Основы моделирования и принятия решений в технологических системах
Федеральное агентство по образованию
Государственное образовательное
учреждение
высшего профессионального образования
НИЖЕГОРОДСКИЙ ГОСУДАРСТВЕННЫЙ
ТЕХНИЧЕСКИЙ УНИВЕРСИТЕТ им.
Р.Е.Алексеева
Контрольная работа
по дисциплине «Основы моделирования и
принятия решений в технологических системах»
Кафедра «Компьютерное проектирование
металлообрабатывающих
и инструментальных систем»
Выполнил: студент
Группы 2801020908
Проверил: преподаватель
Букин П.Э.
Н. Новгород, 2013 г.
Задание №1
В данном задании требуется решить математическую двухпараметрическую
задачу оптимизации на основе методов линейного программирования (ЛП).
= -3x1 + x2 ® min
2x1 + 3x2 = 5
x2 ³ - 1
x1 ³ - 2
х1 ³ 0
х2 ³ 0
Решение
задачи ЛП графическим методом
Построим
прямые ограничений, для чего вычислим координаты точек пересечения этих прямых
с осями координат (рис.1).

Прямая (2) проходит через точку x2 = - 1 параллельно оси x1
Прямая (3) проходит через точку x1 = - 2 параллельно оси x2
Целевую прямую построим по уравнению :
-3x1 + x2 = -3
Определим ОДР. Ограничение-равенство (1) допускает только точки, лежащие
на прямой (1). Подставим точку (0;0) в ограничение (2), получим 0 ³ - 1, что является истинным неравенством, поэтому стрелкой
обозначим полуплоскость, содержащую точку (0;0), т.е. расположенную выше прямой
(2). Подставим точку (0;0) в ограничение (3), получим 0 ³ - 2, что является истинным неравенством, поэтому стрелкой обозначим
полуплоскость, содержащую точку (0;0), т.е. расположенную выше прямой (3).
Анализ полуплоскостей, допустимых ограничениями-неравенствами, позволяет
определить, что ОДР - это отрезок АВ.
Строим
вектор
из точки (0;0) в точку (-3;1). Для поиска минимума ЦФ
двигаем целевую прямую против направления вектора
. Поскольку
и
должны быть неотрицательными, то их допустимые
значения всегда будут находиться выше оси
и правее
оси
, т.е. в I-м квадранте. Анализ
полуплоскостей, допустимых остальными ограничениями-неравенствами, позволяет
определить, что ОДР - это отрезок АВ
Рис. 1
Для
поиска минимума ЦФ двигаем целевую прямую против направления вектора
. Точка В - это последняя точка отрезка АВ, через
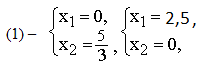
которую проходит целевая прямая, т.е. В - точка минимума ЦФ. Координаты т. В
нам известны из решения уравнения (1)
линейное программирование
интегральная оценка

Минимальное
значение ЦФ равно Q(В) = - 3*2,5 + 0= - 7,5
При
поиске точки максимума ЦФ будем двигать целевую прямую по направлению вектора
. Последней точкой отрезка АВ, а значит, и точкой
максимума будет А.
Координаты
т. А нам известны из решения уравнения (1)
Максимальное
значение ЦФ равно Q(А) = - 3*0 + 3/5 = 3/5
Задание №2
Участок механообработки выпускает в числе прочих деталей валы и фланцы.
Используется оборудование: заготовительный, токарный, сверлильный, шлифовальный
станки. Задача заключается в том, чтобы построить оптимизационную ММ,
позволяющую с наибольшим эффектом распределить детали по станкам, и провести
необходимое исследование.
В качестве управляемых параметров, как видно из сути задачи, можно
принять количество валов и фланцев, которое можно обработать на этих станках. В
качестве критерия оптимальности - прибыль или доход от обработки всех деталей.
Тогда задача будет сформулирована следующим образом: необходимо определить
такое количество валов и фланцев, чтобы прибыль (доход) была максимальной.
|
Вар.
|
D1, руб.
|
D2, руб.
|
tв1, мин
|
tв2, мин
|
tв3, мин
|
tв4, мин
|
tф1,
мин
|
tф2, мин
|
tф3, мин
|
tф4, мин
|
T1, мин
|
T2, мин
|
T3, мин
|
T4, мин
|
№задания для анализа
(табл.3)
|
|
8
|
4500
|
5000
|
2
|
4
|
4
|
4
|
5
|
8
|
9
|
9
|
150
|
200
|
180
|
70
|
|
7
|
Каким фондом времени должен
обладать токарный станок, чтоб обработать 10 валов и 15 фланцев?
|
|
|
|
|
|
|
|
|
|
|
|
|
|
|
|
|
|
Обозначим х1 - число валов, х2 - число фланцев. В качестве критерия
оптимальности выберем доход. В случае, если на предприятии известен доход от
изготовления одной детали, критерий оптимальности (доход) можно будет
сформулировать следующим образом:
Q = D1 x1 + D2 x2 ® max,= 4500 x1 + 5000 x2 ® max,
где D1 , D2 - доход от обработки одного вала и одного фланца
соответственно.
Ограничения на управляемые параметры можно составить из временных
возможностей станков, т.е. фонда времени работы станков. Так, если
заготовительный станок имеет фонд времени T1 минут, то время обработки всех валов и фланцев на
заготовительном станке не должно превышать эту величину T1. Тогда, приняв время обработки
одного вала на заготовительном станке за tв1, получим суммарное время обработки всех валов на
заготовительном станке tв1
х1. Аналогично, если время обработки одного фланца на заготовительном станке - tф1, то время обработки всех фланцев
на заготовительном станке будет равно tф1х2. В сумме время обработки всех валов и фланцев на заготовительном
станке будет равно величине (tв1 х1
+ tф1 х2 ) и оно не должно превышать
фонд времени заготовительного станка, т.е.:
tв1 х1
+ tф1 х2 £ Т1 .
х1 +5 х2 £ 150 .
Аналогично можно записать ограничения по фонду времени работы каждого
станка:
токарного: tв2 х1 + tф2 х2 £ Т2 ; 4 х1 + 8 х2 £ 200
сверлильного: tв3 х1 + tф3 х2 £ Т3 ; 4 х1 + 9 х2 £ 180
шлифовального: tв4 х1
+ tф4 х2 £ Т4,, 4 х1 + 9 х2 £ 70
где Т1, Т2, Т3, Т4 - фонд времени работы соответственно заготовительного,
токарного, сверлильного, шлифовального станков, tв1, tв2, tв3, tв4 - время обработки одного вала на соответственно
заготовительном, токарном, сверлильном, шлифовальном станках, tф1, tф2, tф3, tф4 - время обработки одного фланца на
соответственно заготовительном, токарном, сверлильном, шлифовальном станках.
Q =
4500 x1 + 5000 x2 ® max,
х1 +5 х2 £ 150 (1)
х1 + 8 х2 £ 200 (2)
х1 + 9 х2 £ 180 (3)
х1 + 9 х2 £ 70 (4)
х1 ³ 0
х2 ³ 0
Построим прямые ограничений, для чего вычислим координаты точек
пересечения этих прямых с осями координат (рис.2)
Целевую прямую построим по уравнению :
x1 +
5000 x2 = 225000
Определим ОДР. Например, подставим точку (0;0) в исходное ограничение
(1), получим 0£ 150, что
является истинным неравенством, поэтому стрелкой) обозначим полуплоскость,
содержащую точку (0;0), т.е. расположенную левее и ниже прямой (1). Аналогично
определим допустимые полуплоскости для остальных ограничений и укажем их
стрелками у соответствующих прямых ограничений. Анализ полуплоскостей,
допустимых остальными ограничениями-неравенствами, позволяет определить, что
ОДР - это треугольник АВО.
Строим
вектор
из точки (0;0) в точку (50;45).
Для
поиска точки максимума ЦФ будем двигать целевую прямую по направлению вектора
. Точка А - это последняя вершина треугольника
допустимых решений ABО, через которую проходит целевая прямая, двигаясь по
направлению вектора
. Поэтому А - это точка максимума ЦФ. Определим
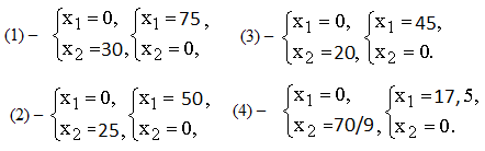
координаты точки А из ур. (4).
х1
+ 9 х2 £ 70
Максимальное
значение ЦФ равно: Q(А) = 4500*17,5
+ 5000*0 = 78750 руб.
Каким
фондом времени должен обладать токарный станок, чтоб обработать 10 валов и 15
фланцев?
Обозначим
х1 - число валов, х2 - число фланцев, T - фонд времени, ограничения по
фонду времени работы токарного станка:
tв2 х1
+ tф2 х2 £ Т22 ; 4 х1 + 8 х2 £ Т22
*10 + 8*15 £ Т22
+120 £ Т22
Т22 = 160 мин.
Задание № 3
Описание задачи
Цель решения задачи - выбрать оптимальную профессию, для которой показатели
безопасности будут минимальными или максимальными.
Суть методики интегральной оценки условий труда заключается в балльной
оценке условий труда по гигиеническим показателям производственной среды.
Балльные оценки условий труда приведены в Р 2.2.2006-05 «Гигиенические критерии
оценки и классификация условий труда по показателям вредности и опасности
производственной среды, тяжести и напряженности трудового процесса».
|
Условия труда
|
Балльная оценка
|
|
1 класс
|
1 балл
|
|
2 класс
|
2 балла
|
|
3.1 класс
|
3 балла
|
|
3.2 класс
|
4 балла
|
|
3.3 класс
|
5 баллов
|
|
3.4 класс
|
6 баллов
|
|
Вариант
|
Факторы производственной
среды
|
Наименование профессии
|
|
|
8
|
Пыль, Шум, Эл.магн.
излучение, Вибрация, Освещение
|
Хирург, Плавильщик,
Крановщик, Столяр, Электромонтер
|
|
|
Наименование профессии
|
Классы условий труда по
факторам производственной среды
|
|
Вредные вещества
|
Пыль
|
Шум
|
Вибрация
|
Освещение
|
Эл.магн. излучние
|
Тя жесть
|
|
Хирург
|
3.1
|
2
|
2
|
3.2
|
3.1
|
2
|
2
|
2
|
|
Плавильщик
|
3.2
|
3.1
|
3.1
|
2
|
2
|
3.2
|
3.1
|
3.2
|
|
Крановщик
|
2
|
2
|
2
|
3.1
|
3.1
|
3.1
|
2
|
2
|
|
Столяр
|
2
|
3.1
|
3.1
|
2
|
3.2
|
2
|
2
|
3.1
|
|
Электромонтер
|
2
|
2
|
2
|
2
|
3.1
|
3.1
|
3.1
|
2
|
|
|
|
|
|
|
|
|
|
|
|
|
1. Определяется балльная оценка
в зависимости от класса условий труда
|
Категории тяжести труда
|
|
|
|
|
|
|
|
Интегральная бальная оценка
|
до 1,8
|
от 1,9 до 3,3
|
от 3,4 до 4,5
|
от 4,6 до 5,3
|
от 5,4 до 5,8
|
от 5,9 до 6,9
|
|
Доплаты при условии труда
|
-
|
-
|
4-8%
|
12-16%
|
20%
|
24%
|
Интегральная балльная оценка тяжести и напряженности труда:
T1 =
3,2 + (((6 - 3,2)*9,1)/6*4) = 3,2 + ((2,8*9,1)/24) = 4,26 3.2 класс
T2 =
3,1 + ((2,9*10,2)/24) = 4,33 3.2 класс
T3 =
3,2 + ((2,9*9,1)/24) = 4,29 3.2 класс
T4 =
3,2 + ((2,8*10,2)/24) = 4,39 3.2 класс
В случае сочетанного действия 3 и более факторов, относящихся к классу
3.1, общая оценка условий труда соответствует классу 3.2; при сочетании 2-х и
более факторов 3.2, 3.3, 3.4 - условия труда оцениваются соответственно на одну
степень выше.
2.
Рассчитывается уровень безопасности
по i-му
фактору производственной среды:
,
где
- максимальная балльная оценка, принимается
= 6,
-
балльная оценка по i - му фактору среды
Snc2 = ((6 + 1)
- 2) / 6 = 0,83
Snc3,2 = (7 -
3,2) / 6 = 0,63
Snc3,1 = (7 -
3,1) / 6 = 0,65
Рассчитываются
обобщенный уровень безопасности Snc
;=
0,83= 0,83= 0,83= 0,83= 0,83
Обобщенный
уровень риска
,
;
Rnc = 1 - 0,83=
0,17
Rnc = 1 - 0,63=
0,37
Rnc = 1 - 0,65=
0,35
Годовой
профессиональный риск
,
Где
- уровень безопасности по i-му фактору
производственной среды, n - число учитываемых факторов производственной среды, t -
трудовой стаж, принимается t=25 лет. Rг = 1 - (0,83)25 =1 - 0,0094 =
0,9906
Значения
и
для факторов производственной средыКритерий
Критерий
Критерий
|
г
|
|
|
|
|
|
Пыль
|
Шум
|
Вибра- ция
|
Освещение
|
Эл.магн. излучние
|
|
|
|
|
Хирург
|
223.23.120,830,370,9906
|
|
|
|
|
|
|
|
|
|
0,830,830,630,650,83
|
|
|
|
|
|
|
|
|
Плавильщик
3.13.1223.10,830,35
|
0,9906
|
|
|
|
|
|
|
|
|
|
|
0,650,650,830,830,65
|
|
|
|
|
|
|
|
|
Крановщик
223.13.120,830,35
|
0,9906
|
|
|
|
|
|
|
|
|
|
|
0,830,830,650,650,83
|
|
|
|
|
|
|
|
|
|
Столяр
|
3.13.123.220,830,370,9906
|
|
|
|
|
|
|
|
|
|
0,650,650,830,630,83
|
|
|
|
|
|
|
|
|
|
Электромонтер
|
2223.13.10,830,350,9906
|
|
|
|
|
|
|
|
|
|
0,830,830,830,650,65
|
|
|
|
|
|
|
|
|
Годовой
профессиональный риск
. Результаты сводятся в таблицу:
4. Определяется оптимальный вариант (профессия) по каждому критерию.
Пыль: Хирург, Крановщик, Электромонтер
Шум: Хирург, Крановщик, Электромонтер
Вибрация: Плавильщик, Столяр, Электромонтер
Освещение: Плавильщик
Эл.магн. излучние: Хирург, Крановщик, Столяр
Далее выбирается единственный вариант по всем критериям одновременно:
Электромонтер, Хирург, Крановщик
Я выбираю электромонтера, тк меньше ответственность, есть опыт работы