-во БГАРФ,
2010. - 62 с.
Алексеев
И.Л. Эксплуатационные свойства автомобилей. Механизмы распределения мощности
(анализ конструкций, элементы расчета): учеб. пособие / И.Л. Алексеев. -
Калининград: Изд-во БГАРФ, 2010- 53 с.
Алексеев
И.Л. Эксплуатационные свойства автомобилей. Главные передачи. Анализ
конструкций, элементы расчета: учеб. пособие / И.Л. Алексеев - Калининград:
Изд-во БГАРФ, 2011 - 52 с.
Алексеев
И. Л. Автомобили. Несущие системы, кузова и кабины. Анализ конструкций,
элементы расчета: учебное пособие / И.Л. Алексеев.- Калининград: издательство
БГАРФ, 2012 - 107с.