Экономико-математическое моделирование как способ изучения хозяйственной деятельности

  • Вид работы:
    Контрольная работа
  • Предмет:
    Менеджмент
  • Язык:
    Русский
    ,
    Формат файла:
    MS Word
    78,32 Кб
  • Опубликовано:
    2013-02-02
Вы можете узнать стоимость помощи в написании студенческой работы.
Помощь в написании работы, которую точно примут!

Экономико-математическое моделирование как способ изучения хозяйственной деятельности

Министерство образования и науки Российской Федерации

Федеральное государственное бюджетное образовательное учреждение высшего профессионального образования

Российский государственный торгово-экономический университет

(РГТЭУ)

Омский институт (филиал)

Кафедра «Экономика и бухгалтерский учет»






Контрольная работа

на тему: Экономико-математическое моделирование как способ изучения хозяйственной деятельности

по дисциплине Теория экономического анализа


студента (ки) Васильковой Валентины Сергеевны

третьего курса заочной полной формы обучения

по специальности 080109_Бухгалтерский учет, анализ и аудит

Рецензент: Руди Лариса Аркадьевна, к.э.н., доцент, ОиРГТЭУ


Омск - 2012

Содержание

Введение

. Экономико-математическое моделирование

. Этапы процесса моделирования

. Задача 1

. Задача 2

Заключение

Список литературы

Введение

В анализе экономического состояния и предприятия, и более крупного субъекта национального хозяйства применяется расчленение проблемы (или ситуации) на более мелкие вопросы. Это позволяет применить к исследованию логическую процедуру, которая представляет собой моделирование.

При экономико-математическом моделировании часто возникает ситуация, когда изучаемая экономическая система имеет слишком сложную структуру, еще не разработаны такие математические методы, схемы, которые охватывали бы все основные особенности и связи подобной системы, например такой, как экономика предприятия в целом, в ее динамике и развитии. Возникает необходимость упрощения изучаемого объекта, исключения и анализа некоторых его второстепенных особенностей с тем, чтобы подвести эту упрощенную систему под класс уже известных структур, поддающихся математическому описанию и анализу. При этом степень упрощения должна быть такой, чтобы все существенные для данного экономического объекта черты в соответствии с целью исследования были включены в модель.

1. Экономико-математическое моделирование

Моделирование - процесс познания с использованием моделей, т.е. таких объектов, которые заменяют оригинал и служат источником информации о нем. Одним из видов моделирования является математическое моделирование. [2, стр. 45]

Математическое моделирование экономических явлений и процессов является важным инструментом экономического анализа. Оно дает возможность получить четкое представление об исследуемом объекте, охарактеризовать и количественно описать его внутреннюю структуру и внешние связи.

Модель - условный образ объекта управления (исследования). Модель конструируется субъектом управления (исследования) так, чтобы отобразить характеристики объекта - свойства, взаимосвязи, структурные и функциональные параметры и т. п., существенные для цели управления (исследования). Содержание метода моделирования составляют конструирование модели на основе предварительного изучения объекта и выделения его существенных характеристик, экспериментальный или теоретический анализ модели, сопоставление результатов с данными об объекте, корректировка модели.

В экономическом анализе используются главным образом математические модели, описывающие изучаемое явление или процесс с помощью уравнений, неравенств, функций и других математических средств. Различают математические модели с количественными характеристиками, записанными в виде формул; числовые модели с конкретными числовыми характеристиками; логические, записанные с помощью логических выражений, и графические, выраженные в графических образах. Модели, реализованные с помощью электронно-вычислительных машин, называют машинными, или электронными. [1, стр. 201-202]

2. Этапы процесса моделирования

моделирование математический экономический

Экономико-математическая модель должна быть адекватной действительности, отражать существенные стороны и связи изучаемого объекта. Отметим принципиальные черты, характерные для построения экономико-математической модели любого вида. Процесс моделирования можно условно подразделить на три этапа:

1) анализ теоретических закономерностей, свойственных изучаемому явлению или процессу, и эмпирических данных о его структуре и особенностях; на основе такого анализа формируются модели;

) определение методов, с помощью которых можно решить задачу;

) анализ полученных результатов.

При экономико-математическом моделировании часто возникает ситуация, когда изучаемая экономическая система имеет слишком сложную структуру, не разработаны математические методы, схемы, которые бы охватывали все основные особенности и связи этой системы. Такой экономической системой, например, является экономика предприятия в целом, в ее динамике, развитии. Возникает необходимость упрощения изучаемого объекта, исключения из анализа некоторых его второстепенных особенностей с тем, чтобы подвести эту упрощенную систему под класс уже известных структур, поддающихся математическому описанию и анализу. При этом степень упрощения должна быть такой, чтобы все существенные для данного экономического объекта черты в соответствии с целью исследования были включены в модель.

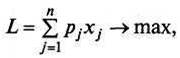
Важным моментом первого этапа моделирования является четкая формулировка конечной цели построения модели, а также определение критерия, по которому будут сравниваться различные варианты решения. В экономическом анализе такими критериями могут быть: наибольшая прибыль, наименьшие издержки производства, максимальная загрузка оборудования, производительность труда и др. В задачах математического программирования такой критерий отражается целевой функцией. Например, необходимо проанализировать производственную программу выработки продукции с целью выявления резервов повышения прибыли от воздействия структурного сдвига в ассортименте. Критерием оптимальности в данном случае при построении экономико-математической модели выступает максимум прибыли. Уравнение целевой функции будет иметь вид:


где х j - количество производимой продукции j - го вида;

Pj - прибыль, получаемая от производства единицы продукции j -го вида.

При постановке задач математического программирования обычно предполагается ограниченность ресурсов, которые необходимо распределить на производство продукции. Поэтому очень важно определить, какие ресурсы являются для изучаемого процесса решающими и в то же время лимитирующими, каков их запас. Если все виды производственных ресурсов, к которым относятся сырье, трудовые ресурсы, мощность оборудования и др., используются для выпуска продукции, то необходимо знать расход каждого вида ресурса на единицу продукции.

Все ограничения, отражающие экономический процесс, должны быть непротиворечивыми, т.е. должно существовать хотя бы одно решение задачи, удовлетворяющее всем ограничениям.

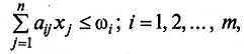
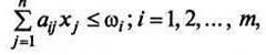
В качестве ограничений при построении экономико-математической модели выступает система неравенств, имеющая следующий вид:


где аji - норма расхода i - го производственного ресурса на производство единицы j -го вида продукции;

ωj - запасы i -го вида производственного ресурса на рассматриваемый период времени.

Объединяя уравнение целевой функции и систему ограничений в единую модель, получим линейную экономико-математическую модель ассортиментной задачи:


Не для всякой экономической задачи нужна собственная модель. Некоторые процессы с математической точки зрения однотипны и могут описываться одинаковыми моделями. Например, в линейном программировании, теории массового обслуживания и других существуют типовые модели, к которым приводится множество конкретных задач.

Вторым этапом моделирования экономических процессов является выбор наиболее рационального математического метода для решения задачи. Например, для решения задач линейного программирования известно много методов: симплексный, потенциалов и др.

Лучшей моделью является не самая сложная и самая похожая на реальное явление или процесс, а та, которая позволяет получить самое рациональное решение и наиболее точные экономические оценки. Излишняя детализация затрудняет построение модели, часто не дает каких-либо преимуществ в анализе экономических взаимосвязей и не обогащает выводов. Излишнее укрупнение модели приводит к потере существенной экономической информации и иногда даже к неадекватному отражению реальных условий.

Третьим этапом моделирования является всесторонний анализ результата, полученного при изучении экономического явления или процесса. Окончательным критерием достоверности и качества модели являются: практика, соответствие полученных результатов и выводов реальным условиям хозяйствования, экономическая содержательность полученных оценок. Если полученные результаты не соответствуют реальным условиям, то необходим экономический анализ причин несоответствия. Такими причинами могут быть: недостаточная достоверность информации, а также несоответствие используемых математических средств и схем особенностям и сущности изучаемого экономического объекта. После того как причина определена, в модель должны быть внесены соответствующие коррективы, и решение задачи повторяется.

Таким образом, экономико-математическое моделирование работы предприятия должно быть основано на анализе его деятельности и, в свою очередь, обогащать этот анализ результатами и выводами, полученными после решения соответствующих задач. [1, стр. 202-204]

3. Задача 1


Проанализируйте влияние изменений численности производственного персонала и средней заработной платы на отклонение фактического фонда заработной платы от планового по приведенным данным:

  Показатели

Условные обозначения

Бизнес-план

Фактически

Фонд заработной платы, тыс. руб.

F

909,5

921,9

Среднегодовая численность производственного персонала, чел.

T

4657

4598

Среднегодовая заработная плата одного работника, руб.

f

200,5


Выполните расчет методом цепной подстановки и методом разниц.

Исходная формула:

F=T*f

Решение:

4657×195,3 = 909512 или 909,5    921,9 - 909,5 = 12,4

4598×200,5 = 921899 или 921,9    4598 - 4657 = - 59

,5 - 195,3 = 5,2

Показатели

Бизнес-план

Фактически

отклонение от плана

степень отклонения в %

Фонд заработной платы, тыс. руб.

909,5

921,9

12,4

101,4

Среднегодовая численность производственного персонала, чел.

4657

4598

-59

98,8

Среднегодовая заработная плата одного работника, руб.

195,3

200,5

5,2

102,7


Факторный анализ ФЗП

Номер подстанции

факторы

ФЗП, руб.

Отклонение ФЗП, руб.

Причина отклонений


Среднегодовая численность

Среднегодовая заработная плата (раб./руб.)




Базисный

4657

195,3

909512

-

-

1

4598

195,3

897989

-11523

Сокращение численности

2

4598

200,5

921899

+23910

Повышение заработной платы


- 909512 = - 11523                921899 - 897989 = 23910

Баланс отклонений = (- 11523) + 23910 = 12387 или 12,4

Вывод: в целом наблюдается перерасход ФЗП в размере 12,4 тыс.руб., что в процентном отношении составляет 1,4 %. Перерасход сопровождается недовыполнением плана по численности и превышением по сравнению с планом уровня среднегодовой заработной планы. Несоблюдение плановых параметров по численности на 59 человек сократило ФЗП на 11523 руб. рост заработной платы привел к перерасходу фонда на 23910 руб.

4. Задача 2


Определите влияние факторов на изменение расходов по статье «Расходы по оплате процентов за пользование кредитами и займами» методом цепной подстановки.

При расчетах использовать формулу:


где: Р - сумма расходов по оплате процентов за кредит;

О - однодневный товарооборот ( 60 и 75 тыс. руб. в прошлом и отчетном годах);

С - товарооборочиваемость (58 и 52 дня соответственно);

Д - долевое участие собственных средств в оплате товаров (16,2 и 9,8 % в прошлом и отчетном годах);

Т - ставка банка за пользование кредитом (160 и 120 % годовых).

Решение:

Р (прошлого года) = 60×58×(100-16,2)×160 = 46659840 = 4665,984

                                                100×100             10000

Р (отчетного года) = 75×52×(100 - 9,8)×120 = 42213600 =4221,36

                                                100×100                      10000

Отклонение = 4221,36 - 4665,98 = - 444,62



Заключение

Математические методы в экономике - научное направление в экономике, позволяющее анализировать и прогнозировать состояния экономических процессов с помощью математических и эконометрических методов.

Математические методы являются важнейшим инструментом анализа экономических явлений и процессов, построения теоретических моделей, позволяющих отобразить существующие связи в экономической жизни, прогнозировать поведение экономических субъектов и экономическую динамику. Математическое моделирование становится языком современной экономической теории, одинаково понятным для учёных всех стран мира.

При наличии математической модели мы избавляемся от необходимости дорогостоящих экспериментов, как правило, сопровождаемых многократными пробами и ошибками. Это можно делать на модели, которую, условно говоря, можно резать и перекраивать неоднократно без всяких капиталовложений. Это одно достоинство модели. Другое заключается в том, что формализация дает возможность сформулировать реальную задачу как математическую и позволяет воспользоваться для анализа универсальным и мощным математическим аппаратом, который не зависит от конкретной природы объекта. Математика проводит детальный количественный анализ модели, помогает предсказать, как поведет себя объект в различных условиях и дает рекомендации для выбора наилучших вариантов решения проблемы.

Список литературы

1.   Баканов М.И., Мельник М.В., Шеремет А.Д. «Теория экономического анализа» 5-е изд., перераб. и доп. - М.: «Финансы и статистика», 2007

2.      Гальчина О.Н. «Теория экономического анализа» учеб.пособие - М.: «Дашков и Ко», 2009

3.      http://www.bibliotekar.ru/upravlenie-3/36.htm - формулы по экономико-математическому моделированию (интернет-источник)

Похожие работы на - Экономико-математическое моделирование как способ изучения хозяйственной деятельности

 

Не нашли материал для своей работы?
Поможем написать уникальную работу
Без плагиата!
Без нейросетей!