Функционально-структурный анализ системы автоматического управления (регулирования) технического объекта
БРЯНСКАЯ ГОСУДАРСТВЕННАЯ
ИНЖЕНЕРНО-ТЕХНОЛОГИЧЕСКАЯ АКАДЕМИЯ
Кафедра ОЛК и ТС
ПОЯСНИТЕЛЬНАЯ ЗАПИСКА
к курсовой работе по дисциплине:
Наименование дисциплины:
Управление техническими системами
Тема курсового проекта:
Функционально-структурный анализ системы
автоматического управления (регулирования) технического объекта
Автор работы: Телешев С.В.
Специальность машины и оборудование лесного комплекса
Руководитель проекта Синицын С.С.
Брянск 2010
Содержание
Введение
1. Автоматизированный объект и его основные характеристики
2. Алгоритмы функционирования САУ (САР) и их функциональные
элементы
3. Принципиальная схема анализируемой САУ (САР) и ее
функционирование
4. Результаты патентного поиска
5. Типизация анализируемой САУ (САР) и ее функциональных элементов
6. Структурная функциональная схема анализируемойСАУ (САР)
7. Элементарные динамические звенья иих характеристика
8. Элементарные динамические звенья анализируемой системы и их
характеристики
Список используемой литературы
Приложения
Введение
Работа любого технологического объекта характеризуется
различными параметрами, которые изменяются в зависимости от работы машины и
воздействия внешних факторов. Для поддержания значения этих параметров в
установленных пределах осуществляется управляющие воздействия на процесс
функционирования машин и устройства.
Для управления параметрами технического устройства
применяются либо ручное, либо автоматическое регулирование.
Основной задачей автоматического управления техническими
системами является установление функциональной зависимости между входными и
выходными параметрами.
Главная цель автоматического управления определяется
следующим образом: мы должны обеспечить оптимальное значение выходного
параметра либо его колебания в заданных пределах.
автоматическое управление техническая система
1.
Автоматизированный объект и его основные характеристики
Система автоматического регулирования угловой скорости
вращения коленчатого вала двигателя были первыми автоматическими системами,
фундаментальное исследование динамики которых М. Толле и Н.Е. Жуковским
послужило базой для создания общей теории автоматического регулирования.
Рисунок 1.1 - Скоростная характеристика крутящего момента
двигателя
Рассмотрим скоростную характеристику крутящего момента двигателя
выражающую зависимость изменения крутящего момента М1Д [?1 (L), z (L)] от угловой скорости вращения коленчатого вала ?1 (L) для различных положений z (L) педали управления подачей топлива. Точки
пересечения кривых крутящего момента с кривой момента сопротивления движению
М1С (L), приведенного к коленчатому валу
двигателя, определяют режимы работы двигателя, характеризуемые угловой
скоростью коленчатого вала ?к1 и
крутящим моментом М1Д [?*1,z]. При увеличении момента сопротивлению движения от М1С* до
М1С** резко уменьшается угловая скорость вращения коленчатого вала двигателя и,
следовательно, скорость движения машины.
На транспортной машине желательно иметь такой орган управления,
каждому положению которого соответствует примерно постоянная, заданная
водителем, скорость движения. Эта задача решается при использовании все
режимного регулятора. При наличии всережимного регулятора
управление работой двигателя осуществляется через механизм регулятора.
Непосредственно воздействие на рейку топливного насоса или дроссельную заслонку
карбюратора не допускается.
2. Алгоритмы
функционирования САУ (САР) и их функциональные элементы
По алгоритму функционирования САУ подразделяются на
стабилизирующие, программные, следящие, экстремальные.
Стабилизирующие системы предназначены для поддержания
заданного значения регулируемой величины с требуемой точностью регулирования
при неизменном задающем воздействие (входной сигнал). Назначение управляемой
величины предусмотренное алгоритмом функционирования, называется предписанным
(заданным), а измеренное значение этой величины называется действительным
(фактическим). Отклонение управляемой величины от предельной величины
обусловлены возмущающими воздействиями на объект управления со стороны внешней
среды.
Алгоритм функционирования стабилизирующей системы описывается
следующим выражением:
,
где У - управляющая величина,
С - постоянная, равная предписанному значению управляемой величины
- отклонение управляемой величины в процессе функционирования
системы от предписанного значения.
Если рассматривается установившейся режим работы САУ при
постоянных внешних воздействиях, то
представляет собой статистическую ошибку системы. Для оценки
отклонения управляемой величины используются коэффициенты неравномерности
и статизма
определяются:
,
где Уmax, Уmin - значения управляемой величины;
Уn - номинальное значение управляемой
величины
определяется по зависимости:
,
где Zн - номинальное значение нагрузки на
систему.
Примером стабилизирующей системы является поплавковая камера
карбюратора (рисунок 2.1)
Рисунок 2.1 - Поплавковая камера карбюратора
Программные системы автоматического регулирования изменяют
управляемую величину по определенной заранее заданной программе. Эта программа
представляет собой алгоритм функционирования автоматизированной системы
используется для построения алгоритма управления. Реализация данной задачи
достигается путем использования задатчиков (задающих устройств) генерирующих
управление воздействия. Процессы функционирования систем записываются
следующими алгоритмами:
временные У = f (t); t - время;
пространственные У = f (x, y, z). x, y, z - координаты
пространства.
По пространственному принципу работают копировальные станки и
автоматы. Одна из
схем приведена на рисунке 2.2
Рисунок 2.2 - Копировальный станок
Следящая система - это такая система, у которой управляемая
величина У измеряется в соответствии с задающим воздействием x (t). Эти системы
могут быть построены на основе любого функционального принципа управления. От
программной, она отличается тем, что вместо датчика программы используется
устройство слежения за изменением некоторого внешнего фактора, задающего
воздействие.
Алгоритм функционирования следящей системы можно записать следующим
образом:
У = x (t).
Примером следящей системы может являться регулятор тормозных сил
автомобиля с пневмоприводом тормозов (рисунок 2.3).
Рисунок 2.3 - Регулятор тормозных сил автомобиля с пневмоприводом
тормозов.
Экстремальная система - эта система обеспечивает автоматический
поиск и поддержание экстремальных значений управляемой величины.
Главным показателем является показатель качества регулирования
определяющий эффективность функционирования системы. Показателем качества
системы может быть или частичным, или глобальным объединением всех частных
показателей качества.
Математическое функционирование этих систем описывается следующим
алгоритмом:
Примером экстремальной САУ может служить система автоматического
регулирования давления в шинах, обеспечивая автоматический поиск и поддержание
минимального сопротивления качению (рисунок 2.4).
Рисунок 2.4 - Система автоматического регулирования давления в
шинах.
3.
Принципиальная схема анализируемой САУ (САР) и ее функционирование
Принципиальная схема механического всережимного регулятора
прямого действия приведена на рисунке 2. Центробежные грузы 3 регулятора
укреплены на крестовине 5, которая через пару конических шестерен приводится во
вращение от коленчатого вала 6. Центробежная сила грузов регулятора,
приведенная к его муфте 4, уравновешивается силой пружины 2. Затяжка пружины,
определяющая настройку регулятора на заданную угловую скорость вращения
двигателя, осуществляется педалью управления подачей топлива 1. Шток муфты
регулятора через рычаг 7 связан с рейкой топливного насоса 8.
Принципиальная схема всережимного регулятора: а - прямого
действия; б - непрямого действия; 1 - педаль управления подачей топлива; 2 -
силовая пружина 3 - центробежные грузы; 4 - муфта; 5 - крестовина; 6 -
коленчатый вал; 7 - рычаг; 8 - топливный насос.
Рисунок 3.1 - Принципиальная схема всережимного регулятора
. Результаты
патентного поиска
Результаты патентного поиска приведены в таблице 1.
Таблица 1 - Результаты патентного поиска
|
Номер
авторского свидетельства
|
Авторы
изобретения. Дата публикации
|
Название
|
Цель
изобретения
|
|
RU 2405126
|
Кандори Ацуси
Мадзима Масао Нагае Кенити 27.11.2010
|
Датчик угловой
скорости
|
Изобретение
позволяет повысить точность измерения угловой скорости
|
|
RU2276023
|
Вагин Н. В.
10.12.2009
|
Двигатель
|
Повышение
надёжности показания угловой скорости
|
Изобретение, номер авторского свидетельство которого RU2405126 позволяет
повысить точность измерения угловой скорости.
5. Типизация
анализируемой САУ (САР) и ее функциональных элементов
По количеству выходных параметров системы подразделяют на одномерные
и многомерные; анализируемая САУ относится к одномерным. По виду
дифференциальных уравнений, описывающих поведение системы, САУ подразделяются
на линейные и нелинейные. Поскольку система является совокупностью отдельных
элементов, то математическое описание САУ состоит из дифференциальных уравнений
всех ее элементов. Линейные системы автоматического управления описываются
линейными дифференциальными уравнениями. Анализируемая САУ, различают
непрерывные и дискретные системы. В непрерывной системе автоматического
управления сигналы на выходе всех ее элементов являются непрерывными функциями
времени. Дискретные системы автоматического управления содержат в своем случае
элементы, осуществляемые квантованием сигналов во времени. Анализируемая САУ
относится к непрерывной системе автоматического управления. По количеству
контуров данная САУ относится к одноконтурным. По роду используемой энергии -
(электрическая) пневматическая.
З - задатчик (контакт К)
ИМ - исполнительный механизм (клапан 7);
РО - рабочий орган (камера 6);
ОР - объект регулирования (нажимной диск 8).
. Структурная
функциональная схема анализируемойСАУ (САР)
Структурно функциональная схема автоматического регулирования
частоты вращения коленчатого вала двигателя внутреннего сгорания приведена на
рисунке 3.
Рисунок 6.1 - Структурно функциональная схема автоматического
регулирования частоты вращения коленчатого вала двигателя внутреннего сгорания
. Объект регулирования - ДВС;
. Задающее устройство - пружина 2;
. Исполнительный механизм - рычаг 7;
. Рабочий орган - топливный насос 8;
. Измерительное устройство - грузики 3.
Принцип работы:
Центробежные грузы 3 регулятора укреплены на крестовине 5,
которая через пару конических шестерен приводится во вращение от коленчатого
вала 6. Центробежная сила грузов регулятора, приведенная к его муфте 4,
уравновешивается силой пружины 2. Затяжка пружины, определяющая настройку
регулятора на заданную угловую скорость вращения двигателя, осуществляется
педалью управления подаче топлива 1. Шток муфты регулятора через рычаг 7 связан
с рейкой топливного насоса 8.
.
Элементарные динамические звенья иих характеристика
Передаточные функции сложных динамических элементов можно
представить в виде выражения, состоящего из произведений простых сомножителей
первого или второго порядка. При анализе динамических свойств систем
автоматического управления часто оказывается удобным вводить в рассмотрение
понятие элементарных (типовых) звеньев как некоторых простейших составных
частей динамического элемента.
Типовые звенья - это стандартные составные
части динамических элементов системы, описываемые дифференциальными уравнениями
не выше второго порядка. Все элементарные звенья по характеру процессов,
происходящих в них, можно разбить на следующие типы: усилительное звено;
интегрирующее звено; апериодическое звено; колебательное звено;
дифференциальное звено первого порядка; дифференциальное звено второго порядка;
звено чистого запаздывания.
) Усилительное звено. Тип звена однозначно
определяется законом, связывающим между собой величину на входе - х и на выходе
- у. Дляусилительного звена, которое из-за отсутствия переходных процессов
иногда называют безинерционным или статическим, этот закон имеет вид: у = к∙х.
Рисунок 7.1
Переходная функция усилительного звена
имеет вид: h
(t) = к. Этот закон
является наиболее простым и состоит в следующем преобразовании: входной сигнал
умножается на постоянную величину к, называемую коэффициентом усиления.
Коэффициент усиления может иметь любое действительное значение, как
положительное, так и отрицательное. Ниже изображена выходная величина при
скачкообразном изменении входной величины.
Рисунок 7.2
Передаточная функция этого звена имеет вид: W (p) = к.
) Интегрирующее звено. Интегрирующее звено характеризуется тем,
что скорость изменения выходной величины пропорциональна входной величине
. Переходная функция усилительного звена
имеет вид:
h (t) = k-t.
Интегрирующее звено не может находиться в состоянии
равновесия
при любом постоянном значении входного сигнала. Его
передаточная функция
.
Рисунок 7.3
) Апериодическое звено. Уравнение этого
звена имеет вид:
,
Где Т - постоянная времени апериодического звена, имеющая
размерность времени;
к - коэффициент усиления или статический коэффициент
передачи.
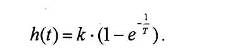
Переходная функция апериодического звена имеет вид:
При Т=>0 и Т→ ∞ переходная функция
асимптотически стремится к установившемуся значению равному к. Ее зависимость
представлена на рисунке 7.4
Рисунок 7.4
Рисунок 7.5
Передаточная функция апериодического звена:
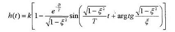
) Колебательное звено. Динамика колебательного звена описывается
уравнением:
.
Переходная функция колебательного звена имеет вид:
Описывает затухающий колебательный процесс
с относительным коэффициентом затухания Е, и постоянным времени Т. Форма
переходного процесса во многом зависит от величины коэффициента затухания. При x>1
колебательное звено распадается на два апериодических. Ниже приведен примерный
вид переходных функций.

Передаточная функция колебательного звена имеет вид:
Рисунок 7.7
) Дифференцирующее звено первого порядка. Уравнение этого звена
имеет вид
.
При скачкообразном изменении входной величины на выходе
дифференцирующего звена получается мгновенный импульс с бесконечно большой
амплитудой, соответствующей бесконечно большой скорости изменения входной
величины в момент скачка, а затем выходная величина принимает постоянное
установившееся значение.
Переходная функция этого звена записывается в виде h (t) = к [Тd (t) +1 (t)], где d (t) - дельта-функция.
Рисунок 7.3
Рисунок 7.4
Передаточная функция дифференцирующего звена первого порядка равна
) Дифференцирующее звено второго порядка.
Уравнение этого звена имеет вид:
.
При скачкообразном изменении входной
величины на выходе получаются мгновенные импульсы разных знаков бесконечно
большой амплитуды, соответствующие бесконечно большой скорости изменения
входной величины и ее производной в момент скачка, а затем выходная величина
принимает постоянное значение.
Переходная функция этого звена (рисунок
7.5) записывается в виде:
.
Передаточная функция дифференцирующего
звена второго порядка равна:
.
Рисунок 7.5
) Звено чистого запаздывания.
В этом звене выходной сигнал полностью повторяет входной сигнал,
но с отставанием на промежуток времени τ (время запаздывания).
Уравнение этого звена имеет вид: y (t) = x (t - t). Переходная функция этого звена h (t) = (t - t) представлена на рисунке 11.
Рисунок 7.6 - Переходная функция звена чистого запаздывания
Рисунок 7.7
Передаточная функция звена чистого запаздывания имеет вид
.
8.
Элементарные динамические звенья анализируемой системы и их характеристики
Существует 6 типов элементарных динамических звеньев:
усилительное, апериодическое, колебательное, интегрирующее, дифференцирующее и
чистого запаздывания.
В рассматриваемой системе выделим 2 динамических звена:
зубчатая передача и центробежные грузики.
Зубчатая передача (звено пропорциональное) представлена на
рисунке 8.1.
Рисунок 8.1 - Зубчатой пары (звено пропорциональное)
Для заданного звена амплитудно-частотная характеристика
представлена следующим образом:
Рисунок 8.2 - Амплитудно-частотная характеристика зубчатой
пары
Амплитудно-фазовая характеристика представлена следующим
образом:
Рисунок 8.3 - Амплитудно-фазовая характеристика зубчатой пары
Вторым элементарным динамическим звеном является центробежные
грузики (звено колебательное) представлено на рисунке 5.
Рисунок 8.4 - Центробежные грузики (звено колебательное)
Для заданного звена амплитудно-частотная характеристика
представлена следующим образом:
Рисунок 8.5 - Амплитудно-частотная характеристика
центробежных грузиков
Амплитудно-фазовая характеристика представлена следующим
образом:
Рисунок 8.6 - Амплитудно-фазовая характеристика центробежных
грузиков
Заключение
В КР проведен функционально-структурный анализ системы
автоматического регулирования угловой скорости вращения коленчатого вала
двигателя внутреннего сгорания.
Были рассмотрены основные характеристики автоматизированного
объекта, его функциональные элементы и их основные характеристики.
Составлен алгоритм функционирования систем автоматического
управления (регулирования) и ее функциональных элементов, составлена
принципиальная схема анализируемой САУ и ее функционирования.
Список
используемой литературы
1. Аврамов, В.П. Основы автоматики транспортных машин [Текст]
/ В.П. Аврамов. - Киев.: Вища. Школа, 1986. - 368 с.
. Ерофеев, А.А. Теория автоматического управления [Текст] /
А.А. Ерофеев. - Спб.: Политехника, 2002. - 256 с.
. Ксеневич, И.П. Теория и проектирование автоматических
систем [Текст] / И.П. Ксеневич, В.П. Тарасик. - М.: Машиностроение, 1996. - 480
с.
. Мельников А.А. Управление техническими объектами
автомобилей и тракторов [Текст] / А.А. Мельников. - М.: Издательский центр
"Академия", 2003. - 430 с.
Приложения