Исследование различных методик оценки рыночного риска и использование их для построения оценки величины рыночного риска на примере финансовых инструментов

  • Вид работы:
    Дипломная (ВКР)
  • Предмет:
    Финансы, деньги, кредит
  • Язык:
    Русский
    ,
    Формат файла:
    MS Word
    2,19 Мб
  • Опубликовано:
    2012-06-28
Вы можете узнать стоимость помощи в написании студенческой работы.
Помощь в написании работы, которую точно примут!

Исследование различных методик оценки рыночного риска и использование их для построения оценки величины рыночного риска на примере финансовых инструментов

Содержание

 

Введение

. Теоретические основы оценки рыночного риска

.1 Что есть рыночный риск?

.2 Гипотеза эффективного рынка

.3 Современная портфельная теория

.4 CAPM и бета-анализ; APT

. Метрики рыночного риска и методики их оценки

.1 Концепция Value-at-Risk

.1.1 Дельта-нормальный метод

.1.2 Параметрические методы оценки волатильности

.1.3 Непараметрические методы оценки волатильности

.1.4 Метод исторического моделирования

.1.5 Метод Монте-Карло

.2 Теория экстремальных значений

.3 Моделирование VaR для нелинейных инструментов

.3.1 Аналитический метод

.3.2 Оптимизационный метод

.3.3 VaR для опционов методом Монте-Карло

.3.4 Дельта-гамма-тета апроксимация

. Эффективность и сравнительный анализ методик оценки рыночного риска

.1 Качественный анализ

.2 Количественный анализ

Вывод

Используемые источники и литература

Введение

Умение качественно оценивать риски по всем направлениям собственной деятельности и проведение грамотной консервативной политики, основанной не на максимизации прибыли, а прежде всего на минимизации убытков, является важней предпосылкой эффективной работы финансово-кредитных организаций. Для корректной оценки рисков необходимо использовать эффективные методики, позволяющие достаточно точно оценить размер требуемого капитала под их покрытие, чтобы не понести потенциальные потери. Поэтому исследование различных математических моделей, направленных на повышение точности оценок потенциальных потерь в результате реализации рыночного риска, определяет актуальность темы исследования.

Степень разработанности темы. Посвящено достаточно большое количество исследований в области моделирования рыночного риска, однако большинство из них - это статьи и монографии зарубежных авторов, тогда как в отечественной науке наблюдается дефицит работ в данной области.

Целью исследования является подробное исследование различных методик оценки рыночного риска и использование их для построения оценки величины рыночного риска на примере финансовых инструментов.

Для достижения цели были поставлены следующие задачи:

.        Исследовать теоретические стороны методик оценки рыночного риска;

.        Применить каждую методику на основе статистических данных финансовых инструментов и построить модели прогнозирования;

.        Провести сравнительный анализ по некоторым критериям на основе полученных результатов;

.        Выявить наиболее перспективные методики в зависимости от условий.

Объектом исследования являются рыночные риски портфеля.

Предметом исследования являются методики оценки рыночных рисков портфеля.

Методологическая база исследования включает в себя математическое моделирование, элементы математической статистики и эконометрики. Для расчетов, оценки показателей и построения графиков использовались программы MATLAB и EXCEL.

Информационную базу исследования составили работы А.А. Лобанова, А.В. Чугунова, Д.А. Шелагина, И.С. Меньшикова, а также В.Ф. Шарпа, Д.К. Халла и К. Александер. Практические расчеты осуществлялись на основе статистических данных по финансовым инструментам. В качестве источника данных использовалась информационно-аналитическая система Блумберг.

Научная новизна исследования заключается в обосновании и выборе оптимальной модели для оценки величины рыночного риска портфеля.

Практическая значимость работы заключается в том, что методики, отобранные в качестве перспективных, могут быть применены на практике и позволяют получать достоверные оценки рыночного риска с заданной вероятностью.

1. Теоретические основы оценки рыночного риска

 

.1 Что есть рыночный риск?

В соответствии с Положением ЦБ РФ, рыночный риск - это риск возникновения у кредитной организации финансовых убытков вследствие изменения текущей стоимости финансовых инструментов, а также курсов иностранных валют и (или) учетных цен на драгоценные металлы [1]. Авторы книги «Энциклопедия финансового риск-менеджмента» Лобанов А.А. и Чугунов А.В. определяют рыночный риск как возможность несоответствия характеристик экономического состояния объекта значениям, ожидаемым лицами, принимающими решения под действием рыночных факторов [2, стр. 242].

Из всех видов рисков, с которыми сталкиваются финансово-кредитные организации, рыночный риск (market risk) возникает из-за изменения рыночных цен финансовых инструментов. Инструменты, в свою очередь, могут быть разделены на две группы: простые и производные (derivative), цена которых специфическим образом связана с ценой соответствующего простого инструмента - базового актива (Таблица 1.1 [3, стр. 5]).

1.2 Гипотеза эффективного рынка

 

Гипотеза эффективного рынка (efficient market hypothesis) - гипотеза, согласно которой вся существенная информация немедленно и в полной мере отражается на рыночной курсовой стоимости ценных бумаг [4]. Идея этой гипотезы состоит в том, что движение цен имеет случайный характер (нет возможности их предугадать), так как любая информация, которая поступает на рынок, мгновенно изменяет текущие уровни цен, и соответственно эта информация впоследствии становится бесполезной.

Из-за случайности поступающей информации на рынок и различных ситуаций, которые порождаются вследствие этой информации, различают три формы эффективности:

Таблица 1.1 - Типы простых и производных инструментов

Тип инструмента

Инструмент

Базовый актив

Простые

Облигация



Акция



Иностранная валюта


Линейные производные

Своп процентных ставок



Облигация с плавающим купоном

Ставка на денежном рынке


Валютный форвард

Валютный курс


Соглашение о будущей процентной ставке

Ставка на денежном рынке


Валютный своп

Валютные курсы

Нелинейные производные

Опцион на акцию

Цена акции


Опцион на облигацию

Цена облигации


FX опцион

Валютный курс

 

·        слабая: если стоимость рыночного актива полностью отражает прошлую информацию, касающуюся данного актива (общедоступная в настоящий момент времени информация о прошлом состоянии рынка, прежде всего, о динамике курсовой стоимости и объемах торговли финансовым активом);

·        умеренная: когда стоимость рыночного актива полностью отражает не только прошлую, но и публичную информацию (текущая информация, которая становится общедоступной в настоящий момент времени, предоставленная в текущей прессе, отчётах компаний, выступлениях государственных служащих, аналитических прогнозах и т.п.);

·        сильная: когда стоимость рыночного актива полностью отражает всю информацию - прошлую, публичную и внутреннюю (инсайдерская информация, которая известна узкому кругу лиц в силу служебного положения или иных обстоятельств) [4].

Косвенным свидетельством в поддержку гипотезы эффективного рынка являются эмпирические данные о результативности активного и пассивного управления портфелями ценных бумаг (Таблица 1.2). На базе многолетних статистических данных большинство исследований подтверждают превосходство рыночных индексов и индексных фондов над фондами с активными стратегиями управления [2, 5].

 

Таблица 1.2 - Стили управления портфелем

Активное управление

Пассивное управление

Инвестор проводит тщательный мониторинг и анализ рынка, использует различные методы прогнозирования и стремится составить портфель таким образом, чтобы получить доходность выше среднерыночной

Инвестор следует за рынком, и составляет портфель, приближенный к индексу, чтобы получить доходность близкую к доходности, показываемой индексом


Несмотря на то, что в финансовой теории на данный момент доминирующими являются, скорее, теория слабой эффективности либо неэффективности рынка - в частности, теория поведенческих финансов (behavioral finance), которая объясняет большинство рыночных аномалий - на практике в целях простоты моделирования предполагается, что изменения цен (доходностей) активов подчиняются каким-либо законам распределения. Другими словами, изменения цен носят случайный характер.

1.3 Современная портфельная теория


Сформулированные в 1950-ых годах идеи Г. Марковица составляют основу современной портфельной теории. Его подход заключался в том, что выбор и формирование портфеля ценных бумаг основывается на учете его ожидаемой доходности и риска. Теория предполагает, что инвестор стремится максимизировать ожидаемую доходность при заданном уровне риска и/или минимизировать риск при заданном уровне ожидаемой доходности при помощи диверсификации своих вложений.

Для любого рационального инвестора при выборе желаемого портфеля существуют так называемые кривые безразличия (indifference curves). Эти кривые отражают отношение инвестора к риску и доходности и могут быть представлены как двухмерный график, где по горизонтальной оси откладывается риск, мерой которого является стандартное отклонение (обозначают ), а по вертикальной оси - ожидаемая доходность (обозначают ) [6, стр. 34].

Рисунок 1.1 - Кривые безразличия инвестора

Каждая кривая линия отображает одну кривую безразличия инвестора и представляет собой все комбинации портфелей, которые обеспечивают заданный уровень желаний инвестора. Важные свойства кривых безразличия:

·        все портфели, лежащие на одной заданной кривой безразличия, являются равноценными для инвестора (на рис. 1.1 портфели A и B равноценны);

·        инвестор будет считать любой портфель, лежащий на кривой безразличия, которая находится выше и левее, более привлекательным, чем любой портфель, лежащий на кривой безразличия, которая находится ниже и правее (на рис. 1.1 портфель C является наиболее привлекательным по отношению к A, B и D, поскольку имеет лучшее соотношение доходность / риск).

Поскольку портфель представляет собой совокупность различных ценных бумаг, его доходность может быть вычислена по формуле:


где  - совокупная рыночная стоимость всех ценных бумаг, входящих в портфель в момент времени , а  - совокупная рыночная стоимость всех ценных бумаг, входящих в портфель в момент времени  [7].

Исходя из подхода, при принятии решения в какой портфель вкладывать, используя свое начальное благосостояние, равное , инвестор должен обратить особое внимание на эффект, который различные портфели оказывают на . Этот эффект может быть выражен через ожидаемую доходность и стандартное отклонение каждого портфеля.

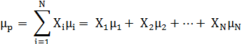
Как упоминалось ранее, портфель представляет собой набор различных ценных бумаг. Таким образом, ожидаемая доходность и стандартное отклонение портфеля должны зависеть от ожидаемой доходности и стандартного отклонения каждой ценной бумаги, входящей в портфель. Также, значительное влияние оказывает то, какая часть начального капитала была инвестирована в данную ценную бумагу.

Формула вычисления ожидаемой доходности портфеля:


где  - ожидаемая доходность портфеля,  - ожидаемая доходность i-ой ценной бумаги,  - вес i-ой ценной бумаги данного портфеля, N - количество ценных бумаг в портфеле.

Формула вычисления стандартного отклонения портфеля:


где  и  - веса i-ой и j-ой ценной бумаги данного портфеля,  - ковариация доходностей ценных бумаг i и j, которая вычисляется как:


где  - коэффициент корреляции между доходностью ценной бумаги i и доходностью ценной бумаги j,  и  - стандартные отклонения i-ой и j-ой ценной бумаги.

Из набора N ценных бумаг можно сформировать бесконечное число портфелей. Но какой же портфель из этого множества нужно выбрать? Для этого инвестор должен рассмотреть только подмножество возможных портфелей.

Объяснение этого содержится в теореме об эффективном множестве (efficient set theorem): инвестор выберет свой оптимальный портфель из множества портфелей, каждый из которых:

·        обеспечивает максимальную ожидаемую доходность для некоторого уровня риска;

·        обеспечивает минимальный риск для некоторого значения ожидаемой доходности.

Набор портфелей, удовлетворяющих этим двум условиям, называется эффективным множеством (efficient set), или эффективной границей (efficient frontier) [7, стр. 196].

На рис. 1.2 серая область - множество всех достижимых портфелей, а дуга ES (левая верхняя граница) - эффективная граница портфелей.

Рисунок 1.2 - Достижимое и эффективное множество портфелей

Соответственно, эффективная граница портфелей есть эффективное множество, и из этого множества эффективных портфелей (efficient portfolios) инвестор будет выбирать оптимальный для себя. Все остальные достижимые портфели являются неэффективными портфелями (inefficient portfolios), поэтому их можно игнорировать [7].

Для того чтобы выбрать оптимальный портфель (optimal portfolio), необходимо на рис. 1.2 наложить кривые безразличия. Оптимальный портфель будет соответствовать точке, в которой наилучшая кривая безразличия касается эффективного множества. На рис. 1.3 оптимальным портфелем является портфель C.

Рисунок 1.3 - Выбор оптимального портфеля с учетом кривых безразличия

В качестве примера, ниже приведена граница эффективных портфелей, построенная на базе пяти акций, торгующихся на ММВБ: Газпром, Сбербанк, Ростелеком, МТС и Норильский Никель.

Рисунок 1.4 - Пример расчета эффективной границы портфелей

1.4 CAPM и бета-анализ; APT

(Capital Asset Pricing Model) - с англ. модель оценки капитальных активов, является продолжением теории Марковица и используется для того, чтобы определить требуемый уровень доходности актива, который предполагается добавить к уже существующему хорошо диверсифицированному портфелю с учётом рыночного риска этого актива.

В модель Марковица, рассмотренную выше, вводится безрисковый актив (с индексом ). Если инвестор покупает безрисковый актив в начале инвестиционного периода, то он точно знает, какова будет его стоимость в конце периода. Поскольку риск по конечной стоимости безрискового актива отсутствует, то, по определению, стандартное отклонение для безрискового актива равно нулю ( = 0). Отсюда также следует, что и ковариация безрискового актива с любым рискованным активом равна нулю, так же, как и коэффициент корреляции [7, стр. 231].

Тогда ожидаемая доходность нового оптимального портфеля будет равна:

а стандартное отклонение:


где  и  - веса,  - ожидаемая доходность рыночного (M) портфеля,  - доходность безрискового актива.

На плоскости «риск-доходность» зависимость доходности нового портфеля от риска представляет собой прямую линию (как линейная комбинация безрискового актива и оптимального портфеля M), соединяющая безрисковый актив с рискованным портфелем М, лежащим на эффективной границе (рис. 1.5). Оптимальной является прямая, проходящая через точку М, поскольку именно касательная к границе эффективных портфелей имеет наилучшее соотношение риска и доходности.

Эта прямая называется линией рынка капитала - CML (Capital Market Line). Вся линия является множеством новых оптимальных портфелей (новой эффективной границей).

Все инвесторы будут выбирать портфели именно на этой прямой в соответствии с индивидуальной функцией полезности, т.е. в точке касания функции полезности и CML (см. рис. 1.5). Соответственно, чтобы увеличить ожидаемую доходность (а значит и риск) портфеля, нужно увеличить вес рискованного портфеля М по отношению к весу безрискового актива, иными словами, подвинуться вверх по CML.

Примечательно то, что портфель M является оптимальным для всех инвесторов вне зависимости от их кривых полезностей, которые определяют лишь вес портфеля M и вес безрискового актива в оптимальном портфеле отдельно взятого инвестора.

Портфель M также принято называть рыночным портфелем и в теории он должен совпадать со структурой индекса акций, например, S&P 500 (если инвестиционный спектр ограничен акциями, обращающимися на NYSE).

Рисунок 1.5 - Линия рынка капитала

Таким образом, в предположении о рациональном поведении, для любого инвестора (априори владеющего портфелем M) важность будет иметь не полный риск актива (формула слева), а только его компонента, отвечающая за чувствительность этого актива к портфелю М (формула справа), поскольку диверсифицируемая часть риска актива при его включении в портфель будет нивелирована. Данная компонента называется систематическим / недиверсифицируемым / рыночным риском актива.


Таким образом, премия за риск ценной бумаги, отражающаяся в ее ожидаемой доходности, должна быть пропорциональна премии за риск рыночного портфеля (индекса) с корректировкой на систематический риск актива ():


Откуда коэффициент  определяется следующим образом:


где  - ковариация i-ой бумаги и рыночного портфеля (индекса),  - среднеквадратичное отклонение рыночного портфеля,  и  - ожидаемые доходности бумаги и портфеля (индекса),  - дисперсия доходности портфеля [8].

Линейная зависимость ожидаемой доходности i-ой ценной от доходности рыночного портфеля называется линией SML (Security Market Line).

Линейная зависимость ожидаемой доходности i-ой ценной бумаги от доходности рыночного портфеля называется линией SML (Security Market Line), где бета-коэффициент является косинусом угла наклона этой линии.

Рисунок 1.6 - SML акций Газпрома (β = 1,11)

Рисунок 1.7 - SML акций Сбербанка (β = 1,42)

 

Рисунок 1.8 - SML акций Норильского Никеля (β = 1,04)

Измерение рыночного риска портфеля инструментов, как правило, предполагает оценивание корреляций между активами, что при стандартном подходе требует n^2 вычислений для n числа активов в портфеле. Количество вычислений можно сократить до 2n, если использовать беты активов (как коэффициент линейной регрессии по фактору риска - индексу) в качестве промежуточной меры при расчете корреляций.

Рассмотренные выше традиционные меры риска обладают серьезными недостатками по сравнению с квантильными мерами риска, которые рассматриваются подробно в следующей главе.
2. Метрики рыночного риска и методики их оценки

 

2.1 Концепция Value-at-Risk


В современном риск-менеджменте пользуется популярностью подход к измерению рисков на основе показателя стоимости под риском (Value-at-Risk, VaR). VaR - это выраженная в данных денежных единицах оценка величины, которую не превысят ожидаемые в течение данного периода времени потери с заданной вероятностью [2, стр. 285].

Показатель VaR используется в риск-менеджменте в следующих целях:

·        для расчета лимитов по открытым позициям;

·        для расчета достаточности капитала и размещения капитала между направлениями бизнеса;

·        для оценки доходности операций с учетом риска.

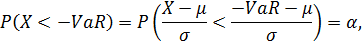
Пусть фиксирован некоторый портфель открытых позиций (длинных и коротких позиций в активах). VaR портфеля для данного доверительного уровня (1 - α) и данного периода поддержания позиций t определяется как значение, которое обеспечивает покрытие возможных потерь X держателя портфеля за время t с вероятностью (1 - α):


Как следует из определения, величина VaR для портфеля заданной структуры - это наибольший ожидаемый убыток, обусловленный колебаниями цен на финансовых рынках, который рассчитывается:

·        на определенный период времени в будущем (временной горизонт);

·        с заданной вероятностью его непревышения (уровень доверия);

·        при данных предположениях о характере поведения рынка (предположение о распределении доходности активов) [2].

Доверительный интервал и временной горизонт являются ключевыми параметрами, без которых невозможны ни расчет, ни интерпретация показателя VaR.

Временной горизонт (holding period) - выбирается исходя из срока удержания данного инструмента в портфеле или его ликвидности, т. е. исходя из минимального реального срока, на протяжении которого можно реализовать на рынке данный инструмент (закрыть позиции) без существенного убытка. Например, недельный VaR или месячный VaR - это оценки возможных потерь за неделю и месяц соответственно [2].

Доверительный интервал (confidence level), или вероятность, выбирается в зависимости от предпочтений по риску, выраженных в регламентирующих документах надзорных органов или в корпоративной практике, отражая оценки менеджеров [2]. Например, Базельский комитет по банковскому надзору рекомендует уровень в 99%, на который ориентируются надзорные органы. На практике часто используется уровень в 95% (RiskMetrics), но встречаются также и другие (обычно между 95% и 99,9%).

Рисунок 2.1 - Определение величины VaR на графике
распределения прибылей и убытков

Кривая на рис. 2.1 задает нормальное (в данном примере) распределение вероятностей прибылей и убытков для заданных портфеля и периода поддержания позиций.

Под убытками в данном случае подразумевается отрицательное изменение стоимости портфеля (ΔP) - разница между стоимостью портфеля на начало и конец какого-либо расчетного периода, т.е.: .

Выделенная голубым цветом область соответствует выбранному доверительному уровню 95% (ее площадь составляет 95% от общей площади под кривой). VaR представляет собой максимальную величину возможных потерь, отвечающих заданному доверительному уровню [10].

Если  - функция распределения вероятностей прибылей / убытков, (1 - α) - доверительный интервал, то величина VaR и доверительный уровень имеют следующую взаимосвязь:


где  - заштрихованная площадь на рис. 2.1.

В зависимости от базы сравнения VaR можно оценить в абсолютном или относительном смысле. VaR в абсолютном смысле является потерей относительно нуля (VaR (0) на рис. 2.1), а VaR в относительном смысле является потерей по сравнению со средним ΔPср (рис. 2.1) [10].

Классификация методов оценки VaR приведена ниже на рис. 2.2.

Несмотря на их большое многообразие, методы разделяются на 3 группы:

·        параметрические (когда за основу берется предположение о нормальном распределении доходностей);

·        непараметрические (когда не делается никаких предположений о принадлежности к какому-либо семейству распределений, а используется эмпирическая функция распределения)

·        методики, подразумевающие распределение доходностей отличное от нормального (например, это может быть какое-либо из распределений, подходящих для описания «тяжелых хвостов») [3, стр. 7].

Рисунок 2.2 - Классификация моделей VaR

2.1.1 Дельта-нормальный метод

В основе дельта-нормального (вариационно-ковариационного, параметрического, аналитического) метода лежит посылка о нормальном законе распределения логарифмических доходностей факторов рыночного риска (цен первичных активов, от которых зависит стоимость более сложных инструментов, позиций и портфеля в целом):


Предположение о нормальном распределении изменений факторов риска значительно облегчает нахождение величины VaR, так как в этом случае распределение доходностей инструментов, являющихся линейными комбинациями факторов риска, также будет нормальным. Это фундаментальное свойство будет сохраняться для любого портфеля, состоящего из инструментов с линейными ценовыми характеристиками, например, акций или валют [2, стр. 289].

В случае нормально распределенной случайной величины, доверительный интервал (1 - α) всегда характеризуется единственным параметром - квантилью (), которая показывает положение искомого значения случайной величины (симметрично в обоих хвостах распределения) относительно средней ожидаемой доходности (), выраженной в количестве стандартных отклонений доходности портфеля (). Так, для наиболее часто используемых значений доверительного интервала 95% и 99% соответствующие квантили будут равны 1,65 и 2,33 стандартных отклонений доходности портфеля [2, стр. 290].

Таким образом, величина VaR представляет собой α-квантиль функции распределения случайной величины:


Аналитическая формула расчета VaR дельта-нормальным методом выводится следующим образом:

вероятность того, что случайная величина убытка X окажется больше величины VaR:

тогда

откуда получаем

Так как

получаем


Соответственно, VaR дельта-нормальным методом для одного актива с доверительной вероятностью (1 - α) выглядит так:


где  - ожидаемая доходность i-го актива,  - волатильность,  - квантиль, соответствующий (1 - α) доверительному интервалу.

Аналогично можно рассчитать VaR дельта-нормальным методом для портфеля:


где  - ожидаемая доходность портфеля,  - волатильность,  - веса i-го и j-го активов в портфеле,  - ковариация доходностей i-го и j-го активов в портфеле.

Для того чтобы рассчитать N-дневный показатель VaR (масштабирование во времени), применяется формула:


Эта формула является корректной, если изменения стоимости портфеля на протяжении последовательных дней имеют независимые идентичные нормальные распределения (доказывается из правила суммирования дисперсий независимых случайных величин.). В других ситуациях она становится лишь приближенной [5].

Дельта-нормальный метод применяется в основном для так называемых линейных инструментов (акции, валюты, товары, фьючерсы, форварды). Для нелинейных инструментов (опционы) он не применяется, так как инструменты опционного типа нелинейно зависят от факторов риска.

Таким образом, центральной проблемой при расчете дельта-нормального VaR является нахождение оценки волатильности инструмента (для одного актива) или портфеля в целом (для совокупности нескольких активов в портфеле). Для решения данной проблемы используются параметрические и непараметрические методы оценки волатильности, которые будут рассмотрены далее.

2.1.2 Параметрические методы оценки волатильности

Простые представления о волатильности исходят из предположения, что случайные изменения цен на каждом временном интервале не зависят друг от друга. Первым методом параметрической оценки волатильности является метод с постоянными вариациями. Он заключается в предположении, что вклад всех наблюдений рассматриваемого временного ряда в оценку волатильности одинаковый, поэтому оценка волатильности будет рассчитываться по формуле:


Однако реальное поведение случайных изменений обычно не соответствует данному допущению.

Для волатильности характерна, так называемая кластеризация (volatility clustering), то есть периоды, когда абсолютные значения волатильности принимают большие или меньшие значения.

Например, при рассмотрении курса RUR/USD за несколько последних лет, можно выделить периоды, когда колебания курса были незначительны, и периоды, когда среагировав на определённые события, курс в течение нескольких дней или недель совершал значительные колебания. То есть выбросы были не разовыми и случайными, а представляли собой затухающую серию, спровоцированную одним или несколькими значительными движениями. Если для такого рынка произвести оценку возможных потерь на неделю вперед, не учитывая серийность случайных движений цен, то оценка риска может оказаться заниженной [9].

Следующий метод используется в методологии RiskMetrics и называется экспоненциально-взвешенным (EWMA, Exponentially Weighted Moving Average). Его специфика состоит в том, что недавние наблюдения вносят больший вклад в волатильность, чем старые. Тогда оценка волатильности будет вычисляться следующим образом:


Чем меньше значение коэффициента λ, тем чувствительнее модель к изменениям, происходящим во временном ряду.

С другой стороны, уменьшение значения λ ведет к уменьшению эффективного размера выборки, что влияет на точность оценки волатильности [3].

В методологии RiskMetrics коэффициент λ равен 0,94, однако его можно рассчитать для любого рассматриваемого временного ряда, используя, например, метод максимального правдоподобия.

Обобщением экспоненциально-взвешенной модели являются ARCH/GARCH-модели.модель моделирует волатильность в виде суммы константной базовой волатильности и линейной функции абсолютных значений нескольких последних изменений цен.

При этом уровень волатильности рассчитывается по следующей рекурсивной формуле (ARCH(q)) [9]:

 

где  - базовая волатильность,  - предыдущие изменения цен,  - порядок модели - количество последних изменений цен, влияющих на текущую волатильность,  - весовые коэффициенты, определяющие степень влияния предыдущих изменений цен на текущее значение волатильности.

Расширением ARCH-модели является GARCH-модель (Generalized Autoregressive Conditional Heteroscedasticity, с англ. модель обобщенной авторегрессионной условной гетероскедастичности) оценки волатильности. Здесь используется схожий с экспоненциально-взвешенным методом подход, а именно на оценку волатильности влияют как предыдущие изменения цен, так и предыдущие оценки волатильности. Согласно модели (GARCH(p, q)) расчет волатильность производится по следующей формуле [9]:

 

где  - количество предшествующих оценок волатильности, влияющих на текущую,  - весовые коэффициенты, определяющие степень влияния предыдущих оценок волатильности на текущее значение.

Существенным преимуществом GARCH-модели признается ее свойство быстрого реагирования на любые наблюдаемые изменения на рынке и быстрого восстановления после сильных колебаний рынка.

Простейшая и наиболее часто используемая модель GARCH(1,1), имеющая вид [3]:


где ω, α и β - коэффициенты, задаваемые:


где  - дисперсия всей исследуемой выборки.

Для нахождения этих коэффициентов использовался метод максимального правдоподобия. Максимизировалась следующая функция:

 

где  N - количество элементов в исследуемой выборке.

Можно заметить, что при ω = 0, α = (1 - λ) и β = λ, данная модель соответствует экспоненциально-взвешенной модели.

Ниже (рис. 2.3) приведен пример расчета дельта-нормального VaR с постоянными вариациями для отдельных активов и портфеля активов на базе оцененных нормальных распределений доходностей этих активов и ковариационной матрицы доходностей.

Рисунок 2.3 - Функции распределения активов и портфеля;VaR 95%

2.1.3 Непараметрические методы оценки волатильности

Все перечисленные выше методы оценки волатильности имеют конечное число параметров, следовательно, являются параметрическими.

Для получения непараметрических оценок волатильности традиционно используются два класса методов: методы ядерной оценки (kernel estimation), использующие свертку с некоторым ядром, и методы, использующие разложение в функциональный ряд (например, ряд Фурье) [3, стр. 14].

Метод ядерной оценки использует для оценки волатильности взвешенную сумму:


Последовательность весов будет определяться как:


представляет собой функцию гауссовского ядра с параметром h. Этот параметр принято называть шириной окна, который зависит от объема выборки:


где σN - выборочное стандартное отклонение [14, 15].

Другим подходом к непараметрической оценке волатильности является разложение ряда доходностей в функциональный ряд, например, в ряд Фурье. Оценка волатильности при этом выражается через значения коэффициентов разложения. Так, при разложении в ряд Фурье оценка волатильности имеет вид:

 

 

коэффициент преобразования Фурье ряда доходностей [3, 16].

Недостатком данных моделей является тот факт, что для вычисления весов (для ядерных оценок) и коэффициентов разложения (для Фурье-преобразования) используется весь временной ряд, а это значит, что старые наблюдения вносят такой же вклад в оценку волатильности, что и недавние.

2.1.4 Метод исторического моделирования

Метод исторического моделирования (исторических симуляций, historical simulation) основан на предположении о стационарности поведения рыночных цен в ближайшем будущем. Суть данного метода заключается в следующем:

1)      Выбирается период времени глубины Т (например, 200 торговых дней), за который отслеживаются исторические изменения (например, дневные) цен Р всех N входящих в портфель активов [2, стр. 304]:

 

2)      Для каждого из этих Т сценариев изменений моделируется гипотетическая цена  каждого актива в будущем как его текущая цена , умноженная на прирост цены, соответствующий данному сценарию:

 

3)      Затем производится полная переоценка всего текущего портфеля по ценам, смоделированным на основе исторических сценариев, и для каждого сценария вычисляется, насколько изменилась бы стоимость сегодняшнего портфеля:


4)      После этого, полученные T изменений портфеля ранжируются по убыванию (от самого большого прироста до самого большого убытка), которые можно пронумеровать от 1 до T. В соответствии с желаемым уровнем доверия (1 - α) величина VaR определяется как такой максимальный убыток, который не превышается в (1-α)Т случаях, т. е. VaR равен абсолютной величине изменения с номером, равным целой части числа (1- α)Т.

Ниже на рис. 2.4 приведена гистограмма исторического распределения доходностей и показатели исторического VaR портфеля, рассматриваемого выше в сравнении дельта-нормальным VaR.

Рисунок 2.4 - Гистограмма исторических доходностей портфеля

2.1.5 Метод Монте-Карло

Метод Монте-Карло, или метод стохастического моделирования (Monte-Carlo simulation), основан на моделировании случайных процессов с заданными характеристиками. В отличие от метода исторического моделирования, в методе Монте-Карло изменения цен активов генерируются псевдослучайным образом в соответствии с заданными параметрами распределения, например математическим ожиданием (µ) и волатильностью (σ).

Имитируемое распределение может быть, в принципе, любым, а количество сценариев - весьма большим (до нескольких десятков тысяч). В остальном метод аналогичен методу исторического моделирования [2, стр 307].

Моделирование траекторий цен производится по различным моделям. Например, распространенная модель геометрического броуновского движения дает в итоге следующие выражения для моделирования цен S на каждом шаге процесса, состоящего из некоторого числа шагов, охватывающих период T:  - модель геометрического броуновского движения, где  - винеровский случайный процесс (математическая модель броуновского движения с непрерывным временем) [2].

Далее, уравнение можно записать в дискретной форме:

 то есть ,

, ..., .

 

Траектория цен - это последовательность псевдослучайным образом смоделированных цен, начиная от текущей цены и заканчивая ценой на некотором конечном шаге, например на тысячном или десятитысячном. Если траектория цен состоит из n равных шагов (например, n дней), то один шаг Δt = 1/n, а случайная величина ε подчиняется стандартному нормальному распределению [2].

Для моделирования траектории цен справедлива следующая формула, описывающая значение цены S в k-ый момент времени:

 

Каждая траектория представляет собой сценарий, по которому определяется цена на последнем шаге. Метод Монте-Карло предполагает переоценку портфеля по цене последнего шага и расчет изменения его стоимости для каждого сценария. Оценка VaR производится по распределению изменений стоимости портфеля. Оптимальное количество шагов в процессе зависит от объема выборки, состава портфеля и сложности составляющих его инструментов и др.

Пошагово метод Монте-Карло работает следующим образом [2, стр. 308]:

1)      По ретроспективным данным рассчитываются оценки математического ожидания μ и волатильности σ;

2)      С помощью генератора случайных чисел генерируются нормально распределенные случайные числа ε с математическим ожиданием, равным μ, и стандартным отклонением σ;

3)      Полученными на предыдущем шаге случайными числами ε заполняется таблица произвольной размерности (для обеспечения высокой точности она должна быть достаточно большой, например 500 столбцов на 1000 строк).

4)      Вычисляется траектория моделируемых цен вплоть до S1000 по выше приведенной формуле.

5)      Производится переоценка стоимости портфеля (состоящего в данном примере из одного актива) по формуле: ΔV= Q(S1000 - S0), где Q - количество единиц актива.

6)      Шаги 4 и 5 выполняются 500 раз для заполнения таблицы 500х1000. Полученные 500 значений ΔV сортируются по убыванию (от самого большого прироста до самого большого убытка). Эти ранжированные изменения можно пронумеровать от 1 до 500. В соответствии с желаемым уровнем доверия (1 - α), риск-менеджер может определить VaR как такой максимальный убыток, который не превышается в 500(1 - α) случаях, т. е. VaR равен абсолютной величине изменения с номером, равным 500(1 - α).

7)      Шаги 1-6 повторяются для каждого расчета каждого дневного VaR.

Существует вариант метода Монте-Карло, согласно которому можно не задавать какое-либо конкретное распределение для моделирования цен, а использовать непосредственно исторические данные. Подобно методу исторического моделирования, на основе ретроспективы моделируются гипотетические цены, но их последовательность не является единственной и не ограничена глубиной периода ретроспективы, поскольку выборка производится с возвращением. Такое построение выборки исторических данных позволяет учесть эффект толстых хвостов и скачки цен, не строя предположений о виде распределения.

Это несомненные достоинства метода, который, в отличие от метода исторического моделирования, позволяет рассмотреть не какую-либо одну траекторию цен (сценарий), а сколь угодно много, что, как правило, повышает точность оценок. Недостатками данной методики являются низкая точность при малых объемах выборки и использование предположения о независимости доходностей во времени [2].

Чтобы проводить моделирование по Монте-Карло для многофакторного процесса, можно точно так же моделировать каждый из k рассматриваемых факторов исходя из сгенерированных случайных чисел [2]:

j = 1, ..., k

или для дискретного времени:

j = 1, ...,k.

С целью учета корреляции между факторами необходимо, чтобы случайные величины  и  точно так же коррелировали между собой. Для этого используется разложение Холецкого (Cholesky factorization), суть которого состоит в разложении корреляционной матрицы на две (множители Холецкого) и использовании их для вычисления коррелированных случайных чисел.

Корреляционная матрица является симметричной и может быть представлена произведением треугольной матрицы низшего порядка с нулями в верхнем правом углу на такую же транспонированную матрицу. Например, для случая двух факторов имеем:

откуда получим:


Коррелированные случайные числа  и  получаются путем перемножения множителя Холецкого и вектора независимых случайных чисел η:


На рис. 2.5 для портфеля приведен пример 50-ти траекторий цен на год вперед, сгенерированных методом Монте-Карло с использованием разложения корреляционной матрицы методом Холецкого.

 

Рисунок 2.5 - Траектории цен портфеля по методу Монтре-Карло

Ниже приведено сравнение VaR и распределений доходностей, полученных методом исторических симуляций и методом Монте-Карло для искомого портфеля.

Рисунок 2.6 - Гистограммы доходностей и VaR

 

Рисунок 2.7 - Гистограммы доходностей опциона (как нелинейного инструмента) на Индекс РТС и Индекса РТС (как фактора риска), полученные из 10.000 симуляций методом Монте-Карло

2.2 Теория экстремальных значений

 

Когерентной мерой риска ρ называется мера риска, удовлетворяющая аксиомам:

)  (инвариантности)

)  (субаддитивности)

)  (положительной однородности)

)  (монотонности)

)  (значимости),

где X(T) - случайная величина (будущая стоимость портфеля), определенная на вероятностном пространстве (Ω, F, P), где Ω - множество возможных состояний в будущий момент времени T, F - σ-алгебра, P - вероятностная мера, а X(T)  G, где G - множество ограниченных функций над Ω.

Когерентные меры оценивают средние потери при наихудшем развитии событий [11].

Ранее было отмечено, что VaR не учитывает экстремальные значения доходностей (т.к. эмпирические распределения, строго говоря, не являются нормальными и имеют толстые хвосты) и также, не является когерентной мерой риска. Теория экстремальных значений (меры риска) как раз призвана решить эту проблему.

Одной из мер риска, удовлетворяющих условиям когерентности, является показатель ожидаемых потерь (expected shortfall, expected tail loss, conditional VaR) - статистика, позволяющая оценить потери по портфелю, выходящие за пределы VaR.

При использовании совместно с VaR показатель ожидаемых потерь позволяет получить дополнительные сведения о функции плотности распределения и толщине его хвостов [2].

Пусть (1 - α) - доверительный интервал, то математически можно определить величину ожидаемых потерь как условное математическое ожидание потерь X, превысивших по величине VaR [2]:


Аналитическая формула вычисления ES (Conditional VaR) для нормального распределения выглядит следующим образом [12]:

 

где K1-α - квантиль (1.645, 2.326,…).

 

Рисунок 2.8 - Сравнение VaR и ES

Другая мера риска, удовлетворяющая условиям когерентности и позволяющая оценить потери, выходящие за определение VaR, называется EVT (Extreme Value Theory). Метод заключается в следующем:

·        исследуемый ряд разделяется на n окон (например, лет/месяцев/недель);

·        в каждом окне выбираются максимальные отрицательные доходности;

·        по выбранным убыткам строится граница среднего, ниже которой все остальные доходности удаляются;

·        делается предположение, что доходности, расположенные выше границы, имеют распределение F(x), которое может относиться к одному из нескольких распределений:

Таблица 2.1 - Распределения случайно величины [3, стр. 17]

Из этих распределений только распределение Парето обладает свойством устойчивости (stable distribution), то есть сумма двух случайных переменных, имеющих распределение Парето, также будет иметь это распределение. Это свойство, также присущее нормальному распределению, является крайне важным для расчета суммарного VaR. Далее, для получения оценки VaR, находится кумулянт второго порядка, который представляет собой дисперсию нового распределения, из которой далее получается оценка волатильности и считается VaR EVT.

2.3 Моделирование VaR для нелинейных инструментов

Как было подмечено ранее, для нелинейных инструментов, таких как опционы, дельта-нормальный метод не применяется, так как инструменты опционного типа нелинейно зависят от факторов риска. Распределение доходностей опционов при нормальном распределении доходностей базового актива (как фактора риска) является несимметричным, поэтому аналитически VaR портфеля, включающего опционы, посчитать нельзя. Поэтому для нахождения процентных точек необходимо использовать другие методы, которые и излагаются ниже [3, стр. 22].

В гамма-нормальных моделях функция доходности портфеля ΔP(Δt, Δx) аппроксимируется до второго порядка: предполагается, что P(t,x) имеет вторые производные по t и x:

 

 

 

 

Далее, рассмотрим методы вычисления квантилей.

2.3.1 Аналитический метод

Данный метод состоит в том, чтобы аппроксимировать распределение ΔP(Δt,Δx) распределением из определенного параметрического семейства (отличным от нормального), а затем по найденному распределению найти квантиль. Разложим P(t,x) в ряд Тейлора до второго порядка:


Таким образом, ΔP(Δt, Δx) ≡ P(t, x) - P(t0, x0) - квадратичная функция от вектора доходностей актива ∆x, имеющего нормальное распределение.

Для функции распределения FP не существует аналитического выражения, поэтому применяются различные аппроксимации, использующие разложения по более простым функциям распределения одной переменной (хи-квадрат, специальные функции и т.д.). К примеру, разложение Корниш-Фишера (Cornish-Fisher) имеет следующее выражение:

 

где Φ(α) - функция нормального распределения, k3 и k4 - кумулянты распределения FP.

2.3.2 Оптимизационный метод

Используя определение VaR, его значение можно находить как решение оптимизационной задачи.

При сделанных предположениях о квадратичной функции стоимости портфеля и нормальном распределении переменных состояния (компоненты вектора цен инструментов) оптимизационная задача примет вид:


Для численного решения задачи оптимизации с квадратичной целевой функцией существуют эффективные методы, например Левенберга-Маркварда.

Помимо определения собственно значения VaR, решение задачи дает еще и сценарий (значения переменных состояния), при котором это значение достигается. Однако при большом числе переменных состояния данный метод применять становится невыгодным [3, стр. 24].

2.3.3 VaR для опционов методом Монте-Карло

Рассмотрим европейский опцион колл на какой-либо базовый актив equity (фондовый индекс или акция) и введем следующие обозначения:

 - цена базового актива;

 - цена европейского опциона колл;

 - страйк колл;

 - срок действия опциона во времени

 - годовая безрисковая ставка процента (при непрерывном начислении);

 - годовая вмененная волатильность базового актива (волатильность, получаемая из котируемой на рынке цены опциона путем решения обратной задачи);

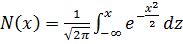
 - функция распределения стандартной нормальной случайной величины;

 - функция распределения плотности вероятности стандартной нормальной случайной величины;

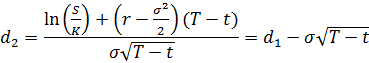
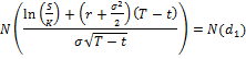
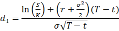
Цена европейского опциона колл с допущением о нулевой дивидендной доходности базового актива и неизменной вмененной волатильности на момент времени  определяется формулой (моделью) Блэка-Шоулза [18, 19]:

, где


Формула ценообразования опциона - формула Блэка-Шоулза - является решением уравнения в частных производных, которое получается из предположения о броуновском характере движения цены базового актива с фиксированной ожидаемой доходностью и волатильностью, а также динамическом дельта-хеджировании опциона с помощью самого базового актива [18,19].

Зная формулу ценообразования, можно посчитать теоретическое значение цены опциона на каждый момент времени для различных сценариев цены базового актива. Таким образом, используя рассмотренный выше метод Монте-Карло для генерирования доходностей базового актива (раздел Метод Монте-Карло), можно получить распределение цены опциона на заданный момент времени и, следовательно, посчитать VaR опциона.

Основным недостатком данного подхода является вычислительная сложность, в особенности, если в портфеле несколько опционов различных типов (европейский/американский, пут/кол), а также при необходимости моделирования траекторий цены базового актива (что важно для экзотических path-dependent опционов). Кроме того, существует множество экзотических опционов, для которых не существует аналитических решений (другими словами, система характеризующих дифференциальных уравнений не имеет аналитического решения), поэтому на каждой итерации становится необходимым производить численное решение системы ДУ.

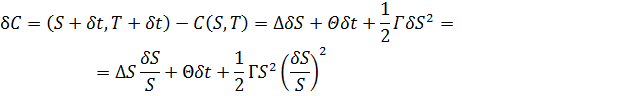
2.3.4 Δ-Γ-Θ-аппроксимация

Как уже отмечалось выше, изменение цены нелинейного финансового инструмента может быть аппроксимировано с помощью частных производных цены инструмента по факторам риска. При этом вне зависимости от того, существует ли аналитическая формула для цены инструмента (например, экзотического опциона) или нет, изменение цены можно разложить в ряд Тейлора n-ого порядка.

Для европейского опциона колл определены следующие частные производные по факторам риска, являющиеся существенными при разложении цены опциона в ряд Тейлора 2-ого порядка:

 

Таблица 2.2 - Греки европейского опциона колл

Греки

Суть

Значение

Дельта Δ

Гамма Γ

Вега υ

Тета Θ

Ро ρ


Таким образом, изменение цены европейского опциона колл за период времени  будет иметь вид:


В предположении о постоянстве вмененной волатильности, а также учитывая незначительное влияние фактора безрисковой процентной ставки при разумном диапазоне ее возможных изменений, формула принимает следующий вид:


Данное выражение называется дельта-гамма-тета-аппроксимацией цены европейского опциона колл. Второе представление показывает, что изменение цены опциона определяется двумя случайными факторами: доходностью и квадратом доходности базового актива. Первая случайная величина распределена нормально, вторая - по закону χ-квадрат. Таким образом, именно за счет второй компоненты происходит корректировка на ненормальность.

Основным недостатком метода является его неточность при значительном временном горизонте и больших значениях гамма, когда опцион близок к экспирации или «в деньгах».

Рассмотрим европейский опцион колл со сроком погашения 1 год и рассчитаем значения цены опциона через 0,5 года в предположении о неизменности вмененной волатильности и безрисковой процентной ставки на основе сгенерированных методом Монте-Карло значений доходности базового актива - Индекса РТС. Расчет цен опциона осуществляется 1) по формуле Блэка-Шоулза и 2) методом Δ-Γ-Θ-аппроксимации.

Из графиков ниже видно, что с увеличением доходности Индекса РТС величина ошибки Δ-Γ-Θ-аппроксимации также увеличивается. При этом даже при небольших изменениях Индекса величина ошибки все равно существенна.

Рисунок 2.9 - Цена опциона по методу Δ-Γ-Θ-аппроксимации относительно цены по формуле Блэка-Шоулза (период = 0,5 года)

Рисунок 2.10 - Распределения доходностей базового актива и опциона

Рассмотрим аналогичный пример, но с периодом изменений в 10 дней. Качество Δ-Γ-Θ-аппроксимации становится значительно выше, что продемонстрировано ниже. Так, вплоть до значения цены опциона в 30ед., что соответствует изменению цены Индекса РТС минимум на 22% за 10 дней, существенных ошибок аппроксимации не наблюдается.

Рисунок 2.11 - Цена опциона по методу Δ-Γ-Θ-аппроксимации относительно цены по формуле Блэка-Шоулза (период = 10 дней)

 

Рисунок 2.12 - Распределения доходностей базового актива и опциона

Из сравнения распределений доходностей опциона можно сделать вывод, что для более коротких временных изменений Δ-Γ-Θ-аппроксимация работает достаточно хорошо. Таким образом, оценка VaR опциона с помощью аппроксимации (по формуле ниже) будет достаточно точной.

 

 

Таблица 2.3 - Сравнение VaR’ов, полученных различными методами

Метод

VaR 95%

VaR 99%

Монте-Карло по формуле Блэка-Шоулза

-57,79%

-71,48%

Монте-Карло по методу Δ-Γ-Θ-аппроксимации

-56,98%

-72,18%


Суммируя выше сказанное, можно сделать вывод, что при коротких горизонтах оценки VaR Δ-Γ-Θ-аппроксимация дает достаточно хорошее приближение. Принимая во внимание тот факт, что данный подход является на порядок проще с вычислительной точки зрения, а также учитывая, что Базельское соглашение о достаточности капитала регламентирует для оценки рыночного VaR 10-дневный горизонт, метод Δ-Γ-Θ-аппроксимации широко применяется на практике.

3. Эффективность и сравнительный анализ методик оценки рыночного риска

 

.1 Качественный анализ

Поскольку современный финансовый риск-менеджмент оперирует показателями на основе VaR, необходимо четко представлять себе, какой из методов расчета рыночного риска и в каких условиях показывает наилучшие результаты [2].

В данной работе рассматриваются такие методы оценки VaR, как:

·                    дельта-нормальный (вариационно-ковариационный) метод, используя параметрические подходы оценки волатильности (постоянные вариации, экспоненциально-взвешенные вариации и модель GARCH (1,1)) и непараметрические подходы оценки волатильности (ядерные оценки и Фурье-преобразование);

·                    историческое моделирование;

·                    методы теории экстремальных значений (Expected Shortfall и Extreme Value Theory)

Далее будет подробно описаны результаты по каждой методике и последующее сравнение по некоторым критериям.

Экспериментальное исследование заключается в тестировании моделей на основе исторических данных (backtesting), то есть производится прогонка моделей по выборке. В качестве выборки используется динамика индекса РТС за период 10.01.2001 - 06.05.2011.

Описание результатов:

1)      На рис. 3.1 и 3.2 графики параметрического VaR с постоянными вариациями достаточно хорошо ведут себя на участках, соответствующих периодам стационарности, однако плохо ведут себя при резких скачках и сменах кластеров волатильности. Связано это с тем, что они просто не успевает среагировать на резкие скачки, а на смены кластеров реагирует очень медленно.

По результатам из таблицы 3.2 можно сказать, что по показателю числа превышений модель является адекватной, однако показатели суммарного непредвиденного убытка и переизбытка капитала достаточно большие, из-за чего можно сделать вывод, что модель для данного рынка не эффективна по сравнению с другими;

)        На рис. 3.1 и 3.2 графики параметрического VaR с экспоненциально-взвешенными вариациями показывают результаты получше, чем предыдущий метод. Модель хорошо реагирует на небольшие изменения, “старается” успевать среагировать на смены кластеров и их постепенно затухающий вид, однако, на одиночные выбросы модель реагирует менее чувствительно.

По результатам из таблицы 3.2 можно сказать, что по показателю числа превышений модель также является адекватной, а показатели суммарного непредвиденного убытка и переизбытка капитала являются одними из лучших по сравнению с другими.

Поэтому можно сделать вывод, что данная модель является одной из лучших для данного рынка;

)        На рис. 3.1 и 3.2 графики параметрического VaR с помощью GARCH (1,1)-модели показывают лучший результат, чем обе предыдущие модели. На графиках можно заметить, что модель пытается быть максимально чувствительной, то есть менее сглаженной в отличие от двух предыдущих моделей. При одиночных выбросах и сменах кластеров модель ведет себя очень чувствительно по сравнению с предыдущими моделями, при дальнейших спадах также резко меняет свой вид, “стараясь” следовать за рынком.

По результатам из таблицы 3.2 можно сказать, что по показателю числа превышений модель практически идентична предыдущей модели, а по показателям суммарного непредвиденного убытка и переизбытка капитала - лучшая из всех рассмотренных моделей в работе.

Вывод: данная модель также является одной из лучших для данного рынка.

)        На рис. 3.1 и 3.2 графики полупараметрического VaR с ядерными оценками практически идентичны графикам модели параметрического VaR с постоянными вариациями. Возможно, это связано с тем, что распределение доходностей испытуемого ряда имеет хорошую близость к нормальному распределению, а так же, в обоих методах используется предположение, что вклад всех наблюдений рассматриваемого ряда в оценку волатильности одинаковый.

Вывод: данная модель является не эффективной для данного рынка по сравнению с другими.

)        На рис. 3.1 и 3.2 графики полупараметричесеого VaR с помощью Фурье-преобразования ведут себя слишком консервативно. На графиках можно заметить, что модель очень чувствительна к резким перепадам и одиночным выбросам, а при дальнейших спадах не успевает среагировать на них, из-за чего происходит переоценка риска. Скорей всего это связано с тем, что, как и в предыдущей модели, оценка волатильности считалась “средневзвешенно” для всего периода. Существует решение данной проблемы - методика, называемая Вейвлет-анализом. Она отличается от Фурье-преобразования тем, что позволяет учесть нестационарность ряда, соотвественно учесть тот факт, что удаленные события вносят меньший вклад в оценку волатильности, чем недавние. Однако данная методика не рассматривалась в рамках работы.

По результатам из таблицы 3.2 можно сказать, что по показателям числа превышений и суммарного непредвиденного убытка модель является наилучшей из всех рассмотренных в работе, однако по показателю переизбытка капитала модель является слишком консервативной, что ведет к созданию повышенного буфера капитала под риск. Данное обстоятельство ведет к неэффективному использованию капитала финансового института.

Вывод: данная модель является не эффективной для данного рынка по сравнению с другими.

)        На рис. 3.1 и 3.2 графики исторического VaR ведут себя так же достаточно консервативно, но не слишком сильно, как предыдущая модель. Графики имеют такой ступенчатый вид из-за своего теоретического описания. Так как для каждой оценки волатильности выбранный ряд с фиксированной глубиной измерения сортируется по возрастанию и из него берется абсолютное значение убытка, то на небольших участках значение исторического VaR будет одинаковым. Основным минусом данной модели является очень медленный спад после резкого выброса, что влечет к переоценке риска.

По результатам из таблицы 3.2 можно сказать, что по показателям числа превышений и суммарного непредвиденного убытка модель является одной из лучших, однако по показателю переизбытка капитала модель уступает большинству рассмотренных моделей.

Вывод: данная модель хорошо описывает данный ряд и является одной из лучших.

)        На рис. 3.1 и 3.2 графики Expected Shortfall ведут себя достаточно консервативно, но не слишком сильно, как, например Фурье-преобразование. Также можно заметить, что динамика ES представляет собой сдвинутую кривую дельта-нормального VaR с использованием метода постоянных вариаций на некоторую дельту, меняющуюся во времени.

По результатам из таблицы 3.2 можно сказать, что по показателю числа превышений модель является одной из лучших, однако по показателям суммарного непредвиденного убытка и переизбытка капитала модель уступает ранее отмеченным моделям.

)        На рис. 3.1 и 3.2 графики EVT ведут себя достаточно консервативно. Можно заметить, что модель очень похожа на исторический VaR и также имеет ступенчатый вид. Скорей всего это связано с тем, что при расчетах использовались большие окна для фиксированной глубины, из-за чего модель очень долго спадает после одинарных выбросов.

По результатам из таблицы 3.2 можно сказать, что по показателям числа превышений и суммарного непредвиденного убытка модель является одной из лучших, однако по показателям переизбытка капитала модель уступает всем ранее отмеченным моделям.

Вывод: данная модель не подходит для описания данного ряда.

Общий результат: наилучшими метриками для данного ряда оказались параметрические VaR GARCH(1,1) и VaR с экспоненциально-взвешенных вариациями. Хоть они и имеют не лучшие показатели числа превышений, но относительно адекватный размер суммарного непредвиденного убытка и одновременно наименьшие значения переизбытка капитала говорят о том, что данные метрики являются более чувствительными и лучше всех отражают кластеризацию волатильности и выбросы для данного ряда.

 

3.2 Количественный анализ

Таблица 3.2 - Результаты расчетов


VaR с постоянными вариациями

VaR с экспоненциально-взвешенными вариациями

VaR ядерными оценками

VaR Фурье-преобразованием

Исторический VaR

VaR GARCH(1,1)

Expected Shortfall

Extreme Value Theory


VaR 95%

VaR 99%

VaR 95%

VaR 99%

VaR 95%

VaR 99%

VaR 95%

VaR 99%

VaR 95% (глубина 21 день)

VaR 99% (глубина 126 дней)

VaR 95%

VaR 99%

ES 95%

ES 99%

EVT 95% (глубина 21 день)

EVT 99% (глубина 126 день)

Число превышений

135

63

142

57

135

62

72

32

129

31

147

64

81

41

82

25

% превышений в выборке

5,30%

2,47%

5,58%

2,24%

5,30%

2,44%

2,83%

1,26%

5,07%

1,22%

5,77%

2,51%

3,18%

1,61%

3,22%

0,98%

Суммарный непредвиденный убыток, %

-247%

-125%

-198%

-83%

-245%

-123%

-96%

-41%

-151%

-51%

-191%

-75%

-161%

-90%

-104%

-42%

Переизбыток капитала, %

9541%

13252%

8635%

11997%

9558%

13277%

15147%

21310%

10579%

18089%

8517%

11744%

11805%

15123%

12755%

19896%

 

Рисунок 3.1 - Динамика доходности РТС и различных метрик для 95%-ного доверительного уровня

методика рыночный риск портфельный теория

Рисунок 3.2 - Динамика доходности РТС и различных метрик для 99%-ного доверительного уровня

Вывод

 

Данная работа начиналась с определения рыночного риска, были затронуты теоретические основы оценки рыночного риска, а именно гипотеза эффективного рынка, современная портфельная теория Марковица и её продолжения.

Далее, были рассмотрены традиционные методы оценки рыночных рисков, подробно разобраны как параметрические, так и непараметрические методы, и их применение на известных данных для получения результатов.

Цель в данной работе заключалась в исследовании различных методик измерения рыночного риска, проверке их эффективности и проведении их сравнительного анализа на примере финансовых инструментов.

В результате, на основе полученных результатов по итогам расчётов, был проведен сравнительный анализ наиболее известных и менее известных в практике методов, в числе которых:

·      параметрический VaR с постоянными вариациями;

·        параметрический VaR с экспоненциально-взвешенными вариациями;

·        параметрический VaR с помощью GARCH(1, 1)-модели;

·        полупараметрический VaR ядерными оценками;

·        полупараметрический VaR Фурье-преобразованием;

·        исторический VaR;

·        Expected Shortfall;

·        Extreme Value Theory.

В итоге было получено, что для оценки рыночного риска портфеля на примере индекса РТС для линейных инструментов наилучшими методами оказались параметрический VaR GARCH(1, 1) и параметричей VaR с экспоненциально-взвешенными вариациями. Данные модели смогли наиболее чувствительно себя проявить на примере индекса РТС.

Также, в работе были рассмотрены методы оценки VaR для нелинейных инструментов (опционов):

·      Монте-Карло через формулу Блэка-Шоулза;

·        Монте-Карло по методу Δ-Γ-Θ-аппроксимации.

Было получено, что на длинных периодах, качество Δ-Γ-Θ-аппроксимации ухудшается, однако на коротких периодах метод работает достаточно хорошо и показывает практически идентичные результаты относительно более трудоемкого соперника.

В заключении, хотелось бы отметить про ограниченность исследования. В первую очередь, для расчетов был выбран индекс РТС в качестве одного актива в портфеле, хотя для более полного исследования можно было бы выбрать портфель различных активов. Соответственно, не исследовались оценки корреляций активов в портфеле. Также, в работе не применялись различные статистические тесты. Для лучшего и более точного исследования существуют стандартные статистические тесты, главными критериями которых являются соответствие модели VaR его статистическому определению и эффективность. Однако для их вычисления обычно требуются достаточно большие выборки, трудоемкие вычисления и высокопроизводительные системы. Например, не был исследован метод Монте-Карло ввиду ограниченности вычислительной мощности. Все это является значительными ограничениями с точки зрения справедливости приведенных теоретических выкладок и неполноты результатов исследования. Однако, эти ограничения являются предметом моих дальнейших исследований.

Используемые источники и литература

1.       Банк России. Положение от 14 ноября 2007 г. № 313-П «О порядке расчета кредитными организациями величины рыночного риска» // КонсультантПлюс.

.        Лобанов, А.А. Энциклопедия финансового риск-менеджмента / Под ред. А.А. Лобанова и А.В. Чугунова. - 3-е изд. - М.: Альпина Бизнес Букс, 2007. - 878 с.

.        Шелагин, Д.А. Рыночные риски: модели и методы / И.С. Меньшиков, Д.А. Шелагин - Вычислительный центр РАН, 2000 г. - 46 с.

4.       Электронный ресурс: http://ru.wikipedia.org/wiki/ Гипотеза_эффективного_рынка <http://ru.wikipedia.org/wiki/Гипотеза_эффективного_рынка>

.        Халл, Д.К. Опционы, фьючерсы и другие производные финансовые инструменты / Джон К. Халл - 6-ое изд. - М.: Вильямс, 2008. - 1044 с.

6.       Филатов, Д.А. Моделирование и анализ финансовых рынков на основе методов нелинейной динамики: диссертация на соискание ученой степени кандидата экономических наук: 08.00.13 / Филатов Данила Александрович; Институт менеджмента, маркетинга и финансов - Воронеж, 2007. - 156 с.

.        Шарп, У. Инвестиции / Шарп У. Александер Г., БэйлиДж. - М.: ИНФРА-М, 2001. - XII, 1028 с.

8.       Электронный ресурс: <http://www.parusinvestora.ru/carticles/cart2_5.shtm>

.        Электронный ресурс: <http://www.finrisk.ru/>

.        Электронный ресурс: <http://citforum.ru/consulting/articles/ofsa/ofsa_3.shtml>

.        Электронный ресурс: <http://www.nsc.ru/ws/YM2004/8555/Martynova.htm>

.        Электронный ресурс: <http://www.wilmott.com/messageview.cfm?catid=4&threadid=4676>

.        Электронный ресурс: <http://www.ise.ufl.edu/uryasev>

.        Электронный ресурс: http://www.machinelearning.ru/wiki/index.php?title=Непараметрическая_регрессия:_ядерное_сглаживание <http://www.machinelearning.ru/wiki/index.php?title=%D0%9D%D0%B5%D0%BF%D0%B0%D1%80%D0%B0%D0%BC%D0%B5%D1%82%D1%80%D0%B8%D1%87%D0%B5%D1%81%D0%BA%D0%B0%D1%8F_%D1%80%D0%B5%D0%B3%D1%80%D0%B5%D1%81%D1%81%D0%B8%D1%8F:_%D1%8F%D0%B4%D0%B5%D1%80%D0%BD%D0%BE%D0%B5_%D1%81%D0%B3%D0%BB%D0%B0%D0%B6%D0%B8%D0%B2%D0%B0%D0%BD%D0%B8%D0%B5>

.        Engel J., Gizycki M. Conservatism, Accuracy and Efficiency: Comparing Valueat-Risk Models. // Sydney: Reserve Bank of Australia, 1998.

.        Электронный ресурс: http://ru.wikipedia.org/wiki /Дискретное_преобразование_Фурье <http://ru.wikipedia.org/wiki%20/Дискретное_преобразование_Фурье>

.        Буренин А.Н. Управление портфелем ценных бумаг / М., Научно-техническое общество имени академика С.И. Вавилова, 2008 г. - 440 c.

18.     Black, Fischer; Scholes, Myron. "The Pricing of Options and Corporate Liabilities". Journal of Political Economy 81 (3).

19.     Merton, Robert. "Theory of Rational Option Pricing". Bell Journal of Economics and Management Science 4 (1): 141-183.

Похожие работы на - Исследование различных методик оценки рыночного риска и использование их для построения оценки величины рыночного риска на примере финансовых инструментов

 

Не нашли материал для своей работы?
Поможем написать уникальную работу
Без плагиата!
Без нейросетей!