Анализ возможностей внедрения процессного и системного подхода на предприятии

  • Вид работы:
    Дипломная (ВКР)
  • Предмет:
    Менеджмент
  • Язык:
    Русский
    ,
    Формат файла:
    MS Word
    235,5 Кб
  • Опубликовано:
    2013-03-21
Вы можете узнать стоимость помощи в написании студенческой работы.
Помощь в написании работы, которую точно примут!

Анализ возможностей внедрения процессного и системного подхода на предприятии

Содержание

Введение

.        Теоретические особенности процессного и системного подхода в отделах снабжения

.1      Сущность снабженческой деятельности торгово-закупочных Предприятий

.2      Основные характеристики процессного подхода

.3      Основные характеристики системного подхода

.        Анализ возможностей внедрения системного и процессного подхода

.1      Характеристика ОАО «Нефтеюганскнефтехим»

.2      Анализ системности процесса снабжения (закупок) ОАО «Нефтеюганскнефтехим»

.3      Анализ процессности процесса снабжения (закупок) ОАО «Нефтеюганскнефтехим»

. Оптимизация снабженческой деятельности на предприятии в современных условиях на основе процессного и системного подхода

.1 Зарубежный опыт системы выбора поставщиков

.2 Применение процессного подхода при совершенствовании системы выбора поставщиков для ОАО «Нефтеюганскнефтехим»

Заключение

Список использованной литературы

Приложения

Аннотация

Сведения об объеме: 77 страниц, 9 иллюстраций, 2 таблицы, 2 приложения, 49 использованных источника.

Перечень ключевых слов: процесс, система, процессный подход, системный подход, снабжение, закупка, поставщики, производство, качество, управление качеством.

Объектом исследования в работе является деятельность промышленного предприятия ОАО «Нефтеюганскнефтехим».

Предметом исследования является системный и процессный подход в управлении закупок предприятия.

Целью настоящей дипломной работы является анализ возможностей внедрения системного и процессного подходов в процессе закупок сырьевой базы на примере ОАО «Нефтеюганскнефтехим».

Информационная база формировалась на основе данных, публикуемых в периодической печати, материалов монографических исследований отечественных и зарубежных учёных, материалов специализированных исследовательских компаний, ежегодных отчётов компании ОАО «Нефтеюганскнефтехим», а также Интернет - ресурсов и авторских исследований.

Практическая значимость данной работы заключается в разработке практических рекомендаций по внедрению на ОАО «Нефтеюганскнефтехим» процессного и системного подхода.

Введение

В последние годы промышленный сектор Российской Федерации демонстрирует уверенный рост, характеризующийся увеличением объемов выпускаемой продукции. По данным Госкомстата, наблюдается также рост промышленных предприятий ведущих активную внешнеэкономическую деятельность, связанную с экспортно-импортным обменом. Рост масштабов производства, усложнение внутренних процессов ресурсного обмена, увеличение объемов поставок сырья на промышленных предприятиях требует профессионального подхода к управлению таким предприятием, для обеспечения устойчивости его функционирования.

Если в период плановой экономики, предприятия обменивались сырьевыми ресурсами в рамках, и по правилам единого собственника, и вся ответственность за потери ложилась на государство, то в настоящее время, в России, экономические субъекты были вынуждены, практически мгновенно перейти на новые условия обмена принадлежащими им ресурсами. Это значительно повысило ответственность за принятие управленческих решений, при управлении ресурсами и снабжении сырьем, без скидок на незнание и отсутствие опыта.

Если методы управления производственными и внутренними процессами предприятия хорошо изучены, то процесс управления снабжением сырьевыми ресурсам в условиях изменяющийся внешней среды, для российских предприятий, является новым и начал рассматриваться только в постсоветский период.

Одним из основных рискообразующих факторов, в процессе сырьевого снабжения промышленного предприятия, является неопределенность развития сырьевых рынков, обусловленная: изменяющимися объемами добычи или производства сырья, в связи с рыночными, природными и другими факторами; изменяющимся таможенным и налоговым законодательством; изменяющимися ожиданиями участников сырьевых рынков.

Мировая практика показывает, что неблагоприятные изменения ценовых характеристик сырьевых ресурсов, использующихся в производственном процессе конкретного предприятия, оказывает сильное негативное влияние на эффективность его деятельности. Недопустимость сбоев способных привести к снижению объемов производства, повышению себестоимости или его остановке, требует разработки и внедрения систем управления процессами сырьевого снабжения, опирающихся на прогнозирование изменения ценовых характеристик сырья.

Таким образом, первоочередной задачей на промышленном предприятии является создание такой стратегии управления снабжением сырьевыми ресурсами, которая была бы направлена на формирование оптимальных производственных показателей, и ориентирована к работе в условиях динамично меняющейся внешней среды.

Проанализировав возможность внедрения системного и процессного подхода, мы можем справиться с этой задачей.

Рассмотренные выше особенности сырьевого снабжения обуславливают актуальность исследования проблем и методов управления закупками сырья промышленных предприятий и разработку методики принятия решений для управления сырьевым снабжением промышленных предприятий.

Целью настоящей дипломной работы является анализ возможностей внедрения системного и процессного подходов, в процессе закупок сырьевой базы на примере ОАО «Нефтеюганскнефтехим».

Основными задачами для достижения поставленной цели являются:

-        системный анализ процесса закупки сырья с целью выявления рискообразующих факторов снижающих эффективность производственной деятельности и разработка системного описания данного процесса;

-       процессный анализ закупки сырья с целью выявления рискообразующих факторов снижающих эффективность производственной деятельности и разработка процессного описания данного процесса;

-       исследование существующих методов управления закупками сырья;

-        анализ зарубежного опыта системы выбора поставщиков;

-       оценка возможности применения процессного подхода при совершенствовании системы выбора поставщиков для ОАО «Нефтеюганскнефтехим»

Объектом исследования в работе является деятельность промышленного предприятия ОАО «Нефтеюганскнефтехим».

Предметом исследования является системный и процессный подход в управлении закупок предприятия.

Методы исследования: для решения поставленных задач использовались методы системного и процессного анализа, методы обработки временных рядов, методы статистического анализа, методы теории управления.

В данной работе использованы труды отечественных специалистов в области качества, таких как Ю.П. Адлер, В.И. Галлеев, Э.Н. Гончаров, В.Г. Елиферов, С.Д. Ильенкова которые занимаются исследованиями проблем совершенствования управления промышленных предприятий на основе процессного подхода, изучением отечественных разработок систем качества, а также разработками методов описания и построения процессов российских компаний.

Информационная база формировалась на основе данных, публикуемых в периодической печати, материалов монографических исследований отечественных и зарубежных учёных, материалов специализированных исследовательских компаний, ежегодных отчётов компании ОАО «Нефтеюганскнефтехим», а также Интернет - ресурсов и авторских исследований.

Практическая значимость данной работы заключается в разработке практических рекомендаций по внедрению на ОАО «Нефтеюганскнефтехим» процессного и системного подхода.

Данная работа состоит из введения, трёх глав, заключения, списка литературы и приложения.

В первой главе рассмотрены теоретические особенности системного и процессного подхода в отделах снабжения, так же изучена сущность снабженческой деятельности в торгово-закупочных предприятиях. Рассмотрены основные характеристики процессного и системного подхода.

Во второй главе проведен анализ внедрения системной и процессной модели деятельности предприятия на примере ОАО «Нефтеюганскнефтехим». Приведены организационно-экономические характеристики предприятия.

В третьей главе автором рассматривается зарубежный опыт системы выбора поставщиков, а также рассматривается возможность применения процессного подхода при совершенствовании системы выбора поставщиков для ОАО «Нефтеюганскнефтехим».

В заключении подводятся основные итоги и делаются выводы.

.       
Теоретические особенности процессного и системного подхода в отделах снабжения

.1      Сущность снабженческой деятельности торгово-закупочных предприятий

Любое предприятие, как производственное, так и торговое, имеет службу, осуществляющую закупку, доставку и временное хранение сырья, полуфабрикатов и товаров народного потребления.

Процесс приобретения материальных ресурсов (товаров) в государственном секторе и в производственной деятельности обычно называют снабжением, в розничной торговле и складском хозяйстве - закупками. Часто этот же процесс определяют как «логистика на входе» или «внутренняя логистика».

В зарубежной логистической науке и практике также нет единого подхода к терминологии исследуемой области. В частности, Д. Дж. Бауэрсокс и Д. Дж. Клосс указывают: «Снабжение включает закупки и организацию внешних поставок материалов, производственных компонентов и/или готовых продуктов от поставщика на производственные или сборочные предприятия, склады промышленных и торговых предприятий или в розничные магазины» [1].

Стандартное определение общих целей функции закупок таково, что предприятие должно получать необходимое по качеству и количеству сырье в нужное время, в нужном месте, от надежного поставщика, своевременно отвечающего по свои обязательствам, с хорошим сервисом и по выгодной цене.

В соответствии с этим можно выделить следующие функции закупок:

Необходимость обеспечения непрерывного потока сырья, поставок комплектующих и предоставления услуг, необходимых для работы предприятия. Дефицит сырья и комплектующих может привести к остановке производства и соответственно к большим накладным расходам − росту эксплуатационных затрат в связи с постоянными расходами и неспособностью удовлетворять требования клиентов к срокам доставки продукции.

Сведение расходов, связанных с запасами, к минимуму. Одним из путей обеспечения непрерывного потока материальных ресурсов и готовой продукции является создание и хранение крупных запасов этих ресурсов и продукции. Запасы предполагают использование капитала, который нельзя еще куда-либо инвестировать. Ежегодно стоимость текущего запаса может составлять 20-50 % общей стоимости активов.

Поддержание и повышение качества. Производство продукции или предоставление услуг должно отвечать принятым требованиям, что ведет к росту производственных расходов до значительного уровня.

Поиск компетентных и надежных поставщиков. Успех функции закупок зависит от способности находить поставщиков и развивать отношения с ними, анализировать их возможности, выбирать соответствующего поставщика, а затем работать с ним, постоянно совершенствуя совместную деятельность.

Соблюдение принципа «цена-качество» в процессе закупки. Деятельность по закупке предполагает использование большого объема оборотных средств, поэтому необходимы товары и услуги с наименьшей общей стоимостью с сохранением должного уровня качества, количества, условий доставки и сервиса.

Повышение конкурентоспособности. Компания будет конкурентоспособной, если сможет контролировать все расходы, связанные с закупками, и временные параметры с тем, чтобы избежать неприбыльной деятельности, либо деятельности, требующей дополнительного времени и т. д. Для этого необходима оптимизация размеров затрат, изменения в программе распределения, внедрение достижений технического прогресса и т. п.

Достижение гармоничных отношений, эффективного сотрудничества с другими функциональными подразделениями компании. Закупочная деятельность не может быть эффективной без сотрудничества с другими отделами и сотрудниками компании: отделом технического контроля (ОТК), производственным отделом, бухгалтерией, отделами маркетинга, дизайна, инженерной разработки и т. д.

Снижение административных расходов. Если деятельность по закупкам нерациональна, административные расходы отдела закупок будут слишком высокими. Состав целей закупочной логистики зависит от специализации компании (промышленная, торговая, сервисная), степени развития и/или сложности производства, отрасли экономики, в которой функционирует компания, конкурентоспособности.

Основные вопросы, на которые следует ответить в процессе обеспечения предприятия предметами труда, традиционны и определяются логистикой снабжения:

-        что закупить;

-       сколько закупить;

-       у кого закупить;

-       на каких условиях закупить.

-       Кроме того, необходимо выполнить работы:

-       заключить договор;

-       проконтролировать исполнение договора;

-       организовать доставку;

-       организовать складирование.

-       К традиционному перечню логистика добавляет свои вопросы:

-       как системно увязать деятельность предприятия с поставщиками;

-       как системно увязать закупки с производством и сбытом [3, с.167]

Обозначенный круг вопросов закупочной логистики определяет состав решаемых в данной функциональной области задач и характер выполняемых работ.

Можно рассмотреть задачи и работы, относящиеся к закупочной логистике.

Определение потребности в материальных ресурсах. В процессе определения потребности в материальных ресурсах необходимо идентифицировать внутрифирменных потребителей материальных ресурсов. Затем выполнять расчет потребности в материальных ресурсах. Далее разрабатываются планы-графики и спецификации на каждую позицию номенклатуры и/или номенклатурные группы.

Исследование рынка закупок. Исследование рынка закупок начинают с анализа поведения рынка поставщиков. Далее следует предварительная оценка всех возможных источников закупаемых материальных ресурсов, а также анализ рисков, связанных с выходом на конкретный рынок.

Выбор поставщиков. Включает поиск информации о поставщиках, создание банка данных о поставщиках, поиск оптимального поставщика, оценку результатов работы с выбранными поставщиками.

Осуществление закупок. Реализация данной функции начинается с проведения переговоров, которые должны завершиться оформлением договорных отношений, т.е. заключением контракта. Осуществление закупок включает в себя выбор метода закупок, разработку условий поставки и оплаты, а также организацию транспортировки материальных ресурсов. При этом составляются графики поставки, осуществляется экспедирование, возможно, организуются таможенные процедуры. Завершаются закупки организацией приемного контроля [21].

Контроль поставок. Одной из самых значимых задач контроля поставок является контроль поставки, т.е. учет количества рекламаций и брака. Контроль поставок включает в себя также отслеживание сроков поставки (количество ранних поставок или опозданий), отслеживание сроков оформления заказа, сроков транспортировки, а также контроль состояния запасов материальных ресурсов.

Подготовка бюджета закупок. Существенной частью закупочной деятельности являются экономические расчеты, так как необходимо точно знать, во что обходятся те или иные работы и решения. При этом определяют следующие виды затрат:

-        затраты на транспортировку, экспедирование и страхование;

-       затраты на грузопереработку;

-       затраты по контролю за соблюдением условий договора поставки;

-       затраты на приемку и проверку материальных ресурсов;

-       затраты на поиск информации о потенциальных поставщиках.

Координация и системная взаимосвязь закупок с производством, сбытом, складированием и транспортированием, а также с поставщиками. Это специфическая задача закупочной логистики, решаемая, как было отмечено выше, посредством организации системной взаимосвязи закупок с производством и сбытом, а также тесных связей с поставщиками в области планирования, экономики, техники и технологии. [3]

Выявление задач, целей и функций закупочной деятельности позволяет более точно и правильно организовать и спланировать снабжение на предприятии.

Организация процесса снабжения предусматривает:

-        создание инфраструктуры процесса;

-       создание организационной структуры управления снабжением.

Рассмотрим каждую из этих составляющих.

Инфраструктура снабжения включает подразделения складского, транспортного, заготовительного хозяйств. На отдельных предприятиях могут быть также подразделения по переработке отходов производства и тарного хозяйства.

В основу определения организационной структуры управления снабжением должны быть положены принципы, которые обеспечивают все функции управления совокупностью подразделений. Это, прежде всего, малозвенность в управлении, гибкость, эффективная система связи, принцип единоначалия и четкое разграничение функций.

Существует 2 основных варианта организации снабжения, принципиально отличающихся друг от друга возможностями реализации системного подхода к управлению материальными потоками в процессе обеспечения предприятия сырьем:

-        централизованная;

-       децентрализованная.

Как именно организовано снабжение, зависит от типа и размера организации. В небольшой организации за все закупки может отвечать один сотрудник. В организации средних размеров может быть создан отдел, где работают сотрудники, осуществляющие закупки, грузовые экспедиторы, складские работники и. В крупной организации снабжением могут заниматься сотни людей, координирующих огромные закупки материалов.

Если организация подходит к процессу закупок с позиции децентрализации, то служащие отделов будут самостоятельно осуществлять закупки, каждый для своего отдела (рис. 1.1.1).

Преимущества такого подхода:

-        пользователь лучше знает потребность отдела, чем кто-либо другой;

-       возможность более быстрого удовлетворения потребности в материальных ресурсах.

Недостатки децентрализованных закупок:

-        решая оперативные вопросы, служащие могут не заметить тенденции изменений планирования организации в целом;

-       недостаточный профессионализм служащих и проблемы определения возможностей снабжения;

-       ни одно подразделение не может быть достаточно большим для того, чтобы проводить функциональный анализ в таких областях, как работа с таможней, транспортные услуги, складирование, управление запасом, анализ закупок и т.п.

Рис. 1.1.1 - Децентрализованная форма организации управления снабжением

Как видно, задачи «что закупать» и «сколько закупать» решаются дирекцией по производству. Здесь же выполняются работы по складированию закупленных предметов труда.

Задачи «у кого закупать» и «на каких условиях закупать» решаются дирекцией по закупкам. Здесь же выполняются и перечисленные работы по снабжению, т.е. заключаются договоры, контролируется их исполнение. В результате функция управления материальным потоком в процессе снабжения предприятия сырьем и материалами разделена между различными службами и ее эффективная реализация затруднена.

Для осуществления централизованных закупок обычно организуется один отдел снабжения, сосредоточивающий все функции снабжения организации, что позволяет получить определенные выгоды:

-        объединение всех закупок аналогичных или похожих материалов, что дает возможность получить скидки за большой заказ;

-       координация связанных между собой видов деятельности для сокращения затрат на транспортировку, хранение и обслуживание;

-       устранение дублирования операций и ненужных приемов;

-       наличие единой точки контактов с поставщиками и предоставление им необходимой информации и услуг;

-       концентрация ответственности за снабжение, что облегчает осуществление управленческого контроля (рис. 1.1.2.).

Рис. 1.1.2 - Централизованная форма организации управления снабжением

Данный вариант предполагает сосредоточение всех функций снабжения в одних руках. Такая структура создает широкие возможности логистической оптимизации материального потока на стадии закупок предметов труда.

Для того чтобы правильно организовать процесс снабжения на предприятии, необходимо знать методы планирования снабжения, из которых можно выбрать конкретный метод или группу методов для внедрения на предприятие и эффективного использования в дальнейшем.

Методы планирования снабжения на предприятии включает следующие основные системы: MRP I, MRP II, JIT, CIM, ERP и др.I («планирование потребностей в материалах») - система, состоящая из ряда логистически связанных процедур, правил и требований, синхронизированных во времени для каждой единицы компонентов, необходимых для выполнения графика производства.

Цели данной системы:

-        удовлетворение потребностей в материалах, компонентах и комплектующих для планирования производства;

-       планирование производственных операций, расписаний доставок, закупочных операций.

Система MRP I начинает свою работу с определения, сколько конечной продукции и в какие сроки необходимо произвести. Затем система определяет время и необходимые объемы материальных ресурсов для удовлетворения потребностей производственного расписания.

На выходе система дает набор документов, в том числе схемы доставки материальных ресурсов по подразделениям, объемы и сроки поставок. Таким образом, MRP I запланировано «проталкивает» материальные ресурсы по подразделениям.II («планирование ресурсов производства») - это замкнутая система, относящаяся к детальному планированию производства, к финансовому планированию себестоимости материалов и производственных затрат, а также к моделированию хода производства. Эта система отличается от MRP I гибкостью планирования, обеспечивающих лучшую организацию поставок и лучшую реакцию на изменение спроса. Важное место в MRP II занимают блоки прогнозирования спроса, размещения заказов и управление запасами. [8]

В результате использования данной системы сокращаются материальные ресурсы на складе, решаются задачи оптимизации материальных потоков и другие положительные эффекты.(концепция «точно в срок») характеризуется минимальными запасами, короткими логистическими цепями, взаимоотношением по закупкам с небольшим количеством надежных поставщиков и перевозчиков. [8](концепция «компьютеризированного интегрированного производства») - предполагает интеграцию всех подсистем системы управления (управление снабжением, проектированием и подготовкой производства, транспортно-складскими системами и т.д.) [8](«планирование ресурсов предприятия») - включает в себя усовершенствование планирования и составление расписаний, окончательное планирование ресурсов, управление данными об изделии и т.д. Главная задача ERP-системы - добиться оптимизации (по времени и ресурсам) перечисленных процессов. [8]

Организация и планирование снабжение, а так же выбор метода закупок не возможны без сопутствующего информационного обеспечения закупочной деятельности предприятия.

Информационные системы - это комбинация взаимосвязанных компонентов, которые собирают, обрабатывают и хранят исходные данные и распределяют информацию так, чтобы с ее помощью принимать решения, контролировать их выполнение и координировать деятельность предприятия. Информационные системы построены на основе инфраструктур информационных технологий, включающих компьютеры и программное обеспечение. [5]

Технологии информационных систем могут дать предприятию следующие основные преимущества:

Снижение затрат и повышение эффективности за счет упрощения процессов закупок и высвобождения времени сотрудников службы закупок, в результате чего они могут заниматься работой, добавляющей более высокую ценность.

Быстрый и более легкий доступ к наиболее важным данным в режиме реального времени помогает принимать обоснованные решения.

Благодаря сокращению времени на административную и тактическую деятельность в процессе поставок работники могут уделять больше времени стратегическим инициативам и более сфокусированной работе с важными поставщиками и основными проектами по поставкам.

В масштабах всего предприятия, системы позволяют контролировать расходы [5].

1.2    Основные характеристики процессного подхода

Для определения процессного подхода к управлению необходимо рассмотреть так называемый цикл PDCA. Этот цикл управления традиционно носит название «цикл Шухарта-Деминга».

Рис. 1.2.1 - Цикл Шухарта-Деминга

Цикл Шухарта-Деминга включает 4 шага: планирование процесса (Plan), выполнение процесса (Do), анализ показателей эффективности процесса (Check), корректировка процесса (Act).

Базовые требования процессного подхода, сформулированным в МС ИСО 9001:2000. Особенности построения МС ИСО 9001:2000 позволяют применить его в любой сфере деятельности, при управлении любой организацией. Требования к описанию процессов содержатся в разделах 5-8 этого стандарта. Можно выделить основные моменты требований:

. Система управления складывается, как минимум, из двух уровней. Управленческие решения принимают:

а) высшее руководство («первое лицо»);

б) владелец процесса - руководитель, отвечающий за эффективность процесса;

. Система управления основана на обязательных регламентированных обратных связях, описанных в цикле PDCA.

. Все этапы цикла PDCA выполняются по регламентам.

. При проведении анализа используются четыре основных потока информации:

а) показатели процесса;

б) показатели продукта;

в) показатели удовлетворенности потребителя;

г) результаты аудитов процессов;

. Стандарт требует установить эти показатели, методики сбора, обработки информации, границы показателей для нормального хода процесса и критерии для принятия корректирующих действий. Управленческое решение об изменении регламентов или ресурсов должно приниматься на основании строгих фактов.

. Необходимо назначить ответственных - владельцев процессов, которые управляют процессами, отвечают за их результативность и обладают необходимыми ресурсами и полномочиями. Их взаимодействие должно быть определено и формализовано.

. Принцип PDCA тиражируется на нижние уровни управления (принятия решения), если это целесообразно.

Процесс, представленный в прил. 1, соответствует всем перечисленным требованиям.

Теперь дадим определение процессного подхода к управлению организацией.

Применение для управления деятельностью и ресурсами организации системы взаимосвязанных процессов может называться процессным подходом [9].

При внедрении процессного подхода к управлению используются следующие методики:

создания сети бизнес-процессов;

определения владельцев бизнес-процессов;

моделирования (описания) бизнес-процессов;

регламентации бизнес-процессов;

управления бизнес-процессами на основе цикла PDCA;

аудита бизнес-процессов.

Ключевыми моментами для внедрения процессного подхода к управлению являются:

) определение и описание существующих бизнес-процессов и порядка их взаимодействия в общей сети процессов организации;

) четкое распределение ответственности руководителей за каждый сегмент всей сети бизнес-процессов организации;

) определение показателей эффективности и методик их измерения (например, статистических);

) разработка и утверждение регламентов, формализующих работу системы;

) управление ресурсами и регламентами при обнаружении отклонений, несоответствий в процессе или продукте или изменений во внешней среде (в том числе изменение требований заказчика).

С внедрением процессного подхода к управлению организации имеются следующие возможности:

Возможность 1. Процессный подход позволяет оптимизировать систему корпоративного управления, сделать ее прозрачной для руководства и способной гибко реагировать на изменения внешней среды. При внедрении процессного подхода регламентируются:

-        порядок планирования целей и деятельности;

-       взаимодействие между процессами и подразделениями организации;

-       ответственность и полномочия владельцев процессов и других должностных лиц;

-       порядок действий сотрудников в нештатных ситуациях;

-       порядок и формы отчетности перед высшим руководством;

-       система показателей, характеризующих результативность и эффективность деятельности организации в целом и его процессов;

-       порядок рассмотрения результатов деятельности и принятие управленческих решений по устранению отклонений и достижению плановых показателей.

Внедрение в организации процессного подхода в первую очередь подразумевает работу по описанию и регламентации бизнес-процессов, в рамках которой:

) проводится распределение ответственности за результаты работ, входящих в состав процессов;

) определяется система взаимодействия процессов между собой, а также с внешними поставщиками и потребителями;

) определяется перечень документации, необходимой для функционирования процессов (инструкции, регламенты, положения, методики, должностные инструкции и т.д.);

) составляется график разработки и внедрения этой документации;

) устанавливаются показатели деятельности процессов, способы и формы сбора информации и порядок отчетности перед руководителями;

) определяются границы показателей, характеризующие нормальное течение процессов;

) устанавливаются критерии, по которым начинается работа по устранению причин отклонения.

Возможность 2. Процессный подход позволяет получить и использовать систему показателей и критериев оценки эффективности управления на каждом этапе производственной/управленческой цепочки. Система показателей, построенная в рамках процессного управления, структурируется по четырем направлениям:

· показатели результата деятельности отдельных процессов и организации в целом (достижение запланированных результатов по объему, качеству, номенклатуре и срокам);

· показатели эффективности деятельности отдельных процессов и организации в целом (отношение полученных результатов к затратам времени, финансовых и других ресурсов);

· показатели продуктов, производимых процессами организации;

· показатели удовлетворенности клиентов результатами деятельности организации.

При внедрении процессного подхода разрабатывается двухступенчатая система показателей:

а) показатели, по которым владелец процесса оценивает результативность и эффективность своего процесса и работ, входящих в его состав;

б) показатели, по которым владелец процесса отчитывается перед высшим руководством о результатах деятельности процесса.

В число процессов, которые существуют в организации, входит также процесс управления организацией. Владельцем этого процесса является генеральный директор. Управление деятельностью организации производится на основе отчетных показателей, которые владельцы процессов передают высшему руководству.

Возможность 3. Процессный подход обеспечивает уверенность соучредителей организации в том, что существующая система управления нацелена на постоянное повышение эффективности и максимальный учет интересов заинтересованных сторон, поскольку:

) система основана на измерении показателей деятельности организации, планировании и достижении непрерывного улучшения результатов деятельности;

) система направлена на удовлетворение потребностей пяти групп лиц, заинтересованных в деятельности организации:

· соучредители (инвесторы);

· потребители на рынке;

· персонал организации;

· поставщики;

· общество.

Возможность 4. Разработанная и внедренная система управления бизнес-процессами (СУБП) обеспечивает реализацию в организации процессного подхода в соответствии с требованиями МС ИСО 9000:2000 и получение соответствующего сертификата.

Наличие сертификата соответствия системы менеджмента качества требованиям МС ИСО 9001:2000 гарантирует потребителям, что организация не только выполнит заявленные требования потребителя, но и постарается установить и выполнить его предполагаемые требования, а также что вопросам качества работы уделяется большое внимание. Подобная организация получает конкурентные преимущества на рынке услуг.

Возможность 5. Внедрение процессного подхода к управлению и построению системы менеджмента качества гарантирует четко определенный порядок и ответственность за разработку, согласование, утверждение и ведение документации.

Возможность 6. Основой процессного подхода к управлению является принятие решений, основанное на фактах, поэтому большое значение имеет наличие в организации информационной системы. Внедряемая в организации информационная система позволяет получать владельцам процессов объективную информацию. Для ведения управления в том случае, если она строится в рамках единой системы управления организацией на основе процессного подхода. В том случае, если система автоматизации внедряется без учета потребностей реального управления организацией, то очень велика вероятность неудачного завершения такого проекта.

Обычно при рассмотрении процессного подхода выделяют четыре основные функции, применимые ко всем организациям: планирование, организация, мотивация и контроль.

Функции управления в процессном подходе имеют две общие характеристики: все они требуют принятия решений, и для всех необходима коммуникация. Принятие решений и коммуникация играют роль связующих процессов при осуществлении планирования, организации, мотивации, и контроля.

Рассмотрим кратко четыре существенные функции управления с точки зрения процессного подхода:

. Планирование. При планировании руководитель вначале должен сформулировать цели организации. Затем, поставив общие задачи, он должен определить, какие конкретные работы (задания) необходимо выполнить сотрудникам организации в определенный отрезок времени. Для того чтобы планы были реальными, а не иллюзорными, руководителю следует учесть наличие всех ресурсов как организации в целом, так и каждого подразделения в отдельности.

Другими словами, планирование - это способ, с помощью которого руководитель пытается задать единое направление вектору усилий всех членов организации на достижение ее общих целей в определенный отрезок времени. При этом необходимо учитывать две существенные характеристики, присущие организационным структурам, а именно: горизонтальное и вертикальное разделение труда.

. Организация. По окончании процесса планирования руководитель должен организовать выполнение запланированных работ (заданий), поскольку без осуществления организационных мероприятий сами по себе планы, разумеется, в жизнь не воплотятся.

Руководитель должен распределить между структурными подразделениями работы (задания), а также в соответствии с планом довести до исполнителей порядок их выполнения и порядок взаимодействия подразделений (горизонтальное разделение труда).

Важным средством, с помощью которого руководитель осуществляет функцию организации в процессе управления, является выдача заданий подчиненным ему линейным руководителям и делегирование им необходимых полномочий (вертикальное разделение труда).

Линейные руководители организуют выполнение поставленных задач в подразделениях.

Рядовые исполнители получают инструкции и необходимые орудия труда для выполнения конкретной работы (задания) в соответствии с принятым руководителем планом.

. Контроль. Контроль - это каждодневный текущий процесс, призванный обеспечить выполнение планов организации.

Существуют три аспекта управленческого контроля:

) Установление стандартов - точное определение конкретных промежуточных целей, которые должны быть достигнуты в обозначенный при планировании отрезок времени.

) Измерение того, что было в действительности достигнуто, и сравнение достигнутого с ожидаемыми результатами.

) Определение отклонений от первоначального плана и выявление причин отклонений в целях его корректировки.

Каждая из названных функций управления должна осуществляться либо самим руководителем предприятия или подразделения либо при помощи плановой службы, но под тщательным и постоянным контролем со стороны руководителя. Фактически детальное планирование и постоянный контроль - неотъемлемые составляющие полноценного труда любого руководителя.

. Мотивация. С точки зрения процессного подхода мотивация - это процесс побуждения других к деятельности для достижения целей организации. Руководителю следует определить круг потребностей своих работников и обеспечить для них способ удовлетворить эти потребности через хорошую работу. Иными словами, руководитель должен опять же самостоятельно изыскивать методы и средства мотивации подчиненных работников к производительному труду. В противном случае «даже прекрасно составленные планы и самая совершенная структура организации не имеют никакого смысла».

При процессном подходе акцентируется внимание на том, что управление представляет собой непрерывную серию взаимосвязанных функций.

Сами по себе такие важные управленческие процедуры, как планирование, организация и контроль, не представляют особой трудности. В данных областях наработан конкретный практический опыт, существуют рекомендации и пособия по выполнению названных процедур. Заслуга в этом принадлежит школе научного управления, а также административному и количественному подходам.

Тем не менее, процесс управления в целом остается по-прежнему сложным и, как следствие, по мнению автора, крайне неэффективен. Концепция процессного подхода по-прежнему остается нереализованной в полной мере. Она не дает руководителю четкого и ясного алгоритма эффективного управления. Число основных функций, входящих в процесс управления, строго не определено. Отсюда нет единого мнения о том, какие из них следует считать существенными в процессе управления, а какие нет. Очевидно, причиной этому является все та же непредсказуемость человеческого поведения. Не случайно в современном процессном подходе появилась функция мотивации, которую в ряду остальных управленческих функций А. Файоль не рассматривал. Ее появление свидетельствует лишь о том, что на современном этапе осознана важность человеческого фактора при управлении. Однако ввиду отсутствия действенных научно обоснованных методов решения этой проблемы непосильный поиск путей ее решения возложен на менеджеров.

Таким образом, проблема мотивации, как таковая, должна быть начисто снята с повестки дня любого руководителя, что только и позволит упростить весь процесс управления, сделав его эффективным прежде всего за счет всестороннего содействия со стороны каждого работника реализации планов предприятия.

Как писал К. Девис: «Различные виды управленческой деятельности, как, например, планирование, организация, принятие решений, остаются нераскрывшимися канонами до тех пор, пока лидер не приводит в действие рычаги мотивации в людях и не направляет их к поставленным целям».

Следует сделать вывод, что путь к упрощению процесса управления, а значит, к наивысшей его эффективности лежит только через решение проблемы эффективной мотивации труда, которая является не просто одной из функций управления, но, без преувеличения можно сказать, эквивалентна по своей значимости всем прочим управленческим функциям [10].

.3      Основные характеристики системного подхода

Примерно со средины 1950-х гг. системный подход проникает в самые разные исследовательские области, как естествознания, так и обществознания. К этому периоду уже существуют разнообразные подходы и концепции в менеджменте, уже четко обозначается «классический» период или «классическая школа» менеджмента, «школа человеческих отношений», «научный менеджмент», психологические подходы в теории управления, теории мотивации и ряд других. Другими словами, наряду с естественнонаучным, в менеджмент проникает гуманитарный идеал научности, с характерными для него антинатуралистическими, субъективистскими философско-методологическими тенденциями.

Историю развития системных идей в менеджменте можно разделить на три этапа, различающихся с точки зрения лежащих в их основе философско-методологических принципов:

-й этап. Становление и развитие жесткого системного подхода (середина 1950-х-середина 1970-х годов);

-й этап. Становление и развитие мягкого системного подхода (середина 1970 годов - настоящее время);

-й этап. Комплементаризм в менеджменте (вторая половина 1980-х гг. - настоящее время).

Имея более чем полувековую историю существования в качестве признанной дисциплины, системный подход показал свою универсальность в качестве инструмента для решения практических проблем, продемонстрировал мощный философско-методологический и мировоззренческий потенциал.

Однако это развитие носило противоречивый, некумулятивистский характер, что делает историю становления и развития системных идей в управлении особенно ценной в качестве эмпирического материала для методологических исследований в области менеджмента.

Системный подход развивался, решая триединую задачу: аккумуляции в общенаучных понятиях и концепциях новейших результатов общественных, естественных и технических наук, касающихся системной организованности объектов действительности и способов их познания; интеграции принципов и опыта развития философии, прежде всего результатов разработки философского принципа системности и связанных с ним категорий; применения разработанного на этой основе концептуального аппарата и средств моделирования для решения актуальных комплексных проблем.

Системный подход - это методологическое направление в науке, основная задача которого состоит в разработке методов исследования и конструирования сложноорганизованных объектов - систем разных типов и классов. Системный подход представляет собой определенный этап в развитии методов познания, методов исследовательской и конструкторской деятельности, способов описания и объяснения природы анализируемых или искусственно создаваемых объектов.

В настоящее время системный подход все шире применяется в управлении, накапливается опыт построения системных описаний объектов исследования. Необходимость системного подхода обусловлена укрупнением и усложнением изучаемых систем, потребностями управления большими системами и интеграции знаний.

"Система" - слово греческое (systema), буквально означает целое, составленное из частей; совокупность элементов, находящихся в отношениях и связях между собой и образующих определенную целостность, единство.

От слова "система" можно образовать другие слова: "системный", "систематизировать", "систематический". В узком смысле под системным подходом будем понимать применение системных методов для изучения реальных физических, биологических, социальных и других систем.

Системный подход в широком смысле включает, кроме того, применение системных методов для решения задач систематики, планирования и организации комплексного и систематического эксперимента.

Сущность системного подхода формулировалась многими авторами. В развернутом виде она сформулирована В. Г. Афанасьевым, определившим ряд взаимосвязанных аспектов, которые в совокупности и единстве составляют системный подход:

системно-элементный, отвечающий на вопрос, из чего (каких компонентов) образована система;

системно-структурный, раскрывающий внутреннюю организацию системы, способ взаимодействия образующих ее компонентов;

системно-функциональный, показывающий, какие функции выполняет система и образующие ее компоненты;

системно-коммуникационный, раскрывающий взаимосвязь данной системы с другими, как по горизонтали, так и по вертикали;

системно-интегративный, показывающий механизмы, факторы сохранения, совершенствования и развития системы;

системно-исторический, отвечающий на вопрос, как, каким образом возникла система, какие этапы в своем развитии проходила, каковы ее исторические перспективы.

Термин "системный подход" охватывает группу методов, с помощью которых реальный объект описывается как совокупность взаимодействующих компонентов. Эти методы развиваются в рамках отдельных научных дисциплин, междисциплинарных синтезов и общенаучных концепций.

Общими задачами системных исследований являются анализ и синтез систем. В процессе анализа система выделяется из среды, определяется ее состав, структуры, функции, интегральные характеристики (свойства), а также системообразующие факторы и взаимосвязи со средой.

В процессе синтеза создается модель реальной системы, повышается уровень абстрактного описания системы, определяется полнота ее состава и структур, базисы описания, закономерности динамики и поведения.

Системный подход применяется к множествам объектов, отдельным объектам и их компонентам, а также к свойствам и интегральным характеристикам объектов. Системный подход не самоцель. В каждом конкретном случае его применение должно давать реальный, вполне ощутимый эффект. Системный подход позволяет усматривать пробелы в знаниях о данном объекте, обнаруживать их неполноту, определять задачи научных исследований, в отдельных случаях - путем интерполяции и экстраполяции - предсказывать свойства отсутствующих частей описания.

К числу важнейших задач системного подхода относятся:

) разработка средств представления исследуемых и конструируемых объектов как систем;

) построение обобщенных моделей системы, моделей разных классов и специфических свойств систем;

) исследование структуры теорий систем и различных системных концепций и разработок.

В системном исследовании анализируемый объект рассматривается как определенное множество элементов, взаимосвязь которых обусловливает целостные свойства этого множества. Основной акцент делается на выявлении многообразия связей и отношений, имеющих место как внутри исследуемого объекта, так и в его взаимоотношениях с внешним окружением, средой. Существенное значение в системном подходе придается выявлению вероятностного характера поведения исследуемых объектов. Важной особенностью системного подхода является то, что не только объект, но и сам процесс исследования выступает как сложная система, задача которой, в частности, состоит в соединении в единое целое различных моделей объекта.

Системный подход в исследовании управления можно представить в совокупности принципов, которым необходимо следовать и которые отражают как содержание, так и особенность системного подхода.

.        Принцип целостности.

Он заключается в выделении объекта исследования целостным образованием, т. е. отграничении его от других явлений, от среды. Это можно сделать только посредством определения и оценки отличительных свойств явления и сравнения этих свойств со свойствами его элементов. При этом объект исследования не обязательно должен носить название системы. Например, система управления, система работы с персоналом и т. д. Это может быть механизм, процесс, решение, цель, проблема, ситуация и пр.

.        Принцип совместимости элементов целого.

Целое только тогда может существовать в качестве целого, когда совместимы между собой составляющие его элементы. Именно их совместимость и определяет возможность и наличие связей, их существование или функционирование в рамках целого. Системный подход требует оценить с этих позиций все элементы целого. При этом совместимость следует понимать не просто как свойство элемента как такового, а его свойство в соответствии с положением и функциональным статусом в этом целом, его отношение к системообразующим элементам.

.        Принцип функционально-структурного строения целого.

Этот принцип заключается в том, что при исследовании систем управления необходимо анализировать и определять функциональное строение системы, т. е. видеть не только элементы и их связи, но и функциональное содержание каждого из элементов. В двух идентичных системах с одинаковым набором элементов и их одинаковым строением может быть различным содержание функционирования этих элементов и их связи по определенным функциям. Это часто и оказывает влияние на эффективность управления. Например, в системе управления могут быть неразвитыми функции социального регулирования, функции прогнозирования и планирования, функции связей с общественностью.

Особым фактором использования этого принципа является фактор развитости функций и степень их обособления, которая в определенной мере характеризует профессионализм ее реализации.

Исследование функционального содержания системы управления обязательно должно включать и определение дисфункций, которые характеризуют наличие таких функций, которые не соответствуют функциям целого и тем самым могут нарушить устойчивость системы управления, необходимую стабильность ее функционирования. Дисфункции - это как бы лишние функции, иногда устаревшие, потерявшие свою актуальность, но в силу инерции еще существующие. Их необходимо выявлять при исследовании.

.        Принцип развития.

Любая система управления, которая является объектом исследования, находится на определенном уровне и этапе развития. Все ее характеристики определяются особенностями уровня и этапа развития. И это нельзя не учитывать в проведении исследования.

Как это можно учесть? Очевидно, посредством сравнительного анализа прошлого ее состояния, настоящего и возможного будущего. Конечно, здесь возникают трудности информационного характера, а именно: наличие, достаточность и ценность информации. Но эти трудности могут быть уменьшены при систематическом исследовании системы управления, позволяющем накапливать необходимую информацию, определять тенденции развития и экстраполировать их на будущее.

.        Принцип лабилизации функций.

Оценивая развитие системы управления, нельзя исключать возможность изменения ее общих функций, приобретения ею новых функций целостности, при относительной стабильности внутренних, т. е. их состава и структуры. Такое явление характеризует понятие лабильности функций системы управления. В реальной действительности нередко приходится наблюдать лабильность функций управления. Она имеет определенные пределы, но во многих случаях может отражать как положительные, так и отрицательные явления. Конечно, это должно быть в поле зрения исследователя.

.        Принцип полуфункциональности.

В системе управления могут быть функции полифункционального назначения. Это функции, соединенные по определенному признаку, для получения какого-либо специального эффекта. Его можно иначе назвать принципом функциональной совместимости. Но совместимость функций определяется не только ее содержанием, как нередко принято считать, но и целями управления и совместимостью исполнителей. Ведь функция - это не просто вид деятельности, но и человек, который реализует эту функцию. Часто функции, казалось бы несовместимые по своему содержанию, оказываются совместимыми в деятельности определенного специалиста. И наоборот. При исследовании полифункциональности нельзя забывать о человеческом факторе управления.

.        Принцип итеративности.

Любое исследование является процессом, предполагающим определенную последовательность операций, использования методов, оценки результатов предварительных, промежуточных и конечных. Это характеризует итерационное строение процесса исследования. Его успех зависит от того, как мы выберем эти итерации, как будем их комбинировать.

.        Принцип вероятностных оценок.

В исследовании не всегда существует возможность достаточно точно проследить и оценить все причинно-следственные связи, иначе говоря, представить объект исследования в детерминированном виде. Многие связи и отношения имеют объективно вероятностный характер, многие явления можно оценить лишь вероятностно, если учитывать современный уровень, современные возможности изучения явлений социально-экономического и социально-психологического плана. Поэтому исследование управления должно быть ориентировано на вероятностные оценки. Это означает широкое использование методов статистического анализа, методик расчета вероятности, нормативных оценок, гибкого моделирования и пр.

.        Принцип вариантности.

Этот принцип вытекает из принципа вероятности. Сочетание вероятностей дает различные варианты отражения и понимания действительности. Каждый из таких вариантов может и должен быть в фокусе внимания исследования. Любое исследование может быть ориентировано либо на получение единственного результата, либо на определение возможных вариантов отражения реального положения дел с последующим анализом этих вариантов. Вариантность исследования проявляется в разработке не единственной, а нескольких рабочих гипотез или разнообразных концепций на первом этапе исследования. Вариантность может проявляться и в выборе аспектов и методов исследования, различных способов, скажем моделирования явлений.

Но эти принципы системности только тогда могут быть полезны и эффективны, могут отражать действительно системный подход, когда они сами будут учитываться и использоваться системно, т. е. во взаимозависимости и в связи друг с другом. Возможен такой парадокс: принципы системного подхода не дают системности в исследовании, потому что используются спорадически, без учета их связи, субординации, комплексности. Принципы системности надо использовать тоже системно.[14]

Таким образом, системный подход - это совокупность принципов, определяющих цель и стратегию решения сложных проблем, метод, основанный на представлении объекта-носителя проблемы в качестве системы, включающий с одной стороны разложение сложной проблемы на ее составляющие, анализ этих составляющих, вплоть до постановки конкретных задач, имеющих отработанные алгоритмы решения, а с другой стороны, удержание этих составляющих в их неразрывном единстве. Важной особенностью системного подхода является то, что не только объект, но и сам процесс исследования выступает как сложная система, задача которой, в частности, состоит в соединении в единое целое различных моделей объекта.

2.     
Анализ возможностей внедрения системного и процессного подхода

2.1    Характеристика ОАО «Нефтеюганскнефтехим»

снабжение закупка системный сырьевой

Открытое акционерное общество «Нефтеюганскнефтехим» учреждено в соответствии с Законом Республики Татарстан «О преобразовании государственной и коммунальной собственности в Республике Татарстан (о разгосударствлении и приватизации)» и Планом приватизации ПО «Нефтеюганскнефтехим», утвержденным постановлением Госкомитета Республики Татарстан по управлению госимуществом от 11 августа 1993 г. № 41 в соответствии с протоколом заседания коллегии Госкомимущества РТ от 20 июля 1993 г. № 25; зарегистрировано Министерством финансов Республики Татарстан 18 августа 1993 г. и внесено в государственный реестр акционерных обществ, создаваемых на территории Республики Татарстан, за № 388.

ОАО «Нефтеюганскнефтехим» - одно из крупнейших нефтехимических предприятий РФ, входит в группу компаний «ТАИФ». Производственный комплекс компании включает в себя 10 заводов основного производства, 7 центров (в т.ч. научно-технологический и проектно-конструкторский), а также вспомогательные цеха и управления.

В ассортименте выпускаемой продукции - более ста наименований. Основу товарной номенклатуры составляют:

синтетические каучуки общего и специального назначения;

пластики: полистирол, полипропилен и полиэтилен;

мономеры, являющиеся исходным сырьем для производства каучуков и пластиков;

другая нефтехимическая продукция (окись этилена, окись пропилена, альфа-олефины, поверхностно-активные вещества и т.п.).

Продукция акционерного общества экспортируется более чем в 50 стран Европы, Америки, Юго-Восточной Азии. К наиболее крупнотоннажным продуктам, реализуемым на экспорт, относятся синтетические каучуки (изопреновый, бутиловый, галобутиловый и бутадиеновые), стирол, неонол, на совокупную долю которых приходится около 90% экспортируемой продукции.

ОАО «Нефтеюганскнефтехим» успешно сотрудничает с крупнейшими зарубежными шинными компаниями, среди которых Michelin, Goodyear, Pirelli, Continental, Bridgestone и концерн Белшина.

Система менеджмента качества ОАО «Нефтеюганскнефтехим» сертифицирована на соответствие требованиям международного стандарта ISO 9001:2008, а система менеджмента здоровья и безопасности на производстве - OHSAS-18001:2007.

Деятельность предприятия по охране окружающей среды признана соответствующей международным стандартам серии ISO 14001:2004.

ОАО «Нефтеюганскнефтехим» - лауреат Премий СНГ и Правительства РФ в области качества продукции и услуг. Акционерное общество ежегодно отмечается наградами за достижения в сфере экологии и энергосбережения, является победителем конкурсов «Лучший российский экспортер», обладателем Гран-при международных специализированных выставок.

Успешная производственная деятельность позволяет руководству «Нефтеюганскнефтехима» проводить эффективную социальную политику: компания - четырежды лауреат Всероссийских конкурсов «Российская организация высокой социальной эффективности».

Основной целью деятельности ОАО «Нефтеюганскнефтехим» является получение прибыли.

Для получения прибыли эмитент осуществляет следующие основные виды деятельности:

­ производство нефтехимической и химической продукции, товаров народного потребления, отдельных видов энергоносителей и другой продукции;

­ эксплуатация производств, технологических линий (участков, стадий), комплексных установок;

­ эксплуатация отдельных, не входящих в состав технологических производств, технологических объектов (технологические установки, склады, хранилища, газгольдеры, очистные сооружения, установки утилизации и обезвреживания отходов, полигон захоронения промотходов);

­ осуществление входного контроля качества сырья, материалов, комплектующих изделий, лабораторный контроль технологических процессов на всех стадиях, контроль качества и паспортизация товарной продукции;

­ эксплуатация всех видов электрооборудования;

­ эксплуатация газорегуляторных пунктов и установок, газопроводов и газового оборудования промышленных, сельскохозяйственных и других предприятий использующих природные газы с избыточным давлением не более 1,2 Мпа;

­ эксплуатация объектов котлонадзора и подъемных сооружений;

­ разработка технологий, технологических регламентов для проектирования; обследование производств и выдача рекомендаций;

­ производство обучения персонала и подготовка кадров для ОАО «Нефтеюганскнефтехим»;

­ организация и осуществление грузовых и пассажирских перевозок;

­ производственное, жилищное и иное строительство, выполнение строительно-монтажных, пуско-наладочных, ремонтных, диагностических, поверочных и иных работ;

­ торговля товарами, технической продукцией интеллектуального труда и услугами;

­ внешнеэкономическая деятельность в порядке установленном законодательством;

­ производство и переработка сельскохозяйственной продукции;

­ предоставление услуг местной телефонной связи, услуг радиосвязи, услуг междугородней и международной связи;

­ оказание услуг по эфирной трансляции телевизионных программ;

­ полиграфическая и издательская деятельность;

­ продажа имущества.

Миссия ОАО «Нефтеюганскнефтехим» - полное удовлетворение требований потребителей на внутреннем и внешнем рынках, освоение новых и развитие существующих рынков сбыта, повышение конкурентоспособности продукции, получение устойчивой прибыли для дальнейшего роста экономического состояния ОАО «Нефтеюганскнефтехим», повышение жизненного уровня работников, удовлетворение требований акционеров, инвесторов.

Одним из производственных комплексов ОАО «Нефтеюганскнефтехим» является завод по производству окиси этилена (ОЭ). Основные виды производимой продукции: окись этилена, этиленгликоли, этилкарбитол, этилцеллозольв. Дата ввода в эксплуатацию производств - окиси этилена-1 - 1980 год, окиси этилена-2 - 1986, этилцеллозольва - 1981, гликолей - 1980 г.

Область применения основных видов продукции:

-  окись этилена - для производства моно-, ди-, триэтиленгликолей, полиэтиленгликолей, эфиров этиленгликолей, алканоламинов, неионогенных поверхностно-активных веществ и простых полиэфиров;

-       этиленгликоль - для производства синтетических волокон, синтетических пленок, смол, растворителей, низкозамерзающих и гидравлических жидкостей, полиуретановых эластомеров;

-       диэтиленгликоль - в промышленности органического синтеза;

-       триэтиленгликоль - для производства олигоэфиракрилов, пластификаторов, полиэфиракрилатов.

-       этилкарбитол технический - для производства эфиров, тормозных и гидравлических жидкостей;

-       этилцеллозольв технический - в химической, медицинской, оборонной промышленности.

Компания из года в год улучшает технико-экономические показатели своей работы. Показатели деятельности ОАО «Нефтеюганскнефтехим» за 2010-2012 гг. представлены в таблице 1. Выручка от реализации продукции и услуг достигла 70,9 млрд. руб., что на 7,8 млрд. рублей больше взятых обязательств. Получена прибыль от продаж 7,4 млрд. руб.

Таблица 2.1.1.

Технико-экономические показатели деятельности ОАО «Нефтеюганскнефтехим» за 2010-2012 гг.

Наименование

Ед. изм.

2010 год

2011 год

2012 год

Товарная продукция в действующих ценах

млн.р.

37955,55

46231,98

83714,33

Рост (падение) к предыдущему году

%

112,0

106,4

Реализация товарной продукции

млн.р.

36 586,8

47 468,1

82 249,7

в т.ч. экспорт

млн.р.

520,458

853,665

1212,792

Численность всего

чел.

20 149

20 035

18 892

Среднемесячная зарплата всего

руб.

16 625

19 738

22 518


Предприятие успешно выполняет задачу по увеличению степени передела углеводородного сырья в продукцию с более высокой добавленной стоимостью, такой как пластики. В 2011 году произведено 593 тыс. тонн всех видов пластиков. В ближайшей перспективе мощности по их выпуску увеличатся за счет организации производств АБС-пластиков.

Благодаря реализации мероприятий в рамках проекта по реконструкции и модернизации этиленового комплекса в 2011 году достигнута рекордная выработка в 601 тыс. тонн этилена.

Забота об экологической безопасности является одной из приоритетных сфер деятельности компании. Практические действия по охране окружающей среды направлены на выполнение принятой в 2003 г. экологической политики.

С 2004 года система управления окружающей средой (СУОС) функционирует в соответствии с международным стандартом ИСО 14001. Система управления окружающей средой имеет сертификат соответствия МС ИСО 14001:2004. Сферой действия СУОС являются все структурные подразделения ОАО «Нефтеюганскнефтехим».

Предприятие имеет все необходимые природоохранные сооружения. Сточные воды, включая ливневые, обезвреживаются на собственных очистных сооружениях; основная масса абгазов выбрасывается в атмосферу после очистки или обезвреживания; неиспользуемые твердые опасные отходы депонируются на собственном полигоне.

Развитая система оборотного водоснабжения позволяет в 5 раз снизить потребности в свежей воде, используемой в качестве хладагента. Более 90% образующихся отходов используется.

Мониторинг окружающей среды осуществляют ведомственные лаборатории, аккредитованные на право контроля за выбросами и состоянием окружающей среды.

Компания постоянно ведет поиск технических решений по совершенствованию природоохранных сооружений и снижению негативного воздействия на окружающую среду. Возникающие проблемы решаются как силами собственных научно-технологического и проектно-конструкторского центров, так и с привлечением специализированных научно-исследовательских и проектных организаций.

Для реализации продекларированной экологической политики была разработана и успешно реализована специальная программа управления окружающей средой, рассчитанная на период 2004-2008 годы. За эти годы было внедрено 89 мероприятий, на выполнение которых направлено 648,17 млн. рублей.

В целях обеспечения экологической безопасности компании и обеспечения устойчивого развития компании с учетом ее перспектив развития до 2012 года в 2007 году разработана новая экологическая программа на 2007-2015 годы.

При оценке деятельности по охране окружающей среды учитываются все виды воздействия на нее: использование сырьевых и энергетических ресурсов, выбросы в окружающую среду и ее состояние. За последние годы экстремальных ситуаций, связанных с загрязнением окружающей среды, не зафиксировано. Качество атмосферы на территории ОАО «Нефтеюганскнефтехим» и в санитарно-защитной зоне находится в пределах установленных норм.

Поставленная цель по повышению экологической эффективности, выражаемой в удельных единицах, по большинству показателей достигается.

За период с 2004 по 2008 годы снизились удельные расходы речной воды на 10,1%, воды на хозпитьевые нужды - на 9,7%, оборотной воды - на 12,5%; удельные выбросы в атмосферу снижены на 55%, удельные сбросы сточных вод - на 22,5%, удельное образование неутилизируемых отходов производства - на 25,5%.

Динамика изменения экологических издержек ОАО «Нефтеюганскнефтехим» представлена на рисунке 2.1.1.

Рис. 2.1.1 - Выбросы вредных веществ в атмосферу

Положительные итоги природоохранной деятельности ОАО «Нефтеюганскнефтехим» неоднократно получали признание как республиканских, так и федеральных органов. В 2005-2006 годах акционерное общество становилось победителем, а в 2007 году стало абсолютным победителем организованного Кабинетом Министров РТ конкурса «Эколидер». А с 2006 года ОАО «Нефтеюганскнефтехим» ежегодно становится лауреатом национальной экологической премии «ЭкоМир» и подтверждает звание «Лидер природоохранной деятельности в России».

Образование неутилизируемых отходов представлена на рисунке 2.1.2.

Рис. 2.1.2. Образование неутилизируемых отходов предприятия

За эффективное функционирование системы качества в ОАО «Нефтеюганскнефтехим» несет ответственность заместитель генерального директора по качеству - начальник Управления качества. Он наделен полномочиями для выделения приоритетных направлений в решении проблем в области качества, организации разработки и выполнения мероприятий по качеству специалистами и подразделениями предприятия, контроля деятельности подразделений предприятия в области качества.

В рамках существующей системы качества отдел управления качеством ОАО «Нефтеюганскнефтехим» отвечает за разработку документов и методик по анализу и управлению качеством продукции, выпускаемой на заводе; координацию работ по обеспечению функционирования и совершенствования системы качества; осуществление контроля состояния системы качества, действующей на заводе и эффективности.

Рис. 2.1.3 - Организационная структура управления качеством продукции на предприятии

Организационная структура управления качеством продукции на предприятии ОАО «Нефтеюганскнефтехим» представлена на рисунке 2.1.3.

Отдел технического контроля (ОТК) призван обеспечивать требуемый уровень производственного процесса и поддерживать его стабильность, то есть устойчивую повторяемость каждой операции в предусмотренных технологических режимах, нормах и условиях в рамках всего завода. В рамках структурных подразделений завода этим занимаются бюро технического контроля (БТК).

Внутреннее информирование, управление, анализ, актуализация документации осуществляются в соответствии с требованиями нормативных документов предприятия. В акционерном обществе функционирует электронная база нормативных документов, в которую включены: стандарты предприятия, общезаводские инструкции, сертификаты по интегрированной системе качества управления, международные стандарты, технические условия, СНиПы, положения о структурных подразделениях и должностные инструкции специалистов. В настоящее время к электронной базе имеют доступ более 800 руководителей и специалистов подразделений.

Итак, качество продукции должно гарантировать потребителю удовлетворение его запросов, ее надежность и экономию затрат. Эти свойства формируются в процессе всей производственной деятельности ОАО «Нефтеюганскнефтехим», на всех ее этапах и во всех звеньях. Вместе с ними образуется стоимостная величина продукта, характеризующая эти свойства от планирования разработок продукции до ее реализации.

.2      Анализ системности процесса снабжения (закупок) ОАО «Нефтеюганскнефтехим»

Системный подход управления качеством - основа практики ОАО «Нефтеюганскнефтехим».

ОАО «Нефтеюганскнефтехим» ставит своей целью обеспечение соответствия продукции требованиям потребителей и нормативным требованиям, постоянное повышение удовлетворенности потребителей посредством эффективного применения системы менеджмента качества (СМК), включая процессы постоянного улучшения.

Достижение и обеспечение необходимого качества - это самая важная и приоритетная задача каждого работника коллектива ОАО «Нефтеюганскнефтехим»: от исполнительного директора до рядового сотрудника.

Политика в области качества достигается выполнением следующих основополагающих принципов:

1.Ориентация на потребителя. Потребитель - основа благополучия ОАО «Нефтеюганскнефтехим», только он определяет уровень качества. Из этого вытекает необходимость постоянно исследовать требования потребителей, рынка и преобразовывать их в соответствующие цели и планы по качеству.

.Вовлечение работников. Мотивация всех работников завода с целью их участия в управлении и обеспечении качества продукции.

.Непрерывное обучение. Создание системы обучения (переподготовки и повышение квалификации) всего персонала, как основа конкурентного преимущества.

.Непрерывное улучшение. Постоянное совершенствование системы менеджмента качества как совокупности взаимосвязанных процессов, позволяющих выполнять требования потребителей.

.Принятие решения на основе фактов. Перестройка сознания и формирования у каждого работника предприятия потребности работать без дефектов и ошибок, направляя усилия работников на их предотвращение, а не их исправления.

.Сотрудничество с поставщиками. Качество сырья, материалов и покупного оборудования обеспечивается на основе постановки четких требований стандартов и корректности в отношениях с поставщиками.

.Взаимных гарантий работников и акционерного общества. Работники способствуют улучшению качества продукции, результативности производства, а общество гарантирует им безопасные условия труда, стабильное финансовое положение и занятость работников.

Руководство ОАО «Нефтеюганскнефтехим» берет на себя ответственность по обеспечению ресурсами основных направлений развития предприятия, реализации политики и доведения её до каждого работника.

Главным направлением в повышении качества выпускаемой продукции является снижение количества претензий и повышение удовлетворенности потребителей. С этой целью в ОАО «Нефтеюганскнефтехим» ежегодно разрабатывается комплекс мероприятий по повышению технического уровня, надежности, конкурентоспособности и качества продукции. Проводится анализ всех несоответствий выявленных в эксплуатации, намечаются конкретные меры по устранению несоответствий.

Работа по обеспечению качества продукции осуществляется в рамках действующей на предприятии системы качества.

Система менеджмента качества ОАО «Нефтеюганскнефтехим» сертифицирована на соответствие требованиям международного стандарта ISO 9001:2000, а система менеджмента здоровья и безопасности на производстве - OHSAS-18001:1999.

Системный подход к управлению закупками сырья - это согласованное распределение функций (задач, обязанностей) и полномочий между взаимосвязанными процессами (элементами) СМК и управление системой с целью оптимального использования ресурсов ОАО «НКНХ» для стабильного выпуска продукции требуемого качества.

Предприятием используется планирование объемов сырьевого снабжения в соответствии с планом технологической потребности в сырье для производства. Данный подход эффективен в плановой экономике, где обмен сырьем производится в рамках единого собственника. Учитывая же рыночные особенности и изменчивость сырьевых рынков, заключенные сырьевые контракты от момента их заключения до момента их реализации многократно меняют свою рыночную стоимость, вследствие чего для повышения эффективности управления сырьевыми ресурсами, необходимо осуществлять непрерывное изменение и преобразование их формы (из натуральной в денежную, и обратно).

Управляющие воздействия формируются на основе стратегий принятия решений и выражаются в форме решений о переводе сырьевых ресурсов из одной формы в другую, более предпочтительную с точки зрения предприятия, исходя из выбранных критериев, в качестве которых выступает доходность выбранной формы. Профессионально осуществлять подобное управление сырьевыми ресурсами, в рамках промышленного предприятия, возможно только опираясь на формализованные методы, позволяющие оценивать ожидания относительно проводимых операций, контролировать (ограничивать) рыночный риск, что позволяет обеспечить системность принятия решений и исключить пагубное влияние случайно принятых решений.

Системный подход включает в себя рассмотрение процесса закупки сырья на предприятии, как генерацию финансовых результатов, формирующихся как отклики на суперпозицию управленческих решений. Системное описание процесса управления закупками сырья, изображенное на рисунке 2.2.1, позволяет учитывать риск, связанный с изменением ценовых характеристик сырьевых ресурсов посредством применения методов обработки временных рядов.













Рис. 2.2.1 - Системное описание процесса управления закупками сырья

Перевод сырьевых активов из одной формы в другую осуществляется

посредством использования стратегии принятия решений, в основе которой лежат математические методы обработки ценовой динамики сырьевых ресурсов, набор алгоритмов формирующих управляющие воздействия и механизмы их реализации. Основная задача стратегии заключается в выявлении наилучших моментов для перевода сырьевых активов в различные формы, что сводится к поиску точек начала определенного ценового движения и точек его окончания, т.е. существенных ориентиров, способствующих принятию эффективного решения. Перечисленные элементы системы используются лицом принимающим решение (соответствующим подразделением организации) для формирования управляющих воздействий на предприятие в форме действий относительно имеющихся сырьевых контрактов для перевода их в наиболее доходную форму.

Показатель эффективности стратегии определяется доходностью проводимых с ее помощью операций, т.е. приростом стоимости приобретенных с помощью нее сырьевых активов. Основная сложность такой оценки состоит в отсутствии функциональной связи между параметрами такой системы и оценкой показателя эффективности.

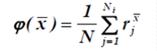
В подобных условиях единственный способ расчета показателя эффективности системы при установленных параметрах x = {x1, x2,…, xn}, состоит в оценке суммарной доходности сделок, проведенных с использованием этой стратегии, смоделированных на установленном историческом периоде. Очевидно, что данный показатель эффективности будет носить вероятностный характер.

Показатель эффективности системы с параметрами x , может быть оценен с помощью статистических данных по N - последовательно заключенным сырьевым сделкам в определенный временной период по формуле (1.1).

                                                                       (1.1)

 - показатель эффективности системы с параметрами x;- количество последовательно заключенных сырьевых сделок;

 - показатель эффективности j -ой сделки.

Подобную оценку систем принятия решения в процессе закупки сырья, обращающихся на организованных товарных рынках, способны производить программные продукты Equis MetaStock, Omega Research TradeStation 2000.

2.3    Анализ процессности процесса снабжения (закупок) ОАО «Нефтеюганскнефтехим»

Процессный подход предполагает - любая деятельность в СМК ОАО «НКНХ» рассматривается как процесс, в котором определены вход, выход и последовательность действий, который обеспечивается необходимыми ресурсами, и управление которым осуществляется по определенным критериям эффективности. Все решения в СМК принимаются на основе количественного, логического и экспертного анализа объективной информации и данных. ОАО «НКНХ», взаимодействуя с поставщиками, создает базу для взаимовыгодного сотрудничества. Для результативного и эффективного функционирования предприятия руководство ОАО «Нефтеюганскнефтехим» определяет и управляет многочисленными взаимосвязанными видами деятельности. Действие по использованию и управлению ресурсами для преобразования входов в выходы рассматривается как процесс. Часто выход одного процесса образует непосредственно вход следующего.

Все входящие в процесс потоки идентифицируются с целью получения необходимой для работников информации. Информация может быть представлена на любых носителях информации и в различных видах форм: текстовом виде, графиках, таблицах, актах, отчётах и пр.

Преимущество процессного подхода состоит в наличии управления, которое предусматривается на стыке между отдельными процессами в рамках системы процессов, а также при их комбинации и взаимодействии. Применение процессного подхода в процессе закупок подчёркивает важность:

а) понимания и выполнения требований;

б) необходимости рассмотрения процессов с точки зрения добавления ценности;

в) достижение результатов в рабочих характеристиках процессов и эффективности;

г) постоянного улучшения процессов, основанного на объективном измерении.

ОАО «Нефтеюганскнефтехим» имеет большой творческий потенциал, в лице высококвалифицированных инженерно-технических работников, специалистов и рабочих, благодаря усилиям которых, предприятие способно выпускать качественную продукцию.

В основе процессного подхода к управлению организацией лежит построение сети процессов и управление ими. Согласно международному стандарту ИСО 9001:2000, сеть процессов - это совокупность взаимосвязанных и взаимодействующих процессов предприятия, которые, в свою очередь, представляют собой устойчивую, целенаправленную совокупность взаимосвязанных видов деятельности, которая по определенной технологии преобразует входы в выходы, представляющие ценность для потребителя. Согласно рекомендациям многих источников по процессному подходу, в виде процессов должны быть описаны и функции управления, среди которых основными считаются: планирование, организация, мотивация и контроль. Однако описание функций управления в виде отдельных процессов приводит к разрыву цикла управления от самой управляемой деятельности и исчезает возможность оценки результативности и эффективности процесса управления деятельностью. Кроме того, в отношении функции «мотивация», она не может быть представлена в виде отдельного процесса, а должна входить в состав деятельности менеджера как часть управления ресурсами. Персонал является одним из ресурсов процесса, а мотивация персонала - одним из основных способов управления персоналом как ресурсом процесса.

В свою очередь, для предприятия неэффективно выделение процесса управления коммерческой деятельностью от самой коммерческой деятельности. Операции функции управления коммерческой деятельностью должны быть интегрированы в программу построения сети процессов и управления ими. Для этого необходимо использовать возможности операционного менеджмента. В частности, в соответствии с международным стандартом ИСО 9001:2000, программа построения сети процессов и управления ими состоит из следующих действий: выявить процессы, определить их последовательность и взаимосвязь, определить критерии и методы для измерения результативности процессов, обеспечить наличие ресурсов и информации, вести анализ процессов, реализовывать мероприятия для постоянного улучшения результатов процессов. Применяя поточный метод организации процессов, используемый в операционном менеджменте, в вышеуказанную программу построения сети процессов необходимо включить следующие операции: декомпозиция процесса коммерческой деятельности на операции, влияющие на увеличение прибыли, и их представление в виде доминантной иерархии, которые позволят частично заменить функции управления: планирование и организацию. В целях создания и поддержания мотивации работников, необходимо включить в программу построения сети процессов операции: определение относительной значимости исполнения операций и значимости управления процессами, расчет сдельных расценок исполнения операций, которые позволят частично заменить другую функцию управления: мотивация. Она позволяет повысить эффективность операционного менеджмента за счет учета фактически исполненных операций, входящих в процесс коммерческой деятельности.

На предприятии успешно внедрена интегрированная система управления на базе программного продукта R-3 фирмы SAP AG. Для создания информационной и телекоммуникационной инфраструктуры развивается корпоративная сеть на базе оптоволоконных технологий, обеспечивающая высокоскоростные информационные коммуникации.

Система R/3 - интегрированный комплекс, предоставляющий пользователю широкий набор средств для организации управления и анализа финансово-хозяйственной деятельности предприятия и покрывающий весь спектр производственно-экономических функций.

Система SAP R/3 (далее по тексту - Система) предназначена для:

0 обработки входящей информации в соответствии с заданными настройками,

1 предоставления результатов обработки,

2 передачи информации от Пользователя к Пользователю,

3 хранения информации.

Система позволяет:

4 планировать хозяйственные операции,

5 управлять хозяйственными операциями,

-    анализировать информацию о хозяйственных операциях.

Управления и отделы, входящие в состав ОАО «НКНХ», занимающиеся закупками и поставками оборудования и материалов (рис. 2.3.1), активно используют SAP R/3, так как она позволяет бесперебойно поставлять оборудование и материалы на все заводы ОАО «НКНХ».













Рис. 2.3.1 - Управления и отделы ОАО «Нефтеюганскнефтехим», занимающиеся закупками оборудования и материалов

У каждого работника отдела или управление по снабжению есть свои функции и обязанности. Рассмотрим их ниже.

На специалиста по снабжению возлагаются следующие
функции:

. организует снабженческие операции, перепись материальных ресурсов и их остатков на предприятии, составляет установленную отчетность о выполнении плана материально-технического обеспечения предприятия;

. организует обеспечение запасов материалов и комплектующих изделий, оперативное регулирование производственных запасов на предприятии;

. проводит работу с поставщиками;

. организует рациональное использование материальных средств и ресурсов на предприятии;

. обеспечивает своевременную и полную реализацию планов снабжения;

. участвует в реализации политики и целей в области качества.

Для выполнения возложенных на него функций специалист по снабжению осуществляет следующие обязанности:

. разрабатывает проекты перспективных и годовых планов материально-технического обеспечения предприятия, готовит расчеты и обоснования к ним, доводит утвержденные планы до производственных подразделений.

. Составляет заявки на распределяемые в плановом порядке материальные ресурсы необходимыми обоснованиями и расчетами, определяет потребность подразделений и предприятия в целом в материальных ресурсах, составляет балансы материально-технического обеспечения, сводные таблицы по видам сырья, материалов и устанавливает календарные сроки их поставки в соответствии с требованиями производства.

. Участвует в разработке и внедрения планов повышения экономической эффективности использования материальных ресурсов (экономии материальных ресурсов, снижения затрат, связанных с их приобретением, доставкой и хранением, замене дорогостоящих и дефицитных материалов, использовании местных ресурсов, отходов производственного вторичного сырья), а также норм расхода материалов и производственных запасов, стандартов предприятия по материально-техническому обеспечению качества выпускаемой продукции, всемерного соблюдения режима экономии.

. Разрабатывает лимиты на отпуск материальных ресурсов подразделениям предприятия, контролирует правильность их использования, выявляет причины несоблюдения установленных лимитов.

. Подготавливает проекты договоров с поставщиками, материалы по претензиям к поставщикам при нарушении ими договорных обязательств, согласовывает с поставщиками изменения сроков поставок, замену одних материалов другими, а также своевременно извещает их об отказе от излишне выделенных фондов.

. Осуществляет контроль за выполнение поставщиками договорных обязательств, количеством и качеством поступающих материалов и других видов материальных ресурсов, комплексным их использованием, за правильностью предъявления к акцепту счетов и других расчетных документов поставщиков и своевременной передачей этих документов для оплаты.

. Ведет оперативный учет движения материальных ресурсов, наличия неиспользованных производственных запасов.

. Принимает участие в работе по ресурсосбережению, реализации выявленных излишков сырья, материалов, оборудования, топлива, энергии, контролирует соблюдение правил хранения товарно-материальных ценностей на складах и сроков отгрузки возвратной тары.

. Составляет установленную отчетность о выполнении плана материально-технического обеспечения предприятия.

. Соблюдает внутренний трудовой распорядок, трудовую дисциплину.

. Соблюдает требования документов системы менеджмента качества предприятия.

. Содействует внедрению системы менеджмента качества предприятия.





















Рис. 2.3.2 - Взаимодействие и работа подразделений ОАО «НКНХ» по обеспечению оборудованием и материалами

Для осуществления снабжения различных подразделений ОАО «НКНХ» необходимым оборудованием и материалами, существует схема взаимодействия отделов и управлений. Рассмотрим более подробно данную схему (рис. 2.3.2.)

Таким образом, в работе в качестве объекта анализа было выбрано ОАО «Нефтеюганскнефтехим». Качество продукции должно гарантировать потребителю удовлетворение его запросов, ее надежность и экономию затрат. Эти свойства формируются в процессе всей производственной деятельности ОАО «Нефтеюганскнефтехим», на всех ее этапах и во всех звеньях. Вместе с ними образуется стоимостная величина продукта, характеризующая эти свойства от планирования разработок продукции до ее реализации.

В современных условиях создание единой базы данных - жизненная необходимость. Стремление отдельных компаний обособиться от отраслевого сообщества, сформировать собственную «уникальную» систему предварительной квалификации противоречит мировой практике. В развитых странах давно отказались от дублирования работ, и формируют единые базы подрядчиков, доступные всем участникам рынка.

3. Оптимизация снабженческой деятельности на предприятии в современных условиях на основе процессного и системного подхода

.1 Зарубежный опыт системы выбора поставщиков

Одним из примеров выбора поставщиков является система «Achilles» (JQS- Achilles Joint Qualification System).

Эта система была создана группой из 23 нефтегазовых компаний Норвегии и Дании («СтатОйл», «Норск Гидро», норвежские отделения мировых компаний «Бритиш Петролеум», «Коноко-Филиппс», «Шелл» и другие). Система получила признание в таких странах, как: Аргентина, Бразилия, Чили, Венесуэла, США, Германия, Дания, Португалия, Испания и Великобритания [11].

Система включает в себя банки данных поставщиков продукции и услуг нефтегазового сектора, строительства, транспорта, добыче полезных ископаемых и других. Правовой основой деятельности «JQS Achilles» в Европе являются директивы ЕС по правилам поставок товаров и услуг, требования обновленных международных стандартов ИСО и др.

Данные директивы гласят, что выбор поставщиков товаров и услуг для нужд нефтегазодобывающих и машиностроительных предприятий на территории ЕЭС должен производиться с применением объективных критериев, базирующихся на публичном призыве к развитию конкуренции в ЕЭС.

Для присоединения к «JQS Achilles» и вхождения в ее реестр добросовестных поставщиков сроком на один год необходимо представить сведения более чем по 40 аспектам деятельности, а также:

иметь внедренные системы менеджмента качества продукции по обновлённым международным стандартам ИСО 9001:2008 и 9004:2000, безопасности труда и охраны здоровья, экологической безопасности и продукции по ИСО 14001 и 14004 и ряду других стандартов. Причём эти системы должны быть сертифицированы аккредитованными в «JQS Achilles» экспертами;

производить поставки продукции от своего собственного имени;

быть свободным от кредиторской задолженности, не состоять в судебных разбирательствах по иным поводам, своевременно производить оплату налогов, сборов, выполнять требования по предоставлению властям и органам ежегодной бухгалтерской отчетности в стандарте МСФО;

быть готовым поставлять продукцию в любое время, в том числе, в процессе квалификации;

иметь удовлетворительную историю поставок и прочее.

После присоединения к «JQS Achilles» в качестве поставщика предприятие обязано регулярно предоставлять отчеты о текущем состоянии и результатах выполнения заключенных контрактов. Одной из выгод от присоединения предприятия к «JQS Achilles» является публикация данных о нем в официальном издании Европейской Комиссии - ежедневном электронном журнале «Тендеры» и автоматический «выброс» своих предложений на мировой рынок. Годовая плата составляет порядка 2 тысяч евро.

У системы «Achilles» имеются также «родственники» - аналогичные системы в сферах строительства, транспорта, потребительских товаров и др.

В последнее время в специализированной прессе нефтегазового комплекса и в Интернет все больше появляется материалов, посвященных базе данных поставщиков нефтегазовой отрасли «FPAL» (First Point Assessment). Система FPAL имеет корни в Великобритании. В базе «FPAL» зарегистрированы около 2400 поставщиков. Преобладание британских фирм составляет около 70 % или 1680 компаний. Там также есть поставщики со всего мира - США, Голландии, Израиля, Польши, Южной Африки

Для регистрации в системе «FPAL» поставщик предоставляет основную информацию о компании, включая данные о предлагаемых товарах и услугах, а также о стратегии своей деятельности. Информация предоставляется в определенном структурированном формате. Для описания товаров и услуг используется классификатор с названиями и кодами.

Процедура регистрации:

. Поставщик заполняет Регистрационную анкету на сайте.

. «FPAL» рассматривает анкету и сообщает поставщику, какие дополнения необходимо внести.

. Поставщик вносит все необходимые изменения и дополнения в анкету для повторного рассмотрения.

. «FPAL» окончательно рассматривает анкету перед внесением поставщика в базу.

. Поставщики несут ответственность за обновление информации о своей компании в случае ее изменения.

Анкета включает следующую информацию:

информация о компании: название, адрес, веб-сайт и т.п.;

продукция и услуги;

история поставок: краткая история поставок каждого вида товаров (услуг);

контактная информация: Ф.И.О., телефоны, электронные адреса основных сотрудников;

прочая информация (форма собственности, юридический статус компании и т.п.);

количество участников, подлежащих регистрации: данные о юридических лицах, дочерних обществах, вовлеченных в поставку предлагаемых компанией товаров и услуг;

финансовая информация: оборот, прибыль, задолженности и т.п.;

качество: информация о системах управления качеством и бизнес-планировании;

охрана труда, промышленная безопасность и охрана окружающей среды (ОТ, ПБ и ООС): информация и системах управления ОТ, ПБ и ООС, статистика, награды за достижения и т.п.;

обучение и повышение квалификации персонала: информация о системе обучения и повышения квалификации;

инновации и усовершенствования: информация о НИОКР, инновациях, изобретениях, наградах и т.п.;

промышленная практика, награды и гранты: информация об используемой практике производства работ в нефтяной и газовой промышленности, присужденных наградах и грантах.

Причина создания обеих систем едина: проблема выбора надежных поставщиков оборудования. Каждая из крупных западных фирм была вынуждена формировать свои собственные банки данных поставщиков, проводя их квалификационный отбор и формируя реестры. Более рациональным и эффективным оказалось создание единой системы выбора поставщиков, что и было реализовано. Сегодня «FPAL» и «JQS Achilles» для нефтегазового рынка Европы объединены в единую «European Oil&Gas Directory». В таких странах как США, Венесуэла и других функционируют свои собственные сегменты системы «Achilles».

Рассмотрим «European Oil&Gas Directory» (EOGD) с точки зрения поиска и представления информации в системе. Любой пользователь может зайти в базу данных и получить доступ к ограниченной информации о зарегистрированных поставщиках. Полный доступ имеют только нефтяные компании и некоторые основные подрядчики. Среди них: «British Petrolium» (BP), «Exxon Mobil», «Statoil», «Total», «Esso», «Shell», «Conoco Phillips» и другие.

На сайте «European Oil&Gas Directory» приведена основная форма, в которой можно задать различные запросы к базе для выбора нужной информации. Если мы хотим получить список поставщиков трубопроводной арматуры и, в частности, конкретного ее типа, например, задвижек, получаем доступ к иерархическому списку продукции арматуростроения.

Выбрав в списке «Gate Valves» (задвижки), мы формируем запрос на выборку поставщиков задвижек, список которых мы получаем на экране. Далее мы можем просмотреть информацию о каждом из поставщиков и об их продукции. Напомню, что мы имеем доступ к неполной информации как незарегистрированные пользователи системы. Каждый может самостоятельно зайти в систему, оценить представленную в ней информацию и ознакомиться со списком поставщиков трубопроводной арматуры.

Можно сделать предположение, что в России тоже возникла необходимость создания своего сегмента «JQS Aсhilles», причем самостоятельно функционирующей национальной системы квалификации поставщиков, базирующейся на российских и международных стандартах.

Причины здесь видится две: первая - эволюционное развитие корпоративных систем, в результате чего возникает потребность объединения их в одну систему с едиными унифицированными квалификационными требованиями. Тот, кто выступает сегодня в качестве поставщика, знает, что для поставок в адрес крупного потребителя он должен пройти долгий и трудный путь, чтобы быть включенным в его реестр. И такую затратную по времени и по финансам процедуру он должен пройти для каждого крупного потребителя, причем у любого из них - свои требования. Создание единой системы во многом упростит саму процедуру квалификации, не говоря уж о том, что ее нужно будет проходить один раз. Вторая причина - сегодня на российский рынок приходит все больше зарубежных фирм. Достаточно вспомнить проекты «Сахалин-1» и «Сахалин-2», «Штокмановское месторождение». В этих проектах превалируют, причем в значительной степени, закупки импортного оборудования. И одной из причин этого является то, что в крупных фирмах, которые реализуют эти проекты в России, в качестве стандарта при закупках оборудования используются единые международные системы поставщиков. Это отчетливо проявилось на примере фирмы «Norsk Hydro». Придя на наш рынок и пытаясь привлечь российских производителей для своих проектов, она столкнулась с проблемой: единой системы выбора поставщиков не существует, потенциал российских предприятий ей неизвестен, российские предприятия отсутствуют как поставщики в зарубежных базах данных и квалификационных системах [12].

Фирме пришлось самостоятельно идентифицировать 450 возможных поставщиков и из них примерно с 70 ознакомиться более подробно. В начале 2003 г. «Norsk Hydro» инициировало программу по развитию сети российских поставщиков для морских проектов в Арктике. Она так же помогла ряду российских фирм пройти предварительную квалификацию в системе «JQS Achilles».

«The Achilles Group» является ведущей системой представления поставщиков и контрактной информации, предлагающей множество бизнес- решений большинству крупнейших закупочных компаний Европы (Великобритания, Швеция, Испания, Ирландия, Норвегия) и Южной Америки (Аргентина, Венесуэла) занятых в сфере нефтегазодобычи и коммунального хозяйства, транспорта и общественного сектора. Годовой оборот организаций, пользующихся интернет-услугами «The Achilles Group» оценивается в 50 млрд. долларов.

Формула успешной работы, по мнению «The Achilles Group», складывается из 4 компонентов: предварительная квалификация; услуги электронного бизнеса; система посредничества; консультации и обучение.

В России нет аналогов системы «FPAL». Сегодня некоторые крупные российские нефтегазовые компании пытаются сформировать собственные системы предварительной квалификации подрядчиков, собственные базы поставщиков и правила проведения тендеров. Причем делается это обособленно, без взаимодействия с отраслевым сообществом, что приводит к негативным последствиям для всех участников рынка [13].

Сокрытие положительного и отрицательного опыта сотрудничества с поставщиками от коллег из других компаний препятствует повышению прозрачности нефтесервисного сектора российского рынка. Такой подход не позволяет облегчить работу на рынке добросовестным подрядчикам, которые должны иметь преимущества перед фирмами с плохой репутацией.

Если какой-то поставщик плохо себя зарекомендовал и не выполнил контрактных обязательств, например, для «Роснефти» или « ЛУКОЙЛа», то в «ТНК-ВР» или «Газпроме» обязаны об этом знать. И наоборот. Заказчикам необходимо понимать, с кем они имеют дело; требуется формирование «бюро кредитных историй» с информацией о каждом поставщике, желающем работать на российском рынке. Это позволит предварительно определить уровень каждой компании, опыт ее работы на рынке, наличие современного оборудования. Невозможно по названию предприятия выяснить его реальные возможности. В России каждая крупная компания (прежде всего ОАО «Газпром») пока предпочитает вести свою оригинальную систему предварительной квалификации поставщиков. Предприятия-соискатели, добиваясь допуска к корпоративным тендерам, вынуждены вести хаотичную и громоздкую работу по подготовке и предоставлению покупателям тендерной документации, предоставлению данных, приему делегаций и экспертов, демонстрации своих возможностей. Уже сейчас многие иностранные компании в России, например, норвежская компания «Гидро» (участник разработки нефтяного шельфа в Баренцевом море на условиях СРП) также по многим аспектам опираются на идеологию системы «Achilles».

Сложно переоценить роль единой базы данных для налаживания партнерских отношений с иностранными компаниями. Только так можно обеспечить успешное взаимодействие с ними. Сегодня иностранцы предпочитают платить дороже, покупая оборудование за рубежом, лишь бы не рисковать, не связываться с «черным ящиком», которым для них являются российские предприятия.

Таким образом, создание единой базы данных - жизненная необходимость. Стремление отдельных компаний обособиться от отраслевого сообщества, сформировать собственную «уникальную» систему предварительной квалификации противоречит мировой практике. В развитых странах давно отказались от дублирования работ, и формируют единые базы подрядчиков, доступные всем участникам рынка. Удачный опыт системного подхода к закупкам есть у большинства стран с развитой экономикой. В целом ряде стран, например, США и странах Евросоюза, функционируют целые национальные контрактные системы, позволяющие сделать открытым и проследить весь жизненный цикл заказа: его планирование, размещение и качество исполнения.

Эти системы не только позволяют планировать закупки на уровне от города до всей страны и вести реестр добросовестных и недобросовестных поставщиков, но и обеспечивают всем участникам процесса методическую помощь - от библиотеки типовых контрактов до четкого регламента процедуры закупок, которые позволяют заказчику быстро и четко сформулировать, а поставщику - грамотно и без махинаций выполнить требования. Чем меньше нечетко прописанных требований, тем меньше лазеек для коррупции.

3.2 Применение процессного подхода при совершенствовании системы выбора поставщиков для ОАО «Нефтеюганскнефтехим»

Система организации закупок на конкурсной основе является важнейшим условием повышения эффективности управления предприятием улучшением качества производимой продукции.

Для выбора наиболее оптимальных, на сегодняшний день, путей повышения эффективности системы проведения закупок, целесообразно определить стратегические цели развития данного процесса. На основе анализа мирового опыта и с учетом существующих на сегодняшний день проблем, препятствующих эффективному функционированию системы конкурсных закупок, в качестве таковых можно выделить:

-        регламентацию (формирование грамотной организационной политики),

-        открытость,

         экономию,

         эффективность закупок,

         пресечение злоупотреблений.

В соответствии с данными целями ниже изложены предложения, которые с точки зрения автора позволят совершенствовать существующую в компании систему конкурсных закупок.

В первую очередь, требуется четкая регламентация процедуры проведения закупок, т.е. формирование грамотной организационной политики.

На сегодняшний день является неоспоримым тот факт, что перспективы развития конкурсных торгов на закупку продукции будут непосредственно связаны с процессом глобализации экономики, который сейчас набирает темпы по всему миру. В этой связи особенно важным для компании является необходимость влиться в этот процесс наравне с другими успешными компаниями на равных партнерских условиях.

На наш взгляд, важным является устранение дискриминации иностранных поставщиков, что не соответствует принятой во всем мире практике применения системы протекционизма, обеспечивающей приоритет отечественных поставщиков на основе преференций. Регламентировать механизм и виды предоставляемых отечественным производителям и предприятиям малого и среднего бизнеса преференций.

На сегодняшний день в компании не разработана эффективно действующая на практике система контроля за процессом осуществления закупок от начала до конца.

Другим механизмом повышения эффективности проведения закупок, на наш взгляд, является частичная поставка. Достаточно часто заказ на закупку материалов содержит несколько десятков наименований закупаемой продукции, в том числе и разнородной. При размещении подобного заказа заказчик должен решить, можно ли и нужно ли делить заказ на части и размещать каждую часть отдельно или же передать выполнение всего заказа одному поставщику.

Если заказчик делит заказ на части по наименованиям или группам однородных наименований (лотам), и размер конкурсной заявки по любому из наименований (лотов) не ограничен или ограничения носят достаточно гибкий характер, то имеет место частичная поставка.

В этом случае, в конкурсной заявке допустимо по одной из позиций предусматривать поставку 30% требуемого количества, по другой - 100%, по третьей - 65% и т.д.

Сферой применения частичной поставки является закупка больших партий любого стандартизованного товара или широкой номенклатуры товаров. Однако эффективное использование данного механизма возможно лишь при выполнении следующих условий:

-        наличие достаточного для результативной конкуренции количества поставщиков;

-        высокая степень взаимозаменяемости товаров разных производителей;

         существование общепринятых стандартов качества и функционирования закупаемых товаров;

         отсутствие явных монополистов на рынке данной продукции.

Преимущества использования частичной поставки при закупках для государственных нужд заключаются в повышении эффективности расходования бюджетных средств посредством:

-        увеличения конкуренции, за счет привлечения большего числа поставщиков;

-        привлечения представителей малого и среднего предпринимательства;

         предотвращения сговора поставщиков и недобросовестной конкуренции, в случае, когда на рынке всего два или три поставщика, способных выполнить заказ в полном объеме;

         предоставления возможности сохранить рыночную структуру или поддержать нестабильно работающих поставщиков;

         диверсификации рисков заказчика, связанных со срывом поставок продукции (заключается несколько контрактов на поставку продукции и при срыве одного или двух из них поставки по остальным контрактам продолжаются, и потребность в продукции удовлетворяется, пусть и не полностью).

Нами разработана схема организации и проведения заказчиком закупки продукции на открытых конкурсных торгах с использованием метода частичной поставки (Приложение Б).

На первом этапе заказчик должен решить вопрос о целесообразности использования частичной поставки для закупки продукции. Для упрощения приятия решения на схеме представлен алгоритм его осуществления. Первыми и наиболее существенными являются условия наличия большого объема закупаемой продукции, а также делимость заказа - это необходимые и достаточные условия для возможности применения данного способа закупок. В случае невыполнения хотя бы одного из них частичную поставку применять нецелесообразно. Далее идут дополнительные условия (однородность и конкурентность рынка, отсутствие значительных скидок за объем, необходимость диверсификации рисков, привлечения МП и поддержки важных поставщиков), при выполнении хотя бы одного из которых применение частичной поставки в данном случае является целесообразным.

Затем заказчик должен провести разбиение заказа на части, опубликовать извещение о проведении конкурсов. По желанию заказчика возможно осуществление предварительного отбора поставщиков, после подведения итогов, которого проводится разработка и рассылка конкурсной документации. Далее осуществляется работа по разъяснению положений конкурсной документации и приему конкурсных заявок, которая завершается в назначенный день вскрытием конвертов с конкурсными заявками, и составлением протокола проведения открытого конкурса. По результатам рассмотрения и оценки конкурсных заявок происходит присуждение контрактов отдельно по каждому наименованию (каждому лоту). Завершаются торги публикацией результатов и подписанием контрактов.

Применение частичной поставки значительно усложняет организацию и проведение конкурса, что требует от заказчика более высокой квалификации и знания специфики данного вопроса.

Кроме того, для дальнейшего совершенствования процедуры проведения закупок, следует осуществить следующие меры:

-        активно внедрять информационные технологии на всех этапах проведения торгов, и использование электронно - лотовых торгов;

-        готовить квалифицированных специалистов в области закупок;

         подробнее описать все процедуры и этапы проведения закупок в соответствующем документе;

         при установлении фактов участия той или иной фирмы - поставщика в коррупции или мошенничестве при конкуренции за контракт или во время его исполнения, заносить ее в "черный список" неблагонадежных фирм;

         использовать специальные информационно-аналитические компьютерные технологии извлечения и обработки мнений в системах поддержки принятия решений;

         разработать комплекс мер, обеспечивающих обезличенное подведение итогов конкурса;

         обеспечить прозрачность системы конкурсных закупок и анализ результативности принятых решений.

В результате проведенного исследования было выяснено, что конкурсное заключение контракта играет важную роль в коммерческой деятельности предприятия. С целью повышения эффективности коммерческой деятельности считаем целесообразным предложить ОАО «Нефтеюганскнефтехим» совершенствовать свою деятельность по различным направлениям.

Во-первых, ввести в штат сотрудников должность менеджера по подготовке закупочного предложения, при этом использовать имеющийся кадровый состав производственно-технического отдела. Это даст возможность предприятию своевременно и более точно и правильно заполнять закупочную документацию, повысит процент допуска к участию в закупках. Четкое понимание деятельности фирмы, ее специфики позволит собственным специалистам ОАО «Нефтеюганскнефтехим» представить закупочное предложение с более выгодной точки зрения. Так же появится возможность исследования рынка, позволяющая более четко представить возможности конкурентов, изучить закупочную деятельность поставщиков.

Во-вторых, необходимо сформировать базу данных, в которой будет храниться информация, и которая в дальнейшем упростит принятие решений о целесообразности и перспективах участия в конкретном конкурсе и выявлять факторы, влияющие на успех фирмы. Предприятие сможет реально оценивать свои возможности и анализировать причины неудач, с целью сокращения их в будущем. Изменение должностных инструкций потребует повышения заработной платы, в связи с увеличением объема выполняемых работ.

В-третьих, необходимо повышение технического уровня работников. Это обусловлено необходимостью применения с целью повышения конкурентоспособности предприятия сложного, высокотехнологичного оборудования. Отсутствие опыта работы на данной технике и знаний по ее эксплуатации приводит к увеличению поломок и увеличению затрат на их устранение. Результатом повышения квалификации должно стать более быстрое освоение сложной техники и рост производительности труда. Уделение большего внимания вопросам обучения кадров является принципиально важным для достижения успеха фирмы.

В-четвертых, применение системы электронного мониторинга. Создание системы электронного мониторинга для нужд ОАО «Нефтеюганскнефтехим» обусловлено необходимостью совершенствования механизма закупок товаров (работ, услуг), развития конкурсных способов закупок, развития системы централизованных закупок однотипной продукции, использования возможностей современных информационных технологий.

Внедрение системы электронного мониторинга согласовывается с Федеральной целевой программой «Электронная Россия». В рамках данной программы предлагается формирование условий для снижений затрат на поставку продукции, выполнение работ и оказание услуг, прозрачность этих операций и минимизацию возможных злоупотреблений при их осуществлении.

Применение системы электронного мониторинга позволит получить инструмент, позволяющий более полно рассматривать конкурсные заявки и предложения, полученные от поставщиков.

Основное назначение системы:

-           способствовать повышению эффективности и управляемости процессов закупок товаров (работ, услуг) для нужд ОАО «Нефтеюганскнефтехим»;

-        обеспечить повышение прозрачности в сфере проведения закупок товаров (работ, услуг);

         способствовать снижению закупочных цен и оптимизации бюджетных расходов в ходе проведения закупок товаров (работ, услуг);

         обеспечить повышение контроля за расходами на закупку товаров (работ, услуг);

         облегчение проведения маркетинговых исследований - получение объективной картины конъюнктуры рынка, упрощение выбора поставщиков за счет хранения и обработки в системе коммерческих предложений поставщиков.

Обозначим принципы работы системы. В основу функционирования системы положен принцип «обратных» аукционов, позволяющий стимулировать конкуренцию между участниками и добиться значительного снижения предложенных цен. При использовании электронной системы порядок проведения конкурсных процедур не изменяется, но в регламент конкурсных процедур вносится ряд дополнений регламентирующих использования электронной системы мониторинга цен.

На основании данных, полученных в результате проведения мониторинга ценовых предложений поставщиков («обратного» аукциона), составляется аналитическая записка с многокритериальной оценкой поставщиков для принятия решения конкурсной комиссией.

Затраты на приобретение программного обеспечения и обучение сотрудников работе с системой составят 42 тысячи рублей. Использование данного программного обеспечения позволит предприятию самостоятельно выполнять мониторинг рынка необходимых для производства сырья и материалов. На данный момент отчеты еженедельно выполняло маркетинговое агентство, стоимость данного отчета составляла 15 тыс. рублей в неделю. Сокращение количества работников по закупкам также позволит сэкономить на заработной плате 15 тыс. рублей. Доход от использования системы составит в среднем 75 тысяч рублей в месяц.

Как было установлено в работе, наибольшей проблемой для исследуемого предприятия является выбор надежного поставщика, предлагающего качественные сырье и материалы по невысокой цене. Отметим, что на выбор поставщика существенное влияние оказывают результаты работы по уже заключенным договорам. Для этого, на наш взгляд, целесообразно разработать и предложить специальную шкалу оценок, позволяющую рассчитать рейтинг поставщика. Перед расчетом рейтинга необходимо выполнить дифференциацию закупаемых сырья и материалов.

Закупаемые товары, сырье и комплектующие изделия, как правило, неравнозначны с точки зрения целей производственного процесса. Отсутствие некоторых комплектующих, требующихся регулярно, может привести к остановке производственного процесса (равно как и дефицит некоторых материалов - к резкому падению прибыли). Поэтому главным критерием при выборе поставщика данной категории предметов труда будет надежность поставки.

Если закупаемые предметы труда не являются значимыми с точки зрения производственного процесса, то при выборе их поставщика главным критерием будут служить затраты на приобретение и доставку.

Приведем пример расчета рейтинга поставщика. Допустим, что предприятию необходимо закупить товар А, дефицит которого недопустим. Соответственно, на первое место при выборе поставщика будет поставлен критерий надежности поставки. Значимость остальных критериев, установленная так же, как и значимость первого, экспертным путем сотрудниками службы снабжения, приведена в таблице 3.1.1.

Таблица 3.1.1

Пример расчета рейтинга поставщика

Критерии выбора поставщика

Удельный вес критерия

Оценка значения критерия по десятибалльной шкале у данного поставщика

Произведение удельного веса критерия на оценку

Надежность поставки

0,30

7

2,10

Цена

0,25

6

1,50

Качество товара

0,15

8

1,20

Условия платежа

0,15

4

0,60

Возможность внеплановых поставок

0,10

7

0,70

Финансовое состояние поставщика

0,05

4

0,20

Итого:

1,00


6,30


Итоговое значение рейтинга определяется путем суммирования произведений значимости критерия на его оценку для данного поставщика. Рассчитывая рейтинг для разных поставщиков и сравнения полученные значения, определяют наилучшего партнера.

Вступая в хозяйственную связь с неизвестным поставщиком, предприятие подвергается определенному риску. В случае несостоятельности и недобросовестности поставщика у потребителя, т.е. у ОАО «Нефтеюганскнефтехим» могут возникнуть срывы в выполнении производственных программ или же прямые финансовые потери. Возмещение понесенных убытков наталкивается, как правило, на определенные трудности. В связи с этим предприятия изыскивают различные способы, позволяющие выявлять ненадлежащих поставщиков, например, запанные фирмы нередко прибегают к услугам специализированных агентств, готовящих справки о поставщиках, в том числе и с использованием неформальных каналов.

Отечественные фирмы при выборе поставщика в настоящее время в основном полагаются на собственную информацию. При этом на предприятии, имеющем много поставщиков, может быть сформирован список хорошо известных, заслуживших доверия поставщиков. Утверждение договоров с этими поставщиками, разрешение предварительной оплаты намеченной к поставке продукции осуществляются по упрощенной схеме. Если же намечается заключение договора с поставщиком, отсутствующем в названном списке, то процедура утверждения и оплаты усложняется проведением необходимых мероприятий, обеспечивающих безопасность финансовых и других интересов предприятия.

Заключение

Системный подход - это совокупность принципов, определяющих цель и стратегию решения сложных проблем. Этот метод основан на представлении объекта-носителя проблемы в качестве системы, включающий с одной стороны разложение сложной проблемы на ее составляющие, анализ этих составляющих, вплоть до постановки конкретных задач, имеющих отработанные алгоритмы решения, а с другой стороны, удержание этих составляющих в их неразрывном единстве. Важной особенностью системного подхода является то, что не только объект, но и сам процесс исследования выступает как сложная система, задача которой, в частности, состоит в соединении в единое целое различных моделей объекта.

В работе в качестве объекта анализа было выбрано ОАО «Нефтеюганскнефтехим». Качество продукции должно гарантировать потребителю удовлетворение его запросов, ее надежность и экономию затрат. Эти свойства формируются в процессе всей производственной деятельности ОАО «Нефтеюганскнефтехим», на всех ее этапах и во всех звеньях. Вместе с ними образуется стоимостная величина продукта, характеризующая эти свойства от планирования разработок продукции до ее реализации.

В современных условиях создание единой базы данных - жизненная необходимость. Стремление отдельных компаний обособиться от отраслевого сообщества, сформировать собственную «уникальную» систему предварительной квалификации противоречит мировой практике. В развитых странах давно отказались от дублирования работ, и формируют единые базы подрядчиков, доступные всем участникам рынка.

Удачный опыт системного подхода к закупкам есть у большинства стран с развитой экономикой. В целом ряде стран, например, США и странах Евросоюза, функционируют целые национальные контрактные системы, позволяющие сделать открытым и проследить весь жизненный цикл заказа: его планирование, размещение и качество исполнения. Эти системы не только позволяют планировать закупки на уровне от города до всей страны и вести реестр добросовестных и недобросовестных поставщиков, но и обеспечивают всем участникам процесса методическую помощь - от библиотеки типовых контрактов до четкого регламента процедуры закупок, которые позволяют заказчику быстро и четко сформулировать, а поставщику - грамотно и без махинаций выполнить требования. Чем меньше нечетко прописанных требований, тем меньше лазеек для коррупции.

Для выбора наиболее оптимальных путей повышения эффективности системы проведения закупок для исследуемого предприятия, целесообразно определить стратегические цели развития данного процесса. На основе анализа мирового опыта и с учетом существующих на сегодняшний день проблем, препятствующих эффективному функционированию системы конкурсных закупок, в качестве таковых можно выделить регламентацию (формирование грамотной организационной политики), открытость, экономию, эффективность закупок, пресечение злоупотреблений.

Важнейшим механизмом повышения эффективности проведения закупок, на наш взгляд, является частичная поставка. Достаточно часто заказ на закупку материалов содержит несколько десятков наименований закупаемой продукции, в том числе и разнородной. При размещении подобного заказа заказчик должен решить, можно ли и нужно ли делить заказ на части и размещать каждую часть отдельно или же передать выполнение всего заказа одному поставщику. В работе нами разработана схема организации и проведения заказчиком закупки продукции на открытых конкурсных торгах с использованием метода частичной поставки.

С целью повышения эффективности коммерческой деятельности считаем целесообразным предложить ОАО «Нефтеюганскнефтехим» совершенствовать свою деятельность по различным направлениям.

Во-первых, ввести в штат сотрудников должность менеджера по подготовке тендерного предложения, при этом использовать имеющийся кадровый состав производственно-технического отдела.

Во-вторых, необходимо сформировать базу данных, в которой будет храниться информация, и которая в дальнейшем упростит принятие решений о целесообразности и перспективах участия в конкретном конкурсе и выявлять факторы, влияющие на успех фирмы.

В-третьих, необходимо повышение технического уровня работников. Это обусловлено необходимостью применения с целью повышения конкурентоспособности предприятия сложного, высокотехнологичного оборудования.

В-четвертых, реализовать применение системы электронного мониторинга. Создание системы электронного мониторинга для нужд ОАО «Нефтеюганскнефтехим» обусловлено необходимостью совершенствования механизма закупок товаров (работ, услуг), развития конкурсных способов закупок, развития системы централизованных закупок однотипной продукции, использования возможностей современных информационных технологий.

Затраты на приобретение программного обеспечения и обучение сотрудников работе с системой составят 42 тысячи рублей. Использование данного программного обеспечения позволит предприятию самостоятельно выполнять мониторинг рынка необходимых для строительства материалов. На данный момент отчеты еженедельно выполняло маркетинговое агентство, стоимость данного отчета составляла 15 тыс. рублей в неделю. Сокращение количества работников по тендерам так же позволит сэкономить на заработной плате 15 тыс. рублей. Доход от использования системы составит в среднем 75 тысяч рублей в месяц.

 






Список использованной литературы

Ι. Нормативно-правовые акты:

1. Гражданский кодекс Российской Федерации: Части первая, вторая и третья: с изм. и доп. на 15.09.03 г. - М.: Кодекс, 2008.

2. Федеральный закон от 26 декабря 1995 г. № 208-ФЗ «Об акционерных обществах» // Собрание законодательства Российской Федерации. - 2008 . - № 1. - Ст. 1.

3. Государственный стандарт РФ ГОСТ Р ИСО 9001-2001 «Системы менеджмента качества. Требования»: утв. постановлением Госстандарта РФ от 15 августа 2011 г. N 333-ст). - М.: Издательство стандартов, 2011.

4. Государственный стандарт РФ ГОСТ Р ИСО 9004-2001 «Системы менеджмента качества. Рекомендации по улучшению деятельности»: принят постановлением Госстандарта РФ от 15 августа 2001 г. N 334-ст. - М.: Издательство стандартов, 2009.

5. Государственный стандарт РФ ГОСТ Р ИСО 9000-2001 «Системы менеджмента качества. Основные положения и словарь»: принят и введен в действие постановлением Госстандарта РФ от 15 августа 2009 г. N 332-ст. - М.: Издательство стандартов, 2009.

ΙΙ. Специальная литература:

6. Белокоровин Э.А., Маслов Д.В. Малый бизнес: пути развития. - Архангельск: М'арт, 2010. - 342 с.

7. Глудкина О.П. Всеобщее управление качеством Total quality management (TQM). - М.: Лаб. базовых знаний и др., 2009. - 354 с.

8. Довбня А.А., Поединщиков И.И. Оценка эффективности менеджмента в реализации цели политики в области качества.// Стандарты и качество. - 2010.- №3.- с.12.

9. Джодж С., Ваймерских А. Всеобщее управление качеством: стратегии и технологии, применяемые сегодня в самых успешных компаниях. (TQM).- СПб., «Виктория плюс», 2010. - 256 с.

10.Евстигнеев А.В. Европейский фонд управления качеством // Европейское качество. 2008. - №4. - С. 5-8.

11.Ефанов А.Н. Проблемы оценки качества // Финансы и инвестиции. 2010. - №3. - С. 176-177.

12.Захаров М.Г. Система качества - это инструмент самосохранения предприятия в условиях кризиса // Стандарты и качество. 2009. - №2. - С. 34.

13.Захаров М.Г. Система качества - это инструмент самосохранения предприятия в условиях кризиса // Стандарты и качество. - 2010. - №2. - С. 34-35.

14.Конти Т. Система заинтересованных сторон: стратегическая ценность // Методы менеджмента качества. - 2008. - №1. - С. 4.

15.Лааге У. Система управления качеством: российская перспектива // Перsонал-Микс. 2006. - №6. - С. 19-22

16.Лайсонс К., Джиллингем М. Управление закупочной деятельностью и цепями поставок: Пер. с 6-го англ. Изд. - М.: ИНФРА-М, 2005.

17.Лапидус В. А. Диалог консультанта с руководителем компании: О всеобщем качестве (TQM) и стандартах ИСО 9000 версии 2000 г. - Н. Новгород: Приоритет, 2010. - 675 с.

18.Лапидус В.А. Всеобщее качество (TQM) в российских компаниях. - Типография "Новости", 2009. - 436 с.

19.Мазур И.И., Шапиро В.Д. Управление качеством. - М.: Высшая школа, 2010. - 231 с.

20.Майкл Р. Линдерс, Харольд Е. Фирон. Управление снабжением и запасами. Логистика/Пер. с англ. - СПб.: ООО «Виктория плюс», 2002.

21.Международные стандарты ИСО серии 9000 и статистические методы (новая версия и процессный подход) // Сборник материалов 13-ой международной конференции. - Нижний Новгород: Приоритет, 2008. - 213 с.

22.Свиткин М.З. Менеджмент качества и обеспечение качества продукции на основе международных стандартов ИСО. - СПб.: Питер, 2010. - 332 с.

23.Москвин В. А. Управление качеством в бизнесе: Рекомендации для руководителей предприятий, банков, риск - менеджеров. - М.: Финансы и статистика, 2008. - 384с.

24.Окрепилов В. В. Управление качеством. - М.: Экономика, 2008. - 422 с.

25.Мескон А. Основы менеджмента. Пер. с англ. М. А. Майоровой и др. - М.: Дело, 2009. - 364 с.

26.Официальный сайт ОАО «Нефтеюганскнефтехим»: http//www.nknch.ru

27.Пейдж С. Тщательная проработка - ключ к разработке стратегии в области качества и процедур // Стандарты и качество. 2009. - № 8. - С. 67-70.

28.Пичугин К.В. Постоянное улучшение. Что улучшать?// Сертификация. 2010. - №4. - С. 22-24.

29.Пичугин К.В. Принцип «постоянного улучшения» в стандартах ИСО 9000 версии 2008 года // Сертификация. 2009. - № 3. - С. 20-22.

30.Плетнева Н. Документирование системы качества // Стандарты и качество. 2009. - №3. - С. 75-78.

31.Плетнева. Н.П. ИСО 9001 - 2008: Новый подход к созданию системы менеджмента качества // Стандарты и качество. 2008. - №8. - С. 46.

32.Паниотто В. И. Качество социологической информации: Методы оценки и процедуры обеспечения. - Киев: Наук. думка, 2009. - 243 с.

33.Раицкий К. Экономика предприятия. - М.: Высшая школа, 2008. - 533 с.

34.Репин В.В., Елиферов В.Г. Процессный подход к управлению. Моделирование бизнес-процессов. - 6-е изд. - М.: РИА «Стандарты и качество», 2008. - 408 с.

35.Розова Н.К. Управление качеством. - М.: Инфра, 2010. - 600 с.

36.Ромат Е.В. Реклама. Учебник для ВУЗов. - М.: СПБ, Питер, 2009. - 208 с.

37.Рузавин Г. И. Экономика предприятий: учебное пособие для вузов - М.: ИНФРА - М, 2004. - 355 с.

38.Рубанюк Ю.Т. Четырнадцать пунктов Деминга - программа действий для выживания производителей России? // Стандарты и качество.- 2008.- №7.- с.39.

39.Рубанюк Ю.Т. Четырнадцать пунктов Деминга - программа действий для выживания производителей России? //Стандарты и качество. - 2008. - №8. - с.38.

40.Ревенков А.Н. Внедрение стандартов ИСО серии 9000 как фактор обеспечения конкурентоспособности продукции на внутреннем рынке // Стандарты и качество. 2010. - №6. - С. 46-48.

41.Свиткин М.З. Российский бизнес под знаком качества // Методы менеджмента качества. 2008. - №10. - С. 4-8.

42.Харрингтон Д. Х. Управление качеством в американских корпорациях: Сокр. пер. с англ. - М.: Экономика, 2010. - 231 с.

43.Чайка И.И. Кризисный период экономики и проблемы управления качеством. //Сертификация .- 2008.- №3.-с.13.

44.Чайка И.И. Конкурентоспособное качество отечественной продукции - ключевая проблема выхода России из экономического кризиса. //Стандарты и качество. - 2009. - №8.- с.15

45.Шубенкова Е. В. Особенности корпоративной культуры в условиях тотального менеджмента качества // Управление персоналом. 2010. - №3. - С. 51-55.

III. Источники удаленного доступа:

46.www.kodeks.net - Нормативно-правовая база данных.

47.www.fsgs.ru - Федеральная служба государственной статистики.

48.www.expert.ru - Журнал «Эксперт».

49.www.nknh.ru - Официальный сайт ОАО «Нефтеюганскнефтехим»

Приложение А

Базовые функции закупочной деятельности

Приложение Б

Организационные формы российского электронного рынка

Организационные формы российского электронного рынка

 Лидеры среди соответствующих групп

Компании - операторы системы электронных торгов (госсектор):

ЗАО «Амбит-Сервис» (www.goszakaznso.ru), ООО «Поволжский центр качества-Р» (www.agzrt.ru), ОГУ «Белгородский информационный фонд» (www.etrade. bel.ru)

Компании-операторы системы электронных торгов (корпоративный сектор):

ООО «Инжиниринговая компания «Центр реновации и энергетики» (www. b2b-energo.ru), ЗАО «Амбит-Сервис» (www.goszakaz.com), ЗАО «Тендер Ком» (www.usetender.com)

В2В - NPK (www.b2b-npk.ru), TatCenter.ru (Деловой центр республики Татарстан (www.tatcenter.ru), Инмарсис (Индустриальная маркетинговая система (www.inmarsys.ru), Электронная торговая площадка (ЭТП) ОАО «Северсталь» (http://tirg.severstal.ru)

Межотраслевые информационно-торговые системы (электронные торговые площадки):

Trade.su (www.trade.su), ITENDERS.RU (www.itenders.ru), Use Tender.com (Система электронных закупок) (www.usetender.com)

В2В информационно-аналитические порталы:

WWW PRICE RU (www.price.ru), RUS ENEREGY.com (www.rusenegy.com), PolyPipe (полимерная торговая площадка) (www.polypipe.ru), NGE.ru (Торговая площадка по нефтепродуктам в России и СНГ) (www.nge.ru), Ваш Дом.ру (Интернет-портал “все для строительства и ремонта”) (www.vashdom.ru)

Официальные сайты федеральных органов власти, субъектов РФ и муниципальных образований:

Государственные и муниципальные закупки в Республике Татарстан (Агентство по госзаказу Республики Татарстан) (www.agzrt.ru), Государственный заказ Санкт-Петербурга (Комитет экономического развития промышленной политики и торговли Санкт-Петербурга) (www.gz-spb.ru), Сайт Комитета города Москвы по организации и проведению конкурсов и аукционов (Комитет города Москвы по организации и проведению конкурсов и аукционов) (www.tender.mos.ru)

Удостоверяющие центры:

ЗАО “Удостоверяющий Центр” (г. Санкт-Петербург) (www.nwudc.ru), ЗАО "Удостоверяющий центр" ekey.ru (www.ekey.ru), ОАО “Мосжилрегистрация” (www.mgr.ru)


Приложение В.

Инструменты оптимизации логистической

1.      системы на основе электронных технологий. 1. Модель сделки

Оптимизация внутренних операций, имея в виду: снижение издержек, стандартизацию и повышение производительности труда, с целью унификации работы внутренних систем и процессов, а также их связи с внешним миром.

Формирование интегрированной системной инфраструктуры составных частей компьютерного оборудования и программного обеспечения (локальная сеть, территориально распределенная сеть, интрасеть) для увязки подразделений предприятия с внутренними прикладными программами и между собой, а также расширения прикладных систем и бизнес-процессов с целью удовлетворения внутренних и внешних требований е-бизнеса.

2. Модель сотрудничества

Использование Интернет-технологий, дающих прямой выход на поставщиков, когда бизнес-процессы накладываются друг на друга, обеспечивая:

координацию деятельности, включая взаимные инвестиции в активы партнеров с целью снижения издержек, улучшения качества, совместных инноваций и ускорения разработки новых товаров;

соединение ресурсов, ведущих к нововведениям, координацию производственных, дистрибьюторских структур и обслуживающих организаций, умножение эффекта инноваций, координация обменных взаимоотношений в системах производства и распределения.

3. Модель стратегического электронного альянса

Интеграция всех участников - от потребителей, поставщиков и производителей - в единый рабочий процесс. Объединение источников информации, рабочей силы, бизнес-процессов, рыночных стратегий. Создание инфраструктурных и технологических элементов, необходимых для поддержки коммуникационных механизмов, обеспечивающих унификацию правил и инструментария ведения дел среди участников (межфирменных интерфейсов, основных бухгалтерских и контрольных функций, внешней отчетности и бизнес-коммуникаций) в рамках единой бизнес-модели.

. Модель региональных торговых сетей

Формирование общей коммерческой и электронной инфраструктуры, включая пользование общими программными приложениями и процедурными интерфейсами.

5. Модель глобального электронного рынка

Пользование общими институтами глобальной торговой сети стран-участниц.

Универсальность реагирования: что угодно, когда угодно.

Исключение компромиссов между качеством, ценой и временем поставки, принцип - все одновременно.

. Реагирование в режиме онлайн наряду с ориентацией на прогнозирование и планирование.

Приложение Г. Структура и направления электронной

Стратегической деятельности предприятия

. Структура электронной деятельности предприятия

Цель: оптимизация логистических процессов.

Содержание электронных закупок: 1) информационно - логистическая деятельность, обеспечивающая полный замкнутый цикл закупок (заказ товара, проведение платежей, участие в контроле доставки товара) на основе электронного документооборота; 2) управляемое клиентами выполнение заказа на основе сетевого интерактивного взаимодействия с поставщиком; 3) сетевое взаимодействие в режиме онлайн, включая:

сотрудничество разработчиков, пользователей и покупателей на основе протокола для одновременной работы;

осуществление в автоматическом режиме потока согласований, передачи права собственности на товар, доставки информационных товаров; финансовых потоков.

Средства: интеграция внутренней деятельности предприятия; способность к деятельности в рамках альянсов и партнерства; способность реагирования на все возможные сигналы рынка на основе электронной платформы, включая: аппаратное, программное и интеллектуальное обеспечение; бизнес-процессы, функционирующие в электронной форме; электронный интерактивный маркетинг, торговую, финансовую и платежную системы.

Результат: переход от модели взаимоотношений типа сделки к модели сотрудничества,

установление нового типа отношения с поставщиками - партнерского.

. Направления электронной деятельности предприятия

. Стратегические электронные закупки (оборудование, технологические линии, объекты «под ключ» и т.п.).

Интерактивный обмен информацией, переговоры и согласование позиций в части:

объема, динамики и ассортиментной структуры закупок;

планирования, разработки и производства поставщиком товаров, каналов товародвижения, стратегии поставок, стратегического партнерства, стратегии ценообразования;

управления товародвижением, текущего перепроектирования, модернизации или снятия с продаж товара, обучения потребителей.

.Текущие электронные закупки (стандартизованная продукция общего назначения, биржевые товары, информационные продукты).

Интерактивное взаимодействие в режиме онлайн, включая:

поиск контрагентов;

онлайн-переговоры, онлайн-сделки или офлайн-сделки (без согласования параметров сделки или с согласованием параметров сделки);

онлайн-поставка (информационные продукты); офлайн-поставка (физическая продукция);

сервисное обслуживание, в т.ч. обмен документами по заключенной сделке, получение торговых отчетов, архивной информации и т.п.

Похожие работы на - Анализ возможностей внедрения процессного и системного подхода на предприятии

 

Не нашли материал для своей работы?
Поможем написать уникальную работу
Без плагиата!
Без нейросетей!