|
x,
м
|
|
|
0
|
0
|
|
0.3062
|
-504.32788
|
|
|
-3132.98794
|
|
0.6124
|
-3277.49123
|
|
0.9186
|
-4732.98159
|
|
1.2248
|
-6188.47196
|
|
1.531
|
-7643.96232
|
|
1.8372
|
-9099.45269
|
|
2.1434
|
-10554.94306
|
|
2.4496
|
-12010.43342
|
|
2.7558
|
-13465.92379
|
|
3.062
|
-14921.41415
|
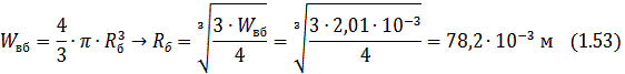
Рисунок 1.7− Эпюра 
1.1.3 Построение эпюр N, M, Q, Nэкв
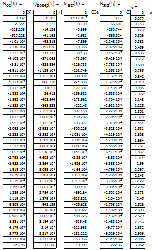
Таблица 1.8− Значения продольной силы N в
характерных точках корпуса ЛА
|
x,
м
|
|
|
0
|
0
|
|
0.3062
|
-517.22841
|
|
0.6124
|
-4108.25121
|
|
0.9186
|
-9714.15081
|
|
1.2248
|
-15319.82331
|
|
1.531
|
-20925.69161
|
|
1.8372
|
-26531.61372
|
|
|
-29511.98326
|
|
2.001
|
19399.70027
|
|
2.1434
|
16792.69617
|
|
2.4496
|
11186.89281
|
|
2.7558
|
5581.06913
|
|
3.062
|
-24.79646
|
Рисунок 1.8− Эпюра N
Таблица 1.9 − Значения поперечной силы Q в
характерных точках корпуса ЛА
|
x,
м
|
|
|
0
|
0
|
|
0.3062
|
-41.19496
|
|
0.6124
|
-571.06493
|
|
0.841
|
-1444.47317
|
|
0.842
|
1155.33545
|
|
0.9186
|
806.73819
|
|
1.2248
|
-865.32811
|
|
1.531
|
-2983.08187
|
|
1.8372
|
-5546.37299
|
|
1.8855
|
-5991.55428
|
|
1.8865
|
4858.62327
|
|
2.1434
|
2303.93243
|
|
2.2008
|
1690.25109
|
|
2.2018
|
4708.6683
|
|
2.4496
|
1878.59142
|
|
2.753
|
-1984.26738
|
|
2.754
|
3208.56133
|
|
2.7558
|
3184.32448
|
|
2.9022
|
1161.90109
|
|
2.9032
|
2297.98577
|
|
3.062
|
-11.58586
|
|
|
Рисунок 1.9 − Эпюра Q
Таблица 1.10− Значения изгибающего момента
M вдоль всего корпуса ЛА
|
x,м
|
|
|
0
|
0
|
|
0.306
|
-2.681
|
|
0.612
|
-73.067
|
|
0.919
|
-224.836
|
|
1.225
|
-222.43
|
|
1.531
|
-800.226
|
|
1.837
|
-2094.722
|
|
1.887
|
-2376.73
|
|
2.143
|
-1452.592
|
|
2.45
|
-513.801
|
|
2.756
|
-515.48
|
|
3.062
|
-10.997
|
Рисунок 1.10 − Эпюра M
Таблица 1.11 − Значения
эквивалентной сжимающая нагрузки 
в характерных точках корпуса ЛА
|
x,
м
|
 , Нм
|
|
0
|
0
|
|
0.306
|
-565.32363
|
|
0.612
|
-5418.86545
|
|
0.919
|
-13747.08977
|
|
1.225
|
-19309.60269
|
|
1.531
|
-35279.51305
|
|
1.837
|
-64105.09853
|
|
1.887
|
-70075.2132
|
|
2.143
|
-42848.15829
|
|
2.45
|
-20403.05097
|
|
2.756
|
-14827.34394
|
|
3.062
|
-222.0599
|
Рисунок 1.11 − Эпюра 
1.2 Проектировочный расчет бесстрингерного
отсека
Это конструктивно-силовая схема предусматривает
наличие двух элементов: обшивки и шпангоутов (причем во многих случаях лишь
стыковых).
Обшивку изготавливаем штамповкой.
Из полученных эпюр:
Определим температуру нагрева обшивки:

(1.1)

- температура воздуха на высоте
10000м.
Практика проектирования показывает,
что для алюминиевых сплавов при температуре 
влияние нагрева можно не учитывать.
Обшивку отсека изготавливаем
штамповкой листового материала в целях уменьшения веса конструкции.
Выбираем материал обшивки отсека
корпуса -алюминиевый сплав Д16Т (термообработка+закалка и
естественное старение) с
механическими
характеристиками:
Усилия сдвига незначительны, поэтому
расчёт ведётся по эквивалентной сжимающей нагрузке.
При изгибе устойчивость на 25% выше,
чем при осевом сжатии. Это учитывается введением поправочного коэффициента
:
Определим расчётную эквивалентную
нагрузку:
f - коэффициент безопасности.
Найдём толщину обшивки из условия
равенства расчётных и эксплуатационныхнапряжений, но при этом расчетные
напряжения не должны превышать критические напряжения местной потери
устойчивости, а эксплуатационные напряжения не должны превышать предела
текучести:

- радиус корпуса.
Принимаем 
Определим коэффициент опирания:
Определим критические напряжения местной потери
устойчивости:
Необходимо выполнить проверочный расчёт.
Проверим 2 условия:
Условие 
выполняется.
Условие 
выполняется.
Определим погонную массу
бесстрингерного отсека по следующей формуле:
1.3 Проектировочный расчет
фланцевого соединения отсеков корпуса
Рисунок 1.12− Расчётная схема
фланцевого соединения
Выбираем для проектирования
фланцевое соединение с утопленными шпильками. В этом соединении изгибающий
момент передается за счет растяжения шпилек, а поперечная сила и крутящий
момент за счет среза чистовых шпилек.При проектировании фланцевого соединения
учитывается только изгибающий момент, остальные нагрузки учитываются при
проверочном расчете.
Принимаем модель нежесткого
шпангоута. При этом раскрытие стыка может произойти относительно нейтральной
оси.
Расположение этой оси представлено
на рисунке 1.12.Чтобы предотвратить раскрытие стыка шпильки ставят с
предварительной затяжкой.
Определим расчетные значения
продольной силы и изгибающего момента, действующих в сечении стыка:
Характеристики материала (30ХГСА)
крепежного элемента:

коэффициент запаса по плотности
стыка;

коэффициент, учитывающий
податливость.
Из конструктивных соображений принимаем размеры
фланца и количество крепёжных элементов:
внутренний диаметр шпангоута:
площадь сечения шпангоута:
;
радиус окружности, на которой расположены
болты:
положение оси раскрытия стыка:

- количество крепёжных элементов
(шпилек).
Найдём момент инерции сечения стыка:
Минимальные напряжения в стыке от
внешней нагрузки:
Площадь поперечного сечения
крепёжного элемента считаем по формуле:
Потребный диаметр крепёжного
элемента:
Принимаем 
Таким образом, площадь поперечного
сечения крепёжного элемента равна:
Определим необходимое напряжение
предварительной затяжки 
крепёжного элемента:
Определим напряжение в стыке от
затяжки шпилек (контактное напряжение между стыковыми шпангоутами):
Проверим выполнение условия плотности
стыка:
Условие плотности стыка выполняется.
Тип фланцевого соединения
представлен на рисунке 1.13.
Рисунок 1.13 - Вариант исполнения
фланцевого соединения с утопленными шпильками
1.4 Силовые приводы аэродинамических органов
управления
1.4.1 Требования к силовым приводам
Чтобы отклонить аэродинамические органы
управления на заданный угол системой управления, необходимо преодолеть
шарнирные моменты, возникающие на них. Эти функции возложены на силовые приводы
органов управления, которые являются собственно исполнительными элементами
системы управления полетом. Основной частью силового привода являются приводной
двигатель, работающий в соответствии с поступающими сигналами управления.
Причем эти сигналы должны быть предварительно усилены и преобразованы. Чаше
всего усилитель - преобразователь и приводной двигатель конструктивно выполнены
в виде одного агрегата, называемого рулевой машинкой (РМ).
РМ должны удовлетворять целому ряду требований:
высокий коэффициент усиления управляющего
сигнала по мощности;
малую инерционность;
высокий КПД;
небольшую массу и малые габариты;
высокую надежность работы в заданном диапазоне
внешних условий.
В рамках данного проекта будет выполнено
проектирование пневматической РМ, как наиболее подходящей для заданного типа
ЛА, обладающего небольшой массой, малым временем полета и умеренной скоростью.
Рисунок 1.14 − Кинематическая схема
механизма отклонения консолей
1.4.2 Проектировочный расчет пневматического
силового привода
В состав пневматического силового привода
входят:
пневматические РМ;
баллон со сжатым воздухом (ВАД);
золотниковое устройство;
понижающие редукторы;
трубопроводы.
В результате проектировочного расчета могут быть
получены линейные размеры РМ и ВАД, а также массовые характеристики привода.
1.4.2.1 Определение линейных размеров рулевой
машинки
Рисунок 1.15 - Положение оси вращения
поворотного крыла
Моменты сил, действующих на органы управления
относительно оси вращения, называются шарнирными моментами и определяются
уравнением:

− расстояние от оси вращения
крыла до центра давления (рисунок 1.14);

- подъемная сила консоли крыла.
Определим плече шарнирного момента,
:

- средняя аэродинамическая хорда
крыла.
Определим величину шарнирного
момента:
Для изготовления корпуса рулевой
машинки используется алюминиевый сплав Д16ТГОСТ4784-97, с физико-механическими
характеристиками:
Рисунок 1.16 -Конструктивная схема
рулевой машинки:
- крышка; 2 - корпус; 3 - поршень; 4
- шток; 5 - шкала потенциометра; 6 - скользящий контакт
Для изготовления штока используется Сталь
45 ГОСТ 1050-88, обладающие следующими физико-механические характеристики:
Для определения размеров рулевой
машинки необходимо знать величину усилия 
, развиваемого приводом.
Максимальное давление в рабочей
полости силового цилиндра рулевой машинки
, тогда максимальный перепад
давлений в рабочих полостяхрулевой машинки:
Ход поршня рулевой машинки
составляет удвоенное произведение длинны рычага на синус наибольшего угла
отклонения управляющей поверхности (рисунок 4.4):

-конструктивно принятая длина рычага;

- величина максимального угла
отклонения руля.

.
Максимальную скорость перемещения
поршня определяем из кинематической схемы (рисунок 1.17):

- величина угловой скорости
отклонения руля.

.
Рисунок 1.17-Кинематическая схема
механизма управления
Определим максимальный нагрузочный
момент:

- величина шарнирного момента руля.

- количество поверхностей, которыми
управляет рулевая машинка.
Определим величину усилия,
развиваемого приводом:

- количество рулевых машинок;

- количество поверхностей, которыми
управляет рулевая машинка.
Определим эффективную площадь
поршня:
Определим длину цилиндра:
Определим длину штока:
Диаметр штока рассчитывается из условия потери
устойчивости (рисунок 1.18).
Рисунок 1.18 − Расчетная схема для
определения диаметра штока
Принимаем 
.
Определим диаметр силового цилиндра:
Принимаем 
Диаметр корпуса датчика обратной
связи:
Толщина стенки силового цилиндра 
определяется из условий прочности,
а ее значение рассчитывают по формуле:

- коэффициент безопасности силового
цилиндра.
Принимаем 
Наружный диаметр силового цилиндра:
Общая длина рулевой машинки:
1.4.2.2 Определение размеров баллона со сжатым
воздухом
Сжатый воздух, используемый в
качестве рабочего тела в рулевых машинках, на борту ЛА хранится в специальных
баллонах воздушных аккумуляторах давления(ВАД) под большим давлением 
.
В качестве материала ВАДа принимаем
титановый сплав ВТ14
ГОСТ 19807-91, обладающий следующими
физико-механическими свойствами:

.
Геометрические размеры баллона
зависят от выбранной формы (сферическая, цилиндрическая или торовая) и
потребного объема 
. В свою очередь, потребный для
хранения воздуха объем будет зависеть от расхода газа рулевыми машинками.
Максимальный объемный расход воздуха
одной рулевой машиной может быть найден по формуле:

− эффективная площадь;

− максимальная площадь
перемещения поршня в силовом цилиндре рулевой машинки.
Так как ВАД один для рулей и
элеронов, то необходимо рассчитать 
и 
для рулевоймашинки, которая
управляет элеронами.
Рисунок 1.19 − Создание
управляющей силы и момента отклонением аэродинамического руля, расположенного
на неподвижной несущей поверхности
Для определения 
и 
необходимо найти величину
шарнирного момента для элеронов аналогично, как и для рулей:

- средняя аэродинамическая хорда
элерона;
Определим подъемную силу элерона из
следующего соотношения:

- подъемная сила консоли
стабилизаторов;

- площадь консоли стабилизаторов;

- площадь элерона.
Определим 
, усилие на штоке рулевой машинки,
для этого аналогично, как и для рулей необходимо приравнять потребную и
располагаемую мощности.
Потребная мощность - мощность
необходимая для преодоления шарнирного момента, чтобы отклонить элероны:

, где (1.46)

- максимальный нагрузочный момент,
т. к. помимо шарнирного момента необходимо преодолеть момент связанный с трение
и момент связанный с инерционностью механической системы управления;

- количество поверхностей, которыми
управляет рулевая машинка(
);

- скорость вращения элерона(
.
Располагаемая мощность - это
мощность, которую может создавать рулевая машинка:

, где (1.47)

- усилие на штоке рулевой машинки;

- количество рулевых машинок,
управляемых элеронами(
);

- максимальная скорость перемещения
поршня определяется из кинематической схемы:
Приравняв
получим:
Определим эффективную площадь поршня
из условия:

, где
- максимальный перепад давлений в
рабочих полостях рулевой машинки.
Рассчитаем объемный расход воздуха
для рулевой машинки управляемой элеронами:
Объемный расход воздуха для рулевой
машинки управляемой рулями:
Суммарный расход воздуха для 3-х
рулевых машинок:
Найдем объем баллона для хранения
сжатого воздуха:

- коэффициент остаточного воздуха в
ВАДе необходимого для устойчивой работы редуктора и рулевых машинок;

- время работы рулевых машинок;

- максимальное давление в рабочей
полости силового цилиндра;

- давление в баллоне;

- показатель политропы для воздуха,
тогда:
Масса воздуха находящегося в ВАДе
найдем из уравнения Менделеева - Клапейрона:

- универсальная газовая постоянная;

- температура воздуха в баллоне,
тогда:
С точки зрения минимума массы
наиболее рациональны сферические ВАДы:
Принимаем 
.
Определим объем ВАДа с заданным
радиусом:
Определим толщину стенки ВАДа:

- коэффициент безопасности;

- коэффициент, учитывающий
уменьшение толщины стенки баллона при штамповке;

- коэффициент, учитывающий
уменьшение прочности за счет сварного шва.
Принимаем 
Рассчитаем массу ВАДа:

- плотность материала ВАДа;

- статистический коэффициент,
учитывающий увеличение массы за счет утолщения под установку арматуры и
оборудования, узлов крепления;
Масса снаряженного баллона:
1.5 Конструкция и проектирование приводного вала
Приводной вал является опорой для органов
управления и последним звеном в кинематической цепи передачи усилия от рулевой
машинки. В данном ЛА использована схема, изображенная на рисунке 1.20. В данной
схеме вал жестко связывает между собою консоли управляющих поверхностей и
проходит через весь корпус ЛА.
Рисунок 1.20 - Схема расположения приводного
вала
Нагрузкой на приводной вал служат
изгибающие 
, крутящие 
моменты и перерезывающая силаQ,
передаваемые на него с органов управления. Расчетная схема приводного вала -
двухопорная балка, нагруженная сосредоточенными силами,крутящим и изгибающим
моментами,
показана
нарисунке 1.21.
Рисунок 1.21 - Схема нагружения приводного вала
.5.1 Нагрузки, действующие на приводной вал
Исходные данные:

-изгибающий момент;

- крутящий момент;

- перерезывающая сила;

-продольная сила, действующая вдоль
штока;

- расстояние от точки приложения
силы 
до ближайшей опоры;

- расстояние между опорами;

- расстояние от точки А до
плоскости действия силы 
;

- расстояние от точки В до
плоскости действия силы 
.

- расстояние от оси вала до линии
действия силы 
.
Определим реакции в опорахА и В:
Построение эпюры перерезывающих сил:
Участок I-I:
Участок II-II:
Участок III-III:
Участок IV-IV:
Построение эпюр изгибающих моментов,

:
Участок I-I:
Участок II-II:
Участок III-III:
Участок IV-IV:
Построение эпюр изгибающих моментов,

:
Участок I-I:
Участок II-II:
Участок III-III:
Участок IV-IV:
Построение эпюр изгибающих моментов,

:
Участок I-I:
Участок II-II:
Участок III-III:
Участок IV-IV:
Эпюры 
приведены на рисунке 1.22.
Рисунок 1.22− Эпюры внутренних силовых
факторов в приводном валу
.5.2 Проектировочный расчет приводного вала
Рисунок 1.23 - Конструктивная схема пустотелого
приводного вала
В качестве материала конструкции вала выбираем
Сталь 30ХГСА, обладающая следующими физико-механическими свойствами:

− модуль упругости;

− предел прочности.
Оптимальные размеры вала можно
найти, используя следующую математическую модель:
Целевая функция:

- площадь сечения вала,
где 
Ограничения:
где

- эквивалентное напряжение по
IVтеории прочности;

- нормальные напряжения вала от
изгибающего момента 

- касательные напряжения от
крутящего момента 
;

-минимальный конструктивно-принятый
внешний диаметр вала.
Решение приведенной математической
модели выполнялось в среде Excel с помощью надстройки «поиск решения» (см.
Приложение А). Полученные результаты оптимизации:

; 
; 
; 
,

, 
, 
.
1.5.3 Соединения рычага с приводным валом
С целью обеспечения удобства сборки опорного
узла органа управления соединение рычага с приводным валом выполняется
разъемным.. Для фиксации втулки на валу применяется болтовое соединение. Для
передачи крутящего момента с рычага на приводной вал механизма управления
применяют коническое болтовое соединение. Посадку вала в отверстие втулки чаще
всего применяют с гарантированным зазором. Для исключения люфтов в соединении
устанавливаются конические болты, при затяжке которого удается выбрать зазоры и
обеспечить неподвижное сочленение вала и втулки. Для увеличения надежности
сочленения применяем два болта, и устанавливаем их во взаимно перпендикулярных
плоскостях с некоторым смещением вдоль оси вала.
Рисунок 1.24 - Болтовое соединение рычага с
полым приводным валом
В качестве материала конического болта выбираем
Сталь 30ХГСА, обладающий следующими физико-механическими свойствами:

―плотность;

― модуль упругости;

― предел текучести;

― предел прочности;

― предел прочности на сдвиг.
Размеры конического болта выбирают
из условия работы его на срез:

- диаметр конического болта;

- число болтов;

- количество плоскостей среза;

- крутящий момент;

- диаметр вала.
Принимаем 
.
Для соединения рычага с приводным валомвыбираем
болт конический3033А-4-34[5, с. 73], шайбу радиусную 1272С50-4-28 [5, с. 74],
гайку М4-6H.026 ОСТ92-4705-86.
1.5.4 Проектировочный расчет опорных узлов валов
Органы управления соединяют неподвижно с
приводными валами. Последние представляют собой двухопорные балки. В качестве
опор выступают подшипники качения или скольжения. Если приводной вал проходит
через весь корпус и соединяет жестко между собой обе консоли поверхности
управления, то в опорном узле достаточно установить только один подшипник.
Подшипники, работающие в условиях неполного
вращения, рассчитываются на статическую грузоподъемность по условию:

- эквивалентная статическая
радиальная нагрузка;

- статическая грузоподъемность
радиального и радиально-упорного подшипников.
Величина 
определяется по формуле:

- постоянная по величине и
направлению радиальная нагрузка 

- постоянная по величине и
направлению осевая нагрузка 
.

- некоторые безразмерные
коэффициенты равные для шариковыхрадиально-упорных подшипников: 
;
.
Полученную величину 
сравниваем с величиной статической
грузоподъемности радиального подшипника, легкой серии с номером 1000905,
имеющего следующие параметры
; 
.
Эквивалентная статическая радиальная нагрузка не
превышает статическую грузоподъемность радиального подшипника. Условие
выполняется.
.6 Конструкция и проектирование рычага механизма
управления
Рычаг (рисунок1.25), устанавливают
непосредственно на органах управления, имеет только одно плечо. В нейтральном
положении угол между штоком и рычагом прямой. При отклонении органов управления
угол изменяется. Это вызывает появление продольной составляющей нагрузки в
рычаге. Поэтому рычаги работают также на изгиб и растяжение-сжатие, но
поскольку углы отклонения малы, то расчетным случаем нагружения является изгиб.
Так как рычаг работает на изгиб, оптимальным
будет сечение в форме двутавра, но исходя из конструктивных и технологических
соображений форму поперечного сечения рычага принимаем прямоугольной.
Рисунок 1.25 − Рычаг
В качестве материала конструкциирычага выбираем
алюминиевый сплав В95оч ГОСТ 4784-97, обладающий следующими
физико-механическими характеристиками:
Определим изгибающий момент, действующий в
опасном сечении А-А рычага по формуле:

- усилие на штоке рулевой машинки;

-плечо.
Условие прочности:

- осевой момент сопротивления
прямоугольного сечения рычага;

- конструктивно принятая толщина
рычага;

- коэффициент безопасности.
Из условия прочности (1.66)
определяем размер 
в сечении А-А:
Так как нагрузки малы, то зададимся
размером
h и проведем
проверочный расчет:
Принимаем 
Условие 1.66 выполняется.
.7 Конструкция и проектирование
соединения штока с рычагом
В соединении подшипник Гука
запрессовывается в проушину рычага, обеспечивая посадку без зазора. В
результате соединение подшипника с проушиной становится неподвижным, а взаимное
перемещение элементов узла обеспечивается внутренним кольцом.
Рисунок 1.26− Соединение штока срычагом:
- наконечник тяги (вилка);2 - шайба;3 -
соединительный валик;4 - подшипник;5 - рычаг (проушина);6 - шплинт.
.7.1 Расчет уха (законцовки рычага)
В качестве материала конструкции валика (рисунок
1.26) возьмем Сталь 40, обладающий следующими физико-механическими свойствами:
1)определим диаметр соединительного
валика, 
. Валик работает на срез:

- усилие штока;

− коэффициент безопасности;

−количество плоскостей среза.

.70
Принимаем 
.
2) по статической грузоподъемности
выбираем шарнирный антифрикционный
подшипник (рисунок 1.27), при этом обращаем внимание, чтобы внутренний диаметр
подшипника равнялся диаметру соединительного валика:
Рисунок 1.27− Антифрикционный
шарнирный подшипник
)расчет проушины на разрыв.
Расчетная схемапредставлена на рисунке 1.28:

- усилие штока;

- величина перемычки;

- толщина проушины;

-ограничение на ширину уха;

- коэффициент концентрации
напряжений;
Принимаем 
для алюминиевых сплавов.
Рисунок 1.28- Проушинарычага,
работающая на разрыв
) расчет проушины на смятие:

- усилие штока;

- наружный диаметр шарнирного
подшипника;

- толщина подшипника.
Условие 
выполняется.
) расчет проушины на срез. Расчетная
схема представлена на 1.29

- усилие штока;

-перемычка проушины рычага при
срезе;

- толщина проушины.
Из конструктивных соображений
принимаем 
.
Рисунок 1.29- Проушина рычага,
работающая на срез
1.7.2 Расчет вилки (наконечника штока)
Для изготовления наконечника штока используется
сталь 45 ГОСТ 1050-88, механические характеристики:
1) потребная толщина проушины вилки
(
) из условия смятия материала под
болтом (рисунок 1.30):
Рисунок 1.30 − Наконечник штока

- коэффициент безопасности;

- усилие штока;

- диаметр отверстия проушины;
Из конструктивных соображений
принимаем 
2) найдем величину перемычки (е) проушины штока
из условия разрыва (рисунок 1.31):
Рисунок 1.31 − Проушина штока, работающая
на разрыв
Из конструктивных соображений
принимаем 
) найдем величину перемычки 
проушины штока из условия среза
(рисунок 1.32):
Рисунок 1.32 − Проушина штока,
работающая на срез
Из конструктивных соображений
принимаем 
2. СПЕЦЧАСТЬ
2.1 Автоматизация определения
нагрузок, действующих на ЛА
В полете на летательный аппарат
действуют распределенные аэродинамические нагрузки, вызванные давлением (или
разрежением) и трением между поверхностью летательного аппарата и воздушным
потоком. Кроме того, летательный аппарат испытывает весовые и инерционные
нагрузки и тягу двигателя.
В данном разделе приведена методика
расчетов нагрузок, действующих на ЛА.
Методика расчетов основана на
предположении, что аэродинамические нагрузки, создаваемые аэродинамическими
поверхностями, пропорциональны производным по углу атаки от коэффициентов
подъёмной силы этих поверхностей.
На основании этой методики разработана программа
«НагрузкаМК»,написанная в математическом пакете MathCAD 14.
.1.1 Нагрузки, действующие на крыло
В полете на крыло ЛА действуют в общей сложности
следующие
виды силового воздействия:
аэродинамические силы;
распределенные массовые силы конструкции крыла;
сосредоточенные силы от масс грузов, находящихся
в крыле или
на крыле;
инерционные нагрузки, связанные с колебательным
режимом полета.При определении аэродинамических нагрузок на крыло необходимо
учитывать следующее:
-при проектировании крыла силой
лобового сопротивления 

можно пренебречь (по сравнению с подъемной силой 
), так как

;
момент сопротивления крыла
относительно продольной оси хорды
значительно ниже, чем соответствующий момент относительно
оси, перпендикулярной к хорде;
подъемная сила крыла ЛА образуется
из подъемных сил, создаваемых как консолями крыла, так и подкорпусной частью.
Подъемная сила консолей i-ых несущих
поверхностей 
может быть рассчитана при известной
величине подъемной силы i-ых несущих поверхностей по формуле 2.1

, где (2.1)

- коэффициент, учитывающий долю
консоли в создании подъемной силы крыла:

- диаметр фюзеляжа;

- размах двух консолей i-ых несущих
поверхностей с подкорпусной частью.

- подъемная сила i-ых несущих
поверхностей.

- подъёмная сила летательного
аппарата:

- масса летательного аппарата;

- ускорение свободного падения;

- располагаемая поперечная
перегрузка;

- суммарная производная по углу
атаки коэффициента подъемной силы всего ЛА;

- производная по углу атаки
коэффициента подъемной силы изолированных консолей i-ых несущих поверхностей;

- производная по углу атаки
коэффициента подъемной силы, возникающей из-за влияния корпуса на подъёмную
силу консолей i-ых несущих поверхностей.
Величина подъемной силы одной
консоли 
зависит от пространственного
расположения консолей относительно корпуса ЛAиможет быть определена из
следующих соотношений:
для «+» - образной схемы (рис.
2.1,а)
- для «х» - образной схемы (рис.
2.1,б)

- поправка на неравномерность
нагрузки между верхними и нижними крыльями.

- угол атаки ЛА в радианах;
Рисунок 2.1 - Пространственное расположение
крыльев: а - «+»- образное; б - «x»- образное.
При проектировании консолей крыла с учетом
требований прочности и жесткости недостаточно знать только величину подъемной
силы консоли. Крайне необходимо знать и закон распределения подъемной силы по
поверхности консоли, что в конечном итоге позволит рассчитать в любом сечении консоли
перерезывающую силу, изгибающий и крутящий моменты, необходимые для проведения
расчетов на прочность.
При проведении проектировочных
расчетов обычно пользуются
приближенными законами распределения подъемной силы консоли
крыла вдоль ее размаха, которые описываются аналитически и дают
погрешность в определении изгибающих моментов, не превышающую
5%. При этом используют следующие формулы:
- для прямоугольных, трапециевидных и стреловидных крыльев
средних удлинений (2 <
< 6):

- погонная аэродинамическая
нагрузка, действующая на консоли i-ых несущих поверхностей;

- площадь консоли i-ых несущих
поверхностей;

- текущая хорда консоли i-ых
несущих поверхностей
в
системе
координат

(см. рис. 2.2):

- уравнение линии контура передней
кромки консоли i-ых несущих поверхностей в системе координат 
(см. рис. 2.2);

- уравнение линии контура задней
кромки консоли крыла в системе координат 
(см. рис. 2.2).
Рисунок 2.2− Консоль i-ых
несущих поверхностей
в
расчетной системе координат
Для треугольных крыльев:

- длина одной консоли i-ых несущих
поверхностей.
Массовые нагрузки на крыло зависят
не только от массы конструкции крыла, но и от массы агрегатов, расположенных в
нем. Погонная массовая нагрузка определяется формулой

-величина погонной массы;

- располагаемая поперечная
перегрузка.
Зависимости, приведенные выше, можно
применять для расчета в любом сечении вдоль размаха консоли крыла или оперения
значений перерезывающих сил, изгибающих и крутящих моментов. При этом
используются формулы(координату 
отсчитывают от концевой хорды):

- перерезывающая сила в расчетном
сечении консоли i-ых несущих поверхностей;

- изгибающий момент в расчетном
сечении;

- крутящий момент в расчетном
сечении.
.1.2 Нагрузки, действующие на корпус
ЛА
При рассмотрении нагрузок на корпус
надо иметь в виду две группы случаев нагружения: полетные расчетные случаи и
случаи наземной эксплуатации и транспортировки.
В полетных случаях на корпус
действуют:
нагрузки от крыла (подъемная сила,
сопротивление, масса крыла). Это поверхностные сосредоточенные силы,
приложенные в узлах крепления консолей крыла к корпусу;
нагрузки от рулей (в данном случае
от стабилизаторов);
сила тяги двигателя (поверхностная
сила, приложенная в узлах крепления двигателя);
аэродинамические силы, создаваемые
корпусом в полете (поверхностная распределенная нагрузка);
инерционные силы (массовая
распределенная нагрузка).
Последние (массовые силы)
уравновешивают приложенные к корпусу ЛА поверхностные силы.
Нагрузки от крыла определяются
заданным режимом полета. Характер и распределение их по корпусу зависят от
конструкции соединения крыла с корпусом, а величины определяются при расчете на
прочность консолей крыла. Эти нагрузки приводят к равнодействующим силам и
моменту. Так как положение узлов крепления консолей неизвестно, то реакции
консолей прикладываются к середине их бортовой хорды.
Нагрузки от оперения определяются и
прикладываются аналогично нагрузкам от консолей крыла.
Сила тяги прикладывается на переднем
днище двигателя ЛА.
Аэродинамическую нагрузку определяют
по данным, полученным с
помощью программы
расчета аэродинамических коэффициентов «Aerodinamika» (см. рис. 2.3).
Рисунок 2.4 - Ввод геометрических
параметров
исходного
варианта
ЛА в программу«Aerodinamika»
отсек летательный аэродинамический
нагрузка
Рисунок 2.5 - Задание
диапазона
расчетных
точек
в программу«Aerodinamika»
Из данной программы после ввода в нее
летно-геометрических параметров (см.рис. 2.4 и 2.5) исходного варианта ЛА мы
получаем необходимые нам для дальнейшего проектировочного расчета аэродинамические
коэффициенты и координаты приложения подъемных сил:

(SF*CYALF) - производная по α коэффициента
подъемной силы изолированного корпуса;

(KALF(K1)*KT1*S1*CYALK1) -
производная по α
коэффициента
подъемной силы, возникающей на корпусе из-за влияния консолей первых несущих
поверхностей;

((1-E/AR)*KALF(K2)*KT2*S2*CYALK2) -
производная по α
коэффициента
подъемной силы, возникающей из-за влияния консолей вторых несущих поверхностей
на подъёмную силу корпуса;

(K1*S1*CYALK1) - производная по α коэффициента
подъемной силы изолированных консолей первых несущих поверхностей;

(KALK1(F)*KT1*S1*CYALK1) -
производная по α
коэффициента
подъемной силы, возникающей из-за влияния корпуса на подъёмную силу консолей
первых несущих поверхностей ;

((1-E/AR)*KT2*S2*CYALK2)-
производная по α
коэффициента
подъемной силы изолированных консолей вторых несущих поверхностей;

((1-E/AR)*KALK2(F)*KT2*S2*CYALK2)-
производная по α
коэффициента подъемной силы, возникающей из-за влияния корпуса на подъёмную
силу консолей вторых несущих поверхностей;

(CYA/AR)- суммарная производная по α коэффициента
подъемной силы всего ЛА;

(XFF)- координата приложения
подъемной силы изолированного корпуса;

(XFF(K1))- координата приложения
подъемной силы, возникающей на корпусе из-за влияния консолей первых несущих
поверхностей;

(XFF(K2))- координата приложения
подъемной силы, возникающей на корпусе из-за влияния консолей вторых несущих
поверхностей.
Составляющие подъемной силы корпуса
соответственно подъемная сила изолированного корпуса; подъемная сила,
возникающая на корпусе из-за влияния консолей первых несущих поверхностей;
подъемная сила консолей первых несущих поверхностей; подъемная сила,
возникающая на корпусе из-за влияния консолей вторых несущих поверхностей;
подъемная сила консолей вторых несущих поверхностей можно определить как
Приближенно можно определить
подъемную силу корпуса ЛА, зная ее вклад в создание подъемной силы ЛА, с
использованием уравнения:
Схема приложения поверхностных сил к
корпусу ЛА показана на рисунке 2.6.
Рисунок 2.6 - Схема приложения
поверхностных нагрузок к корпусу ЛА
Поверхностные силы, приложенные к
корпусу ЛА, должны уравновешиваться массовыми нагрузками.
Массовые нагрузки можно представить
в виде распределенных и сосредоточенных усилий.
Приближенно будем считать, что
плотность компоновки корпуса постоянна, т.е. массовые нагрузки распределены по
длине корпуса пропорционально площади его поперечного сечения.
Массовую нагрузку от линейного
поперечного ускорения определяем

- плотность компоновки ЛА;(2.24)

- масса корпуса ЛА (с
оборудованием, полезным грузом и т.д.);

- объем корпуса;

- величина поперечной перегрузки;

- площадь поперечного сечения
корпуса.
Массовая нагрузка от углового
ускорения

-угловое ускорение ЛА;

- момент поверхностных сил,
действующих на корпус, относительно центра масс:

- координата приложения подъемной
силы консолей первых несущих поверхностей;(2.27)

- координата приложения подъемной
силы консолей вторых несущих поверхностей;(2.28)

- расстояние от носка фюзеляжа до
бортовой нервюры консоли первых несущих поверхностей;

- расстояние от носка фюзеляжа до
бортовой нервюры консоли вторых несущих поверхностей;

- длина бортовой нервюры консоли
первых несущих поверхностей;

- длина бортовой нервюры консоли
вторых несущих поверхностей;

- массовый момент инерции ЛА:

- центр тяжести ЛА:

- координата от центра масс ЛА.
Суммарную массовую нагрузку
определяем как сумму массовых нагрузок от линейного поперечного ускорения и от
углового ускорения:
Массовая нагрузка от линейного
продольного ускорения определяется формулой

- величина продольной
перегрузки;(2.33)

-тяга двигателя.
Характер эпюр массовых нагрузок,
приложенных к корпусу ЛА, показан на рисунке2.7.
Рисунок 2.7 - Схема приложения
уравновешивающих массовых нагрузок к корпусу ЛА
После определения всех нагрузок и
уравновешивания корпуса строят эпюры поперечных сил 
, изгибающих моментов 
, продольных сил 
и сжимающих сил 
.
Уравнения, выражающие зависимость
продольной силы 
от координаты 
по участкам:
Система уравнений для построения
эпюр осевой силы по участкам имеет вид:
Уравнения, выражающие зависимость
поперечной силы 
от координаты 
по участкам:
Система уравнений для построения
эпюр поперечной силы по участкам имеет вид:
Для построения эпюры изгибающего
момента необходимо проинтегрировать 
по координате 
:
Система уравнений для построения
эпюр изгибающего момента по участкам имеет вид:

(2.39)
Определение эквивалентной сжимающей
нагрузки 
. Уравнение, выражающие зависимость 
от координаты 
имеет вид:
Рассмотренный алгоритм реализован в
программе «Нагрузка МК». Программа разработана в математическом пакете Mathcad
14. Инструкция пользователю приведена в Приложении Б.
Программа «Нагрузка МК» внедрена в
учебный процесс.
3. ТЕХНОЛОГИЧЕСКАЯ
ЧАСТЬ
.1 Конструктивно-технологический анализ детали
.1.1 Изучение конструкции детали и анализ ее
технологичности
Рисунок 3.1-Деталь
Габаритные размеры детали:
длина-144мм;
ширина-36мм;
толщина-1,5мм.
Деталь плоская не симметрична относительно обеих
осей. Имеет 2 круглых отверстия и одно пазовое: одно на вертикальной оси
(d=5мм) и удалено на 4,5мм и 26мм от левой боковой и нижней стороны детали
соответственно; второе отверстие размещено на горизонтальной оси (d=5мм) на
расстоянии 20мм от правой боковой стороны детали;
пазовое отверстие размещено на горизонтальной
оси на расстоянии 52,5мм от правой боковой стороны детали Наружный контур
представляет собой Г-образный контур из двух прямоугольников. Первый имеет
размеры 36х9. Второй имеет размеры 9х135. В месте соединения этих
прямоугольников имеется одно скругление радиусом 5мм.
Деталь имеет толщину 1,5 мм. Материал детали
лист Ст 3 ГОСТ 380-94 обладает следующими механическими характеристиками:
Сплав Плотность 

Е, МПаОтносительное
|
удлинение,
|
|
|
|
|
|
|
Ст3
|
7,85
|
470
|
400
|
200000
|
25
|
Технологичность - это сочетание конструктивных
элементов, которые обеспечивают наиболее простое экономичное изготовление
деталей при соблюдении технических и эксплуатационных требований к ним.
Основные технологические требованияк конструкции плоских деталей, получаемых
вырубкой и пробивкой:
Необходимо избегать сложных
конфигураций с узкими и длинными вырезами контура или очень узкими прорезями
:
минимальная ширина контура равна 9мм.
Сопряжения сторон наружного контура
следует выполнять с закруглениями лишь при вырубке детали по всему контуру
: все
радиусы скругления равны.
Наименьшие размеры пробиваемых отверстий
: диаметр
наименьшего пробиваемого отверстия равен 5мм.
Наименьшее расстояние от края
отверстия до прямолинейного наружного контура должно быть не менее S:
наименьшее расстояние открая отверстия до наружного контура равно 1,5мм.
Наименьшее расстояние между
отверстиями при одновременной их пробивке должно быть равно
: расстояние
между двумя одновременно пробиваемыми деталями равно 14,5мм.
Проанализируем соответствие параметров и характеристик
детали основным показателям технологичности холодноштампованных деталей:
1. Наименьшее количество и низкая трудоемкость
операций. Этот показатель выполняется, т.к. для изготовления детали требуется 2
операции: пробивка отверстий и вырубка по контуру.
2. Отсутствие последующей механической
обработки. Деталь после штамповки имеет 14 квалитет точности.
3. Наименьшее количество требуемого оборудования
и производственных площадей.
Для изготовления данной детали требуется один
пресс. Соответственно рабочая площадь мала.
Таким образом, анализ данной детали показывает,
что основные показатели технологичности выполняются, соответственно заданная
деталь технологична.
.1.2 Выбор рационального раскроя материала
Для листовой штамповки выбор исходной заготовки
осуществляется путем экономического анализа возможных вариантов раскроя
материала и определение оптимального.
В качестве критерия оптимальности принимается
коэффициент использования материала (КИМ):
где (3.1)
- суммарная масса изготавливаемой
детали,
- суммарная масса заготовки.
Для вычисления КИМ, при условии, что
лист, из которого производится штамповка, имеет постоянную толщину по всей
плоскости, вместо значений соответствующих масс в формулу (3.1) можно
подставлять значения соответствующих площадей их поверхности:
где (3.2)
- суммарная площадь изготавливаемой
детали,
- суммарная площадь заготовки.
Целесообразно применять малоотходный
вид штамповки, так как при этом можно выдержать довольно большой КИМ и
обеспечить довольно продолжительную живучесть штампа.
При штамповке с боковыми перемычками
ширина полосы рассчитывается с учетом принятой схемы штампа.
Для рационального раскроя необходимо
выбрать схемы расположения заготовок на полосе и расположения полос на листе
стандартных размеров. Предпочтительна раскладка с более широкой полосой и меньшим
шагом штамповки: экономится время при резке листа на полосы и уменьшается время
на вырезку.
Рисунок 3.2 −Первый вариант расположения
детали на полосе
Рисунок 3.3 − Второй вариант расположения
детали на полосе
Наиболее рациональный - первый вариант.
Определим наиболее экономное расположение полос
в листах стандартного размера для получения вырубкой деталей, показанных на
рисунках 3.2 и 3.3. С учетом величин перемычек задача сводится к наиболее
экономному расположению полос на листе стандартных размеров. При расчете примем
ширину полосы 134.04 мм,значения перемычек a и b определяемым по табл.1. [10,
с.7].Варианты расположения полос в листе либо горизонтальное, либо вертикальное
(рисунок 3.4а и 3.4б).
Найдем наиболее экономное расположение полос в
листах стандартного размера для получения вырубкой деталей. Исходные данные для
расчета:
a=2.6 мм; b=2.1мм; A=36 мм
шаг штамповки:
Площадь готовой детали: 
.Для упрощения процедуры нахождения
площади детали воспользовались ЭВМ, стандартный пакет «Компас V12».
Возьмём для раскроя стандартные
листы 1000х2000мм и 1500x3000мм.
Лист 1000x2000 мм:Влис=1000 мм;
Lлис=2000 мм.
рассмотрим расположение полос,
указанных на рисунке 3.5а:
Число полос:
Количество заготовок на одной
полосе:
Число заготовок, вмещающихся на
листе:
Тогда коэффициент использования
материала листа η
определяется
по формуле:
F − площадь одной заготовки;

− количество заготовок,
умещающихся на листе;

− соответственно ширина и
длина разрезаемого листа.
- рассмотрим расположение полос,
указанных на рисунке 3.5б: (все расчеты проводим аналогично предыдущему).
Лист 1500x3000 мм:Влис=1500 мм;
Lлис=3000 мм.
- рассмотрим расположение полос,
указанном на рисунке 3.5в:
рассмотрим расположение полос,
указанном на рисунке 3.5г:
Из полученных результатов видно, что экономичней
использовать лист 1500x3000 мм с продольным размещением полос, так как при этом
коэффициент использования материала выше.
3.1.3 Разработка схемы вырубки-пробивки
Согласно схемы штамповки (рисунок 3.6),
изготовления деталей происходит в такой последовательности. В исходном
положении штампа верхний подвижный блок с пуансонами [2], [3], [4] , [5]
находится в верхнем положении. Подвижный блок закрепляется в ползуне пресса и
имеет возможность двигаться возвратно-поступательно. Между пуансонами [2], [3],
[4] , [5] и матрицей [11], на которой располагают полосу [14], есть расстояние,
которое позволяет положить ее на плоскость матрицы между направляющими планками
[13], [15]. Полоса [14] подается справо налево
Рисунок 3.6 − Схема процесса
вырубки-пробивки (штамповки):
-пуансонодержатель; 2-пуансон для вырубки
(пуансон №1); 3,4,5-пуансоны для пробивания отверстий (пуансоны №2,3,4);
6,7,8-отходы; 9-съемник; 10-постоянный упор; 11-матрица; 12-готовая деталь;
13,15-направляющие планки; 14-полоса; 16-первый временный упор; 17-второй
временный упор рукой штамповщика
или автоматически между направляющими планками [13], [15] до первого временного
упора [16], на который заранее нажимает рабочий, выдвигая его в зону движения
полосы.
С помощью шатуна, который находится на
эксцентриковом вале, и ползуна вращательное движение вала превращается в
возвратно-поступательное перемещение верхнего блока штампа с пуансонами,
вследствие чего подвижный блок с пуансонами [2], [3], [4] , [5] выполняет
рабочий ход вниз. Пуансоны [3], [4] и [5] пробивают три отверстия (два
диаметрами 5 мм и одно пазовое отверстие), а пуансон [2] делает холостой ход.
Отходы [6], [7] и [8] падают в отверстия матрицы в соответствующий бункер. По
окончанию рабочего хода пуансон возвращается в исходное
положение.
Вследствие остаточной деформации полоса [14]охватывает пуансоны и поднимается
вверх вместе с ними. Из-за присутствия в конструкции штампа съемника [9] полоса
снимается с пуансонов [3], [4] и [5] и возвращается на плоскость матрицы. В
этот момент полосу можно просунуть в направлении ко второму временному упору
[18]. Один рабочий ход пресса окончен. Блок с пуансонами выполняет второй
рабочий ход и пуансоны [3], [4] пробивают отверстия втретьей детали, а пуансон
[2] вырубает первую деталь [12] по внешнему контуру. Деталь попадает сквозь
отверстие в матрице и в штамповой плите в бункер с готовой продукцией. По
окончанию рабочего хода пуансоны снова двигаются в верхнее положение.
Вследствие остаточной деформации полоса [14] снова поднимается вместе с
пуансонами, снимается с них и падает отверстием вырубленного контура и
просовывается вперед до постоянного упора. Так совершают изготовление деталей,
которые расположены на полосе до ее окончания.
Разработка технологического
процесса
изготовления
детали
Технологический процесс - часть
производственного процесса, содержащая целенаправленный труд и действия по
изменению состояния предметов труда, в результате которого материал или
полуфабрикат изменяет свои формы, размеры или химический состав на пути
превращения в готовую деталь.
Технологическая документация позволяет решать
две основные задачи: информационную и организационную.
На основе технологической документации создают
сводную информацию для построения комплексной системы инженерно-технических и
планово-экономических расчетов, которая дает возможность планировать и
регулировать производство, правильно налаживать его обслуживание и подготовку.
Разработка технологического процесса как таковая
состоит из комплекса взаимосвязанных работ, предусмотренных Единой системой
технологической подготовки производства (ЕСТПП), и должна выполняться в полном
соответствии с требованиями ГОСТ 14.301 - 83. В зависимости от годового объема
выпуска изделий и принятого типа производства решение технологических задач
осуществляется по-разному.
В соответствии с ГОСТ 3.1109-82 комплект
документов технологического процесса (операции) - это совокупность
технологических документов, необходимых и достаточных для выполнения технологического
процесса (операции).
Комплект документов на единичный технологический
процесс изготовления детали состоит из титульного листа, маршрутной карты,
операционной карты и карты эскизов.Титульный лист является первым листом
комплекта технологических документов, который оформляют на ЕТП изготовления
детали, сборочной единицы или изделия в целом.
На титульном листе указывают название
министерства, в которое входит организация, где разработан данный комплект
документов; название этой организации; подпись лица утвердившего документ;
наименование технологического процесса, на который составлен титульный лист;
наименование детали в соответствии с основной надписью, приведенной в
конструкторском документе; обозначение комплекта технологических документов, на
которые подготовлен титульный лист; фамилию, инициалы, подпись разработчика
данного документа, дату.
Маршрутная карта (МК) является основной
составной частью комплекта технологических документов, где все операции имеют
операционное описание.
При операционном описании технологического
процесса МК выполняет роль сводного документа, в котором указывают номер и
наименование операций, перечень документов, применяемых при выполнении
операций, технологическое оборудование и трудозатраты.
Для описания технологического процесса в МК
используют способ заполнения, при котором информация вносится построчно
несколькими типами строк. Каждому типу строк соответствует свой служебный
символ. Строка, обозначенная символом «А» содержит номер, код и наименование
операции; обозначение документов, применяемых при ее выполнении, обозначенная
символом «Б» содержит наименование оборудования и информацию о трудозатратах,
символом «О» - содержание операции (перехода). [табл.3.1 Набатов А.С].
МК технологического процесса (ТП) изготовления
пластины содержит 5 операций: раскрой, контроль исполнителем, пробивка/вырубка,
галтовка и правка.
Операционную карту холодной штамповки оформляют
на формах 2 и 1б МК по ГОСТ 3.1118-82. МК/ОК применяют при описании
технологической операции холодной штамповки с указанием последовательного
выполнения переходов, данных о СТО и трудовых затратах.
ОК ТП изготовления пластины содержит 9
переходов.
Запись содержания перехода включает:
ключевое слова («Вырубить», «Пробить и т.п.»);
наименование предмета производства,
обрабатываемой поверхности («отверстие»);
информацию о размерах и их условные обозначения;
Карта эскизов (КЭ) - это графический документ,
содержащий эскизы, схемы и таблицы и предназначенный для пояснения
технологического процесса, операций изготовления изделия (составных его
частей). Эту карту применяют для разработки графических иллюстраций к текстовым
технологическим документам и выполняют на формах по ГОСТ 2.301-68.
На КЭ изображают изделие и указывают размеры,
предельные отклонения, обозначения шероховатости, необходимых для выполнения
операции.
.1.4 Определение суммарного потребного усилия
штамповки для изготовления детали
Усилие P вырубки по контуру или пробивки
отверстия, если заготовка или отход свободно проваливается в отверстие матрицы,определяют
так:

-коэффициент,учитывающий
неравномерность толщины материала,его механических свойств, затупление режущих
кромок и т.д.; 
-сопротивление срезу; 
-периметр контура или отверстия (для
упрощения процедуры нахождения периметра будем использовать ЭВМ, стандартный
пакет «Компас V 12»); S-толщина материала; τср=(0,6-0,8)∙σВ(σВ-предел
прочности при растяжении).
Определим усилие пробивки
Усилие для пробивки пуансонами №2 и
№ 4 отверстия диаметром 5мм:

- периметр отверстия;
Усилие для пробивки пуансоном №3
пазового отверстия:

- периметр пазового отверстия;
Суммарное усилие пробивки отверстий:

- суммарный периметр пробивных
отверстий.
Найдем усилие вырубки:

- контур детали.
Тогда максимальное усилие
необходимое для процесса штамповки:
Усилие необходимое для проталкивания
детали:

- высота пояска матрицы.
Суммарное усилие штамповки:
3.2 Проектирование штампа для листовой
штамповки, выбор оборудования
.2.1 Выбор схемы
штампа с учетом разработанной
схемы
вырубки-
пробивки
Для разработки технологического процесса
изготовления детали необходимо выбрать схему штамповки, т.е. последовательность
выполнения операций и схему штампа. Экономичность имеет огромное значение при
выборе техпроцесса и типа штампа.
Выбираем штамп последовательного действия, т.к.
он обладает следующими достоинствами:
меньшая величина потребных производственных
площадей;
возможна работа на быстроходных прессах с числом
ходов в минуту 400 и выше;
более безопасен, т.к. исключено попадание рук в
рабочую зону штампа;
широко применяется для изготовления плоских,
гнутых и полых деталей;
трудоемкость и стоимость изготовления штампов
для вырубки деталей простой конфигурации меньше, чем стоимость штампов
совмещенного действия.
Подача заготовки ручная.
Выбираем последовательный штамп с направляющими
колонками. Штампы с направляющими колонками наиболее распространены в
самолетостроении, т.к. они просты и надежны в эксплуатации.
Готовая деталь (или отход) после операции
вырубки (или пробивки) проваливаются вниз через соответствующие отверстия в
матрице, обойме, нижней плите, подкладной плите и в столе пресса прямо в тару.
3.2.2 Расчет деталей штампа на прочность
.2.2.1Конструирование матрицы
Форма матрицы определяется формой и размерами
штампуемой детали. Размеры прямоугольной матрицы определяем исходя из размера
рабочей зоны.
Рисунок 3.7 −Форма и размеры матрицы
Конструирование и расчет матрицы проводим по
методике [10,стр. 75].
Материал матрицы: сталь У9А ГОСТ
1495-99 (
).
По таблице 17 [10,стр. 75] подбираем
габаритные размеры матрицы, которые соответствуют ГОСТ 15861-81:
Толщину матрицы определяем из
следующей эмпирической зависимости:

- толщина штампуемого материала, мм
(
);

- размеры рабочей зоны матрицы, мм;

- коэффициент, по таблицы[10, стр.
76] определяем 
.
Проверяем достаточность толщины
матрицы по эмпирической формуле:
Р - требуемое технологическое усилие
штамповки, кН (Р=593,79 кН)
Полученную величину округляем до
ближайшего большего числа из ряда рекомендуемых значений [10,стр. 79].
Окончательно получили
.
По данным таблицы 18 [10, стр.77]
определяем, что матрицу следует крепить винтами с резьбой М12 мм и фиксировать
штифтами диаметром 10мм. Исходя из данных таблицы 19 [10, стр.77], определяем
расположение отверстий для винтов и штифтов. Размеры отверстий, определенные по
таблице 18 [10, стр.77] не противоречат условиям, приведенным на эскизе 9 [10,
стр.78]. Окончательно принимаем диаметр винтов М12 мм и штифтов - 10мм.
3.2.2.2 Расчет пуансона для пробивки
отверстия
диаметром
5 мм
Рисунок 3.8 - Эскиз пуансона №2 (№4)
Принимаем пуансон по ГОСТ 16621-80
Материал пуансона: сталь У8АГОСТ
1435-99 при твердости 59HRC
расчет опорной поверхности головки
пуансона на смятие:

- технологическое усилие,
воспринимаемое пуансоном, Н;

- площадь поверхности головки
пуансона,
;

- допускаемое напряжение смятия.

- диаметр опорной части пуансона
для пробивки.

- усилие необходимое для
проталкивания отхода детали диаметром 5мм:
Таким образом, для данного пуансона
между верхней плитой и пуансонодержателеместь необходимости ставить стальную
каленую прокладку.
расчет пуансона на сжатие в
наименьшем сечении:

- наименьшая площадь поперечного
сечения пуансона;

для стали У8А.
Пуансон для пробивки отверстия
диаметром 5 мм:
Условие (3.23) выполняется.
Следовательно, выбранный пуансон не
разрушится под действием продольного изгиба.
расчет свободной длины пуансонов на
продольный изгиб:
l - максимальная длина
свободной части пуансона;

- модуль упругости стали У8А;

- момент инерции сечения пуансона
для пробивки:

- коэффициент безопасности (
для закаленной стали).
3.2.2.3 Расчет пуансона для пробивки пазового
отверстия
Материал пуансона: сталь У8А ГОСТ 1435-99 при
твердости 59 HRC
расчет опорной поверхности головок пуансонов на
смятие:

- технологическое усилие,
воспринимаемое пуансоном, Н;

- площадь поверхности головки
пуансона;

- допускаемое напряжение смятия.
Рисунок 3.9 - Эскиз пуансона №3
Для упрощения процедуры нахождения
площади поверхности головки пуансона воспользовались ЭВМ, стандартный пакет
«Компас V 12»:

- усилие необходимое для
проталкивания отхода детали третьим пуансоном:
Таким образом, для данного пуансона
между верхней плитой и пуансонодержателеместь необходимости ставить стальную
каленую прокладку.
расчет пуансона на сжатие в
наименьшем сечении:

- наименьшая площадь поперечного
сечения пуансона;

- допускаемое напряжение на сжатие
для стали У8А.
Условие (3.28) выполняется.
Следовательно, выбранный пуансон не
разрушится под действием продольного изгиба.
расчет свободной длины пуансона на
продольный изгиб:

- максимальная длина свободной
части пуансона;

- модуль упругости стали У8А;

- минимальный осевой момент инерции
поперечного сечения пуансона;

- коэффициент безопасности (
для закаленной стали).
Для упрощения процедуры нахождения
минимального осевого момента инерции поперечного сечения пуансона
воспользовались ЭВМ, стандартный пакет «Компас V 12»:
3.2.2.4Расчет пуансона для вырубки
детали
Рисунок 3.10 - Эскиз пуансона №1
Материал пуансона: сталь У8А ГОСТ 1435-99 при
твердости 59 HRC
расчет опорной поверхности головки пуансона на
смятие:

- технологическое усилие,
воспринимаемое пуансоном, Н;

- площадь поверхности головки
пуансона;

- допускаемое напряжение смятия.
Для упрощения процедуры нахождения
площади поверхности головки пуансона воспользовались ЭВМ, стандартный пакет
«Компас V 12»:

- усилие необходимое для
проталкивания отхода детали первым пуансоном:
Таким образом, для данного пуансона
между верхней плитой и пуансонодержателеместь необходимость ставить стальную
каленую прокладку.
расчет пуансона на сжатие в
наименьшем сечении:

- наименьшая площадь поперечного
сечения пуансона;

- допускаемое напряжение на сжатие
для стали У8А.
Условие (3.33) выполняется.
Следовательно, выбранный пуансон не
разрушится под действием продольного изгиба.
расчет свободной длины пуансона на
продольный изгиб:

- максимальная длина свободной
части пуансона;

- модуль упругости стали У8А;

- минимальный осевой момент инерции
поперечного сечения пуансона;

- коэффициент безопасности (
для закаленной стали).
Для упрощения процедуры нахождения
минимальный осевой момент инерции поперечного сечения пуансона воспользовались
ЭВМ, стандартный пакет «Компас V 12»:
.
3.2.3 Расчёт исполнительных
размеров
рабочих
деталей штампа и определение его центра
давления
Расчет исполнительных
размеров
матрицы и пуансонов
При пробивке или вырубке контура следует
выяснить, необходимо раздельное или совместное изготовление матрицы и пуансона
с обеспечением зазора оптимальной величины.
Пуансоны для пробивки круглых отверстий является
стандартным, поэтому их можно изготавливать с матрицей раздельно, а для
пазового отверстия и вырубки- совместно.
По таблице 14 [10,с. 67] для 
подбираем двусторонний зазор между
матрицей и пунсоном при штамповке металлов в штампах с металлическими рабочими
деталями:
z = 0,11 мм; Δz = +0,030
мм.
Если размер штампуемого элемента при
изнашивании рабочего инструмента уменьшается, то при раздельном изготовлении
пуансона и матрицы, когда они обрабатываются до окончательных размеров без
взаимного согласования, исполнительные размеры рассчитываются по формулам
таблицы 12 [10,с. 62]:

(3.35)

,где (3.36)

− номинальный размер
штампуемого элемента;

− припуск на износ матрицы и
пуансона;

− абсолютные значения полей
допусков.
По таблице 13 [10, стр.64]
определяем припуски на износ для таких размеров:
отверстия диаметром 5мм :
;
радиус пазового отверстия 3мм:
;
размер 9мм: 
;
размер 10мм: 
;
размер 20мм: 
;
размер пазового отверстия 25мм: 
;
размер 36мм: 
;
размер 144мм: 
.
По таблице 15 [10, стр. 72]находим
поля допусков - для матрицы H8 (+0,018), для пуансона h7 (-0,012). Условие 
мм соблюдается. По формулам (3.35) и
(3.36) определяем исполнительные размеры матрицы и пуансона:

мм;

мм.
Если размер штампуемого элемента при
изнашивании рабочего инструмента уменьшается, то при совместном изготовлении
пуансона и матрицы, т.е. они обрабатываются до окончательных размеров при
взаимном согласовании, исполнительные размеры рассчитываются по формулам
таблицы 12 [10, с. 62]:

(3.37)

обеспечивается доработкой по
пуансону с зазором z и допуском на зазор 
Для радиуса 3 мм определим по
формуле (3.37) исполнительный размер пуансона:
Если размер штампуемого элемента при
изнашивании рабочего инструмента не изменяется, то при совместном изготовлении
пуансона и матрицы, т.е. они обрабатываются до окончательных размеров при
взаимном согласовании, исполнительные размеры рассчитываются по формулам
таблицы 12 [10, с. 62]:

, где (3.38)

обеспечивается доработкой по
матрице с зазором z и допуском на зазор 

− предельное отклонение
номинального размера штампуемого элемента.
Значения 
для размеров:
мм 
;
мм 
;
мм 
.
По формуле (3.38) определим
исполнительные размеры матрицы:

мм,

мм,

мм.
Пуансон для вырубки детали
изготавливается совместно с матрицей.
Если размер штампуемого элемента при
изнашивании рабочего инструмента увеличивается, то при совместном изготовлении
пуансона и матрицы, т.е. они обрабатываются до окончательных размеров при
взаимном согласовании, исполнительные размеры рассчитываются по формулам таблицы
12 [10, с. 62]:

(3.39)

обеспечивается доработкой по
матрице с зазором z и допуском на зазор 
По формуле (3.39) определим
исполнительные размеры матрицыдля:
дуги окружности радиусом 5 мм:
размер 9мм:
размер 36мм:
размер 144мм:
Размер пуансона 
следует обеспечить его доработкой
по матрице с равномерным двусторонним зазором 
мм.
Определение центра давления штампа
Центр давления - это точка приложения
равнодействующей всех усилий штамповки (рисунок 3.11). Ось равнодействующей
усилий штамповки должна совпадать с осью хвостовика штампа. Иначе возникнут
перекос штампа, неравномерность зазоров между матрицей и пуансоном и даже
поломка штампа,что крайне нежелательно.
Рисунок 3.11 - Схема определения центра давления
Воспользуемся известной теоремой механики о том,
что сумма моментов сил относительно какой-либо оси равна моменту
равнодействующей этих сил относительно той же оси. Составляем два основных
уравнения относительно обеих координатных осей x и y.
Определяем координаты центра давления:
.2.4 Описание конструкции
штампа
Описание конструкции штампа содержит ссылки на
позиции сборочного чертежа К104.КР.446.01.00 СБ, приложенного к пояснительной
записке.
Штамп состоит из двух блоков: подвижного
(верхнего) и неподвижного (нижнего).
Неподвижный блок состоит из нижней плиты [5], в
которую запрессованы направляющие колонки [16]; матрица [1], на которой
расположены направляющие планки [3], разовые упоры[20], грибковый упор [19] и
съемник [2].
Детали неподвижного блока соединяются с помощью
винтов[11] и штифтов[22].
Направляющие колонки [17] и [18] и втулки [15]и
[16] служат для направления верхней части штампа относительно нижней.
Направляющие планки [3] служат для фиксации полосы в направлении,
перпендикулярном подаче полосы. Упоры [19] и [20] предназначены для фиксации
подачи полосы на шаг. Для съема детали или отхода применяют специальное
устройство - съемник [2].
Подвижный блок включает хвостовик [21], верхнюю
плиту [4], в которую запрессованы направляющие втулки [15], подкладную плиту
[6], пуансонодержатель [10], пуансон для вырубки [7], пуансоны для пробивки [8]
и [9].
Пуансонодержатель [10] предназначен для
крепления пуансонов [7], [8] и [9].
Пуансонодержатель [10] и подкладная [6] плитка
крепятся к верхней плите [4] винтами [12] с фиксацией штифтами [23], что
предотвращает смещение пуансонов [7], [8] и [9]относительно матрицы [1] при
работе штампа.
Хвостовик [21] служит для крепления верхней
части штампа к ползуну. Хвостовик фиксируется на верхней плите с помощью винта
[14].
Подбор деталей штампа
По размерам рабочей зоны подбираем габаритные
размеры матрицы и рассчитываем ее толщину по эмпирическим формулам [10,
стр.75].Используя полученные размеры матрицы, выбираем нижнюю и верхнюю плиты
№45 ГОСТ 13124-83 по табл.4 [10, с.449].
Пуансон для пробивки круглых отверстий является
стандартным изделием (ГОСТ 16621-80). Его размеры выбираем по табл.25 [10,
с.94] для отверстий диаметром 5 мм.
Пуансон для вырубки в сечении повторяет контур
штампуемой детали в сечении, а высота его соответствует высоте пуансона для
пробивки.
Длина и ширина съемника определяются
соответствующими размерами матрицы (250×250), толщину
принимаем 32мм. Неподвижный съемник выполняется с отверстиями, повторяющими
контур соответствующих пуансонов с зазором, определяемым по табл.28. [10,
с.113] 
Высоту грибкового упора 
и толщину направляющих планок 
ГОСТ 18740-80 выбираем по таблице
27 [10, с.108]:
Установочные размеры разовых упоров
по ГОСТ 18741-80 с пружиной возврата выбираем по таблице 34 [10, c.126].
Длина и ширина пуансонодержателя и
подкладной плитки определяются соответствующими размерами матрицы. Толщина их
назначается конструктивно (толщина пуансонодержателя 34 мм, подкладной плитки
6мм).
Направляющие колонки ГОСТ 13118-83,
направляющие втулки ГОСТ 13120-83
Хвостовик штампа ГОСТ 16717-71
(размеры по табл.12[10, с.469])
Диаметры винтов и штифтов для
крепления выбираем согласно рекомендациям[10, с.77].
Полученная толщина пакета 
:
где 
- зазор между пуансонодержателем и
съемником.
Штамп собирается в такой
последовательности:
в матрицу [1] запрессовывается
грибковый упор [19];
в нижнюю плиту [5] запрессовывают
направляющие колонки [17, 18];
на нижнюю плиту [5] кладем матрицу
[1], с запрессованным в нее грибковым упором [19];
в направляющие планки [3]
устанавливают разовые упоры [20]с пружинами [24];
на матрицу[1] кладем направляющие
планки [3], с установленными разовыми упорами [20];
между направляющими планками [3]
кладем полосу;
на направляющие планки [3] кладем
съемник[2];
с помощью щупов выставляем зазоры
между направляющими планками [3] и полосой;
закрепляем съемник [2] с
направляющими планками [3], матрицей [1] и нижней плитой [5] 6 винтами [11];
крепим съемник [2] с направляющими
планками [3], матрицей [1] и нижней плитой [5] струбцинами;
рассверливаем в съемнике [2],
направляющих планках [3], матрице [1] и нижней плите [5] 4 отверстия под штифты
[22];
в нижнюю плиту штампа [5]
запрессовывают 4 штифта [22] и снимают струбцины;
в верхнюю плиту [4] запрессовывают
направляющие втулки [15, 16];
на верхнюю плиту [4] кладут
подкладную плиту [6];
в пуансонодержатель[10]
запрессовывают пуансоны [7, 8, 9]и в сборе шлифуют;
крепим верхнюю плиту [4] с
подкладной плитой [6], пуансонодержателем[10] с пуансонами [7, 8, 9] 4 винтами
[12];
устанавливаем верхнюю часть штампа
на направляющие колонки [17, 18] до закрытого положения и с помощью фольги
выставляем пуансоны [7, 8, 9] относительно матрицы [1] с соблюдением зазора
между ними;
верхнюю часть штампа фиксируем
струбцинами и рассверливаем 4 отверстия под штифты [23];
снимаем струбцины с верхней части
штампа и запрессовываем 4 штифта [23];
устанавливаем в верхнюю плиту
хвостовик [21] и рассверливаем отверстие 
8, а после нарезаем резьбу М10;
контрим хвостовик [21] установочным
винтом [14];
смазываем колонки [17, 18]
техническим вазелином, после сборки штампа проверяем плавность перемещения
верхнего блока.
3.2.5. Выбор пресса для
спроектированного штампа
В штамповочном производстве
сравнительно небольших деталей чаще всего применяют механические прессы - ввиду
большого числа ходов ползуна они отличаются высокой производительностью.
К выбираемому прессу предъявляют
следующие основные требования:
. Нужное усилие штамповки
должно быть меньше или равно
номинальному усилию
, развиваемому прессом:
По табл.12 [7, с.35] выбираем пресс,
номинальное усилие которого

.
. Мощность пресса должна быть
достаточной для выполнения работы данного процесса штамповки.
. Величина хода ползуна должна
соответствовать процессу штамповки.
. Габариты стола и ползуна пресса
должны соответствовать размерам штампа.
. Число ходов пресса должно
обеспечивать высокую производительность работы.
Выбранный пресс соответствует
основным, предъявляемым требованиям.
Параметры пресса
|
Номинальное
усилие Р пресса, кН
|
630
|
|
Ход
ползуна, мм
|
100
|
|
Число
ходов ползуна в минуту
|
40
|
|
Наибольшее
расстояние между столом и ползуном вего нижнем положении при нормальном
ходе, мм
|
400
|
|
Расстояние
от оси ползуна до станины, мм
|
310
|
|
Размеры
стола, мм
|
В
|
860
|
|
L
|
570
|
|
Размеры
отверстия в столе, мм
|
L1
|
310
|
|
B1
|
450
|
|
d
|
400
|
|
Размеры
отверстия в ползуне для крепления штампа, мм
|
d’
|
50
|
|
l
|
70
|
|
Угол
наклона станины, град.
|
30
|
|
Вес
пресса с нормальным (тихоходным) числом ходов (не более), кг
|
5500
|
4 .ЭКОНОМИЧЕСКАЯ
ЧАСТЬ
4.1 Расчет себестоимости
изделия
и цены
единицы
изделия
Себестоимость продукции - это выраженные в
денежной форме затраты предприятия на ее выпуск и реализацию.
Себестоимость является одним из важнейших
обобщающих показателей деятельности предприятия, который отражает эффективность
использования трудовых, материальных и финансовых ресурсов.
Себестоимость единицы изделия будем определять
по калькуляционным статьям расходов на производство продукции.
.1.1 Определение технологической
себестоимости
1) расходы на сырье и основные материалы

- норма расхода основных материалов
на единицу изделия;

- цена основных материалов (Лист
х/к Ст.3 1.5х1500х3000мм ГОСТ 16523-89).
Определим норму расходов:

- плотность материала;

- объем одной детали.
Таким образом, расходы на сырье и
основные материалы

.
) покупные, комплектующие изделия и
полуфабрикаты
Покупных, комплектующих изделий и
полуфабрикатов нет, поэтому 
.
)возвратные отходы

- норма отходов на единицу изделия;

- цена отходов.
Норма отходов определяется следующим
образом:

- масса листа,

- масса готовой продукции.
Следовательно, норма отходов равна:
Возвратные доходы:

.
)основная зарплата производственным
рабочим
Основная заработная плата
производственным рабочим определяется следующей формулой:

- средняя часовая ставка
производственного рабочего;

- трудоемкость одного изделия.
Следовательно, основная зарплата
производственным рабочим равна

.
5)дополнительная зарплата
производственным рабочим
Дополнительная зарплата
производственным рабочим составляет 
от основной заработной платы, т.е.
Следовательно, 
.
6)отчисления
Отчисления на основную и
дополнительную зарплату составляют 
, таким образом
7) расходы на содержание и эксплуатацию
оборудования
Расходы на содержание и эксплуатацию
оборудования определим по следующей формуле:

.
8)технологическая себестоимость

.
4.1.2 Определение цеховой себестоимости
)цеховые расходы
Цеховые расходы на производство
можно вычислить следующим образом:

.
2)расходы на освоение новых видов
изделий
На освоение новых видов изделий
необходимы определенные затраты, которые можно вычислить следующим образом:

.
3) специальные расходы
Специальные расходы определяют
следующим образом:

.
4)цеховая себестоимость

.
4.1.3 Определение производственной
себестоимости
1)общезаводские расходы
Общезаводские расходы вычисляют с учетом заработной
платы производственных рабочих:

.
)производственная себестоимость

.
.1.4 Определениеполнойсебестоимости
)внепроизводственные расходы

.
2) полная себестоимость
4.1.5 Определение прибыли
Прибыль вычисляется по следующей формуле:
4.1.6 Виды цен
и порядок их формирования
Определим оптовую цену всех деталей:

.
Оптовая цена одной детали:
Определяем отпускную цену одной
детали:

- налог на добавочную стоимость.

.

.
Свободные оптовые цены на продукцию
(услуги) производственно-технического назначения устанавливаются производителем
на равной основе с потребителем продукции и определяются с учетом налога на
добавленную стоимость при расчетах изготовителей со всеми потребителями (кроме
населения), в том числе с посредниками (включая снабженческо-бытовые,
торгово-закупочные предприятия и прочее).
Свободные отпускные цены на ТНП
устанавливаются с учетом НДС изготовителями товаров по согласованию с
розничными торговыми предприятиями, реализующие товары населению, а также с
посредниками.Эти цены определяются исходя из конъюнктуры рынка (спроса и
предложения, качества и потребительских свойств продукции).
Цены с учетом акцизного налога в
свободных оптовых ценах на продукцию производственно-технического назначения и
свободных отпускных ценах на ТНП учитывается себестоимостью и НДС.
Цены на продукцию и товары,
поставленные через посредников (торгово-закупочные, снабженческо-бытовые
организации и другие) определяются из сбытовых оптовых (отпускных) цен и
снабженческо-бытовой надбавки, уровень которой определяется по согласованию
сторон (между посредником и потребителем).

.
При производстве различных
модификаций однородной продукции, в целях стимулирования повышения ее качества,
свободные оптовые цены могут дифференцироваться изготовителем с учетом
потребительских свойств из свободной цены базового вида и доплат (скидок) за
качество конкретного исполнения продукции.
Таблица 3.1 - Сводка значений
|
1
|
Расходы
на сырье и основные материалы
|
|
|
2
|
Покупные,
комплектующие изделия и полуфабрикаты
|
0
|
|
3
|
Возвратные
отходы
|
|
|
4
|
Основная
зарплата производственным рабочим
|
|
|
5
|
Дополнительная
зарплата производственным рабочим
|
|
|
6
|
Отчисления
|
|
|
7
|
Расходы
на содержание и эксплуатацию оборудования
|
|
|
8
|
Технологическая
себестоимость
|
|
|
9
|
Цеховые
расходы
|
|
|
10
|
Расходы
на освоение новых видов изделий
|
|
|
11
|
Специальные
расходы
|
|
|
12
|
Цеховая
себестоимость
|
|
|
13
|
Общезаводские
расходы
|
|
|
14
|
Производственная
себестоимость
|
|
|
15
|
Внепроизводственные
расходы
|
|
|
16
|
Полная
себестоимость
|
|
|
17
|
Прибыль
|
|
|
18
|
Оптовая
цена всех деталей
|
|
|
19
|
Оптовая
цена одной детали
|
|
|
20
|
Отпускная
цена одной детали
|
|
Вывод
Был произведен расчет себестоимости детали, ее
оптовая и отпускная цены
5.
ОХРАНА ТРУДА
.1 Выявление и анализ опасных и вредных
производственных факторов, действующих в рабочей зоне проектируемого изделия
5.1.1 Краткое описание прототипа объекта
проектирования и его упрощенная функциональная схема
Объект проектирования - литейный цех.
Литейный цех является одним из цехов
машиностроительного производства, продукцией которой являются отливки
<#"603177.files/image764.gif">
(5.1)
найдем выделение пыли (миллиграммах)
за 1час:

(5.2)
при наличии местных отсосов
требуемый воздухообмен определяем по формуле:

(5.3)
Кратность воздухообмена в цехе
составит:

(5.4)
то есть за 1 час воздух в цехе
должен обмениваться 9.7 раз. В этом случае концентрация пыли в рабочей зоне не
превысит ПДК.
при отсутствии местных отсосов
формула (4.3) упрощается:

(5.5)
Кратность воздухообмена в цехе при
отсутствии местных отсосов:

(5.6)
.3 Обеспечение экологической
безопасности функционирования проектируемого объекта при воздействии опасных и
вредных производственных факторов
Проблему охраны окружающей среды в
литейном производстве необходимо решать комплексно: разрабатывать и
использовать в производстве малотоксичные материалы, создать на всех участках
цеха устройства по реализации и обезвреживанию газовыделений, эффективнее
использовать материальные и топливно-энергетические ресурсы путем регенерации и
утилизации отходов, не утилизируемые отходы складировать в отвалах, с
наименьшим ущербом для окружающей среды.
Для предупреждения выделения
вредностей, их локализации и обезвреживания, утилизации отходов применяется
комплекс природоохранных мероприятий, включающий использование:для очистки от
пыли - искрогасителей, мокрых пылеуловителей, электростатических
пылеуловителей, скрубберов (вагранки), тканевых фильтров (вагранки, дуговые и
индукционные печи), щебёночных коллекторов (дуговые и индукционные
электропечи);для дожигания ваграночных газов - рекуператоры, системы очистки
газов, установки низкотемпературного окисления СО;для уменьшения выделения
вредностей формовочных и стержневых смесей - снижение расхода связующего,
окисляющие, связующие и адсорбирующие добавки;для обеззараживания отвалов -
устройство полигонов, биологическая рекультивация, покрытие изоляционным слоем,
закрепление грунтов и т.д.;
для очистки сточных вод -
механические, физико-химические и биологические методы очистки.
Вывод
В данном разделе был рассмотрен
литейный цех, в котором выполняется производство силового шпангоута отсека ЛА
класса «В-В». Были описаны геометрические параметры цеха и оборудование
задействованное в производстве. Так же перечислены опасные и вредные факторы,
присущие данному типу производства и пути защиты и предотвращения этих
факторов. Произведен расчет требуемого воздухообмена в литейном цеху.
ЗАКЛЮЧЕНИЕ
В выпускной работе бакалавра
спроектирован рулевой отсек ЛА класса «Воздух-Воздух». При проектировании и
компоновке силового привода и механизма управления использовался подход
обеспечения высокой плотности. Это дало возможность пространственного
размещения и расположения всех необходимых элементов приводов и механизма
управления.
В результате была спроектирована,
рассчитана и по результатам расчёта выбрана система управления, работающая на
воздушном аккумуляторе давления. Выбраны пневматические рулевые машинки, как
наиболее применяемые и используемые.
Оформлена проектно- конструкторская
документация:
Чертежи:
Компоновочная схема ЛА (1л) (формат
А1 ГОСТ 2.301-68);
Отсек управления ЛА класса
«воздух-воздух», чертеж общего вида (1л) (формат А0 ГОСТ 2.301-68)
Штамп последовательного действия для
вырубки-пробивки уголка, сборочный чертеж (1л)
(формат А1 ГОСТ 2.301-68);
Спецификация к сборочному чертежу .
Комплект документов на единичный
технологический процесс изготовления уголка (4л) (ГОСТ 3.1105-84 форма 2, ГОСТ
3.1118-82 форма 1, 1б, 2)
Таблица «Анализ вредных и опасных
производственных факторов рабочего литейного цеха» (1л) (формат А2 ГОСТ
2.301-68);
Расчетно-пояснительная записка
объемом 136 листов
(формат А4 ГОСТ 2.301-68)
БИБЛИОГРАФИЧЕСКИЙ СПИСОК
Конструкции
летательных аппаратов и их систем. Ч. 3 / А. И. Андриенко, В. В. Кириченко, В.
И. Парасюк, М. Ю. Русин, А. А. Цирюк. - Конспект лекций. - Харьков: Нац.
аэрокосм. ун - т «Харьк. авиац. ин - т», 2005. - 108 с.
И.
С. Голубев, А. В. Самарин «Проектирование конструкций ЛА» - Москва: 1991
В.
Н. Новиков, Б. М. Авхимович «Основы устройства и конструирования ЛА» Москва:
1991
В.
И. Анурьев «Справочник конструктора машиностроителя» - Том 1. - Москва: 1979
Конструкции
и проектирование механических систем управления летательными аппаратами: Учеб.
Пособие / А.И. Андриенко, П.Ф. Вербенец. - Харьков: Харьк. авиац. ин-т, 1984. -
79с.
Романовский
В.П. Справочник по холодной штамповке. - Л.: Машиностроение, 1979 - 520с.
Технология
производства летательных аппаратов: Курсовое проектирование/Под ред. Кононенко
В.Г. - Киев: Вища школа, 1974 - 224 с.
Зубцов
М.Е. Листовая штамповка. - Л.: Машиностроение, 1980 - 431 с.
Набатов
А.С. Проектирование технологических процессов в производстве летательных
аппаратов и двигателей. - Харьков. ХАИ,1987 - 98 с.
Справочник
конструктора штампов. Листовая штамповка./Под ред. Рудмана Л.И. - М.:
Машиностроение, 1980. 431 с.
ПРИЛОЖЕНИЕ А
Определение диаметра приводного вала в среде
Excel
|
Исходные
данные
|
|
Mизг
|
Mкр
|
f
|
sigma(в)
|
|
447
|
108
|
1,3
|
1600000000
|
|
|
|
|
|
Целевая
функция
|
Ограничения
|
|
F
|
0,000193769
|
dмин
|
0,022
|
|
|
0,6≤α≤0,7
|
0,6
|
|
|
|
0,7
|
|
|
|
|
|
Изменяющиеся
величины
|
|
dв
|
α
|
d0
|
dп
|
|
0,022
|
0,7
|
0,0154
|
0,025
|
|
|
|
|
|
Осевой
и полярный момент сопротивления
|
|
Wос
|
7,9397E-07
|
|
Wρ
|
1,58794E-06
|
|
|
|
|
|
Напряжения
|
|
sigma(max)
|
7,3189E+08
|
|
tau(max)
|
8,8416E+07
|
|
sigma(экв)
|
7,5295E+08
|
ПРИЛОЖЕНИЕ Б
Инструкция по использованию программы «Нагрузка
МК»
Программа написана в среде математического
пакета Mathcad 14.
Переприсвоение размерностей
Б.1.1 Геометрические и массовые характеристики
ЛА
Длина корпуса, м:
Длина носовой части, м:
Диаметр корпуса, м:
Размах первой консоли, м:
Расстояние от носка фюзеляжа до бортовой нервюры
первой консоли,м:
Длина бортовой нервюры первой консоли,м:
Длина концевой нервюры первой консоли,м:
Размах первых несущих поверхностей,м:
Угол стреловидности по передней кромке первых
несущих
поверхностей, град:
Расстояние от носка фюзеляжа до бортовой нервюры
второй консоли,м:
Длина бортовой нервюры второй консоли,м:
Длина концевой нервюры второй консоли,м:
Размах второй консоли,м:
Б.1 ВВОД ДАННЫХ
Размах вторых несущих поверхностей,м:
Угол стреловидности по передней кромке вторых
несущих
поверхностей,
град:
Стартовая масса ЛА,кг:
Ускорение свободного падения,
:
Тяга двигателя,Н:
Расстояние от носка фюзеляжа до точки приложения
тяги двигателя,м:
Угол атаки, град:
Б.1.2 Аэродинамические коэффициенты
- производная по α
коэффициента
подъемной силы изолированного корпуса
:
- производная по α
коэффициента
подъемной силы, возникающей на корпусе из-за влияния консолей первых несущих
поверхностей
:
- производная по α
коэффициента
подъемной силы, возникающий из-за влияния консолей вторых несущих поверхностей
на подъёмную силу корпуса
:
Располагаемая поперечная перегрузка:
- производная по α
коэффициента
подъемной силы изолированных консолей первых несущих поверхностей
:
- производная по α
коэффициента
подъемной силы, возникающий из-за влияния корпуса на подъёмную силу консолей
первых несущих поверхностей
:
- производная по α
коэффициента
подъемной силы изолированных консолей вторых несущих поверхностей
:
- производная по α
коэффициента
подъемной силы, возникающей из-за влияния корпуса на подъёмную силу консолей
вторых несущих поверхностей
:
- суммарная
производная по α коэффициента
подъемной силы всего ЛА:
Б.1.3 Координаты приложения подъемных сил
- координата
приложения подъемной силы изолированного корпуса:
- координата
приложения подъемной силы консолей первых несущих поверхностей:
- координата
приложения подъемной силы, возникающей на корпусе из-за влияния консолей первых
несущих поверхностей:
- координата
приложения подъемной силы консолей вторых несущих поверхностей:
- координата
приложения подъемной силы, возникающей на корпусе из-за влияния консолей вторых
несущих поверхностей:
Укажите схему расположения консолей
Выберите схему:
если схема "+",то kod=1;
если схема "х",тоkod=2.
Укажите вид несущих поверхностей
Для первых несущих поверхностей:
стреловидного и прямого крыла k1=1, для
треугольного k1=2
Для вторых несущих поверхностей:
стреловидного и прямого крыла k2=1, для
треугольного k2=2
Б.2 ПОДЪЕМНАЯ СИЛА, СОЗДАВАЕМАЯ ПЕРВЫМИ НЕСУЩИМИ
ПОВЕРХНОСТЯМИ
Подъемная сила всего ЛА, Н:
-
коэффициент учитывающий долю консоли в создании подъемной силы крыла:
-
поправка на неравномерность нагрузки между верхними и нижними крыльями:
Б.3 ПОДЪЕМНАЯ СИЛА, СОЗДАВАЕМАЯ ВТОРЫМИ НЕСУЩИМИ
ПОВЕРХНОСТЯМИ
- коэффициент
учитывающий долю консоли в создании подъемной силы крыла:
-
поправка на неравномерность нагрузки между верхними и нижними крыльями:
Б.4 НАГРУЗКА, ДЕЙСТВУЮЩАЯ НА ПЕРВЫЕ НЕСУЩИЕ
ПОВЕРХНОСТИ
Уравнение передней кромки консоли крыла в
координатной системе 
:
Уравнение задней кромки консоли крыла в
координатной системе 
:
Площадь консоли первых несущих поверхностей:
Погонная массовая нагрузка на крыло:
Погонная аэродинамическая нагрузка действующая
на консоли:
Перерезывающая сила в расчетном сечении консоли
крыла:
Изгибающий момент в расчетном сечении крыла:
Значение шага :
Количество шагов:


Распределение перерезывающей силы на консоли
крыла
Распределение изгибающего момента на консоли
крыла
Распределение крутящего момента на консоли крыла
Б.5 НАГРУЗКА, ДЕЙСТВУЮЩАЯ НА ВТОРЫЕ НЕСУЩИЕ
ПОВЕРХНОСТИ
Уравнение передней кромки консоли крыла в
координатной системе 
:
Уравнение задней кромки консоли крыла в
координатной системе 
:
Площадь консоли первых несущих поверхностей:
Погонная массовая нагрузка на крыло:
Погонная аэродинамическая нагрузка действующая
на консоли:
Перерезывающая сила в расчетном сечении консоли
крыла:
Изгибающий момент в расчетном сечении крыла:
Крутящий момент в расчетном сечении крыла:
Распределение перерезывающей силы на консоли
вторых несущих поверхностей
Распределение изгибающего момента на консоли
крыла
Б.6 НАГРУЗКИ, ДЕЙСТВУЮЩИЕ НА КОРПУС
) определение объём корпуса:
2) определение плотность компоновки:
3) определение центра тяжести:
4) определение массового момента инерции:
5)определение сосредоточенных сил от всей
подъёмной силы ЛА:
Подъемная сила фюзеляжа без влияния консолей:
Подъемная сила, возникающая на корпусе из-за
влияния консолей первых несущих поверхностей:
Подъемная сила консолей первых несущих
поверхностей:
Подъемная сила, возникающая на корпусе из-за
влияния консолей вторых несущих поверхностей:
Подъемная сила консолей вторых несущих
поверхностей:
Проверка найденных составляющих подъемной силы
ЛА:
ПРОВЕСТИ СОРТИРОВКУ СИЛ ПО КРИТЕРИЮ УДАЛЁННОСТИ
ОТ НОСКА КОРПУСА
Все сосредоточенные аэродинамические силы
упорядочиваются в зависимости от их удаления от носка корпуса ( производится
сортировка Yi по координатам точек их приложения Xi)
ИНЕРЦИОННЫЕ НАГРУЗКИ
6)определение инерционной нагрузки от
вертикального ускорения создающего перегрузку
Выразим ее, как функцию от координаты x
-
текущая площадь:
Максимальное значение достигается при x=
и остается постоянной до
x=
7)определение инерционной нагрузки от
горизонтального ускорения создающего перегрузку
Выразим ее, как функцию от координаты x
Максимальное значение достигается приx=
и остается постоянной
до x=
8)определение инерционной нагрузки от углового
ускорения относительно оси z при маневре в вертикальной плоскости
Момент от действия аэродинамических сил:
Инерционная нагрузка от углового ускорения
равна:
9) определение суммарной нагрузки как суммы
инерционных нагрузок от вертикального ускорения и углового ускорения:
Сведем полученные значения инерционных нагрузок
в таблицу
Эпюра инерционной нагрузки от
Эпюра инерционной нагрузки от
Эпюра инерционной нагрузки от углового ускорения
Эпюра суммарной нагрузки
Б.7 Построение эпюр Nос, Qпопер, Mизг, Nэкв
Для построения эпюры осевой силы N необходимо
проинтегрировать функцию
по координате x:
Уравнения, выражающие зависимости поперечной
силы от координаты x по участкам:
Для построения эпюры изгибающего момента
необходимо проинтегрировать
по координате x:
Определим эквивалентную сжимающую силу
:
радиус корпуса ЛА
- координата
приложения
,
,
,
к
корпусу ЛА