Авиационный ГТД для силовой установки
1. Расчеты по выбору силовой установки
1.1 Формирование исходных данных
В соответствии с заданием на проектирование принимаются
следующие исходные данные:
Типы двигателей для расчета: ТРД, ТРДД с m=1, ТРДД с m=6.
По графику рис. 3.9 /1/ определяем 
и 
:
Сформированы исходные данные для расчета.
1.2
Определение облика самолета и силовой установки на базе двигателей разных типов
1.2.1 Определение параметров самолета
Взлетный
вес самолета
Площадь
крыла
Скорость
отрыва самолета при взлете
где

-
плотность воздуха на высоте H=0 [км];

, 
-
принимается по графику 1.13 /1/.

=>
необходимо применить механизацию 
:
Число 
Аэродинамическое
качество самолета при отрыве от земли (принимается приближенно)
Коэффициент

при
отрыве
Сила
лобового сопротивления при отрыве от земли
где

-
атмосферное давление на высоте H=0 [км].
1.2.2
Определение параметров силовой установки
Взлетная
тяга силовой установки
Выбор
числа двигателей
Число
двигателей выбирается из условия безопасного продолжения полета при отказе
одного из двигателей
Следовательно, выбираем число двигателей 
.
Суммарная площадь входа силовой установки
где

берётся
согласно таблице 3.1 /1/.
ТРД: 
ТРДД
(m=1): 
ТРДД
(m=6): 
Параметр согласования силовой установки с самолетом
ТРД: 
ТРДД
(m=1): 
ТРДД
(m=6): 
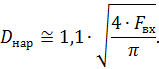
Площадь входа в компрессор
ТРД: 
ТРДД
(m=1): 
ТРДД
(m=6): 
Наружный диаметр входа в компрессор
ТРД: 
ТРДД
(m=1): 
ТРДД
(m=6): 
Взлетная тяга одного двигателя
Расход воздуха через двигатель на взлётном режиме
где

берётся
согласно таблице 3.1 /1/.
ТРДД
(m=1): 
ТРДД
(m=6): 
Масса двигателя
где

берётся
согласно таблице 3.1 /1/.
ТРД: 
ТРДД
(m=1): 
ТРДД
(m=6): 
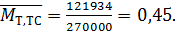
Определили параметры, определяющие облик самолета и силовой
установки при различных типах двигателей. Выбрали силовую
установку, состоящую из двух двигателей. Расход воздуха наибольший у ТРДД с
большой степенью двухконтурности. Самая малая масса у ТРДД с большой степенью
двухконтурности.
.3 Определение потребных и располагаемых тяговых
характеристик силовой установки
1.3.1 Величина потребной тяги двигателя
где

-
аэродинамическое качество самолёта;

-
коэффициент подъёмной силы - определяем по формуле (при 
и 
):
по
поляре самолёта рис. 1.13 /1/ определяем значение коэффициента силы
сопротивления 
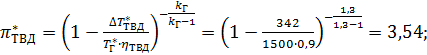
1.3.2 Степень дросселирования ТРД, ТРДД
где

-
относительное значение тяги силовой установки на максимальном режиме при 
и 
в соответствии с графиками рис. 3.2…3.6 /1/, принимаем 
).
ТРД: 
ТРДД
(m=1): 
ТРДД
(m=6): 
Определили величину потребной тяги, а также степень дросселирования
силовой установки для различных типов двигателей.
.4 Определение необходимого запаса топлива на
борта самолета
1.4.1 Масса топлива на борту ЛА
где

-
коэффициент, учитывающий аэронавигационный запас топлива;
y -
коэффициент, учитывающий повышенный расход топлива при взлёте, наборе высоты и
скорости и при посадке самолёта;

- масса
топлива, необходимого для питания одного двигателя в полёте на заданное
расстояние на крейсерском режиме.
Значение

вычислим
по формуле:
где

- время
полёта на заданную дальность L вычислим по формуле:
где

-
скорость звука на высоте 
по прил.
4 /1/;

-
коэффициент, учитывающий отличие средней рейсовой скорости (с учётом взлёта,
набора высоты, крейсерского полёта, снижения и посадки) от скорости
крейсерского полёта при 
км.
Значение
удельного расхода топлива в крейсерском полёте 
вычислим
по формуле:
где

-
удельный расход топлива на взлётном режиме принимаем из таблицы 3.1 /1/;

-
относительное значение удельного расхода топлива на максимальном режиме при 
принимаем по графикам 3.2…3.5 /1/;

принимаем
по графику 3.7 /1/.
ТРД: 
ТРДД
(m=1): 
ТРДД
(m=6): 
1.4.2 Масса топлива с топливной системой
где

-
коэффициент, учитывающий массу топливных баков и систем.
ТРДД
(m=1): 
ТРДД
(m=6): 
1.4.3 Суммарный объем топливных баков
где

-
плотность керосина.
ТРД: 
ТРДД
(m=1): 
ТРДД
(m=6): 
Определили массу топлива и топливной системы при использовании в качестве
топливного авиационного керосина. В итоге наименьший объём топливной системы,
следовательно, и масса, у ТРДД с большой степенью двухконтурности, а наибольший
- у ТРД.
1.5 Анализ массового баланса самолета с различными силовыми
установками
1.5.1 Масса планера самолёта с оборудованием, служебной
нагрузкой и снаряжением
где

-
принимаем по табл. 1.4 /1/.
1.5.2
Масса силовой установки
где

-
коэффициент, учитывающий массу мотогондолы.
ТРД: 
ТРДД
(m=1): 
ТРДД
(m=6): 
1.5.3 Масса полезной нагрузки
ТРД:
ТРДД (m=1):
ТРДД (m=6):
1.5.4 Относительные массы
Относительная масса силовой установки:
ТРД: 
ТРДД
(m=1): 
ТРДД
(m=6): 
Относительная масса топлива с топливной системой самолёта:
ТРД: 
ТРДД
(m=1): 
ТРДД
(m=6): 
Относительная масса полезной нагрузки:
ТРД: 
ТРДД
(m=1): 
ТРДД
(m=6): 
1.5.5 Анализ массового баланса
На основании полученных данных составляем сравнительную табл. 1.1 по
абсолютным значениям.
Таблица 1.1
|
|
|
|
|
|
|
ТРД
|
270000
|
89100
|
24466
|
216261
|
-59827
|
|
ТРДД(m=1)
|
270000
|
89100
|
22240
|
154143
|
4517
|
|
ТРДД(m=6)
|
270000
|
89100
|
18906
|
40060
|
На основании полученных данных составляем сравнительную табл. 1.2 по
относительным значениям.
Таблица 1.2
|
|
|
|
|
|
ТРД
|
0,33
|
0,091
|
0,8
|
-0,22
|
|
ТРДД(m=1)
|
0,33
|
0,082
|
0,57
|
0,017
|
|
ТРДД(m=6)
|
0,33
|
0,07
|
0,45
|
0,15
|
Выполнили анализ массового баланса самолёта и определили его массовую
отдачу. Результаты свели в сравнительные таблицы, по всем показателям выбираем
двигатель ТРДД с большой степенью двухконтурности m=6. Относительная полезная нагрузка у ТРД
отрицательная, в дальнейшем из расчётов его исключаем.
1.6 Анализ технико-экономической эффективности и выбор
оптимального варианта силовой установки
1.6.1 Относительная часовая производительность самолёта
самолет силовой установка двигатель
где

-
средняя рейсовая скорость.
ТРДД
(m=1): 
ТРДД
(m=6): 
1.6.2 Удельная производительность самолёта
где

- число
пассажиров.
ТРДД
(m=1): 
ТРДД
(m=6): 
1.6.3 Километровый расход топлива
ТРДД
(m=1): 
ТРДД
(m=6): 
1.6.4 Приведённый расход топлива
ТРДД
(m=1): 
ТРДД
(m=6): 
На основании полученных данных составляем табл. 1.3 критериев
технико-экономической эффективности применения рассматриваемых вариантов
силовых установок на самолёте.
Таблица 1.3
|
|
|
|
|
|
|
|
ТРДД(m=1)
|
0,017
|
14,3
|
0,14
|
11,65
|
2909
|
290,9
|
|
ТРДД(m=6)
|
0,15
|
126
|
1,25
|
9,21
|
259
|
25,9
|
Сопоставили технико-экономические показатели эффективности заданного
самолёта с рассматриваемыми вариантами силовых установок и приняли решение об
окончательном приемлемом варианте силовой установки.
По
критериям технико-экономической эффективности применения силовой установки на
самолёте: 
приняли
решение о выборе силовой установки типа ТРДД с большой степенью двухконтурности
m=6.
На
основании полученных данных принимаем в качестве прототипа турбореактивный
двухконтурный двигатель Pratt & Whitney JT9D-59A, устанавливаемый на самолётах DC10-40, A300B,
Boeing 747-200; двухвальный, состоит из вентилятора, трёх подпорных
ступеней, разделительного корпуса и одиннадцати ступенчатого КВД. КВД
приводится во вращение двух ступенчатой ТВД, а вентилятор - четырёх ступенчатой
ТНД. Турбина, компрессор и вентилятор двигателя осевые; шести, пятнадцати и
одно ступенчатые соответственно.
В
табл. 1.4 приведены основные параметры рабочего процесса при стандартных
атмосферных условиях на взлётном режиме.
Прототип
двигателя (JT9D-59A):
Таблица
1.4
|
|
|
|
|
|
|
|
|
|
210
|
0,066
|
744
|
1500
|
1+3+11
|
2+4
|
4120
|
24,5
|
Выбрали ТРДД (m=6)
двухвальной конструкции. Так как в ТРДД средняя скорость истечения смеси
(воздуха газов) из выходных сопел контуров при прочих равных условиях примерно
в 1,5 раза меньше, чем у ТРД. Вследствие этого экономичность ТРДД на земле, по
сравнению с ТРД, выше (на 40…50%), а уровень шума меньше (на 12…15 дБ).
2. Термодинамический расчёт двигателя на взлётном режиме в
САУ
2.1 Выбор роторной части ГТД и основных параметров рабочего
процесса
Выбираем двухвальную схему с подпорными ступенями. У такой конструкции
масса меньше по сравнению с трёхвальной схемой. Подпорные ступени применяются
для улучшения работы КВД, т. к. мал напор, создаваемый корневой частью лопаток
вентилятора с большой степенью двухконтурности.
Рис.1 Схема двухвального ТРДД с подпорными ступенями и раздельными
соплами
Термодинамический
расчёт производится в стандартных условиях при 
на взлётном
режиме в соответствии с расчётами и выбранными прототипами двигателей
определены исходные данные для расчёта двигателя: 
Выберем
показатели эффективности узлов авиационного двигателя на расчётном режиме:
КПД:
вентилятора
КВД
ТВД,
ТНД
Механические,
роторов
Коэффициент восстановления полного давления в:
ОКС
в
канале между вентилятором и ПС 
в
канале между вентилятором ПС и КВД 
в
тракте наружного контура 
коэффициент
скорости в РС 
относительный
расход охлаждающего воздуха за компрессором:
на
охлаждение ТВД 
относительный
расход охлаждающего воздуха на утечки в масляную и разгрузочные полости 
.2 Термодинамический расчёт
2.2.1 Вентилятор
Первый контур
1)

;
)

;
)

4)

)

Второй
контур
)

;
)

;
)

4)

)

2.2.2
Подпорные ступени
1)

;
)

;
)

;
)

)

2.2.3
Компрессор высокого давления
)

;
)

;
)

;
)


2.2.4
Основная камера сгорания
)

где
для 
принимаем
значения их таблицы 6.6 /2/
для

принимаем
значения их таблицы 6.6 /2/
согласно
рекомендациям /2/
)

)

)

)

)

2.2.5
Турбина высокого давления
)

)

)

для

)

)

)

)

2.2.6
Турбина низкого давления
)

)

)

для

4)

)

)

)

2.2.7
Выходное устройство
Первый
контур
)

2)

)

)

)

)

)

при

, где 
)

9)

Второй
контур
)

2)

)

)

)

)

)

)

9)

2.2.8
Термогазодинамический расчёт
Провели
термогазодинамический расчёт двигателя на взлётном режиме в стандартных
атмосферных условиях (
).
Получили расчётную потребную тягу и определили удельные параметры двигателя: 
,
давления 
и
температуры 
рабочего
тела В характерных сечениях.
2.3
Результаты термогазодинамического расчёта в среде Gas Turb
9
Рис.2
Схема ТРДД
Вывод: рассчитанная потребная тяга оказалась близкой к тяге,
определенной в среде Gas Turb, где
расход воздуха принят 
.
2.4
Сравнение удельных показателей (удельной тяги, удельного расхода топлива,
удельной массы) спроектированного двигателя и прототипов на взлётном режиме 
САУ
|
ТРДД (m=6)
|
JT9D-59A
|
RR RB211-524B
|
|

|
210
|
220
|
|
|
0,034
|
0,066
|
0,065
|
|
|
6
|
4,9
|
4,5
|
|
|
1500
|
1500
|
1500
|
|
|
24,5
|
24,5
|
28,4
|
|
|
307
|
282
|
320
|
По
сравнению с двигателем JT9D-59A у проектного двигателя выше 
и ниже 
, равный 
,
следовательно, полезная работа и КПД проектного двигателя выше.
По
сравнению с двигателем RR RB211-524B
у проектного двигателя ниже 
и ниже 
, что
говорит о экономичности проектного двигателя
Список литературы
1. Выбор силовой установки самолёта: Учебное пособие / Арьков
Ю.Г.; Уфимск. авиац. инст. Уфа. 1992.-100 с.
2. Ахмедзянов А.М и др.
Термогазодинамические расчеты авиационных ГТД : Учебное пособие. -Уфа: УАИ,
1990-340 с.
. А.А.Иноземцев, М.А.Нихамкин, В.Л.Сандрацкий. серия
учебников ’’Газотурбинные двигатели’’. Том 1. «Общие сведения. Основные
параметры и требования. Конструктивные и силовые схемы».
4. www.avia.ru
<http://www.avia.ru>;
5. www.airwar.ru
<http://www.airwar.ru>;
6. www.trans-avia.ru
<http://www.trans-avia.ru>;
7. Система менеджмента качества. Графические и текстовые
конструкторские документы. Общие требования к построению, изложению,
оформлению. СТО УГАТУ 016-2007. Уфа: УГАТУ, 2007, 93 с.
8. П. К. Казанджан, Н. Д. Тихонов, А. К.
Янко. Теория авиационных двигателей: М.: Машиностроение, 1983. -217 с.