Применение нанотехнологий для защиты окружающей среды
Национальный
исследовательский «Томский политехнический университет»
Факультет
естественных наук и математики
Кафедра
наноматериалов и нанотехнологий
Реферат
на тему: ПРИМЕНЕНИЕ
НАНОТЕХНОЛОГИЙ ДЛЯ ЗАЩИТЫ ОКРУЖАЮЩЕЙ СРЕДЫ
Выполнил: Рогов
И.С.
Проверил: Годымчук
А.Ю.
Томск, 2011
Оглавление
Введение
Применение наночастиц в
фильтрующих материалах
Разложение опасных химикатов
Адсорбция вредных веществ
Синтез экологически
безопасных материалов
Выводы
Список литературы
Введение
В настоящее время наноразмерные материалы находят себе применение во
многих областях современной науки и техники. Такой класс материалов проявляет
принципиально новые свойства, что позволяет создавать новые и более эффективные
устройства [1]. Разумеется, разнообразие свойств наноматериалов вызывает
интерес в возможности их применения для охраны окружающей среды, поскольку в
настоящее время данная проблема стоит достаточно остро. Наноматериалы
потенциально могут улучшить экологическую обстановку, как непосредственно (обнаружение,
предотвращение и удаление различных загрязнителей) так и опосредованно
(создание безвредных для окружающей среды материалов) [1].
Целью данной работы было провести обзор литературных источников,
посвященных применению наноразмерных частиц для защиты окружающей среды;
рассмотреть возможные применения нанотехнологий в фильтрующих материалах, в
качестве фотокатализаторов для разложения опасных веществ, а также при создании
безопасных для окружающей среды материалов.
Применение наночастиц в фильтрующих материалах
Одним из способов защиты окружающей среды, несомненно, можно признать
использование фильтров для очистки воды и воздуха, в особенности на различных
фабриках перед сбросом отработанной воды и газов в окружающую среду.
Нанофильтрация становится одним из ключевых процессов очистки воды,
особенно для смягчения и удаления ионов или органических соединений из воды.
Уникальная способность наномембран избирательно удалять «лишние» частицы или
ионы позволяет применять такие фильтры для различных целей [2].
Функциональные свойства нанофильтров напрямую зависят от применяемых
наночастиц - от их состава, морфологии и т.п. Некоторые применения различных
наночастиц в фильтрующих материалах приведены в табл. 1 [3].
Табл. 1 Характеристика нанопокрытий для керамических мембран фильтров
|
Вид частиц
|
Размер частиц, нм
|
Применение
|
Ссылки
|
|
Оксид титана
|
20-30
|
Химическая защита
Водопроницаемый фотокатализатор
|
Yang and Li,
2008 Zhang et al., 2009 Ding et al., 2006
|
|
Оксид железа
|
4-6
|
Сорбент, катализатор
|
Karnik et al., 2006
|
|
Серебро
|
1-70
|
Предотвращение
биозагрязнения
|
Taurozzi et al.,
2008 Zodrow et al., 2009
|
|
Ферроксан
|
100
|
Сопротивление кислотам,
оксидам
|
Cortalezzi et al., 2003
|
|
Углеродные нанотрубки
|
1-9
|
Сорбент, электро- и
теплопроводность
|
Boccaccini et
al., 2010 Vermisoglou et al., 2008
|
Одной из проблем современных фильтров является достаточно быстрое их
загрязнение различными химическими веществами, коллоидами или микроорганизмами
(например - микробами). Применение нанофильтров поможет избежать данной
проблемы [3]. Один из способов решения данной проблемы - применение наночастиц
серебра (Ag) для предотвращения биозагрязнения
фильтров. В работе [4] показано, что полное уничтожение контактирующих с
покрытым наночастицами серебра фильтром происходит за 60 минут (рис. 1).
Рис. 1 Противомикробный эффект фильтров с покрытием из наночастиц Ag
Другой способ решения данной проблемы - применение наночастиц алюминия
[5]. Покрытие фильтра представляло собой частицы алюминия размером 2-4 нм с
удельной площадью поверхности 450-600 м2/г. Результаты сканирующей
электронной микроскопии (СЭМ) и просвечивающей электронной микроскопии (ПЭМ)
частиц представлены на рис. 2. По результатам исследований, авторами был сделан
вывод о гораздо большей эффективности нанофильтров по сравнению с обычными HEPA-фильтрами. Нанофильтры
продемонстрировали наилучшую фильтрационную способность. Наночастицы также
могут также представлять опасность для окружающей среды. Поэтому необходимо
применение фильтрующих материалов для задержки наночастиц. Проблема заключается
в том, что существующие HEPA-фильтры
обладают высокой эффективностью (99,97%) для частиц, больших 0,3 микрон [6].
Для решения этой задачи также возможно применение нанотехнологий. Использование
гранул диаметром от 150 до 500 микрон из различных наноматериалов позволяет
достигнуть высокой эффективности задержки частиц размером 10-100 нм.
Оптимальная скорость потока при этом - 4 см/с [6].
Нанофильтры являются весьма эффективной заменой существующим
фильтрационным материалам, поскольку обладают большим сроком службы и большей
эффективностью.
Рис. 2 Результаты СЭМ чистых покрытий (a) и после фильтрации
(b) и ПЭМ чистых покрытий (c) и после фильтрации (d)
Разложение опасных химикатов
Применение различных химикатов несет опасность окружающей среде.
Поскольку на данном этапе развития технологий невозможен полный отказ от
использования данных веществ, необходимо находить способы их разложения после
применения. Использование нанотехнологий помогает решать данную проблему с
меньшими затратами и большей эффективностью.
Трихлорэтилен (ТХЭ) является широко используемым промышленным растворителем,
применяемым в различных красках, клеях и пятновыводителях, но при этом
оказывает высокое токсическое действие на живые организмы. Данное вещество
обнаруживают на рабочих местах, в промышленных и аграрных зонах, пище, питьевой
воде [7]. В связи с этим возникает необходимость в разложении данного вещества.
Авторами статьи [8] предлагается делать это с помощью нуль-валентных
ионов железа. Частицы готовились распылением раствора семи водного сульфата
железа, стабилизированного карбоксиметилцеллюлозой, в атмосфере азота, и
смешением с боргидридом в молярном соотношении 2:1 [9]. В ходе исследования,
авторами было показано, что скорость разложения трихлорэтилена очень сильно
зависит от кинетики его десорбции из твердого собрента, присутствие ПАВ может ускорять
процесс разложения за счет увеличения скорости десорбции. Добавление
растворимых органических веществ может препятствовать разложению ТХЭ
наночастицами железа.
Довольно распространенным способом разложения различных вредных химикатов
является фотокатализ. При облучении полупроводникового соединения (SC) образуются электроны проводимости (e-) и дырки (h+), которые,
взаимодействуя с кислородом и водой, образуют активные формы кислорода, такие
как
Одним
из наиболее исследуемых фотокатализаторов является диоксид титана. Показано,
что пленки наноразмерного TiO2 толщиной
13,42 микрон (рис. 3) при облучении их светом с длиной волны 365 нм при
температуре 20 °C полностью разлагают различные хлороорганические
пестициды (гексохлорид бензола, дикофол, циперметрин и т.п.) в течение 45 минут
(рис. 4) [11]. Эти вещества хорошо известны за их токсичность и
бииоаккумулятивные способности. Несмотря на двадцатилетний запрет на применение
данных веществ, как продукты разложения, так и сами вещества все еще
встречаются в еде и поверхностных водах. Поэтому разложение таких соединений
является важной экологической задачей, в которой применение нанотехнологий
может сыграть немаловажную роль.
Еще
одной серьезной экологической проблемой является загрязнение вод мирового
океана нефтью в процессе добычи и транспортировки: например нефтяные пятна
препятствуют процессу фотосинтеза в водорослях. Негативное влияние нефтяных
пятен на экосистемы может быть достаточно сильным и непредсказуемым.
Существующие методы очистки вод от нефтяных загрязнений достаточно дорогостоящи
и требуют значительных людских ресурсов.
Рис. 3 Результаты СЭМ поверхности пленки TiO2 при высоком (a), низком (b)
увеличении, а также поперечного разреза пленки (c)

Авторами статьи [12] предлагается использовать фотокаталитические
свойства наночастиц оксида титана для разложения нефтяных загрязнений. В ходе
эксперимента авторами было показано, что разложение метилена в морской воде на
пленках из наностержней оксида цинка, покрытых слоем частиц оксида титана и
допированных азотом, составило 30 % под действием УФ света; около 10 % толуола
разлагается под действием видимого излучения в течение 120 минут при облучении
6 Вт лампой черного света. Авторы предлагают устанавливать тонкие пленки TiO2/ZnO,
допированные азотом, на дамбах для проведения очистки воды от нефти с помощью
фотокатализа.
В современном сельском хозяйстве достаточно широко используются различные
пестициды. Именно благодаря этому, многие из них обнаруживаются в грунтовых
водах, в почве, в деревьях и т.п. В результате, пестициды оказывают негативное
влияние на различные организмы. Например, диазинон - широко применяемый в
сельском хозяйстве инсектицид препятствует выработке ацетилхолинэстеразы. В
основном, воздействие дазинона на окружающую среду ассоциируют со смертью птиц,
загрязнением поверхностных вод и влиянии на многие водные виды. Поэтому для
минимизации вредного воздействия необходимо разрабатывать новые технологии,
способные обеспечить разложение данных веществ.
Авторы статьи [13] предлагают разлагать различные органические пестициды
с помощью частиц оксида титана. Для определения эффективности данного метода
была собрана следующая установка: на внутреннюю поверхность стеклянного
реактора нанесли 16 г наночастиц оксида титана, используя тонкие, непрозрачные в
УФ области спектра кремниевые полимеры. Сразу после нанесения система
отправлялась на 60 часовую сушку. В качестве излучателей света использовались
15 Вт УФ лампы. Для аэрации и перекачки воды устанавливали воздушный и водный
насосы. Схема установки представлена на рис. 5. В ходе эксперимента авторами
было установлено, что в течение 100 минут концентрация пестицидов снижается на
величину от 80 до 100 %. Данный показатель зависит от условий получения
наночастиц, а также от среды в которой проводится разложение (рис. 6).
Рис. 5 Схема фотокаталитического реактора
Рис. 6 Влияние присутствия различных анионов на эффективность разложения
Адсорбция вредных веществ
Загрязнение поверхностных и грунтовых вод различными высокотоксичными
веществами химикатами, тяжелыми металлами и т.п. является достаточно серьезной
мировой проблемой. Помочь снизить уровень загрязнения могут различные
адсорбционные наноматериалы.
Для удаления ионов ртути из воды возможно использовать композит полипирол
/обедненный оксид графена [14]. Авторами показано, что применение листов
толщиной 1,34 нм такого композита позволяет избирательно удалять из воды ионы
ртути с адсорбционной способностью 980 мг/г.
Наночастицы железа (рис. 7) способны с гораздо большей, чем у применяемых
веществ эффективностью адсорбировать из раствора ионы хрома [15]. Эффективность
поглощения зависит от кислотности среды: например при pH = 4 адсорбционная способность составляет 31,5 мг/г, а при pH = 7 - 23,3 мг/г. Еще одной ключевой
особенностью является простая возможность повторного использования данных
наночастиц.
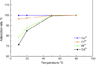
Магнитные наночастицы оксида железа (Fe3O4) можно использовать для удаления из
воды различных ионов металлов [16]. В работе наночастицы получали с помощью
распылительной сушки, средний размер частиц составлял 21 нм. В зависимости от pH и температуры среды эффективность
адсорбции различных ионов металлов изменяется от 35 до 100 % (рис. 8-9). Для
полной очистки воды от ионов металлов можно использовать многоэтапную установку
с различными показателями кислотности и температуры среды.
Наночастицы оксида алюминия со средним размером частиц 40 нм способны
очень эффективно адсорбировать формальдегид [17]. При кислотности среды от 5 до
8,5 наблюдается 100 % удаление формальдегида из воды. При этом, данные частицы
можно использовать и для адсорбции формальдегида из потока воды. В таких
условиях 99 % удаление форамьлдегида наблюдается при скорости потока до 3
мл/мин. Также возможно использование наночастиц для удаления из воды нефти и
нефтепродуктов. Это возможно осуществить, используя нано композит, состоящий из
расслоенного вермикулита и углеродных нанотрубок с внешним диаметром 5-10 нм
[18]. Такой нанокомпозит превосходит применяемые сорбенты по эффективности
поглощения нефтепродуктов на 1-2 порядка, вплоть до 146 г/г.
Эффективность различных адсорбционных наноматериалов много выше
применяемых в настоящее время. Это доказывается рассмотренными примерами.
Объясняется это тем, что для адсорбции очень важно значение удельной
поверхности. Поскольку у наночастиц значение удельной поверхности достаточно
велико, эффективность адсорбции оказывается гораздо выше, в сравнении с другими
материалами.
Рис. 7 Результаты ПЭМ наночастиц железа (A) и их распределение по
размерам (B)
Рис. 8 Зависимость эффективности адсорбции от pH среды
Рис. 9 Зависимость эффективности адсорбции от температуры среды
Синтез экологически безопасных материалов
В настоящее время используемые полимеры такие как полиэтилен или
полипропилен после использования разлагаются в течение многих лет, а
используются при этом в течение достаточно короткого периода времени. При этом
нахождение на использованных полимерах остатков еды или других органических
субстанций делает переработку этих материалов непрактичной и невыгодной [19].
За счет этого, используемые полимеры создают опасность для окружающей среды.
Решить данную проблему возможно с помощью биоразрушаемых материалов. Такой
класс материалов легко разлагается в окружающей среде бактериями, грибами и
водорослями. К сожалению, такие материалы проигрывают используемым полимерам по
эксплуатационным характеристикам. Для улучшения характеристик биоразрушаемых
материалов авторами статьи [20] предлагается модифицировать данный материал
органически модифицируемыми наноглинами. Термические и механические свойства
таких композитов заметно лучше чем у чистых полимеров. Также такие полимеры
отличаются более высокой скоростью деградации - при практически полном
разложении модифицированного полимера, чистый разлагается только на 70 %.
Применение наноматериалов выводит биоразрушаемые полимеры на новый
уровень, тем самым расширяя возможный спектр их применений, что, соответственно,
положительно скажется на состоянии окружающей среды.
нанотехнология
фильтр окружающий фотокатализатор
Выводы
Проведя анализ литературы, рассмотрели различные способы применения
наноматериалов для защиты окружающей среды, такие как: использование в
фильтрационных материалах, в качестве фотокатализаторов и адсорбентов и для
синтеза биоразрушаемых материалов. Все решения на основе наноматериалов
отличаются высокой эффективностью. Применение нантехнологий может помочь
сократить число вредных веществ в окружающей среде и улучшить экологическую
обстановку в целом.
Список литературы
1.
U.S. Environmental Protection Agency. Nanotechnology White Paper - EPA
100/B-07/001, February 2007. - 136 с.
.
Craig Bartels Ph.D., Kirk Lai, Mark Wilf Ph. D. New Generation of Low Fouling
Nanofiltration Membranes // April, 2007 EDS Conference, Halkidiki, Greece
.
Jeonghwan Kim, Bart Vander Bruggen. The use of nanoparticles in polymeric and
ceramic membrane structures: Review of manufacturing procedures and performance
improvement for water treatment // Environmental Pollution. - 2010. - № 158. - с. 2335-2349.
.
Virender K. Sharma, Ria A. Yngard, Yekaterina Lin. Silver nanoparticles: Green
synthesis and their antimicrobial activities // Advances in Colloid and
Interface Science. - 2009. - № 145. - с. 83-96
.
Hsing-Wang Li, Chang-Yu Wu, Fred Tepper, Jin-Hwa Lee, Christiana Nicole Lee.
Removal and retention of viral aerosols by a novel alumina nanofiber filter //
Aerosol Science. - 2009. - № 40. - с. 65-71
.
Jose Quevedo, Gaurav Patel, Robert Pfeffer, Rajesh Dave. Agglomerates and
granules of nanoparticles as filter media for submicron particles // Powder
Technology. - 2008. - № 183. - с.
480-500
.
Sheeba Khan, Shubha Priyamvada, Sara A. Khan, Wasim Khan, Neelam Farooq, Farah
Khan, A.N.K. Yusufi. Effect of trichloroethylene (TCE) toxicity on the enzymes
of carbohydrate metabolism, brush border membrane and oxidative stress in
kidney and other rat tissues // Food and Chemical Toxicology. - 2009. - № 47. -
с. 1562-1568
.
Man Zhang, Feng He, Dongye Zhao, Xiaodi Hao. Degradation of soil-sorbed
trichloroethylene by stabilized zero valent iron nanoparticles: Effects of
sorption, surfactants, and natural organic matter // Water Research. - 2011. -
№ 45. - с. 2401-2414
.
Feng He, Donye Zhao. Manipulating the Size and Dispersibility of Zerovalent
Iron Nanoparticles by Use of Carboxymethyl Cellulose Stabilizers // Environ.
Sci. Technol. - 2007. - № 41. - с. 6216-6221
.
Kazuhito Hashimoto, Hiroshi Irie, Akira Fujishima. TiO2
Photocatalysis: A Historical Overview and Future Prospects // Japanese Journal
of Applied Physics. - 2005. - т. 44,
№ 12. - с. 8269-8285
.
Binbin Yu, Jingbin Zenga, Lifen Gonga, Maosheng Zhang, Limei Zhang, Xi Chen.
Investigation of the photocatalytic degradation of organochlorine pesticides on
a nano-TiO2 coated film // Talanta. - 2007. - № 72. - с. 1667-1674
.
Ying-Ya Hsu, Tung-Li Hsiung, H. Paul Wanga, Yasuhiro Fukushima, Yu-Ling Wei,
Juu-En Chang. Photocatalytic degradation of spill oils on TiO2
nanotube thin films // Marine Pollution Bulletin. - 2008. - № 57. - с. 873-876
.
Niyaz Mohammad Mahmoodia, Mokhtar Arami, Nargess Yousefi Limaee, Kamaladin
Gharanjig. Photocatalytic degradation of agricultural N-heterocyclic organic
pollutants using immobilized nanoparticles of titania // Journal of Hazardous
Materials. - 2007. - № 145. - с.
65-71
.
Vimlesh Chandra, Kwang S. Kim. Highly selective adsorption of Hg2+
by a polypyrrole-reduced grapheme oxide composite // Chem. Commun. - 2011. - №
47. - с. 3942-3944
.
G. Zelmanov, R. Semiat. Iron (Fe+3) oxide/hydroxide
nanoparticles-based agglomerates suspension as adsorbent for chromium (Cr+6)
removal from water and recovery // Separation and Purification Technology. -
2011. - № 80. - с. 330-337
.
Y.F. Shena,b, J. Tanga, Z.H. Niea, Y.D.Wanga, Y. Renc, L. Zuo. Preparation and
application of magnetic Fe3O4 nanoparticles for
wastewater purification // Separation and Purification Technology. - 2009. - №
68. - с. 312-319
.
Abbas Afkhami, Hasan Bagheri, Tayyebeh Madrakian. Alumina nanoparticles grafted
with functional groups as a new adsorbent in efficient removal of formaldehyde
from water samples // Desalination. - 2011.
.
Meng-Qiang Zhao, Jia-Qi Huang, Qiang Zhang, Wei-Liang Luo, Fei Wei. Improvement
of oil adsorption performance by a sponge-like natural vermiculite-carbon
nanotube hybrid // Applied Clay Science. - 2011. - № 53. - с. 1-7
.
Richard A. Gross and Bhanu Kalra. Biodegradable Polymers for the Environment //
SCIENCE. - 2002. - № 297
20.
Pralay Maiti, Carl A. Batt, Emmanuel P. Giannelis. New Biodegradable
Polyhydroxybutyrate/Layered Silicate Nanocomposites // Biomacromolecules. -
2007. - № 8. - с. 3393-3400