Определение влияния концентрации тяжелых металлов на процесс формирования проростков ячменя

  • Вид работы:
    Дипломная (ВКР)
  • Предмет:
    Экология
  • Язык:
    Русский
    ,
    Формат файла:
    MS Word
    1,5 Мб
  • Опубликовано:
    2013-04-19
Вы можете узнать стоимость помощи в написании студенческой работы.
Помощь в написании работы, которую точно примут!

Определение влияния концентрации тяжелых металлов на процесс формирования проростков ячменя

Введение

На всех стадиях своего развития человек был тесно связан с окружающим миром. Но с тех пор как появилось высокоиндустриальное общество, опасное вмешательство человека в природу резко усилилось, расширился объём этого вмешательства, оно стало многообразнее и сейчас грозит стать глобальной опасностью для человечества. Расход невозобновимых видов сырья повышается, все больше пахотных земель выбывает из экономики, так на них строятся города и заводы. Человеку приходится все больше вмешиваться в хозяйство, биосферы - той части нашей планеты, в которой существует жизнь. Биосфера Земли в настоящее время подвергается нарастающему антропогенному воздействию.

В современном мире техногенное загрязнение стало одним из наиболее значимых экологических факторов, определяющих новые условия существования и эволюции всей биоты, включая человека. Процессы естественного развития экосистем и изменения в их функционировании под влиянием антропогенных воздействий во многом определяются не только силой воздействия или временными характеристиками, но и, в первую очередь, природой действующих факторов. Активное отношение растительного организма к воздействию неблагоприятных факторов проявляется в его адаптивных возможностях. Несмотря на то, что растения способны приспосабливаться к химическим стрессорам, большинство видов растений весьма чувствительны к избытку микроэлементов. Однако установить токсические концентрации для конкретного растения в естественных условиях его произрастания весьма сложно. Видимые симптомы токсичности могут проявиться уже в том случае, когда в растениях происходят необратимые физиолого-биохимические изменения. И самое главное, что касается культурных видов растений, ткани этих растений могут накопить такое количество токсического элемента, которое будет опасно для здоровья человека, потребляющего эту растительную продукцию. Большинство химических элементов необходимы для нормальной жизнедеятельности растений поэтому, говоря об устойчивости растений к тяжелым металлам, имеются в виду их токсические концентрации в субстрате. Существует два источника поступления тяжелых металлов в окружающую среду: природный и техногенный. Из природных - наибольшее значение имеют выветривание горных пород и минералов, эрозия почв, вулканическая деятельность, высокие естественные уровни содержания тяжелых металлов в почвообразующих породах. Основными техногенными источниками поступления тяжелых металлов в окружающую среду являются выбросы промышленных предприятий черной и цветной металлургии, металлообрабатывающей, горнодобывающей промышленности, тепловой энергетики, а также автомобильный транспорт. В связи с этим возникает необходимость выявлять новые методы контроля, которые будут быстро реагировать на изменяющиеся условия. Решением этого вопроса стало принятие биологического мониторинга, дающего интегральную оценку последствий для представителей живой природы действия комплекса загрязняющих окружающую среду веществ и качества среды обитания человека. Биологический контроль окружающей среды включает две основные группы методов биоиндикацию и биотестироание. Возможность использования живых организмов, как индикаторных видов, которые в силу своих генетических, физиологических, аналитических и поведенческих особенностей способны существовать в узком интервале определенного фактора в среде. Применение в качестве биоиндикаторов растений, животных и даже микроорганизмов позволяет проводить биомониторинг воздуха, воды и почвы.

Целью данной работы является определение влияния концентрации тяжелых металлов, на примере хрома, кобальта, свинца и никеля и их соединений, на процесс формирования проростков ячменя, являющихся тест-объектами.

Актуальность работы состоит в том, что методы, которыми мы пользовались, позволяют проводить экспресс оценку наличия загрязнителей в окружающей среде, они более просты и дешевы по сравнению с физико-химическими методами определения и соответственно более доступны.

Для достижения цели данной работы были поставлены следующие задачи:

исследовать влияние соединений хрома, кобальта, свинца и никеля в концентрациях кратных предельно допустимой концентрации в почве на параметры тест-объекта;

оценить возможность применения в качестве потенциального тест-объекта проростков ячменя.

Для достижения этих задач на основе сходных методик используемых при биологических исследованиях была разработана и апробирована методика исследования влияния содержания тяжелых металлов на параметры тест-объектов растительного происхождения.

Глава 1. Литературный обзор

1.1 Мониторинг состояния окружающей среды

В условиях ускоренного научно-технического развития и бурного роста промышленного производства охрана окружающей среды стала одной из важнейших проблем современности, решение которой неразрывно связано с охраной здоровья нынешнего и будущего поколений людей. Это вызвано тем, что по мере развития производительных сил общества, роста масштабов использования природных ресурсов происходит все большее загрязнение окружающей среды отходами производства, ухудшается качество среды обитания человека и других живых организмов.

На современном этапе забота о сохранении природы заключается не только в разработке и соблюдении законодательств об охране окружающей природной среды, но и в познании закономерностей причинно-следственных связей между различными видами человеческой деятельности и изменениями, происходящими в природной среде.

Поскольку любые изменения в окружающей среде являются следствием изменения направленности протекающих в ней физико-химических и биологических процессов, познание закономерностей природных процессов и управление уровнем воздействия на них со стороны человека служит одной из приоритетных задач [1].

Одна из особенностей экологической ситуации на сегодняшний день заключается в том, что изменения в окружающей среде опережают темпы развития методов контроля и прогнозирования ее состояния. Поэтому необходим качественно новый подход к описанию состояния окружающей среды как динамической системы. В качестве которого могут выступить мониторинговые исследования [2].

Термин “мониторинг” появился перед проведением Стокгольмской конференции ООН по окружающей среде в 1972 г. Под мониторингом было решено понимать систему непрерывного наблюдения, измерения и оценки состояния окружающей среды. По мнению российского исследователя-географа И.П. Герасимова объектом общего мониторинга “является многокомпонентная совокупность природных явлений, подверженная многообразным естественным динамическим изменениям и испытывающая разнообразные воздействия и преобразования ее человеком”.

Мониторинг окружающей среды - комплексная система наблюдений, оценки и прогноза изменений природных сред, природных ресурсов, растительного и животного мира, позволяющие выделить изменения их состояния и происходящие в них процессы под влиянием антропогенной деятельности

В процессе мониторинга предполагается последовательная реализация двух задач:

-       обеспечивается постоянная оценка "комфортности" условий среды обитания человека и биологических объектов (растений, животных, микроорганизмов), а также оценка состояния и функциональной целостности экосистем;

-             создаются условия для определения корректирующих действий в тех случаях, когда целевые показатели критериев оценки качества среды не достигаются.По своему структурно-функциональному составу мониторинг окружающей среды объединяет в себе все необходимые компоненты: приборно-аппаратное обеспечение, систему организации измерений и совокупность методик анализа результатов наблюдений, необходимые для реализации функций, представленных в таблице 1.

Таблица 1. Функции мониторинга состояния окружающей среды

Функции

Задачи

Цели

Наблюдение

Выявление

Анализ

Моделирование

Оценка

Прогноз

За состоянием окружающей среды

Изменений окружающей среды, связанных с деятельностью человека

Наблюдаемых изменений

Изменений экологической ситуации

Состояния окружающей среды

Предполагаемых изменений состояния окружающей среды

 

Мониторинг охватывает весь широкий спектр анализа наблюдений за меняющейся абиотической составляющей биосферы и ответной реакцией экосистем на эти изменения, включая как геофизические, так и биологические аспекты, что определяет широкий спектр методов и приемов исследований, используемых при его осуществлении. В литературе, в качестве его синонима, часто встречается оборот “экологический мониторинг”, где под термином “экология” понимается не конкретное научное направление, почти 140 лет тому назад очерченное Эрнстом Геккелем, а “энвайронментология” (от англ. environmentology; или биосферология), как теоретическая основа рационального природопользования.

Поскольку сообщества живых организмов замыкают на себя все процессы, протекающие в экосистеме, ключевым компонентом мониторинга окружающей среды (рис. 1) - является мониторинг состояния биосферы или биологический мониторинг, под которым понимают систему наблюдений, оценки и прогноза любых изменений в биотических компонентах, вызванных факторами антропогенного происхождения и проявляемых на организменном, популяционном или экосистемном уровнях.

Рисунок 1. Подсистемы экологического мониторинга

По определению В.С. Николаевского биологический мониторинг - определение состояния живых систем на всех уровнях организации и отклика их на загрязнение среды. То есть, это - система наблюдений, оценки и прогноза изменений состояния биологических систем под влиянием антропогенных воздействий. По определению Н.Ф. Реймерса мониторинг биологический - слежение за биологическими объектами (наличием видов, их состоянием, появлением случайных интродуцентов и т.д.) и оценка качества окружающей среды с помощью биоиндикаторов. Таким образом, трактовка понятия “биомониторинг” весьма широка: от наблюдения за самими живыми организмами, до контроля за состоянием каких-либо факторов среды при помощи живых организмов. И в последнем определении мы впервые сталкиваемся с методом биоиндикации как способом решения задач биологического мониторинга [3].

1.2 Общие принципы биоиндикации

1.2.1 История возникновения биоиндикации

Использование живых организмов в качестве чувствительных к загрязнению окружающей среды уходит своими корнями в древние века. Первые наблюдения сделали еще античные ученые: именно они обратили внимание на связь облика растений с условиями их произрастания. Живший в 327 - 287 гг. до н. э. Теофраст написал широко известную работу «Природа растений», в которой содержится немало советов о том, как по характеру растительности судить о свойствах земель. Аналогичные сведения можно встретить в трудах римлян Катона и Плиния Старшего.

Идею биоиндикации с помощью растений сформулировал еще в I в. до н. э. Колумелла: «Рачительному хозяину подобает по листве деревьев, по травам или по уже поспевшим плодам иметь возможность здраво судить о свойствах почвы и знать, что может хорошо на ней расти». Это направление, ныне получившее название ландшафтной биоиндикации, успешно используется в практических целях [4].

В России в рукописях XV и XVI вв. уже упоминались такие понятия как «лес пашенный» и «лес непашенный», т. е. участки леса, пригодные для его сведения под пашню и непригодные. В трудах М.В. Ломоносова и А.Н. Радищева есть упоминания о растениях - указателях особенностей почв, горных пород, подземных вод. В XIX в. с развитием экологии растений была показана связь растений с факторами окружающей среды. О возможности растительной биоиндикации писал геолог A.M. Карпинский. Другой геолог - П.А. Ососков - использовал характер распределения растительных сообществ для составления геологических карт, а почвовед С.К. Чаянов - почвенных карт. Большой вклад в развитие биоиндикации внес русский ученый почвовед В.В. Докучаев. В начале XX в., в период, когда началось освоение окраин нашей страны, биоиндикационные исследования стали развиваться особенно интенсивно. Под биоиндикацией в эти годы в основном понимали регистрацию наличия или отсутствия того или иного явления (природного или антропогенного фактора среды), отмечая в терминах «есть» - «нет». К концу XX в. биоиндикационные закономерности претерпели качественный скачок [5].

На современном этапе наиболее важные задачи биоиндикации и биомониторинга состоят в разработке теоретических основ и методологии анализа реакции биологических систем на многофакторные воздействия с учетом дифференциальных отличий патогенных агентов, факторов риска, патотропных ситуаций и патологических явлений в зависимости от экологических условий и состояния организмов, популяций, ценозов и отдельных экосистем [6].

1.2.2 Понятие, формы и методы биоиндикации

Биондикация - это метод обнаружения и оценки воздействия абиотических и биотических факторов на живые организмы при помощи биологических систем [7].

В качестве биоиндикаторов выступают отдельные таксоны, экологические группировки (например, в водной среде - фитопланктон, зоопланктон, бентос, перифитон), физиологически сходные организмы (например, имеющие одинаковый тип питания), размерные группы. Отклонение индикаторной биотической характеристики от некоторой заданной нормы свидетельствует о превышении уровней допустимого воздействия абиотических факторов [8].

Основой задачей биоиндикации является разработка методов и критериев, которые могли бы адекватно отражать уровень антропогенных воздействий с учетом комплексного характера загрязнения и диагностировать ранние нарушения в наиболее чувствительных компонентах биотических сообществ [3].

Биоиндикация может проводиться на уровне макромолекул, клетки, организма, популяции, сообщества и экосистемы. Чувствительными биоиндикаторами могут служить как отдельные процессы в клетке и организме (изменение ферментативной активности, изменение в пигментном комплексе), так и морфологические изменения (изменения формы и размера листовой пластинки, уменьшение продолжительности жизни хвои) [9].

Формы биоиндикации.

Биоиндикация может быть специфической и неспецифическои. В первом случае изменения живой системы можно связать только с одним фактором среды (рис. 2). Например, высокая концентрация в воздухе озона вызывает появление на листьях табака серебристых некрозных пятен. Во втором случае различные факторы среды вызывают одну и ту же реакцию. Например, снижение численности почвенных беспозвоночных может происходить и при различных видах загрязнения почвы, и при вытаптывании, и в период засухи и по другим причинам.

Рисунок 2. Формы биоиндикации

При другом подходе различают прямую и косвенную биоиндикацию. О прямой биоиндикации говорят, когда фактор среды действует на биологический объект непосредственно (рис. 3). В описанном выше случае серебристые пятна на листьях табака возникают от прямого действия озона.

Рисунок 3. Прямая и косвенная биоиндикация

При косвенной биоиндикации фактор действует через изменение других (абиотических или биотических) факторов среды. Например, применение одного из гербицидов (2,2 дихлорпропионовой кислоты) на лугу ведет к уменьшению злаков в растительном покрове (с 55 до 12 %) и, соответственно, увеличению разнотравья, что может рассматриваться как прямая биоиндикация. Эти изменения растительного покрова ведут к падению численности саранчовых и росту численности тлей. Изменение в соотношении двух групп насекомых - пример косвенной биоиндикации применения гербицида.

Биоиндикаторы - это биологические объекты (от клеток и биологических макромолекул до экосистем и биосферы), используемые для оценки состояния среды. Когда хотят подчеркнуть то, что биоиндикаторы могут принадлежать к разным уровням организации живого, употребляют термин «биоиндикаторные системы».

Критерии выбора биоиндикатора:

-    быстрый ответ;

-       надежность (ошибка <20 %);

-       простота;

-       мониторинговые возможности (постоянно присутствующий в природе объект).

Типы биоиндикаторов.

Типы биоинтикаторов:

. Чувствительный. Быстро реагирует значительным отклонением показателей от нормы. Например, отклонения в поведении животных, в физиологических реакциях клеток могут быть обнаружены практически сразу после начала действия нарушающего фактора.

Биоиндикаторы принято описывать с помощью двух характеристик: специфичность и чувствительность.

При низкой специфичности биоиндикатор реагирует на разные факторы, при высокой - только на один (см. примеры по специфической и неспецифической биоиндикации).

При низкой чувствительности биоиндикатор отвечает только на сильные отклонения фактора от нормы, при высокой - на незначительные.

Тест-организмы - это биоиндикаторы (растения и животные), которых используют для оценки качества воздуха, воды или почвы в лабораторных опытах.

Примеры тест-организмов:

-    одноклеточные зеленые водоросли (хлорелла, требоуксия из лишайников и пр);

-       простейшие: инфузория-туфелька;

-       членистоногие: рачки дафния и артемия;

-       мхи: мниум,

-       цветковые: злак плевел, кресс-салат.

Одно из основных требований к тест-организмам - это возможность получения культур из генетически однородных организмов. В таком случае отличия между опытом и контролем с большей вероятностью могут быть отнесены на счет нарушающего фактора, а не индивидуальных различий между особями [10].

Методы биоиндикации.

Методы биоиндикации подразделяются на два вида - регистрирующая биоиндикация и биоиндикация по аккумуляции. Регистрирующая биоиндикация позволяет судить о воздействии факторов среды по состоянию особей вида или популяции, а биоиндикация по аккумуляции использует свойство растений и животных накапливать те или иные химические вещества (например, содержание свинца в печени рыб, находящихся на конце пищевой цепочки, может достигать 100 - 300 ПДК). В соответствии с этими методами различают регистрирующие и накапливающие индикаторы.

Регистрирующие биоиндикаторы реагируют на изменения состояния окружающей среды изменением численности, фенооблика, повреждением тканей, соматическими проявлениями (в том числе уродливостью), изменением скорости роста и другими хорошо заметными признаками. В качестве примера регистрирующих биоиндикаторов можно назвать лишайники, хвою деревьев (хлороз, некроз) и их суховершинность. Однако с помощью регистрирующих биоиндикаторов не всегда возможно установить причины изменений, то есть факторы, определившие численность, распространение, конечный облик или форму биоиндикатора. Это один из основных недостатков биоиндикации, поскольку наблюдаемый эффект может порождаться разными причинами или их комплексом.

Накапливающие индикаторы концентрируют загрязняющие вещества в своих тканях, определенных органах и частях тела, которые в последующем используются для выяснения степени загрязнения окружающей среды при помощи химического анализа. Примером подобных индикаторов могут служить хитиновые панцири ракообразных и личинок насекомых, обитающих в воде, мозг, почки, селезенка, печень млекопитающих, раковины моллюсков, мхи [5].

Методы биоиндикации, позволяющие изучать влияние техногенных загрязнителей на растительные и животные организмы, на неживую природу, являются наиболее доступными. Биоиндикация основана на тесной взаимосвязи живых организмов с условиями среды, в которой они обитают. Изменения этих условий, например повышение солености или рН воды может привести к исчезновению определенных видов организмов, наиболее чувствительных к этим показателям и появлению других, для которых такая среда будет оптимальной [11].

Биологические методы помогают диагностировать негативные изменения в природной среде при низких концентрациях загрязняющих веществ. При этом используемые виды-биоиндикаторы должны удовлетворять следующим требованиям:

-    это должны быть виды характерные для природной зоны, где располагается данный объект;

-       организмы-мониторы должны быть распространены на всей изучаемой территории повсеместно;

-       иметь высокую численность в исследуемом экотопе;

-       обитать в данном месте в течение ряда лет, что дает возможность проследить динамику загрязнения;

-       находиться в условиях, удобных для отбора проб;

-       давать возможность проводить прямые анализы без предварительного концентрирования проб;

-       они должны иметь четко выраженную количественную и качественную реакцию на отклонение свойств среды обитания от экологической нормы;

-       биология данных видов-индикаторов должна быть хорошо изучена;

-       иметь короткий период онтогенеза, чтобы была возможность отслеживания влияния фактора на последующие поколения [9].

Ответная реакция биоиндикатора на определенное физическое или химическое воздействие должна быть четко выражена, т.е. специфична, легко регистрироваться визуально или с помощью приборов [12].

С помощью биоиндикаторов принципиально возможно:

-    обнаруживать места скоплений в экологических системах различного рода загрязнений;

-       проследить скорость происходящих в окружающей среде изменений;

-       только по биоиндикаторам можно судить о степени вредности тех или иных веществ для живой природы;

-       прогнозировать дальнейшее развитие экосистемы [6].

Преимуществом методов биоиндикации и биотестирования перед физико-химическими методами является интегральный характер ответных реакций организмов, которые:

-    суммируют все без исключения биологически важные данные об окружающей среде и отражают ее состояние в целом;

-       выявляют наличие в окружающей природной среде комплекса загрязнителей;

-       в условиях хронической антропогенной нагрузки биоиндикаторы могут реагировать на очень слабые воздействия в силу аккумуляции дозы;

-       фиксируют скорость происходящих в окружающей среде изменений;

-       указывают пути и места скоплений различного рода загрязнений в экологических системах и возможные пути попадания этих веществ в организм человека [13].

Особую значимость имеет то обстоятельство, что биоиндикаторы отражают степень опасности соответствующего состояния окружающей среды для всех живых организмов, в том числе и для человека. Подчеркивая всю важность биоиндикационных методов исследования, необходимо отметить, что биоиндикация предусматривает выявление уже состоявшегося или происходящего загрязнения окружающей среды по функциональным характеристикам особей и экологическим характеристикам сообществ организмов. Но, отражая степень негативного воздействия в целом, биоиндикация не объясняет, какими именно факторами оно создано. Наиболее эффективно оценка окружающей среды может производиться в сочетании абиотических и биотических параметров. Это прием все шире входит в практику. Определение ряда биотических показателей, наряду с традиционными абиотическими, уже предусмотрено нормативными природоохранными документами, например, ГОСТ 17.1.3.07-82 «Охрана природы. Гидросфера. Правила контроля воды водоемов и водотоков» [14].

1.2.3 Объекты биоиндикации

Особенности использования растений в качестве биоиндикаторов.

С помощью растений можно проводить биоиндикацию всех природных сред. Индикаторные растения используются при оценке механического и кислотного состава почв, их плодородия, увлажнения и засоления, степени минерализации грунтовых вод и степени загрязнения атмосферного воздуха газообразными соединениями, а также при выявлении трофических свойств водоемов и степени их загрязнения поллютантами. Например, на содержание в почве свинца указывают виды овсяницы, полевицы; цинка - виды фиалки, ярутки; меди и кобальта - смолевки, многие злаки и мхи.

Чувствительные фитоиндикаторы указывают на присутствие загрязняющего вещества в воздухе или почве ранними морфологическими реакциями - изменением окраски листьев (появление хлорозов; желтая, бурая или бронзовая окраска), различной формы некрозами, преждевременным увяданием и опаданием листвы. У многолетних растений загрязняющие вещества вызывают изменение размеров, формы, количества органов, направления роста побегов или изменение плодовитости. Подобные реакции обычно неспецифичны [9].

Некоторые естественные факторы могут вызывать симптомы, сходные с антропогенными нарушениями. Так, например, хлороз листьев может быть вызван недостатком железа в почве или ранним заморозком. Поэтому при определении морфологических изменений у растений необходимо учитывать возможность действия других повреждающих факторов.

Индикаторы другого типа представляют собой растения-аккумуляторы. Они накапливают в своих тканях загрязняющее вещество или вредные продукты метаболизма, образуемые под действием загрязняющих веществ, без видимых изменений. При превышении порога токсичности ядовитого вещества для данного вида проявляются различные ответные реакции, выражающиеся в изменении скорости роста и длительности фенологических фаз, биометрических показателей и, в конечном счете, снижении продуктивности.

Получить точные количественные данные о динамике и величине стрессовых воздействий на основе морфологических изменений невозможно, но можно довольно точно определить величину потерь продукции и, имея график зависимости «доза- эффект», рассчитать величину стрессового воздействия [16].

Б. В. Виноградов классифицировал индикаторные признаки растений как флористические, физиологические, морфологические и фитоценотические. Флористическими признаками являются различия состава растительности изучаемых участков, сформировавшиеся вследствие определенных экологических условий. Индикаторное значение имеет как присутствие, так и отсутствие вида. К физиологическим признакам относятся особенности обмена веществ растений, к анатомо-морфологическим признакам - особенности внутреннего и внешнего строения, различного рода аномалии развития и новообразования, к фитоценотическим признакам - особенности структуры растительного покрова: обилие и рассеянность видов растений, ярусность, мозаичность, степень сомкнутости [17].

Очень часто в целях биоиндикации используются различные аномалии роста и развития растения - отклонения от общих закономерностей. Ученые систематизировали их в три основные группы, связанные: (1) с торможением или стимулированием нормального роста (карликовость и гигантизм); (2) с деформациями стеблей, листьев, корней, плодов, цветков и соцветий; (3) с возникновением новообразований (к этой группе аномалий роста относятся также опухоли).

Гигантизм и карликовость многие исследователи считают уродствами. Например, избыток в почве меди вдвое уменьшает размеры калифорнийского мака, а избыток свинца приводит к карликовости смолевки.

В целях биоиндикации представляют интерес следующие деформации растений:

-    фасциация - лентовидное уплощение и сращение стеблей, корней и цветоносов;

-       махровость цветков, в которых тычинки превращаются в лепестки;

-       пролификация - прорастание цветков и соцветий;

-       асцидия - воронковидные, чашевидные и трубчатые листья у растений с пластинчатыми листьями;

-       редукция - обратное развитие органов растений, вырождение;

-       нитевидность - нитчатая форма листовой пластинки;

-       филлодий тычинок - превращение их в плоское листовидное образование.

Биомониторинг может осуществляться путем наблюдений за отдельными растениями-индикаторами, популяцией определенного вида и состоянием фитоценоза в целом. На уровне вида обычно производят специфическую индикацию какого-то одного загрязнителя, а на уровне популяции или фитоценоза - общего состояния природной среды.

Использование животных в качестве биоиндикаторов.

Позвоночные животные также служат хорошими индикаторами состояния среды благодаря следующим особенностям:

-    являясь консументами, они находятся на разных трофических уровнях экосистем и аккумулируют через пищевые цепи загрязняющие вещества;

-    обладают активным обменом веществ, что способствует быстрому проявлению воздействия негативных факторов среды на организм.

Для того чтобы иметь возможность сравнивать материал, собранный разными исследователями в различных районах, набор видов-индикаторов должен быть един и невелик. Вот некоторые критерии пригодности различных видов млекопитающих для биоиндикационных исследований:

-    принадлежность к разным звеньям трофической цепи - растительноядным, насекомоядным, хищным млекопитающим;

-       оседлость или отсутствие больших миграций;

-       широкий ареал распространения (сравнительно высокая эв-ритопность), т.е. этот критерий исключает использование в качестве тест-индикаторов эндемиков;

-       принадлежность к естественным сообществам: критерий исключает синантропные виды, питающиеся вблизи жилища человека и неадекватно характеризующие микроэлементный состав загрязнения данного региона;

-       численность вида должна обеспечивать достаточный материал для анализа;

-       простота и доступность методов добывания видов [9].

Основное преимущество использования позвоночных животных в качестве биоиндикаторов заключается в их физиологической близости к человеку. Основные недостатки связанные с сложностью их обнаружения в природе, поимки, определение вида, а также с длительностью морфо-анатомических наблюдений. Кроме того, эксперименты с животными зачастую дороги, требуют многократной повторяемости для получения статистически достоверных выводов.

Микроорганизмы в качестве биоиндикаторов.

Микроорганизмы - наиболее быстро реагирующие на изменение окружающей среды биоиндикаторы. Их развитие и активность находятся в прямой связи с составом органических и неорганических веществ в среде, так как микроорганизмы способны разрушать соединения естественного и антропогенного происхождений. На этом основаны принципы биоиндикации с использованием микроорганизмов. Необходимо иметь сведения о составе, количестве и функциональной активности последних.

При прямом микроскопировании, например воды, количество обнаруживаемых микроорганизмов оказывается небольшим, поэтому для изучения морфологического разнообразия и оценок их общего числа в единице объема проводят концентрирование пробы. Для фильтрации воды используют фильтры Зейтца или иной конструкции с размером пор 0,35; 0,5; 0,23; 0,3; 0,4 мкм. Объем фильтруемой воды может быть от 10 до 20 мл в зависимости от типа водоема. Для подсчета численности микроорганизмов фильтр прокрашивают, переносят на предметное стекло в каплю иммерсионного масла и микроскопируют с перемещением сетчатого микрометра. Просчитывается 20 полей зрения; в каждом поле зрения должно быть не менее 50 микробов.

Число колониеобразующих клеток бактерий в 1 мл воды (N) рассчитывают по формуле:

N = Kn/V

где К = S/S1 (S - площадь фильтра, мкм2; S1 - площадь, на которой просчитываются клетки, мкм2); n - среднее число бактерий в одном поле зрения; V - объем профильтрованной воды, мл. Для определения биомассы бактерий необходимо определить размер клеток с помощью микрометра.

Выявление микроорганизмов и их учет можно произвести путем высева проб в жидкие и агаризованные питательные среды. Для учета сапрофитов используют мясопептонный агар, олиго-трофных бактерий выращивают на агаризованной воде из исследуемого водоема.

Чаще всего для оценки качества вод используют показатель микробного числа - это число клеток аэробных сапрофитных организмов в 1 мл воды. В водопроводной воде согласно ГОСТ микробное число не должно превышать 100. В чистых водоемах число сапрофитов может исчисляться десятками и сотнями, а в загрязненных и грязных водоемах этот показатель достигает сотен тысяч и миллионов.

Помимо микробного числа используются данные по видовому составу микроорганизмов. В полисапробной зоне наблюдается массовое развитие нитчатых бактерий. В загрязненной фекалиями воде высок коли-индекс, характеризующий наличие в среде энтеро-бактерий Escherichia coli - условных патогенов и постоянных обитателей кишечника человека и животного. Определение коли-ин-декса ведется в среде Эндо (фуксин-сульфатный агар) подсчетом колоний E.coli. Иногда делают пересчет, определяя коли-титр - наименьший объем воды (в мл), содержащий одну кишечную палочку. Коли-титр = 1000/коли-индекс [9].

Симбиотические методы в биоиндикации.

Симбиоз широко распространен в природе и симбиотические ассоциации часто играют ключевую роль в поддержание нормального функционирования наземных пресноводных и морских экосистем. Симбиоз грибов и азотофиксирующих бактерий с высшими растениями и водорослей с грибами обеспечил процветание этих ассоциаций в наземной среде. Лишайники, симбиотическая ассоциация грибов и водорослей, очень чувствительны к качеству среды и уже давно используются как традиционные биомаркеры состояния атмосферного воздуха. Мадрекоровые кораллы - симбиоз одноклеточных водорослей зооксантелл с кишечнополостными животными, определяющий важную ландшафтообразующию роль этой ассоциации в тропических морях.

Все более значительной признается роль симбиотических микроорганизмов в трофике почти всех видов организмов. Прямо или косвенно регулируя численность своих хозяев, симбионты оказывают существенное влияние на их динамику и структуру популяции. Биоразнообразие симбионтов, как правило, превышает разнообразие их хозяев.

Помимо уточнения оценки биоразнообразия по числу видов, учет симбионтов позволяет получать достоверную информацию о качестве среды, т.к. степень интенсивности инвазии (относительное количество хозяев, имеющих симбионтов) и экстенсивной инвазии (среднее количество симбионтов на хозяине) напрямую зависит от условий, в которых находится популяция хозяев. Многие симбионты чувствительны к изменению внешней среды, в частности симбионты водных организмов - к загрязнению и опреснению, и симбионты наземных организмов - к радионуклидам. При оценке разнообразной фауны симбионтов широко используют статические методы. Учет симбиотических, в том числе и паразитических организмов, а также исследование соответствия симбиотических ассоциаций позволяют более точно оценивать биоразнообразие и характер динамических процессов в экосистемах и могут быть рекомендованы в качестве важных элементов экодиагностических исследований [15].

1.2.4 Область применения биоиндикаторов

Оценка качества воздуха.

Как известно, воздух представляет собой смесь определенных газов, повсюду на Земле представленных приблизительно в равных объемных долях. Загрязнение воздуха имеет место в том случае, если в смеси имеются вещества в таких количествах и так долго, что создают опасность для человека, животных, растений или имущества. От загрязнения воздуха страдают все живые организмы, но особенно растения. По этой причине растения, в том числе низшие, наиболее пригодны для обнаружения начального изменения состава воздуха. Соответствующие индексы дают количественное представление о токсичном эффекте загрязняющих воздух веществ.

Лишайники являются симбиотическими организмами. Многими исследователями показана их пригодность для целей биоиндикации. Они обладают весьма специфическими свойствами, так как реагируют на изменение состава атмосферы, обладают отличной от других организмов биохимией, широко распространены по разным типам субстратов, начиная со скал и кончая корой и листьями деревьев, удобны для экспозиции в загрязненных районах.

Выделяют четыре основные экологические группы лишайников: эпифитные - растущие на коре деревьев и кустарников; эпи-ксилъные - растущие на обнаженной древесине; эпигейные - на почве; эпилитные - на камнях. Из них наиболее чувствительны к загрязнению воздуха эпифитные виды. С помощью лишайников можно получать вполне достоверные данные об уровне загрязнения воздуха. При этом можно выделить группу химических соединений и элементов, к действию которых лишайники обладают сверхповышенной чувствительностью: оксиды серы и азота, фто-ро- и хлороводород, а также тяжелые металлы. Многие лишайники погибают при невысоких уровнях загрязнения атмосферы этими веществами. Процедура определения качества воздуха с помощью лишайников носит название лихеноиндикации.

Оценку чистоты воздуха можно проводить с помощью высших растений. Например, голосеменные - отличные индикаторы чистоты атмосферы. Возможно также изучение мутаций в волосках тычиночных нитей традесканции. Французские ученые подметили, что при увеличении в воздухе окиси углерода и окислов азота, выбрасываемых двигателями внутреннего сгорания, окраска ее тычиночных нитей меняется от синей к розовой. Последствия нарушений в индивидуальном развитии растений могут быть выявлены также по частоте встречаемости морфологических отклонений (фенодевиантов), величине показателей флуктуирующей асимметрии (отклонение от совершенной билатеральной и радиальной симметрии), методом анализа сложноорганизован-ных комплексных структур (фрактал-анализ). Уровни любых отклонений от нормы оказываются минимальными лишь при оптимальных условиях и возрастают при любых стрессирующих воздействиях [9].

Оценка качества воды.

В своем естественном состоянии различные природные водоемы могут сильно отличаться друг от друга. На водную флору и фауну действуют такие показатели, как глубина водоема, скорость течения, кислотно-щелочные свойства воды, мутность, кислородный и температурный режим, количество растворенной органики, соединений азота и фосфора, и многие другие. На все эти параметры влияет как антропогенная нагрузка, так и естественные процессы, происходящие в водоемах. Для водоемов разных типов в норме будет характерен разный видовой состав и обилие водных организмов (гидробионтов).

Оценка качества воды водоемов и водотоков может быть проведена с использованием физико-химических и биологических методов. Биологические методы оценки - это характеристика состояния водной экосистемы по растительному и животному населению водоема [4].

Любая водная экосистема, находясь в равновесии с факторами внешней среды, имеет сложную систему подвижных биологических связей, которые нарушаются под воздействием антропогенных факторов. Прежде всего, влияние антропогенных факторов, и в частности, загрязнения отражается на видовом составе водных сообществ и соотношении численности слагающих их видов. Биологический метод оценки состояния водоема позволяет решить задачи, разрешение которых с помощью гидрофизических и гидрохимических методов невозможно [18].

Для того чтобы оценить уровень токсического загрязнения водного объекта промышленным или иными сторонами нужно ответить на вопросы: токсична или исходна вода, поступающая в водоем со сточными водами; какова степень ее токсичности; на каком расстояние от источника загрязнения токсичность снижается до минимального значения.

В качестве эквивалента было использовано разведение сточной жидкости, при котором еще наблюдается повреждающий эффект по примененному биотесту. Ориентируясь как на основной показатель токсичности химических веществ, где гидробионтов по величине медиальной летальной концентрации, принятую в общей токсикологии для теплокровных животных. Н. П. Строганов предложил количественное определение токсичности для величины, обратной медиальной летальной концентрации, устанавливаемой в 48 - часовом опыте:

Т=1/LC 4550

Для биологической индикации качества вод могут быть использованы практически все группы организмов, населяющих водоемы: планкторы, микрофиты, бентоносные позвоночные, простейшие водоросли, бактерии и рыбы. Каждые из них выступают в роли биологического индикатора и имеет свои преимущества и недостатки, которые определяют границы ее использования при решении задач биоиндикации, т.к. эти все группы играют ведущую роль в общем круговороте веществ в водоеме. Всякое заключение по результатам биологического исследования строится на основании совокупности всех получаемых данных, а не на основании единичных находок индивидуальных организмов. Как при выполнении исследования, так при оценке полученных результатов необходимо иметь в виду возможность случайных, местных загрязнений в точке наблюдения. Например, разлагающиеся растительные остатки, труп лягушки или рыбы могут вызывать местные изменения в характере населения водоема.

Наиболее разработанной оценкой степени загрязненности вод по индикаторным организмам является система сапробности.

Метод учитывает относительную частоту встречаемости гидробионтов (от 1 до 9 или от единичных экземпляров, например инфузорий, в поле зрения микроскопа и до очень частой встречаемости, когда их много в каждом поле зрения) и их индикационную значимость S. Для статистической достоверности результатов необходимо, чтобы в пробе содержалось не менее 12 видов индикаторных организмов одной зоны сапробности с Индикаторные значимости S для соответствующих зон сапробности табулированы для многих организмов. По рассчитанной величине S можно судить о состоянии водоема. Заключение о степени загрязненности воды дают обычно по системе баллов от одного до шести.

Высшие водные растения среди вышеуказанных групп организмов-индикаторов являются наименее изученным звеном, хотя имеют ряд преимуществ. Они представляют собой видимый невооруженным глазом и поэтому весьма удобный для наблюдения объект, а также дают возможность при рекогносцировочном гидробиологическом осмотре водоемов в первом приближении визуально оценить их экологическое состояние. Макрофиты позволяют определить трофические свойства воды, а иногда и специфику ее химизма, что имеет существенное значение при биоиндикации чистых вод [9].

Диагностика почв.

В основе принципа биологической диагностики почв лежит представление о том, что почва как среда обитания составляет единую систему с населяющими ее популяциями разных организмов.

Лучше других разработаны ботанические методы фитоиндикации и диагностики почв. Например, путем анализа состава и структуры растительных сообществ, распространения растений-индикаторов или определенных индикационных признаков у отдельных видов растений можно установить тип почвы, степень ее гидроморфизма, развитие процессов заболачивания, соленакопления и т.д. Среди растений обнаружены индикаторы на тот или иной механический и химический состав почв, степень обогащенности питательными элементами, на кислотность или щелочность, глубину протаивания мерзлотных почв или уровень грунтовых вод [19].

Теоретической предпосылкой применения почвенно-зоологи-ческого метода для целей диагностики почв является сформулированное М. С. Гиляровым в 1949 г. представление об «экологическом стандарте» вида потребности вида в определенном комплексе условий среды. Каждый вид в пределах своего ареала встречается только в тех местообитаниях, которые обеспечивают полный комплекс необходимых для проявления жизнедеятельности условий. Амплитуда варьирования отдельных факторов среды характеризует экологическую пластичность вида. Эврибионты мало пригодны для индикационных целей, тогда как стенобионты служат хорошими индикаторами определенных условий среды и свойств субстрата. Это положение представляет собой общий теоретический принцип в биологической диагностике. Однако использование для индикации одного вида не дает полной уверенности в правильности выводов (здесь имеет место «правило смены местообитаний» и как следствие смена экологических характеристик вида). Лучше исследовать весь комплекс организмов, из которых одни могут быть индикаторами на влажность, другие - на температуру, третьи - на химический или механический состав. Чем больше общих видов почвенных животных встречается на сравниваемых участках, тем с большей долей вероятности можно судить о сходстве их режимов, а следовательно, о единстве почвообразовательного процесса. Менее других полезны микроскопические формы - простейшие и микроартроподы (клещи, ного-хвостки). Их представители отличаются космополитизмом в силу того, что почва для них не выступает как единая среда обитания: они живут в системе пор, капилляров, полостей, которые можно найти в любой почве. Из микроартропод наиболее хорошо изучены индикаторные свойства панцирных клещей. Состав их комплексов сообществ зависит не только от почвенных условий, но и от характера и флористического состава растительности, поэтому данный объект перспективно использовать для индикации повреждающих воздействий на почву.

Особенно ценны и удобны для индикационных работ сообщества крупных беспозвоночных (дождевые черви, многоножки, личинки насекомых). Так, стафилиниды рода Bledius и чернотелки рода Ве1ориs показательны для солончаково-солонцовых почв, многоножки-кивсяки, некоторые мокрецы и легочные моллюски служат индикаторами содержания в почве извести. Дождевые черви Octolasium lacteum и некоторые виды проволочников являются показателями высокого содержания кальция в грунтовых водах.

Интерес представляет почвенно-альгологическая диагностика, в основе которой лежит положение о том, что зональности почв и растительности соответствует зональность водорослевых группировок. Она проявляется в общем видовом составе и комплексе доминантных видов водорослей, наличии специфических видов, характере распространения по почвенному профилю, преобладании определенных жизненных форм [9].

Микробиологическая и биохимическая характеристика почв - наиболее сложные разделы почвенной биодиагностики. Микроорганизмы - очень чуткие индикаторы, резко реагирующие на различные изменения в среде. Отсюда необычайная динамичность микробиологических показателей. Почва характеризуется не только составом и численностью разных групп биоты, но и их суммарной активностью, а также активностью биохимических процессов, обусловленных наличием определенного пула ферментов, выделенных в результате жизнедеятельности растений, животных и микроорганизмов, а также аккумулированных почвой после разрушения клеток. Показателями биологической активности почв, применяемых в биоиндикации, могут служить количественные характеристики численности и биомассы разных групп почвенной биоты, их общая продуктивность, некоторые энергетические данные, активность основных процессов, связанных с круговоротом элементов, ферментативная активность почв, а также количество и скорость накопления некоторых продуктов жизнедеятельности почвообитающих организмов.

Для определения размеров микробной биомассы и продуктивности используют не только прямые подсчеты числа клеток, но и косвенные методы - биохимические и физиологические. Например, биомассу водорослей предложено определять по количеству хлорофилла, бактерий - по специфической для прокариот мурамовой кислоте, грибов - по хитину, который входит в состав их клеточной стенки. Микробную активность в почве определяют также по уровню АТФ и полифосфатов, содержанию ДНК, РНК и аминокислот.

Наиболее общими являются методы, позволяющие оценить суммарные биологические процессы по исходным или конечным продуктам: методы определения дыхания почвы по поглощению O2 или выделению СO2; учет активности азотфиксации по восстановлению ацетилена; микрокалориметрические измерения для установления уровня термостойкости; аппликационные методы с применением специальных материалов (целлюлозы, хроматогра-фической бумаги, целлофана) для оценки скорости и степени их разложения и накопления продуктов метаболизма, например аминокислот. Особую группу составляют методы определения потенциальной активности отдельных ферментов в почвах (именно активности, а не количественного содержания) [20].

1.3 Тяжелые металлы

Все тяжёлые металлы в той или иной степени ядовиты, к ним относят обычно элементы с удельным весом более 4,5 г/см3 [21].

Существует более 40 определений того, что такое тяжёлые металлы. Наиболее распространены из них два:

Тяжелые металлы - это элементы периодической системы с относительной молекулярной массой больше 40.

Тяжёлые металлы - это металлы с плотностью, большей (>5000 кг/м3), чем у железа [22]. В настоящее время из 92 встречающихся в природе элементов 81 обнаружен в организме человека. При этом 15 из них (Fe, I, Cu, Zn, Co, Cr, Mo, Ni, V, Se, Mn, As, F, Si, Li) признаны жизненно необходимыми [23]. Однако они могут оказывать отрицательное влияние на растения, животных и человека, если концентрация их доступных форм превышает определенные пределы. Cd, Pb, Sn и Rb считаются условно необходимыми, т.к. они, по всей видимости, не очень важны для растений и животных и опасны для здоровья человека даже при относительно низких концентрациях [24]. В течение длительного времени в биогеохимических исследованиях микроэлементов превалировал интерес к геохимическим аномалиям и возникающим из-за них эндемиям природного происхождения. Однако в последующие годы, в связи с бурным развитием промышленности и глобальным техногенным загрязнением окружающей среды, наибольшее внимание стали привлекать аномалии элементов, в большей степени тяжелые металлы, имеющих индустриальное происхождение. Уже сейчас во многих регионах мира окружающая среда становится все более химически «агрессивной». В последние десятилетия основными объектами биогеохимических исследований стали территории промышленных городов и прилегающих к ним земель [25]. Влияние микроэлементов на жизнедеятельность животных и человека активно изучается и в медицинских целях. В настоящее время выявлено, что многие заболевания, синдромы и патологические состояния вызваны дефицитом, избытком или дисбалансом микроэлементов в живом организме и имеют общее название «микроэлементозы» [24].

1.3.1 Биологическая роль и токсикологическое влияние тяжелых металлов

В последние годы все сильнее подтверждается важная биологическая роль большинства металлов. Многочисленными исследованиями установлено, что влияние металлов весьма разнообразно и зависит от содержания в окружающей среде и степени нуждаемости в них микроорганизмов, растений, животных и человека [26].

Фитотоксичное действие тяжелых металлов проявляется, как правило, при высоком уровне техногенного загрязнения ими почв и во многом зависит от свойств и особенностей поведения конкретного металла. Однако в природе ионы металлов редко встречаются изолированно друг от друга. Поэтому разнообразные комбинативные сочетания и концентрации разных металлов в среде приводят к изменениям свойств отдельных элементов в результате их синергического или антагонистического воздействия на живые организмы. Например, смесь цинка и меди в пять раз токсичнее, чем арифметически полученная сумма их токсичности, что обусловлено синергизмом при совместном влиянии этих элементов. Подобным образом действует и смесь цинка с никелем. Однако существуют наборы металлов, совместное действие которых проявляется аддитивно. Ярким примером этого являются цинк и кадмий, проявляющие взаимный физиологический антагонизм. Очевидны проявления синергизма и антагонизма металлов и в их многокомпонентых смесях. Поэтому суммарный токсикологический эффект от загрязнения среды тяжелых металлов зависит не только от набора и уровня содержания конкретных элементов, но и особенностей их взаимного воздействия на биоту. Таким образом, влияние тяжелых металлов на живые организмы весьма разнообразно. Это обусловлено, во-первых, химическими особенностями металлов, во-вторых, отношением к ним организмов и, в-третьих, условиями окружающей среды [24].

1.3.2 Биологическая роль и токсикологическое влияние хрома

Хром относится к числу элементов, жизненно необходимых животным организмам. Основные его функции - взаимодействие с инсулином в процессах углеводного обмена, участие в структуре и функции нуклеиновых кислот и, вероятно, щитовидной железы. Растительные организмы положительно реагируют на внесение хрома при низком содержании в почве доступной формы, однако вопрос о незаменимости элемента для растительных организмов продолжает изучаться [28].

Токсичное действие металла зависит от валентности: шестивалентный катион гораздо токсичнее трехвалентного. Симптомы токсичности хрома внешне проявляются в снижении темпов роста и развития растений, увядании надземной части, повреждении корневой системы и хлорозе молодых листьев. Избыток металла в растениях приводит к резкому снижению концентраций многих физиологически важных элементов, в первую очередь К, Р, Fe, Mn, Cu, B. В организме человека и животных общетоксикологическое, нефротоксическое и гепатотоксическое действие оказывает Cr6+. Токсичность хрома выражается в изменении иммунологической реакции организма, снижении репаративных процессов в клетках, ингибировании ферментов, поражении печени, нарушении процессов биологического окисления, в частности цикла трикарбоновых кислот. Кроме того, избыток металла вызывает специфические поражения кожи (дерматиты, язвы), изъявления слизистой оболочки носа, пневмосклероз, гастриты, язву желудка и двенадцатиперстной кишки, хромовый гепатоз, нарушения регуляции сосудистого тонуса и сердечной деятельности. Соединения Cr6+, наряду с общетоксикологическим действием, способны вызывать мутагенный и канцерогенный эффекты. Хром, помимо легочной ткани, накапливается в печени, почках, селезенке, костях и костном мозге [29].

1.3.3 Биологическая роль и токсикологическое влияние свинца

Биологическая роль свинца изучена весьма слабо, однако в литературе встречаются данные, подтверждающие, что металл жизненно необходим для животных организмов на примере крыс. Животные испытывают недостаток этого элемента при концентрации его в корме менее 0,05-0,5 мг/кг. В небольших количествах он необходим и растениям. Дефицит свинца в растениях возможен при его содержании в надземной части от 2 до 6 мкг/кг сухого вещества.

Повышенный интерес к свинцу вызван его приоритетным положением в ряду основных загрязнителей окружающей природной среды. Металл токсичен для микроорганизмов, растений, животных и людей.

Избыток свинца в растениях, связанный с высокой его концентрацией в почве, ингибирует дыхание и подавляет процесс фотосинтеза, иногда приводит к увеличению содержания кадмия и снижению поступления цинка, кальция, фосфора, серы. Вследствие этого снижается урожайность растений и резко ухудшается качество производимой продукции. Внешние симптомы негативного действия свинца - появление темно-зеленых листьев, скручивание старых листьев, чахлая листва. Устойчивость растений к его избытку неодинаковая: менее устойчивы злаки, более устойчивы бобовые. Поэтому симптомы токсичности у различных культур могут возникнуть при разном валовом содержании свинца в почве - от 100 до 500 мг/кг. Концентрация металла выше 10 мг/кг сух. в-ва является токсичной для большинства культурных растений.

В организм человека свинец в основном поступает через пищеварительный тракт. При токсичных дозах элемент накапливается в почках, печени, селезенке и костных тканях. При свинцовом токсикозе поражаются в первую очередь органы кроветворения (анемия), нервная система (энцефалопатия и нейропатия) и почки (нефропатия). Наиболее восприимчива к свинцу гематопоэтическая система, особенно у детей.

1.3.4 Биологическая роль и токсикологическое влияние никеля

Биологическая роль никеля заключается в участии в структурной организации и функционировании основных клеточных компонентов - ДНК, РНК и белка. Наряду с этим он присутствует и в гормональной регуляции организма. По своим биохимическим свойствам никель весьма схож с железом и кобальтом. Недостаточность металла у жвачных сельскохозяйственных животных проявляется в снижении активности ферментов и возможности летального исхода.

До настоящего времени в литературе не встречаются данные о дефиците никеля для растений, однако в ряде экспериментов установлено положительное влияние внесения никеля в почвы на урожайность сельскохозяйственных культур, которое, возможно, связано с тем, что он стимулирует микробиологические процессы нитрификации и минерализации соединений азота в почвах. Токсичность никеля для растений проявляется в подавлении процессов фотосинтеза и транспирации, появлении признаков хлороза листьев. Для животных организмов токсический эффект элемента сопровождается снижением активности ряда металлоферментов, нарушением синтеза белка, РНК и ДНК, развитием выраженных повреждений во многих органах и тканях. Экспериментально установлена эмбриотоксичность никеля. Избыточное поступление металла в организм животных и человека может быть связано с интенсивным техногенным загрязнением почв и растений этим элементом [24].

1.3.5 Биологическая роль и токсикологическое влияние кобальта

Кобальт - относительно редкий металл, и богатые им месторождения в настоящее время практически исчерпаны. В земной коре содержание кобальта равно 4·10-3 % по массе. Кобальт входит в состав более 30 минералов. К ним относятся каролит CuCo2SO4, линнеит Co3S4, кобальтин CoAsS, сферокобальтит CoCO3, смальтит СоAs2 и другие. Как правило, кобальту в природе сопутствуют его соседи по 4-му периоду - никель, железо, медь и марганец. В морской воде приблизительно (1-7)·10-10 % кобальта.

Кобальт в огромном большинстве простых соединений является двухвалентным а в комплексных - трехвалентным (известны двух- и трехвалентный) [30].

Кобальт относится к числу микроэлементов, то есть постоянно присутствует в тканях растений и животных. Некоторые наземные растения и морские водоросли способны накапливать кобальт. Установлено, что по мере увеличения содержания кобальта в почве его уровень в листьях травянистых и кустарниковых видов возрастает более чем в 3-4 раза. Входя в молекулу витамина В12 (кобаламина), кобальт участвует в важнейших процессах животного организма - кроветворении, функциях нервной системы и печени, ферментативных реакциях.

Кобальт участвует в ферментативных процессах фиксации атмосферного азота клубеньковыми бактериями.

В организме среднего человека (масса тела 70 кг) содержится около 14 мг кобальта. Суточная потребность составляет 0,007-0,015 мг, ежедневное поступление с пищей 0,005-1,8 мг. У жвачных животных эта потребность гораздо выше, например, у дойных коров - до 20 мг.

Соединения кобальта обязательно входят в состав микроудобрений. Однако избыток кобальта для человека вреден. ПДК пыли кобальта в воздухе 0,5 мг/м3, в питьевой воде допустимое содержание солей кобальта 0,01 мг/л. Токсическая доза - 500 мг. Особенно токсичны пары октакарбонила кобальта Со2(СО)8 [31].

Кобальт относится к элементам, которые, попадая в естественные экосистемы, перерабатываются природными процессами, и не вызывают существенных изменений в природе [30].

Глава 2. Объекты и методы исследования

В качестве объекта исследования нами были выбраны проростки ячменя, сорт Белогордец.

Эксперимент проводился по следующей методике. Предварительно отсортированные вымытые, просушенные и взвешенные зерна помещались в чашки Петри на слой фильтровальной бумаги. Бумага смачивалась раствором соли соответствующего металла до полного насыщения, но что бы под слоем бумаги не образовывался слой жидкости.

Для эксперимента были взяты соединения хрома, свинца и кобальта, и никеля в концентрациях 1, 5, 10 и 50 их предельно допустимой концентрации в почве. В качестве среды для контрольных образцов использовалась дистиллированная вода.


Глава 3. Экспериментальные результаты и их обсуждение

3.1 Влияние концентрации соединения ионов хрома на контролируемые параметры тест-объекта

При исследовании влияния солей хрома на контролируемые параметры тест-объекта мы получили данные, представленные на рисунках 4-8.

Рисунок 4. Влияние концентрации соединения хрома на процент проросших семян

Рисунок 5. Влияние концентрации соединения хрома на процент семян с первичным корнем

Рисунок 6. Влияние концентрации соединения хрома на массу проросших семян

Рисунок 7. Влияние концентрации соединения хрома на длину проростков

Рисунок 8. Влияние концентрации соединения хрома на протяженность первичного корня

На основании данных полученных при изучения влияния ионов хрома на контролируемые параметры тест-оъекта, можно сделать следующие выводы. Наиболее показательными являются, такие параметры, как длина проростка и первичного корня (рис. 7-8). Установлена явная зависимость данных параметров от концентрации вводимого в среду вещества. Концентрации менее 10 ПДК оказывают стимулирующее влияние на проросток, высокие (свыше 10 ПДК), оказывают явный негативный эффект. Тогда как при расмотрени таких параметров, как прирост биомассы (рис. 6), процент проросших семян и процент семян с первичным корнем (рис. 4-5), четкой концентрационной зависимости не наблюдается, однака установлено положительное влияние ионов хрома на скорость проростания семян и на процент семян спервичным корнем (рис. 4-5).

3.2 Влияние концентрации соединения ионов кобальта на контролируемые параметры тест-объекта

При исследовании влияния солей кобальта на контролируемые параметры тест-объекта мы получили данные, которые показаны на рисунках 9-13.

Рисунок 9. Влияние концентрации соединения кобальта на процент проросших семян

Рисунок 10. Влияние концентрации соединения кобальта на процент семян с первичным корнем

Рисунок 11. Влияние концентрации соединения кобальта на массу проросших семян

Рисунок 12. Влияние концентрации соединения кобальта на длину проростков

Рисунок 13. Влияние концентрации соединения кобальта на протяженность первичного корня

Анализ данных полученных при изучении влияния ионов кобальта на контролируемые параметры тест-объектов выявил следующее. Наиболее показательными являются, такие параметры, как длина листового проростка и первичного корня (рис. 12-13). Установлена явная концентрационная зависимость. Выявлено, что концентрации свыше 5 ПДК, оказываю подавлющее действие на увеличение длины листового проростка (рис. 2), тогда как концетрации в 1 ПДК, наоборот обладают стимулирующим действием. Также наблюдаются более замедленные темпы увеличение длинны первичных корней в экспериментальных группах, по сравнению с контрольной, при всех значениях ПДК, кроме 1 ПДК (1 ПДК оказывает стимулирующее воздействие).

Тогда как при расмотрени влияния ионов кобальта на остальные параметры ( прирост биомассы (рис. 11), процент проросших семян и семян с первичным корнем (рис. 9-10)), зависимость от концентрации вводимого в среду соединения найти не удалось. Однака установлено, что проростки находящиеся под воздействием полютанта имеют меньший процент проросших семян (рис. 9) и меньший процент семян с первичным корем и прирост биомассы (рис. 10-11), чем образцы контроля.

3.3 Влияние концентрации соединения ионов свинца на контролируемые параметры тест-объекта

При исследовании влияния солей свинца на контролируемые параметры тест-объекта мы получили данные, которые показаны на рисунках 14-18.

Рисунок 14. Влияние концентрации соединения свинца на процент проросших семян

Рисунок 15. Влияние концентрации соединения свинца на процент семян с первичным корнем

Рисунок 16. Влияние концентрации соединения свинца на массу проросших семян

Рисунок 17. Влияние концентрации соединения свинца на длину проростков

Рисунок 18. Влияние концентрации солей свинца на протяженность первичного корня

На основании данных полученных при изучении влияния солей свинца можно сделать следующие выводы. Наиболее показательными являются, такие параметры, как длина проростка и первичного корня (рис. 17-18). Так при анализе влияния различных концентраций соединений свинца на длину листового проростков (рис. 17) с первого по третий день проведения эксперимента наблюдается равномерное увеличение длины проростков. В конце эксперимента разница возрастает, и проростки, находящиеся в загрязненной среде, имеют меньшую длину, чем образцы контроля. При этом максимальное значение наблюдается при 1 ПДК, а минимальное при 50 ПДК. Также при исследовании влияния различных концентраций ионов свинца на длину первичного корня (рис. 17) установлено, что в первые два дня эксперимента происходит практически равномерное увеличение длины первичных корней при всех значениях ПДК. Тогда, как на третий день эксперимента, наблюдается заметное расхождение длин первичного корня в контрольной и экспериментальных группах. При этом максимальное значение наблюдается при 1 ПДК, а минимальное при 50 ПДК.

В осталных случаях (процент проросших семян, процент семян с превичным корнем, прирост биомассы (рис. 14-16)), четкой зависимости от концентрации вводимого в среду соединения не наблюдается. Однако было установлено, что проростки находящиеся, под воздействием ионов свинца, имеют более замедленные темпы прироста биомассы (рис. 16) в сравнении с образцами контроля.

3.4 Влияние концентрации соединения ионов никеля на контролируемые параметры тест-объекта

При исследовании влияния солей никеля на контролируемые параметры тест-объекта мы получили данные, которые показаны на рисках 19-23.

Рисунок 19. Влияние концентрации соединения никеля на процент проросших семян

Рисунок 20. Влияние концентрации соединения никеля на процент проросших семян

Рисунок 21. Влияние концентрации соединения никеля на массу проросших семян

биоиндикация токсикологический тяжелый металл

Рисунок 22. Влияние концентрации соединения никеля на длину проростков

Рисунок 23. Влияние концентрации соединения никеля на протяженность первичного корня

Анализ данных полученных при изучении влияния ионов никеля на контролируемые параметры тест-объектов выявил следующее. Как и в предыдущеих случаях, наиболее показательными являются, такие параметры, как длина проростка и первичного корня (рис. 22-23). Была установлена явная зависимость, уазанных выше параметров, от концентрации вводимого в среду соединения. Концентрации менее 10 ПДК оказывают стимулирующее влияние на проросток, высокие (свыше 10 ПДК), оказывают явный негативный эффект. При этом четкой зависимости остальных параметров (процент проросших семян, процент семян с первичным корнем и прирост биомассы (рис. 19-20)) от концентрации вводимого в среду соединения, не наблюдается.

3.5 Влияние на контролируемые параметры тест-объекта при совместном воздействие никеля и хрома

При исследовании влияния двух солей никеля и хрома на контролируемые параметры тест-объекта мы получили данные, показанные на рисунках 24-28.

Рисунок 24. Влияние концентрации двух солей никеля и хрома на процент проросших

Рисунок 25. Влияние концентрации двух солей никеля и хрома на процент семян с первичным корнем

Рисунок 26. Влияние концентрации двух солей никеля и хрома на массу проросших семян

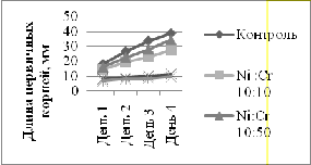
Рисунок 27. Влияние концентрации двух солей никеля и хрома на длину проростков

Рисунок 28. Влияние концентрации двух солей никеля и хрома на протяженность первичного корня

Проанализировав данные полученные при исследовании совместного влияния солей никеля и хрома, можно прийти к следующим выводам. При рассмотрении влияния полютантов на длину листового проростка (рис. 27), выявленная явная концентрационная зависимость. Семена, находящиеся под воздействием ионов никеля и хрома имеют меньшую длину листового проростка, в сравнении с образцами контроля, при этом максимальные значения наблюдаются при концентрации Ni:Cr 10:10 и 10:50 ПДК, минимальные при концентрации 50:10 и 50:50 ПДК. Тогда, как при рассмотрении других параметров (процент проросших семян, процент семян с первичным корнем, прирост биомассы, длина первичного корня (рис 23, 25, 26, 28)), четкой зависимости от концентрации вводимых в среду веществ не наблюдается. Однако установлено, что проростки экспериментальной группы имеют более замедленные темпы прироста биомассы и меньшую длину первичного корня (рис. 26, 28), чем образцы контроля.

3.6 Влияние на контролируемые параметры тест-объекта при совместном воздействие кобальта и свинца


Рисунок 29. Влияние концентрации двух солей кобальта и свинца на процент проросших семян

Рисунок 30. Влияние концентрации двух солей кобальта и свинца на процент семян с первичным корнем

Рисунок 31. Влияние концентрации двух солей кобальта и свинца на массу проросших семян

Рисунок 32. Влияние концентрации двух солей кобальта и свинца на длину проростков

Рисунок 33. Влияние концентрации двух солей кобальта и свинца на протяженность первичного корня

На основании данных полученных при изучении совместного влияния солей кобальта и свинца на контролируемы параметры можно, сделать следующие выводы. Как и в предыдущем случае, наиболее показательным параметром является, длина листового проростка и первичного корня (рис. 32-33). Выявленная явная концентрационная зависимость. Семена, находящиеся под воздействием ионов кобальта и свинца имеют меньшую длину листового проростка, и первичного корня, в сравнении с образцами контроля, при этом максимальные значения наблюдаются при концентрации Co:Pb 10:10 ПДК, минимальные при концентрации 50:50 ПДК. При рассмотрении других параметров (процент проросших семян, процент семян с первичным корнем, прирост биомассы (рис. 29, 30, 31)), четкой концентрационной зависимости установить не удалось. Однако наблюдается некоторая зависимость прироста биомассы (рис. 31) от наличия в среде полютантов, семена, находящиеся под воздействием ионов кобальта и свинца имеют более замедленные тепы прироста биомассы (рис. 31) в сравнении с образцами контроля.

3.7 Влияние на контролируемые параметры тест-объекта при совместном воздействие никеля и свинца

При исследовании влияния двух солей никеля и свинца на контролируемые параметры тест-объекта мы получили данные, которые показаны на рис. 34-38.

Рисунок 34. Влияние концентрации двух солей никеля и свинца на процент проросших семян

Рисунок 35. Влияние концентрации двух солей никеля и свинца на процент семян с первичным корнем

Рисунок 36. Влияние концентрации двух солей никеля и свинца массу проросших семян

Рисунок 37. Влияние концентрации двух солей никеля и свинца на длину проростков

Рисунок 38. Влияние концентрации двух солей никеля и свинца на протяженность первичного корня

На основании данных полученных при рассмотрения совместного влияния солей свинца и никеля можно сделать следующие выводы. Четкая зависимость исследуемых параметров (процент проросших семян, процент семян с первичным корнем, прирост биомассы, длина листового проростка и длина первичного корня (рис. 34-38)), от концентрации вводимых в среду веществ не наблюдается. Однако установлено, что проростки в экспериментальных групп имеют более ускоренные темпы прироста биомассы (рис. 36), в сравнении с образцами контроля, а также выявлено, что семена, находящиеся под воздействием полютантов, имеют меньшую длину листового проростка и первичного корня (рис. 37-38), чем образцы контроля.

3.8 Влияние на контролируемые параметры тест-объекта при совместном воздействие хрома и кобальта

При исследовании влияния двух солей хрома и кобальта на контролируемые параметры тест-объекта мы получили данные, которые показаны на рис. 39-43.

Рисунок 39. Влияние концентрации двух солей хрома и кобальта на процент проросших семян

Рисунок 40. Влияние концентрации двух солей хрома и кобальта на процент семян с первичным корнем

Рисунок 41. Влияние концентрации двух солей хрома и кобальта на массу проросших семян

Рисунок 42. Влияние концентрации двух солей хрома и кобальта на длину проростков

Рисунок 43. Влияние концентрации двух солей хрома и кобальта на протяженность первичного корня

Анализ данных полученных при изучении совместного влияния солей хрома и кобольта на контролируемые параметры тест-объектов выявил следующее.

Наиболее показательными являются, такие параметры, как длина проростка и первичного корня (рис. 42-43). Была установлена явная концентрационная зависимость.

На третий день видна зависимость длинны листового проростка (рис. 42) от наличия ПДК - негативное влияние оказывают концентрации Cr:Co 50:10, 10:50 и 50:50 ПДК, тогда как 10:10 ПДК оказывают стимулирующее влияние. Также при изучении совместного влияния соединения хрома и кобальта на длину первичного корня (рис. 43) было установлено, что у тест-обектов находящихся под воздействие данных веществ, в течении всего эксперемента наблюдается более замедленные темп увеличения длины первичного корня, чем у образцов контроля. При этом максимальное значение длины первичного корня при концентрации Ni:Pb 10:10 ПДК, минимальные при Ni:Pb 10:50 ПДК и 50:50 ПДК. При этом, четкой зависимости остальных параметров (процент проросших семян, процент семян с первичным корнем и прирост биомассы (рис. 39-41)), от концентрации вводимого в среду соединения, не наблюдается.

Однако установлено, что проростки находящиеся под воздействием данных вещест, имеют большую биомассу (рис. 41), в сравнении с образцами контроля. Также наблюдается негативное воздействие солей хрома и кобольта на такие парамеры, как процент проросших семян и процент семян с первичным корнем (рис. 39-40).

3.9 Cравнительный анализ влияния солей тяжелых металлов на контролируемые параметры тест-объектов

Таблица 2. Сравнительный анализ влияния солей тяжелых металлов на контролируемые параметры тест-объектов

Металлы

Контролируемые параметры


Процент проросших семян

Процент семян с первичным корнем

Прирост биомассы

Длина листового проростка

Длина первичного корня

Cr

2

2

1

4

4

Co

2

2

2

4

4

Pb

1

1

2

3

3

Ni

1

1

4

4

Ni:Cr

1

1

2

3

2

Co:Pb

1

1

2

3

3

Ni:Pb

1

1

2

2

2

Cr:Co

2

2

2

4

3

1 - нет концентрационной зависимости, нет эффекта,

- нет концентрационной зависимости, есть эффект,

- есть зависимость, есть эффект,

- есть зависимость, есть эффект, стимуляция при малых концентрациях.

Проанализировав данные таблицы, можно сделать следующие выводы.

При изучении влияния тяжелых металлов на контролируемые параметры тест - объектов мы получили следующее:

-    Наиболее показательными параметрами, являются, длина листового проростка и длина первичного корня.

-       Выявлена явная зависимость длины проростка и первичного корня, от концентрации вводимого в среду соединения.

-       Также выявлено, что малые концентрации, оказывают стимулирующее влияние, практически во всех случаях (Pb - угнетающее воздействие при всех значениях ПДК), тогда как большие - вызывают явный негативный эффект.

-       При рассмотрение таких параметров, как процент проросших семян, процент семян с первичным корнем и прирост биомассы, четкой зависимость от концентрации вводимого в среду полютанта, не наблюдается.

-       Установлено, что при воздействии таких металлов, как Co и Cr, не смотря на отсутствие четкой зависимости от концентрации вводимого в среду соединения, таких параметров, как процент проросших семян и процент семян с первичным корнем, наблюдается следующее:

·    Сr - эффект усиления, проростки находящиеся под воздействием данного загрязнителя имеют, больший процент проросших семян и большей процент семян с первичным корнем, в сравнении с образцами контроля.

·        Со - эффект подавления, проростки, находящиеся под воздействием данного металла, имеют меньший процент проросших семян и семян с первичным корнем, чем образцы контроля.

-    Также установлено, что соли Co и Pb, оказывают негативный эффект на прирост биомассы, проростки, находящиеся под воздействием данных металлов, имеют более замедленные темпы прироста биомассы, чем образцы контроля.

Если рассматривать совместное влияние двух солей тяжелых металлов на контролируемые параметры тест объектов, можно заметить следующее:

-    Наиболее показательными параметрами, почти во всех случаях являются, длина листового проростка и длина первичного корня.

-       Выявлена явная зависимость длины проростка и первичного корня, от концентрации вводимых в среду соединений.

-       Установлено, что совместное влиянии солей Ni:Cr, Co:Pb, Ni:Pb, при всех значениях ПДК оказывает подавляющее действие на длину листового проростка и длину первичного корня.

-       При рассмотрении совместного влияния солей Cr и Сo на длину проростка, было установлено, что малые концентрации (10:10 ПДК) вводимых в среду соединений, оказывают стимулирующее влияние, тогда как высокие (10:50, 50:10 и 50:50 ПДК) оказывают явный негативный эффект.

-       Также выявлено, что соли Со и Cr при совместно, оказывают негативное действие на длину первичного корня при всех значениях ПДК.

-       При рассмотрение таких параметров, как процент проросших семян, процент семян с первичным корнем и прирост биомассы, четкой зависимость от концентрации вводимых в среду полютантов, не наблюдается.

-       Установлено, что, несмотря на отсутствие зависимости, такого параметра, как прирост биомассы, от концентрации вводимых в среду соединений мы наблюдаем следующее:

·    при совместном влиянии солей Ni и Cr, а также Co и Pb, наблюдается эффект подавление, проростки находящиеся под воздействием данных загрязнителей имеют более замедленные темы увеличения биомассы;

·        при совместном влиянии солей Ni и Pb, Сo и Сr наблюдается эффект усиления, проростки находящиеся под воздействием данных загрязнителей имеют более ускоренные темы увеличения биомассы.

-    Также выявлено, что при совместном воздействии Co и Cr на проростки ячменя, не смотря на отсутствие четкой зависимости от концентрации вводимого в среду соединения, при рассмотрении таких параметров, как процент проросших семян и процент семян с первичным корнем, наблюдается эффект подавления, семена находящиеся под воздействием солей Co и Сr имеют меньший процент проросших семян и процент семян с первичным корнем в сравнении с образцами контроля.

-       Установлено, что, не смотря на то, что при рассмотрении влияния солей Ni и Pb, на длину листового проростка и первичного корня, была выявлена явная зависимость данных параметров от концентрации вводимых в среду соединений, при рассмотрении их совместного влияния, такой зависимости не наблюдается. Что может говорить о том, что данные металлы оказывают друг на друга антагонистическое влияние.

Выводы

1.   Установлено, что наиболее показательными параметрами, являются длина листового проростка и длина первичного корня.

2.      Выявлена, явная зависимость, указанных выше параметров, от концентрации вводимых в среду соединений.

.        Установлено, что малые концентрации солей никеля, хрома и кобальта, а также малые концентрации солей хрома и кобальта при их совместном влиянии, оказывают стимулирующее воздействие, тогда как большие - вызывают явный негативный эффект.

.        Также было установлено, что при совместном влиянии солей никеля и свинца на длину листового проростка и первичного корня наблюдается, антагонистический эффект.

Список литературы

.     Хотунцев Ю. Л. Экология и экологическая безопасность: Учеб. пособие для студентов высш. пед. учеб. заведений. - 2-е изд. перераб. - М.: Издательский центр "Академия", 2004. - 480 с.

2.      Кощура А. В., Отарашвили З. А. Экологический вызов: выживет ли человечество. - М.: М3 Пресс, 2005. - 80 с.

3.   Шитиков В.К., Розенберг Г.С., Зинченко Т.Д. Количественная гидроэкология: методы системной идентификации. - Тольятти: ИЭВБ РАН, 2003. - 463 с.

4.      Ашихмина Т. Я. Экологический мониторинг: Учебн. - методическое пособие / Т.Я. Ашихмина, Н.Б. Зубкина; под ред. Т.Я. Ашихминой - М.: Академический проект, 2005. - 205 с.

5.   Экологический мониторинг: Учебно-методи­ческое пособие. Изд. 3-е, испр. и доп. / Под ред. Т.Я. Ашихминой. - М.: Академический Проект, 2006. - 416 с.

6.      Рянский Ф. Н. И экология, и экономика. - Благовещенск: Амурское отд. Хабаровского кн. изд-ва, 1990. - 160 с.

7.   Экологический словарь /С. Делятицкий, И. Зайонц, Л. Чертков, В. Экзарьян. - М.: Конкорд Лтд-Экопром, 1993. - 202 с.

8.      Полетаев П.И., Швецов М.М. Рациональное природопользование и охрана окружающей среды / П.И Полетаев. - М.: Знание, 1982. - 64 с.

.        Мелехова О.П. Биологический контроль окружающей среды: биоиндикация и биотестирование. Учебное пособие для студентов высших учебных заведений / О.П. Мелехова, Е.И. Егорова, Т.И. Евсеева; под ред. О.П. Мелеховой, Е.И. Егоровой. - М.: Издательский центр «Академия», 2007. - 288 с.

.        Мониторинг и методы контроля окружающей среды: Учеб. пособие в двух частях: Часть 2. Специальная / Ю.А. Афанасьев, С.А. Фомин, В.В. Меньшиков и др. - М.: Изд-во МНЭПУ, 2001 - 337 с.

.        Федорова А.И., Никольская А.И. Практикум по экологии и охране окружающей среды: Учеб. пособие для студ. высш. учеб. заведений - М.: Гуманит. изд. центр ВЛАДОС, 2003. - 142 с.

12. Степанов А.М. Методология биоиндикации и фонового мониторинга экосистем суши // Экотоксикология и охрана природы. - М.: Наука, 1988. - 270 с.

.        Крайнюкова А.Н. Биотестирование в охране вод от загрязнения // Методы биотестирования вод. - Черноголовка, 1988. - 108 с.

15. Воробейчик Е.А., Садыков О.Ф., Фарафонтов М.Г. Экологическое нормирование техногенных загрязнений наземных экосистем. - Екатеринбург: УИФ Наука , 1984. - 280 с.

16.    Методы биохимического исследования растений / Ермакова А.И., Арасимович В.В., Ярош Н.П. и др. - 3-е изд. - М.: Агромпромиздат, 1987. - 430 с.

17. Шуберт, Р. Биоиндикация загрязнителей наземных экосистем / Под ред. Р. Шуберта. - М.: Мир, 1988. - 350 с.

18.    Емельянов А. Г. Основы природопользования / А. Г. Емельянова. - М.: Издательский центр «Академия», 2004. - 304 с.

19. Тэрыцо К.В., Покаржевский А.Д. Методический подход к оценке влияния загрязняющих веществ на почвы (на примере мощных черноземов) / Биоиндикация и биомониторинг. - М., 1991. - 263.

20.    Дубровин О. И., Петухов Б. Е. Геоэкология Тамбовской области. Учебное пособие для учащихся 8-х классов. - М.: «Издательство Юлис», 2006. - 96 с.

21. Давыдова С.Л., Тагасов В.И. Тяжёлые металлы как супертоксиканты XXI века - М.: РУДН, 2002. - 140 с.

22.    Лушников Е.К. Клиническая токсикология. - М.: Медицина, 1990. - 325 с.

.        Алексеев Ю. В. Тяжелые металлы в почвах и растениях. - М.: Агропромиздат. Ленингр. от-ние 1987. - 142 с.

24.    URL: http://biogeochemistry.narod.ru/ubugunov/monografi/1/1.htm

25.    Федорова А.И., Никольская А.И. Практикум по экологии и охране окружающей среды: Учеб. пособие для студ. высш. учеб. заведений - М.: Гуманит. изд. центр ВЛАДОС, 2003. - 256 с.

.        Экология / под ред. проф. В. В. Денисова. - М.: ИКЦ "МарТ", 2006. - 768

.        Вальков В.Ф., Казеев К.Ш., Колесников С.И. Экология почв: Учебное пособие для студентов вузов. Часть 3. Загрязнение почв. - Ростов-на-Дону: УПЛ РГУ, 2004. - 54 с.

.        Н.И. Гринкевич, А.А. Сорокина "Роль геохимических факторов среды в продуцировании растениями биологически активных веществ"//кн "Биологическая роль микроэлементов". - М.: Наука, 1983. - 238 с.

.        Степановских А. С. Прикладная экология: охрана окружающей среды: Учебник для вузов. - М.: ЮНИТИ-ДАНА, 2005. - 751 с.

.        Спицына С.Ф., Ткаченко Т.Н., Бахарев В.Г. Коэффициенты водной миграции микроэлементов: Меди, Цинка, Марганца, кобальта, бора и молибдена в Алтайском крае // Вест. Алтайского гос. Аграрного ун-та. 2007. № 11. С. 35 - 38.

.        Безель В.С., Панин М.С. Экотоксикология: Учебник для Вузов. - Алматы: Раритет. 2008. - 344 с.

Похожие работы на - Определение влияния концентрации тяжелых металлов на процесс формирования проростков ячменя

 

Не нашли материал для своей работы?
Поможем написать уникальную работу
Без плагиата!
Без нейросетей!