Разработка специального модуля информационной системы менеджмента 'Управление валютными операциями банка'

  • Вид работы:
    Курсовая работа (т)
  • Предмет:
    Банковское дело
  • Язык:
    Русский
    ,
    Формат файла:
    MS Word
    390,04 Кб
  • Опубликовано:
    2013-02-15
Вы можете узнать стоимость помощи в написании студенческой работы.
Помощь в написании работы, которую точно примут!

Разработка специального модуля информационной системы менеджмента 'Управление валютными операциями банка'

УНИВЕРСИТЕТ

КАФЕДРА

Экономической кибернетики и математических методов в экономике

КУРСОВАЯ РАБОТА

По дисциплине

"Информационные системы в менеджменте"

на тему: Разработка специального модуля ИСМ

"Управление валютными операциями банка"












Содержание

 

Введение

1. Теоретическая часть управления валютными операциями банков

1.1 Валютные операции банков Украины и порядок их осуществления

1.2 Виды валют, с которыми осуществляют операции банки

1.3 Методика конвертации валют

2. Практическая часть

2.1 Постановка и решение задачи

2.2 Формализация и решение задачи

Вывод

Список используемой литературы

Введение

В данной курсовой работе рассматриваются валютные операции, необходимость их осуществления, их место, среди других банковских операций. Большое внимание уделяется законодательному регулированию, относительно операций, осуществляемых банками с валютными ценностями.

Предметом исследования является процесс управления валютными операциями в банке.

В первом разделе курсовой работы сущность валютных операций, порядок их осуществления и процесс управления ими. Валютные операции банков занимают важное место среди статей прибыли современного банка, но вопрос осуществления валютных операций является достаточно сложным и нуждается в детальном изучении. Коммерческие банки оказывают клиентам разнообразные услуги по конвертации валют, переводу денежных средств и других валютных ценностей из одной страны в другую. Вместе с тем многие банки являются активными участниками национальных и мировых валютных рынков.

Валютные операции сопряжены с валютным и другими видами финансовых рисков, а также со страновыми рисками, что обусловливает большую вероятность появления у банков не только дополнительные прибыли, но и убытков. Поэтому валютные операции регулируются в законодательном порядке уполномоченными органами.

Во втором разделе рассматривается один из видов валютных операций. Разработан модуль информационной системы "Управление валютными операциями банков Украины" в таблицах Microsoft Excel относительно депозитных операций банков. Рассмотрен оптимальный вариант размещения денежных средств на депозитных счетах с учетом простых процентов методом совмещения конверсии валюты и наращения простых процентов.

1. Теоретическая часть управления валютными операциями банков


1.1 Валютные операции банков Украины и порядок их осуществления


Валютные операции осуществляют банки, имеющие статус уполномоченного банка. Уполномоченный банк - это банк, получивший от Национального банка Украины лицензию на право проведения операций с иностранной валютой.

Под валютными операциями обычно понимают любые платежи, связанные с перемещением валютных ценностей между субъектами валютного рынка. Таким образом, к валютным операциям относятся:

•        операции, связанные с переходом права собственности на валютные ценности, за исключением операций, осуществляемых между резидентами в валюте Украины;

•        операции, связанные с использованием валютных ценностей в международном обращении как средства платежа, с передачей задолженностей и иных обязательств, предметом которых являются валютные ценности;

•        операции, связанные с ввозом, переводом и пересылкой на территорию Украины и вывозом, переводом и пересылкой за ее пределы валютных ценностей.

В узком понимании валютные операции рассматриваются как вид банковской деятельности покупки-продажи иностранной валюты.

Как правило, выделяют:

•        текущие валютные операции (переводы иностранной валюты, получение и предоставление финансовых кредитов, на срок не больше 180 дней, перевод процентов, дивидендов и других доходов, вкладов и инвестиций);

•        валютные операции, связанные с движением капитала (прямые инвестиции, портфельные инвестиции, приобретение ценных бумаг, предоставление и получение финансовых кредитов, на срок свыше 180 дней).

Покупать и продавать валюту на внутреннем валютном рынке Украины резиденты могут только через уполномоченные банки.

Текущие валютные операции осуществляются резидентами без ограничений, кроме случаев, предусмотренных законодательством. Беспрепятственный ввоз иностранной валюты в Украину возможен тогда, когда предприниматели придерживаются таможенных правил. Вывозить иностранную валюту из Украины сверх установленного лимита возможно лишь при получении справки из уполномоченного банка.

Институтами, осуществляющими валютное регулирование в Украине, являются Национальный банк Украины и Кабинет Министров Украины. Данные структуры обладают правом законодательной инициативы и разработали целый комплекс нормативных документов, определяющих способ и порядок валютного регулирования в стране, но основным из них является Декрет Кабинета Министров Украины "О системе валютного регулирования и валютного контроля" от 19 февраля 1993г. №15-93 с дополнениями.

Принятый в феврале 1993г. Декрет Кабинета Министров Украины "О системе валютного регулирования и валютного контроля" регламентирует проведение валютных операций на территории Украины. Декретом определены принципы осуществления валютных операций в Украине, полномочия и функции органов валютного регулирования и валютного контроля, права и обязанности юридических и физических лиц при владении, пользовании и распоряжении валютными ценностями. Правовое регулирование банковских валютных операций осуществляется в значительной степени через установление правил их совершения - последовательности определенных действий, направленных на возникновение, изменений и прекращение прав и обязанностей участников валютных операций в отношении валютных ценностей.

Субъекты валютных отношений подразделяются декретом на две категории:

•        резидентов;

•        нерезидентов.

Как говорится в Декрете Кабинета Министров Украины "О системе валютного регулирования и валютного контроля" от 19 февраля 1993г. № 15-93.

К "резидентам" относятся:

•        физические лица (граждане Украины, иностранные граждане, лица без гражданства), имеющие постоянное местожительство на территории Украины, в том числе временно находящиеся за границей;

•        юридические лица, субъекты предпринимательской деятельности, не имеющие статуса юридического лица (филиалы, представительства и т.п.) с местонахождением на территории Украины, осуществляющие свою деятельность на основании законов Украины;

•        дипломатические, консульские, торговые и другие официальные представительства Украины за рубежом, пользующиеся иммунитетом и дипломатическими привилегиями, а также филиалы и представительства предприятий и организаций Украины за рубежом, не осуществляющие предпринимательскую деятельность.

К "нерезидентам" относятся:

•        физические лица (иностранные граждане, граждане Украины, лица без гражданства), имеющие постоянное местожительство за пределами Украины, в том числе временно находящиеся на территории Украины;

•        юридические лица, субъекты предпринимательской деятельности, не имеющие статуса юридического лица (филиалы, представительства и т.п.), с местонахождением за пределами Украины, созданные и действующие в соответствии с законодательством иностранного государства, в том числе юридические лица и другие субъекты предпринимательской деятельности с участием юридических лиц и других субъектов предпринимательской деятельности Украины;

•        расположенные на территории Украины иностранные дипломатические, консульские, торговые и другие официальные представительства, международные организации и их филиалы, пользующиеся иммунитетом и дипломатическими привилегиями, а также представительства других организаций и фирм, не осуществляющие предпринимательскую деятельность на основании законов Украины.

Объектом валютного регулирования являются операции, осуществляемые с валютными ценностями.

К валютным ценностям декрет относит:

•        иностранную валюту - иностранные денежные знаки в виде банкнот, казначейских билетов, монет, находящихся в обращении и являющихся законным платежным средством на территории соответствующего иностранного государства, а также изъятые из обращения или изымаемые из него, но подлежащие обмену на денежные знаки, находящиеся в обращении, средства в денежных единицах иностранных государств и международных расчетных единицах, находящиеся на счетах или вносимые в банковские и другие кредитно-финансовые учреждения за пределами Украины;

•        платежные документы и прочие ценные бумаги (акции, облигации, купоны к ним, векселя (тратты), долговые расписки, аккредитивы, чеки, банковские приказы, депозитные сертификаты, другие финансовые и банковские документы), выраженные в иностранной валюте или монетарных металлах.

Национальный банк устанавливает порядок проведения валютных операций, которые связаны с движением капитала.

Порядок открытия счетов для физических и юридических лиц регулируется "Инструкцией об открытии банками счетов в национальной и иностранной валюте". Согласно Инструкции банки могут открывать текущие, текущие бюджетные и депозитные счета. Законодательством также предусмотрена возможность открытия кредитных счетов. Текущие счета открываются предприятиям всех видов и форм собственности, их отделенным подразделением, а также физическим лицам - субъектам предпринимательской деятельности, для хранения денежных средств и осуществления всех видов операций за этими счетами в соответствии с действующим законодательством Украины. Текущие счета открываются физическим лицам для хранения средств, получения наличности и проведения безналичных расчетов, в национальной валюте с юридическими и другими физическими лицами. Текущие бюджетные счета открываются предприятиям, учреждениям, организациям, которые содержатся за счет бюджетов.

Депозитные счета открываются предприятиям всех форм собственности, их отделенным подразделениями, физическими лицами на основании заключенного депозитного договора между владельцем счета и учреждением банка на определенный в договоре срок.

Кредитные счета в иностранной валюте открываются уполномоченным банком в установленном действующим законодательством Украины порядка на договорной основе юридическим лицам-резидентам, физическим лицам-резидентам, которые занимаются предпринимательской деятельностью, и юридическим лицам-нерезидентам - банковским учреждениям (они открываются независимо от наличия текущего счета). Кредитные счета предназначены для учета кредитов, которые предоставлены путем оплаты расчетных документов или путем перечисления кредитных средств на текущий счет заемщика в соответствии с условиями кредитного соглашения.

При проведении валютных операций банки несут различные риски. В первую очередь эти риски связаны с возможным наличием непокрытых сделок в отдельных валютах - длинных или коротких позиций. При срочных сделках возникает риск невыполнения контракта, например в связи с банкротством контрагента. Кроме того, в зависимости от различного времени начала и завершения расчетов в отдельных валютах по ряду валютных сделок банки, совершив перевод проданной валюты, лишь на следующий день узнают, был ли сделан встречный платеж купленной ими валюты. Это имеет место вследствие разницы во времени.

В целях ограничения риска не перевода валюты банки устанавливают лимиты валютных сделок с другими банками, исходя из размера их капитала и резервов, репутации и других критериев. По мере получения платежей по ранее заключенным сделкам лимиты высвобождаются. Лимиты по срочным валютным сделкам обычно бывают ниже, чем по операциям с немедленной поставкой, поскольку риск неплатежа по сделке повышается в зависимости от длительности периода от ее заключения до исполнения, т.е. получения валюты.

Валютные операции являются объектом государственного и банковского наблюдения и контроля. Общей тенденцией регулирования является все большая увязка валютных рисков с размером собственных средств банков.

Основными заданиями осуществления валютного регулирования и контроля являются:

•        Организация системы курсообразования, защита и обеспечение необходимой степени конвертируемости национальной денежной единицы;

•        Регулирование платежной функции иностранной валюты и других иностранных инструментов, регламентация текущих операций платежного баланса;

•        Организация внутреннего валютного рынка;

•        Регламентация и регулирование банковской деятельности с валютными ценностями;

•        Регуляция процессов образования и движения валютного капитала, защита иностранных инвестиций;

•        Установление режима и ограничений на вывоз и ввоз через границу валютных ценностей;

•        Обеспечение стабильных источников поступления иностранной валюты на национальный валютный рынок.

Основная задача управления валютными операциями банка заключается в том, чтобы:

•        продать иностранную валюту или, наоборот, приобрести необходимую иностранную валюту для оплаты импорта, погашения валютного кредита и процентов, по нему и т.п.;

•        предотвратить возможные убытки, связанные с неблагоприятными изменениями курсов валют (операции хеджирования);

•        получить спекулятивную прибыль на разнице курсов валют.

1.2 Виды валют, с которыми осуществляют операции банки


Валютные отношения построены на обращении различного количества валют. Все они разные и классифицируются по целому ряду признаков. Так по отношению к государству - эмитенту, то есть выпускающему, можно выделить такие виды валют, как:

•        Национальная валюта - платежное средство, эмитируемое национальной банковской системой.

•        Иностранная валюта - платежное средство, эмитируемое банковскими системами других стран.

•        Коллективная валюта - платежное средство, эмитируемое международными финансово-кредитными учреждениями и функционирующее по межгосударственным договорам.

Также можно определить виды валют, в зависимости от возможности их конвертации. Конвертируемость валюты - способность свободно обмениваться на валюты других стран и международные платежные средства по действующему курсу. Все валюты мира подразделяются на:

•        Конвертируемая волюта (полная или частичная)

Полная конвертируемость - свободный обмен национальной валюты на иностранную для всех категорий собственников во всех операциях без ограничений.

Частичная конвертируемость - на определенные валютные операции и отдельные категории собственников режим конвертации не распространяется, т.е. вводятся определенные ограничения.

•        Неконвертируемая валюта

Неконвертируемая валюта - национальная валюта, функционирующая в пределах одной страны и не подлежащая обмену на другие иностранные валюты.

Различаются валюты мира и по степени использования. В этом отношении можно выделить такие виды валют, как:

•        Международная резервная валюта - это валюта, которая используется для покрытия дефицита платежного баланса предоставления ссуд, кредита, финансирования помощи, и тому подобное. Ее главной функцией является создание валютных государственных резервов.

•        Международная торговая валюта - это валюта, которая используется для оценки международных торговых операций (экспорт и импорт товаров, услуг, капитала), или валюта как товар, который является предметом покупки-продажи.

Типичной международной торговой и, в то же время, резервной валютой является доллар США (2/3 международной торговли осуществляются с его помощью).

Существуют также такие виды валют, как:

•        сильная

•        слабая

или

•        твердая

•        мягкая

В данном случае принадлежность валюты к тому или иному виду определяется устойчивостью к своему номиналу и курсам денежных единиц других государств.

Все валюты классифицируются также по сроку действия:

•        временные

•        постоянные

Временные валюты вводятся государствами на ограниченный срок для нормализации какой-либо кризисной ситуации, возникшей в экономике.

В зависимости от сферы и цели использования:

•        Валюта оплаты - валюта, в которой осуществляют фактическую оплату товаров и услуг по внешнеэкономическому договору или погашением международного кредита.

•        Валюта кредита - валюта, в которой по согласию кредитора предоставляется международный кредит.

•        Валюта договора (цены) - валюта, в которой устанавливается цена товара или услуги во внешнеэкономическом договоре или определяется сумма международного кредита.

 

.3 Методика конвертации валют


Конверсионные операции представляют собой сделки, покупки и продажи наличной и безналичной. Это возможность конвертации средств в национальной валюте в другую валюту, как правило, одну из мировых валют по текущим операциям - торговым (экспорт-импорт) и операциям предполагающим импорт прибыли полученной на капитал, размещенный в данной стране.

К ним относятся:

·        Сделка "спот" - это операции, осуществляемые по согласованному сегодня курсу, когда одна валюта используется для покупки другой валюты со сроком окончательного расчета на второй рабочий день, не считая дня заключения сделки.

Эти операции наиболее распространены и составляют до 90% объема валютных сделок. Их сущность заключается в купле-продаже валюты на условиях ее поставки банками-контрагентами на второй рабочий день со дня заключения сделки по курсу, зафиксированному в момент ее заключения. При этом считаются рабочие дни по каждой из валют, участвующих в сделке, т.е. если следующий день за датой сделки является нерабочим для одной валюты, срок поставки валют увеличивается на 1 день, но если последующий день нерабочий для другой валюты, то срок поставки увеличивается еще на 1 день. Для сделок, заключенных в четверг, нормальный срок поставки - понедельник, в пятницу-вторник (суббота и воскресенье - нерабочие дни).

По сделкам "спот" поставка валюты осуществляется на счета, указанные банками - получателями. Двухдневный срок перевода валют по заключенной сделке ранее диктовался объективными трудностями осуществить его в более короткий срок.

Валютные операции с немедленной поставкой являются самым мобильным элементом валютной позиции и заключают в себе определенный риск. С помощью операции "спот" банки обеспечивают потребности своих клиентов в иностранной валюте, перелив капиталов, в том числе "горячих" денег, из одной валюты в другую, осуществляют арбитражные и спекулятивные операции.

·        Срочные валютные сделки (форвардные, фьючерсные) - это валютные сделки, при которых стороны договариваются о поставке обусловленной суммы иностранной валюты через определенный срок после заключения сделки по курсу, зафиксированному в момент ее заключения. Из этого определения вытекают две особенности срочных валютных операций.

§  Форвардные операции - покупка-продажа валюты между двумя субъектами с последующей передачей ее в обусловленный срок (1, 2, 3, 6, 12 месяцев) и по курсу, определенному в момент заключения контракта.

В свою очередь операция "форвард" подразделяется на:

сделки с "аутсайдером" - с условием поставки валюты на определенную дату;

сделки с "опционом" - с условием нефиксированной даты поставки валюты.

сделка "своп" представляет собой валютные операции, сочетающие покупку или продажу валюты на условиях наличной сделки "спот" с одновременной продажей или покупкой той же валюты на срок по курсу "форвард".

§  Фьючерсные операции - обязательства двух контрагентов купить-продать определенную сумму валюты в определенный срок по курсу, установленному в момент заключения сделки на валютной бирже.

Существует интервал во времени между моментом заключения и исполнения сделки. В современных условиях срок исполнения сделки, т.е. поставки валюты, определяется как конец периода от даты заключения сделки (срок 1-2 недели, 1,2,3,6,12 месяцев и до 5 лет) или любой другой период в пределах срока. Курс валют по срочной валютной операции фиксируется в момент заключения сделки, хотя она исполняется через определенный срок.

Срочные сделки с иностранной валютой совершаются в следующих целях:

§  конверсия (обмен) валюты в коммерческих целях, заблаговременная продажа валютных поступлений или покупка иностранной валюты для предстоящих платежей, чтобы застраховать валютный риск;

§  страхование портфельных или прямых капиталовложений за границей от убытков в связи с возможным понижением курса валюты, в которой они осуществлены;

§  получение спекулятивной прибыли за счет курсовой разницы.

·        "Своп" - это валютная операция, сочетающая куплю-продажу двух валют на условиях немедленной поставки с одновременной контрсделкой на определенный срок с теми же валютами. При этом договариваются о встречных платежах два партнера (банки, корпорации и др.). По операциям "своп" наличная сделка осуществляется по курсу "спот", который в контрсделке (срочный) корректируется с учетом премии или дисконта в зависимости от движения валютного курса. При этом клиент экономит на марже - разнице между курсами продавца и покупателя по наличной сделке. Сделки "Своп" включают в себя несколько разновидностей:

§  сделка "репорт" - продажа иностранной валюты на условиях "спот" с одновременной ее покупкой на условиях "форвард";

§  сделка "дерепорт" - покупка иностранной валюты на условиях "спот" и одновременная продажа ее на условиях "форвард". В настоящее время осуществляется покупка-продажа на условиях "форвард", а также покупка-продажа фьючерсных контрактов.

Операции "своп" приобрели форму обмена банками депозитами в различных валютах на эквивалентные суммы. Недостатком подобной операции являлось увеличение баланса банка на сумму этой операции, что ухудшало его коэффициенты и создавало дополнительные риски. Валютная операция "своп" разрешает эти проблемы: учет обязательств осуществляется на вне балансовых статьях, обмен валют совершается в форме купли - продажи, т.е. единой сделки.

Операции "своп" удобны для банков: они не создают открытой позиции (покупка покрывается продажей), временно обеспечивают необходимой валютой без риска, связанного с изменением ее курса. Операции "своп" используются для:

§  совершения коммерческих сделок: банк продает иностранную валюту на условиях немедленной поставки и одновременно покупает ее на срок.

§  приобретения банком необходимой валюты без валютного риска (на основе покрытия контрсделкой) для обеспечения международных расчетов, диверсификации валютных авуаров.

§  взаимного межбанковского кредитования в двух валютах.

Операции "своп" совершаются не только с валютами, но и с процентами. Сущность этой сделки с процентами заключается в том, что одна сторона обязуется выплатить другой проценты по ставке в обмен на получение процентов по фиксированной ставке с целью извлечения прибыли в виде разницы между ними.

Документация по операциям "своп" сравнительно стандартизирована, включает условия их прекращения при неплатежах, технику обмена обязательствами, а также обычные пункты кредитного соглашения. Они дают возможность получать необходимую валюту, компенсировать временный отлив капиталов из страны, регулировать структуру валютных резервов, в том числе официальных.

·        Валютный опцион - это право для одной стороны и обязательство для другой купить или продать определенное количество одной валюты в обмен на другую по фиксированному курсу в заранее согласованную дату или в течение определенного периода времени. При этом выделяют:

§  Опцион пут (put) - право продать валюту. Защищает от риска обесценения валюты.

§  Опцион колл (call) - право купить валюту. Защищает от потенциального риска повышения курса валюты.

Однако, рынок валютных опционов не имеет надлежащего развития в Украине. Причина кроется в несовершенстве законодательной базы.

·        Валютный арбитраж - осуществление операций по покупке иностранной валюты с одновременной продажей ее в целях получения прибыли от разницы именно валютных курсов.

В свою очередь операция "валютный арбитраж" подразделяется на:

§  пространственный арбитраж Возникновения разницы в валютных курсах на рынках разных стран - суть понятия пространственного арбитража. Он является разновидностью валютного арбитража. С развитием ЭВМ и современных средств связи, увеличением объема операций различия в курсах на разных рынках стали возникать очень редко, поэтому пространственный арбитраж утратил свое значение.

§  временный арбитраж. Его суть в изменении валютного курса во времени. Необходимым условием для его проведения является свободная обратимость валют. Предпосылкой служит несовпадение курсов. В результате распространения системы плавающих валютных курсов роль временного арбитража возросла.

§  конверсионный валютный арбитраж предполагающий покупку валют самым дешевым образом, используя как наиболее выгодный рынок, так и изменение курсов во времени. При конверсионном арбитраже происходит обмен несколькими валютами.

·   Под сделкой типа "Today" понимается конверсионная операция, при которой дата валютирования совпадает с днем заключения сделки.

·   Сделка типа "Tomorrow" представляет собой операцию с датой валютирования на следующий за днем заключения рабочий банковский день.

·   Под сделкой типа "Spot" понимается конверсионная операция с датой валютирования на второй за днем заключения сделки рабочий банковский день.

2. Практическая часть


2.1 Постановка и решение задачи


В практической части курсовой работы рассмотрим задачу о том, как выбрать оптимальный вариант размещения денежных средств на депозитных счетах в гривне и валюте с учетом простых процентов и я разработаю модуль информационной системы менеджмента "Управление валютными операциями банка" для одного из видов валютных операций - размещение депозитных средств с учетом простых процентов. Данные о данных операциях размещены и рассчитаны в таблицах Microsoft Excel и представлены в таблицах 1-5.

Для этого я воспользуюсь информацией о депозитных вкладах для физических лиц (годовой процент по вкладу и курс обмена) в таких банках Украины:

·        ПриватБанк

·        Банк ПУМБ

·        НадраБанк

·        Укрсоцбанк

·        Альфа-Банк

Таблица 1

Данные


Из таблицы 1 видно, что сумма депозита составляет 5000 грн. и представлена в долларах США и евро в соответствии с курсом обмена. Банкиры и эксперты валютного рынка в большинстве своем прогнозируют укрепление доллара США и евро к гривне к концу 2011 году. Прогнозные показатели достигают 8,2 грн. /доллар и 13,00 грн. /евро. Так же представлены процентные ставки по видам валюты на срок 1 год. В представленных данных видно, что высокая ставка наращения для гривневых сумм и для евро в ПриватБанке, а для долларов США в Альфа-Банке.

2.2 Формализация и решение задачи


Чтобы рассчитать и выбрать оптимальный вариант размещения денежных средств на депозитных счетах в гривне и валюте (доллар США, евро) с учетом простых процентов, необходимо воспользоваться формулами с помощью которых можно рассмотреть совмещение конверсии валюты и наращения простых процентов, сравнить результаты от непосредственного размещения имеющихся денежных средств в депозиты.

При этом возможны 4 варианта наращения процентов:

. Без конверсии, когда валютные средства размещаются в качестве валютного депозита, наращение первоначальной суммы производится по валютной ставке путем прямого применения формулы простых процентов.

2. С конверсией, при этом валютные средства конвертируются в гривны, наращение идет по гривневой ставке, в конце операции гривневая сумма конвертируется обратно в исходную валюту.

3. Без конверсии, в этом случае гривневая сумма размещается в виде гривневого депозита, на который начисляются проценты по гривневой ставке по формуле простых процентов.

4. С конверсией, когда гривневая сумма конвертируется в какую-либо конкретную валюту и инвестируется в валютный депозит. Проценты начисляются по валютной ставке. Наращенная сумма в конце операции вновь конвертируется в гривны.

Операции без конверсии не представляют сложности. В операции наращения с двойной конверсией имеются два источника дохода: начисление процента и изменение обменного курса. Причем начисление процента является безусловным источником (ставка фиксирована, инфляцию не рассматриваем). Изменение обменного курса может, как быть источником дополнительного дохода, так и приводить к потерям.

Рассмотрим 2 варианта, предусматривающих двойную конверсию.

·        ВАЛЮТА => ГРИВНЫ => ГРИВНЫ => ВАЛЮТА

·        ГРИВНЫ => ВАЛЮТА => ВАЛЮТА => ГРИВНЫ

Для разработки модуля информационной системы необходимо воспользоваться формулами для расчетов показателей. Для этого введем обозначения:

Рυ - сумма депозита в валюте,

Рr - сумма депозита в гривнах,

Sυ - наращенная сумма в валюте,

Sr - наращенная сумма в гривнах,

K0 - курс обмена в начале операции,

K1 - курс обмена в конце операции,

n - срок депозита,

i - ставка наращения для гривневых сумм (в виде десятичной дроби),

j - ставка наращения для конкретной валюты.

В первую очередь рассмотрим вариант:

ВАЛЮТА => ГРИВНЫ => ГРИВНЫ => ВАЛЮТА.

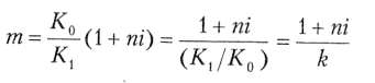
Операция состоит из трех этапов: обмена валюты на гривны, наращения гривневой суммы, обратное конвертирование гривневой суммы в исходную валюту. Для этого воспользуемся формулами для расчетов. Наращенная сумма, получаемая в конце операции в валюте, составит:


Как видим, три этапа операции нашли свое отражение в этой формуле в виде трех сомножителей.

Множитель наращения с учетом двойного конвертирования


где к = К1/К0 - темп роста обменного курса за срок операции. Следует, что множитель наращения m связан линейной зависимостью со ставкой i и обратной - с обменным курсом в конце операции K1 (или с темпом роста обменного курса k).

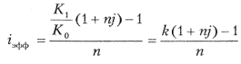
Исследуем зависимость общей доходности операции с двойной конверсией от соотношения конечного и начального курсов обмена k. Простая годовая ставка процентов, характеризующая доходность операции:


Подставляя в эту формулу выражение для Sυ, получаем:


Из формулы следует, что с увеличением k доходность iэ падает. При k = 1 доходность операции равна гривневой ставке, т е iэ = i. Величина iэ<i при k>1и iэ>i при k < 1. При некотором критическом значении k, которое обозначим как k*, доходность операции равна нулю. Из равенства iэ = 0 находим:


что означает


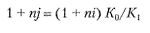
Таким образом, если ожидаемые величины k или К1 превышают свои критические значения, то операция убыточна (iэ < 0). Определим максимально допустимое значение курса обмена в конце операции К1, при котором эффективность будет равна существующей ставке по депозитам в валюте, и применение двойного конвертирования не дает никакой дополнительной выгоды. Для этого приравняем множители наращения для двух альтернативных операций:


Из полученного равенства следует, что

или


Таким образом, депозит валюты через конверсию в гривны выгоднее валютного депозита, если обменный курс в конце операции ожидается меньше max К1.

Рассмотрим этот вариант в виде конвертации с долларов США с гривнами и евро с гривнами в таком виде:

·        Доллары США - Гривны - Гривны - Доллары США

Таблица 2

Доллары США - Гривны - Гривны - Доллары США


·        Евро - Гривны - Гривны - Евро

Таблица 3

Евро - Гривны - Гривны - Евро


Анализируя полученные данные из таблицы 2 и 3, можно увидеть возможную наращенную сумму в валюте за 1 год, размещая 5000грн на депозитных счетах в банках в соответствии с их курсом валют. Тем самым, можно определить в каком банке выгодней проводить данную операцию и с какой валютой.

Сравнив ожидаемые величины темпа роста и курса обмена в конце операции с их критическими значениями можно сделать вывод, что вариант конвертации "Евро - Гривны - Гривны - Евро" является убыточной и невыгодной операцией (доходность операции меньше нуля). Так же это можно подтвердить, тем, что обменный курс ожидается больше максимального курса обмена в конце операции, то есть не выгодно размещать евро через конверсию в гривны.

Вариант "Доллары США - Гривны - Гривны - Доллары США" наоборот прибыльный и выгодный, так как доходность операции больше нуля и обменный курс ожидается меньше максимального курса обмена в конце операции. Таким образом, выгодней размещать денежные средства с конверсией, когда доллары США конвертируются в гривны, наращение идет по гривневой ставке, и в конце операции гривневая сумма конвертируется обратно в доллары США. Так, например, если взять 5000грн, обменять их на доллары США в соответствии с курсом валют банка и разместить валютный депозит со сроком на 1 год выгодней проводить данную операцию в ПриватБанке и Альфа-Банке, так как у них наибольшая наращенная сумма в долларах США.

Теперь рассмотрим вариант:

Это операция с двойной конверсией, когда исходная и конечная суммы в гривнах. В этом случае трем этапам операции соответствуют три сомножителя для наращенной суммы:


Проведем анализ эффективности этой операции и определим критические точки. Доходность операции в целом определяется по формуле:


Отсюда, подставив выражение для Sr, получим:


Зависимость показателя эффективности iэ от k линейная, iэ = j при k = 1, iэ, > j при k > 1, iэ < j при k < 1. Найдем критическое значение k*, при которых iэ = 0:


Таким образом, если ожидаемые величины k или К1 меньше своих критических значений, то операция убыточна (iэ < 0). Минимально допустимая величина k (темпа роста валютного курса за весь срок операции), обеспечивающая такую же доходность, что и прямой вклад в гривнах, определяется путем приравнивания множителей наращения для альтернативных операций (или из равенства iэ = i):

откуда

или

депозитная операция банк модуль

Таким образом, депозит гривневых сумм через конвертацию в валюту выгоднее гривневого депозита, если обменный курс в конце операции ожидается больше min К1.

Этот вариант рассмотрим в виде конвертации гривен с долларами США и гривен с евро в таком виде:

·        Гривны - Доллары США - Доллары США - Гривны

Таблица 4

Гривны - Доллары США - Доллары США - Гривны

·        Гривны - Евро - Евро - Гривны

Таблица 5

Гривны - Евро - Евро - Гривны


Делая вывод из полученных данных видна возможная наращенная сумма в гривнах за 1 год, если положить 5000грн на депозитный счет. Так можно определить в каком банке выгодней проводить операцию "Гривны - Валюта - Валюта - Гривны" и с какой валютой.

Таким образом, видно, что ожидаемые величины темпа роста и курса обмена в конце операции "Гривны - Доллары США - Даллары США - Гривны" больше их критических значений (доходность опирации больше нуля), а это значит, что данная операция прибыльная. Но депозит гривневых сумм через конвертацию в доллары США менее выгодней гривневого депозита, так как обменный курс ожидается меньше минимального курса обмена в конце операции. Так же само прибыльная операция "Гривны - Евро - Евро - Гривны", ее доходность больше нуля. Депозит гривневых сумм через конвертацию в евро выгодей гривневого депозита, так как обменный курс ожидается больше минимального курса обмена в конце операции. Если взять 5000грн и разместить валютный депозит со сроком на 1 год, то выгодней проводить данную операцию в ПриватБанке и Альфа-Банке, так как у них наибольшая наращенная сумма в гривнах.

Делая общий вывод о операциях "Валюта - Гривны - Гривны - Валюта" и "Гривны - Валюта - Валюта - Гривны" можно выбрать оптимальный вариант размещения денежных средств на депозитных счетах в гривне и валюте с учетом простых процентов. В первую очередь хочу сказать, что выбирая банк в котором собираемся разместить денежные средства на депозитных счетах, необходимо обратить внимание на ПриваБанк, так как у него в любом из рассматриваемых случаев наращенная сумма больше. Наиболее оптимальными вариантами размещения депозитов являются:

·        "Доллары США - Гривны - Гривны - Доллары США"

·        "Гривны - Евро - Евро - Гривны"

Вывод


В курсовой работе рассмотрена система оптимального размещения денежных средств в депозиты в гривнах и в валюте с учетом простых процентов. В зависимости от ситуации на валютных рынках, можно переводить средства в рамках одного вклада из одной валюты в другую. Для этого просто дается банку поручение перевести средства со счета этой валюты на другой счет вклада (естественно, с предварительной конвертацией). Используя информационные системы можно разработать систему для валютных операций, которая поможет предугадать ситуацию на валютном рынке и минимизировать валютные риски для банков и их клиентов. Так, например, как было рассмотрено, для выгодного размещения депозитных средств можно создать информационную систему, которая предугадает в какой валюте выгодней размещать депозит и в каком банке с наибольшим доходом от наращения процентов и возможными, в случае снижения курса валют, минимальными рисками. Новые технологии помогают банкам, найти новые средства для извлечения прибыли.

Ценовая конкуренция заключается в предоставлении наиболее выгодных финансовых условий по услугам с проведением валютных операций. Например, самые высокие процентные ставки или самые низкие тарифы. Использование этого вида конкурентной борьбы дает достаточно быстрые и хорошие результаты. Несомненно, одним из наиболее важных и решающих факторов, стимулирующих клиентов к сбережению ресурсов именно в банке является размер процентной ставки по депозиту, режим начисления процентов и т.п., то есть процентная политика банка.

Валютные операции могут принести банку прибыль, но так же само при невнимательности и не умении управлять данными операциями могут появиться большие убытки. Менеджмент банка должен разработать формальную политику по отношению к лимитам, а также по отношению к основным клиентам, которые ежедневно используют банк в своих торговых и инвестиционных операциях. Банк должен иметь эффективную систему контроля с целью наблюдения за ежедневной деятельностью управления валютных операций. Только от конкретной ситуации зависти, каким способом коммерческие банки будут анализировать уровни всех своих рисков, и управлять ими. Правовой базой валютного регулирования, валютных операций и валютного контроля на территории Украины является Декрет Кабинета Министров Украины "О системе валютного регулирования и валютного контроля", Постановления Национального банка Украины "О предоставлении валютных средств для продажи в официальный валютный резерв Национального банка Украины" от 30.01.95 г, "Порядок использования наличной иностранной валюты как средства платежа на территории Украины" от 19.05.95 г, с дополнениями.

Список используемой литературы


1. Красс М.С., Чупрынов Б.П. Математика для экономистов - СПб.: Питер, 2004.

2. Декрет Кабинета Министров Украины "О системе валютного регулирования и валютного контроля" от 19 февраля 1993г. №15-93 с дополнениями.

3. Сурен Лизелотт Валютные операции. Основы теории и практика - пер. с нем. - М.: Дело, 1998.

4. Щеголева Н.Г. Валютный рынок и валютные операции - Москва 2005.

Похожие работы на - Разработка специального модуля информационной системы менеджмента 'Управление валютными операциями банка'

 

Не нашли материал для своей работы?
Поможем написать уникальную работу
Без плагиата!
Без нейросетей!