Регулирование финансового анализа (на примере ОАО 'Томскнефтегаз')
Содержание
Введение
. Нормативно-правовое регулирование финансового анализа в
системе банкротства РФ
2. Анализ финансового состояния ОАО «Томскнефтегаз»
2.1 Экспресс-оценка финансового состояния организации и ее
имущественного потенциала
2.2 Анализ платежеспособности организации
.3 Анализ финансовой устойчивости организации
.4 Анализ деловой и инвестиционной активности организации
.5 Анализ доходов, расходов, финансовых результатов и
рентабельности организации
3. Разработка мероприятий направленных на улучшение
финансового состояния организации
Заключение
Список используемой литературы
Приложение
Введение
Обеспечение эффективного
функционирования организаций требует экономически грамотного управления их
деятельностью, которое во многом определяется умением ее анализировать. С
помощью анализа изучаются тенденции развития, глубоко и системно исследуются
факторы изменения результатов деятельности, обосновываются планы и
управленческие решения, осуществляется контроль за их выполнением, выявляются
резервы повышения эффективности производства, оцениваются результаты
деятельности предприятия, вырабатывается экономическая стратегия его развития.
Анализ хозяйственной деятельности
является научной базой принятия управленческих решений в бизнесе. Для их
обоснования необходимо выявлять и прогнозировать существующие и потенциальные
проблемы, производственные и финансовые риски, определять воздействие
принимаемых решений на уровне рисков и доходов субъекта хозяйствования.
Анализ товарооборота предприятия
позволяет оценить достигнутые результаты, развитие товарооборота по видам и
формам, реалистичность стратегии предприятия в развитии товарооборота, сравнить
масштабы деятельности данного предприятия. Оценка достигнутого - основа
планирования показателей на перспективу.
Механизм экономического обоснования
включает в себя определение приоритетных целей, учет факторов и конъюнктуры
развития рынка и осуществляется на конкретных примерах расчета объема и
структуры оборота, снабжения предприятий сырьем и товарами.
Экономический анализ играет важную
роль в хозяйственной деятельности, в достижении наилучших результатов при
наименьших затратах. В новых условиях хозяйствования его значение возрастает.
Расширение прав и повышение ответственности потребительских обществ, предприятий
и организаций общественного питания за результаты проведенной работы, переход
на экономические методы управления, развитие хозяйственного расчета, его
углубление обусловливают необходимость более тщательного и всестороннего
исследования социально-экономических процессов и явлений, обеспечение
правильной оценки результатов хозяйственной деятельности, выявление имеющихся
резервов, устранение фактов бесхозяйственности, обобщение и распространение
передового опыта, внедрение в практику достижений науки и техники.
1. Нормативно-правовое
регулирование финансового анализа в системе банкротства РФ
Нормативно-правовое регулирование
финансового анализа в системе банкротства в РФ осуществляется различными
нормативными правовыми актами, основным из которых является ФЗ от 26.10.2002 №
127-ФЗ «О несостоятельности (банкротстве)».
В соответствии с Гражданским
кодексом Российской Федерации настоящий Федеральный закон устанавливает
основания для признания должника несостоятельным (банкротом), регулирует
порядок и условия осуществления мер по предупреждению несостоятельности
(банкротства), порядок и условия проведения процедур, применяемых в деле о
банкротстве, и иные отношения, возникающие при неспособности должника
удовлетворить в полном объеме требования кредиторов. В ст. 70 указанного
федерального закона имеется основополагающее положение о цели финансового
анализа в системе банкротства, которая выражается в следующем:
. Анализ финансового состояния
должника проводится в целях определения достаточности принадлежащего должнику
имущества для покрытия расходов в деле о банкротстве, в том числе расходов на
выплату вознаграждения арбитражным управляющим, а также в целях определения
возможности или невозможности восстановления платежеспособности должника в
порядке и в сроки, которые установлены настоящим Федеральным законом.
. Если в соответствии с
законодательством Российской Федерации ведение бухгалтерского учета и
составление финансовой (бухгалтерской) отчетности должника подлежат
обязательному аудиту, анализ финансового состояния проводится на основании
документов бухгалтерского учета и финансовой (бухгалтерской) отчетности
должника, достоверность которых подтверждена аудитором.
При отсутствии документов
бухгалтерского учета и финансовой (бухгалтерской) отчетности должника, достоверность
которых подтверждена аудитором, в том числе в связи с неисполнением должником
обязанности по проведению обязательного аудита, временный управляющий для
проведения анализа финансового состояния должника привлекает аудитора, оплата
услуг которого осуществляется за счет средств должника.
. Временный управляющий на основе
анализа финансового состояния должника, в том числе результатов инвентаризации
имущества должника при их наличии, анализа документов, удостоверяющих
государственную регистрацию прав собственности, осуществляет обоснование
возможности или невозможности восстановления платежеспособности должника,
обоснование целесообразности введения последующих применяемых в деле о
банкротстве процедур.
Таким образом, финансовый анализ
нацелен главным образом на определение достаточности имущества должника, как
для покрытия текущих расходов, так и на восстановление платежеспособности на
перспективу. Временный управляющий на основе анализа финансового состояния
должника, в том числе результатов инвентаризации имущества должника при их
наличии, анализа документов, удостоверяющих государственную регистрацию прав
собственности, осуществляет обоснование возможности или невозможности
восстановления платежеспособности должника, обоснование целесообразности введения
последующих применяемых в деле о банкротстве процедур.
Правила проведения арбитражным
управляющим финансового анализа конкретизируются в Постановлении Правительства
РФ от 25.06.03 № 367, где определяются принципы и условия проведения
арбитражным управляющим финансового анализа, а также состав сведений,
используемых арбитражным управляющим при его проведении.
При проведении финансового анализа
арбитражный управляющий анализирует финансовое состояние должника на дату
проведения анализа, его финансовую, хозяйственную и инвестиционную
деятельность, положение на товарных и иных рынках.
Документы, содержащие анализ
финансового состояния должника, представляются арбитражным управляющим собранию
(комитету) кредиторов, в арбитражный суд, в производстве которого находится
дело о несостоятельности (банкротстве) должника, в порядке, установленном
Федеральным законом "О несостоятельности (банкротстве)", а также
саморегулируемой организации арбитражных управляющих, членом которой он
является, при проведении проверки его деятельности.
Финансовый анализ проводится
арбитражным управляющим в целях:
а) подготовки предложения о
возможности (невозможности) восстановления платежеспособности должника и
обоснования целесообразности введения в отношении должника соответствующей
процедуры банкротства;
б) определения возможности покрытия
за счет имущества должника судебных расходов;
в) подготовки плана внешнего
управления;
г) подготовки предложения об
обращении в суд с ходатайством о прекращении процедуры финансового оздоровления
(внешнего управления) и переходе к конкурсному производству;
д) подготовки предложения об
обращении в суд с ходатайством о прекращении конкурсного производства и
переходе к внешнему управлению.
Финансовый анализ проводится на
основании следующих документов:
а) статистической отчетности,
бухгалтерской и налоговой отчетности, регистров бухгалтерского и налогового
учета, а также (при наличии) материалов аудиторской проверки и отчетов
оценщиков;
б) учредительных документов,
протоколов общих собраний участников организации, заседаний совета директоров,
реестра акционеров, договоров, планов, смет, калькуляций;
в) положения об учетной политике, в
том числе учетной политике для целей налогообложения, рабочего плана счетов
бухгалтерского учета, схем документооборота и организационной и
производственной структур;
г) отчетности филиалов, дочерних и
зависимых хозяйственных обществ, структурных подразделений;
д) материалов налоговых проверок и
судебных процессов;
е) нормативных правовых актов,
регламентирующих деятельность должника.
При проведении финансового анализа
арбитражный управляющий должен руководствоваться принципами полноты и
достоверности, в соответствии с которыми:
- в документах,
содержащих анализ финансового состояния должника, указываются все данные, необходимые
для оценки его платежеспособности;
- в ходе финансового
анализа используются документально подтвержденные данные;
- все заключения и
выводы основываются на расчетах и реальных фактах.
В Приложениях к Правилам перечислены
коэффициенты финансово-хозяйственной деятельности должника, дано их
теоретическое обоснование и показатели, используемые для их расчета, по
направлениям: основные показатели, характеризующие платежеспособность,
характеризующие финансовую устойчивость, характеризующие деловую активность, а
также изложены требования к анализу внешних, внутренних условий деятельности,
анализу рынков, на которых осуществляется деятельность должника, анализу
активов и пассивов, к анализу возможности безубыточной деятельности должника.
Особенности анализа финансового
состояния и платежеспособности стратегических предприятий отражены в Приказе
Министерства экономического развития и торговли РФ от 21.04.06 № 104, изданном
в целях реализации Постановления Правительства Российской Федерации от 21
декабря 2005 г. N 792 "Об организации проведения учета и анализа
финансового состояния стратегических предприятий и организаций и их
платежеспособности"
В целях проведения учета и анализа
финансового состояния и платежеспособности стратегических предприятий и
организаций Федеральная налоговая служба формирует упорядоченную систему сбора,
обработки и обобщения информации о финансовом состоянии, платежеспособности и
угрозе банкротства предприятий и организаций, отнесенных в установленном
порядке к стратегическим. На основании результатов учета и анализа финансового
состояния объектов учета и их платежеспособности, а также сведений о событиях и
обстоятельствах их хозяйственной деятельности проводится их группировка в
соответствии со степенью угрозы банкротства, в соответствии с признаками для
группировки.
В целях реализации мер по
предупреждению несостоятельности (банкротства) предприятий и организаций был
издан Приказ Минпромэнерго РФ N 57, Минэкономразвития РФ N 134 от 25.04.2007
"Об утверждении Методических рекомендаций по составлению плана (программы)
финансового оздоровления". В плане финансового оздоровления, как правило,
содержатся перечень, экономические обоснования и сроки исполнения мероприятий,
направленных на улучшение финансового состояния и предотвращение банкротства
организации, с учетом предоставления права на реструктуризацию кредиторской
задолженности по платежам в федеральный бюджет и (или) государственные
внебюджетные фонды.
В план финансового оздоровления
могут включаться соответствующие законодательству Российской Федерации, а также
финансовым и технологическим возможностям организации мероприятия,
обеспечивающие финансовое оздоровление организации по итогам его реализации.
Общий срок реализации мероприятий,
предусмотренных планом финансового оздоровления, обосновывается исходя из
результатов анализа финансового состояния организации с учетом выявленных в
ходе данного анализа внутренних и внешних ресурсов, а также характера
предлагаемых мер по восстановлению платежеспособности. Рекомендуется, чтобы
общий срок реализации мероприятий не превышал 10 лет. В Методических
рекомендациях предлагается рекомендуемая структура плана финансового
оздоровления и общие сведения об особенностях расчета коэффициентов,
характеризующих финансово-хозяйственную деятельность организации.
2. Анализ финансового состояния
ОАО «Томскнефтегаз»
2.1 Экспресс-оценка финансового
состояния организации и ее имущественного потенциала
Цель экспресс-анализа - обобщенная
оценка результатов хозяйственной деятельности и финансового состояния объекта.
В общем виде, методикой экспресс-анализа предусматривается анализ ресурсов и их
структуры, результатов хозяйствования, эффективности использования заёмных и
собственных средств.
Таблица 2.1-Оценка финансового
состояния методом экспресс-анализа
|
Наименование
|
На 31.12.09
|
На 31.12.10
|
На 31.12.11
|
Средний темп прироста
|
Норма коэффи- циента
|
|
|
|
|
|
|
|
Коэффициент текущей ликвидности
|
11,90
|
9,50
|
8,33
|
-16
|
>=2
|
|
|
|
|
|
|
|
Коэффициент обеспеченности текущих активов собственного
оборотного капитала
|
0,80
|
0,82
|
0,81
|
-0,5
|
>=0,3
|
|
|
|
|
|
|
|
|
|
|
|
|
|
Коэффициент оборачиваемости оборотных средств
|
0,00
|
1,37
|
1,34
|
-5,0
|
>2
|
|
|
|
|
|
|
|
Коэффициент рентабельности
|
0,00
|
0,25
|
0,28
|
0,05
|
>0,2
|
|
|
|
|
|
|
Вывод: Коэффициент текущей
ликвидности показывает в какой степени предприятие может погасить свои
краткосрочные обязательства имеющимися денежными средствами, финансовыми
вложениями и дебиторской задолженностью. За 3 года тенденция коэффициента
текущей ликвидности идет на спад, следовательно, платежеспособность предприятия
ухудшается. Этот коэффициент учитывает, что не все активы можно реализовать в
срочном порядке.
Коэффициент обеспеченности текущих
активов СОК показывает, в какой степени все текущие активы обеспечены
оборотными активами, т.е. какую долю текущих обязательств предприятие сможет
оплатить. Предприятие вполне обеспеченно оборотными активами. За 3 года
тенденция этого коэффициента изменялась незначительно.
Коэффициент оборачиваемости
оборотных средств показывает скорость оборота всех оборотных ресурсов
предприятия, т.е. на 1 руб приходится 1,37 руб оборотных средств в 2010 г и
1,34руб оборотных средств 2011г. Наблюдается негативная тенденция.
Коэффициент рентабельности отражает
степень эффективности использования материальных, трудовых и денежных ресурсов.
Данное предприятие эффективно использует свои ресурсы.
Под понятием «имущество организации»
подразумеваются основные и оборотные средства, а также иные ценности, стоимость
которых отражается в балансе организации.
Таблица 2.2-Анализ динамики
стоимости имущества организации и источников его формирования за 2009-2011гг.
|
Наименование статей бухгалтерского баланса
|
На 31.12.09
|
На 31.12.10
|
На 31.12.11
|
Изменение (+; -), тыс.руб
|
Средний темп прироста %
|
|
|
|
|
2010 к 2009
|
2011 к 2010
|
2011 к 2009
|
|
|
АКТИВ
|
|
|
|
|
|
|
|
|
1. Внеоборотные активы, всего
|
744329696
|
959051846
|
1090811080
|
214722150
|
131759234
|
346481384
|
21,1
|
|
Нематериальные активы
|
268537
|
256147
|
326257
|
-12390
|
70110
|
57720
|
10,2
|
|
Результаты исследований и разработок
|
101394
|
127943
|
130037
|
26549
|
2094
|
28643
|
13,2
|
|
Основные средства, всего
|
474754640
|
470312813
|
517887371
|
-4441827
|
47574558
|
43132731
|
4,4
|
|
из них: здания, машины, оборудование и другие основные средства,
кроме земельных участков, объектов природопользования и незавершенных
капитальных вложений
|
442103385
|
446946250
|
493016304
|
4842865
|
46070054
|
50912919
|
5,6
|
|
Доходные вложения в материальные ценности
|
55673
|
64269
|
58539
|
8596
|
-5730
|
2866
|
2,5
|
|
Финансовые вложения, всего
|
255139994
|
474423594
|
557131414
|
219283600
|
82707820
|
301991420
|
47,8
|
|
из них: прочие финансовые вложения, кроме инвестиций в
организации и предоставленных займов
|
124637923
|
324775108
|
450517337
|
200137185
|
125742229
|
325879414
|
90,1
|
|
Отложенные налоговые активы
|
1079447
|
1128235
|
1705952
|
48788
|
577717
|
626505
|
25,7
|
|
Прочие внеоборотные активы
|
12930011
|
12729845
|
13571510
|
-200166
|
841665
|
641499
|
2,5
|
|
2. Оборотные активы, всего
|
526635807
|
430483202
|
562571135
|
-96152605
|
132087933
|
35935328
|
3,4
|
|
Запасы
|
44878934
|
48973216
|
56715719
|
4094282
|
7742503
|
11836785
|
12,4
|
|
НДС по приобретенным ценностям
|
3486005
|
3466410
|
3792701
|
-19595
|
326291
|
306696
|
4,3
|
|
Дебиторская задолженность
|
76396390
|
92563729
|
128316187
|
16167339
|
35752458
|
51919797
|
29,6
|
|
Финансовые вложения (за исключением денежного эквивалента)
|
357834090
|
266758317
|
355909116
|
-91075773
|
89150799
|
-1924974
|
-0,3
|
|
из них: числе прочие финансовые вложения, кроме инвестиций в
организации и предоставленных займов
|
356631590
|
264379382
|
355904796
|
-92252208
|
91525414
|
-726794
|
-0,1
|
|
Денежные средства и денежные эквиваленты
|
42356119
|
17926291
|
16030789
|
-24429828
|
-1895502
|
-26325330
|
-38,5
|
|
Прочие оборотные активы
|
1684269
|
795239
|
1806623
|
-889030
|
1011384
|
122354
|
3,6
|
|
ПАССИВ
|
|
|
|
|
|
|
|
|
3. Капитал и резервы
|
1200885359
|
1313249952
|
1547080752
|
112364593
|
233830800
|
346195393
|
13,5
|
|
Уставный капитал (складочный капитал, уставный фонд, вклады
товарищей)
|
43427993
|
43427993
|
43427993
|
0
|
0
|
0
|
0,0
|
|
Собственные акции, выкупленные у акционеров
|
-
|
-
|
-
|
-
|
-
|
-
|
-
|
|
Переоценка внеоборотных активов
|
395665566
|
399637434
|
422397782
|
3971868
|
22760348
|
26732216
|
3,3
|
|
Добавленный капитал (без переоценки)
|
192511786
|
192511786
|
192511786
|
0
|
0
|
0
|
0,0
|
|
Резервный капитал
|
6514198
|
6514198
|
6514198
|
0
|
0
|
0
|
0,0
|
|
Нераспределенная прибыль (непокрытый убыток)
|
562765816
|
671158541
|
882228993
|
108392725
|
211070452
|
319463177
|
25,2
|
|
4. Долгосрочные обязательства
|
16691683
|
21073250
|
28913579
|
4381567
|
7840329
|
12221896
|
31,6
|
|
Заемные средства
|
-
|
-
|
-
|
-
|
-
|
-
|
-
|
|
Отложенные налоговые обязательства
|
16691683
|
21073250
|
28913576
|
4381567
|
7840326
|
12221893
|
31,6
|
|
Оценочные обязательства
|
-
|
-
|
-
|
-
|
-
|
-
|
-
|
-
|
-
|
-
|
-
|
-
|
-
|
-
|
|
5. Краткосрочные обязательства
|
53388461
|
55211846
|
77387884
|
1823385
|
22176038
|
23999423
|
20,4
|
|
Заемные средства
|
|
508374
|
139666
|
508374
|
-368708
|
139666
|
|
|
Кредиторская задолженность
|
44181031
|
45173239
|
67463606
|
992208
|
22290367
|
23282575
|
23,6
|
|
Доходы будущих периодов
|
1746711
|
1456103
|
1159160
|
-290608
|
-296943
|
-587551
|
-18,5
|
|
Оценочные обязательства
|
7074251
|
7706902
|
8131674
|
632651
|
424772
|
1057423
|
7,2
|
|
Прочие обязательства
|
386468
|
367228
|
493778
|
-19240
|
126550
|
107310
|
13,0
|
|
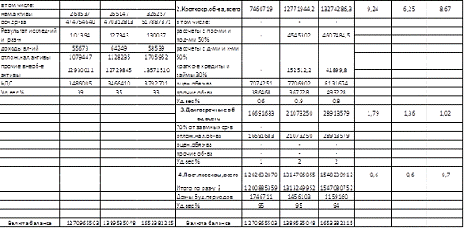
ВАЛЮТА БАЛАНСА
|
1270965503
|
1389535048
|
1653382215
|
118569545
|
263847167
|
382416712
|
14,1
|
Вывод: Актив бухгалтерского баланса
позволяет дать общую оценку изменения всего имущества предприятия.
Прирост внеоборотных активов
указывает на расширение деятельности. В составе внеоборотных активов имеет
место увеличение стоимости всех видов имущества. Прирост основных средств стал
результатом развития материально-технической базы предприятия.
Т.к. выручка увеличилась,
следовательно, увеличение активов рационально. Увеличение нематериальных
активов свидетельствует о развитии инновационной деятельности.
А вот оборотные активы снизили свой
темп прироста, это обусловлено уменьшением материально-производственных запасов
финансовых вложений.
Дебиторская задолженность возросла,
однако доля средств в расчетах снизилась. Увеличение дебиторской задолженности
может быть результатом увеличения товарных ссуд, появления просроченной
задолженности.
В ходе анализа установлено, что на
начало периода ВА=58% и ОА=42%. В составе ВА наибольшую часть занимают ОС=37%,
а в составе ОА - ФинВ=8% и ДЗ=6%.
На конец: ВА=65%, ОС=31%, ОА=34%,
ФинВ=21%, ДЗ=7%.
Таблица 2.3-Анализ структуры
имущества организации и источников его формирования за 2009-2011гг.
|
Наименование статей бухгалтерского баланса
|
На 31.12.09
|
На 31.12.10
|
На 31.12.11
|
Изменение удельного веса, %
|
|
тыс.руб.
|
уд.вес %
|
тыс.руб.
|
уд.вес %
|
тыс.руб.
|
уд.вес %
|
2011 к 2010
|
2011 к 2009
|
|
АКТИВ
|
|
|
|
|
|
|
|
|
|
1. Внеоборотные активы, всего
|
744329696
|
58,56
|
959051846
|
69,02
|
1090811080
|
65,97
|
-3,05
|
7,41
|
|
Нематериальные активы
|
268537
|
0,02
|
256147
|
0,02
|
326257
|
0,02
|
0,00
|
0,00
|
|
Результаты исследований и разработок
|
101394
|
0,01
|
127943
|
0,01
|
130037
|
0,01
|
0,00
|
0,00
|
|
Основные средства, всего
|
474754640
|
37,35
|
470312813
|
33,85
|
517887371
|
31,32
|
-2,52
|
-6,03
|
|
из них: здания, машины, оборудование и другие основные средства,
кроме земельных участков, объектов природопользования и незавершенных капитальных
вложений
|
442103385
|
34,78
|
446946250
|
32,17
|
493016304
|
29,82
|
-2,35
|
-4,97
|
|
Доходные вложения в материальные ценности
|
55673
|
0,00
|
64269
|
0,00
|
58539
|
0,00
|
0,00
|
0,00
|
|
Финансовые вложения, всего
|
255139994
|
20,07
|
474423594
|
34,14
|
557131414
|
33,70
|
-0,45
|
13,62
|
|
из них: прочие финансовые вложения, кроме инвестиций в
организации и предоставленных займов
|
124637923
|
9,81
|
324775108
|
23,37
|
450517337
|
27,25
|
3,88
|
17,44
|
|
Отложенные налоговые активы
|
1079447
|
0,08
|
1128235
|
0,08
|
1705952
|
0,10
|
0,02
|
0,02
|
|
Прочие внеоборотные активы
|
12930011
|
1,02
|
12729845
|
0,92
|
13571510
|
0,82
|
-0,10
|
-0,20
|
|
2. Оборотные активы, всего
|
526635807
|
41,44
|
430483202
|
30,98
|
562571135
|
34,03
|
3,05
|
-7,41
|
|
Запасы
|
44878934
|
3,53
|
48973216
|
3,52
|
56715719
|
3,43
|
-0,09
|
-0,10
|
|
НДС по приобретенным ценностям
|
3486005
|
0,27
|
3466410
|
0,25
|
3792701
|
0,23
|
-0,02
|
-0,04
|
|
Дебиторская задолженность
|
76396390
|
6,01
|
92563729
|
6,66
|
128316187
|
7,76
|
1,10
|
1,75
|
|
Финансовые вложения (за исключением денежного эквивлента)
|
357834090
|
28,15
|
266758317
|
19,20
|
355909116
|
21,53
|
2,33
|
-6,63
|
|
из них: прочие финансовые вложения, кроме инвестиций в
организации и предоставленных займов
|
356631590
|
28,06
|
264379382
|
19,03
|
355904796
|
21,53
|
2,50
|
-6,53
|
|
Денежные средства и денежные эквиваленты
|
42356119
|
3,33
|
17926291
|
1,29
|
16030789
|
0,97
|
-0,32
|
-2,36
|
|
Прочие оборотные активы
|
1684269
|
0,13
|
795239
|
0,06
|
1806623
|
0,11
|
0,05
|
-0,02
|
|
ПАССИВ
|
|
|
|
|
|
|
|
|
|
3. Капитал и резервы,всего
|
1200885359
|
94,49
|
1313249952
|
94,51
|
1547080752
|
93,57
|
-0,94
|
-0,92
|
|
Уставный капитал (складочный капитал, уставный фонд, вклады товарищей)
|
43427993
|
3,42
|
43427993
|
3,13
|
43427993
|
2,63
|
-0,50
|
-0,79
|
|
Собственные акции, выкупленные у акционеров
|
-
|
-
|
-
|
-
|
-
|
-
|
-
|
-
|
|
Переоценка внеоборотных активов
|
395665566
|
31,13
|
399637434
|
28,76
|
422397782
|
25,55
|
-3,21
|
-5,58
|
|
Добавленный капитал (без переоценки)
|
192511786
|
15,15
|
192511786
|
13,85
|
192511786
|
11,64
|
-2,21
|
-3,50
|
|
Резервный капитал
|
6514198
|
0,51
|
6514198
|
0,47
|
6514198
|
0,39
|
-0,07
|
-0,12
|
|
Нераспределенная прибыль (непокрытый убыток)
|
562765816
|
44,28
|
671158541
|
48,30
|
882228993
|
53,36
|
5,06
|
9,08
|
|
4. Долгосрочные обязательства, всего
|
16691683
|
1,31
|
21073250
|
1,52
|
28913579
|
1,75
|
0,23
|
0,44
|
|
Заемные средства
|
-
|
-
|
-
|
-
|
-
|
-
|
-
|
-
|
|
Отложенные налоговые обязательства
|
16691683
|
1,31
|
21073250
|
1,52
|
1,75
|
0,23
|
0,44
|
|
Оценочные обязательства
|
-
|
-
|
-
|
-
|
-
|
-
|
-
|
-
|
|
Прочие обязательства
|
-
|
-
|
-
|
-
|
-
|
-
|
-
|
-
|
|
5. Краткосрочные обязательства, всего
|
53388461
|
4,20
|
55211846
|
3,97
|
77387884
|
4,68
|
0,71
|
0,48
|
|
Заемные средства
|
|
|
508374
|
0,04
|
139666
|
0,01
|
-0,03
|
|
|
Кредиторская задолженность
|
44181031
|
3,48
|
45173239
|
3,25
|
67463606
|
4,08
|
0,83
|
0,60
|
|
Доходы будущих периодов
|
1746711
|
0,14
|
1456103
|
0,10
|
1159160
|
0,07
|
-0,03
|
-0,07
|
|
Оценочные обязательства
|
7074251
|
0,56
|
7706902
|
0,55
|
8131674
|
0,49
|
-0,06
|
-0,06
|
|
Прочие обязательства
|
386468
|
0,03
|
367228
|
0,03
|
493778
|
0,030
|
0,003
|
-0,001
|
|
ВАЛЮТА БАЛАНСА
|
1270965503
|
100
|
1389535048
|
100
|
1653382215
|
100
|
|
|
Вывод: Увеличение валюты баланса в
период за 3 года свидетельствует об увеличении хозяйственного оборота, что
могло повлечь увеличение платежеспособности. Установление данного факта говорит
о том, что предприятие расширяется:
. увеличение
платежеспособного спроса на товары и услуги данной организации,
. неограниченный доступ на
рынки необходимого сырья и материалов
Исследование структуры пассива
баланса позволяет установить одну из причин финансовой неустойчивости
организации. Увеличение доли собственных средств - способность усиленного
финансирования устойчивости организации.
Исследования изменения структуры
активов организации позволяют получить следующую информацию:
. формирование более
мобильной структуры активов, способностей ускорения оборачиваемости средств
организации.
. отвлечение части текущих
активов на кредитование потребителей готовой продукции, товаров, работ, услуг.
Отсутствие долгосрочных финансовых
вложений указывает на отсутствие инвестиционной направленности вложений
организации.
При изменении основных средств,
можно опираться на воздействие внешних факторов.
Наличие в составе организации
нематериальных активов, характеризует стратегию организации как инновационную,
так как она вкладывает средства в патенты, лицензии и др.
Рост оборотных активов может
свидетельствовать не только о расширении производства, но и замедлении их
оборота, это объективно вызывает потребность в увеличении их массы.
Увеличение производственных запасов
может говорить о:
. наращивании
производственного потенциала.
. защита денежных активов от
инфляции.
.2 Анализ платежеспособности
организации
Одним из показателей,
характеризующих финансовое состояние предприятия, является его
платежеспособность, т.е. возможность наличными денежными ресурсами своевременно
погасить свои платежные обязательства.
Платежеспособность оказывает
положительное влияние на выполнение производственных планов и обеспечение нужд
производства необходимыми ресурсами. Поэтому платежеспособность как составная
часть хозяйственной деятельности направлена на обеспечение планомерного
поступления и расходования денежных ресурсов, выполнение расчетной дисциплины,
достижение рациональных пропорций собственного и заемного капитала и наиболее
эффективного его использования.
Чтобы выжить в условиях рыночной
экономики и не допустить банкротства предприятия, нужно хорошо знать, как
управлять финансами, какой должна быть структура капитала по составу и
источникам образования, какую долю должны занимать собственные средства, а
какую - заемные.
Главная цель анализа
платежеспособности - своевременно выявлять и устранять недостатки в финансовой
деятельности и находить резервы улучшения платежеспособности.
Таблица 2.4-Анализ
платежеспособности организации
На основе показателей таблицы 2.4
можно сказать, что баланс предприятия считается абсолютно ликвидным т.к
ВЛА>НСО - выполняется, БРА>КО - выполняется, МРА>ДО - выполняется,
ТРА<ПП - выполняется
Выполнение четвертого неравенства
обязательно при выполнение первых, поскольку ВЛА+БРА+МРА+ТРА=НСО+КО+ДО+ПП.
Теоретически это означает, что у предприятия соблюдается минимальный уровень
финансовой устойчивости, т.е. имеются собственные оборотные средства, а следовательно
и возможность погасить свои обязательства. Наряду с абсолютными показателями
для оценки ликвидности и платежеспособности предприятия рассчитывают
относительные показатели: коэффициент общей ликвидности, коэффициент
промежуточной ликвидности, коэффициент критической ликвидности и коэффициент
срочной ликвидности.
Таблица 2.5-Анализ коэффициентов
характеризующих платежеспособность организации за 2009-2011гг.
|
Коэффициенты
|
2009
|
2010
|
2011
|
Изменение "+", "-"
|
Ср. темп прироста
|
Норма
|
|
|
|
|
2010-2009
|
2011-2010
|
2011-2009
|
|
|
|
1.Коэффициент общей ликвидности
|
18,1
|
18,2
|
15,6
|
0,1
|
-2,7
|
-2,6
|
-7,4
|
>3
|
|
2. Коэффициент промежуточной ликвидности
|
8,3
|
6,0
|
5,5
|
-2,3
|
-0,5
|
-2,8
|
-18,5
|
1…1,5
|
|
3. Коэффициент критической ликвидности
|
8,9
|
6,8
|
6,5
|
-2,1
|
-0,4
|
-2,5
|
-14,9
|
0,7…1
|
|
4.Коэфициент срочной ликвидности
|
79,3
|
32,5
|
20,7
|
-46,9
|
-11,8
|
-58,6
|
-48,9
|
>20%
|
Исходя из полученных данных можно
сделать следующие выводы. С каждым годом коэффициент общей ликвидности
уменьшается, что говорит о том что количество обязательств, которые предприятие
сможет покрыть при продаже всех своих активов, уменьшается. Но при этом
показатели абсолютно соответствуют норме. Так же уменьшается и часть
краткосрочных обязательств, которую предприятие смогло бы погасить при
реализации запаса материальных ценностей. Однако в норму показатели
укладываются. Коэффициент критической ликвидности превышает норму.
Следовательно, предприятие спокойно сможет погасить часть краткосрочных
обязательств при условии своевременных расчетов с дебиторами и успешной
реализацией ценных бумаг. Коэффициент, рассчитанный за период с 2009 по 2011
года показывает, что у предприятия достаточно денежных средств, чтобы погасить
часть краткосрочных обязательств.
Из выше сказанного, можно сказать,
что у предприятия хватает ресурсов, чтобы погасить свои краткосрочные
обязательства
2.3 Анализ финансовой
устойчивости организации
Коэффициент автономии показывает, в
какой степени организация использует активы, сформированные за счет
собственного капитала. Коэффициент обеспеченности текущих активов СОК
показывает, какую часть оборотных активов организация приобретает за счет
собственных источников.
Коэффициент обеспеченности запасов
СОК показывает, какую часть запасов и материальных ценностей организация
приобретает за счет собственных средств.
Для внешнего анализа используется
методика анализа финансовой устойчивости при помощи абсолютных показателей
баланса. При применении этой методики рассчитывается 3 показателя: СОК, ДП, СИФ
Затем каждый показатель сравнивается
с величиной запасов из бухгалтерского баланса. СОК,ДП,СИФ > Запасы
Таблица 2.6 -Коэффициенты финансовой
устойчивости предприятия
|
Наименование
|
2009 г
|
2010 г
|
2011 г
|
Группа финансовой устойчивости
|
|
|
|
|
2009 г
|
2010 г
|
2011 г
|
|
Коэффициент независимости
|
1,61
|
1,37
|
1,42
|
I
|
III
|
II
|
|
Коэффициент обеспеченности текущих активов СОКом
|
0,87
|
0,82
|
0,81
|
I
|
I
|
I
|
|
Коэффициент обеспеченности запасов СОК
|
10,17
|
7,23
|
8,04
|
-
|
-
|
-
|
Факторный анализ коэффициента
запасов СОК
Факторный анализ коэффициента
автономии
Таблица 2.7
Абсолютные показатели финансового
баланса
|
Показатели
|
2009 г
|
2010 г
|
2011 г
|
|
СОК
|
456555663
|
354198106
|
456269672
|
|
ДП
|
473247346
|
375271356
|
485183251
|
|
СИФ
|
526635807
|
430483202
|
562571135
|
|
Запасы
|
44878934
|
48973216
|
56715719
|
Итак, после проведённого
исследования можно сделать вывод, что организация считается абсолютно
устойчивым, финансовая устойчивость организации оценивается путём сопоставления
имеющегося объёма запасов и величины источников, необходимых для их формирования.
Источниками формирования являются собственный оборотный капитал, постоянный
капитал и суммарные источники финансирования запасов. Как было выяснено по ходу
работы, оценку и анализ устойчивости организации в динамике необходимо
проводить одновременно и с помощью расчёта коэффициентов обеспеченности запасов
источниками их формирования.
Анализ финансовой устойчивости
предприятия позволяет понять:
насколько организация является
независимой с финансовой точки зрения;
является ли финансовое положение организации
устойчивым.
Следует заметить, что большое
влияние на финансовую устойчивость предприятия оказывают средства,
дополнительно мобилизуемые на рынке ссудных капиталов. Чем больше денежных
средств может привлечь организация, тем выше её финансовые возможности, однако
возрастает и финансовый риск - способна ли будет организация своевременно
расплачиваться со своими кредиторами.
Определение стратегии финансирования
имущества предприятия.


год 2010год 2011год
Агрессивная стратегия финансирования
состоит в том, что не только переменная часть оборотных средств, но и некоторая
доля переменной части оборотных средств финансируется за счет краткосрочных
кредитов и займов.
Для того чтобы определить основные
причины низкой финансовой устойчивости коммерческой организации изучают
динамику и структуру собственного капитала.
.4 Анализ деловой и
инвестиционной активности организации
Таблица 2.8-Динамика и структура
собственного капитала
Анализ собственного капитала имеет
следующие основные цели: выявить основные источники формирования собственного
капитала и определить последствия их изменений для финансовой устойчивости
предприятия; определить правовые, договорные и финансовые ограничения в
распоряжении текущей и нераспределенной прибылью; оценить приоритетность прав
на получение дивидендов; выявить приоритетность прав собственников при
ликвидации предприятия.
Анализ состава статей собственного
капитала позволяет выявить его основные функции: обеспечения непрерывности
деятельности; гарантии защиты капитала кредиторов и возмещения убытков; участия
в распределении полученной прибыли; участия в управлении предприятием.
В отличие от иных видов источников
образования активов определенная часть собственного капитала, а именно уставный
капитал, представляя собой стабильную неизменную величину, обеспечивает
предприятию юридическую возможность существования. Так, обязательным условием
функционирования предприятия является сохранение уставного капитала на уровне
не ниже предусмотренной законодательством минимальной величины.
Особое место в реализации функции
гарантии защиты кредиторов занимает резервный капитал, главное назначение
которого состоит в покрытии возможных убытков и снижении риска кредиторов в
случае ухудшения экономической конъюнктуры. Чем больше резервный капитал, тем
большая сумма убытков может быть компенсирована и тем большую свободу маневра
получает руководство предприятия в принятии мер по преодолению убытков.
Накопленный капитал находит свое
отражение в виде статей, возникающих в результате распределения чистой прибыли
(резервный капитал, фонд накопления, нераспределенная прибыль, иные аналогичные
статьи).
Капитал данной организации в основе
своей держится на накопленном капитале.
2.4 Анализ деловой и инвестиционной
активности организации
Деловая активность-способность
организации обеспечить поступательные темпы роста и прироста, основных
финансово-экономических показателей, характеризует эффективность использования
имущества организации, за счет мобилизации выявленных внутрихозяйственных
резервов.
Таблица 2.9-Состав и структура
основных средств
|
Показатель
|
на начало 2011
|
на конец 2011
|
изменение уд. Вес %
|
|
тыс. руб
|
уд. вес %
|
тыс. руб
|
уд. вес %
|
тыс. руб
|
уд. вес %
|
|
1. Основные средства
|
1563756256
|
100,000
|
1790795713
|
100
|
227039457
|
100
|
|
в том числе:
|
|
|
|
|
|
|
|
земельные участки и объекты природопользования
|
227021
|
0,01
|
348900
|
0,02
|
121879
|
0,005
|
|
здания
|
120867629
|
7,73
|
143707040
|
8,02
|
22839411
|
0,30
|
|
сооружения и передаточные устройства
|
1104321581
|
70,62
|
1277125345
|
71,32
|
172803764
|
0,70
|
|
машины и оборудование
|
301498309
|
19,28
|
330479359
|
18,45
|
28981050
|
-0,83
|
|
транспортные средства
|
33185444
|
2,12
|
35339613
|
1,97
|
2154169
|
-0,15
|
|
производственный и хозяйственный инвентарь
|
3292257
|
0,21
|
2424554
|
0,14
|
-867703
|
-0,08
|
|
другие виды основных средств
|
364015
|
0,023
|
370902
|
0,021
|
6887
|
-0,003
|
|
2. Учтено в составе доходных вложений в материальные
ценности-всего
|
67609
|
0,0043
|
63058
|
0,0035
|
-4551
|
-0,0008
|
|
в том числе:
|
|
|
|
|
|
|
|
имущество, предоставляемое во временное пользование
|
67609
|
0,0043
|
63058
|
0,0035
|
-4551
|
-0,0008
|
|
Незавершенное строительство и незаконченные операции по
приобретению, модернизации
|
23139542
|
1,48
|
24522167
|
1,37
|
1382625
|
-0,11
|
|
в том числе:
|
|
|
|
|
|
|
|
оборудование, требующие монтажа
|
1807058
|
0,12
|
3466208
|
0,19
|
1659150
|
0,08
|
|
приобретение земельных участков и объектов природопользования
|
13970
|
0,0009
|
2497
|
0,0001
|
-11473
|
-0,0008
|
|
приобретение основных средств
|
726326
|
0,05
|
116490
|
0,01
|
-609836
|
|
3. незавершенное строительство, в том числе собственное
изготовление основных средств
|
20380137
|
1,30
|
20578757
|
1,15
|
198620
|
-0,15
|
|
авансы, выданные под строительство
|
212051
|
0,01
|
358215
|
0,02
|
146164
|
0,01
|
|
4. ОС
|
|
|
|
|
|
|
|
Непроизводственные ОС
|
1285313134
|
82,19
|
1483951950
|
82,87
|
198638816
|
0,67
|
|
Производственные ОС
|
324789815
|
20,8
|
355014213
|
19,8
|
30224398
|
-0,9
|
Исходя из данных таблицы 2.8 -
Состав и структура основных средств, можно сказать, что организация большую
часть денежный средств вложила в сооружения и передаточные устройства, машины и
оборудования, здания, земельные участки, транспортные средства которые в
будущем могут сдаваться в аренду с выгодой для себя как дополнительный доход.
По все вероятности производство расширяется, закупается более новое
оборудование. Однако происходит и частичная ликвидация, так как приобретение
основных средств снизилась.
Таблица 2.9 -Анализ эффективности
использования оборотных средств
Эффективность использования основных
средств приобретает большое значение в условиях перехода к рыночной экономике.
При улучшении их использования предприятие может не изменять материально -
техническую базу увеличить выпуск продукции, что способствует сокращению
себестоимости и, следовательно, увеличение прибыли. Для оценки эффективности
использования основных фондов применяются такие показатели как фондоотдача,
фондоемкость, фондовооруженность и производительность труда. Основные фонды -
это один из видов производственных ресурсов. Оценка эффективности их использования
основана на применении общей для всех видов ресурсов технологии оценки, которая
предполагает расчет и анализ показателей отдачи и емкости.
Показатели отдачи характеризуют
выход готовой продукции на 1 руб. ресурсов.
Показатели емкости характеризуют
затраты или запасы ресурсов на 1 руб. выпуска продукции. Под запасами продукции
понимается объем ресурсов на отчетную дату по балансу, под затратами - текущие
расходы ресурсов, в частности по основным средствам - амортизация.
При сопоставлении запасов ресурсов с
объемом выручки за отчетный период следует рассчитывать среднюю величину
запасов за тот же период.
Обобщающим показателем эффективности
использования основных фондов является фондоотдача. Фондоотдача основных фондов
определяется как отношение стоимости произведенной продукции к среднегодовой
стоимости основных фондов. Фондоотдача показывает, сколько продукции
произведено в анализируемом периоде на 1 руб. стоимости основных фондов.
При расчете фондоотдачи в стоимости
основных средств учитываются собственные и арендованные средства, не
учитываются основные средства, находящиеся на консервации, а также сданные в
аренду другим организациям.
При оценке динамики фондоотдачи
исходные данные приводят в сопоставимый вид. Объем продукции следует
скорректировать на изменение оптовых цен и структурных сдвигов, а стоимость
основных средств переоценить по текущей (восстановительной) стоимости.
Повышение фондоотдачи основных
фондов при прочих равных условиях приводит к снижению суммы амортизационных
отчислений, приходящейся на 1 руб. готовой продукции и соответственно
способствует повышению доли прибыли в цене товара.
Другим показателем эффективности
использования основных фондов является фондоемкость, которая определяется
отношением средней стоимости основных фондов к объему выпуска продукции
(показатель, обратный фондоотдаче).
Особый смысл приобретают расчет и
оценка фондоемкости в динамике. Изменение фондоемкости показывает прирост или
снижение (стоимости)основных фондов на 1 руб. продукции и применяется при
определении суммы относительной экономии или перерасхода средств в основных
фондах.
Соотношение темпов прироста
стоимости основных фондов и темпов прироста объема выпуска позволяет определить
предельный показатель фондоемкости, т.е. прирост основных фондов на 1% прироста
продукции. Если предельный показатель фондоемкости меньше единицы, имеют место
повышение эффективности использования основных фондов и рост использования
производственных мощнотей.
Рост фондоотдачи обусловлен
превышением темпов роста объема выпуска продукции над темпами роста
среднегодовой стоимости оборудования.
Фондоотдача - количество продукции,
созданной при использовании основных фондов. Фондоотдача по ПЧ измеряется
количеством приведенной продукции, приходящейся на один рубль основных
производственных фондов
Инвестиционная
активность-способность организации, осуществлять финансирование и реализацию
реальных и финансовых инвестиционных проектов за счет собственных и заёмных
источников финансирования, а также с участием государства.
Таблица 2.10-Анализ инвестиционной
активность по уровню доходов и финансовых расходов
Планирование инвестиционной
деятельности является одной из основных задач финансового планирования, которое
должно обеспечить согласование долгосрочных целей предприятия и использование
ресурсов, направляемых на достижение целей. Инвестиционная деятельность
предприятия связана с затратами, которые предприятие должно понести на данный
момент времени для положительного эффекта в будущем. Общая сумма доходов
организации превышает общую сумму расходов, и большую часть прибыли предприятие
имеет с инвестиционной деятельность. По всей видимости, организация вкладывает
инвестиции для развития производства, в дочерние и зависимые общества, уставные
капиталы других организаций, депозиты.
Таблица 2.11-Динамика показателей
инвестиционной активности за 2009-2011 гг.
|
Показатель
|
2009
|
2010
|
2011
|
средний темп прироста,%
|
|
|
тыс.руб
|
изменение цены
|
тыс.руб
|
изменение цены
|
|
|
|
|
абс.
|
отн.
|
|
абс.
|
отн.
|
|
|
Доходные вложения в материальные ценности
|
55673
|
64269
|
8596
|
0,00024
|
58539
|
-5730
|
-0,001
|
2,54
|
|
|
|
|
|
|
|
|
|
|
|
|
|
|
|
|
|
|
|
Долгосрочные обязательства
|
16691683
|
21073250
|
4381567
|
0,203
|
28913579
|
7840329
|
0,232
|
31,61
|
|
|
|
|
|
|
|
|
|
|
Краткосрочные обязательства
|
53388461
|
55211846
|
1823385
|
-0,227
|
77387884
|
22176038
|
0,707
|
20,40
|
|
|
|
|
|
|
|
|
|
|
Валюта баланса
|
1270965503
|
1389535048
|
|
|
1653382215
|
|
|
|
Исходя из выше приведенных данных,
можно сделать следующие выводы. С каждым годом у предприятия растут
долгосрочные обязательства, задолженность организации по кредитам и займам
увеличивается. К долгосрочным обязательствам также относятся отложенные
налоговые обязательства. Оценивая финансовое состояние организации, имеющей
долгосрочные заимствования, нельзя сказать, что их наличие является
отрицательным. Кроме того, долгосрочные обязательства могут быть приравнены к
собственным средствам. Также учитывая инфляционные процессы, можно считать, что
наличие долгосрочных обязательств является выгодным фактором для организации,
так как их реальная стоимость в момент получения существенно отличается от
стоимости в момент оплаты. Также увеличились в размере и краткосрочные
обязательства организации. Это скорее минус чем плюс, так как расчет по
краткосрочным обязательством составляет не больше 12 месяцев.
Таблица 2.12-Структура
инвестиционных вложений организации.
Большую часть в инвестиционной
структуре в период 2009-2011 занимает краткосрочные финансовые вложения.
отражают инвестиции предприятия в ценные бумаги других предприятий, в
облигации, а также предоставленные займы на срок не более года. В системе
финансового менеджмента покупка этих ценных бумаг (государственных или частных)
производится не с целью завоевания рынков сбыта или распространения влияния на
другие компании, а в интересах выгодного помещения временно свободных денежных
средств. Эти вложения делаются компаниями на период, в течение которого не
потребуются денежные средства для погашения текущих обязательств или других
текущих платежей. Условием эффективности размещения таких средств является
реализуемость этих ценных бумаг, что требует наличия достаточно емкого рынка
для их продажи в любой требуемый момент.
Так же для анализа инвестиционной
активности используются следующие коэффициенты:
Таблица 2.13-Коэффициенты
инвестиционной активности
Коэффициент R инвестиций показывает,
сколько денежных единиц потребовалось для получения одной денежной единицы
прибыли. Этот показатель является одним из наиболее важных индикаторов конкурентоспособности
и инвестиционной привлекательности. Следовательно, чтобы получить 1 руб.
прибыли мы затратим 4.23 руб.
Коэффициент инвестиционной
деятельности показывает, сколько капитала предприятие вложило в инвестирование.
Коэффициент инвестиционной активности характеризует инвестиционную активность и
определяет объем средств, направленных организацией на модификацию и
усовершенствование собственности и на финансовые вложения в другие организации.
Неоправданно низкие или слишком высокие значения данного показателя могут
свидетельствовать о неправильной стратегии развития организации или
недостаточном контроле собственников организации за деятельностью менеджмента.
Таблица 2.14- Расчет и анализ
показателей эффективности использования оборотных средств
Большое влияние на состояние
оборотных активов оказывает их оборачиваемость. От этого зависит не только
размер минимально необходимых для хозяйственной деятельности оборотных средств,
но и размер затрат, связанных с владением и хранением запасов и т.д. В свою
очередь это отражается на себестоимости продукции и в конечном итоге на
финансовых результатах предприятия. Все это обуславливает необходимость
постоянного контроля за оборотными активами и анализа их оборачиваемости.
Эффективность использования
оборотных активов характеризуется системой экономических показателей, прежде
всего оборачиваемостью оборотных средств. Отдельные виды текущих активов
предприятия имеют различную скорость оборота. Показатели оборачиваемости отражают
структуру оборотных активов предприятия и зависят от их видов, запасов
товарно-материальных -ценностей, дебиторской задолженности.
Под оборачиваемостью оборотных
средств понимается длительность одного полного кругооборота средств с момента
превращения оборотных средств в денежной форме в производственные запасы и до
выхода готовой продукции и ее реализации. Кругооборот средств завершается
зачислением выручки на счет предприятия.
Оборачиваемость оборотных средств
характеризуется рядом взаимосвязанных показателей: длительностью одного оборота
в днях, количеством оборотов за определенный период - год, полугодие, квартал
(коэффициент оборачиваемости), суммой занятых на предприятии оборотных средств
на единицу продукции (коэффициент загрузки).Анализ влияния изменения
эффективности использования оборотных средств на финансовые результаты.
Так же проведем проверку правила
экономического роста
Из приведенных выше данных можно
сказать что правило экономического роста ЧП1/ЧП0>ВР1/ВР0>ВБ1/ВБ0>100%
выполняется во всех трех отношениях.
2.5 Анализ доходов, расходов,
финансовых результатов и рентабельности организации
.5.1Анализ динамики финансовых
показателей по основной деятельности организации
Анализ динамики показывает изменение
показателей во времени, это есть горизонтальный анализ. Горизонтальный анализ -
сравнение каждой позиции отчетности с предыдущим периодом. Этот анализ
заключается в построении одной или нескольких аналитических таблиц, в которых
абсолютные показатели дополняются относительными темпами роста (снижения).
Следует отметить, что в условиях инфляции ценность результатов горизонтального
анализа снижается.
Показателями по основной
деятельности являются: выручка, полная себестоимость и прибыль от продаж, они
отражены в форме № 0710002 «Отчет о прибылях и убытках».
Таблица 2.15-Анализ динамики
основных показателей по основной деятельности организации
|
Наименование показателя
|
2010
|
2011
|
Изменение
|
|
тыс. руб
|
удельный вес, %
|
тыс. руб
|
удельный вес, %
|
абсолютное, тыс. руб
|
относительное, %
|
|
Выручка от реализации продукции (работ, услуг)
|
591 648 636
|
100
|
754 431 288
|
100
|
162 782 652
|
28
|
|
Себестоимость продаж
|
397 120 259
|
67
|
481 314 739
|
64
|
84 194 480
|
21
|
|
Коммерческие расходы
|
44 980 315
|
8
|
56 043 441
|
7
|
11 063 096
|
24
|
|
Прибыль от продаж
|
149 548 062
|
25
|
217 073 108
|
29
|
67 525 046
|
45
|
По результатам анализа можно
увидеть, что темп роста выручки (28%) году больше чем темп роста себестоимости
(21%) за период 2010-2011гг. Это говорит о том, что в отчетном периоде
организация получила большую прибыль и в дальнейшем прибыль будет наращиваться.
В целом наблюдается рост основных показателей в среднем на 24%, прибыль от продаж
на 45%.
.5.2 Анализ структуры доходов
организации
Анализ структуры проводится путем
вертикального анализа. Суть вертикального анализа заключается в конечном итоге
в получении основных компонентов и источников получения средств данной
компании. С помощью такого типа анализа появляется возможность следить за
финансовым состоянием предприятия, и за результатами деятельности.
Цель вертикального анализа состоит
из того чтобы представлять себе модификации, что произошли в главных статьях
этого баланса, а именно, в отчетах о финансовых средствах и о прибыли. Помимо
этого, целью данного анализа является, поспособствовать любым менеджерам
предприятий в выборе и принятии решений о дальнейшей деятельности. При
формировании цели для вертикального анализа предполагается, произвести
востребованные расчеты, которые направлены на каждый суммарный вес статьи после
результата баланса или в количестве выручки, после исполнения, и уровня
модификации.
Если цель вертикального анализа
достигнута, все полученные результаты мы можем представить в виде диаграммы. С
помощью чего нам будет проще анализировать результаты. Еще одной важной целью
при проведении финансовых разборов, является возможность выявления обоснованных
решений, что сможет признать структуру этого баланса неудовлетворительной, а
данное предприятие платежеспособным. Эта цель вертикального анализа дает
возможность провести сравнение экономических результатов по деятельности
данного предприятия. Как вывод, можно подчеркнуть, с помощью целей
вертикального анализа мы можем провести нахождение минимального веса и сделать
сравнение показателей разных периодов работы.
Таблица 2.16-Анализ структуры
доходов организации
|
Наименование показателя
|
2010
|
2011
|
Изменение
|
|
тыс. руб
|
удельный вес, %
|
тыс. руб
|
удельный вес, %
|
абсолютное, тыс. руб
|
относительное, %
|
|
Общая сумма доходов
|
1 285 452 778
|
100
|
1 929 659 109
|
100
|
644 206 331
|
50
|
|
Выручка от реализации продукции (работ, услуг)
|
591 648 636
|
46
|
754 431 288
|
39
|
162 782 652
|
27
|
|
Доходы от участия в других организациях
|
362 919
|
0,08
|
16 059
|
0,01
|
-346 860
|
-96
|
|
Проценты к получению
|
27 370 215
|
2,12
|
29 243 524
|
1,5
|
1 873 309
|
06
|
|
Прочие доходы
|
666 071 008
|
51,8
|
1 145 968 238
|
59,4
|
479 897 230
|
72
|
Общая сумма доходов в отчетном
периоде увеличилась по сравнению с базисным по причине увеличения прочих доходов,
полученных организацией по инвестиционным опрациям. В структуре доходов
наблюдаются следующие изменения: увеличились такие составляющие доходов как
«проценты к получению» на 6%, « прочие доходы» на 72% и «выручка от реализации
продукции (работ, услуг)» на 27%, но уменьшились «доходы от участия в других
организациях» на 96%.
.5.3 Анализ динамики и структуры
расходов
Расходы предприятия, организации
относятся к основным экономическим показателям деятельности предприятия
торговли. Термин расходы означает уменьшение средств предприятия или подъем его
долговых обязательств в процессе хозяйственной деятельности. Расходы являются
использованием сырья, материалов, услуг сторонних организаций и т.д. Лишь в
момент реализации предприятие признает свои доходы и связанную с ними часть
затрат - расходы. Нормативными и законодательными документами,
регламентирующими формирование расходов в современных условиях, является
Налоговый кодекс России Ч. 2 и положение по бухгалтерскому учету ПБУ 10/99,
которое называется "Расходы организации".
В соответствии с положением по
бухгалтерскому учету № 10/99 расходами организации признается уменьшение
экономических выгод в результате выбытия активов (денежных средств, иного
имущества) и (или) возникновения обязательств, приводящее к уменьшению капитала
этой организации, за исключением уменьшения вкладов по решению участников
(собственников имущества).
Анализ расходов предприятия может
проводиться как в целом по всей сумме, так и по отдельным статьям.
Таблица 2.17-Анализ динамики и структуры
расходов
|
Наименование показателя
|
2010
|
2011
|
Изменение
|
|
тыс. руб
|
уд. вес, %
|
тыс. руб
|
уд. вес, %
|
абсолютное, тыс. руб
|
относительное, %
|
уд. вес, %
|
|
Общая сумма расходов
|
1 126 393 492
|
100
|
1 638 320 414
|
100
|
511 926 922
|
45
|
-
|
|
Себестоимость продаж
|
397 120 259
|
35,25
|
481 314 739
|
29
|
84 194 480
|
21
|
-6,25
|
|
Коммерческие расходы
|
44 980 315
|
3,99
|
56 043 441
|
3,5
|
11 063 126
|
24
|
-0,44
|
|
Проценты к уплате
|
54
|
0,01
|
155
|
0,5
|
101
|
187
|
0,49
|
|
Прочие расходы
|
684 292 864
|
60,75
|
1 100 962 079
|
67
|
416 669 215
|
60
|
6,25
|
Общая сумма расходов в отчетном году
увеличилась на 45%. Пиричиной этому послужили следующиеувеличения по следующим
статьям расходов: прочие расходы увеличились на 60%, проценты к уплате
увеличились на 187%, коммерческие рассходы на 24%, а себестоимость продаж на 21%.
Наибольший удельный вес в 2011 г составляют прочие расходы 67%, на втором месте
себестоимость 29%, в то время как в в 2010 г эти показатели имели удельный вес
в общей сумме расходов 60,75% и 32,25% соотвтственно.
.5.4 Анализ динамики и структуры
себестоимости по элементам затрат
Данные для данного анализа берутся
из формы № 0710005 «Приложение к бухгалтерскому балансу и отчету о прибылях и
убытках».
Анализ затрат по элементам может
проводиться в динамике и в сравнении с планом (сметой). Структура затрат и ее
изменение позволяют оценить динамику показателей материалоемкости,
энергоемкости, трудоемкости продукции. Однако, данныйанализ не позволяет
выявить причины изменения затрат, т.к. невозможно привести анализируемую
информацию в сопоставимый вид. Классификация затрат по статьям калькуляции
позволяет проанализировать себестоимость как всей продукции, так и отдельных ее
видов, выявить причины изменения, места и виновников перерасхода и
непроизводительного расхода ресурсов. Перечень статей затрат жестко не
регламентируется и определяется в каждой организации самостоятельно.
Таблица 2.18-Анализ динамики и
структуры себестоимости по элементам затрат
|
Наименование показателя
|
2010
|
2011
|
Изменение
|
|
тыс. руб
|
уд. вес, %
|
тыс. руб
|
уд. вес, %
|
абсолютное, тыс. руб
|
относительное, %
|
уд. вес, %
|
|
Себестоимость по элементам затрат
|
447 735 421
|
100
|
539 327 515
|
100
|
91 592 094
|
20
|
-
|
|
Материальные затраты
|
116 283 628
|
26
|
140 839 241
|
26
|
24 555 613
|
21
|
-
|
|
Расходы на оплату труда
|
57 334 195
|
13
|
64 801 598
|
12
|
7 467 403
|
13
|
-1
|
|
Отчисления на социальные нужды
|
7 432 030
|
1,6
|
10 796 834
|
2
|
3 364 804
|
45
|
0,4
|
|
Амортизация
|
103 409 560
|
23
|
119 052 353
|
22
|
15 642 793
|
15
|
-1
|
|
Прочие затраты
|
163 276 421
|
36,4
|
203 837 489
|
38
|
40 561 068
|
24
|
1,6
|
Общая сумма себестоимости в отчетном
году увеличилась на 20%. Пиричиной этому послужили следующие изменения: прочие
расходы увеличились на 24%, материальный затраты увеличились на 21%, рассходы
на оплату труда на 21%, отчисления на социальные нужды на 45%, а амортизация на
15%. Наибольший удельный вес в 2011 г составляю прочие затраты 38%, на втором
месте материальные затраты 26%, они остаются неизменными и в 2010 г, в то время
как в в 2010 г прочие затраты составляли 36,4%. Такую структуру себестоимости
считают не рациональной, так как удельный вес материальных затрат 26% в
2010-2011гг меньше, чем удельный вес прочих затрат 36,4% и 38% в 2010-2011 гг
соответственно. Это что говорит о том что для предприятия приоритетней
заниматься инвестиционной деятельностью, чем основной.
.5.5 Анализ структуры и динамики
прибыли до налогооблажения
На прибыль до налооблажения в форме
№ 0701002 влияяют следующие факторы:
выручка от реализации продукции
полная себестоимость реализованной
продукции
сумма прочие доходов
сумма прочие расходов.
Их влияние на прибыль до
налооблажения начинают с изучения динамики и структуры прибыли до
налооблажения, при этом сравнивают отчетные данные с данными базисного периода
как по общей величине прибыли до налооблажения, так и по отдельным составляющим
ее элементам.
Таблица 2.19-Анализ структуры и
динамики прибыли до налогооблажения
|
Наименование показателя
|
2010
|
2011
|
Изменение
|
|
тыс. руб
|
уд.вес %
|
тыс. руб
|
уд.вес %
|
относительное, %
|
уд. вес, %
|
|
Прибыль до налогооблажения
|
159 059 286
|
100
|
291 338 695
|
100
|
132 279 409
|
83
|
-
|
|
Прибыль от продаж
|
149 548 062
|
94
|
217 043 108
|
74,5
|
67 495 046
|
45
|
-9,5
|
|
Сальдо прочих доходов и расходов в составе прибыли*
|
9 511 224
|
6
|
74 535 587
|
25,5
|
65 024 363
|
683
|
19,5
|
В составе прибыли до налооблажения в
отчетном периоде удельный вес прибыли от продаж составляет 74,5%, а сальдо
прочих доходов и расходов 25,5%. Следует отметить что в базисном периоде
удельный вес прибыли от продаж составляет 94%. В целом, прибыль до
налооблажения возросла на 83%, прибыль от продаж на 45%, а сальдо прочих
доходовы и расходов на 683%. Структура прибыли до налооблажения считается
рациональной, т.к. в 2010 г удельный вес сальдо прочих доходов и расход
составил 6%, а в 2011г 25,5%. Это говорит о том что в 2010 г организация больше
щанималась основной деятельностью, а в 2011 увелиила свои инвестиционные
вложения.
2.5.6 Анализ динамики чистой прибыли
На чистую прибыль влияют следующие
факторы:
изменение выручки от реализации
продукции,
полная себестоимость реализованной
продукции,
сумма прочих доходов,
сумма прочих расходов,
сумма налога на прибыль.
Таблица 2.20-Анализ динамики чистой
прибыли
|
Наименование показателя
|
2010
|
2011
|
Изменение
|
|
тыс. руб
|
удельный вес, %
|
тыс. руб
|
удельный вес, %
|
абсолютное, тыс. руб
|
относительное, %
|
|
Выручка от реализации продукции (работ, услуг)
|
591 648 636
|
100
|
754 431 288
|
100
|
162 782 652
|
28
|
|
Себестоимость продаж
|
397 120 259
|
67
|
481 314 739
|
64
|
84 194 480
|
21
|
|
Прибыль от продаж
|
149 548 062
|
25
|
217 073 108
|
29
|
67 525 046
|
45
|
|
Прибыль до налооблажения
|
159 059 286
|
100
|
291 338 695
|
100
|
132 279 409
|
83
|
|
Прочие доходы
|
666 071 008
|
418
|
1 145 968 238
|
393
|
479 897 230
|
72
|
|
Прочие расходы
|
684 292 864
|
430
|
110 096 2079
|
377
|
416 669 215
|
61
|
|
Текущий налог на прибыль
|
25 631 022
|
16
|
49 047 246
|
17
|
23 416 224
|
91
|
|
Изменение отложенных налоговых обязательств
|
4 381 567
|
2,7
|
7 840 329
|
2,9
|
3 458 762
|
79
|
|
Изменение отложенных налоговых активов
|
48 788
|
0,03
|
577 717
|
0,1
|
528 929
|
1084
|
|
Чистая прибыль
|
129 101 780
|
81
|
233 157 532
|
80
|
104 055 752
|
81
|
|
Уровень общей рентабельности, %
|
0,37
|
|
0,45
|
|
0,08
|
21
|
В отчетном периоде чистая прибыль
увеличилась на 81%, также наблюдается увелечение всех составляющих: текущий
налог на прибыль на 91%, изменение ОНО на 79%, изменение ОНА на 1084%, прибыль
до налооблажения на 83%. В структуре прибыли до налогоблажения удельный вес
составляет чистая прибыль 80% и 81% в 2010-2011 гг соответственно, текущий
налог на прибыль в 2010 году составляет 16%, в 2011 году - 17%.
Факторный анализ чистой прибыли.
Главной задачей факторного анализа
прибыли является определение факторов и причин невыполнения задания по прибыли.
При факторном анализе прибыли рассматриваются источники ее образования и
выявляются резервы дальнейшего увеличения прибыли. Прибыль делится на несколько
видов. Балансовая прибыль включает прибыль от реализации произведенной
продукции (выручка (нетто) от продажи продукции за минусом НДС, акцизов и
аналогичных обязательных платежей, себестоимости проданной продукции,
коммерческих и управленческих расходов), операционных и внереализационных
доходов и расходов, отражаемых в отчете о прибылях и убытках (ф. № 2).
Факторный анализ балансовой прибыли начинается с общей оценки выполнения плана
по прибыли по составным ее элементам в сравнении с планом и с предыдущим годом.
Для этого из формы № 0710002 и оперативных данных организации в аналитическую
таблицу заносятся показатели прибыли по составным элементам.
1) ΔЧПДпр=Дпр1-Дпр0
2) ΔЧПРпр=Рпр0-Рпр1
3) ΔЧПНЛ=НП1-НП0
4)ΔЧПОНА=ОНА1-ОНА0
5)ΔЧПОНО=ОНО0-ОНО1
Расчет:
1) ΔЧПДпр=1
145 968 238-666 071 008=479 897 230
2) ΔЧПРпр=1
100 962 079 -684 292 864=416 669 215
3) ΔЧПНЛ=
49 047 246-25 631 022=23 416 224
4)ΔЧПОНА=577
717-48 788=528 929
5)ΔЧПОНО=7
840 329-4 381 567=3 458 762
.5.7 Анализ динамики коэффициентов
рентабельности
В системе показателей эффективности
деятельности предприятий важнейшее место принадлежит рентабельности.
Рентабельность представляет собой
такое использование средств, при котором организация не только покрывает свои
затраты доходами, но и получает прибыль.
Доходность, т.е. прибыльность
предприятия, может быть оценена при помощи как абсолютных, так и относительных
показателей. Абсолютные показатели выражают прибыль, и измеряются в стоимостном
выражении, т.е. в рублях. Относительные показатели характеризуют рентабельность
и измеряются в процентах или в виде коэффициентов. Показатели рентабельности в гораздо
меньшей мере находятся под влиянием инфляции, чем величины прибыли, поскольку
они выражаются различными соотношениями прибыли и авансированных средств
(капитала), либо прибыли и произведенных расходов (затрат).
Таблица 2.21-Анализ динамики
коэффициентов рентабельности
|
Наименование показателя
|
2010
|
2011
|
Изменение
|
|
тыс. руб
|
тыс. руб
|
абсолютное, тыс. руб
|
относительное, %
|
|
Выручка от реализации продукции (работ, услуг)
|
591 648 636
|
754 431 288
|
162 782 652
|
28
|
|
Прибыль до налооблажения
|
159 059 286
|
291 338 695
|
132 279 409
|
83
|
|
Прибыль от продаж
|
149 548 062
|
217 073 108
|
67 525 046
|
45
|
|
Чистая прибыль
|
129 101 780
|
233 157 532
|
104 055 752
|
81
|
|
Себестоимость продаж
|
397 120 259
|
481 314 739
|
84 194 480
|
21
|
|
Валюта баланса (стоимость имущества предприятия)
|
1389535048
|
1653382215
|
263847167
|
19
|
|
Собственный капитал
|
1313249952
|
1547080752
|
233830800
|
17
|
|
Долгосрочный кредиты и займы
|
21073250
|
28913579
|
7840329
|
37
|
|
Краткосрочные обязательства
|
55 211 846
|
77387884
|
22 176 038
|
40
|
|
Стоимость обородных средств
|
430483202
|
562571135
|
132 087 933
|
30
|
|
Стоимость основных средств
|
470 312 813
|
517 887 371
|
47574558
|
10
|
|
Стоимость активной части основных средств
|
446 946 250
|
493 016 304
|
46070054
|
10
|
|
Общая рентабельность,%
|
37
|
45
|
8
|
21
|
|
Рентабельность основной деятельности,%
|
10
|
13
|
3
|
30
|
|
Рентабельность реализации,%
|
25
|
28
|
3
|
12
|
|
Рентабельность собственного капитала,%
|
9
|
15
|
6
|
66
|
|
Рентабельность имушества,%
|
9
|
14
|
5
|
55
|
|
Рентабельность инвестиций,%
|
9
|
14
|
5
|
55
|
|
Рентабельность текущих активов,%
|
29
|
41
|
12
|
41
|
|
Рентабельность основных средств,%
|
34
|
38
|
4
|
11
|
|
Рентабальность активной части основных средств,%
|
33
|
44
|
11
|
33
|
финансовый анализ рентабельность
Все показатели рентабельности в
отчетном периоде выше чем в базисном.
Общий уровень рентабельности вырос
на 8% (с 37 до 45%). Рентабельность реализации выросла на 3% (с 25 до 28%), а
рентабельность инвестиций на 5% (с 9 до 14%), это говорит о том что организация
в большей стетени занимается своей основной деятельностью, но тем не менне
увеличивает свои инвестиционную деятельность. Рентабельность собственного капитала
и имушества выросла на 6% и 5% соответственно. В общем организация имеет
средний уровень рентабельности. Компания является достаточно крупной, одной из
лидеров в свой отрасли, однако она не полностью использует свой потенциал.
3. Разработка мероприятий
направленных на улучшение финансового состояния организации
По итогам выполнения курсовой работы
приведены следующие рекомендации, способствующие повышению эффективности работы
предприятия и повышению рентабельности его деятельности: увеличение доходов от
реализации (выручки) товаров; оптимизация издержек; повышение уровня
рентабельности реализации товаров; расширение торговой сети; повышение уровня
производительности труда работников; повышение производительности труда,
улучшение качества обслуживания и консультации клиентов менеджеров по продажам
и старших менеджеров; сокращение коммерческих расходов; поиск поставщиков с
более низкими ценами на товар, оптимизации денежных потоков от предприятия к
поставщикам с целью достижения определенного объема закупок для получения
скидок по товару, получения товарных кредитов и т.п.
Заключение
В данной курсовой работе был
проведен экономический анализ ОАО ”Томскнефтегаз”. В ходе которого было
выявлено что предприятие на данной стадии времени начинает расширяться закупая
новое оборудование, земельные участки. Так как финансовая устойчивость и
платежеспособность позволяет мобилизироваться ОАО ”Сургутнефтегаз”. Баланс
обеспечен оборотными активами для введения хозяйственной деятельности и
своевременного погашения срочных обязательств, что подтверждает коэффициент
ликвидности. Резервный капитал создан в соответствии с законодательством РФ и
учредительными документами общества. Резервный фонд общества создается в
размере не менее 15% от уставного капитала общества путем обязательных
ежегодных отчислений в размере не менее 5% от чистой прибыли общества до
достижения указанного размера. Доли государства в уставном капитале нет.
Выручка от реализации нефти,
нефтепродуктов и прочей реализации дочерним обществам, на деятельность которых
ОАО ”Томскнефтегаз” оказывает влияние и доля в уставном капитале обществ,
принадлежащая ОАО ”Томскнефтегаз” более чем на 50%.
Список использованной литературы
1. Алексеева А.И. Комплексный экономический анализ
хозяйственной деятельности: учеб. пособие / А.И. Алексеева, Ю.В. Васильев. -
M.: Финансы и статистика. 2009.
2. Анализ и диагностика финансово-хозяйственной деятельности
предприятия: учебное пособие / Под редакцией П.П. Табурчака, В.М. Гумина, М.С.
Сапрыкина. - Ростов-на-Дону: Феникс, 2009.
. Анализ хозяйственной деятельности в промышленности / Под
ред. В.И. Стражева. - М.: Высшая школа, 2010.
. Анализ хозяйственной деятельности: учеб. пособие/ Под
ред. В.И. Бариленко. - М.: Омега-Л, 2009.
. Баканов М.И. Теория экономического анализа/М.И. Баканов -
М.: Финансы и статистика,2011.
. Балабанов И.Т. Финансовый анализ и планирование
хозяйствующего субъекта: учебник /И.Т. Балабанов. - М.: Финансы и статистика,
2009..
. Банк В.Р. Финансовый анализ: учеб. пособие / В.Р. Банк,
С. В. Банк. - М.: TK Велби, Изд-во Проспект, 2011
. Бердникова Т.Б. Анализ и диагностика
финансово-хозяйственной деятельности предприятия: учеб. пособие / Т.Б.
Бердникова. - М.: Инфра-М, 2009.
. Васильева Л.C. Финансовый анализ: учебник / Л. C.
Васильева, MB. Петровская. - М.: КНОССРТ, 2009.
. Гермалович Н.А. Анализ хозяйственной деятельности
предприятия /Н.А. Гермалович. - М: Финансы и статистика, 2011.
. Гиляровская Л.Т. Комплексный экономический анализ
хозяйственной деятельности / Л.Т. Гиляровская и др. - М.: ТК Велби, Проспект,
2011.
. Донцова Л.В. Анализ финансовой отчетности: Практикум/
Л.В. Донцова, Н.А. Никифорова. - M.: Издательство «Дело и Сервис», 2011.
. Донцова Л.В. Анализ финансовой отчетности: учебник / Л.В.
Донцова, Н.А. Никифорова. - 4-е изд., перераб. и доп. - М.: Издательство «Дело
и Сервис», 2011.
. Канке Л.А. Анализ финансово-хозяйственной деятельности
предприятия: учебное пособие/ Л.А. Канке, И.П. Кошевая. - M.: ИД «ФОРУМ»:
ИНФРА-М, 2009. (Профессиональное образование).
. Ковалев В.В. Анализ хозяйственной деятельности
предприятия / В.В. Ковалев, О.Н. Волкова: Учебник. - M.: OOO «ТК Велби», 2010.