Оптимальная система автоматического управления линейным объектом второго порядка
ОГЛАВЛЕНИЕ
АННОТАЦИЯ
ВВЕДЕНИЕ
. КЛАССИФОИКАЦИЯ ОПТИМАЛЬНЫХ СИСТЕМ
АВТОМАТИЧЕСКОГО УПРАВЛЕНИЯ
1.1 Критерии оптимального
управления
1.2 Условия трансверсальности
.3 Типы задач
1.4 Методы решения
задач синтеза оптимальных систем
1.4.1 Вариационное
исчисление
1.4.2 Принцип максимума
.4.3 Динамическое
программирование
2. РАСЧЕТ ОПТИМАЛЬНЫХ СИСТЕМ АВТОМАТИЧЕСКОГО УПРАВЛЕНИЯ
ОБЪЕКТОВ II ПОРЯДКА ПО БЫСТРОДЕЙСТВИЮ
2.1 Представление объектов в
пространстве состояний
2.2
Синтез системы объекта
с 
.3
Синтез системы объекта
с 
.4
Синтез системы объекта
с 
.
МОДЕЛИРОВНИЕ ОПТИМАЛЬНЫХ СИСТЕМ АВТОМАТИЧЕСКОГО
УПРАВЛЕНИЯ
.1
Описание пакета "20-sim Pro 2.3"
.2
Моделирование объекта с передаточной функцией 
.3
Моделирование объекта с передаточной функцией 
.4
Моделирование объекта с передаточной функцией 
.
ЭКОНОМИЧЕСКОЕ ОБОСНОВАНИЕ РАЗРАБОТКИ ПРОГРАММЫ
.1
Стоимость одного машинного времени
.2
Расчет стоимости разработки программы
.3
Цена программного продукта
.4
Расчет экономической эффективности от внедрения программы.
.
БЕЗОПАСНОСТЬ И ЭКОЛОГИЧНОСТЬ ПРОЕКТНЫХ РЕШЕНИЙ
5.1
Организация рабочего места и обеспечение безопасности при использовании ЭВМ
5.2 Мероприятия, обеспечивающие
комфортные условия труда
.3 Установления микроклимата
производственной среды в лабораториях использующих ЭВМ
.4 Мероприятия по борьбе с шумом и
вибрациями
.5 Освещение рабочего места
.6 Расчет освещения
ЗАКЛЮЧЕНИЕ
ЛИТЕРАТУРА
ПРИЛОЖЕНИЯ
АННОТАЦИЯ
Дипломная работа посвящена исследованию на
модели оптимальных систем автоматического управления с объектами, динамика
которых описывается линейными дифференциальными уравнениями второго порядка.
Из всего класса оптимальных систем выбраны
системы оптимальные по быстродействию. Моделирование этих выполнено с
использованием с использованием программного продукта "20-sim
Pro 2.3".
В дипломной работе так же рассмотрены вопросы
экологии и безопасности жизнедеятельности. Включен
экономический
Degree work is dedicated
to study on models of the optimum systems of the autocontrol with object, which
track record is described by linear differential equations of the second
order.optimum are chose In current whole of class of the optimum systems on
speed. Modeling these are executed with use with use the programmer product
"20-sim Pro 2.3".degree work in the same way considered questions to
ecologies and safety to vital activity. It is Enclosed economic
ВВЕДЕНИЕ
Бурное развитие
техники, интенсификация производства, необходимость увеличения
производительности труда выдвинули перед учеными и инженерами, работающими в
области автоматики, задачи создания высококачественных систем автоматического
управления, которые способны решать все более сложные задачи управления и
заменить человека в сложных сферах его деятельности.
Параллельно с
развитием техники развивалась и общая теория управления - техническая
кибернетика, являющаяся базой современной автоматики информационных технологий.
Одним из важнейших направлений технической кибернетики является теория
оптимальных автоматических систем, которая зародилась в конце сороковых годов.
Под оптимальной САУ понимается наилучшая в известном смысле система. Решение
проблемы оптимальности позволит довести до максимума эффективность
использования производственных агрегатов, увеличить производительность и
качество продукции, обеспечить экономию энергии и ценного сырья и т. д.
Во многих аспектах
техники управления существуют проблемы оптимальных систем. Это - задачи
построения оптимальных по быстродействию САУ, задачи оптимальной фильтрации
сигнала, принимаемого на фоне помех, задачи построения оптимальных
прогнозирующих устройств, оптимальных методов распознавания образов, оптимальной
организации автоматического поиска и т. д. Между всеми этими различными на
первый взгляд задачами имеется внутренняя связь, которая является базой для
построения единой теории оптимальных систем [1].
Критерии
оптимальности, на основе которых строится система, могут быть различны и
зависят от специфики решаемой задачи. Это могут быть производительность,
экономичность, надежность. Для процессов в САУ критериями могут быть: время
регулирования, вид кривой переходного процесса, точность воспроизведения
входного сигнала при наличии помех и т. п.
Значение теории
оптимальных систем для практики исключительно велико. Без нее весьма трудно
создавать оптимальные и близкие к оптимальным САУ. Теория оптимальных систем
позволяет оценить тот предел, который может быть достигнут в оптимальной
системе, сравнить ее с показателями действующей неоптимальной системы и
выяснить целесообразность в рассматриваемом случае заниматься разработкой
оптимальной системы.
Наибольшее развитие
в современной теории оптимальных САУ получили два направления. Первое - теория
оптимального управления движением системы в фазовом пространстве; второе-теория
оптимального управления системами при воздействии случайных сигналов и помех.
Принципы
оптимального управления получают все большее распространение на практике. Они
позволили создать новые автоматические регуляторы, следящие системы и многие
другие технические устройства и достигнуть существенного прогресса в их
основных свойствах [4].
1. КЛАССИФИКАЦИЯ ОПТИМАЛЬНЫХ
СИСТЕМ АВТОМАТИЧЕСКОГО УПРАВЛЕНИЯ
.1 Критерии оптимального управления
Любая автоматическая система предназначена для
управления каким-либо объектом, должна быть построена таким образом, чтобы
осуществляемое ею управление было оптимальным, т.е наилучшем в том или ином
смысле. Задачи оптимального управления чаще всего возникают в подсистемах
управления технологическими процессами. В каждом случае существует некоторая
технологическая задача, для выполнения которой предназначается соответствующая
машина или установка (объект управления), снабженная соответствующая системой
управления, т.е. речь идет о некоторой САУ, состоящей из объекта управления и
совокупности устройств, которые обеспечивают управление этим объектом. Как
правило эта совокупность включает в себя измерительные, усилительные
преобразовательные и исполнительные устройства. Если объединить усилительные,
преобразовательные и исполнительные устройства в одно звено, называемое
управляющим устройством или регулятором, то функциональная схема САУ может быть
приведена к виду на рис. 1. 1.
Рис. 1. 2 Функциональная схема оптимальной
системы
На вход управляющего устройства
поступает задающее воздействие
, которое содержит инструкцию о том,
каково должно быть состояние объекта
- так называемое «желаемое
состояние».
На объект управления может поступать
возмущающие воздействие z, представляющие нагрузку или
помеху. Измерение координат объекта измерительным устройством может
производиться с некоторыми случайными погрешностями x (ошибка)
[2].
Таким образом, задачей управляющего
устройства является выработка такого управляющего воздействия
, чтобы
качество функционирования САУ в целом было бы наилучшим в некотором смысле. Для определения алгоритма управляющего устройства
необходимо знать характеристики объекта и характер информации об объекте и
возмущениях, которая поступает в управляющее устройство.
Под характеристиками
объекта понимают зависимость выходных величин объекта от входных
,
где F, в общем случае,- оператор, который
устанавливает закон соответствия между двумя множествами функций. Оператор F объекта может быть задан различными
способами: с помощью формул, таблиц, графиков. Его задают и в виде системы
дифференциальных уравнений, которая в векторной форме записывается так
,
где
и задавалось начальное
и конечное
значения
вектора
.
Существует много различных путей
решения рассматриваемой задачи. Но только один способ управления объектом дает
наилучший в некотором смысле результат. Этот способ управления и реализующую
его систему называют оптимальными.
Чтобы иметь количественные основания
для предпочтения одного способа управления всем другим, необходимо определить
цель управления, а затем ввести меру, характеризующую эффективность достижения
цели -критерий оптимальности управления. Обычно критерий оптимальности - это
числовая величина, зависящая от изменяющихся во времени и пространстве
координат и параметров системы так, что каждому закону управления соответствует
определенное значение критерия. В качестве критерия оптимальности могут быть
выбраны различные технические и экономические показатели рассматриваемого
процесса.
Иногда к системе управления
предъявляются различные, подчас противоречивые требования. Законы управления,
которые одновременно наилучшим образом удовлетворяли бы каждому требованию, не
существует. Поэтому из всех требований нужно выбрать одно главное, которое
должно удовлетворяться наилучшим образом. Другие требования играют роль ограничений.
Следовательно, выбор критерия оптимальности должен производиться, только на
основании изучения технологии и экономики рассматриваемого объекта и среды. Эта
задача выходит за рамки теории ОУ.
При решении задач
оптимального управления наиболее важным является задание цели управления, что
математически можно рассматривать как задачу достижения экстремума некоторой
величины Q - критерия оптимальности. В математике такую величину называют
функционалом. В зависимости от решаемой задачи необходимо достижение минимума
либо максимума Q. Например, запишем критерий оптимальности, в котором Q должно быть минимально
(1.1)
Как видно, величина Q зависит от функций
.
В качестве критерия
оптимальности могут быть приняты различные технические и технико-экономические
показатели и оценки. Выбор критерия оптимальности - это инженерная и
инженерно-экономическая задача, которая решается на основе глубокого и
всестороннего изучения управляемого процесса. В теории управления широко
распространены интегральные функционалы, характеризующие качество
функционирования системы. Достижение максимального или минимального значения
этого функционала указывает на оптимальное поведение или состояние системы. Интегральные
функционалы обычно отражают условия работы объектов управления и учитывают
ограничения (по нагреву, прочности, мощности источников энергии и т. д.),
накладываемые на координаты [8].
Для процессов
управления использоваться такие критерии:
1. оптимальное
быстродействие (время переходного процесса)
2. минимум
среднеквадратичного значения ошибки.
3. минимум
расхода затрачиваемой энергии.
Таким образом,
критерий оптимальности может относиться к переходному или к установившемуся
процессу в системе.
В зависимости от
критерия оптимальности оптимальные системы можно разделить на два основных
класса - оптимальные по быстродействию и оптимальные по точности.
Системы
оптимального управления в зависимости от характера критерия оптимальности можно
разделить на три типа:
а)
равномерно-оптимальные системы;
б)
статистически-оптимальные системы;
в)
минимаксно-оптимальные системы.
Равномерно-оптимальная
- это такая система, у которой каждый отдельный процесс является оптимальным.
Например, в оптимальных по быстродействию системах при любых начальных условиях
и любых возмущениях система приходит наикратчайшим во времени путем к
требуемому состоянию.
В
статистически-оптимальных системах критерий оптимальности имеет статистический
характер. Такие системы должны быть наилучшими в среднем. Здесь не требуется
или невозможна оптимизация в каждом отдельном процессе. В качестве
статистического критерия чаще всего фигурирует среднее значение какого-либо
первичного критерия, например математическое ожидание выхода некоторой величины
за определенные пределы.
Минимаксно-оптимальные
- это такие системы, которые в наихудшем случае дают возможно наилучший
результат. Они отличаются от равномерно-оптимальных тем, что в ненаихудшем
случае могут дать худший результат, чем какая-либо другая система [11].
Оптимальные системы
можно также подразделить на три типа в зависимости от способа получения
информация об управляемом объекте:
оптимальные системы
с полной информацией об объекте;
оптимальные системы
с неполной информацией об объекте и пассивным ее накоплением;
оптимальные системы
с неполной информацией об объекте и активным ее накоплением в процессе
управления (системы дуального управления).
Существует две
разновидности задач синтеза оптимальных систем:
- определение
оптимальных значений параметров регулятора при заданных параметрах объекта и
заданной структуре системы;
- синтез структуры
и определение параметров регулятора при заданных параметрах и структуре объекта
управления.
Решение задач
первого типа возможно различными аналитическими методами при минимизации
интегральных оценок, а также с помощью вычислительной техники (моделирование на
ЭВМ), рассматривая заданный критерий оптимальности.
Решение задач
второго типа основано на использовании специальных методов: методы
классического вариационного исчисления, принципа максимума Понтрягина и
динамического программирования Беллмана, а также методы математического
программирования. Для синтеза оптимальных систем при случайных сигналах
используются методы Винера, вариационные и частотные методы. При разработке
адаптивных систем наиболее широкое применение имеют градиентные методы,
позволяющие определить законы, изменения настраиваемых параметров.
1.2 Условия трансверсальности
В практике встречаются задачи
определения экстремума функционалов, когда концы варьируемых кривых
фиксированы, свободны, либо принадлежат некоторому многообразию
. В этих
граничных точках должны выполняться так называемые условия трансверсальности.
Условия
трансверсальности для фиксированного интервала T:
необходимо исследовать
совместно с граничными значениями для x(t), которые могут быть фиксированными или свободными (рис. 1).
Рис. 1.2.1 Допустимые
функции x(t) в
зависимости от граничных условий
Если граничное значение
х(tгр) задано (где tгр
=0 или T), то вариация
должна быть равна нулю
и на значение производной
никаких
ограничений не накладывается.
Если граничное значение
х(tгр) свободно, то вариация
может быть
произвольной, следовательно,
должна быть равна нулю
[2].
Рассмотрим различные
задачи для фиксированного интервала оптимизации Т.
1. Начальное х(0) и
конечное х(Т) значения выходной величины заданы (задача с закрепленными
граничными точками, рис. 1.2.1, а).
В этой задаче все
возможные кривые x(t), среди которых ищется экстремаль x*(t), должны начинаться и заканчиваться в заданных точках. Вариации
(0)
и
(Т)
равны нулю и на значения производной меры ошибки на границах интервала
никаких
ограничений не накладывается. Постоянные интегрирования C1, С2 находятся из граничных условий для х(0), х(Т) и
условия трансверсальности не используются.
2. Начальное х(0)
значение выходной величины фиксировано, а конечное х(Т) - свободно (задача с
подвижной правой границей, рис .12.1, б).
Так как х(Т) может
принимать произвольные значения, то вариация
(Т) также может быть
любой, следовательно, условие трансверсальности будет выполнено только при
равенстве нулю производной
Таким образом, два
граничных условия х(0) и
позволяют
найти значения постоянных интегрирования C1,
С2 .
. Аналогично
определяются граничные условия в задаче с незакрепленной начальной точкой х(0)
и фиксированной конечной х(Т) (задача с подвижной левой границей, рис. 1.2.1,
в).
На левой границе
вариация
(0)
может быть любой, тогда
.
Из этого условия и граничного значения х(Т) находятся постоянные
интегрирования.
4. Начальное x(0) и конечное х(Т) значения выходной величины свободны (задача с
незакрепленными граничными точками, рис. 12.1, г).
Так как вариации
(0)
и
(Т)
могут быть любыми, то из условий трансверсальности следует, что на границах
должна обращаться в нуль производная меры ошибки
Отсюда определяются
постоянные интегрирования С1 и С2 .
1.3 Типы задач
Пусть дан следующий функционал
(1.3.1)
где: функция
характеризует
состояние системы в момент t=T.
При
имеет задачу Больца,
задачу Майера,
- задачу Лагранжа.
Задачи Больца
относится к задачам на условный экстремум. Эта задача является одной из
наиболее общих задач на условный экстремум
Дадим формулировку
задачи Больца: среди кусочно-гладких функций
, удовлетворяющих
уравнениям связей (1.3.1), т. е.
(j=1, 2.....k),
(1.3.1)
и граничным условиям
, (1.3.2)
определить функцию,
доставляющую экстремум функционалу
(1.3.3)
При этом полагается, что
матрица
имеет
ранг k в некоторой области (2n+1)-мерного
пространства
,
функции
и
обладают непрерывными
частными производными, а матрица
имеет ранг р во всех
точках многообразия
,
определяемого уравнениями (1.3.2).
Далее задача Больца
эквивалентна задаче Лагранжа сводится к задаче Лагранжа, в которой необходимо
определить кусочно-гладкую функцию, удовлетворяющую уравнениям связей
и граничным условиям.
Задача Лагранжа
Введем в рассмотрение новый функционал.
(1.3.4)
причем
(1.3.5)
где:
- неопределенные множители Лагранжа.
- левые части уравнений связи с
нулевыми правами частями.
В формуле (1.3.5)
неизвестными являются
и
т.е. всего
переменных.
Найдем безусловный
этого
функционала
по всем
переменным.
Для этого составим уравнения
Эйлера-Лагранжа:
(1.3.6)
(1.3.7)
Эта система уравнений позволяет
найти неизвестные множители Лагранжа.
и
, доставляющий безусловный
функционала
(2) и одновременно условный
функционала при наличии уравнений
связи
.
Задача Майера.
Приведем формулировку
задачи Майера, которая входит в класс задач на условный экстремум: среди всех
кусочно-гладких векторных функций
, удовлетворяющих
уравнениям связи
(1.3.8)
и граничным условиям
(1.3.9)
требуется найти такую
функцию, у которой первая составляющая
имеет при
х = x1 экстремум.
Задача Майера может быть
сведена к задаче Лагранжа на условный экстремум которая формулируется следующим
образом: среди кусочно-гладких векторных функций
, удовлетворяющих
уравнениям связей (1.3.8) и граничным условиям (9), требуется найти такую
функцию, для которой функционал
(1.3.10)
достигает экстремума. В свою
очередь, путем введения новой функции
(1.3.11)
задача Лагранжа может быть сведена к
задаче Майера [1].
1.4
Методы решения задач синтеза оптимальных систем
1.4.1 Вариационное
исчисление
Метод классического
вариационного исчисления целесообразно применять при решении задач синтеза
оптимальных систем, когда области отклонений координат объекта и управления
открыты, т. е. не имеется ограничений. Это бывает в тех случаях, когда
рассматриваются малые отклонения координат объекта и управления от их
установившихся значений. Методы решения вариационных задач подобны методам
исследования функций на максимум и минимум. Существенным отличием при этом
является то, что в вариационных задачах рассматривается не функция x(t), а функционал. Постановка задачи в
вариационном исчислении: пусть имеется некоторый функционал I зависящий от функции Y(X)
(1.4.1.1)
а функция F однозначна и непрерывна.
Пусть функция Y=f(X) также однозначна и непрерывна в пределах [xо, x1]
и имеет непрерывную производную в этом промежутке, то есть принадлежит к классу
C(1).
Кривая f(X) - допустимая, если она принадлежит к классу C(1) лежит в области R
и проходит через точки (x0
y0) и (x1,
y1,), где y0,=
f(x), а y1=
f(x1). Требуется найти среди допустимых кривых f(x) экстремаль, то есть такую функцию, при которой интеграл (1.
4.1.1) минимизируется.
Найдем условие, которому
должна удовлетворять экстремаль. Пусть f(X)-искомая функция. Рассмотрим другую, близкую к f(X), функцию
, (1. 4.1.2)
где
(X) - произвольная функция класса С(1), обращающаяся в
нуль в точках Х0 и Х1 а а- некоторое малое число.
Подставив (1. 4.1.1) в
(1.4.1.2), получим
(1. 4.1.3)
Разложим I(a) в ряд по степеням а
(1.4.1.4)
Выражения
и
называются первой и второй вариациями интеграла I соответственно. Если f
(X) минимизирует I,
то
= 0. (1.4.1.5)
Дифференцируя (1.4.1.4)
по а и произведя ряд преобразований, получим уравнение
(1.4.1.6)
Для выполнения условий
(1.4.1.5) при всех допустимых функциях
необходимо, чтобы
квадратная скобка в выражении (1.4.1.6) равнялась нулю.
=0 (1.4.1.7)
Дифференциальное
уравнение (1.4.1.7) называется уравнением Эйлера. Решая его, можно найти
экстремали, среди которых и следует искать решение задачи.
Рассмотрим пример: найти
кривую y=f(x) класса C(1)
которая проходит через точки М0 и M1
в плоскости (x, y) с координатами
x0=
0, y0>0
x1>0,
y1 = 0
и минимизирует интеграл
Здесь
;
Тогда уравнение Эйлера
запишется так
или
Решение данного
уравнения имеет вид
Значения С1 и
С2 будут равны:
,
Уравнение Эйлера примет
вид:
Следует заметить, что
решения уравнения Эйлера не обязательно обеспечивают минимум интеграла I. Интеграл может принимать при этом максимальное значение или же
зависимость I(a) имеет при а=0 точку перегиба. И как в математическом анализе
необходимы дополнительные рассуждения, которые позволяют установить, что
(1.4.1.7) дает действительно минимум [2].
Большой класс
вариационных задач содержит дополнительные условия, накладываемые на решения.
Эти дополнительные условия даются в виде равенств. В этих случаях решение
получаем в виде условного экстремума.
В последнее время
находят применение при решении технических задач так называемые прямые методы
решения вариационных задач. Рассмотрим кратко один из простейших вариантов -
«метод Ритца».
Пусть требуется найти
кривые Y1(Х),…,Yn(X), минимизирующие интеграл
(1.4.1.8)
Допустимая функция
представляется в следующем виде
(1.4.1.9)
где
-
постоянные коэффициенты, Pi
- некоторые заданные функции. Подставив его в уравнение для (1.4.1.9), получим
функцию коэффициентов ai
.
Далее выбираем ai так,
чтобы минимизировать I.
Решая, например, систему уравнений вида
(i =1, 2, …, n)
при
,
получаем функцию, которая при
которая при некоторых
дополнительных ограничениях является решением вариационной задачи.
При применении описанных
выше методов к решению задач теории оптимальных систем необходимо иметь в виду
следующие особенности задач теории оптимальных систем по сравнению с
классическими вариационными задачами.
а) В выражение
минимизируемого функционала в условия ограничений входят не только координаты
объекта X, но и управляющие воздействия Uj(j=1, 2,.., r).
б) Ограничения имеют
обычно форму неравенств
.
Причем вектор
может
находиться не только внутри, но и на границах допустимой области F(
).
в) Решением оптимальной
задачи часто являются кусочно-непрерывные функции Uj(t) с конечным числом точек разрыва первого рода, причем заранее не
известно, когда происходят скачки Uj.
Обсуждая указанные
особенности, заметим, что первая особенность сама по себе не вызывает
затруднений. Нужно только включить Uj
в качестве функции, рассматриваемой наравне с Хi.
В данном случае вместо n-мерного
фазового пространства нужно рассматривать (n+r)-мерное пространство с координатами X1,...,
Хn, U1,...,
Ur. Вторая особенность связана уже с
большими затруднениями. Ограничения в виде неравенств можно в некоторых случаях
свести к ограничениям в виде равенств, введя некоторую другую функцию. Однако
это не всегда возможно и в некоторых случаях это может усложнить задачу.
Требование того, чтобы Uj находилось и на границе допустимой области, может явиться в
некоторых случаях причиной серьезных затруднений.
Что касается третьей
особенности, то она усложняет выкладки и делает практически невозможным решение
задач классическим путем, так как оптимальное управление U во многих случаях имеет разрывы первого рода [4].
В связи с указанными
особенностями исключительную роль при решении задач оптимального управления
играют возникшие в 50-х годах прошлого столетия неклассические методы решения
вариационных задач-это принцип максимума и динамическое программирование.
.4.2 Принцип максимума
Академиком Л.С.
Понтрягиным и его учениками в-1956 г. был предложен неклассический метод
решения вариационных задач - принцип максимума.
Этот метод обоснован как
необходимый и достаточный признак для линейных систем и необходимый для
нелинейных систем. В дальнейшем была доказана справедливость принципа максимума
для линейных дискретно-непрерывных систем и систем с распределенными
параметрами [2].
Пусть система уравнений
С-части (рис. 1. 4.2.1) имеет вид
, (1.4.2.1)
где Xi -
координаты системы (i=1, …, n);
Uj -
управляющие воздействия (j=1, …, r).
Рис. 1.4.2.1.
Структурная схема системы дифференциальных уравнений.
На управляющие
воздействия Uj,
в R-мерном пространстве наложены ограничения
,
где v - дозволенная область управлений.
Введем вспомогательный
вектор-функцию
,
координаты которого
,
заданы такой системой уравнений
; (i=1,…,n). (1. 4.2.2)
Систему уравнений
(1.4.2.2) для
называют
сопряженной системой.
Образуем функцию Н
(1.4.2.3)
Используя функцию Н,
можно уравнения (1.4.2.1) и (1.4.2.2) записать в виде уравнений Гамильтона
(1.4.2.4.)
. (1.4.2.5)
Так как fi- координаты вектора
в
фазовом пространстве, а
-координаты
вектора
уравнение
(1.4.2.3) можно записать в виде скалярного произведения
. (1.4.2.6)
Сформулируем принцип
максимума.
Для получения оптимального
процесса, нужно в любой момент времени выбирать такие Uj,
чтобы величина Н была максимальна.
Дадим геометрическую
интерпретацию принципу максимума.
Установлено, что вектор
есть
ни что иное, как нормаль к поверхности S
изохроны, соответствующей минимальному времени перехода из точки
в
заданную точку фазового пространства (в полюс изохроны). Связь между
и
S(
)
такая
или
.
(1.4.2.7)
Как видно
совпадает
с направлением наибыстрейшего уменьшения S,
то есть уменьшения оптимального времени переходного процесса. Условие Н = макс
совпадает с условием максимизации скалярного произведения
и
.
Но так как вектор
в
данной точке
задан
и не зависит от
,
то условие Н= макс соответствует максимуму проекции вектора
на
направление
.
Следовательно,
геометрический смысл принципа максимума заключается в следующем: необходимо
подбирать такое управление
, чтобы проекция вектора
скорости
на
направление нормали к изохроне в данной точке
была максимальна.
Рассмотрим частный
случай, когда явная зависимость от времени t
в уравнении движения отсутствует и требуется обеспечить минимальное время
переходного процесса Т. В этом случае принцип максимума принимает форму
(1.4.2.8)
Траектория изображающей
точки в n-мерном пространстве
(рис.1.4.2.2) должна
быть оптимальной. Для этого следует подбирать оптимальное управление
так,
чтобы в каждый момент времени максимизировать Н, причем максимальное значение в
любой точке траектории равно 1.
Рис. 1.4.2.2 Траектория
изображающей точки в n-мерном
пространстве
В данном случае
где: t - текущий момент времени.
Таким образом, время
достижения конечной точки уменьшается по мере увеличения t, а вектор
,
совпадающий с наискорейшим уменьшением S,
обращен внутрь изохрон
t = Т - t,t охватывающих конечную точку
. Принцип максимума
здесь означает такой подбор
, чтобы проекция
скорости
изображающем
точки в фазовом пространстве на направление
нормали к изохроне была
максимальна. Это легко доказывается из следующего очевидного положения:
движение по изохронам не уменьшает времени достижения точки
.
Между тем, чем ближе происходит движение к нормали к изохроне, тем скорее
изображающая точка достигнем конечной точки
[4].
Принцип максимума можно
использовать для расчета оптимальной траектории. Допустим, что мы задались
произвольным значением
,
(t = 0). Для малого промежутка времени ∆t, задавшись Uj,
можно найти значения Хi
и
,
в конце интервала. Варьируя Uj,
на интервале ∆t, можно добиться того,
чтобы значение H на этом интервале было
максимальным. Таким образом, мы можем получить малый участок оптимальной
траектории ∆Xi
определить координаты его конца (Xi)t=0 + ∆Xi,
а также значение вспомогательной функции
в конце интервала ∆t.
Повторяя указанную
операцию для следующего шага ∆t,
можно найти следующую точку оптимальной траектории и в конечном счете получить всю
оптимальную траекторию Ri.
Оптимальная траектория будет найдена тем точнее, чем меньше берется величина
интервала ∆t. Естественно, что чем
меньше брать ∆t, тем больший объем
вычислительной работы необходимо проделать для нахождения оптимальной траектории.
Следует указать, что при
определении оптимальной траектории задаемся произвольными начальными значениями
.
Подбор требуемого
значения
. Для траектории R*
можно автоматизировать, если для каждой траектории измерять, например,
минимальное расстояние до точки О или величину
.
Автоматическая система в
этом случае должна будет так подбирать
чтобы минимизировать
.
Таким образом, при непосредственном использовании принципа максимума для
нахождения оптимальной траектории необходима двойная оптимизация: максимизация H на каждом интервале ∆t
и минимизация
для
траекторий Ri.
Вычисление оптимальной
траектории этим методом может производиться на модели ручным способом или
автоматически, варьируя управляющими воздействиями Uj
и начальным значением функции
.
1.4.3 Метод динамического
программирования
В основе метода
динамического программирования лежит принцип оптимальности, сформулированный
Беллманом, содержание которого сводится к следующему: если траектория системы
оптимальна на отрезке времени [0, T]
то конечный участок этой траектории на отрезке [t’,
T] в свою очередь является оптимальной траекторией, где t’(0<t’<T) - произвольный момент времени [2]. Поясним это положение. Пусть
на траектории
функционал
(1.4.3.1)
принимает минимальное
значение, и пусть взят некоторый момент времени t’(0<t’<T)). Тогда для траектории
на
отрезке времени [t’, T] функционал
будет также минимален.
Для доказательства
предположим противное, то ecть,
что существует для отрезка [t’,
Т] траектория
,
отличная от
и дающая наименьшее значение функции налу. Но это бы
означало, что траектория, состоящий из
для t на промежутке [0, t']
и
на
отрезке [t',T], давала бы функционалу
I значение, меньшее на отрезке [0, Т], чем
,
а это противоречит условию, что
- оптимальная
траектория. Это противоречие и доказывает справедливость принципа
оптимальности.
Несмотря на простоту
формулировки и кажущуюся примитивность, принцип оптимальности позволил
построить весьма мощный метод решения вариационных задач. Глубокий смысл
принципа оптимальности можно уяснить, если сравнить его с таким утверждением,
которое кажется весьма очевидным: «если траектория оптимальна, то и каждый
участок ее оптимален». Однако это утверждение не всегда верно. Убедимся в этом
на примере. Пусть бегун бежит на длинную дистанцию. Его цель, выбирая на каждом
участке определенную скорость, минимизировать время прохождении дистанции в
целом, то есть функционалом является время
(здесь
). Но минимизирует ли при этом бегун I на каждом участке. Иначе говоря, проходит ли он каждый отрезок
пути с максимальной скоростью. Нет, конечно. Если он будет так бежать, то
быстро выдохнется.
Принцип оптимальности
будет выполняться, если, не думая и им, как пройден начальный участок пути, в
каждый момент времени бегун будет строить свое поведение так, чтобы оставшийся
путь пройти за минимальное время, оценивая, пополню, свое состояние в этот момент.
Указанный пример
помогает понять другую формулировку принципа оптимальности:
Оптимальная стратегия
определяется лишь состоянием системы в настоящий момент и не зависит от того,
как система пришла в данную точку.
Рассмотрим метод
динамического программирования на примере [3].
С помощью метода
динамического программирования решим задачу об оптимальном быстродействии.
Пусть объект описывается
линейным дифференциальным уравнением
(1.4.3.2)
Обозначим
;
;
…;
; …(i =1, 2…n-1).
Представим (1.4.2) в
виде системы n-уравнений первого порядка
(1.4.3.3)
где:
;
.
Пусть на v наложено ограничение вида
. (1.4.3.4)
Необходимо найти
оптимальное управление v(t), обеспечивающее минимальное время Т перемещения изображающей
точки из начального положения Х1(0), . . ., Хn(0) (радиус-вектор
) в начало координат
фазового пространства.
Если положить в (1.4.3)
Т = N∆t, Xi(К) = Xi(К∆t), v(К) = v(К∆t),
то уравнение (1.4.3.3) запишется в конечных разностях
(1.4.3.5)
Рассмотрим минимальное
время попадания в некоторую коночную точку
с координатами
(i =1,2. .., N).
(1.4.3.6)
Минимальное время Т
попадания в эту точку зависит лишь от начальных условий X1(0), X2(0),
. . ., Хп (0), то есть Т= Т[
(0)]. Переход из
начального положения на один шаг занимает время
, после чего вектор
(0)
будет заменен вектором
(l), который зависит от v(0).
Минимальное время попадания из точки
(1) в точку
(N) будет функцией только от
(1): Т=Т[
(1)],
а общее время равно
,
что можно записать так
.
(1.4.3.7)
Если в уравнении (1.4.3.7)
(1) записать согласно
(1.4.3.4), то получим
(1.4.3.8)
Если принять, что Т -
дифференцируемая функция переменных Xi(0),
то, раскладывая второе слагаемое в правой части (1.4.3.8) в ряд по степеням Xi(0)
и отбрасывая слагаемые выше первого порядка, уравнение (1.4.3.8) можно записать так
(1.4.3.9)
,
где
-
остаточный член, порядок малости которого выше
. В уравнении (1.4.9) от
v(0), по которому идет минимизация, зависит только последнее
слагаемое в фигурной скобке, поэтому знак минимизации можно отнести только к
этому члену, при этом T[X1(0), . . ., Хп(0)] и обеих частях уравнения взаимно
уничтожится. Разделим теперь уравнение (1.4.3.9) на
и
устремим
к
нулю, так как
имеет
более высокий порядок малости, чем
. В результате получим
. (1.4.3.10)
Если заменить Xi(0) текущими значениями Xi, которые мы можем рассматривать как
начальные условия, то получим уравнение в частных производных для определения T(X1,..., Xп)
. (1.4.3.11)
Из сопоставления (1.4.3.4) и (1.4.3.11) следует,
что минимум последнего слагаемого в правой части уравнения (1.4.3.11) получается при соблюдении условия
(1.4.3.12)
Это значит, что
оптимальное управление v*(t) следует выбирать всегда на границах допустимой области v=±V. Подставив (1.4.3.12) в (1.4.3.11), получим
. (1.4.3.13)
Для нахождения
оптимального управления v*
нужно решить уравнение (1.4.3.13) и найти функцию Т(Х).
Метод динамического
программирования при решении рассмотренной задачи позволяет свести ее к
последовательной минимизации и является значительно более простым, чем метод
прямой минимизации, который, например, для суммы означал бы, что необходимо
каждое Хк выразить в виде функции от всех предыдущих управляющих
воздействий и начальных условий. Это сама по себе очень сложная задача, а потом
еще нужно искать минимум функции многих переменных, что также чрезвычайно
сложно. Эти сложности делают прямой метод, по существу, неработоспособным.
Надо иметь в виду, что
иногда решение задач методом динамического программирования может оказаться
довольно громоздким, так как на каждом этапе вычисления нужно запомнить две
функции, каждая из которых в случае системы n-го
порядка является функцией n-переменных.
Запоминание таких функций (даже при современных вычислительных машинах) весьма
сложно и может быть осуществлено лишь при помощи каких-либо аппроксимаций.
2. РАСЧЕТ ОПТИМАЛЬНЫХ
СИСТЕМ АВТОМАТИЧЕСКОГО УПРАВЛЕНИЯ ОБЪЕКТОВ II
ПОРЯДКА ПО БЫСТРОДЕЙСТВИЮ
дифференциальный управление
программа управление
2.1 Представление объектов в пространстве
состояний
В теории
оптимального управления принято представлять динамику объектов исследования в
виде системы из п дифференциальных уравнений 1-го порядка, записанных
относительно так называемых переменных состояния, а само описание получило название
описания в пространстве состояний. Вместо выходной величины у и ее производных y’,…y(n+1) вводятся п новых переменных х1, х2, …, хп
- переменных состояния.
Пространством
состояний называется метрическое пространство, каждый элемент которого полностью
определяет состояние рассматриваемой системы (процесса).
Здесь под
состоянием понимается мгновенное состояние, состояние в текущий или заданный
момент времени. Процесс протекающий во времени отображается как движение
элемента (вектора) в пространстве состояний. Конец вектора называется
изображающей точкой, а траектория движения изображающей точки в пространстве
состояний называется фазовой траекторией.
Каждому состоянию
системы теперь можно поставить в соответствие точку в n-мерном евклидовом пространстве, а
движение динамической системы во времени отобразить некоторой траекторией в
этом пространстве.
Вектор X часто называют фазовой точкой или
точкой Фазового пространства, его составляющие xl, x2, …, xn - фазовыми координатами, а процессы xl(t), x2(t), ..., xn(t) - фазовыми траекториями [2].
Исследование
системы управления с помощью переменных состояния предпочтительнее благодаря
удобству и простоте проведения моделирования и анализа, возможностью
использования стандартных программ при расчетах на ЭВМ, а также
методологическими преимуществами.
Описание в
пространстве состояний оказывается особенно удобным, если система не
стационарна (коэффициенты уравнений зависят от времени) или не линейна.
Возможности частотных методов в этом случае весьма ограничены, а во временной
области такие системы могут быть исследованы хотя бы численным методом.
В общем случае
нелинейная нестационарная система с r входными (управляющими) воздействиями
и т выходными величинами
может быть представлена n переменными состояния
и уравнением в векторной
форме
dX/df=F(X, U, f), Y=G(X, U, t), (2.1.1 )
где: FT =
и GT=
- нелинейные
вектор-функции, а т - символ транспонирования.
Время t введено для отображения зависимости коэффициентов функций fi и
gj от времени в случае нестационарных
систем.
Для одномерной системы
уравнения (2.1.1) примут вид
,
(2.1.2)
а для стационарной системы -
,
В случае линейной
многомерной системы каждая из функций
и
является
линейной комбинацией переменных состояния хj
и управлений иk:
,
или в векторно-матричном
виде:
,
Здесь
-
матрицы с коэффициентами, зависящими от времени.
Для стационарных систем
коэффициенты матриц А, В, С и D
постоянны:
(2.1.3)
Для одномерной системы с
одним входом и и одним выходом у:
(2.1.4)
Здесь В и С - векторы, а
d - скалярная величина.
Выбор переменных состояний
не единственен. При одном выборе они могут представлять собой выходную величину
системы и (n-1) ее производных. При другом выборе переменные состояния могут
быть внутренними физическими величинами объекта, как это получается при
построении аналитических моделей точечного приближения для процессов в
теплообменниках. Наконец, в ряде случаев выбранные переменные состояния могут
не иметь никакого физического смысла и оказываются связанными с выходной
величиной и ее производными довольно сложными математическими соотношениями.
Другими словами, существует не одна группа переменных состояния, с помощью
которых поведение системы может быть описано полностью. Однако любые группы
переменных состояния линейных систем однозначно связаны между собой преобразованием
подобия.
Выбор той или иной
группы определяется вытекающей из него простотой решения задачи, удобством
моделирования, физичностью и т.д. и оставляется на усмотрение разработчика
[15].
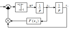
2.2 Синтез системы
объекта с 
Выполним синтез
оптимальной по быстродействию системы с помощью принципа максимума Понтрягина, объект
которой представляет собой два последовательно соединенных интегрирующих звена.

(2.2.1)
Целью
рассматриваемой системы управления является перемещение линейного объекта из
заданной начальной точки Х(0) = Х0 в пространстве состояний в
заданную конечную точку Х(Т) = ХТ за минимальное время при наличии
ограничения на амплитуду управления
Критерий управления, как
отмечалось ранее, в этом случае
Мера ошибки в критерии H =1, а верхний предел T
не известен. Начальная Х(0) = Х0 и конечная Х(T) = ХT
точки закреплены.
Запишем функцию
Гамильтона и условия трансверсальности:
(T) и
(0)-произвольны.
min по и
или
min по и
Отсюда
(2.2.2)
Таким образом, стратегия
управления и характер u*(t) определены: оптимальное управление - это релейное управление,
максимальное по величине, причем переключение управления производится тогда,
когда функция
ТВ
пересекает ось времени t
[2].
По изложенной методике
определим оптимальное
управление
,
которое произвольное начальное состояние (х10, x20) переводит в начало координат за минимальное время Т.
Представим объект
(2.2.1) в виде уравнения состояния (нормальная форма)
(2.2.3)
В рассматриваемом
примере матрица
,
вектор
.
Образуем матрицу
.
Матрица G - невырожденная, поэтому система (2.2.3) будет нормальной.
Характеристические числа матрицы A
=
0, поэтому система (2.2.3) удовлетворяет условиям теоремы об n-интервалах. Оптимальное управление u*(t) является кусочно-постоянным и имеет не более двух интервалов
постоянства.
Таким образом, управляющие
последовательности в зависимости от начального состояния будут: {+ 1},
{-1},{+1,-1}, {-1, + 1}.
Обозначим u* = ∆=±1 и найдем общее решение системы при и* = ∆.
Имеем
Пусть при t = 0, х1 = х10, х2= х20.
Тогда, исключив время t
из полученных выше равенств, найдем уравнение фазовых траекторий системы:
.
Фазовые траектории при ∆
= + 1 и при ∆ = - 1 изображены на рис.2.2.1.
Рис. 2.1.1 Фазовые
траектории при ∆ = + 1 и при ∆ = - 1
Обозначим
-
множество начальных состояний, которые переводятся в начало координат
управляющей последовательностью и*={+1},
- множество начальных
состояний, которые переводятся в начало координат управляющей
последовательностью и*={-1}. Эти множества описываются уравнениями
Если принять
то множество
запишется в виде
Рис. 2.2.2 Фазовые траектории
оптимальной системы.
Обозначим R+ - область, расположенную слева от кривой
(рис.
2.2.2), и через R-
- область, расположенную справа от
. Если начальное
состояние (х10, х20)
R+, то оптимальное управление u*
= {+ 1, - 1}, причем переключение производится по линии
,
если (х10, х20)
R-, то оптимальное управление и* = {- 1, +1}, причем переключение
управления производится на линии
+.
Закон управления
(2.2.4)
Линия
представляет
собой линию переключения.
Введем функцию
,
характеризующую расстояние от текущего положения фазовой точки
(x1,x2) до линии
переключения:
(2.2.5)
Когда фазовая точка
окажется на линии переключения, то правая часть уравнения (2.2.5) будет равна
нулю (
= 0) и управляющее устройство должно произвести переключение знака управления
на противоположный.
Пока фазовая точка
находится над линией переключения,
> 0 и управление
должно быть отрицательным и (t)
= -U .
Когда фазовая точка
находится под линией переключения,
< 0 и управление
должно быть положительным и (t)
= +U .
Таким образом, в
зависимости от знака должен выбираться и знак управления:
Все изложенное позволяет записать алгоритм
оптимального по быстродействию регулятора для объекта (2.21):
=0, если
,
х2 (2.2.4)
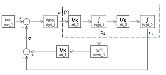
Структурная схема
системы, реализующей закон управления (2.2.4), приведена на рис. 2.2.3, где
обозначено
.
Рис. 2.2.3 Структурная
схема системы
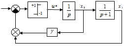
.3 Синтез системы
объекта с 
Рассмотрим этим же
методом (принцип максимума Понтрягина) систему, когда, объект регулирования
представляет собой последовательное соединение интегрирующего и апериодического
звеньев.
Уравнение движения
объекта будет иметь вид:
(2.3.1)
Будем искать оптимальное
управление
,
которое произвольное начальное состояние (х10, x20) переводит в начало координат за минимальное время Т.
Система (2.3.1)будет
нормальной. Для нее матрица
, вектор
и матрица
G
- невырожденная, поэтому система (2.2.1) будет нормальной. Характеристические
числа матрицы A
=
0,
=-1
поэтому система удовлетворяет условиям теоремы об n-интервалах.
Оптимальное управление u*(t) является кусочно-постоянным и имеет не более двух интервалов
постоянства.
Определим линию
переключения. Для этого полагаем u*
= ∆=±1. Тогда уравнение фазовых траекторий будет
. (2.3.2)
Фазовые траектории при ∆
= + 1 и при ∆ = - 1 изображены на рис.2.3.1.
Рис. 2.1.1 Фазовые
траектории при ∆ = + 1 и при ∆ = - 1
Обозначим
-
множество начальных состояний, которые переводятся в начало координат
управляющей последовательностью и*={+1},
- множество начальных
состояний, которые переводятся в начало координат управляющей
последовательностью и*={-1}. Эти множества описываются уравнениями
(2.3.3)
Если принять
то множество
запишется в виде
Закон управления
Функция
,
характеризующая расстояние от текущего положения фазовой точки
(x1,x2) до линии
переключения:
(2.3.4)
Алгоритм оптимального по быстродействию
регулятора для объекта (2.21):
=0, если
,
х2 (2.2.5)
Мы определили
оптимальное управление и* как функцию координат состояния системы. Структурная
схема системы, в которой реализуется управление (2. 3.5), изображена на рис.
2.3.1.
Рис. 2.3.1 Структурная схема системы.
2.4 Синтез системы
объекта с 
Выполним синтез
оптимальной по быстродействию системы методом максимума, объект
которой представляет собой соединение двух апериодических звеньев.
Уравнение состояния системы примет
вид:
(2.4.1)
На управление u(t) наложено ограничение
Будем искать оптимальное
управление
,
которое произвольное начальное состояние (х10, x20) переводит в начало координат за минимальное время Т.
В рассматриваемом
примере матрица
,
вектор
.
Образуем матрицу
.
Матрица G - невырожденная, поэтому система (2.2.1) будет нормальной.
Характеристические числа матрицы A
=
0,
,
эти числа вещественные, поэтому система (2.4.1) удовлетворяет условиям теоремы
об n-интервалах. Оптимальное управление u*(t) является кусочно-постоянным и имеет не более двух интервалов
постоянства.
Проинтегрировав систему
(2.4.1) и обозначим u* = ∆=±1 и найдем
общее решение системы при и* = ∆.
Для нахождения общего
интеграла данной сиcтемы воспользуемся
математическим пакетом Maple
9.5., где разделив первое уравнение на второе получим:
> dx2:=int(x2,x2);
dx1:=int((-2*x2-x1+u),x1);
solve(dx1=dx2,x1);
Обозначим
-
множество начальных состояний, которые переводятся в начало координат
управляющей последовательностью и*={+1},
- множество начальных состояний,
которые переводятся в начало координат управляющей последовательностью и*={-1}.
Эти множества описываются уравнениями
Если принять
то множество
запишется в виде
(2.4.2)
Множество
представляет
множество начальных состояний, которые переводятся в начало координат без
переключения управления. Закон управления
(2.4.3)
Функция
,
характеризующая расстояние от текущего положения фазовой точки
(x1,x2) до линии
переключения будет равна:
Алгоритм оптимального по
быстродействию регулятора для объекта (2.4.1):
(2.4.4)
=0, если
,
х2
Структурная схема
системы, реализующей закон управления (2.2.4), приведена на рис. 2.2.3.
Рис. 2.2.3 Структурная схема системы.
3. МОДЕЛИРОВАНИЕ ОПТИМАЛЬНЫХ СИСТЕМ
АВТОМАТИЧЕСКОГО УПРАВЛЕНИЯ
3.1 Описание пакета 20-Sim
Решение вышерассмотренных задач целесообразно
проводить с помощью моделирования динамических систем во временной области,
используя средства вычислительной техники. Для моделирования динамических
систем во временной области существует достаточное количество программ,
отличающихся сервисом, представляемым пользователю.
Процесс моделирования динамических систем на
ПЭВМ состоит из следующих этапов:
1. Формулировка
задачи.
2. Представление
моделируемой системы в одном из принятых в программе виде:
·
структуры
типовых блоков из библиотеки пакета;
·
структуры,
задаваемой в виде сигнального графа;
·
математических
выражений, записанных по определенным правилам.
3. Ввод
структуры модели, значений коэффициентов, начальных условий и параметров
моделирования в ПЭВМ.
4. Задание
информации о результатах моделирования, необходимой для выдачи на экран
монитора или печать.
5. Собственно
моделирование: запуск на решение, изменение параметров, анализ информации на
экране, редактирование модели и т.д.
6. Документирование
результатов моделирования и сохранение модели для последующей работы.
Для выполнения постеленной нами задачи
используем программный комплекс для моделирования динамических систем "20-sim
Pro 2.3",
разработанный в TWENTE
UNIVERSITY
of TECHNOLOGY,
Enschede, The
Netherlands (www.20-sim.com).
Программный комплекс работает под управлением
операционной системы Windows-9х,
на компьютерах с процессором i486DX-4
и выше при объеме оперативной памяти не менее 16 Мб. Саморазархивирующийся файл
"20sim" имеет
объем 7,87 Мб и после запуска сам устанавливает программный комплекс на ПЭВМ.
После завершения установки программный комплекс размещается в папке "20-sim"
на выбранном пользователем диске. Одновременно в меню рабочего стола (Пуск ®
Программы ® 20-sim
2.3) помещаются команды доступа к основным файлам программы, предназначенных
для:
·
помощи
(20-sim Help)
·
руководство
пользователя (20-sim Manual),
·
демонстрации
работы программы (20-sim
Pro 2.3 demo),
·
работы
(20-sim Pro 2.3),
·
демонстрации
примеров моделей (Demo
Models),
·
обучения
пользователей (Tutorial).
Файл Tutorial,
предназначенный для обучения работе с программным комплексом автоматически
запускает видеоплейер и позволяет просмотреть видеоролики, объясняющие приемы
задания структурных схем, ввода значений, исправлений, получение результатов
для трех приведенных выше видов представлений моделируемой системы (структуры
типовых блоков из библиотеки программного комплекса; структуры, задаваемой в
виде сигнального графа; математических выражений). Технологию использования
"20-sim" для
структурного моделирования динамических систем с помощью типовых блоков
показывает файл Demoblk.
Программный комплекс для моделирования
динамических систем "20-sim"состоит
их двух связанных между собой программ:
1.
Графического
редактора (Graf Editor),
2. Моделирующей
системы (Simulator).
Этапы моделирования объединены в две стадии в
соответствии с используемой программой: составление модели и подготовка и
проведение эксперимента.
При описании моделируемой системы в цикле
лабораторных работ по курсу "Системы автоматизации и управления"
используется представление моделируемой системы в виде структуры типовых блоков
из библиотек программного комплекса для моделирования динамических систем
"20-sim".
Представление моделируемой системы в виде блоков
требует некоторого навыка. Наиболее просто задача решается, если математическое
описание объекта, регулятора и преобразователей задается в виде передаточных
функций. Структурная схема системы для моделирования на ПЭВМ получается с
помощью последовательного, параллельного или встречно-параллельного соединения
блоков, входящих в библиотеку пакета.
В библиотеки "20-sim" входят различные
блоки: статические и динамические звенья, нелинейные, логические и дискретные
блоки, источники сигналов, типовые регуляторы и критерии, блоки математических
функций и др.
Для моделирования рассмотренных ранее
оптимальных систем используем следующие блоки:
con
- блок формирования ступенчатого входного сигнала;
pulsgen
- блок формирования импульсного воздействия;
forder
- блок моделирования апериодического звена;
gain_1
- блок формирования постоянного коэффициента;
att_1
- блок деления на постоянный коэффициент;
intgrl_1
- блок интегрирования входного сигнала;
(соединение блоков att_1
и intgrl_1 позволяет
получить интегрирующее звено);
power_1
- блок возведения переменной в степень;
signi_1
- блок изменения модульной функции;
sqrtsgn_1
- блок вычисления корня функции с модульной переменной;
блок минуса и
блок
плюса.
Так же в программе 20-sim
можно самим создавать необходимые блоки при помощи операции Show
Submodel, которая позволяет
программировать в 20- sim
на языке Si++ новые
элементы с необходимыми формулами.
Например: для вычисления
создадим
блок
interface
inputs: real
inp # input signal
outputs:
real outp # output signal
real
p # power
outp=log((inp)+p)
Набор структурной схемы модели
решения задачи осуществляется в графическом редакторе с помощью панели GE: Draw. Набранную
модель необходимо проверить с точки зрения формальной логики построения схем,
заложенной в программном комплексе "20-sim"и сохранить. Эта операция
осуществляется командой Check & Save SIDOPS
("Проверка и сохранение модели"), появляющейся в выпадающем окне при
выборе пункта главного меню графического редактора Process
("Процесс"). Если в набранной модели нет ошибок, то разрешается
доступ к моделирующей системе (пункт меню графического редактора Simulation
("Моделирование") становится активным).
Используя пункт главного меню
графического редактора Simulation, необходимо
открыть окно Simulator и в нем
выбрать пункт главного меню Experiment
("Эксперимент"). В выпадающем меню этого пункта необходимо
последовательно задать значения коэффициентов командой Parametrs, начальных
условий командой Inital Conition, параметров
моделирования командой Run Specifications и вывода информации
Plot Specifications.
Подготовленный эксперимент (модель с
соответствующим интерфейсом и режимом моделирования) запускается на решение
пунктом меню Action ® Start Simulation
("Действия" ®
"Начало моделирования").
Программный комплекс имеет большие возможности
по моделированию динамических систем (неограниченное число линейных, нелинейных
и др. блоков, используемых в модели, исследование поведения модели при
различных входных сигналах, оптимизация значений параметров блоков по
задаваемым критериям, наглядное представление результатов моделирования и пр.),
что позволяет решать широкий круг задач исследования систем автоматического
управления технологическими объектами в различных отраслях промышленности [8].
.2 Моделирование объекта с
передаточной функцией 
При разработке программы для
лабораторной работы был использован метод максимума Понтрягина, который был
подробно изложен выше. Программа разработана для 3-х вариантов выполнения синтеза оптимальной по быстродействию системы, объект
которой представляет собой:
1) 
- соединение двух интегрирующих
звеньев,
) 
- инерционное интегрирующее звено,
) 
- соединение двух апериодических
звеньев.
На управление u(t) наложено ограничение
Необходимо найти оптимальное
управление
,
которое произвольное начальное состояние (х10, x20) переводит в начало координат за минимальное время Т.
Общая структура
оптимального по быстродействию регулятора показана на рис.3.2.1
Рис. 3.2.1 Структурная
схема АСР с оптимальным по быстродействию регулятором
В суммирующем устройстве
производится вычисление вектора ошибки регулирования
,
где S(t) - вектор заданных значений переменных состояния (с постоянными
составляющими для систем стабилизации или с изменяющимися случайным образом
составляющими в системах следящего регулирования).
В нелинейном
преобразователе НП реализуется уравнение поверхности переключений
(Е).
Релейный элемент РЭ выполняет операцию вычисления знака управления
Перемещением
регулирующего органа управляет исполнительный механизм ИМ.
Структурная схема может
быть дополнена вычислительным устройством для определения прогнозируемых
значений X(t+
)
и тех составляющих вектора состояний объекта, которые не могут быть
непосредственно измерены на объекте.
Решение 1-го варианта 
.
Используя ранее описанные блоки,
составим модель данной ОСАУ, по алгоритму решения, который был вычислен в
предыдущей главе:
=0, если
,
х2
Структурная схема данной модели
будет иметь следующий вид (рис. 3.2.1)
Рис. 3.2.1. Структурная схема ОСАУ с
объектом регулирования 
Для подготовки к
проведению эксперимента необходимо открыть окно моделирования (пункт главного
меню Simulation) и активизировать пункт Experiment
("Эксперимент"). В открывшемся меню этого пункта необходимо
последовательно задать значения коэффициентов (пункт меню Parametrs), начальных условий (пункт меню Inital Conition), параметров моделирования (пункт меню Run Specifications) и вывода информации (пункт меню Plot Specifications).
Параметры
объекта: : T= 1 c.
Ввод значений
коэффициентов модели осуществляется нажатием кнопки Apply ("Применить")
или переходом на следующий коэффициент. После окончания набора нажать кнопку
"ОК". Клавиша Import ("Импорт") предназначена для ввода ранее сохраненных
значений параметров модели.
Зададим начальные условия
Окно
"Начальные условия" имеет аналогичный вид. В нем необходимо задать
нулевые начальные условия для всех параметров. Нулевые начальные условия
одновременно для всех параметров задаются нажатием клавиши States ("Состояние")
в открытом окне "Начальные условия".
Подготовка информации о выводе
результатов
Для задания информации о выводе
результатов моделирования необходимо вызвать окно Plot specification, нажать клавишу Choose Name ("Выбрать
имя") и в списке блоков модели отметить выходы нужных блоков. В полосе Label ("Метка")
необходимо написать обозначения выводимых на графики величин (Вход, Выход). Для
каждого графика необходимо выбрать режим установки масштаба по оси ординат Scaling ("Шкала").
После того, как
модель и необходимые параметры заданы, можно проводить эксперимент, т.е.
осуществлять решение сформулированной задачи.
Подготовленный эксперимент (модель с
соответствующим интерфейсом и режимом моделирования) запускается на решение
пунктом меню Action -> Start Simulation или соответствующей пиктограммой на панели инструментов.
Полученный результат приведен на рис. 3.2.2.
Рис. 3.2.2. Переходная характеристика ОСАУ
Для определения импульсной характеристики
объекта необходимо изменить структуру модели решения задачи, заменив блок
ступенчатого входного воздействия con,
на блок pulsgen
- импульсное воздействие, выходом которого является прямоугольный импульс.
Для этого необходимо выполнить следующую
последовательность действий:
·
В
графическом редакторе изменить структуру модели решения задачи, заменив блок
ступенчатого входного воздействия con
на блок pulsgen
- импульсное воздействие.
·
При
подготовке эксперимента задать параметры блока pulsgen
где: Т1=-1 - время начала
импульса;
Т2=1 время окончания импульса;
P=1 высота импульса.
·
Провести
эксперимент, оставив условия проведения эксперимента прежними.
Рис. 3.2.3 Импульсная характеристика ОСАУ
Меняя коэффициент T,
можно наблюдать за изменениями выходных характеристик (приложение I).
3.3 Моделирование объекта с
передаточной функцией с 
Необходимо найти оптимальное
управление
системы, которое произвольное начальное состояние (х10,
x20) переводит в начало координат за минимальное время Т, объект
регулирования представляет собой

Используя
полученный ранее алгоритм решения
=0, если
,
х2
Построим модель системы оптимального
управления данным объектом. Структурная схема будет иметь следующий вид (рис.
3.3.1)
Рис. 3.3.1 Структурная схема ОСАУ с
объектом регулирования
Сохранив модель,
проведем эксперимент (Simulation/
Experiment) ("Эксперимент"). Далее зададим:
· значения
коэффициентов (Parametrs) - k=1, T1=1;
· начальные условия (Inital Conition) - нулевые;
· значения вывода
информации (Plot Specifications) - x*(t), u*(t).
Запускаем эксперимент Action/ Start Simulation. Полученный
результат приведен на рисунке 3.3.2.
Рис. 3.3.2. Выходная характеристика ОСАУ x*(t)
и u*(t)
Определим импульсную характеристику объекта.
Рис. 3.3.3. Импульсная характеристика ОСАУ
Меняя коэффициенты k, T1 можно наблюдать за изменениями выходных
характеристик (приложение II).
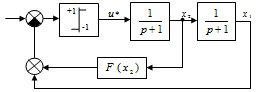
3.4 Моделирование объекта с
передаточной функцией с 
Необходимо найти оптимальное
управление
системы, которое произвольное начальное состояние (х10,
x20) переводит в начало координат за минимальное время Т, объект
регулирования представляет собой

Используя
полученный ранее алгоритм решения
Построим модель системы оптимального
управления данным объектом. Структурная схема будет иметь следующий вид (рис.
3.4.1)
Рис. 3.4.1. Структурная схема ОСАУ с
объектом регулирования 
Сохранив модель,
проведем эксперимент (Simulation/
Experiment) ("Эксперимент"). Далее зададим:
· значения
коэффициентов (Parametrs) - k=1, T1=1, T2=1;
· начальные условия (Inital Conition) - нулевые;
· параметры
моделирования (Run Specifications)
· значения вывода
информации (Plot Specifications) - x*(t), u*(t).
Запускаем эксперимент Action/ Start Simulation. Полученный
результат приведен на рисунке 3.4.2.
Рис. 3.4.2. Выходная характеристика ОСАУ x*(t)
и u*(t)
Определим импульсную характеристику объекта.
Параметры блока pulsgen
где: Т1=-1 - время начала
импульса;
Т2=1- время окончания импульса;
P=1 - высота
импульса.
Рис. 3.2.3. Импульсная характеристика ОСАУ
Меняя коэффициенты k, T1, T2, можно наблюдать за изменениями
выходных характеристик (приложение III).
4. ЭКОНОМИЧЕСКОЕ ОБОСНОВАНИЕ РАЗРАБОТКИ
ПРОГРАММЫ
Научно-технический прогресс в наше время в
значительной степени определяется развитием вычислительной техники и
программного обеспечения. Основной причиной устойчивых и быстрых темпов роста
производства ЭВМ и программных средств является возможность значительного
повышения производительности во всех сферах за счет применения ЭВМ. Однако
желаемая широта применения ЭВМ наталкивается на ограниченные возможности по
разработке и сопровождению программ, а также по обслуживанию ЭВМ. Суть
ограничений заключается в отстаивании технологии разработки и производства
аппаратуры ЭВМ, что отрицательно сказывается на объеме производства и качества
программных средств. Качественное изменение роли программ для ЭВМ привело к
необходимости создания экономии программных средств, как части экономии производства
[13].
В данном разделе дипломной работы определяется расчет полной стоимости спроектированного комплекса
программных средств и экономической эффективности от
ее внедрения.
При расчете
стоимости разрабатываемой программы необходимо учесть следующие факторы:
·
Полезный годовой фонд времени;
· Годовые
эксплуатационные затраты;
· Среднегодовая
заработная плата разработчика;
· Стоимость
одного часа машинного времени;
· Дополнительные
коэффициенты, влияющие на стоимость данной программы.
Главным источником
роста прибыли и рентабельности является снижение себестоимости. Снижение
себестоимости программного продукта можно добиться несколькими путями:
- изменение объема
и структуры продукции;
- повышение
производительности труда;
- использование
ранее написанных модулей.
4.1 Стоимость
одного часа машинного времени
Стоимость одного
часа машинного времени вычисляем по формуле:
, (4.1)
где: Сэкс -
годовые эксплуатационные расходы, руб.;
Тэф -
эффективный годовой фонд времени, час;
Кисп -
коэффициент использования машины и времени разработчика. Коэффициент
использования машины принимаем 0,9.
Эффективный фонд времени
На предприятии
продолжительность смены 8 часов, работа идет в одну смену, в году 253 рабочих
дней, за рабочий день предусмотрен регламентированный перерыв 1 час.
Эффективный годовой фонд времени рассчитывается по формуле:
, (4.2)
где: tpд
- продолжительность рабочего дня;
=1 - количество
смен;
=253 - количество
рабочих дней;
=1 - регламентированные потери рабочего времени.
Подставив эти данные в
формулу (4.2), получим, что эффективный фонд времени будет равен:
= (8∙1∙253)-(1∙253∙1)
= 1771 часов
Эксплуатационные расходы
Эксплуатационные расходы
также являются неотъемлемой частью затрат на разработку программы, и
вычисляются по формуле:
Сэкс = ЗПср.год
+ Агод + Сн.р. + Сэ, (4.3)
где: ЗПср.год -
среднегодовая заработная плата разработчика, он же занимается обслуживанием.
Работу выполняет инженер-программист с заработной платы в размере 15000 рублей.
Агод -
годовые амортизационные отчисления, руб.;
Снр -
накладные расходы, руб.;
Сэ -
стоимость потребляемой электроэнергии за год, руб.
руб., (4.4)
где: Ч - численность
рабочих, 1 человек.
ЗПср.год =
15000*1*12 = 180000 руб.
Агод. = На%
∙ Скомп., (4.5)
где: На -
норма амортизации (10%), ускоренная амортизация (20%);
Скомп. -
стоимость компьютера (22000 тыс. руб.).
руб.
Накладные расходы в
условиях предприятия = Ппр50% от заработной платы
техника-программиста. Сюда включаются затраты на содержание помещения,
оборудования, управленческие затраты.
(4.6)
руб.
Сэ = Мп
∙ Тр.вр. ∙ Цэ ∙ Кисп, (6.7)
где: Мп =0.3 кВт - сумма потребляемой мощности;
Тр.вр. =1771 час - годовой фонд рабочего времени в 2007 году;
Цэ =1.10 руб. -
стоимость 1 кВт.;
Кисп =0.9 - коэффициент использования мощности, принимается;
Сэ = 0.3∙
1771 ∙ 1.10 ∙ 0.9 =525.987 руб.
Полученные данные
представим в виде таблицы 4.1
Таблица 4.1 - Эксплуатационные расходы
|
Показатель
|
Расчетная
формула
|
Значение
|
%
соотношение
|
|
Среднегодовая заработная плата разработчика, руб.
|
18000065.47
|
|
|
|
Годовые амортизационные отчисления, руб.
|
Агод = На% ∙ Скомп
|
4400
|
1.6
|
|
Стоимость потребляемой электроэнергии за год, руб.
|
Сэ = Мп ∙ Тр.вр ∙ Цэ
∙ Кисп
|
525.99
|
0.19
|
|
Накладные расходы, руб.
|
9000032.74
|
|
|
|
Итого:
|
Сэкс = ЗПср.год + Агод + Сн.р
+Сэ
|
274925.99
|
100
|
Рис. 4.1 %-ое соотношение эксплуатационных расходов
Исходя из этих
данных, получаем:
Сэксп = 180000 +
4400 + 90000 + 525.99 = 274925.99 руб.
По полученным
значениям рассчитываем стоимость машинного часа, которая рассчитывается по
формуле 4.1:
руб.
.2 Расчет стоимости
разработки программы
Время разработки программы
Время разработки рассчитывается по
следующим этапам, как показано в таблице 4.2.
Таблица
4.2 - Этапы разработки программы
|
№п/п
|
Этапы разработки
|
Время, час.
|
|
1
|
Постановка задачи
|
30
|
|
2
|
Выбор метода решения
|
10
|
|
3
|
Составление алгоритма
|
35
|
|
4
|
Выбор языка программирования
|
1
|
|
5
|
Составление программы
|
100
|
|
6
|
Отладка
|
40
|
|
ИТОГО
|
216
|
|
В том числе машинное время
|
140
|
Стоимость
разработки программы
Ср= ЗПр.руч
∙ n1 + См.час ∙ n1 (4.8)
где: n1 и n2 - соответственно количество чел.
часов разработки и машинных часов;
nl = 76 час.;
n2=140 час. ЗП p.руч. - средняя часовая
заработная плата разработчика инженера
программиста с
отчислениями на социальные нужды.
, (4.9)
ФЗПгод = ЗПср.год.+
ОТЧИСЛ. (4.10)
Отчисления на социальные
нужды 26%, в том числе:
- Федеральный бюджет -
20%
- Фонд медицинского
страхования - 2.8%
- Фонд социального
страхования - 3.2%
ФЗПгод =
180000 + 180000 ∙ 0.26 = 226800 руб.
Рассчитываем среднечасовую
заработную плату по формуле 4.9:
руб.
Вычисляем стоимость
разработки программы по формуле 4.10:
Ср = 128.06 ∙
76 + 172.5 ∙ 140 = 33882.81 руб. (себестоимость)
.3 Цена программного
продукта
Цена разработанной программы
в рыночной экономике рассчитывается на основе принципов рыночного
ценообразования. Для этого производится аналитические расчеты и оценки.
Программное обеспечение имеет две
особенности существенно отличающих его от других видов товаров. С одной стороны
это авторское произведение. С другой стороны созданную программу легко
размножить (затраты на копии ничтожны малы).
Цены
устанавливаются в зависимости от их назначения и разработки: уникальные, по
заказу, специализированные и универсальные рыночные.
Определяющими
факторами для формирования рыночной цены являются [5]:
- Потребность
(спрос) в программных продуктах определенного типа;
-Количество
потенциальных покупателей и их финансовые возможности;
- Наличие
конкурентов;
- Качество;
- Удобство в
пользовании;
- Реклама.
Цена = себест. +
прибыль + НДС, (4. 11)
где: прибыль = 50%;
НДС =18%.
Цена = 33882.81 ∙
0.5 + (33882.81 + 16941.41) ∙0.18 = 26089.77 руб.
Необходим анализ
ситуаций, возникающих на рынке программных средств. Первоначальные затраты на
разработку программы являются постоянными затратами, возмещения которых, как
правило существующих экономико-математических моделях не учитывается. Продавцы
пытаются получить максимальную выручку от продажи. В этом случае поиск рыночной
цены можно записать в виде оптимальной модели:
(4.12)
где: Вр -
выручка, руб.; Ц - искомая цена, руб.;
Кс -
количество копий, которые будут проданы по цене «Ц».
Кс - 2 шт.
Вр = 26089.77
∙2 = 52179.54 руб.
В начале назначается
максимальная цена, затем она снижается.
.4 Расчет экономической
эффективности от внедрения программы
Внедрение данной
программы на производстве позволит значительно сократить время переходного
процесса, а значит добиться снижения расхода энергии оборудования выполняющего
данную задачу.
Расчет экономической
эффективности проводится по разности затрат до внедрения (31) и после внедрения
(32), умноженной на объем выполняемых работ (N)
за минусом стоимости разработки программы (Ср).
Э = (31-32)* N-Cp, (4.13)
где: N =253 - количество запусков программы в год;
= ЗПр.руч∙
t l , (4.14)
где: t l=0.5
час. - время на один расчет в ручном варианте.
31 = 128.67∙0.5 =
64.33 руб.
= См.ч.∙
t 2, (4.15)
где: См ч
- стоимость машинного часа;
t2
=0.08
час. - время на один расчет в машинном варианте.
32 = 172.49 ∙0.08
= 13.80 руб.
Годовой экономический
эффект составил:
Э = (64.33 -13.80)∙
253 -33882.81=21098.72 руб.
Срок окупаемости данной
программы составит:
. (4.16)
То есть данная программа окупится
через 1.6 года.
Все полученные данные представлены в таблице
4.3.
Таблица.4.3 -
Свободные экономические показатели по разработке программы
|
Показатель
|
Расчетная
формула
|
Значение
|
|
Стоимость одного часа машинного времени, руб.
|

|
|
|
Стоимость
разработки программы, руб.
|
Ср= ЗПр.руч ∙ n1 + См.час ∙ n1
|
33882.81
|
|
Цена
программного продукта, руб.
|
Цена = себест. + прибыль + НДС,
|
26089.77
|
|
Годовой
экономический эффект, руб.
|
Э = (31-32)* N-Cp,
|
21098.72
|
|
Срок
окупаемости, год.
|
1.6
|
|
Экономический эффект подсчитан на основе
сравнения выполнения работы программными средствами и расчета вручную. Приведенные
расчеты свидетельствуют об экономической целесообразности внедрения и
применения разработанной программы для лабораторной работы. Экономия
осуществляется в основном за счет сокращения времени работы оборудования.
5. БЕЗОПАСНОСТЬ И ЭКОЛОГИЧНОСТЬ ПРОЕКТНЫХ
РЕШЕНИЙ
Охрана труда - это система законодательных
актов, социально-экономических, организационных, технических, гигиенических и
лечебно-профилактических мероприятий и средств, обеспечивающих безопасность,
сохранение здоровья и работоспособности человека в процессе труда.
.1 Организация
рабочего место и обеспечение безопасности при использовании ЭВМ
Производительность
и безопасность труда работника, использующего в своей работе вычислительную
технику, зависит от правильной организации и режима труда на рабочем месте.
Правильная организация рабочего места - это создание на рабочем месте
необходимых условий для производительного труда и выполнения работы (операции)
высокого качества при наиболее полном использовании оборудования, экономном
расходовании физической и эмоциональной энергии работника, повышении
содержательности и привлекательности труда, сохранении здоровья работающих. При
организации труда на рабочем месте учитывают следующие факторы:
• особенность
технологического процесса;
• уровень
механизации и автоматизации;
• уровень
специализации;
• степень
разделения труда;
• используемые
приемы и методы работы.
Организация
рабочего места для каждой ЭВМ имеет свои специфические особенности, зависящие
от модели машины, метода работы на ней, характера выполняемой работы,
квалификации оператора и т.п. Учитывая специфику машины, рабочее место
организуют так, чтобы использовать рациональные приемы работы и эксплуатации
машины при наименьшем числе движений оператора и удобном обращении с
обрабатываемым материалом.
На организацию
труда на предприятии, использующем вычислительную технику, существенно влияют
конструкция и параметры основного и вспомогательного оборудования, которые
должны отвечать требованиям эргономики:
· оптимальному
распределению функций в системе человек-машина;
· соответствию
конструкции оборудования антропометрическим и психофизиологическим данным
организма работающего;
· соблюдению
допустимых показателей производственной среды и санитарно-гигиенических условий
труда, а также безопасности эксплуатируемого оборудования.
Основой роста
производительности труда является изучение, обобщение и распространение
передового опыта работы. Внедрение передового опыта влияет на
производительность труда операторов на вычислительных машинах; так, производительность
растет за счет сокращения времени набора исходных данных на клавиатуре,
совмещения выполнения во времени нескольких элементов операций, рациональной
подготовки и укладки документов и т.п. Эффективным методом повышения
производительности труда руководящих работников и специалистов является
использование в их работе вычислительной техники. Чтобы эти методы работы были
действенны, необходимо сочетать их с совершенной системой организации
производства, например, с системами комплексной подготовки производства, с
использованием программно-целевых методов и автоматизированного проектирования,
функционально-стоимостного анализа, стандартных и типовых проектных решений,
единых комплексов технических и программных средств по переработке и преобразованию
информации.
Кроме того, на
эффективность труда ИТР и служащих существенно влияет применение правильных
приемов работы на рабочем месте. Для них, как и для операторов, справедлив
принцип: минимум затрат физической и эмоциональной энергии, но максимум результатов
труда. Достичь этого можно, лишь освоив рациональные методы и приемы труда на
рабочем месте. Только они позволяют выполнить заданную работу качественно, в
минимальные сроки и без лишнего напряжения. Практикой установлено, что
рационализацией приемов и движений работающего на рабочем месте трудоемкость
может быть снижена на 10 - 15 %, а эффективность труда в целом повышена на 30 -
40 %.
На повышение
производительности труда на предприятиях оказывает существенную роль правильная
планировка рабочих мест [10].
Планировкой
рабочего места называют пространственное расположение основного и
вспомогательного оборудования, оснастки и предметов труда, а также самого
работающего, обеспечивающее рациональное выполнение трудовых движений и
приемов, благоприятные и безопасные условия труда.
При организации
рабочего места весьма важным фактором является рабочая поза работника, т.е.
положение его корпуса, головы, рук и ног относительно орудий труда. Если
работник работает сидя, ему необходимо обеспечить правильную и удобную посадку,
что достигается устройством опоры для спины, рук, ног, правильной конструкцией
сиденья, способствующей равномерному распределению массы тела.
При конструировании рабочих мест должны быть
соблюдены следующие основные условия:
достаточное рабочее пространство для студента,
позволяющее осуществлять все необходимые движения и перемещения при
эксплуатации и техническом обслуживании оборудования;
достаточные физические, зрительные и слуховые
связи между студентом и оборудованием, а также между студентами;
оптимальное размещение рабочих мест в помещениях
для оперативной работы, а также безопасные и достаточные проходы для студентов;
оптимальное размещение оборудования, входящего в
состав рабочего места, главным образом средств отображения информации и органов
управления;
допустимый уровень акустического шума и
вибрации, создаваемых оборудованием рабочего места или другими источниками шума
и вибрации.
В особых случаях должны быть предусмотрены
необходимые средства защиты персонала от радиационной, термической,
токсической, электромагнитной и других опасностей.
При конструировании и размещении рабочих мест
следует предусмотреть меры, предупреждающие или снижающие преждевременное
утомление студента, предотвращающие возникновение у него стресса, а также появления
ошибочных действий.
Конструкция рабочего места должна обеспечивать
быстроту, безопасность, простоту и экономичность технического обслуживания в
нормальных и аварийных условиях, полностью отвечать функциональным требованиям
и предполагаемым условиям эксплуатации. Она должна быть такой, чтобы
эксплуатацию, техническое обслуживание или ремонт оборудования рабочего места
мог производить персонал, имеющий минимальную подготовку.
При организации рабочего пространства необходимо
учитывать основные антропометрические и биохимические данные именно такого
контингента лиц, которым предстоит эксплуатировать рабочее место. Важнейшими
характеристиками рабочего пространства являются зоны досягаемости.
Зоны досягаемости в горизонтальной плоскости
представлены на рис.5.1, где:
А - зона максимальной досягаемости;
В - зона досягаемости пальцев при вытянутой
руке;
С - зона удобной досягаемости ладони;
D - оптимальное
пространство для грубой ручной работы;
Е - оптимальное пространство для тонкой ручной
работы.
В зонах D,
E возможны наиболее
быстрые, точные, координированные и наименее утомляющие движения. Сектор
досягаемости каждой руки имеет угол 180º.
Рис.5.1 Зоны досягаемости
При организации рабочего пространства нужно
учитывать: степень подвижности студента (работа “сидя”, “стоя” или
“сидя-стоя”):
конфигурацию и способ размещения органов
управления
потребность в обзоре рабочего места
необходимость использования рабочей поверхности
для письма или других работ, для установки телефонных аппаратов, а также
хранение инструкций и других материалов, используемых студентом или
обслуживающим персоналом.
пространство для ног и ступней оператора
(студента) при работе “сидя”.
Конструкция рабочей мебели (стол, стул или
кресло) должна обеспечивать возможность индивидуальной регулировки
соответственно росту работающего и создавать удобную позу при работе.
При работе студента в положении “сидя”
рекомендуются следующие параметры рабочего пространства:
ширина - не менее 700мм
глубина - не менее 400мм
высота рабочей поверхности стола (столешницы)
над полом - 700-750 мм.
Если требуется иметь поверхность для письма, она
должна иметь не менее 400 мм в глубину и не менее 600 мм в ширину.
Под рабочей поверхностью должно быть
предусмотрено пространство для ног:
высота - не менее 600 мм;
ширина - не менее 500 мм;
глубина - не менее 400мм ;
При необходимости обзора рабочего места высота
последнего не должна превышать 1200 мм.
Кресло студента должно обеспечивать надежную
опору для тела с учетом выполняемых студентом действий.
Наиболее удобно сиденье, имеющее выемку,
соответствующую форме бедер, и наклон назад. Спинка стула должна быть изогнутой
формы, обнимающей поясницу. Длина ее 30 мм, ширина 11мм, радиус изгиба 30-35
мм.
Для эффективной
работы на ЭВМ следует продуманно подойти к организации рабочего места оператора
(служащего) с использованием ПЭВМ.
Специфика труда
таких работников заключается в больших зрительных нагрузках в сочетании с малой
двигательной активностью, монотонностью выполняемых операций, вынужденной
рабочей позой. Эти факторы отрицательно сказываются на самочувствии работающего
и могут вести к профессиональным заболеваниям.
Зрительные нагрузки
связаны с воздействием на зрение дисплея (видеотерминала- ВДТ). Чтобы условия
труда оператора были благоприятными, снизилась нагрузка на зрение,
видеотерминал должен соответствовать таким требованиям:
• экран должен
иметь антибликовое покрытие. Наилучшее сокращение отражений может быть
достигнуто с помощью фильтров с просветленными поверхностями (напыление
четвертьволнового слоя). Достаточные сокращения отражений достигаются также
благодаря фильтрам из дымчатого стекла и матовым поверхностям экранов.
Микроячеистые фильтры оправданы при ярком освещении в помещении тогда, когда
при установке ВДТ невозможно учесть расположение осветительных приборов.
Оптимальное подавление отражений может быть достигнуто в основном при строго
вертикальном или слегка наклонном расположении дисплея. Самая верхняя
используемая строка на экране не должна располагаться выше горизонтальной линии
взгляда;
• цвета знаков и
фона должны быть согласованы между собой. При работе с текстовой информацией (в
режиме ввода данных, редактирования текста и чтения с экрана ВДТ) наиболее
благоприятным для зрительной работы оператора является представление черных
знаков на светлом фоне, так как при одинаковом контрасте разборчивость знаков
на светлом фоне лучше, чем на темном;
• для многоцветного
отображения рекомендуется использовать одновременно максимум 6 цветов -
пурпурный, голубой, синий, зеленый, желтый, красный, а также черный и белый,
так как вероятность ошибки тем меньше, чем меньше цветов используется и чем
больше разница между ними, а для одноцветного отображения - черный, белый,
серый, желтый, оранжевый и зеленый. Красные и голубые цвета на границе видимого
спектра (и их сочетания) применять нельзя;
• необходимо
регулярное тщательное обслуживание терминалов специалистами. В настоящее время
в ряде зарубежных стран разработаны регламентирующие правила пользования
дисплеями. Наиболее известны шведские документы МКР II 1990:8 (Шведский
национальный комитет по защите от излучений) и более жесткий стандарт ТСО 95
(Шведская конфедерация профсоюзов). Эти нормы применяются во всех странах
Скандинавии и рекомендованы к распространению в странах ЕС [14].
В Российской
Федерации безопасные условия труда на компьютерах регламентирует документ
«Гигиенические требования к видеодисплейным терминалам, персональным
электронно-вычислительным машинам и организации труда».
Таблица 5.1 - Визуальные эргономические параметры ВДТ
|
Наименование параметров
|
Пределы значений параметров
|
|
минимум (не менее)
|
максимум (не более)
|
|
Яркость знака (яркость фона), кд/м2 (измеренная в
темноте)
|
35
|
120
|
|
Внешняя освещенность экрана, лк
|
100
|
250
|
|
Угловой размер знака, утл. мин
|
16
|
60
|
Оптимальным
диапазоном значений визуального эргономического параметра называется диапазон,
в пределах которого обеспечивается безошибочное считывание информации при
времени реакции человека-оператора, превышающем минимальное, установленное
экспериментально для данного типа ВДТ, не более чем в 1.2 раза.
Допустимым
диапазоном значений визуального эргономического параметра называется диапазон,
при котором обеспечивается безошибочное считывание информации, а время реакции
человека-оператора превышает минимальное, установленное экспериментально для
данного типа ВДТ, не более чем в 1,5 раза.
Угловой размер
знака-угла между линиями, соединяющими крайние точки знака по высоте и глаз
наблюдателя.
Угловой размер
знака определяется по формуле
а = arctg (h/2L),
где h - высота знака;
L- расстояние от знака до глаза наблюдателя.
Данные значения параметров
являются обязательными.
.2 Мероприятия, обеспечивающие комфортные
условия труда
К эргономическим требованиям, обеспечивающим
максимальную эффективность, безопасность и комфортность труда, относятся
следующие:
1) гигиенические (факторы внешней среды -
температура, физико-химический состав воздуха, освещенность, шумы и т.п.)
2)антропометрические и биомеханические,
характеризующие соответствия орудий труда размером, форме и весу тела, силе и
направлению движений и т.п.
3)физиологические и психофизиологические,
устанавливающие соответствия скоростным, энергетическим, зрительным и другим
функциональным возможностям
4) психологические, характеризующие соответствия
закрепленным и формируемым навыкам и возможностям восприятия памяти и мышления
5) эстетические, используемые для определения
соответствиям эстетическим потребностям человека и реализуемые в
художественно-конструкторских решениях рабочих мест (орудий труда) и производственной
среды.
Гигиена труда изучает влияние производственной
среды на здоровье работающих. Для разработки рекомендаций, исключающих
возможность неблагоприятного воздействия факторов внешней среды на работающих,
необходимо тщательно изучить особенности технологического процесса,
санитарно-гигиенические условия труда.
Физиология труда изучает изменения, происходящие
в организме работающего под влиянием трудового процесса и внешней среды.
Важнейшими задачами физиологии труда являются разработка наиболее рациональных
трудовых приемов, обеспечивающих сохранение работоспособности и предупреждение
утомления, а следовательно, повышение производительности труда, научное
обоснование и рекомендации режимов труда и отдыха работающих и т.д.
Психология труда изучает психологические
особенности различных видов трудовой деятельности человека. На основе изучения
закономерностей психологической деятельности человека разрабатываются меры,
способствующие улучшению трудового процесса.
Психология труда занимается вопросами оценки
профессиональной пригодности работника, формирование профессиональной
направленности, рационализации рабочей обстановки и рабочих мест, методов труда
и обучения, взаимоотношений между людьми в процессе труда и др. Она тесно
связана с гигиеной труда, врачебно- трудовой экспертизой, педагогикой и др.
Понижение работоспособности, возникающее в
результате выполнения работы, называется утомлением. Это физиологическое
состояние организма, характеризующееся рядом объективных признаков - изменением
количества эритроцитов, лейкоцитов, гемоглобина, уменьшением содержания сахара
в крови, субъективными признаками - нежеланием продолжать работу, усталостью и
тому подобное.
Появление и развитие утомляемости связано с
функциональными изменениями, возникающими в процессе работы в центральной
нервной системе, с тормозными процессами в коре головного мозга.
В борьбе с утомляемостью большое значение имеют:
физиологическая рационализация трудового
процесса, которая включает разработку системы мер, касающихся экономии движений
при работе, более равномерного распределения нагрузки между различными
мышечными группами тела человека и др.;
построение физиологически обоснованного режима
труда и отдыха, т.е. рациональной системы чередования периодов работы и
перерывов между ними. Наряду с пассивным отдыхом для предупреждения утомления в
процессе труда применяют физические упражнения: производственную гимнастику,
физкультурные паузы. Проводят их перед работой и в течение рабочего дня от
одного до трех раз. Комплекс упражнений необходимо периодически изменять, так
как в противном случае он перестанет служить фактором, предупреждающим
утомление.
На работоспособность человека влияют и
неблагоприятные физические факторы внешней среды. К ним относятся
микроклиматические условия. Наиболее часто изменение микроклимата в помещениях
вызываются изменением температуры. Температуру рабочих помещений рекомендуется
регулировать в зависимости от времени года. Работоспособность человека зависит,
кроме того, от влажности и скорости движения воздуха, атмосферного давления,
состава воздуха в помещениях, уровня шума, освещенности, окраски оборудования,
помещений. Эстетика производства является составной частью культуры
производства, т.е. комплекса мер по организации труда, направленных на создание
благоприятной рабочей обстановки. Культура производства достигается правильной
организацией рабочих процессов и отношений между работающими, благоустройством
рабочих мест, эстетическим преобразованием среды [10].
Для создания наиболее благоприятных условий
труда необходимо учитывать психофизиологические особенности человека, а также
общую гигиеническую обстановку.
Большое значение в создании оптимальных условий
имеют:
складывающиеся в коллективе взаимоотношения
между работниками;
планировка рабочего места;
Рассмотрим подробнее мероприятия, обеспечивающие
комфортные условия труда.
.3 Установления микроклимата производственной
среды в лабораториях использующих ЭВМ
Под метеорологическими условиями
производственной сферы согласно ГОСТ 12.1.005-88 понимают сочетания температуры,
относительно влажности и скорости движения воздуха. Перечисленные параметры
оказывают огромное влияние на функциональную деятельность человека, его
самочувствие и здоровье и на надежность работы средств вычислительной техники.
Эти микроклиматические факторы влияют на каждый в отдельности, так и в
различных сочетаниях. В производственных помещениях характерно суммарное
действие факторов.
На микроклимат в помещении влияют источники
теплоты: ЭВМ и вспомогательное оборудование, приборы освещения, электродвигатели,
обслуживающий персонал. Кроме того, на суммарные тепловыделения помещений
оказывают влияние внешние источники поступлений теплоты.
Для оценки метеорологических условий в
производственных помещениях производят измерения температуры, влажности,
скорости движения воздуха, интенсивности теплового излучения. Результаты
измерений сравниваются с нормативами.
Таблица 5. 2 -
Оптимальные нормы микроклимата для помещений с ВДТ и ПЭВМ
|
Период
года
|
Категория
работ
|
Температура
воздуха, град. С не более
|
Относительная
влажность воздуха, %
|
Скорость
движения воздуха, м/с
|
|
|
Холодный
|
легкая
- 1а
|
22
- 24
|
40
- 60
|
0.1
|
|
|
легкая
- 1б
|
21
- 23
|
40
- 60
|
0.1
|
|
Теплый
|
легкая
- 1а
|
23
- 25
|
40
- 60
|
0.1
|
|
|
легкая
- 1б
|
22
- 24
|
40
- 60
|
0.2
|
|
|
|
|
|
|
|
|
На работу оборудования большое влияние оказывает
также относительная влажность воздуха. При влажности воздуха до 40% становится
хрупкой основа магнитной ленты, повышается износ магнитных головок, выходит из
строя изоляция проводов. При относительной влажности воздуха более 75-80%
снижается сопротивление изоляции, изменяются рабочие характеристики элементов
ЭВМ.
Измерения параметров микроклимата помещений
осуществляют с помощью приборов непрерывного и периодического измерения.
Измерения проводят не менее пяти раз в смену на высоте 1.5 м от пола. К
приборам непрерывного измерения относят термографы, гигрографы и барографы,
которые измеряют и непрерывно записывают соответственно температуру, влажность
и давление воздуха. К приборам периодического измерения параметров микроклимата
относят ртутные термометры, психометры, анемометры, кататермометры,
актинометры.
Для кондиционирования воздуха обычно применяют
бытовые кондиционеры типа БК-1500, БК-2500, БК-2000Р.
С целью создания нормальных условий работы
персонала установлены параметры производственного микроклимата (ГОСТ
12.1.005-88). Эти нормы определяют оптимальные и допустимые величины
температуры, влажности и скорости движения воздуха:
а) рабочие диапазоны:
температура воздуха от 5º-10º
до 35º-40ºС;
относительная влажность 40-90%
б) в машинном зале необходимо поддерживать (для
всех климатических зон):
температуру воздуха 20º±2º;
относительную влажность 55±5%;
скорость движения воздуха 0.1 м/с.
Воздух, используемый для вентиляции помещения,
должен очищаться от пыли. В помещениях ежедневно должна проводится влажная
уборка. Для повышения влажности воздуха следует использовать промышленные
увлажнители.
.4 Мероприятия по борьбе с шумом и вибрациями
Шум является наиболее распространенным фактором
внешней среды. Под шумом подразумевается любой неприятный или нежелательный для
человека звук. Человек же воспринимает колебания 20-20000 Гц.
На рабочих местах шум создается техническими
системами, кондиционерами воздуха, светильниками освещения и др. и не должен
превышать 50 дБ.
Для снижения шума, создаваемого на рабочих
местах внутренними источниками, а также шума, проникающего извне, следует:
ослабить шум самих источников, предусмотреть
применение в их конструкциях акустических экранов, звукоизолирующих кожухов;
снизить эффект суммарного воздействия на рабочие
места отраженных - звуковых волн за счет звукопоглощения энергии прямых
звуковых волн поверхностями ограждающих конструкций;
применять рациональную планировку оборудования
использовать архитектурно-планировочные и
технологические решения, направленные на изоляцию источников шума.
Для измерения уровня шума применяются
отечественные и зарубежные шумомеры и анализаторы. Снижение шума, проникающего
извне, получается путем увеличения звукоизоляции ограждающих конструкций. Для
снижения уровня шума, потолки и стены облицовываются звукопоглощающим
материалом с максимальным коэффициентом звукопоглощения в области частот 63-800
Гц.
Иногда применяются гидрозащитные экраны,
действия которых основано на отражении или поглощении падающих на него звуковых
воли. При необходимости применяются наушники, шлемы.
.5 Освещение рабочего места
Производственное
освещение бывает трех видов: естественное - за счет солнечного излучения
(прямого и диффузно-рассеянного света небесного купола); искусственное - за
счет источников искусственного света; совмещенное.
Естественное
освещение имеет положительные и отрицательные стороны. Более благоприятный
спектральный состав (наличие ультрафиолетовых лучей), высокая диффузность
(рассеянность) света способствуют улучшению зрительных условий работы. В то же
время при естественном освещении освещенность во времени и пространстве
непостоянна, зависит от погодных условий, возможно тенеобразование, ослепление
при ярком солнечном свете.
Искусственное
освещение помогает избежать многих недостатков, характерных для естественного
освещения, и обеспечить оптимальный световой режим. Однако условия гигиены
труда требуют максимального использования естественного освещения, так как
солнечный свет оказывает оздоровляющее действие на организм. Он не используется
в тех помещениях, где это противопоказано технологическими условиями
производства, где хранятся светочувствительные химикаты, материалы или изделия.
При отсутствии
достаточного освещения в светлое время суток используют и искусственный свет.
Такое освещение называется совмещенным. Оно предусмотрено существующими
нормами.
По конструктивному исполнению искусственное
освещение может быть общим и комбинированным. При общем освещении все рабочие
места освещаются от общей осветительной установки. Комбинированное освещение
наряду с общим включает местное освещение, сосредотачивающее световой поток
непосредственно на рабочих местах. Освещенность, создаваемая светильниками
общего освещения в системе комбинированного, должна составлять 10% нормируемой,
но не менее 150 лк. для люминесцентных и 50 лк. для ламп накаливания.
Применение одного местного освещения не
допускается, так как вызывает необходимость частой переадаптации зрения,
создает глубокие и резкие тени, опасность травмирования и другие
неблагоприятные факторы.
Для общего освещения помещений следует
использовать, главным образом, люминесцентные лампы, что обуславливается
следующими их достоинствами: высокой световой отдачей (до 75 лм/Вт и более);
продолжительным сроком службы (до 10000 ч.); малой яркостью светящейся
поверхности; спектральным составом излучаемого света.
Светильники с люминесцентными лампами
размещаются рядами, желательно параллельно стене с окнами, что позволяет
производить их последовательное отключение (включение) в зависимости от
величины естественной освещенности. Кроме того, направление рядов светильников
должно совпадать с основным направлением линии зрения. при поперечном
расположении светильников в поле зрения попадает много чередующихся полос света
и тени, что раздражающе действует на глаза.
Необходимо помнить, что запрещается применять
для окон темные занавески, перегоревшие лампы должны меняться своевременно.
Наиболее приемлемыми являются люминесцентные
лампы ЛБ (белого света) и ЛТБ (тепло-белого света) мощностью 20, 40, 80 Вт.
В качестве светильников используются установки с
преимущественно отраженным или рассеянным светораспределителем типа УСП-5-2*40,
УСП-35-2*40, ЛВООЗ-2*4-002.
Освещенность рабочих мест во многом зависит от
отражающего света. Поэтому окраску помещений целесообразно выбирать в
соответствии с цветом технических средств. Освещение помещений и оборудования
должно быть мягким, без блеска, окраска интерьера помещений должна быть
спокойной для визуального восприятия. Неподвижные площади следует окрашивать в
более строгие тона, подвижные - в яркие, потолки - в строгие [11].
В настоящее время нормы освещенности установлены
СНиП 23-05-95. По этим нормам предусматривается преимущественное использование
люминесцентных ламп. Если использование этих ламп по технико-экономическим
причинам не возможно или нецелесообразно, то разрешается применять лампы
накаливания.
Рассмотрим подробнее расчет освещения помещения
лаборатории.
5.6 Расчет освещения
Помещение, где находится лаборатория ТАУ, имеет
естественное и искусственное освещение, отвечающее требования СНиП 23-05-95
“Естественное и искусственное освещение. Нормы проектирования.”
Применяемое искусственное освещение - верхнее.
По конструктивному исполнению - общее. Светильники общего освещения
располагаются под потолком помещения.
Пульсация освещения не превышает 10 %.
Коэффициент отражения рабочей поверхности и
световой отделки интерьера следующий:
потолка Р=0.7;
стен Р=0.5;
пола Р= 0.3.
В соответствии с [11] коэффициент запаса
выбирается К=1.5.
Расчет искусственного освещения можно произвести
4 методами:
точечным;
по удельной мощности;
графическим;
методом коэффициента использования светового
потока.
Расчет искусственного освещения
производственного помещения сводится к определению необходимой освещенности на
рабочем месте при выбранном типе, количестве и расположений светильников и
мощности всей осветительной установки при известной мощности одной лампы.
Воспользуемся последним методом [6]. Метод
коэффициента использования предназначен для расчета общего равномерного
освещения горизонтальных поверхностей при отсутствии крупных затемняющих
предметов. При расчете по этому методу учитывается как прямой, так и отраженный
свет.
1) Выбираются источники света -
светильники с люминесцентными лампами. Установка - ЛП001 (2 лампы по 40 Вт);
размеры
- 1313*255*118 (мм).
2) Световой поток одного светильника
рассчитываем по формуле:
,
где
= 300 лк - минимальная нормируемая
освещенность разряда работ;
= 1.5 - коэффициент запаса;
= 1.1 - коэффициент неравномерности
освещения;
- площадь помещения;
8 - число светильников;
η - коэффициент использования
светового потока ;
= 0.7 - коэффициент отражения
потолка;
=0.5 - коэффициент отражения стен;
- индекс помещения;
= 10 м - длина помещения;
= 6 м - ширина помещения;
= расчетная высота;
Вычислим расчетную высоту:
= 3.3 м - высота помещения;
=0.118 м - расстояние светильников
от перекрытия (“свес”);
= 3.182 м - высота светильников над
полом;
= 0.74 м - высота расчетной
поверхности над полом;
=2.442 м
;
находим
=0.6.
В помещении установлены 4 продольных
ряда светильников ЛП001 2*40 с лампами ЛБ.
Рассчитываем световой поток одного
светильника:
лм
У нас светильники с лампами ЛБ40 с
общим потоком 6240 лм (номинальный световой поток одной лампы ЛБ40 = 3120 лм),
то в нашем случае отклонение потока выбранной лампы (
лм) от
расчетной (
лм)
составляет + 0.85%, что удовлетворяет требованиям: -10%; +20%.
3) Рассчитываем фактическое значение
минимальной освещенности на рабочем месте с учетом выбранной лампы
.
4) Определяем мощность осветительной
установки
,
где
- мощность одной лампы.
.
ЗАКЛЮЧЕНИЕ
В данной дипломной
работе был проведен анализ САУ и дана классификация по различным признакам. С
применением математического анализа аппарата выполнен расчет ОСАУ для различных
объектов управления второго порядка.
Разработаны модели
для каждого типа ОСАУ. Проведено исследование ОСАУ с применением программного
продукта "20-sim
Pro 2.3". Для
каждой из 3-х видов ОСАУ сняты переходные и импульсные характеристики для
использования результатов работы в учебном процессе составлены варианты
заданий.
Дано экономическое обоснование
целесообразности применения ОСАУ. Затронуты аспекты безопасности эксплуатации и
экологии.
ЛИТЕРАТУРА
1. Александровский Н.М.
Элементы теории оптимальных систем автоматического управления. - М., Наука.
1965, 128 с.
2. Аркулян Э.К., Пикина Г.А.
Оптимизация и оптимальное управление. - М.: МЭИ, 2003, 356 с.: ил.
. Бесекерский В.А., Герасимов.
А.Н. Сборник задач по теории автоматического управления . -М., Наука, 1972, 588
с.
. Иванов В.А. Теория
оптимальных систем автоматического управления. - М. Наука, 1981, 336 с.
. Консон А.С. Экономические
расчеты в приборостроении: Учеб. пособие для приборосроит. спец. вузов. -М.:
Высшая школа,1983. -160 с.
. Охрана труда: Метод. указ.
расчетам по промсанитарии. -Ч: Чув.ГУ, 1989.
7. Оформление
текстовых и графических материалов выпускной квалификационной работы
(дипломного проекта, дипломной работы) Методические указания для
студентов-заочников специальности 220201 «Управление и информатика в
технических системах»/ Сост. Губин В.А., Зайцев О.Н - Чебоксары: ЧИ МГОУ, 2006,
37 с.
. Павлов С.П. Моделирование
динамических систем на ПЭВМ с использованием программы "20-sim".
Ч.1. Одноконтурные системы: Лабораторный практикум -
М.: Издательство МЭИ, 2003, 68 с
. Петров Ю.П. Оптимальное
управление движением транспортных средств. -Л.: Энергия, 1969, 96 с.
. Сибаров Ю.Г., Сколетов
Н.Н., Васин В.Г. Охрана труда в вычислительных центрах. -М.: Машиностроение,
1985, 215 с.
. Справочная книга для
проектированию электрического освещения/ Под ред. Кноринга К.Н.. -Л.: Энергия,
1976, 230 с.
. Смолеников Л.П. Синтез
квазиоптимальных систем АУ, Л.: Энергия, 1967, 168 с.
. Экономическое обоснование
дипломных проектов: Метод. указания для студентов/Сост. Савруков Н.Т., Калинин
В.А., Сорокин О.Н.. -Чебоксары, 1988, 43с.
. Эргономические основы
организации труда/ Зинченко В.П. и др. -М.: 1974, 315 с.
. Фельдбаум А.А. Основы
теории автоматического управления. -М.: Наука, 1966, 623 с.
ПРИЛОЖЕНИЕ 1
Таблица 1 -
Варианты заданий
|
№
параметр
|
2
|
3
|
4
|
|
con
|
pulsgen
|
con
|
pulsgen
|
con
|
pulsgen
|
|
k
|
2
|
5
|
10
|
|
|
|
|
|
|
|
Рис.1. Переходная характеристика ОСАУ
Рис.2. Импульсная характеристика ОСАУ
Рис. 3 Переходная характеристика ОСАУ
Рис.4 Импульсная характеристика ОСАУ
Рис. 5 Переходная характеристика ОСАУ
Рис.6 Импульсная характеристика ОСАУ
ПРИЛОЖЕНИЕ 2
Таблица 1 -
Варианты заданий
|
№
параметр
|
2
|
3
|
|
con
|
pulsgen
|
con
|
pulsgen
|
con
|
pulsgen
|
|
k
|
2
|
3
|
3
|
|
T1
|
0.1
|
1
|
10
|
|
|
|
|
|
|
|
Рис. 1 Переходная характеристика ОСАУ
Рис.2
Импульсная характеристика ОСАУ
Рис. 3 Переходная характеристика ОСАУ
Рис.4
Импульсная характеристика ОСАУ
Рис. 5
Переходная характеристика ОСАУ
Рис.6 Импульсная характеристика ОСАУ
ПРИЛОЖЕНИЕ 3
Таблица 1 - Варианты
заданий
|
№
параметр
|
2
|
3
|
4
|
|
con
|
pulsgen
|
con
|
pulsgen
|
con
|
pulsgen
|
|
k
|
2
|
5
|
10
|
|
T1
|
10
|
10
|
50
|
|
T2
|
10
|
50
|
10
|
|
|
|
|
|
|
|
Рис. 1 Переходная характеристика ОСАУ
Рис.2 Импульсная характеристика ОСАУ
Рис. 3 Переходная характеристика ОСАУ
Рис.4 Импульсная характеристика ОСАУ
Рис. 5 Переходная характеристика ОСАУ
Рис.6 Импульсная характеристика ОСАУ