Экономическое обоснование создание малого предприятия акционерного типа
Министерство образования и науки Российской Федерации
Федеральное государственное бюджетное образовательное
учреждение высшего профессионального образования
Национальный исследовательский
Томский
политехнический университет
Кафедра
менеджмента
Курсовая
работа
Экономическое
обоснование создание малого предприятия акционерного типа
Томск, 2012
Введение
Темой курсовой работы является «Экономическое обоснование создания малого
предприятия акционерного типа». Работа выполняется на основе исходных данных,
задаваемых руководителем.
Целью работы является овладение навыками экономических расчетов,
закрепление теоретических знаний по основным разделам курса. В процессе
выполнения курсовой работы необходимо выявить условия, при достижении которых создание
предприятия является экономически оправданным. К таким условиям, прежде всего,
относятся минимальный уровень цены, обеспечивающий получение прибыли,
достаточный для выплаты заданного уровня дивидендов и минимальный объем
производства.
Предприятия - это экономические агенты или лица, действующие в рыночной
экономике, занятые производством, реализацией товаров и услуг с целью получения
прибыли и ее максимизации. Под производством в рыночной экономике
подразумеваются любые виды деятельности, приносящие доход независимо от того,
происходят они в сфере материального производства или в сфере услуг.
Предприятие представляет собой имущественно обособленную хозяйственную
единицу, организованную для достижения какой-либо хозяйственной цели, т. е.
Экономическая единица, которая:
1) самостоятельно принимает решения
2) реально использует факторы производства для изготовления и
продажи продукции
) стремится к получению дохода и реализации других целей
Действующие в экономике страны предприятия достаточно разнообразны с
точки зрения масштабности, профиля деятельности, организационно-правового
устройства. Общепризнанно, что наиболее важным для классификации хозяйствующего
субъекта в рыночной экономике является деление по признаку
организационно-правовых форм предприятий.
Прежде всего, следует отметить, что в ГК РФ есть понятия «коммерческая
организация» и «некоммерческая организация», которые различаются целевой
направленностью своей деятельности. Ведущее место в рыночной экономике
принадлежит коммерческим организациям, которые создаются в форме
) хозяйственных товариществ
) хозяйственных товариществ
) производственных кооперативов
) государственных и муниципальных унитарных предприятий
Хозяйственные общества - это коммерческие организации с разделенным на
вклады учредителей уставным капиталом.
Хозяйственные общества могут создаваться в форме общества с ограниченной
ответственностью (ООО), Общества с дополнительной ответственностью (ОДО),
акционерного общества. В настоящее время форма акционерного общества является
наиболее распространенной формой организации предприятий.
Акционерное общество (АО) представляет собой форму предприятия, средства
которого образуются за счет выпуска акций, а участники предприятия(акционеры)
несут ответственность, ограниченную только той суммой, которая была уплачена за
приобретенные акции, т. е. Вкладом в капитал акционерного общества.
Предприятия акционерного типа имеют следующие особенности:
) снижение предпринимательского риска
) способность привлекать дополнительные инвестиции путем выпуска
акций
) ограничение ответственности акционеров при общем экономическом
интересе и эффективной деятельности предприятия.
) облегчение перелива капитальных средств из отрасли в отрасль
) АО жестко регламентируется государством.
Акционерное общество образуется на основе устава, разработанного и
утверждаемого учредителями общества. Уставом определяется максимальная сумма,
на которую могут быть выпущены акции, именуемая уставным капиталом, и их
номинальная стоимость.
Уставной капитал АО представляет собой определенную сумму денег,
состоящую из взносов акционеров за членство в акционерном обществе. Размер
уставного капитала определяется учредителями общества исходя из потребностей в
денежных средствах для начала деятельности общества. АО несет ответственность перед
кредиторами не только на указанную величину уставного фонда, но и всем
имуществом общества. Имущество акционерного общества может быть как большим,
так и меньшим по сравнению с уставным капиталом. Законодательные органы часто
предусматривают необходимость превышения стоимости имущества над уставным
капиталом. Если АО в данном году понесло финансовые убытки, что привело к
уменьшению имущества по сравнению с уставным капиталом, то в следующем году
общество должно использовать часть полученной прибыли для достижения указанного
в уставе соотношения.
Уставной капитал АО образуется двумя способами:
1. через публичную подписку акций;
2. через распределение акций среди учредителей.
В первом случае образуется открытое акционерное общество (ОАО), во втором
- закрытое акционерное общество (ЗАО).
Открытым АО можно считать общество, где его участники-акционеры могут
отчуждать принадлежащие им акции без согласия других акционеров этого общества.
Такое общество вправе проводить подписку на выпускаемые им акции и осуществлять
их свободную продажу. Число акционеров не ограничивается.
Закрытое АО - общество, акции которого распределяются только среди его
учредителей или иного, заранее определенного, круга лиц. Такое общество не
вправе проводить открытую подписку на выпускаемые им акции, либо иным образом
предлагать их неограниченному кругу лиц. Число акционеров ЗАО не должно
превышать 50.
Ценной бумагой, удостоверяющей участие в АО и позволяющей получать долю в
его прибыли, является акция. Акции могут быть различных видов: именные и акции
на предъявителя; простые и привилегированные и т.д. Еще одним видом ценных
бумаг, выпускаемых АО, являются облигации. Выпуск облигаций представляет собой
один из источников кредитования АО. Облигация - это ценная бумага, дающая право
её владельцу на получение фиксированного процента. Облигации могут быть
именными и на предъявителя.
Органы управления АО могут иметь двух - и трёхзвенную структуру.
Двухзвенная структура включает правление и общее собрание акционеров, при
трёхзвенной структуре к ним прибавляется наблюдательный совет.
Исходные
данные
Задание на курсовую работу включает в себя следующие исходные данные:
Таблица 1. Исходные данные для выполнения курсовой работы.
|
№
|
Исходные данные для выполнения курсовой работы
|
|
1
|
Вес изделия, кг/ед.
|
75
|
|
2
|
Коэффициент использования материала
|
0,75
|
|
3
|
Цена материала, руб/кг.
|
15
|
|
4 4.1 4.2 4.3 4.4 4.5 4.6
|
Трудоемкость изготовления, мин/изд: первая операция вторая
операция третья операция четвертая операция пятая операция шестая операция
|
20 60 80 50 40 70
|
|
5
|
Годовой фонд времени работы оборудования, час/год.
|
3950
|
|
6
|
Годовой фонд времени работы работающих.
|
1800
|
|
7 7.1 7.2 7.3 7.4 7.5 7.6
|
Цена за единицу оборудования (тыс. руб.): на первой
операции на второй операции на третьей операции на четвертой операции на
пятой операции на шестой операции
|
66 72 102 48 60 42
|
|
8 8.1 8.2 8.3 8.4 8.5 8.6
|
Разряд работы по операциям: первая операция вторая операция
третья операция четвертая операция пятая операция шестая операция
|
5 7 4 5 5 6
|
|
9 9.1 9.2 9.3 9.4 9.5 9.6
|
Габариты оборудования кв.м/ед.оборудования первая операция
вторая операция третья операция четвертая операция пятая операция шестая
операция
|
4 2 3 2 4 4
|
|
10
|
Оборачиваемость производственных запасов, дни.
|
8
|
|
11
|
Период обработки готовой продукции, дни.
|
7
|
|
12
|
Оборачиваемость дебиторской задолженности, дни.
|
12
|
|
13
|
Оборачиваемость кредиторской задолженности, дни.
|
10
|
|
14
|
Предельный уровень дивидендной ставки, %.
|
30
|
1. Определение
состава имущества предприятия и источников его образования
Для осуществления своей деятельности любое предприятие должно располагать
определенными ресурсами, т. е. предприятие должно иметь имущество. Под
имуществом предприятия понимаются все материальные, нематериальные и денежные
средства, находящиеся в пользовании, владении и распоряжении предприятия.
Правовое положение имущества предприятия регламентируется Гражданским
кодексом России. В соответствии с действующим законодательством имущество может
находиться в частной, государственной, муниципальной собственности, а также
собственности общественных организаций.
В нашем случае для создания предприятия необходим следующий перечень
имущества:
в первом приближении этот перечень включает в себя:
оборудование;
здания;
материальные оборотные средства;
денежные оборотные средства;
Оборудование включает в себя разнообразные виды оборудования, применяемые
для производства продукции - станки, прессы, прокатные станки,
подъемно-транспортное оборудование;
Здания - архитектурно-строительные объекты, предназначенные для создания
необходимых условий труда. К ним относятся производственные корпуса цехов,
гаражи, складские помещения и т. д.;
К материальным оборотным средствам относят оборотные средства в
производственные запасы сырья и материалов, оборотные средства в незавершенное
производство и оборотные средства в запасы готовой продукции.
Денежные оборотные средства - это свободные денежные средства,
находящиеся в кассе или на текущих счетах в банке.
Каждый из перечисленных видов имущества может иметь различные источники
образования. К таким источникам могут быть отнесены:
акционерный капитал;
аренда;
краткосрочный кредит;
кредиторская задолженность.
В последующем, в процессе функционирования предприятия, к этим источникам
добавляются амортизационные отчисления и нераспределенная прибыль предприятия.
В курсовой работе необходимо обосновать выбор источников финансирования
имущества в момент создания предприятия.
Таблица 2. Варианты источников формирования имущества предприятия
|
№
|
Имущество предприятия
|
Варианты
|
|
|
1
|
2
|
3
|
4
|
5
|
6
|
|
1
|
Оборудование
|
X
|
X
|
X
|
X
|
X
|
X
|
|
2
|
Здание
|
X
|
A
|
A
|
A
|
X
|
A
|
|
3
|
Материальные оборотные средства
|
X
|
X
|
K
|
K
|
K
|
X
|
|
4
|
Денежные оборотные средства
|
X
|
K
|
K
|
K
|
K
|
X
|
|
|
|
|
|
|
|
|
|
|
|
|
|
Примечание:
X -
акционерный капитал;
A -
аренда;
K -
краткосрочный кредит банка.
Основное производственное оборудование целесообразнее всего заложить в
акционерный капитал предприятия.
Здание может быть заложено в акционерный капитал, но лучше взять его в
аренду, т.к. в случае ликвидации предприятия его будет сложно быстро продать.
Материальные оборотные средства также являются акционерным капиталом.
Денежные оборотные средства, это свободные денежные средства и их источником в
первое время может быть краткосрочный кредит в банке.
В данном случае наиболее подходящий вариант - второй, поэтому в
дальнейшем методика выполнения курсовой работы будет излагаться применительно
ко второму варианту формирования имущества создаваемого предприятия. Этим
вариантом предусматривается приобретение имущества за счет следующих
источников:
оборудование и материальные оборотные средства - за счет акционерного
капитала;
здание берется в аренду;
денежные оборотные средства формируются за счет краткосрочного кредита.
2. Определение
потребности в имуществе предприятия
Для создания предприятия необходимо следующее имущество:
·
технологическое
оборудование;
·
вспомогательное
оборудование;
·
производственный
и хозяйственный инвентарь;
·
производственное
помещение;
·
складское
помещение;
·
помещение,
занятое под офис;
·
нематериальные
активы;
·
оборотные
средства в производственные запасы;
·
оборотные
средства в незавершенное производство;
·
оборотные
средства в запасы готовой продукции;
·
дебиторская
задолженность;
·
денежные
оборотные средства.
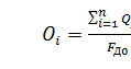
2.1 Стоимость технологического оборудования
Стоимость технологического оборудования представляет собой сумму
произведения количества оборудования и его цены по всем операциям
технологического процесса:
(тыс.руб);
где m - количество операций
технологического процесса изготовления изделий;
Оi - принятое количество единиц
оборудования, занятого выполняемой i-ой операции»
Цi цена единицы оборудования, занятого
выполнением i-ой операции.
Количество единиц оборудования по каждой операции в общем случае может
быть установлено из выражения:
Количество
единиц оборудования можно принять за 1.
где
n - номенклатура изготавливаемых изделий;
Qi -
годовой объем производимой продукции, ед/год;
tHij
- норма времени на изготовление j-го изделия по i-ой операции;
FД0- годовой фонд времени работы оборудования, ч/год.
Максимально
возможное количество продукции (производственная мощность), которое мы можем
произвести на нашем оборудовании, определяется по формуле:
где
- принятое количество оборудования, занятое
выполнением самой трудоемкой операции,
- норма
время по самой трудоемкой операции (устанавливается на основе исходных данных)
Максимальное
количество продукции, которое можно произвести, ориентируясь на лимитирующую
операцию, называется производственной мощностью.
Считаем,
что третья операция самая трудоемкая -
=80
мин./изд. Принимаем
=1.
Рассчитываем
ед./год
Приравниваем
ед./год
По
результатам расчета коэффициента загрузки строится столбиковая диаграмма
загрузки оборудования, которая дает наглядное представление о степени
использования оборудования. По оси абцис откладываются номера операции, на
которых занято оборудование, а по оси ординат - численное значение коэффициента
загрузки. Высота столбика соответствует коэффициенту загрузки оборудования по
каждой операции.
Рисунок
1. Диаграмма загрузки оборудования
2.2 Стоимость вспомогательного оборудования
Стоимость вспомогательного оборудования определяется приближенно - 30% от
стоимости технологического оборудования.
Кво=
(тыс. руб.)
.3 Стоимость производственного и хозяйственного инвентаря
Производственный инвентарь используется для проведения производственных
операций (рабочие столы, верстки).
К хозяйственному инвентарю относятся предметы конторского назначения -
обстановка, письменные столы, пишущие машинки, предметы противопожарного
назначения и др.
Стоимость инвентаря по предприятию может быть установлена приближенно в
размере 10 - 15% от стоимости технологического оборудования.
(тыс.руб.)
2.4 Определение потребности в помещении
Потребность в помещении необходимо рассчитать для установления арендной
платы, поскольку здание предлагается не приобретать, а арендовать.
Общая потребность в помещениях складывается из потребности помещения для
производства, склада и офиса.
Потребность
в производственном помещении
определяется
по формуле:
м2
где
- количество операций технического процесса
изготовления изделий;
-
габариты оборудования, занятого выполнением i-ой операции, м2/ед.
оборудования;
-
количество оборудования, занятого выполнением i-ой операции;
- коэффициент,
учитывающий дополнительную площадь (
= 2,0¸3,0).
Потребность
в складском помещении может быть
приближенно принята в размере 30-50% от площади производственного помещения.
ск=
м2.
Потребность
в помещении для офиса может быть принята в пределах 20-30 м2.
Sоф=20(м2)
2.5 Стоимость нематериальных активов
Нематериальные активы - это часть недвижимости, которая длительное время
используется в процессе производства и управления, не имеет
натурально-вещественной формы и по частям переносит свою стоимость на
выпускаемую продукцию.
Состав нематериальных активов:
· расходы на подготовку и освоение производства;
· промышленная собственность(патенты, лицензии, ноу-хау,
промышленные и сельскохозяйственные образцы, товарные знаки, торговые марки,
знаки обслуживания, франчайзинг)
· компьютерные программы
· прочие права пользования
· гуд вилл - это ценность фирмы или показатель деловой
репутации, который охватывает широкий круг рыночных понятий о прибыльности и
престижности, выгодном месте расположения, деловых связей, опыте работы.
Эта стоимость включает организационные расходы по созданию предприятия.
Данные расходы в курсовой работе можно принять на уровне 30 - 40 тыс. руб. в
данной курсовой работе примем стоимость нематериальных активов 35 тыс.руб.
2.6 Оборотные средства в производственные запасы,
сырья и материалов
Данные средства рассчитываются по формуле:
(руб),
где
- норма расхода материала, кг/ед.;
- годовой
объем производства продукции (принимается равным производственной мощности
предприятия);
- цена
материала;
-
продолжительность оборота запаса материалов в днях.
Норма
расхода материала определяется как частное от деления веса изделия (
)
на коэффициент использования материала
:
(кг/ед.)
.7 Оборотные средства в незавершенном
производстве
Незавершенное производство - частично готовая продукция, требующая
дополнительной обработки перед её реализацией, т. е. продукция не прошедшая
всех предусмотренных стадий производственного процесса в пределах одного и того
же производственного подразделения
Стоимость
незавершенного производства (
) может
быть установлена из следующего выражения:
(руб.),
где
- длительность производственного цикла, дни;
-
себестоимость единицы готовой продукции;
-
коэффициент готовности.
Величины
,
,
устанавливаются расчетным путем.
Производственный
цикл - период времени (час, день,
месяц), необходимого для изготовления определенной продукции в пределах одного
промышленного предприятия. Он складывается из рабочего времени и времени и
времени перерывов. Его длительность зависит от технологии изготовления изделий
и организации производственного процесса. От длительности зависит потребность в
материалах.
Длительность
производственного цикла рассчитывается по формуле:
где
- продолжительность рабочей смены, час./смена;
-
количество смен (
= 2);
-
коэффициент, учитывающий перерывы в производственном процессе (
= 2¸3).
Себестоимость единицы готовой продукции
Себестоимость продукции представляет собой стоимостную оценку
используемых в процессе производства продукции природных ресурсов, сырья,
материалов, топлива, энергии, основных фондов трудовых ресурсов, а также других
затрат на ее производство и ее реализацию. Себестоимость отражает величину
текущих затрат, имеющих производственный, некапитальный характер,
обеспечивающих процесс простого воспроизводства на предприятии. Себестоимость
является экономической формой возмещения потребляемых факторов производства. На
стадии предварительных расчетов она определяется приближенно по формуле:
(руб./ед),
где
- норма
расхода основных материалов, кг/ед.;
- цена материала, руб/кг;
-
коэффициент, учитывающий удельный вес стоимости основных материалов в
себестоимости изделия (
= 0,75¸0,80).
Коэффициент
готовности:
2.8 Оборотные средства в запасы готовой продукции
Стоимость запаса готовой продукции определяется по формуле:
руб.,
где
- себестоимость единицы продукции;
-
годовой объем производства;
-
продолжительность оборота готовой продукции на складе (приводится в исходных
данных).
2.9 Оборотные средства в дебиторскую задолженность
Под дебиторской задолженностью понимают задолженность организаций,
работников и физических лиц данной организации (задолженность покупателей за
купленную продукцию, подотчетных лиц за выданные им под отчет денежные суммы и
др.). Организации и лица, которые являются должниками данной организации,
называют дебиторами.
(руб.),
где
- выручка от реализации продукции (руб./год);
-
продолжительность дебиторской задолженности.
Выручка от реализации продукции на данном этапе расчета
устанавливается приближенным путем:
руб.,
где
- себестоимость единицы продукции;
-
рентабельность продукции (
= 13 - 15 %);
-
годовой объем производства.
2.10 Денежные оборотные средства
Денежные оборотные средства - это свободные денежные средства,
находящиеся в кассе или на текущих счетах в банке. Для нормального
функционирования предприятия в начальный момент необходимо иметь минимум
денежных средств на текущие расходы. В курсовой работе сумма денежных средств
приближенно может быть принята » 10% от суммы материальных оборотных средств.
98767+13251+187656=299674
руб.
Доб.ср=299674
руб.
Оборотные
средства (активы)
Итоговая
сумма оборотных средств определяется по следующей формуле:
Коб = Кпзм+Кнзп+Кгп+ Кдзб+
Кдс
Коб =98768+13251+115228+187656+22725=437628 руб,
где Кпзм - оборотные средства в производственные запасы сырья
и материалов;
Кнзп - оборотные средства в незавершенном производстве;
Кгп - оборотные средства в запасы готовой продукции;
Кдзб - оборотные средства в дебиторскую задолженность;
Кдс - денежные оборотные средства.
3.
Определение уставного (акционерного) капитала
Уставный капитал представляет собой совокупность средств (вкладов,
взносов, долей) учредителей (участников) в имущество при создании предприятия
для обеспечения его деятельности в размерах, определенных учредительными
документами. Он является первоначальным исходным капиталом для предприятия. Его
величина определяется с учетом предлагаемой хозяйственной (производственной)
деятельности и фиксируется в момент государственной регистрации предприятия.
Определенные особенности имеет процесс формирования уставного капитала
акционерных обществ (АО). Он представляет, с одной стороны, собственные
средства общества как юридического лица, а с другой - сумму вкладов акционеров.
Уставный капитал должен состоять из установленного числа акций разного вида с
определенным номиналом. При выпуске акций каждой из них приписывается некоторая
денежная стоимость, называемая паритетом, или номинальной стоимостью. Эта
стоимость показывает , какая часть стоимости уставного капитала приходится на
одну акцию на момент оформления акционерного общества.
Обычно выпускается два вида акций: обыкновенные и привилегированные.
Обыкновенные акции дают держателю право голоса на общем собрании акционеров,
право на получение дивидендов, право на участие в разделе имущества АО в случае
ликвидации. Величина дивидендов, получаемых по обыкновенным акциям, зависит от
конечных результатов предприятия.
Привилегированные акции не дают право голоса их владельцам, однако
представляют им определенные гарантированные права, а именно:
фиксированный процентный доход в виде дивидендов;
получение дивидендов до их распределения на другие виды акций;
предпочтительное право на получение своей доли средств в имуществе АО в
случае ликвидации предприятия.
АО не вправе выплачивать дивиденды до полной оплаты всего уставного
капитала, а также, если стоимость его имущества, или чистых активов, меньше
уставного капитала. Уставный капитал отражается в двух основных документах АО:
уставе общества и бухгалтерском балансе.
В оплату уставного капитала могут поступать денежные и имущественные
взносы. К имущественным взносам относятся:
·
- здания,
сооружения, оборудование, материальные ресурсы и другие материальные ценности;
·
- имущественные
права (права пользования водой, землей, зданиями, сооружениями, оборудованием и
т. д.);
·
-
интеллектуальная собственность;
·
- ценные бумаги;
·
- средства в
иностранной валюте (для акционерных обществ, создаваемых с участием
иностранного лица).
Величина уставного капитала отражается в IV разделе баланса предприятия «Капитал и резервы» и
учитывается на счете «Уставный капитал». Вклады, вносимые в оплату уставного
капитала в зависимости от их вида отражаются на соответствующих счетах:
денежные средства - на «Расчетном счете», имущественные взносы - на счете
«Основные средства», права пользования - на счете «Нематериальные активы»,
ценные бумаги - на счете «Долгосрочные финансовые вложения».
Уставный капитал можно рассматривать как экономический фундамент АО. Он в
денежном выражении, как правило, используется на приобретение зданий,
сооружений, оборудования и других активов, которые не предназначены для
продажи.
3.1 Размеры уставного капитала
Уставный капитал не может быть меньше размера, предусмотренного
соответствующими законами об АО. Для образования АО законодательные акты
большинства стран требуют оплаты не всего капитала, а только его части -
остальная часть может быть внесена в течение установленного времени.
По российскому законодательству минимальный размер уставного капитала ЗАО
составляет 100-кратную сумму минимального размера оплаты труда, а ОАО -
1000-кратную сумму минимального размера оплаты труда. Для регистрации АО
необходимо представить в регистрирующий орган помимо учредительных документов
справку из банка, подтверждающую оплату не менее 50% уставного капитала. Для
этих целей до регистрации предприятия открывается накопительный счет для
взносов учредителей в уставной капитал.
Размеры уставного капитала не являются неизменной (постоянной) величиной.
Он может изменяться по решению общего собрания акционеров, в связи с изменением
размеров имущества АО.
Уставный
(акционерный) капитал (
) представляет собой сумму средств, направляемых на
приобретение внеоборотных активов (п.п.3.1.,3.2.,3.3.,3.5.) и собственных оборотных
средств (активов).
=390000+117000+48800+35000+219321=810121
руб.
где
- стоимость технологического оборудования;
-
стоимость вспомогательного оборудования;
-
стоимость производственного и хозяйственного инвентаря;
-
стоимость нематериальных активов;
-
собственные оборотные средства (активы).
В
свою очередь собственные оборотные средства представляют собой разность между
общей суммой оборотных средств, кредиторской задолженностью (
) и величиной краткосрочных кредитов (
)
руб,
3.2 Кредиторская задолженность
Кредиторская задолженность включает обязательства предприятия поставщикам
материалов, энергии, перед бюджетом по налогам, по заработной плате и пр. В
курсовой работе можно ограничиться определением кредиторской задолженности
перед поставщиками основных материалов:
руб.
где
- продолжительность кредиторской задолженности
(приводится в задании).
3.3 Краткосрочный кредит
Сроком на месяц, принимается приблизительно на уровне денежных оборотных.
Кр= Доб.ср =299674.
3.4 Определение количества выпускаемых акций
Количество акций (Na) устанавливается из соотношения акционерного капитала и номинала акции:
шт.
где
- номинал акции.
=150
(руб.)
4.
Составление первоначального прогнозного баланса предприятия
Собственные финансовые средства предприятия и кредитные ресурсы
отражаются в главном финансовом документе - балансе. Баланс предприятия характеризует
в денежном выражении состояние средств предприятия (активы) и источников их
образования (пассивы), а также финансовые результаты хозяйственной
деятельности. Плановый баланс - прогнозирование состояния средств предприятия,
и источников их образования на планируемый период.
Сначала рассмотрим структуру активов. Активы делятся на внеоборотные и
оборотные. Разделение обосновано различием в переносе стоимости на производимый
продукт и скорости оборота. Внеоборотные средства отличаются длительной продолжительностью
оборота (более одного года). К внеоборотным активам относится:
-нематериальные активы - отражают имущественные права: право пользования
интеллектуальной собственностью, ноу-хау, товарными знаками, и д. р. Они могут
выступать в качестве вклада в уставной капитал. Они могут приобретаться и уже в
процессе функционирования предприятия.
- незавершенные капитальные вложения - незаконченное строительство.
Объекты включаются независимо от способа строительства (хозяйственный,
подрядный, и др.). В нашем случае отсутствуют.
- долгосрочные финансовые вложения - осуществляются на срок больше года.
Долгосрочные финансовые вложения могут быть представлены вкладами предприятия в
уставные капиталы других предприятий, ценными бумагами, займами, облигациями
предприятий, местных органов власти.
- основные средства - это совокупность материально вещественных
ценностей, действующих в неизменной форме в течение длительного времени и
утрачивающих свою стоимость по частям по мере износа. В основной капитал входит
стоимость всего оборудования, машин, производственных зданий, сооружений.
Оборотные активы (средства) - текущие мобильные средства необходимые для
непрерывного функционирования предприятия, непрерывно находятся в движении и
переносят целиком свою стоимость на изготовляемую продукцию.
К оборотным активам относится:
- запасы сырья и материалов;
- затраты незавершенного производства;
- дебиторская задолженность;
- запасы готовой продукции;
- денежные оборотные средства;
- краткосрочные финансовые вложения (в нашем случае отсутствуют). Данные
элементы оборотных средств подробнее были рассмотрены ранее.
Рациональное и экономное использование как внеоборотных, так и оборотных
средств является первоочередной задачей предприятия. Поэтому необходимо
рассмотреть состав, структуру и взаимоотношение основных и оборотных фондов.
Источники формирования имущества предприятия уделяться на:
- собственные, в основном это уставной капитал либо
нераспределенная прибыль;
заемные, представленные долгосрочными кредитами банков и займами, а также
краткосрочными заемными средствами (займы, кредиторская задолженность).
Уставной капитал -стоимостное выражение вклада учредителей в имущество
предприятия при его создании.
Добавочный капитал, который появляется в силу инфляции. Чтобы учесть этот
фактор необходимо переоценивать имущество предприятия. Таким образом,
добавочный капитал - это индексация капитала в связи с инфляцией.
Заемные средства отражаются в балансе в разделах «Долгосрочные пассивы» и
«Краткосрочные пассивы».
Долгосрочные пассивы включают в себя: кредиты банка и прочие займы,
подлежащие погашению более чем через год. Краткосрочные пассивы включают в
себя: кредиты банка и прочие займы, подлежащие погашению менее чем через год, а
также кредиторскую задолжность. В качестве кредиторской задолжности может
выступать задолжность поставщикам, которая появляется вследствие отсрочки платежей
за приобретаемые ресурсы, задолжность перед бюджетом или задолжность по оплате
труда.
Таблица 3. Первоначальный баланс предприятия
|
АКТИВ
|
Сумма млн. р.
|
ПАССИВ
|
Сумма млн. р.
|
|
I.
|
Внеоборотные активы
|
|
III.
|
Капитал и резервы
|
|
|
1.1
|
Нематериальнве активы
|
0,035
|
3.1
|
Уставной (акционерный) капитал
|
0,810121
|
|
1.2
|
Основные средства, в т.ч.
|
|
Количество обыкновенных акций
|
|
|
1.2.1
|
Оборудование
|
|
|
|
|
|
-технологическое
|
0,390
|
|
|
|
|
-вспомогательное
|
0,117
|
|
|
|
|
-производственный и хозяйственный инвентарь
|
0,0488
|
|
|
|
|
Итого по разделу I
|
0,5908
|
|
Итого по разделу III
|
0,810121
|
|
II
|
Оборотные активы
|
|
IV
|
Долгосрочные пассивы
|
|
|
2.1
|
Запасы сырья и материалов
|
0,098767
|
V
|
Краткосрочные пассивы
|
|
|
2.2
|
Незавершенное производство
|
0,013251
|
5.1
|
Кредиты банка
|
0.299674
|
|
2.3
|
Запасы готовой продукции
|
0,115228
|
5.2
|
Кредиторская задолженность
|
0.123458
|
|
2.4
|
Дебиторская задолженность
|
0,115532
|
|
|
|
|
2.5
|
Денежные средства
|
0,299674
|
|
|
|
|
Итого по разделу II
|
0,642452
|
|
Итого по разделу V
|
0.423132
|
|
БАЛАНС
|
1,233252
|
|
Баланс
|
1,233342
|
5.
Определение численности работающих на предприятии
Расчет численности работников предприятия используется в курсовой работе
для определения затрат по заработной плате и производительности труда.
В зависимости от способа установления численности работники предприятия
условно подразделяются на три категории:
·
основные рабочие;
·
вспомогательные
рабочие;
·
административно-управленческий
персонал.
имущество оборотный средство капитал
5.1 Численность основных рабочих
Численность основных рабочих по каждой операции определяется на основе
трудоемкости выполняемых работ:
,
где
-
списочная численность основных рабочих, занятых выполнением i-ой
операции;
- норма
времени на выполнение i-ой операции;
-
годовой фонд времени работы рабочих;
-
годовой объем производимой продукции, ед./год
5.2 Численность вспомогательных рабочих
Численность вспомогательных рабочих устанавливается по рабочим местам и
нормам обслуживания.
Таблица 4. Численность вспомогательных рабочих
|
Должность
|
Кол-во
|
Оклад ,руб/мес.
|
|
Слесарь
|
1 ч
|
5000
|
|
Кладовщик-грузчик
|
1 ч
|
5000
|
|
Электрик
|
1
|
5000
|
В курсовой работе к такой категории рабочих можно отнести слесарей,
кладовщиков, грузчиков и пр. Состав вспомогательных рабочих и их численность
устанавливается с учетом их возможной загрузки и совмещения профессии.
.3 Численность служащих
Численность служащих устанавливается на основе штатного расписания.
Штатное расписание представляет собой документ, содержащий информацию о
составе инженерно-технических работников, и их окладе по каждой должности. В
качестве ориентира в штатном расписании можно предусмотреть следующие
должности: директор малого предприятия, зам. по коммерческим вопросам,
бухгалтер-экономист, секретарь-референт.
Таблица 5. Численность служащих
|
ДолжностьКол-воОклад , руб.
|
|
|
|
Директор малого предприятия
|
1 ч
|
15000
|
|
Заместитель по коммерческим вопросам
|
1 ч
|
10000
|
|
Бухгалтер-экономист
|
1 ч
|
8000
|
|
Секретарь-референт
|
1 ч
|
6000
|
2.
6.
Определение сметы затрат на производство и реализацию продукции
Смета затрат является важным документом, определяющим эффективность
работы предприятия. Она разрабатывается для определения суммарных расходов на
производство и реализацию продукции. По размеру затрат, отражаемых в смете
определяют прибыль предприятия и размер накладных расходов.
Смета затрат может быть рассчитана в двух разрезах:
по экономическим элементам;
по статьям расходов.
В курсовой работе смета затрат сначала разрабатывается по статьям
расходов, а затем сводится по элементам.
.1 Смета затрат
Смета затрат включает следующие статьи
·
основные
материалы;
·
реализуемые
отходы;
·
основные
материалы за вычетом отходов;
·
основная
заработная плата производственных рабочих;
·
дополнительная
заработная плата производственных рабочих;
·
отчисления на
социальные цели производственных рабочих;
накладные расходы.
Сводная смета затрат на производство продукции по экономическим элементам
Затраты, образующие себестоимость, по экономическому содержанию
группируются по следующим элементам :материальные затраты, затраты на оплату
труда, отчисления на социальные нужды, амортизация основных фондов, прочие
затраты. Их структура формируется под влиянием различных факторов: характера
производимой продукции и потребляемых материально-сырьевых ресурсов,
технического уровня производства, форм его организации и размещения, условий
снабжения и сбыта продукции и т.д. В зависимости от преобладающей доли
отдельных элементов затрат различают следующие виды отраслей и производств:
материалоемкие, трудоемкие, фондоемкие, топливо- и энергоемкие и смешанные.
Материальные затраты во всех отраслях народного хозяйства(кроме
добывающих) занимают основную долю в себестоимости продукции. В их состав
входят: сырье, основные материалы, покупные полуфабрикаты, топливо, энергия, а
также расходы на тару, упаковочные материалы, инструмент, запасные части и др.
Оценка материальных ресурсов, по которой они включаются в себестоимость
продукции, определяется исходя из цены приобретения (без учета налога на добавленную
стоимость), всех надбавок и комиссионных снабженческим, посредническим и
внешнеторговым организациям, стоимости услуг товарных бирж, таможенных пошлин,
а также платы за транспортировку сторонним организациям. Из расходов на
материальные ресурсы полностью исключается стоимость возвратных отходов.
Затраты на оплату труда отражают участие в себестоимости продукции
необходимого живого труда. Они включают заработную плату основного
производственного персонала, а также не состоящих в штатах работников, относящихся
к основной деятельности. Оплата труда включает: заработную плату, начисляемую
по сдельным расценкам, тарифным ставкам и должностным окладам в соответствии с
системами оплаты труда, принятыми на предприятии; стоимость продукции,
выдаваемой в порядке натуральной оплаты; надбавки и доплаты; премии за
производственные результаты; оплату очередных и дополнительных отпусков;
стоимость бесплатно предоставляемых услуг; единовременные вознаграждения за
выслугу лет; надбавки за работу на Крайнем Севере и по районным коэффициентам и
др. расходы.
Отчисления на социальные нужды представляют собой форму перераспределения
национального дохода на финансирование общественных потребностей. Начисленные
средства направляются во внебюджетные фонды и используются на предусмотренные
законом цели. Тарифы страховых взносов ежегодно утверждаются в федеральном
законе, принимаемом Государственной Думой. В эту группу затрат в настоящее
время включается четыре вида платежей.
1 Отчисления в Фонд социального страхования РФ
2 Отчисления в Пенсионный фонд РФ
Страховые взносы в Государственный фонд занятости населения РФ
Фонд обязательного медицинского страхования
Амортизация основных фондов на их полное восстановление включается в
себестоимость продукции в суммах, определяемых на основе балансовой стоимости
фондов и действующих норм амортизационных отчислений. Износ начисляется как на
собственные основные фонды, так и арендованные.
В состав прочих затрат входят разнообразные и многочисленные расходы:
налоги и сборы, отчисления в специальные фонды, платежи по обязательному
страхованию имущества и за выбросы загрязняющих веществ в окружающую среду,
оплата процентов за кредит, суммы износа по нематериальным активам,
командировочные и представительские расходы и др.
6.1.1 Основные материалы
Эти
затраты рассчитываются на весь объем
и на
единицу производимой продукции
:
а)
(руб/год)
б)
(руб/ед),
где
- норма расхода материала, кг/изд.;
- цена
материала, руб/кг;
-
годовой объем производства (ед/год).
6.1.2 Реализуемые отходы
а) на весь объем:
(руб/год)
б)
на единицу продукции:
(руб/ед),
где
- чистый вес изделия, кг/изд.
- цена
реализуемых отходов, руб/ кг (принимается приблизительно 10% от цены основных
материалов).
=
(руб/кг)
6.2 Стоимость материалов за вычетом отходов
а)
б(руб/год),
б)
(руб/ед)
6.3 Основная заработная плата производственных
рабочих
Основная заработная плата предусматривает оплату труда за проработанное
время. Рассчитывается она в зависимости от формы и системы оплаты труда. В
курсовой работе предусматривается сдельно-премиальная оплата труда. В
соответствии с этой системой основная заработная плата рассчитывается по
формуле:

(руб/ед),
где
tHi -
норма времени на выполнение i-ой операции, мин/ед;
-
часовая ставка 1-го разряда, руб/час;
- тарифный коэффициент соответствующего разряда;
- коэффициент, учитывающий премии и доплаты (
» 1,5);
- районный коэффициент (
= 1,3).
Часовая
ставка 1-го разряда (
ориентировочно может быть принята в интервале от 3,0¸4,0 руб/час).
Таблица
6. Тарифные коэффициенты
|
Разряд
|
4
|
5
|
6
|
7
|
8
|
|
kтк
|
1,91
|
2,16
|
2,44
|
2,76
|
3,12
|
Основная
заработная плата производственных рабочих на годовой объем производства
определяется путем умножения величины 
,
рассчитываемой по формуле (26) на
(руб/год)
6.4 Дополнительная заработная плата
производственных рабочих
а)
(руб/ед)
б)
(руб/год),
где
- коэффициент, учитывающий выплаты по дополнительной
заработной плате (
= 0,10 ¸ 0,15)
6.5 Единый социальный налог на заработную плату
производственных рабочих
Единый социальный налог включает в себя отчисления в следующие фонды:
Пенсионный;
Обязательного медицинского страхования;
Социального страхования.
В общей сумме эти отчисления определяются в размере 26% от основной и
дополнительной заработной платы:
а) на единицу:
Сотч= ( Сдоп + СЗо )*0,26 = (94,48 +
14,172) * 0,26 = 28,25 р/ед.
б) на весь объем:
СзQ=
( СдопQ +
СЗоQ )*0,26 =
(41992 + 279944) * 0,26 = 83703,36 р./год.
Итак, первые шесть статей относятся к прямым затратам. Отличительная их
черта, что они могут быть непосредственно отнесены на изготовляемую продукцию и
потому рассчитываются как на весь объем производимой продукции, так и на
единицу отдельных видов продукции.
Остальные расходы (неучтенные в прямых затратах) образуют косвенные
расходы. Эти расходы относятся на весь объем производимой продукции. Отнесение
их на конкретную продукцию может быть осуществлено лишь косвенным путем (способ
отнесения рассматривается ниже).
Как известно, к косвенным расходам относятся общепроизводственные,
общехозяйственные и коммерческие расходы. На малых предприятиях эти расходы
могут быть объединены под названием накладные расходы.
6.6 Накладные расходы
Накладные расходы включают расходы по содержанию и эксплуатации
оборудования, управлению предприятием, по реализации продукции и пр., которые
не могут быть непосредственно отнесены на ту или иную продукцию, изготовляемую
на предприятии.
В первом приближении накладные расходы включают в себя следующие затраты:
·
амортизация
основных фондов предприятия;
·
амортизация
нематериальных активов;
·
арендная плата за
помещение;
·
отчисления в
ремонтный фонд;
·
вспомогательные
материалы на содержание оборудование;
·
затраты на
силовую электроэнергию;
·
износ
инструмента;
·
заработная плата
вспомогательных рабочих;
·
отчисления на
социальные цели вспомогательных рабочих;
·
заработная плата
административно-управленческого персонала
·
отчисления на
социальные цели административно-упраленческого персонала;
·
командировочные
расходы;
·
представительские
расходы;
·
на рекламу;
·
налоги на
пользование автомобильными дорогами;
·
плата за кредит;
·
прочие расходы.
6.6.1 Амортизация основных средств
Амортизационные отчисления производятся предприятиями ежемесячно исходя
из установленных норм амортизации и балансовой стоимости основных фондов по
отдельным группам или инвентарным объектам, состоящим на балансе предприятия.
Норма амортизации представляет собой установленный государством годовой процент
погашения стоимости основных фондов и определяет сумму ежегодных
амортизационных отчислений. Иначе говоря, норма амортизации - это отношение
суммы годовых амортизационных отчислений к стоимости ОПФ, выраженное в
процентах. Нормы амортизации устанавливается и периодически пересматривается
государством, они едины для всех предприятий и организаций независимо от их
форм собственности и форм хозяйствования.

(руб/год),
где
- суммарная стоимость основных средств
(технологическое и вспомогательное оборудование, производственный и
хозяйственный инвентарь);
- норма
амортизационных отчислений.
6.6.2 Амортизация нематериальных активов

(руб/год),
где
- стоимость нематериальных активов
- срок
списания нематериальных активов (
»5 лет).
6.6.3 Арендная плата

(руб/год),
где
- суммарная арендуемая площадь здания, включая
производственную и под офис;
-
арендная плата за 1м2, руб/м2 ( 50 :200
руб/м2 замесяц).
6.6.4 Отчисления в ремонтный фонд
(руб./год),
где
- стоимость оборудования (технологического и вспомогательного);
- коэффициент,
учитывающий отчисления в ремонтный фонд (
» 0,05-0,10).
6.6.5 Вспомогательные материалы на содержание оборудования
(руб./год),
где
- коэффициент, учитывающий затраты на вспомогательные материалы (
» 0.02-0,03).
6.6.6
затраты на силовую электроэнергию
Эти затраты приближенно можно рассчитать по следующей формуле:
(руб/год),
где
- количество операций
технологического процесса;
- установленная
мощность электродвигателей оборудования, занятого выполнением i-ой
операции (в курсовой работе принимается соответственно по операция: 5; 7; 6; 8;
4; 7 квт);
- годовой фонд
времени работы оборудования, час/год (дается в задании);
- коэффициент,
учитывающий загрузку оборудования по соответствующей операции (принимается по
результатам расчета, выполненного в п.2.1.);
- коэффициент,
учитывающий удельный вес основного времени в норме времени на выполнение
операции (в среднем по каждой операции -
» 0,5);
- коэффициент, учитывающий использование электродвигателей по мощности
(по каждой операции -
» 0,6);
- цена электроэнергии за 1 квт/час (2,2 р./год/квт-ч).
6.6.7 Износ инструмента

(руб./год),
где
- норма времени на выполнение i-ой операции;
- средняя стойкость
инструмента, мин./срок службы (
» 300 мин.);
- средняя цена
единицы инструмента (
»100-200 руб./ед.);
- годовой объем
производства, ед./год.
.6.8 Заработная плата вспомогательных рабочих
,
руб./год,
(руб/год)
где
- количество профессий вспомогательных рабочих;
- численность рабочих
по соответствующей профессии;
- месячная тарифная
ставка рабочего соответствующего разряда;
- коэффициент,
учитывающий премии и доплаты для вспомогательных рабочих (
= 1,2-1,3);
- районный
коэффициент (
= 1,3).
6.6.9 Единый социальный налог с зарплаты вспомогательных
рабочих:

(руб./год)
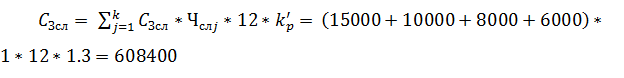
6.6.10 Заработная плата служащих
(руб./год),
где СЗсл - месячный оклад служащего;
Чслj
- численность служащих по соответствующей должности (в курсовой работе
принимается по одному человеку).
6.6.11 Единый социальный налог с зарплаты служащих
СОТЧсл = СЗсл*0,26 = 608400 * 0,26 = 158184 (руб./год).
6.6.12 Командировочные расходы (Ском) можно приблизительно
принять 10% от заработной платы служащих
Ском = 0,1 * СЗсл = 608400 *0,1 = 60840 (руб./год).
6.6.13 Представительские расходы (Спред) можно
принять на уровне 1% от фонда оплаты труда АУП
Спред = 0,01 (СзоQ + СЗсл) = 0,01 (83703+608400) = 6921 (руб./год).
.6.14 Затраты на рекламу (Срекл) составляют 1% от
выручки от реализации
Срекл = 0,01 * Qрл = 6755640 * 0,01 = 67556
(руб./год).
6.6.15 Плата за краткосрочный кредит (Скр)
включается в себестоимость в пределах ставки центрального банка (rЦБ=8%),
умноженный на коэффициент, равный 2
Общая плата за кредит (R) принимается на 3 - 5% больше указанного предела
ставки центрального банка, действующего на момент написания курсовой работы.
Таким образом, в себестоимости продукции должно быть отражено:

(руб./год),
где
- сумма кредита;
- годовая ставка
процент за кредит (в пределах ставки ЦБ плюс 3%);
- срок взятия кредита
(
= 2 месяц).
6.6.16
Прочие расходы (Спр) включают в себя услуги сторонних организаций,
оплату услуг связи, банка, канцелярские расходы и.т.д. В курсовой работе эти
расходы можно принять в размере 10- 20% от суммы накладных расходов,
рассчитанных выше
Спр=(83370+7000+78000+7605+10140+36590+237040+280800+72852+608400+158184+60840+6921+67556+9989)
* 0,1 = 1720292 * 0,1 = 172528,7 (руб/год)
На
основе выполненных расчетов составляется сводная смета накладных расходов, с
подразделением затрат на переменные и постоянные и отнесением их к
соответствующему элементу.
Таблица
7. Смета накладных расходов
|
№ п/п
|
Наименование затрат
|
Сумма, тыс. р.
|
В том числе
|
Группировка затрат по элементам
|
|
|
|
Постоянные расходы
|
Переменные расходы
|
|
|
1
|
Амортизация основных средств
|
83,370
|
83,370
|
|
Амортизация
|
|
2
|
Амортизация нематериальных активов
|
7
|
7
|
|
Прочие расходы
|
|
3
|
Арендная плата
|
78
|
78
|
|
Прочие расходы
|
|
4
|
Отчисления в ремонтный фонд
|
7,605
|
7,605
|
|
Прочие расходы
|
|
5
|
Вспомогательные материалы
|
10,14
|
5,07
|
5,07
|
Материальные затраты
|
|
6
|
Затраты на силовую энергию
|
36,59
|
|
36,59
|
Материальные затраты
|
|
7
|
Износ инструмента
|
237,04
|
|
237,04
|
Материальные затраты
|
|
8
|
Заработная плата вспомогательных рабочих
|
280,8
|
280,8
|
|
Оплата труда
|
|
9
|
ЕСН с заработной платы вспомогательных рабочих
|
72,852
|
72,852
|
|
Отчисления на социальные цели
|
|
10
|
608,4
|
608,4
|
|
Оплата труда
|
|
11
|
ЕСН с заработной платы служащих
|
158,184
|
158,184
|
|
Отчисления на социальные цели
|
|
12
|
Командировочные расходы
|
60,840
|
60,840
|
*
|
Прочие расходы
|
|
13
|
Представительские расходы
|
6,921
|
6,921
|
*
|
Прочие расходы
|
|
14
|
Затраты на рекламу
|
67,556
|
67,556
|
|
Прочие расходы
|
|
15
|
Краткосрочный кредит
|
9,989
|
9,989
|
|
Прочие расходы
|
|
16
|
Прочие расходы
|
172,528
|
129,022
|
43,506
|
Прочие расходы
|
|
Итого
|
1897,815
|
1575,609
|
322,206
|
|
3.
7.
Сводная смета затрат на производство продукции
Сводная смета затрат на производство составляется на годовой выпуск
продукции по статьям расходов и элементам затрат. В начале рассчитывается смета
затрат по статьям расходов, затем осуществляется увязка статей расходов с
соответствующими элементами затрат и на основе этой увязки устанавливается сводная
смета затрат на производство продукции по экономическим элементам.
.1 Смета затрат на производство продукции по
статьям расходов
Смета затрат на производство продукции по статьям расходов приведена в
таблице 8.
Таблица 8. Смета затрат на производство продукции по статьям расходов
|
№ п/п
|
Статьи затрат
|
Сумма, тыс. руб./год
|
Удельный вес затрат, %
|
|
1.
|
Основные материалы
|
4444,5
|
39,73
|
|
2.
|
Реализуемые отходы
|
111,112
|
0,99
|
|
3.
|
Основные материалы за вычетом отходов
|
4333,387
|
38,74
|
|
4.
|
Основная заработная плата производственных рабочих
|
279,944
|
2,5
|
|
5.
|
Дополнительная заработная плата производственных рабочих
|
41,992
|
0,37
|
|
6.
|
Отчисления на социальные цели
|
83,703
|
0,75
|
|
7.
|
Накладные расходы
|
1897,815
|
16,92
|
|
Итого: (п.3+п.4+п.5+п.6+п.7)
|
11192,450
|
100
|
Классификация затрат по степени их зависимости от объема
производства
7.2 Смета затрат на производство продукции по
статьям расходов и элементам затрат
Увязка сметы затрат на производство продукции по статьям расходов и
элементам затрат представлена в таблице 9.
Таблица 9. Смета затрат на производство продукции по статьям расходов и
элементам затрат
|
№ п/п
|
Статьи затрат
|
Элементы затрат
|
Сумма затрат
|
|
|
материальные затраты
|
оплата труда
|
отчисления на соц.нужды
|
амортизация
|
прочие расходы
|
|
|
I. Прямые переменные затраты
|
|
1.
|
Основные материалы за вычетом отходов
|
433387
|
|
|
|
|
433387
|
|
2.
|
Основная заработная плата производственных рабочих
|
|
279944
|
|
|
|
279944
|
|
3.
|
Дополнительная заработная плата
|
|
41992
|
|
|
|
2291
|
|
4.
|
Отчисления на социальные цели
|
|
|
83703
|
|
|
83703
|
|
II. Накладные расходы
|
|
5.
|
Амортизация основных фондов
|
|
|
|
83370
|
|
83370
|
|
6.
|
Амортизация нематериальных активов
|
|
|
|
|
7000
|
7000
|
|
7.
|
Арендная плата
|
|
|
|
|
780000
|
78000
|
|
8.
|
Отчисления в ремонтный фонд
|
|
|
|
|
7605
|
7605
|
|
9.
|
Вспомогательные материалы
|
10140
|
|
|
|
|
10140
|
|
10.
|
Электроэнергия
|
36590
|
|
|
|
|
36590
|
|
11.
|
Износ инструмента
|
237040
|
|
|
|
|
237040
|
|
12.
|
Заработная плата вспомогательных рабочих
|
|
280800
|
|
|
|
280800
|
|
13
|
Отчисления на соц. цели вспомогательных рабочих
|
|
|
72852
|
|
|
72852
|
|
14
|
Заработная плата адм. - упр. персонала
|
|
608400
|
|
|
|
608400
|
|
15
|
Отчисления на соц. цели адм. - упр. персонала
|
|
|
158184
|
|
|
158184
|
|
16
|
Командировочные расходы
|
|
|
|
|
60840
|
60840
|
|
17
|
Представительские расходы
|
|
|
|
|
6921
|
6921
|
|
18
|
Реклама
|
|
|
|
|
67556
|
67556
|
|
19
|
Краткосрочный кредит
|
|
|
|
|
9989
|
9989
|
|
20
|
Прочие расходы
|
|
|
|
|
172528
|
172528
|
|
Сумма затрат по элементам
|
717157
|
1211136
|
314739
|
83370
|
1112439
|
2697140
|
7.3 Сводная смета затрат на производство
продукции по экономическим элементам
На основании данных, представленных в таблице 10, составляется смета
затрат по экономическим элементам.
Таблица 10. Сводная смета затрат на производство продукции по
экономическим элементам
|
№ п/п
|
Элементы затрат
|
Сумма, тыс.руб./год
|
Удельный вес затрат, %
|
|
1.
|
Материальные затраты
|
283,770
|
14,99
|
|
2.
|
Оплата труда
|
889,200
|
46,99
|
|
3.
|
Отчисления на социальные нужды
|
231,036
|
12,21
|
|
4.
|
Амортизация
|
83,370
|
4,41
|
|
5.
|
Прочие расходы
|
404,945
|
21,40
|
|
Итого затрат
|
1892,923
|
100
|
8.
Калькулирование себестоимости продукции
Калькулирование означает расчет себестоимости единицы продукции. Основное
назначение калькуляции -
определение нижнего предела цены. Калькулирование себестоимости продукции
осуществляется по статьям расходов, представленным в табл. 5.
Первые 6 статей рассчитываются на единицу продукции прямым путем по
методике, рассмотренной выше (п.7.1.).
Расчет накладных расходов осуществляется в трёх вариантах:
В
первом - для условий однономенклатурного производства, эти
расходы на единицу продукции (
)
определяются делением их общей суммы на объем производства:

(руб./ед.),
где
- общая сумма накладных расходов на годовой объем производства, тыс.руб.
/год.
1.
Во втором
варианте - накладные
расходы на единицу продукции рассчитываются для условий многономенклатурного
производства по формуле:
(руб./ед.),
где
- коэффициент накладных расходов;
- основная заработная плата производственных рабочих на единицу
продукции.
Коэффициент накладных расходов представляет собой отношение общей суммы
накладных расходов к сумме основной заработной платы производственных рабочих,
занятых изготовлением различных изделий.

Третий
вариант расчета накладных расходов на единицу продукции предполагает их
разделение на переменные (
) и постоянные расходы (
).
(руб./ед.),
(руб./ед.),
где
и
- соответственно
коэффициенты переменных и постоянных накладных расходов.
В свою очередь коэффициенты соответствующих накладных расходов
определяются по формулам:

,
где
и
- соответственно
переменные и постоянные накладные расходы предприятия за год, руб./год (см.
табл.4).
По
всем трем вариантам расчет себестоимости продукции следует свести в таблицу 11.
Таблица
11. Калькуляция себестоимости продукции
|
№п/п
|
Статьи расходов руб./ед.
|
Варианты калькуляции
|
|
1
|
Основные материалы
|
1500
|
1500
|
1500
|
|
2.
|
Реализуемые отходы
|
37,5
|
37,5
|
37,5
|
|
3.
|
Основные материалы за вычетом отходов
|
1462,5
|
1462,5
|
1462,5
|
|
4.
|
Основная заработная плата
|
94,48
|
94,48
|
94,48
|
|
5.
|
Дополнительная заработная плата
|
14,17
|
14,17
|
14,17
|
|
6.
|
Отчисления на социальные цели
|
28,25
|
28,25
|
28,25
|
|
7.
|
Накладные расходы
|
638,65
|
638,65
|
|
|
в т.ч. переменные накладные
|
-
|
-
|
108,56
|
|
8.
|
Итого переменные прямые и переменные накладные расходы
|
-
|
-
|
3245,46
|
|
9.
|
Постоянные накладные расходы
|
-
|
-
|
530,03
|
|
10.
|
Себестоимость единицы продукции
|
3775
|
3775
|
3775
|
9.
Определение минимально допустимого уровня цены
Как было отмечено ранее, целью курсовой работы является определение
минимального уровня цены, т.е. такого её значения, которое обеспечивает
получение прибыли достаточной для выплаты заданного уровня дивидендной ставки.
Этот уровень численно можно представить в виде следующего выражения:

(руб./ед.),
где
- себестоимость единицы продукции, руб./ед.;
- минимальный уровень рентабельности продукции, %.
9.1 Определение минимального уровня
рентабельности
Минимальный уровень рентабельности позволяет установить прибыль,
необходимую для выплаты дивидендов. Установить этот уровень можно графическим
путем. Для этого необходимо выявить зависимость дивидендной ставки от уровня
рентабельности продукции и соответствующей ему цены:
Рисунок
2. Зависимость дивидендной ставки от рентабельности
Минимальный уровень рентабельности и соответствующая ему минимальная цена
получается графически на пересечении двух прямых:
- прямой, выражающей зависимость дивидендной ставки от уровня
рентабельности;
- прямой, выражающей задаваемый уровень дивидендной ставки (Нсттр).
Прямая, выражающая предельный уровень дивидендной ставки, строится на
основании исходных данных. Прямая, выражающая зависимость дивидендной ставки от
уровня рентабельности, строиться по двум точкам, значение которых получают по
следующему алгоритму:
) Задаются произвольно два значения уровня рентабельности и для
этих значений определяются два уровня цен (Ц1, Ц2):
,
где
- задаваемый уровень
рентабельности, %
а)
(руб./ед),
б)
(руб./ед),
где
- задаваемый уровень
рентабельности, %
2) Для выбранных двух значений рентабельности и соответствующих им
цен определяется выручка Qрл и прибыль от реализации продукции Пррл:
а)
(руб./год),
б)
(руб./год),
а)
(руб./год).
б)
(руб/год)
3) Определяется налогооблагаемая прибыль (Прнал),
которая представляет собой разность между прибылью от реализации и уплачиваемым
налогом на имущество:
,руб./год.
(руб./год.)
(руб./год.)
Налог на имущество уплачивается в размере 2,2% от актива баланса.
4) Чистая прибыль после налогообложения (Прч) рассчитывается
следующим образом:
,руб./год,
(руб./год)
(руб./год)
где
- налог на прибыль (20% от налогооблагаемой прибыли).
5) Из чистой прибыли формируется резервный фонд, отчисления
(Крф), сумма которого рассчитывается по следующей формуле:
,руб./год,
где
- коэффициент, учитывающий отчисления в резервный фонд (
= 0,05).
(руб./год)
(руб./год)
6) Из чистой прибыли также осуществляется погашение кредита и уплата
части процентов за кредит, которые не включаются в себестоимость. Здесь плата
за кредит принимается лишь в части, которая осуществляется из прибыли:

(руб./год),
где
- размер кредита;
R- общая ставка процента за
кредит, %;
rкр-годовая ставка процента за кредит, включаемая в себестоимость в пределах
ставки центрального банка, умноженной на коэффициент, равный 2;
- срок взятия
кредита.
Погашение кредита осуществляется в полной сумме из чистой прибыли.
) Нераспределенная чистая прибыль (Прнч) направляется:
На формирование фонда накопления (Фн);
Формирование фонда потребления (Фпотр);
Выплату дивидендов (Прдв).
Прибыль к распределению
,руб./год,
где
- фонд накопления;
- фонд потребления;
- прибыль,
предназначенная для выплаты дивидендов.
На выплату дивидендов в курсовой работе рекомендуется использовать 30% от
нераспределенной прибыли:
Прнч = Прч - Крф - Скр
(руб./год)
(руб./год)
Прдв
= Прнч *0,3
Прдв2
= 2521972,19* 0,3 = 756591,65 (руб/год);
(Фн+Фп)1
= 819475,76 - 245842,72 = 573633,04(руб/год);
(Фн+Фп)1
= 2521972,19 - 756591,65 = 1765380,54 (руб/год).
Для большей наглядности механизм распределения прибыли необходимо
представить в виде схемы с указанием соответствующих цифр для двух вариантов
цен (рис.3).
Рисунок 3. Схема распределения прибыли
8) Определение дивидендных ставок осуществляется по схеме,
представленной в табл.12.
Значения дивидендных ставок (Нст1 и Нст2)
рассчитываются для двух значений цены (Ц1 и Ц2) с
различной рентабельностью (р1 = 20% и р2 = 40%).
Таблица 12. Определение дивидендных ставок при различных уровнях
рентабельности
|
1.
|
Процент чистой прибыли, направляемой на выплату дивидендов
|
30%
|
2. Сумма
прибыли на выплату дивидендов
245842,72
|
3.
|
Количество акций ( .)5400
|
|
|
4.
|
Номинал акций ( .)150
|
|
5. Величина
дивиденда на одну акцию
45,53
6. Ставка
дивиденда
, %0,84
Зависимость ставки дивиденда (Нст) от рентабельности (р)
представляется в виде графика.
10.
Определение минимального объема продаж
Одним из решающих факторов, определяющим целесообразность производства
продукции, является объем продаж. Для обеспечения прибыльной работы предприятие
должно обеспечить объем производства не ниже определенного уровня. Объем
продаж, при превышении которого обеспечивается безубыточная работа, носит
название точки безубыточности.
В основе её определения лежит деление затрат на переменные и постоянные
затраты. Эту точку можно установить в условиях одно- и многономенклатурного
производства аналитическим и графическим способами.
.1 Определение точки безубыточности в условиях однономенклатурного
производства
В условиях однономенклатурного производства расчет точки безубыточности
выполняется по следующей формуле:

(ед./год),
где:
- критический объем производства
продаж в натуральных единицах;
- постоянные затраты руб./год;
- цена единицы продукции руб./ед.; (устанавливается исходя из
рентабельности 13¸15)
- переменные затраты (прямые и накладные), руб./ед.
Црын
(руб)
Зависимость затрат и выручки от объема продаж можно представить
графически несколькими способами:
10.2 Определение точки безубыточности в условиях
многономенклатурного производства
В условиях многономенклатурного производства расчет точки безубыточности
выполняется по следующему выражению:

(тыс.руб./год),
где:
- удельный вес переменных расходов в выручке от реализации продукции.
В
курсовой работе величину
можно принять как отношение удельных переменных
расходов к цене продукции.
Выражение
(1 -
) представляет собой маржинальный доход, выраженный в
относительных единицах (коэффициент маржинального дохода).
Получаемое
выражение представляет собой точку безубыточности в стоимостной форме, т.е.
минимальную выручку от реализации, при превышении которой предприятие начнет
получать прибыль.
Эту точку можно получить графическим путем:
10.3 Определение финансовой устойчивости
предприятия
Точка безубыточности характеризует запас финансовой устойчивости
предприятия. Чем больше планируемый или фактический объем продаж превышает
точку безубыточности, тем устойчивее финансовое положение предприятия и тем
меньше риск убытков от возможного падения производства. Запас финансовой
прочности можно представить как в абсолютном, так и в относительном выражениях.
В абсолютном выражении запас финансовой устойчивости определяется по
разности планируемого (фактического) объекта продаж и точки безубыточности.
В
относительном выражении рассчитывается коэффициент финансовой устойчивости (
):
,
где
- соответственно планируемый объем продаж (в физическом либо денежном
выражении);
- точка
безубыточности (в соответствующих единицах).
Чем
больше значение коэффициента
, тем
устойчивее финансовое положение предприятия. Так как полученный коэффициент
устойчивости равен 0,497, то можно сказать о том, что финансовое положение
нашего предприятия вполне устойчивое.
11.
Исследование точки безубыточности
Точка безубыточности, установленная ранее, получена при определенных
фиксированных переменных и постоянных затратах и минимальной цене. В процессе
реализации проекта могут возникнуть отклонения от указанных параметров в ту или
иную сторону, что естественно отразится на точке безубыточности.
Например: чтобы обеспечить безубыточную деятельность предприятия
необходимо компенсировать снижение цен или увеличение затрат ростом объема
продаж. Поэтому важно знать реакцию точки безубыточности на изменение
переменных параметров (затрат, цены). Эту реакцию можно отразить как в форме
таблицы, так графически. В качестве исходной формулы можно принять выражение:
Последовательно
корректируя каждую составляющую формулы на коэффициент изменения параметра,
получим соответствующее значение
:
а)
ед./год,
б)
ед./год,
в)
ед./год,
где
,
и
- соответственно коэффициенты, учитывающие изменение цены, переменных и
постоянных затрат.
Интервал изменения перечисленных коэффициентов в курсовой работе можно
принять от 0,7 до 1,3.
За точку отсчета (k =
1,0) принимаются те значения цены, переменных и постоянных затрат, которые были
получены ранее.
Выполнив
соответствующие расчеты точки безубыточности при различных значениях
коэффициентов (
,
и
),
результаты заносятся в таблицу 10.
Зависимость
точки безубыточности от изменения цены, переменных и постоянных затрат
|
№ п/п
|
Факторы
|
Точка безубыточности, Qкр, ед./год
|
|
|
Коэффициенты, учитывающие изменение параметров
|
|
|
0,7
|
0,8
|
0,9
|
1,0
|
1,1
|
1,2
|
1,3
|
|
1.
|
Изменение цены
|
-6765
|
7981
|
2510
|
1489
|
1058
|
821
|
670
|
|
2.
|
Изменение переменных затрат
|
775
|
923
|
1139
|
1489
|
2148
|
3852
|
18646
|
|
3.
|
Изменение постоянных затрат
|
1042
|
1191
|
1340
|
1489
|
1638
|
1787
|
1936
|
11.1 Графическое отображение зависимости точки
безубыточности от изменения различных графиков
На основе данных представленных в табл. 10 строится график зависимости
точки безубыточности от изменения цены, переменных и постоянных затрат.
Из графика следует, что изменяя цену, переменные и постоянные затраты,
можно смещать точку безубыточности и получить желаемое ее значение.
Из графика следует, что при снижении цены на 10% вполне реально
компенсировать потери увеличением объема продаж до 2510 единиц. При увеличении
цены на 12-13% невозможно компенсировать никаким увеличением объема продаж. Это
говорит о том, что на изменение объема продаж в значительной степени влияет
изменение цены. Также из графика следует, что объем продаж практически не
зависит от изменения постоянных затрат, чего нельзя сказать о переменных
затратах.
Увеличение переменных затрат на 10% также можно компенсировать
увеличением продаж до 2148 единиц.
При увеличении цены до 30% мы можем компенсировать потери, снижая объем
производства до 670 единиц (на 45%), при снижении переменных затрат до 30% мы
также можем легко компенсировать потери за счет снижения объема продаж до 775
единиц (на 52%).
Из вышесказанного следует, что при снижении цены и увеличении издержек
труднее сохранить безубыточную работу, чем при увеличении цены и снижении
издержек, т. е. точка безубыточности более чувствительна к снижению цены и
увеличению издержек.
При увеличении переменных затрат на 23% точка безубыточности лишается
смысла, поскольку стремится к бесконечности.
Подводя общие итоги, можно сказать о том, что объем реализации в
значительной степени зависит как от цены, так и от переменных издержек.
12.
Экономические показатели предприятия
Таблица 13. Абсолютные экономические показатели
|
№ п/п
|
Абсолютные показатели
|
Единица измерения
|
Величина
|
|
1.
|
Производственная мощность
|
ед./год
|
2963
|
|
2.
|
Минимальная цена
|
руб./ед.
|
4303
|
|
2.а
|
Цена реализации
|
руб./ед.
|
4907
|
|
3.
|
Объем продаж
|
руб. /год
|
14539441
|
|
4.
|
Себестоимость единицы продукции
|
руб./ед.
|
3775
|
|
5.
|
Прибыль от реализации
|
руб./год
|
3354116
|
|
6.
|
Чистая прибыль
|
руб./год
|
2521972
|
|
7.
|
Количество работающих
|
чел.
|
7
|
|
8.
|
Активы баланса
|
руб.
|
1233252
|
|
8.1.
|
Основные средства
|
руб.
|
590800
|
|
8.2.
|
Нематериальные активы
|
руб.
|
35000
|
|
8.3.
|
Оборотные активы
|
руб.
|
642452
|
|
9.
|
Акционерный капитал
|
руб.
|
810121
|
|
10.
|
Привлеченные средства (краткосрочная задолженность)
|
тыс.руб.
|
423132
|
|
11.
|
Номинал акции
|
руб./акция
|
150
|
|
12.
|
Количество акций
|
ед.
|
5400
|
|
13.
|
Ставка дивиденда
|
%
|
2,59
|
Таблица 14. Относительные экономические показатели
|
№ п/п
|
Относительные показатели
|
Формула
|
Единица измерения
|
Величина
|
|
1.
|
Объем продаж на 1 руб. активов
|
 11,8
|
|
|
|
2.
|
Объем продаж на 1 руб. оборотных средств (количество
оборо642тов)
|
 22,6
|
|
|
|
3.
|
Продолжительность одного оборота
|
дни16
|
|
|
|
4.
|
Объем продаж на одного работающего
|
руб./чел.2077063
|
|
|
|
5.
|
Прибыль от реализации на 1 руб. выручки от реализации
|
%23,06
|
|
|
|
6.
|
Прибыль от реализации на 1 руб. активов
|
%271,9
|
|
|
|
7.
|
Чистая прибыль на 1 руб. акционерного капитала
|
%311,3
|
|
|
|
8.
|
Чистая прибыль на 1 руб. активов
|
%204,5
|
|
|
Заключение
В заключение необходимо сделать вывод о допустимых условиях эффективной
работы предприятия и приемлемости полученных относительных показателей работы
предприятия по сравнению со средними их значениями.
В данной курсовой работе были выявлены приемлемые условия, необходимые
для создания предприятия акционерного типа, были определены потребности в
имуществе предприятия и источники его формирования. Также был составлен
первоначальный баланс предприятия, исходя из которого, можно судить о том, что
основным источником формирования имущества является акционерный капитал(65,7%),
краткосрочные пассивы составляют 34,3%.
В процессе выполнения курсовой работы была определена численность
работников предприятия. Численность производственных рабочих определялась по
методу трудоемкости выполняемых работ, вспомогательных рабочих - по рабочим
местам и нормам обслуживания, а численность инженерно-технических работников
устанавливалась на основе штатного расписания. Таким образом, общая численность
работников составила 7 человек.
А также была рассчитана смета затрат по статьям расходов, затем была осуществлена
увязка статей расходов с соответствующими элементами затрат и на основе этой
увязки устанавливалась сводная смета затрат на производство продукции по
экономическим элементам. Затраты по экономическому содержанию группируются по
следующим элементам: материальные затраты, которые составили 14,99% от общей
суммы затрат, затраты на оплату труда - 46,99%, отчисления на социальные нужды
- 12,21%, амортизация основных фондов - 4,41%, прочие затраты - 21,40%.
Была выявлена зависимость дивидендной ставки от уровня рентабельности
продукции и соответствующей ему цены. При уровне рентабельности 10% получили
значение дивидендной ставки 0,84%, а при30% - 2,59. На основе полученных данных
был определен минимальный уровень рентабельности(10,15%) и минимальный уровень
цены (4158 руб./ед.), т.е. такое её значение, которое обеспечивает получение
прибыли достаточной для выплаты заданного уровня дивидендной ставки.
Как было сказано выше, одним из решающих факторов, определяющим
целесообразность производства продукции является объем продаж. Для обеспечения
прибыльной работы предприятие должно обеспечить объем производства не ниже
определенного уровня. Был определен объем продаж, при превышении которого
обеспечивается безубыточная работа. Он составил 1489 единиц. Нахождение этой
величины, позволило рассчитать коэффициент финансовой устойчивости. Так как
полученный коэффициент устойчивости равен 0,49, то можно сказать о том, что
финансовое положение нашего предприятия вполне устойчивое.
Анализ экономических показателей говорит о том, что наше предприятие при
рентабельности 10,15% может производить достаточное количество продукции,
реализовывать ее на рынке и получать достаточно высокую прибыль, необходимую не
только для выплаты дивидендов, но и для развития предприятия.
Список
литературы
1.
Гражданский
кодекс Российской Федерации. Часть первая и вторая. - М.:Норма. - 555с.
2.
Налоги: Учебное
пособие / под ред. Д. Г. Черняка - М.: Финансы и статистика, 1995 - 400с.
3.
Закон Российской
Федерации «Об акционерных обществах» от 26 декабря 1995г. №208 - ФЗ.
4.
Грузинов В. П. И
др. Экономика предприятия. Учебник для вузов. - М.: Банки и биржи, ЮНИТИ, 1998.
- 535с.
5.
Экономика
предприятия: Учебник / под ред. проф. Н. А. Сафонова. - М.: «Юристъ», 1998. -
584с.
6.
Экономика
предприятия: Учебник для вузов / под ред. проф. В. Я. Горфинкеля. - М.: Банки и
биржи, ЮНИТИ, 1998. - 742с.
Положение о составе затрат. - М.: Норма.