Оценка риска на основе динамических моделей устойчивости
Оценка
риска на основе динамических моделей устойчивости (ДМУ)
Для оценки результатов принимаемых решений, для
сравнения различных альтернатив желательно применять количественные критерии.
Такие критерии принято называть критериями эффективности.
Как мы выяснили, существует две основные группы
стратегий учета критериев при многокритериальном выборе: стратегии компенсации
и стратегии исключения.
Критерии эффективности определяют количественную
меру соответствия результатов принимаемых решений целям, выбранным в рамках
решаемой проблемы. Численное значение критерия эффективности называют
показателем эффективности.
Множество критериев формируется на основе
показателей, характеризующих такие свойства принимаемых решений или их
последствий, которые отвечают поставленным целям. Оценивая правильность выбора
критерия эффективности, необходимо стремиться к тому, чтобы критерий
соответствовал .поставленной цели. Естественно, что в качестве критерия
эффективности должна выбираться такая характеристика или показатель, которую
можно выразить количественно, определить точными научными методами, измерить
или вычислить.
Однако возможность выбора критерия эффективности
имеет место лишь в ограниченных случаях решения сложных социально-экономических
проблем - в тех случаях, когда выбранные цели измеримы.
Понятие риска определяется как возможная
опасность потерь в результате неверно либо неэффективно выбранного и принятого
решения. Решения, связанные с рисками, определяются: условиями внешней среды,
ее влиянием на исходы принимаемых решений; свойствами личности, принимающей
решение и информацией о внешней среде. Успешность решений, принимаемых в
условиях риска и неопределенности, во многом зависит от уровня уверенности в
себе лица, принимающего решение. С точки зрения психологии уверенность человека
в себе определяется такими характеристиками, как самооценка, ожидание, уровень
притязаний, как умение управлять своими страхами и желаниями.
Снижение риска с помощью статистической теории
принятия решений. Лица, принимающие решения, зачастую должны принимать решения
в условиях неопределенности. С целью снижения неопределенности при принятии
решений используется статистическая теория принятия решения, которая
предполагает:
- построение дерева
решений задачи и использование его для выбора оптимального решения;
знание принципов
построения функции полезности и ее использование в задачах выбора оптимального
решения;
умение использовать
априорный и апостериорный анализ, а также вычислять ожидаемую ценность
совершенной информации.
Полезность означает степень
удовлетворения, которую получает субъект от потребления товара или выполнения
какого-либо действия. С точки зрения лица, принимающего решения, полезность
управленческого решения заключается в выборе наиболее адекватного внешним и
внутренним условиям развития предприятия решения.
Статистическая теория принятия
решений предлагает способы анализа таких проблем и помогает лицам, принимающим
решения сделать рациональный выбор. Любая проблема принятия решений в условиях
неопределенности имеет следующие две характеристики:
лицо, принимающие
решения должно делать выбор или, возможно, последовательность выборов из
нескольких альтернативных вариантов действия;
выбор ведет к
определенному исходу, но лицо, принимающие решения не в состоянии с точностью
предсказать этот исход, поскольку он зависит от непредсказуемого события или
последовательности событий, а также и от самого выбора.
Рассматриваются особенности статистических
решений и методы принятия решений в условиях риска, в частности, применение
модели платежной матрицы и различных ее вариантов, например, матрицы
эффективности, полезности, риска в задачах принятия решений. Раскрывается суть
метода принятия решений при наличии априорной статистической информации по
критерию Байеса.
Альтернативой теории ожидаемой полезности
принято считать теорию проспектов (или перспектив), в которой сделана попытка
авторами теории - Д.Канеманом и А.Тверски - учесть реальное поведение людей при
выборе и приблизить теорию к жизни. В теории проспектов выбор решения
производится на основе функции ценности, имеющей асимметричный характер.
Функция ценности для потерь отличается от функции ценности для приобретений.
Потери кажутся субъекту большими, чем приобретения. Поэтому предпочтения
субъекта зависят от способа формулировки задачи выбора. Если варианты ситуации
выбора сформулированы как приобретение, тогда субъект предпочитает не
рисковать, а выбирать детерминированную альтернативу. Если предпочтительный
вариант сформулирован как потеря, люди гораздо охотнее идут на риск. Теория
проспектов объясняет стремление человека завышать небольшие значения
вероятностей случайных событий (т.е. редких событий), что учитывается,
например, в страховой индустрии и соответственно занижать значения вероятностей
событий, имеющих высокие значения вероятностей исходов.
Основным понятием этой темы является Критерий
Байеса.
Критерий Байеса - в теории решений критерий
принятия решений в условиях отсутствия какой-либо информации об относительных
вероятностях стратегий «природы». По Байесу предлагается придать равные
вероятности всем рассматриваемым стратегиям, после чего принять ту из них, при
которой ожидаемый выигрыш окажется наибольшим. Имеет тот недостаток, что круг
оцениваемых альтернатив в одной и той же задаче может быть различным и
соответственно различной может быть также относительная вероятность каждой из
них.
Критерий Байеса отступает от условий полной
неопределенности - он предполагает, что возможным состояниям природы можно
приписать определенную вероятность их наступления и, определив математическое
ожидание выигрыша для каждого решения, выбрать то, которое обеспечивает
наибольшее значение выигрыша:
ZBL=
.
) Пусть А является матрицей выигрышей игрока А.
) Известны вероятности qj=p(Пj), j=1,…,n,
состояний природы Пj, j=1,…,n, удовлетворяющие условию (1). Следовательно, речь
идет о принятии решения в условиях риска.
) Полагаем l=n и матрицу В выбираем равной
матрице А, т.е.=aij для всех i=1,…,m и j=1,…,n.
) Коэффициенты l1,…,ln, выбираем равными
соответствующим вероятностям q1,…,qn, т.е. ll=qi, i=1,…,n. Этим самым игрок А
выражает полное доверие к истинности распределения вероятностей q1,…,qn,
состояний природы.
Из (1) следует, что коэффициенты lj, j=1,…,n
удовлетворяют условию (3).
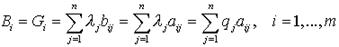
) Показатель эффективности стратегии Аi по
критерию Байеса обозначим через Вi и находим его по формуле (3):
Очевидно, что Вi - средневзвешенный выигрыш при
стратегии Аi с весами q1,…,qn.
Если стратегию Аi трактовать как дискретную
случайную величину, принимающую значения выигрышей при каждом состоянии
природы, то вероятности этих выигрышей будут равны вероятностям состояний
природы и тогда Вi есть математическое ожидание этой случайной величины (см.
(6)).
) Цена игры по критерию Байеса, обозначаемая
нами через В, определяется по формуле (4):
7) Оптимальной среди чистых стратегий по
критерию Байеса является стратегия Аk, для которой показатель эффективности
максимален:
Вk=В.
Этот метод предполагает возможность
использования какой-либо предварительной информации о состояниях природы. При
этом предполагается как повторяемость состояний природы, так и повторяемость
решений, и, прежде всего, наличие достаточно достоверных данных о прошлых
состояниях природы. То есть, основываясь на предыдущих наблюдениях
прогнозировать будущее состояние природы (статистический принцип).
Критерий Байеса-Лапласа предъявляет к ситуации,
в которой принимается решение, следующие требования:
· вероятности появления состояний Вj
известны и не зависят от времени;
· решение реализуется (теоретически)
бесконечно много раз;
· для малого числа реализаций решения
допускается некоторый риск.
При достаточно большом количестве реализаций
среднее значение постепенно стабилизируется. Поэтому при полной (бесконечной)
реализации какой-либо риск исключён.
Построенные с помощью системы показателей,
упорядоченных определенным образом друг по отношению к другу, модели
устойчивости служат точкой отсчета при оценке фактического режима
функционирования предприятия, ориентиром в принятии стратегических
управленческих и финансовых решений, а специально разработанные оценки
отклонений при реализации тех или иных решений при этот могут
интерпретироваться как системные оценки рисков. При этом обычно рассматриваются
два вида нормативов: линейный и нелинейный, отражающих соответствующие порядки
роста показателей: тип упорядочения определяется в зависимости от целей анализа
и особенностей рассматриваемой системы.
В практических расчетах ДМУ чаще задается в виде
матрицы нормативных соотношений темпов роста показателей, т.е. в виде матрицы ENxN,
элементы которой определяются из следующего условия:
+1 Ti
>Tj;
-1 Tj
> Ti; где
Ti ,Tj
- темпы роста показателей i
и j
Ti >Tj
- нормативный порядок темпов роста
eij = 0 Tj ? Ti,
Tj ? Ti
- нормативное соотношение не установлено
Чтобы рассчитать оценки рисков по
ДМУ для каждого анализируемого периода t
[0;Т]
строится матрица фактических соотношений темпов [роста показателей] F
NXN, элементы
которой определяются из следующего условия:
f
ij = +1
Ti >Tj;
-1 Tj > Ti; для
0 Tj
= Ti
Расчет оценок ДМУ основывается на идее подсчета
числа инверсий между порядками темпов. Под инверсией понимается изменение ранга
темпа в одном порядке относительно другого.
Для каждого анализируемого периода t
[0;Т]
строится матрица совпадений фактического и эталонного соотношений из следующего
условия:
b
ij = 1
e ij = +1, f
ij = +1 или
e ij = -1, f
ij = -1, для
0 в остальных случаях
Сумма элементов матрицы B
равна числу выполненных (в рассматриваемом периоде) нормативных соотношений
темпов. Так как число установленных нормативных соотношений равно сумме по
модулю элементов матрицы E,
то оценку устойчивости можно рассчитать, как долю выполненных нормативных
соотношений в общем числе установленных:
J
=
, для
J
[0;1]
Соответственно оценка риска R = 1-J [81]
В случае линейного ДН эта оценка
рассчитывается следующим образом:
= 1 -
, где:
J - оценка
финансово-экономической устойчивости предприятия;
n - число
показателей в ДН (динамическом нормативе);
mi -
количество инверсий в фактическом порядке для показателя, имеющего i-й ранг
(занимающего i-е место) в
ДН;
M (Ф;Н) -
сумма инверсий в фактическом порядке показателей (Ф) относительно нормативного
порядка (Н), заданного в ДН.
Устойчивость является обобщающей
оценкой финансового состояния предприятия, она характеризует степень
приближения к эталону. Наиболее устойчивый режим деятельности предприятия
является наименее рискованным. Со своей стороны мы разовьем указанный подход к
оценке риска, а именно дополним его факторным анализом оценки устойчивости.
Наиболее устойчивый режим деятельности предприятия является, с другой стороны,
наименее рискованным. Факторный анализ позволит нам упорядочить показатели с
точки зрения того, что необходимо направить внимание в первую очередь для
принятия мер по повышению финансово-экономической устойчивости предприятия, а
значит, является способом анализа рисков. Он позволяет выявить негативное
влияние показателей, т.е. основные проблемы (риски) функционирования
предприятия, и упорядочить их с точки зрения очередности воздействия на факторы
с целью разрешения как уже возникших проблем, так и по предотвращению появления
новых. Таким образом факторный анализ устойчивости позволит нам снизить степень
риска предприятия: менеджеры могут определить какие показатели имеют наибольшее
воздействие на показатель устойчивости (оценку риска) и смогут сосредоточить
внимание на решении первоочередных проблем для снижения степени риска.
Подобное направление использования
факторного анализа устойчивости (степени риска) предлагается впервые, а именно
для анализа рисков.
Сформированный в работе «Риски и
устойчивость предприятия» Н.А. Савинской и М.Н. Багиевой [81] динамический
норматив (ДН) можно рассматривать как факторную систему (модель). Влияние
каждого фактора на прирост оценки устойчивости, являющейся результативным
показателем, можно определить следующим путем [82].
В случае линейного ДН прирост оценки
устойчивости рассчитывается следующим образом:

При этом достигается полное факторное разложение
прироста результативного показателя:
где:
J - общий прирост оценки устойчивости
(
J = J
- J
);
- прирост оценки
устойчивости, вызванный динамикой соотношений темпов роста i-го
показателя с другими;
i - ранг (номер)
показателя в линейном ДН;
n - количество
показателей а ДН;
mi
, mi
-
количество инверсий i-го показателя в фактическом
(базисном и отчетном) упорядочении показателей по отношению к нормативно
установленному.
В случае ДН, задаваемого графом
(матрицей) предпочтений, прирост оценки устойчивости рассчитывается следующим
образом:
Отсюда следует, что влияние
отдельного i-го
показателя на прирост оценки устойчивости определяется формулой:
При этом также достигается полное
факторное разложение прироста результативного показателя финансовой
устойчивости:
статистический
динамический модель платежный
где:
J - прирост оценки финансовой
устойчивости предприятия;
- прирост оценки финансовой
устойчивости, вызванный динамикой соотношений темпов роста i-го
показателя с другими;
n - число
показателей а ДН;
i, j
- номера показателей в ДН;
b
ij, b
ij - элементы
матрицы совпадений фактического и эталонного соотношений темпов роста
показателей в отчетном и базисном периодах;
eij - элемент
матрицы эталонных соотношений между темпами роста показателей.
Мы можем также определить, на
сколько процентов по отношению к базисному уровню изменилась оценка
устойчивости под воздействием динамики i-го
показателя, т.е. определить степень риска, связанную с i-м
показателем:
Рассчитывается также доля прироста
(снижения) оценки устойчивости, обусловленного динамикой i-го
показателя:
Эти оценки, на наш взгляд, могут
быть использованы при анализе риска предприятия, а именно, они позволяют
проранжировать показатели по степени их воздействия на динамику финансовой
устойчивости и оценку риска, тем самым способствуют выявлению резервов роста
финансовой устойчивости и выявлению основных проблем, порождаемых
показателями-факторами.
Таки образом впервые метод факторного
анализа применяется к проблеме исследования риска. Помимо факторного анализа
впервые в качестве средства изучения рисков мы предлагаем использовать матрицу
нарушений (инверсий) и матрицу изменчивости.
Матрица нарушений - это средство
наглядного представления проблем, оценки их существенности (случайности) для
анализируемого предприятия [82].
Проблемы (риски) возникают
вследствие множества самых разнообразных причин, имеющих как случайный,
«разовый» характер, так и вследствие регулярных нарушений нормального хода
хозяйственного процесса. Характеристикой «случайности» проблемы может служить
частота ее проявления. Регулярные нарушения выявляются на основе построения
«суммарной» матрицы нарушений, построенной за несколько периодов. Она позволяет
проанализировать наиболее существенные риски в деятельности предприятия, т.е.
является средством выявления рисков. Если от периода к периоду элемент матрицы
нарушений остается равным единице, это означает, что финансово-хозяйственный
коэффициент, рассчитываемый как отношение i-го
показателя к j-му (или
наоборот), имеет неблагоприятную тенденцию, и, поэтому, следует принимать меры
по ее изменению. Таким образом, матрица нарушений может быть использована, на
наш взгляд, в процессе управления риском.
Матрица изменчивости динамики
показателей отражает направленность изменений соотношений темпов роста
показателей, формирующих ДН, а значит свидетельствует о рискованности
деятельности предприятия.
Если фактическое соотношение темпов
роста показателей в базисном периоде не совпадало с эталонным, а в отчетном
периоде это нарушение исправлено, то соответствующий элемент матрицы
изменчивости равен 1. Если же, наоборот, в базисном периоде имело место
совпадение фактического и эталонного соотношений показателей по темпам их
роста, а в отчетном это положение изменилось (нарушилось), то соответствующий
элемент матицы изменчивости равен -1. В случае, если соотношение темпов роста в
отчетном периоде не изменилось по сравнению с базисным периодом, или в ДН не
задано эталонное соотношение между какими-либо показателями, то соответствующие
элементы матрицы изменчивости равны 0. Факторный анализ устойчивости, матрицы
нарушений и изменчивости могут быть использованы для анализа рисков, что
предлагается впервые.
Список использованной
литературы
1. Живицкая
Е.Н. курс лекций «Системный анализ и проектирование».2007.
. Литвак
Б. Г. Разработка управленческого решения - М.: Издательство «Дело», 2006 . -
392 с.
. Орлов
А. И. Теория принятия решений: учебник. - М.: Экзамен, 2006. - 573 с.
. Орлов
А. И. Принятие решений. Теория и методы разработки управленческих решений. Учебное
пособие. - М.: МарТ, 2006.
- 496 с.
5. Хемди
А. Таха Глава 14. Теория игр и принятия решений // Введение в исследование
операций - 7-е изд. - М.: «Вильямс», 2007. - С. 549-594.