Экономические риски в сфере государственной тарифной политики на услуги жилищно-коммунального хозяйства

  • Вид работы:
    Контрольная работа
  • Предмет:
    Эктеория
  • Язык:
    Русский
    ,
    Формат файла:
    MS Word
    1,55 Мб
  • Опубликовано:
    2013-02-18
Вы можете узнать стоимость помощи в написании студенческой работы.
Помощь в написании работы, которую точно примут!

Экономические риски в сфере государственной тарифной политики на услуги жилищно-коммунального хозяйства














Экономические риски в сфере государственной тарифной политики на услуги жилищно-коммунального хозяйства

 

Введение

Тема контрольной работы «Экономические риски в сфере государственной тарифной политики на услуги ЖКХ» по дисциплине «Экономика».

В настоящее время в Украине проводится целый комплекс реформ, связанных с построением демократии и коренным изменением социально-экономических основ общества. Переход на рыночные принципы развития предусматривает реформирование ЖКХ, которое сегодня находится в трудном положении, вызванном как повышением цен на энергоресурсы на мировом рынке, так и высокой степенью износа коммуникаций. Поэтому увеличиваются затраты на содержание сетей, что, в свою очередь, приводит к повышению отпускных цен для потребителей услуг.

В феврале 2011 г. глава представительства МВФ в Украине М. Альер отметил, что одним из условий возобновления кредитования Украины является повышение в 2012 г. цены на газ и теплоснабжение для населения, соответственно, на 32% и 56%. Это означает новый этап увеличения цен на услуги ЖКХ. Подобная политика влечет за собой снижение платежеспособности населения, рост уровня неоплат и количества домохозяйств, обращающихся за субсидиями.

Цель данной работы - определить области экономических рисков государства, связанные с повышением тарифов на услуги ЖКХ в макроэкономическом масштабе. В частности, установить пределы, до которых целесообразно повышать цены на коммунальные услуги, чтобы сохранялся положительный баланс между сборами за эти услуги и выплатами государством субсидий.


Экономические риски в сфере государственной тарифной политики на услуги ЖКХ

Термин "квартплата" был введен в СССР в 1926 г. и предусматривал плату за содержание придомовой территории, мест общего пользования и финансирование административного аппарата управлений жилищно-эксплуатационных организаций.

Исследование проблем ценообразования в ретроспективе подробно изложено в работе Н. А. Гуры, где отмечается, что общий размер затрат на оплату коммунальных услуг составлял около 2% от бюджета средней советской семьи.

Уже в 60-е годы ставки квартплаты не покрывали затрат производителей, в связи с чем они дотировались государством вплоть до распада СССР. В 1994-1995 гг. тарифы были повышены таким образом, чтобы расходы производителей покрывались населением на уровне 80%.

Поскольку значительное количество малообеспеченных семей не имели возможности самостоятельно оплачивать услуги по новым тарифам, с 1995 г. началась программа жилищных субсидий.

В 2009 г. была утверждена "Общегосударственная программа реформирования и развития жилищно-коммунального хозяйства на 2009-2014 годы".

Предварительная оценка выполнения этой программы приведена в статье И. Запатриной и Т. Лебеды, где отмечается, что финансирование ЖКХ осуществляется бессистемно, следовательно, является примером неэффективного использования бюджетных средств без ориентации на конечный результат.

Начиная с 1995 г., каждое правительство пытается реформировать систему предоставления субсидий. Последнее изменение вступило в силу 14 июля 2010 г.. При этом было утверждено, что для назначения жилищной субсидии в пределах нормы владения или пользования общей площадью жилья граждане, зарегистрированные в жилом помещении, платят 15% среднемесячного совокупного дохода.

Если среди зарегистрированных и проживающих в жилом помещении есть дети, инвалиды I или II групп, нетрудоспособные граждане и среднемесячный совокупный доход на 1 зарегистрированного не превышает 50% месячного прожиточного минимума, то размер платы за жилищно-коммунальные услуги составляет 10% среднемесячного совокупного дохода.


За последние 4 года темп роста цен на услуги ЖКХ в среднем составил почти 23% в год, тогда как минимальной и средней заработной платы - 17%, а минимальной пенсии - 13% (рис. 1).

Такое несоответствие темпов роста привело к тому, что стоимость коммунальных услуг увеличивается быстрее, чем доходы домохозяйств и, следовательно, все больше семей обращаются за субсидиями. Так, если в 2010 г. субсидии получали 605 тыс. домохозяйств, то после повышения цен в 2011 г. количество обратившихся за субсидиями увеличилось вдвое и составило 1,291 млн. домохозяйств. В свою очередь, это отразилось на динамике расходов государственного бюджета, направленных на субсидии: за год они выросли на 1,1 млрд. грн. и достигли 7 млрд. грн.

Так, общая денежная масса у, которая поступает за счет коммунальных платежей при текущем тарифе х, составляет:


где    х - тариф до повышения;

N- количество домохозяйств.

Тогда после повышения тарифа на ∆х, то есть до (х+∆х1), соответствующая сумма сборов рассчитывается по формуле

1=(х+∆х1)(N(1-β)+αβN-(1-α)βN), (2)

где    α - субсидия (доля от полной оплаты),

β - доля домохозяйств, получающих субсидии от государства.

Первое слагаемое в правой скобке представляет собой полную оплату (без субсидий),

второе - частичную оплату (субсидии),

третье - доплату от государства за тех, кому начисляются субсидии.

Таким образом, целесообразность повышения тарифов на коммунальные услуги определяется условием y1≥y,то есть

 

хN≤(х+∆х1)(1-2β(1-α))N, (3)

что дает

 (4)

Выражение в левой скобке неравенства (4) всегда больше 1, тогда как в правой - всегда меньше 1, причем, чем выше тариф на услуги ЖКХ, тем больше доля домохозяйств, для которых субсидия становится возможной.

На основе этих соотношений можно исследовать поведение функции в левой части неравенства и выяснить, при каком предельном (∆хп / х) неравенство перестает выполняться, то есть теряется смысл в дальнейшем повышении тарифов.

Для этого нужно оценить долю домохозяйств β, которые могут рассчитывать на субсидию. Для начала рассмотрим упрощенную ситуацию, когда рост тарифов происходит при практически неизменном уровне доходов граждан.

В силу этого β можно оценить следующим образом:

) согласно данным Министерства социальной политики Украины, на начало 2011 г. субсидии получали 1,7 млн. домохозяйств, что составляет 1/3 от заявок. Учитывая численность населения Украины (около 46 млн. чел.) и среднее количество членов семьи (2,6), общее число домохозяйств составляет 17,7 млн. Следовательно, β≈1,7/17,7, то есть почти 10%. Очевидно, что величина β будет больше, поскольку не все домохозяйства, на которые распространяются субсидии, их оформили;

) максимальное значение β можно установить из распределения доходов населения Украины по данным за 2010 г.. Поскольку слои населения с доходом выше медианного (приблизительно 1000 грн.) имеют крайне низкую вероятность на оформление субсидии, ограничимся левой частью распределения доходов (до медианного значения), в которой эта вероятность обратно пропорциональна величине доходов.

Таким образом, возможные значения величины β находятся в интервале от 10 до 15% с наиболее вероятным значением в 12,5%.

Второй ключевой параметр неравенства (4) - α - является размером субсидии, то есть долей оплаты коммунальных платежей.

Он распределен в интервале от 10 до 15%. Поскольку характер распределений величин β и а неизвестней, предположим, что он подчиняется нормальному распределению в заданных интервалах с наиболее вероятными значениями, соответствующими средним, то есть 12,5%.

Заметим, что β является динамической величиной, то есть растет с повышением тарифов, поскольку все больше домохозяйств будут иметь возможность получить субсидии. Каждое последующее повышение тарифов на услуги ЖКХ на 50% приводит к увеличению доли домохозяйств с субсидиями на 6,7%.

Это обусловлено тем, что доходы населения растут вплоть до медианного значения. Тогда неравенство (4) будет иметь вид:


Исследование данного неравенства было проведено методом Монте-Карло (вероятностным методом), позволяющим моделировать разные состояния системы.

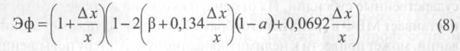
Результат 10 тыс. реализаций метода представлен на рисунке 2, из которого следует, что зависимость эффективности как функции повышения тарифов нелинейна. Она достигает своего максимума в 1,41 раза при повышении тарифов на 118% и теряет экономический смысл, если тарифы подняты более чем в 2,36 раза, где наступает зона экономических рисков для государства (эффективность становится меньше 1).

Теперь рассмотрим ситуацию, при которой повышение тарифов сопровождается ростом доходов населения. Действительно, для увеличения эффективности процесс повышения тарифов должен сопровождаться ростом заработной платы, поскольку это позволит уменьшить долю субсидируемых домохозяйств.

По этому сценарию, который, собственно, и реализуется на практике, правая скобка неравенства (5) будет содержать две новые величины:

первую - положительную, связанную с уменьшением доли домохозяйств с субсидиями | ∆β |;

вторую - отрицательную, обусловленную увеличением зарплат.


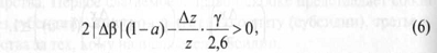
Критерием целесообразности повышения зарплат является выполнение неравенства:

Заметим, что в данном случае рост зарплат нужно учитывать только для работников бюджетной сферы и пенсионеров.

Поскольку частичное финансирование из бюджета получают почти 50% населения, то для дальнейшего анализа следует предположить, что оно будет эквивалентно приблизительно 25% населения, получающего доход только из бюджетных средств. Из неравенства (5) видно,


то в среднем за год доля субсидируемых домохозяйств сокращается за счет роста зарплат на величину:

| ∆β | =  =0,78% (7)

а = 0,125,

γ = 0,25.

Предположим, что реальное уменьшение доли домохозяйств с субсидиями в 2 раза больше, чем оцененный нами нижний предел. Тогда в правой скобке неравенства (5) появится слагаемое. Рост заработной платы  

можно выразить через повышение тарифов , поскольку известны средние темпы их роста за последние 4 года (см. рис. 1), составившие, соответственно, 14,3% и 19,5%. Таким образом, 0,72 и = 0,0692, а левая часть неравенства (5) примет вид:

и достигнет максимального значения 1,74 при кумулятивном повышении тарифа  на 188% (рисунок 3, кривая 1) против 1,41 (118%) в случае отсутствия роста зарплат (кривая 2). Следовательно, рост зарплат значительно увеличивает эффективность повышения тарифов даже при условии, что темп роста тарифов превышает темп роста зарплат.

Отметим, что помимо поэтапного роста зарплат у государства еще есть несколько способов эффективного управления повышением тарифов. Один из наиболее очевидных - введение регрессивной шкалы роста зарплат, другой - полная отмена субсидирования или постепенный отказ от этой практики. Однако данный метод (даже будучи крайне эффективным) относится к разряду непопулярных мер и вряд ли будет использован в обозримой перспективе.




Выводы

Проведенный анализ показал, что повышение тарифов на услуги ЖКХ является эффективным инструментом увеличения поступлений в бюджет государства, но до определенного предела, рассчитанного на уровне 300-350%, за которым наступает зона экономических рисков, поскольку государство будет тратить на выплату субсидий больше денежных средств, чем получать за счет высоких тарифов. При этом рост заработной платы, сопровождающийся повышением тарифов, дает более ощутимую экономическую отдачу. Для государства особенно выгодно использовать регрессивную шкалу роста зарплаты, то есть существеннее повышать зарплату тем, у кого она меньше, выводя таким образом часть домохозяйств из зоны субсидирования и одновременно уменьшая социально-экономическое неравенство в обществе.

Единственным сдерживающим фактором повышения тарифов являются государственные субсидии. Их отмена, на которой в последнее время все активнее настаивает МВФ в своих переговорах с Украиной на предмет валютных заимствований, может привести к нелимитированному характеру повышения тарифов, что, в свою очередь, грозит значительными осложнениями социально-экономического плана.

В работе проведено экономию-математическое исследование рисков государства, связанных с повышением тарифов на услуги ЖКХ; установлена нелинейная зависимость между экономической эффективностью и повышением тарифов; оценен предел, за которым наступает зона экономических рисков, поскольку государство на выплату субсидий будет тратить денежных средств больше, чем получать за счет высоких тарифов.

тарифный ценообразование жилищный коммунальный

Список источников

1.      Ефремов А.В. Финансово-экономическая основа местного самоуправления. "Науковий вісник: фінанси, банки, інвестиції" № 4, 2009, с. 9-15.

2.      Косматенко М. Перспективи реформування житлово-комунальної сфери із зміною форм власності. 36. наук, праць "Державне управління та місцеве самоврядування" № 4, 2010 (http://www.nbuv.gov.ua/portal/soc _gurn/Dums/20104/10kmmzfV.pdf <http://www.nbuv.gov.ua/portal/soc%20_gurn/Dums/20104/10kmmzfV.pdf>)

.        Гуpa Н.О. Розвиток діючої системи ціноутровення і розрахунків за послуги вЖКГ. 36. наук, праць "Реконструкція житла" № 6, 2005, с. 75-86.

.        Закон України "Про Загальнодержавну програму реформування і розвитку житлово-комунального господарства на 2009-2014 роки" № 1511 -VI від 11 червня 2009 p. (Ошибка! Недопустимый объект гиперссылки.www.zakon.rada.gov.ua <http://www.zakon.rada.gov.ua>).

.        Запатрина И., Лебеда Т. Реформирование жилищно-коммунального хозяйства в условиях макроэкономической нестабильности. "Экономика Украины" № 10, 2011, с. 16-29.

.        Постановление Кабинета Министров Украины "Про посилення соціального захисту населення під час оплати житлово-комунальних послуг" № 621, которым внесены изменения в п. 13 Положения о порядке назначения и предоставления населению субсидий и п. 1 Постановления Кабинета Министров Украины "Про новий розмір виплат на оплату житлово-комунальних послуг, придбання скрапленого газу, твердого та рідкого пічного побутового палива у разі надання житлової субсидії" № 1156 от 27 июля 1998 г.

.        Ярош О., Пушкарев А. Пути преодоления социальной несправедливости и неравенства в Украине. "Экономика Украины" № 3, 2011, с. 70-77.

.        Постановления Кабинета Министров Украины № 728 "Про внесення зміни до пункту 1 постанови Кабінету Міністрів України від 27 липня 1998 p. № 1156" и № 774 "Про удосконалення порядку призначення та надання населенню субсидій для відшкодування витрат на оплату житлово-комунальних послуг, придбання скрапленого газу, твердого та рідкого пічного побутового палива" от 6 июля 2011 г.

Похожие работы на - Экономические риски в сфере государственной тарифной политики на услуги жилищно-коммунального хозяйства

 

Не нашли материал для своей работы?
Поможем написать уникальную работу
Без плагиата!
Без нейросетей!