Экономическая оценка проектных решений по развитию объекта недвижимого имущества
МИНИСТЕРСТВО НАУКИ И ОБРАЗОВАНИЯ
РОССИЙСКОЙ ФЕДЕРАЦИИ
ФЕДЕРАЛЬНОЕ ГОСУДАРСТВЕННОЕ БЮДЖЕТНОЕ
ОБРАЗОВАТЕЛЬНОЕ УЧРЕЖДЕНИЕ
МОСКОВСКИЙ ГОСУДАРСТВЕННЫЙ
СТРОИТЕЛЬНЫЙ УНИВЕРСИТЕТ
Кафедра экономики, управления и
менеджмента в строительстве
КУРСОВАЯ РАБОТА
по дисциплине
"Управление имуществом"
на тему:
"Экономическая оценка проектных
решений по развитию объекта недвижимого имущества"
Выполнила: студентка Куприна О.И.
ЭУМС в/о, V курс, 2 группа
Приняла: доцент Полити В.В.
Москва, 2012
Содержание
1. Постановка задачи
2. Исходные данные по трем проектным решениям развития объекта
3. Анализ характеристик объекта и рыночной ситуации
3.1 Анализ местоположения объекта
3.2 Анализ ресурсного качества участка
3.3 Анализ рыночного спроса и предложений
3.4 Выводы по результатам маркетингового исследования сегментов
рынка недвижимости. Предложения по отбору проектных решений для финансовой
оценки
4. Финансовая оценка проектных решений
4.1 Доходы от аренды
4.2 Расчет финансовых результатов
4.3 Обслуживание долга
4.4 Стоимость недвижимого имущества
4.5 Расчет кассовых поступлений
4.6 Расчет дисконтированного денежного потока и основные показатели
эффективности проектного решения
5. Выводы и предложения по выбору лучшего проектного решения
6. Заключение
Библиографический список
1. Постановка
задачи
Девелоперская компания приобрела недостроенный объект
недвижимости. Однако у нового собственника возникли сомнения в доходности
объекта, если его использовать по планируемому функциональному назначению.
Для определения наилучшего и наиболее эффективного
использования объекта (ННЭИ) необходимо рассмотреть его доходность при базовом
использовании (жилое здание), затем при всех реально осуществимых
альтернативных способах.
На основании предварительной оценки возможностей функционирования
недостроенного объекта были выбраны три наиболее приемлемых варианта.
"ЖИЛОЕ ЗДАНИЕ" (базовое решение)
В строении размещаются преимущественного многоуровневые
квартиры общей площадью 13049 кв. м. на уровне улицы в здании размещаются
коммерческие помещения площадью 130 м. кв., ниже уровня улицы имеется два
подземных парковочных этажа. В здании расположено 50 квартир площадю от 100 до
400 кв. м. количество парковочных мест рассчитано на 136 автомобиля.
"КОММЕРЧЕСКО-ЖИЛОЕ ЗДАНИЕ" (новое использование)
Здание реконструируется под комплекс, включающий квартиры
площадью 8612 кв. м. площадь коммерческих помещений 1957 кв. м. в здании
запланировано 30 квартир, средняя площадь 280 м. кв. количеств парковочных мест
- 53.
"ОФИСНО-КОММЕРЧЕСКИЙ ЦЕНТР" (новое использование)
Здание переоборудуется под коммерческо-офисное здание.
Площадь коммерческих помещений 1957 кв. м. и офисных 7568 кв. м. количество
парковочных мест - 59.
недвижимое имущество экономическая оценка
Задачей является оценка экономической эффективности вариантов
с учетом доходов от аренды и продажи, затраты на ремонт и переоборудование,
амортизационных отчислений, а также затраты на его содержание и использование.
Все эти затраты возникают в период 2013-2018 г. г.
Определяются риски, связанные с инвестированием в
недвижимость.
Предварительно проводится маркетинговое исследование рынка и
дается комплексная оценка местоположения объекта. Результаты представляются в
форме SWOT-анализа по трем проектным решениям. Пишутся выводы, где дается
рекомендация по двум выбранным проектным решениям из трех рассматриваемых.
Далее проводится финансовая оценка двух выбранных проектных
решений по критерию максимальной прибыльности.
2. Исходные
данные по трем проектным решениям развития объекта
Карта объекта по адресу г. Москва, ул. Исаковского, дом 25
(масштаб 1: 40000).
Район Строгино расположен в Северо-Западном административном
округе, недалеко от МКАД, на правом берегу Москва-реки. Район занимает
территорию в 1670 гектаров. Численность проживающего здесь населения составляет
порядка 119 тысяч человек.
В районе строительства преобладают зоны жилых микрорайонов и
жилых групп многоквартирной жилой застройки. Так же рядом находятся зоны
природных и озелененных территорий, парковые зоны и река Москва.
ИСХОДНЫЕ ДАННЫЕ ПО БАЛАНСАМ ПЛОЩАДЕЙ ПРОЕКТНЫХ РЕШЕНИЙ
Данные по проекту "Жилое здание" Адрес: г. Москва,
ул. Исаковского, д.25, к.1
|
%
|
м. кв.
|
|
Коммерческие
площади
|
1
|
130
|
|
Офисные
помещения
|
0
|
0
|
|
Квартиры
|
66
|
8612
|
|
Технические
площади
|
10
|
1305
|
|
Парковочный
холл
|
23
|
3001
|
|
Высота квартир,
м
|
|
3,3
|
|
Высота
коммерческих помещений, м
|
|
3,8
|
|
Объем, м. куб.
|
|
28917
|
|
Всего площадей
|
100
|
13049
|
|
Парковочных
мест
|
136
|
|
|
|
|
|
Проект "многоэтажное блокированное жилое здание".
Блокированные одноквартирные жилые помещения. Парковочные места расположены в 2
этажах, на уровне улицы располагаются коммерческие помещения. Основной объем
здания составляют жилые квартиры, в каждой из которых имеется отдельный вход,
как со двора, так и с парковочного холла.
Данные по проекту "Коммерческо-жилое здание" и
баланс площадей
Адрес: г. Москва, ул. Исаковского, д.25, к.1
|
%
|
м. кв.
|
|
Коммерческие
площади
|
15
|
1957
|
|
Офисные
помещения
|
0
|
0
|
|
Квартиры
|
66
|
8612
|
|
Технические
площади
|
10
|
1305
|
|
Парковочный
холл
|
9
|
1174
|
|
Высота квартир,
м
|
|
3,3
|
|
Высота
коммерческих помещений, м
|
|
3,8
|
|
Объем, м. куб.
|
|
35859
|
|
Всего площадей
|
100
|
13049
|
|
Парковочных
мест
|
53
|
|
Предложение с различными сочетаниями вариантов квартир.
Парковочные места расположены на одном уровне, на уровне улицы предусматривают
большое количество разнообразных коммерческих помещений. Квартиры имеют
отдельные входы либо со двора, либо из лестничной клетки. Квартиры одно-, двух
- и четырехуровневые. Имеется лестничная, лифтовая связь с двором, как из
парковочного холла, так и с уровня улицы.
Данные по проекту "Офисно-коммерческий центр" и
баланс площадей.
Адрес: г. Москва, ул. Исаковского, д.25, к.1
|
%
|
м. кв.
|
|
Коммерческие
площади
|
15
|
1957
|
|
Офисные
помещения
|
58
|
7568
|
|
Квартиры
|
0
|
0
|
|
Технические
площади
|
17
|
2218
|
|
Парковочный
холл
|
10
|
1305
|
|
Высота офисных
помещений, м
|
|
3,3
|
|
Высота
коммерческих помещений, м
|
|
3,8
|
|
Объем, м. куб.
|
|
32414
|
|
Всего площадей
|
100
|
13049
|
|
Парковочных
мест
|
59
|
|
Вариант коммерческих помещений и офисного здания. Парковка на
одном этаже. На первом этаже много коммерческих помещений. Здание содержит, в
основном, офисы, имеющие отдельные входы со стороны улицы или с торговой
галереи. Из парковочного холла организована лифтовая и лестничная связь с
торговой галереей и частью офисов. Благодаря стоечно-балочной конструкции
здания коммерческие и офисные помещения легко могут перепланированы и разделены
на отдельные блоки.
3. Анализ
характеристик объекта и рыночной ситуации
3.1 Анализ
местоположения объекта
При анализе местоположения участка следует учитывать две
основные характеристики: окружение и доступность. А именно следует дать описание
преобладающего в данном районе типе землепользования; доступность.
· Поэтому необходимо провести анализ
следующих факторов:
· тип окружающего землепользования;
· Транспортная доступность;
· Экологическое состояние района;
· Социальная репутация;
· Криминогенная ситуация в районе;
· Инфраструктура.
Принятый в рассматриваемом районе тип землепользования - это
тип окружающей его недвижимости.
Судя по карте территориального планирования города Москвы
интересующий нас объект по адресу улица Исаковского, дом 25, находится в
составе зон жилых микрорайонов и жилых групп многоквартирной жилой застройки.
Данный факт имеет огромное значение при принятии решения о дальнейшем
функциональном назначении объекта.
|
№
|
факторы
|
оценка
|
влияние
|
|
1
|
Расположение
вблизи промышленных объектов
|
Вблизи объекта
нет промышленного производства
|
+
|
|
2
|
Плотность,
высотность и внешняя привлекательность окружающей застройки
|
Плотность
застройки в районе расположения объекта высокая. Здания находятся друг от
друга на большом расстоянии. Дома одинакового типа высотой в 16 этажей.
|
+
|
|
3
|
Состояние
фасадов
|
Фасады
большинства зданий в непосредственной близости от объекта в отличном
состоянии и не требуют реконструкции
|
+
|
|
4
|
Наличие вблизи
объекта зон озеленения и водных объектов
|
Объект
расположен рядом с зоной озеленения. Вблизи находится берег р. Москва и
водохранилище Троице-Лыковская пойма.
|
+
|
|
Результат: все
факторы имеют положительное влияние на исследуемый объект.
|
На видовые характеристики исследуемого участка негативное
влияние оказывают такие факторы, как наличие в непосредственной близости
неоднородной разновысотной застройки, высока плотность застройки и
неудовлетворительное состояние фасадов исторических зданий вблизи участка.
Однако существенными плюсами будут являться наличие зоны озеленения и
приморской зоны, расположение в исторической части города рядом с большим
количеством памятников архитектуры, а также отсутствие вблизи участки зон
промышленного назначения.
Вывод: для жилой недвижимости видовые характеристики участка
оцениваются положительно.
Оценка пешеходной доступности
Пешеходная доступность определяется наличием каких-либо
препятствий на пути следования пешеходных потоков до исследуемого объекта от
расположенных вблизи исследуемого объекта жилых массивов, остановок
общественного транспорта, железнодорожных станций, а также других объектов.
Основные пешеходные поток будут проходить:
Ø От метро Строгино;
Ø От ближайших остановок
городского транспорта;
|
№
|
факторы
|
оценка
|
влияние
|
|
1
|
Наличие на пути
следования пешеходных потоков, способных затруднить движение пешеходов
(зеленые массивы, промышленные объектов, железнодорожные пути, охраняемые
объекты пр.)
|
На пути
следования пешеходных потоков каких-либо объектов, существенно препятствующих
пешеходному движению нет.
|
+
|
|
2
|
Наличие
наземных и подземных регулируемых и нерегулируемых пешеходных переходов на
пути следования пешеходных потоков
|
На протяжении
всех маршрутов следования пешеходов существуют наземные регулируемые и
нерегулируемые пешеходные переходы.
|
+
|
|
3
|
Наличие
пешеходных асфальтированных тротуаров по пути следования пешеходных
маршрутов, а также состояния их покрытия
|
Вдоль всех
маршрутов следования пешеходных потоков есть асфальтированные пешеходные тротуары,
состояние их покрытия оценивается как хорошее.
|
+
|
|
4
|
Наличие на пути
следования пешеходных потоков и интенсивного транспортного движения
|
Автомобильное
движение на пути следования пешеходных потоков высокой интенсивности
|
-
|
|
Результат:
преобладание положительно влияющих факторов
|
+
|
Оценка доступности объекта общественным
транспортом (наличие вблизи остановок маршрутов общественного транспорта)
Для недвижимости жилого назначения одним из наиболее значимых
факторов является хорошая доступность общественными транспортом.
Наземный общественный транспорт
Доступность объекта наземным общественным транспортом
определяется следующими факторами
|
№
|
факторы
|
оценка
|
влияние
|
|
1
|
Наличие в
непосредственной близости от объекта остановок наземного общественного
транспорта
|
Объект
расположен вблизи остановок наземного общественного транспорта (автобус и
трамвай)
|
+
|
|
2
|
Количество
маршрутов наземного общественного транспорта, проходящих через ближайшие
остановки
|
Через ближайшие
остановки ходят 11 общественного транспорта
|
+
|
|
3
|
Частота
следования маршрутов
|
Частота
следования маршрутов высокая. Интервал движения 8-25 мин
|
+
|
|
4
|
Наличие в
непосредственной близости от объекта остановок подземного общественного
транспорта (метро)
|
В пешеходной
доступности (1,2 км) расположена станция метро Строгино
|
+
|
|
Результат:
преобладание положительно влияющих факторов
|
+
|
Вывод: в целом доступность общественным транспортом
оценивается как отличная.
Оценка транспортной доступности объекта
Удобство транспортной доступности объекта оказывает существенное
влияние на привлекательность и стоимость объектов недвижимости.
Наиболее важными факторами транспортной доступности являются:
|
№
|
факторы
|
оценка
|
влияние
|
|
11
|
Расстояние до
основных магистралей города
|
2 км до МКАД
|
+
|
|
22
|
Загруженность
прилегающих транспортных магистралей
|
Загруженность
оценивается как высокая
|
-
|
|
33
|
Удобство и
хорошее качество подъездных путей
|
Удобство
подъездных путей оценивается как хорошее Качество подъездных путей
оценивается как хорошее
|
+
|
|
44
|
Обеспеченность
достаточным количеством парковочных мест в непосредственной близости от
объекта
|
На исследуемом
участке возможно размещение ограниченного количества парковочных мест для
легковых автомобилей
|
-
|
|
Результат:
преобладание положительно влияющих факторов
|
+
|
Вывод: Объект находится в непосредственной близости от
основной магистрали города. Загруженность оценивается как высокая, однако
данная особенность характерна для всего города. Удобство и качество подъездных
путей оценивается как хорошее.
Таким образом, транспортная доступность объекта оценивается
как хорошая.
Оценка общего имиджа района
Для более точной оценки влияния местоположения на будущий
объект недвижимости необходимо также учитывать общий имидж район расположении
объекта. Для разных видов недвижимости один и тот же район может иметь
различный имидж в силу того, что на жилую и коммерческую недвижимость один и
тот же фактор может оказывать как положительное, так и отрицательное значение.
Общий имидж района для жилья оценивается на основе следующих
факторов:
|
№
|
факторы
|
оценка
|
влияние
|
|
1
|
Активность
строительства в районе
|
Оценивается как
невысокая
|
+
|
|
2
|
Удаленность от
центра города
|
Объект
расположен вдали от центра города
|
+
|
|
3
|
Развитость
социальной и культурно-досуговой инфраструктуры района
|
Оценивается как
высокая
|
+
|
|
4
|
Развитость
деловой сферы района
|
Оценивается как
высокая
|
+
|
|
5
|
Наличие
промышленных объектов
|
В
непосредственной близости к исследуемому объекту нет промышленных объектов
|
+
|
|
6
|
Уровень
экологического и шумового загрязнения района
|
Уровень низкий
|
+
|
|
7
|
Наличие зеленых
массивов
|
Объект
расположен вблизи от природных охраняемых объектов
|
+
|
|
8
|
Близость к
водным объектам
|
р. Москва,
водохранилище Троице-Лыковская пойма
|
+
|
|
9
|
Однородность
застройки
|
Однородная
застройка высокоэтажными домами
|
+
|
|
10
|
Уровень
существующих и планируемых объектов недвижимости жилого назначения
|
Класс
"бизнес"
|
+
|
|
11
|
Качество
существующей и планируемой застройки района
|
В районе
расположения объекта преобладают дома новой постройки, не нуждающиеся в
реконструкции.
|
+
|
|
12
|
Транспортная
доступность
|
Оценивается как
хорошая
|
+
|
|
Результат:
преобладание положительно влияющих факторов
|
+
|
Экологическое состояние района
Рост количества автомобилей в городе, появление и исчезновение
свалок и других захоронений, развитие инфраструктуры районов, и многие другие
факторы каждый год вносят свои корректировки в экологическую карту Москвы. Даже
количество выпавшего за зиму снега оказывает влияние на экологическую
благополучность района, где находится предприятие по перетапливанию убранных с
улиц города снега.
По карте можно увидеть, что экологическое состояние района
Строгино близко к наилучшим значениям по всей Москве.
Криминогенная ситуация в районе
Оценивая квартиры в разных районах Москвы
<#"601225.files/image007.gif">
3.3 Анализ
рыночного спроса и предложений
На данном этапе анализируется спрос на каждый вариант
использования объекта. Это предполагает интенсивное изучение спроса
потенциальных клиентов, то есть определение так называемого целевого рынка -
тех пользователей, которые, скорее всего, могут купить или арендовать данный
вид недвижимости.
Анализ спроса на жилую недвижимость
По данным Всероссийской переписи населения 2010 года
население города Москвы составляет 11,5 млн человек. Среди них мужчин 5,3 млн,
женщин - 6,1 млн.
Средний душевой доход в г. Москве в 2011 г по данным Росстата
составил 46 350 р.
Постоянно меняющийся рынок недвижимости Московского региона
требует тщательного изучения и детального анализа. Понимание основных тенденций
отрасли и законов рынка позволяет принимать стратегически верные решения и быть
на шаг впереди конкурентов.
В мае на рынке новостроек Москвы отмечалось оживление -
открывались продажи в новых корпусах в уже реализуемых проектах, выходили новые
объекты и выставлялись дополнительные объемы квартир. В итоге спрос на
новостройки Москвы относительно прошлого года увеличился на треть.
В связи с началом продаж новых объектов на низком этапе
строительства и выходом дополнительных объемов в уже реализуемых объектах в мае
наблюдалось снижение стоимости кв. м. Средняя стоимость кв. м составила 174,4
тыс. руб., что на 1,7% ниже средней стоимости в апреле.
По данным компании "НДВ-Недвижимость", в мае отмечалась
высокая деловая активность на рынке первичной недвижимости Москвы. В течение
месяца на рынок выходили новые проекты, открывались продажи в корпусах уже
известных масштабных проектов, также возобновлялись продажи в ранее
"замороженных" проектах. Происходившие изменения послужили причиной
увеличения общего объема предложения на рынке новостроек.
Наибольшую долю (73%) в структуре предложения новостроек занимают
объекты, средняя стоимость квадратного метра которых варьируется от 100 до 200
тыс. руб.
Покупательский интерес к новостройкам Москвы относительно
аналогичного периода прошлого года демонстрирует рост. Спрос в мае 2012 г.
увеличился на 30% относительно мая предыдущего года.
Общая структура спроса не претерпела существенных изменений. Так,
наиболее востребованными остаются доступные предложения однокомнатных и
двухкомнатных квартир, на которые приходится 52% и 33%, соответственно. Доля
трехкомнатных и многокомнатных квартир в общей структуре спроса по комнатности
не превышает 15%.
Средняя стоимость кв. м в новостройках эконом-класса не претерпела
существенных изменений и составила 138 878 руб. Цены в новостройках комфорт - и
бизнес-класса за счет выхода новых объемов сократились. Так, средняя стоимость
кв. м в комфорт-классе составила 138 571 руб., в бизнес-классе - около 196 890
руб.
SWOT-анализ проекта "Жилое здание"
|
Положительное
влияние
|
Отрицательное
влияние
|
|
Внутренняя
среда
|
Сильные стороны
|
Слабые стороны
|
|
Объект
находится в экологически чистом районе Рядом с объектом находится большая
зона отдыха Развитая инфраструктура района Строительство экологически вредных
объектов не планируется, потому что рядом находится особо охраняемая
природная зона.
|
Более
востребовано жилье эконом-класса Повышение конкуренции за счет
"размораживания" недостроенных объектов
|
|
Внешняя среда
|
Возможности
|
Угрозы
|
|
Создание
благоприятных условий для жизни В зоне объекта находится большое количество
образовательных учреждений, торговых и развлекательных центров, что создает
дополнительное преимущество В районе не ведется новое строительство, т.е. нет
конкуренции
|
Возможные
трудности при реализации больших площадей
Анализ спроса на офисную недвижимость
Рынок купли-продажи офисных помещений можно охарактеризовать
ситуацией относительного затишья, ввиду политической и экономической
неопределенности в стране с конца 2011 - начала 2012 гг.
Рынок офисных помещений Москвы демонстрирует относительный баланс
между спросом и предложением. Цены продажи и ставки аренды на рынке офисной
недвижимости Москвы продолжают оставаться стабильными.
Лишь по некоторым высоколиквидным объектам в Центральном
административном округе произошло небольшое увеличение арендных платежей на
5-7% в 1 кв. 2012 г. Это было связано с повышенным спросом на качественные
офисные помещения с удачным местоположением и качественной технической
оснащенностью.
По итогам 1 кв. 2012 года рынок офисной недвижимости Москвы
пополнился только тремя офисными объектами, объем площадей которых в 2 раза
ниже показателя за аналогичный период прошлого года. Если тенденция ввода
объема офисных площадей продолжится в текущем темпе, то в перспективе 2-3 лет
существует опасность возникновения дефицита качественных офисных помещений в
Москве.
Уровень поглощения офисных площадей по результатам 1 кв. 2012 г.
(90 000 кв. м) является ниже, чем аналогичный показатель прошлого года. В
центральном, западном и юго-западном округах наблюдается наибольший спрос на
помещения. В связи с возросшим спросом на качественные офисные помещения в ЦАО,
например, сложился недостаток офисных площадей от 100 до 200 кв. м.
Только 20-30% из всех заявок арендаторов приводят к реальным
сделкам. Так как большинство обращений носят маркетинговый характер, и они
направлены на улучшение условий по текущим договорам. Как правило, в
большинстве случаев поиск приводит к продлению текущих договоров.
В целом, введенные максимальные ограничения на строительство
офисов в центре приведут к тому, что рынок будет более децентрализован. Причем
новое предложение в большей степени будет сконцентрировано в западных и
северно-западных округах, как наиболее престижных для офисного девелопмента, а
также в направлении "новой Москвы".
Перенос министерств и ведомств за пределы центра Москвы освободит
большое количество офисных помещений, однако говорить о значительном увеличении
предложения в этом сегменте пока рано, так как возможно некоторые здания
"отдадут" под гостиницы.
Вкупе с увеличивающимися арендными ставками в центре и при
дальнейшем ограничении предложения, это приведет к оттоку новых арендаторов и
покупателей из центра столицы к периферии.
Учитывая ограничение на новое строительство в ЦАО, ставки на
высококачественные офисы продолжат свой рост, возможно боле высокими темпами,
чем в среднем по рынку.
В 2012 г. в среднем по рынку можно ожидать небольшого роста ставок
в сегменте офисной недвижимости (на 3-5%).
По данным Федеральной службы государственной статистики, во
II квартале 2011 г., в Москве отмечается увеличение количества новых
организаций. Как заметили специалисты, причиной положительной динамики стало
преобладание числа количества новых зарегистрированных компаний над количеством
ушедших с рынка организаций. По статистическим данным на июль 2011 г.
зарегистрировано 32,5 тыс. новых компаний, количество официально
ликвидированных компаний составило 30,7 тысячи.
SWOT-анализ проекта "Офисно-коммерческий
центр"
|
Положительное
влияние
|
Отрицательное
влияние
|
|
Внутренняя
среда
|
Сильные стороны
|
Слабые стороны
|
|
Престижное
расположение объекта (после ЦАО) Близость транспортных магистралей
|
Расположение
объекта вдали от центра
|
|
Внешняя среда
|
Возможности
|
Угрозы
|
|
Запрет
строительства в центре, что может повлечь интерес арендаторов к периферийным
объектам Снижение количества новых офисных помещений из-за запрета
строительства в центре Положительная динамика роста новых компаний на рынке
|
Спрос на офисные
помещения в центре города Нестабильность экономической ситуации (возможная
"вторая волна" кризиса) Сбалансированность рынка
|
Вывод: спрос на офисные здания переносится как раз за пределы
ТТК и вблизи транспортных развязок, это является плюсом выбора варианта
строительства офиса в данном районе, но необходимо учесть существующее
предложение на рынке, которое может удовлетворить спрос и нестабильную ситуацию
в экономике, которая уменьшает появление новых компаний.
Анализ спроса на коммерческую недвижимость:
Оборот розничной торговли в Москве в 2011 г. увеличился на
6,6% по сравнению с 2010 г. - до 3 322 млрд руб. На 80,3% оборот розничной
торговли был сформирован торгующими организациями, на 19,7% - продажей товаров
на вещевых, смешанных и продовольственных рынках.
Общее предложение торговых (арендопригодных) площадей в
качественных ТЦ столицы по итогам 1 кв. 2012 г. составило 4 190 тыс. кв. м.
Обеспеченность качественными торговыми площадями составляет около 363 кв. м GLA
на 1 000 жителей. 1 кв. 2012 продолжил тенденции прошлого года, а именно:
Снижение объема ввода новых объектов.
Увеличение масштабности заявляемых к строительству проектов. В
начале года было заявлено о строительстве сразу трех крупных проектов - ТЦ Романа
Абрамовича рядом со "Сколково" на 100 тыс. кв. м, Vegas Crocus City (283 00/100 000 кв. м) и Vegas Кунцево
(231 000/ 113 000 кв. м), девелопер Crocus Group.
Перенос сроков открытия ТЦ (с февраля 2012 г. на лето перенесено
открытие ТЦ "МЦ").
Продолжается децентрализация рынка. В 2012 г. будут введены первые
Outlet-центры. Уровень вакантных площадей снизился и на конец 1 кв. 2012 г. в
целом по рынку составил около 3,5%. До сих пор уровень вакантных площадей может
сильно различаться в зависимости от уровня и качества ТЦ.
По-прежнему, наиболее активными среди торговых операторов уже
несколько лет остаются крупные продуктовые сети - именно они заявляют о самых
больших программах развития на 2012 год.
SWOT-анализ проекта "Коммерческо-жилое здание"
|
Положительное
влияние
|
Отрицательное
влияние
|
|
Внутренняя
среда
|
Сильные стороны
|
Слабые стороны
|
|
Расположение
объекта в месте высокой проходимости Объект находится в экологически чистом
районе Рядом с объектом находится большая зона отдыха Развитая инфраструктура
района Строительство экологически вредных объектов не планируется, потому что
рядом находится особо охраняемая природная зона.
|
Более
востребовано жилье эконом-класса Повышение конкуренции за счет
"размораживания" недостроенных объектов
|
|
Внешняя среда
|
Возможности
|
Угрозы
|
|
Повышение
доходов населения Близость от транспортных магистралей Создание благоприятных
условий для жизни В зоне объекта находится большое количество образовательных
учреждений, торговых и развлекательных центров, что создает дополнительное преимущество
|
Возможные
трудности при реализации больших площадей Конкуренция может привести к
снижению цены на коммерческие помещения.
|
3.4 Выводы по
результатам маркетингового исследования сегментов рынка недвижимости.
Предложения по отбору проектных решений для финансовой оценки
Итак, нам предстоит выбрать из трех вариантов два. По итогу
маркетинговых исследований можно составить примерный рейтинг проектов.
|
Проект
|
Плюсы
|
Минусы
|
Среднее
|
|
Жилое здание
|
6
|
3
|
3
|
|
Офисно-коммерческое
здание
|
5
|
4
|
1
|
|
Коммерческое-жилое
здание
|
8
|
4
|
4
|
Примечание: плюсами считаем сильные стороны и
возможности, минусами - слабые стороны и угрозы по итогам SWOT-анализа.
Проведем финансовую оценку двух проектных решений и определим
самый доходный вариант. Планируется в течение 6 лет сдавать объект в аренду,
затем продать его по рыночной цене. В процессе расчетов необходимо провести
дисконтирование денежных потоков, с учётом инфляции и ставки рефинансирования
ЦБ РФ.
Последний этап конкурса на звание ННЭИ - максимальная
прибыльность. Она означает, что данный вариант принесет наибольший доход. Из
всех финансово целесообразных вариантов наилучшим и наиболее эффективным
признается использование, которое обеспечит максимальный возврат капитала
(чистую текущую стоимость объекта или чистый доход).
Исходные данные о рыночной ситуации
|
№ п/п
|
Показатели
|
Ед. изм.
|
Прогнозный
период (по годам)
|
|
|
|
2013
|
2014
|
2015
|
2016
|
2017
|
2018
|
|
1
|
Изменение
затрат (прогноз)
|
%
|
-
|
5
|
4
|
6
|
8
|
8
|
|
2
|
Рост стоимости
недвижимого имущества (прогноз)
|
%
|
-
|
11
|
11
|
12
|
13
|
14
|
|
3
|
Изменение
арендных ставок (прогноз)
|
%
|
-
|
13
|
13
|
12
|
12
|
12
|
|
4
|
Степень
занятости арендаторами (жилые помещения)
|
%
|
-
|
65
|
70
|
75
|
89
|
98
|
|
5
|
Степень
занятости арендаторами (офисные помещения)
|
%
|
-
|
80
|
80
|
85
|
90
|
95
|
|
6
|
Степень
занятости арендаторами (коммерческие помещения)
|
%
|
-
|
80
|
83
|
86
|
89
|
92
|
|
7
|
Степень
занятости арендаторами (парковочные места)
|
|
-
|
90
|
90
|
95
|
100
|
100
|
|
Данные по
стоимости аренды за базовый год, у. д. е. /кв. м. (без НДС и операц.
расходов)
|
|
8
|
Уровень арендой
платы (жилые помещения)
|
у. д. е. /м. кв
|
560
|
633
|
715
|
801
|
897
|
1005
|
|
9
|
Уровень арендой
платы (офисные помещения)
|
у. д. е. /м. кв
|
815
|
921
|
1041
|
1166
|
1305
|
1462
|
|
10
|
Уровень арендой
платы (коммерческие помещения)
|
у. д. е. /м. кв
|
970
|
1096
|
1239
|
1387
|
1554
|
1740
|
|
11
|
Уровень арендой
платы (парковочные места)
|
у. д. е. /м. кв
|
1750
|
1978
|
2235
|
2503
|
2803
|
3139
|
|
12
|
Цена продажи
квартир
|
у. д. е. /м. кв
|
6120
|
6793
|
7540
|
8445
|
9543
|
10879
|
|
13
|
Цена продажи
офисных помещений
|
у. д. е. /м. кв
|
6130
|
6804
|
7553
|
8459
|
9559
|
10897
|
|
14
|
Цена продажи
коммерческих помещений
|
у. д. е. /м. кв
|
6957
|
7722
|
8572
|
9600
|
10848
|
12367
|
|
15
|
Цена продажи
парковочных мест
|
у. д. е. /м. кв
|
48050
|
53336
|
59202
|
66307
|
74927
|
85416
|
|
16
|
Обслуживание и
текущий ремонт жилья
|
у. д. е. /м. кв
|
42
|
44
|
45
|
48
|
52
|
56
|
|
17
|
Обслуживание и
текущий ремонт офисных и коммерческих зданий
|
у. д. е. /м. кв
|
91
|
95
|
99
|
105
|
113
|
122
|
Исходные данные для трех вариантов проектных
решений
|
№ п/п
|
Показатели
|
Ед. изм.
|
Жилое здание
|
Комбинированное
коммерческо-жилое здание
|
Офисно-коммерческое
здание
|
|
1
|
Площадь этажа
здания
|
м. кв
|
13049
|
13049
|
13049
|
|
2
|
Величина амортизационных
отчислений
|
% в год
|
3,2
|
3,2
|
3,2
|
|
3
|
Арендная плата
за участок
|
у. д. е. /год
|
22700
|
22700
|
23100
|
|
4
|
Цена продажи
недвижимости (в начале прогнозного периода) перед реконструкцией
|
1000 у. д. е.
|
12670
|
12670
|
12670
|
|
5
|
Инвестиционные
затраты в начале прогнозного периода (работы по реконструкции или ремонту)
|
1000 у. д. е.
|
11033
|
16549
|
20963
|
|
6
|
Бухгалтерская
стоимость недвижимости после проведения реконструкции
|
1000 у. д. е.
|
23703
|
29219
|
33633
|
|
7
|
Арендуемые или
продаваемые площади (жилые помещения)
|
м2
|
8612
|
8612
|
-
|
|
8
|
Арендуемые или
продаваемые площади (коммерческие помещения)
|
м2
|
130
|
1957
|
1957
|
|
9
|
Арендуемые или
продаваемые площади (офисные помещения)
|
м2
|
-
|
7292
|
7568
|
|
10
|
Арендуемые или
продаваемые парковочные места
|
шт.
|
136
|
53
|
59
|
Исходные данные о финансировании объектов
|
Показатели
|
Ед. изм.
|
Жилое здание
|
Комбинированное
коммерческо-жилое здание
|
Офисно-коммерческий
центр
|
|
Налог на
прибыль
|
%
|
20
|
20
|
20
|
|
Доля
привлеченного капитала в инвестиционных затратах
|
%
|
35%
|
25%
|
15%
|
|
Время выплаты
привлеченного капитала
|
лет
|
10
|
10
|
10
|
|
Погашение долга
за привлеченный капитал равными долями
|
1000 у. д. е.
/год
|
386,2
|
413,7
|
314
|
|
Доля
собственного капитала в инвестиционных затратах
|
%
|
65%
|
75%
|
85%
|
Проведем финансовую оценку трех проектных решений и определим
самый доходный вариант. Планируется в течение 6 лет сдавать объект в аренду,
затем продать его по рыночной цене. В процессе расчетов необходимо провести
дисконтирование денежных потоков, с учетом инфляции и ставки рефинансирования
ЦБ РФ.
4. Финансовая
оценка проектных решений
4.1 Доходы от
аренды
ПРОЕКТ 1
|
Показатели
|
Единица
измерения
|
Годы
|
|
|
2013
|
2014
|
2015
|
2016
|
2017
|
2018
|
|
1. Жилые
помещения
|
|
|
|
|
|
|
|
|
Площадь,
приносящая доход
|
м2
|
|
5598
|
6029
|
7665
|
8440
|
|
Доходы от
аренды
|
у. д. е. /м2
|
560
|
633
|
715
|
801
|
897
|
1005
|
|
Доходы
|
1000 у. д. е.
/м2
|
|
3542
|
4311
|
5173
|
6875
|
8479
|
|
2.
Коммерческие помещения
|
|
|
|
|
|
|
|
|
Площадь,
приносящая доход
|
|
|
104
|
108
|
112
|
116
|
120
|
|
Доходы от
аренды
|
у. д. е. /м2
|
970
|
1096
|
1239
|
1387
|
1554
|
1740
|
|
Доходы
|
1000 у. д. е.
/м2
|
|
114
|
134
|
156
|
180
|
209
|
|
3. Парковка
|
|
|
|
|
|
|
|
|
Площадь,
приносящая доход
|
|
|
122
|
122
|
129
|
136
|
136
|
|
Доходы от
аренды
|
у. д. е. /м2
|
1750
|
1978
|
2235
|
2503
|
2803
|
3139
|
|
Доходы
|
1000 у. д. е.
/м2
|
|
242
|
274
|
323
|
381
|
427
|
|
Всего доходы от
аренды:
|
1000 у. д. е.
/м2
|
|
3899
|
4719
|
5652
|
7437
|
9115
|
ПРОЕКТ 2
|
Показатели
|
Единица измерения
|
Годы
|
|
|
2013
|
2014
|
2015
|
2016
|
2017
|
2018
|
|
1. Жилые
помещения
|
|
|
|
|
|
|
|
|
Площадь,
приносящая доход
|
м2
|
|
5598
|
6029
|
6459
|
7665
|
8440
|
|
Доходы от
аренды
|
у. д. е. /м2
|
560
|
633
|
715
|
801
|
897
|
1005
|
|
Доходы
|
1000 у. д. е.
/м2
|
|
3542
|
4311
|
5173
|
6875
|
8479
|
|
2.
Коммерческие помещения
|
|
|
|
|
|
|
|
|
Площадь,
приносящая доход
|
|
|
1566
|
1625
|
1683
|
1742
|
1801
|
|
Доходы от
аренды
|
у. д. е. /м2
|
970
|
1096
|
1239
|
1387
|
1554
|
1740
|
|
Доходы
|
1000 у. д. е.
/м2
|
|
1716
|
2012
|
2335
|
2707
|
3134
|
|
3. Парковка
|
|
|
|
|
|
|
|
|
Площадь,
приносящая доход
|
|
|
48
|
48
|
50
|
53
|
53
|
|
Доходы от
аренды
|
у. д. е. /м2
|
1750
|
1978
|
2235
|
2503
|
2803
|
3139
|
|
Доходы
|
1000 у. д. е.
/м2
|
|
94
|
107
|
126
|
149
|
166
|
|
Всего доходы от
аренды:
|
1000 у. д. е.
/м2
|
|
5353
|
6430
|
7634
|
9730
|
11779
|
ПРОЕКТ 3
|
показатели
|
Единица
измерения
|
Годы
|
|
|
2013
|
2014
|
2015
|
2016
|
2017
|
2018
|
|
Офисные
помещения
|
|
|
|
|
|
|
|
|
Площадь,
приносящая доход
|
м2
|
|
6055
|
6055
|
6433
|
6812
|
7190
|
|
Доходы от
аренды
|
у. д. е. /м2
|
815
|
921
|
1041
|
1166
|
1305
|
1462
|
|
Доходы
|
1000 у. д. е.
/м2
|
|
5576
|
6301
|
7498
|
8892
|
10512
|
|
2.
Коммерческие помещения
|
|
|
|
|
|
|
|
|
Площадь,
приносящая доход
|
|
|
1566
|
1625
|
1683
|
1742
|
1801
|
|
Доходы от
аренды
|
у. д. е. /м2
|
970
|
1096
|
1239
|
1387
|
1554
|
1740
|
|
Доходы
|
1000 у. д. е.
/м2
|
|
1716
|
2012
|
2335
|
2707
|
3134
|
|
3. Парковка
|
|
|
|
|
|
|
|
|
Площадь,
приносящая доход
|
|
|
53
|
53
|
56
|
59
|
59
|
|
Доходы от
аренды
|
у. д. е. /м2
|
1750
|
1978
|
2235
|
2503
|
2803
|
3139
|
|
Доходы
|
1000 у. д. е.
/м2
|
|
105
|
119
|
140
|
165
|
185
|
|
Всего доходы от
аренды:
|
1000 у. д. е.
/м2
|
|
7397
|
8432
|
9974
|
11764
|
13831
|
4.2 Расчет
финансовых результатов
ПРОЕКТ 1
|
Показатели
|
Единица
измерения
|
Годы
|
|
|
|
2013
|
2014
|
2015
|
2016
|
2017
|
2018
|
|
Доходы от
аренды
|
1000 у. д. е.
/м2
|
|
3899
|
4719
|
5652
|
7437
|
9115
|
|
Арендная плата
за участок
|
1000 у. д. е.
/м2
|
-23
|
-25
|
-28
|
-31
|
-35
|
-40
|
|
Техническое
обслуживание и текущий ремонт
|
1000 у. д. е.
/м2
|
|
-254
|
-284
|
-322
|
-411
|
-488
|
|
Процент за
привлеченный капитал
|
1000 у. д. е.
/м2
|
-550
|
-550
|
-495
|
-440
|
-385
|
-330
|
|
Оперативный
чистый доход
|
1000 у. д. е.
/м2
|
-573
|
3070
|
3911
|
4858
|
6606
|
8257
|
1000 у. д. е.
/м2
|
711
|
711
|
711
|
711
|
711
|
711
|
|
Финансовый
результат перед уплатой налога
|
1000 у. д. е.
/м2
|
-1284
|
2358
|
3200
|
4147
|
5894
|
7546
|
|
Налог на
прибыль
|
1000 у. д. е.
/м2
|
-257
|
472
|
640
|
829
|
1179
|
1509
|
|
Финансовый
результат после уплаты налога
|
1000 у. д. е.
/м2
|
-1027
|
1887
|
2560
|
3318
|
4716
|
6037
|
ПРОЕКТ 2
|
Показатели
|
Единица измерения
|
Годы
|
|
|
|
2013
|
2014
|
2015
|
2016
|
2017
|
2018
|
|
Доходы от
аренды
|
1000 у. д. е.
/м2
|
|
5353
|
6430
|
7634
|
9730
|
11779
|
|
Арендная плата
за участок
|
1000 у. д. е.
/м2
|
-23
|
-25
|
-28
|
-31
|
-35
|
-40
|
|
Техническое
обслуживание и текущий ремонт
|
1000 у. д. е.
/м2
|
|
-393
|
-434
|
-487
|
-595
|
-693
|
|
Процент за
привлеченный капитал
|
1000 у. д. е.
/м2
|
-590
|
-590
|
-531
|
-472
|
-413
|
-354
|
|
Оперативный
чистый доход
|
1000 у. д. е.
/м2
|
-612
|
4346
|
5437
|
6645
|
8688
|
10692
|
|
Равномерная
амортизация недвижимости, 3%
|
1000 у. д. е.
/м2
|
877
|
877
|
877
|
877
|
877
|
877
|
|
Финансовый
результат перед уплатой налога
|
1000 у. д. е.
/м2
|
-1489
|
3469
|
4561
|
5768
|
7811
|
9815
|
|
Налог на
прибыль
|
1000 у. д. е.
/м2
|
-298
|
694
|
912
|
1154
|
1562
|
1963
|
|
Финансовый
результат после уплаты налога
|
1000 у. д. е.
/м2
|
-1191
|
2775
|
3649
|
4614
|
6249
|
7852
|
ПРОЕКТ 3
|
Показатели
|
Единица
измерения
|
Годы
|
|
|
2013
|
2014
|
2015
|
2016
|
2017
|
2018
|
|
Доходы от
аренды
|
1000 у. д. е.
/м2
|
|
7397
|
8432
|
9974
|
11764
|
13831
|
|
Арендная плата
за участок
|
1000 у. д. е.
/м2
|
-23
|
-26
|
-28
|
-32
|
-36
|
-41
|
|
Техническое
обслуживание и текущий ремонт
|
1000 у. д. е.
/м2
|
|
-724
|
-759
|
-850
|
-968
|
-1099
|
|
Процент за
привлеченный капитал
|
1000 у. д. е.
/м2
|
-448
|
-448
|
-403
|
-358
|
-314
|
-269
|
|
Оперативный
чистый доход
|
1000 у. д. е.
/м2
|
-471
|
6200
|
7241
|
8733
|
10447
|
12423
|
|
Равномерная
амортизация недвижимости, 3%
|
1000 у. д. е.
/м2
|
1009
|
1009
|
1009
|
1009
|
1009
|
1009
|
|
Финансовый
результат перед уплатой налога
|
1000 у. д. е.
/м2
|
-1480
|
5191
|
6232
|
7724
|
9438
|
11414
|
|
Налог на
прибыль
|
1000 у. д. е.
/м2
|
-296
|
1038
|
1246
|
1545
|
1888
|
2283
|
|
Финансовый
результат после уплаты налога
|
1000 у. д. е.
/м2
|
-1184
|
4152
|
4986
|
6179
|
7550
|
9131
|
4.3
Обслуживание долга
ПРОЕКТ 1
|
Показатели
|
Единица
измерения
|
Годы
|
|
|
|
2013
|
2014
|
2015
|
2016
|
2017
|
2018
|
|
Заемный капитал
в начале года
|
1000 у. д. е
|
3862
|
3862
|
3475
|
3089
|
2703
|
2317
|
|
Погашение долга
в конце года
|
1000 у. д. е
|
-
|
386
|
386
|
386
|
386
|
386
|
|
Заемный капитал
в конце года
|
1000 у. д. е
|
-
|
3475
|
3089
|
2703
|
2317
|
1931
|
|
Уплата
процентов от стоимости в начале года - 14,25%
|
1000 у. д. е
|
550
|
550
|
495
|
440
|
385
|
330
|
ПРОЕКТ 2
|
Показатели
|
Единица
измерения
|
Годы
|
|
|
|
2013
|
2014
|
2015
|
2016
|
2017
|
2018
|
|
Заемный капитал
в начале года
|
1000 у. д. е
|
4137
|
4137
|
3724
|
3310
|
2896
|
2482
|
|
Погашение долга
в конце года
|
1000 у. д. е
|
-
|
414
|
414
|
414
|
414
|
414
|
|
Заемный капитал
в конце года
|
1000 у. д. е
|
-
|
3724
|
3310
|
2896
|
2482
|
2069
|
|
Уплата
процентов от стоимости в начале года - 14,25%
|
1000 у. д. е
|
590
|
590
|
531
|
472
|
413
|
354
|
Проект 3
|
Показатели
|
Единица
измерения
|
Годы
|
|
|
2013
|
2014
|
2015
|
2016
|
2017
|
2018
|
|
Заемный капитал
в начале года
|
1000 у. д. е
|
3144
|
3144
|
2830
|
2516
|
2201
|
1887
|
|
Погашение долга
в конце года
|
1000 у. д. е
|
-
|
314
|
314
|
314
|
314
|
314
|
|
Заемный капитал
в конце года
|
1000 у. д. е
|
-
|
2830
|
2516
|
2201
|
1887
|
1572
|
|
Уплата
процентов от стоимости в начале года - 14,25%
|
1000 у. д. е
|
448
|
448
|
403
|
358
|
314
|
269
|
4.4 Стоимость
недвижимого имущества
ПРОЕКТ 1
|
Показатели
|
2018 г.
|
|
Цена продажи
недвижимого имущества в конце 2018 г.
|
32002
|
|
(16000 х 1,05
х 1,06 х 1,07 х 1,07 х 1,08)
|
|
|
Бухгалтерская
стоимость
|
20148
|
|
(16000 - 5 х
800)
|
|
|
Налогооблагаемая
часть от цены продажи
|
11854
|
|
Налог,
уплачиваемый с прибыли от продажи
|
-2371
|
|
Цена продажи
недвижимости в конце 2018 г.
|
32002
|
|
Уплачиваемый
налог
|
-2371
|
|
Выплата долга
за привлеченный капитал
|
-1931
|
|
Чистые кассовые
поступления от цены продажи недвижимости, 1000 у. д. е. /м2
|
27701
|
ПРОЕКТ 2
|
Показатели
|
|
Цена продажи
недвижимого имущества в конце 2018 г.
|
39449
|
|
(16000 х 1,05
х 1,06 х 1,07 х 1,07 х 1,08)
|
|
|
Бухгалтерская
стоимость
|
24836,15
|
|
(16000 - 5 х
800)
|
|
|
Налогооблагаемая
часть от цены продажи
|
14613
|
|
Налог,
уплачиваемый с прибыли от продажи
|
-2923
|
|
Цена продажи
недвижимости в конце 2018 г.
|
39449
|
|
Уплачиваемый
налог
|
-2923
|
|
Выплата долга
за привлеченный капитал
|
-2069
|
|
Чистые кассовые
поступления от цены продажи недвижимости, 1000 у. д. е. /м2
|
34458
|
ПРОЕКТ 3
|
Показатели
|
2018 г.
|
|
Цена продажи
недвижимого имущества в конце 2018 г.
|
45409
|
|
(16000 х 1,05
х 1,06 х 1,07 х 1,07 х 1,08)
|
|
|
Бухгалтерская
стоимость
|
28588,05
|
|
(16000 - 5 х
800)
|
|
|
Налогооблагаемая
часть от цены продажи
|
16821
|
|
Налог,
уплачиваемый с прибыли от продажи
|
-3364
|
|
Цена продажи
недвижимости в конце 2018 г.
|
45409
|
|
Уплачиваемый
налог
|
-3364
|
|
Выплата долга
за привлеченный капитал
|
-1572
|
|
Чистые кассовые
поступления от цены продажи недвижимости, 1000 у. д. е. /м2
|
40473
|
4.5
Расчет кассовых поступлений
ПРОЕКТ 1
|
Показатели
|
На начало 2013
г.
|
Годы
|
|
|
|
2013
|
2014
|
2015
|
2016
|
2017
|
2018
|
|
Начальная
стоимость недвижимости
|
-12670
|
|
|
|
|
|
|
|
Инвестиции в
строительство
|
-11033
|
|
|
|
|
|
|
|
Заем (35% от
нач. стоимости)
|
3861,55
|
|
|
|
|
|
|
|
Погашение займа
|
|
|
-386
|
-386
|
-386
|
-386
|
-386
|
|
Годовые
финансовые результаты после уплаты налога
|
|
-1027
|
1887
|
2560
|
3318
|
4716
|
6037
|
|
Амортизационные
отчисления, 3%
|
|
|
711
|
711
|
711
|
711
|
711
|
|
Цена продажи
недвижимости
|
|
|
|
|
|
|
32002
|
|
Налог с продаж
|
|
|
|
|
|
|
-2371
|
|
Платежи по
займу
|
|
|
|
|
|
|
-1931
|
|
Кассовые
поступления, 1000 у. д. е.
|
-19841,45
|
-1027,24
|
2211,72
|
2885,18
|
3642,84
|
5040,52
|
34062,07
|
ПРОЕКТ 2
|
Показатели
|
На начало 2013
г.
|
Годы
|
|
|
|
2013
|
2014
|
2015
|
2016
|
2017
|
2018
|
|
Начальная
стоимость недвижимости
|
-12670
|
|
|
|
|
|
|
|
Инвестиции в
строительство
|
-16549
|
|
|
|
|
|
|
|
Заем (35% от
нач. стоимости)
|
4137,25
|
|
|
|
|
|
|
|
Погашение займа
|
|
|
-414
|
-414
|
-414
|
-414
|
-414
|
|
Годовые
финансовые результаты после уплаты налога
|
|
-1191
|
2775
|
3649
|
4614
|
6249
|
7852
|
|
Амортизационные
отчисления, 3%
|
|
|
877
|
877
|
877
|
877
|
877
|
|
Цена продажи
недвижимости
|
|
|
|
|
|
|
39449
|
|
Налог с продаж
|
|
|
|
|
|
|
-2923
|
|
Платежи по
займу
|
|
|
|
|
|
|
-2069
|
|
Кассовые
поступления, 1000 у. д. е.
|
-25082
|
-1191
|
3238
|
4111
|
5077
|
6712
|
42773
|
ПРОЕКТ 3
|
Показатели
|
На начало 2013
г.
|
Годы
|
|
|
2013
|
2014
|
2015
|
2016
|
2017
|
2018
|
|
Начальная
стоимость недвижимости
|
-12670
|
|
|
|
|
|
|
|
Инвестиции в
строительство
|
-20963
|
|
|
|
|
|
|
|
Заем (35% от
нач. стоимости)
|
3144,45
|
|
|
|
|
|
|
|
Погашение займа
|
|
|
-314
|
-314
|
-314
|
-314
|
-314
|
|
Годовые
финансовые результаты после уплаты налога
|
|
-1184
|
4152
|
4986
|
6179
|
7550
|
9131
|
|
Амортизационные
отчисления, 3%
|
|
|
1009
|
1009
|
1009
|
1009
|
1009
|
|
Цена продажи
недвижимости
|
|
|
|
|
|
|
45409
|
|
Налог с продаж
|
|
|
|
|
|
|
-3364
|
|
Платежи по
займу
|
|
|
|
|
|
|
-1572
|
|
Кассовые
поступления, 1000 у. д. е.
|
-30489
|
-1184
|
4847
|
5680
|
6874
|
8245
|
50298
|
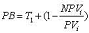
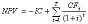
4.6 Расчет
дисконтированного денежного потока и основные показатели эффективности
проектного решения
,
где: d - норма дисконта; h - равномерный темп инфляции за один шаг; r - рисковая премия, %.
где: СFt - денежные потоки; i - ставка дисконта; n - число периодов
Для нашего проектного решения примем процентную ставку i= 10%+8%+2%= 20%
ПРОЕКТ 1
|
Показатели
|
Расчетные
значения (по периодам)
|
|
На начало года
2013
|
На конец года
2013
|
На конец года
2014
|
На конец года
2015
|
На конец года
2016
|
На конец года
2017
|
На конец года
2018
|
|
Период
планирования (t), годы
|
0
|
1
|
2
|
3
|
4
|
5
|
6
|
|
Дисконтный
множитель при i=20%
|
1,00
|
0,83
|
0,69
|
0,58
|
0,48
|
0,40
|
0,33
|
|
(1+i) t
|
|
|
|
|
|
|
|
|
Денежный поток
(CF)
|
-19841
|
-1027
|
2212
|
3643
|
5041
|
34062
|
|
Дисконтированный
денежный поток (PV)
|
-19841
|
-856
|
1536
|
1670
|
1757
|
2026
|
11407
|
|
Накопленный
дисконтированный денежный поток
|
-
|
-20697
|
-19162
|
-17492
|
-15735
|
-13709
|
-2302
|
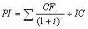
Чистый дисконтированный доход (NPV)
|
Индекс
рентабельности инвестиций (PI)
|
|
|
отсутствует
|
|
|
|
|
|
Срок
окупаемости проекта (PB)
|
|
|
отсутствует
|
|
|
|
|
В данном проектном решении при принятом коэффициенте
дисконтирования (i=20%) точка окупаемости проектного решения находится за
горизонтом планирования (свыше 6 лет от начала строительства объекта). Чистый
дисконтированный доход на конец 2018 года - отрицательная величина, поэтому
индекс рентабельности не рассчитывается. Следовательно, можно пересчитать
коэффициент дисконтирования или увеличить горизонт планирования до момента,
когда ЧДД становится неотрицательной величиной. Кроме того, можно пересмотреть
исходные данные по проектному решению и увеличить арендные ставки по площадям.
При условии, что причины инфляции будут в будущем
минимизированы, и сама инфляция будет незначительна, а риски в объекты
недвижимости также невелики, можно принять дисконтную ставку i= 6%+3%+1%= 9% и
пересчитать показатели проектного решения "Жилой дом".
ПРОЕКТ 1 (продолжение)
|
Показатели
|
Расчетные
значения (по периодам)
|
|
На начало года
2013
|
На конец года
2013
|
На конец года
2014
|
На конец года
2015
|
На конец года
2016
|
На конец года
2017
|
На конец года
2018
|
|
Период
планирования (t), годы
|
0
|
1
|
2
|
3
|
4
|
5
|
6
|
|
Дисконтный
множитель при i=9%
|
1,000
|
0,917
|
0,842
|
0,772
|
0,708
|
0,650
|
0,596
|
|
(1+i) t
|
|
|
|
|
|
|
|
|
Денежный поток
(CF)
|
-19841
|
-1027
|
2212
|
2885
|
3643
|
5041
|
34062
|
|
Дисконтированный
денежный поток (PV)
|
-19841
|
-942
|
1862
|
2228
|
2581
|
3276
|
20310
|
|
Накопленный
дисконтированный денежный поток
|
-
|
-20784
|
-18922
|
-16694
|
-14114
|
-10838
|
9472
|
|
Чистый
дисконтированный доход (NPV)
|
9472
|
|
|
|
|
|
|
|
Индекс
рентабельности инвестиций (PI)
|
0,52
|
|
|
|
|
|
|
|
Срок
окупаемости проекта (PB)
|
5,53
|
|
|
|
|
|
|
ПРОЕКТ 2
|
Показатели
|
Расчетные
значения (по периодам)
|
|
На начало года
2013
|
На конец года
2013
|
На конец года
2014
|
На конец года
2015
|
На конец года
2016
|
На конец года
2017
|
На конец года
2018
|
|
Период
планирования (t), годы
|
0
|
1
|
2
|
3
|
4
|
5
|
6
|
|
Дисконтный
множитель при i=20%
|
1,00
|
0,83
|
0,69
|
0,58
|
0,48
|
0,40
|
0,33
|
|
(1+i) t
|
|
|
|
|
|
|
|
|
Денежный поток
(CF)
|
-25082
|
-1191
|
3238
|
4111
|
5077
|
6712
|
42773
|
|
Дисконтированный
денежный поток (PV)
|
-25082
|
-993
|
2249
|
2379
|
2449
|
2697
|
14325
|
|
Накопленный
дисконтированный денежный поток
|
-
|
-26074
|
-23826
|
-21446
|
-18998
|
-16301
|
-1976
|
|
Чистый
дисконтированный доход (NPV)
|
1976
|
Индекс рентабельности инвестиций (PI)
|
отсутствует
|
|
|
Срок
окупаемости проекта (PB)
|
|
отсутствует
|
|
Показатели
|
Расчетные
значения (по периодам)
|
|
На начало года
2013
|
На конец года
2013
|
На конец года
2014
|
На конец года
2015
|
На конец года
2016
|
На конец года
2017
|
На конец года
2018
|
|
Период
планирования (t), годы
|
0
|
1
|
2
|
3
|
4
|
5
|
6
|
|
Дисконтный
множитель при i=9%
|
1,000
|
0,917
|
0,842
|
0,772
|
0,708
|
0,650
|
0,596
|
|
(1+i) t
|
|
|
|
|
|
|
|
|
Денежный поток
(CF)
|
-25082
|
-1191
|
3238
|
4111
|
5077
|
6712
|
42773
|
|
Дисконтированный
денежный поток (PV)
|
-25082
|
-1093
|
2725
|
3175
|
3597
|
4362
|
25504
|
|
Накопленный
дисконтированный денежный поток
|
-
|
-26174
|
-23449
|
-20274
|
-16677
|
-12315
|
13189
|
|
Чистый
дисконтированный доход (NPV)
|
|
|
|
13189
|
|
|
|
|
Индекс
рентабельности инвестиций (PI)
|
0,47
|
|
|
|
|
|
|
|
Срок
окупаемости проекта (PB)
|
|
|
|
5,48
|
|
|
|
ПРОЕКТ 3
|
Показатели
|
Расчетные
значения (по периодам)
|
|
На начало года
2013
|
На конец года
2013
|
На конец года
2014
|
На конец года
2015
|
На конец года
2016
|
На конец года
2017
|
На конец года
2018
|
|
Период
планирования (t), годы
|
0
|
1
|
2
|
3
|
4
|
5
|
6
|
|
Дисконтный
множитель при i=20% (1+i) t
|
1,00
|
0,83
|
0,69
|
0,58
|
0,48
|
0,40
|
0,33
|
|
Денежный поток
(CF)
|
-30489
|
-1184
|
4847
|
5680
|
6874
|
8245
|
50298
|
|
Дисконтированный
денежный поток (PV)
|
-30489
|
-987
|
3366
|
3287
|
3315
|
3313
|
16845
|
|
Накопленный
дисконтированный денежный поток
|
-
|
-31475
|
-28109
|
-24822
|
-21507
|
-18194
|
-1349
|
|
Чистый
дисконтированный доход (NPV)
|
|
|
|
-1349
|
|
|
|
|
Индекс
рентабельности инвестиций (PI)
|
|
|
|
отсутствует
|
|
|
|
|
Срок
окупаемости проекта (PB)
|
|
|
|
отсутствует
|
|
|
|
|
Показатели
|
Расчетные
значения (по периодам)
|
|
На начало года
2013
|
На конец года
2013
|
На конец года
2014
|
На конец года
2015
|
На конец года
2016
|
На конец года
2017
|
На конец года
2018
|
|
Период
планирования (t), годы
|
0
|
1
|
2
|
3
|
4
|
5
|
6
|
|
Дисконтный
множитель при i=9% (1+i) t
|
1,000
|
0,917
|
0,842
|
0,772
|
0,708
|
0,650
|
0,596
|
|
Денежный поток
(CF)
|
-30489
|
-1184
|
4847
|
5680
|
6874
|
8245
|
50298
|
|
Дисконтированный
денежный поток (PV)
|
-30489
|
-1086
|
4080
|
4386
|
4870
|
5358
|
29991
|
|
Накопленный
дисконтированный денежный поток
|
-
|
-31575
|
-27495
|
-23109
|
-18239
|
-12881
|
17110
|
|
Чистый
дисконтированный доход (NPV)
|
|
|
|
17110
|
|
|
|
|
Индекс
рентабельности инвестиций (PI)
|
|
|
|
0,44
|
|
|
|
|
Срок
окупаемости проекта (PB)
|

|
|
5,43
|
|
|
|
ИТОГОВАЯ ТАБЛИЦА ПО РЕЗУЛЬТАТАМ ФИНАНСОВОЙ ОЦЕНКИ
ПРОЕКТНЫХ РЕШЕНИЙ
|
№ п\п
|
показатели
|
Ед изм.
|
|
|
|
|
Жилое здание
|
Коммерческо-жилое
здание
|
|
1
|
Цена продажи
объекта
|
1000 у. е. д.
|
32002
|
39449
|
|
2
|
Выплата долга
за привлеченный капитал
|
1000 у. е. д.
|
1931
|
2069
|
|
3
|
Чистые кассовые
поступления от продажи недвижимости
|
1000 у. д. е.
/м кв
|
27701
|
34458
|
|
4
|
Индекс
рентабельности
|
|
0,52
|
0,47
|
|
5
|
Чистый
дисконтированный доход
|
1000. у. д. е
|
9472
|
13189
|
|
6
|
Срок окупаемости
|
год
|
5,53
|
5,48
|
1. 5. Выводы и
предложения по выбору лучшего проектного решения
Оценка перспектив развития района застройки и
рынка недвижимости
Рассмотрев три проектных решения по развитию объекта
недвижимого имущества жилое здание, комбинированное коммерческо-жилое здание и
офисно-коммерческий центр, делаем следующие выводы:
. Наиболее привлекательным с финансовой точки зрения
является проект офисно-коммерческого центра. Но, учитывая результаты SWOT-анализа можно сделать
вывод о высокой степени риска этого решения.
2. Из оставшихся двух проектов можно выбрать наиболее
выгодный и с низким уровнем риска - коммерческо-жилое здание, которое окупится
через 5,5 лет и принесет доход 13 189 000 у. д. е.
6. Заключение
В данной курсовой работе мы рассмотрели 3 проектных решения
по развитию объекта недвижимого имущества:
· Многоэтажное блокированное жилое здание
· Коммерческо-жилое здание
· Офисно-коммерческое здание
Были проведены исследования тенденций на рынке офисных
помещений, торговой недвижимости и жилья, ситуация на данный момент по спросу и
предложению, ценам. Рассмотрены характеристики района Филёвский парк и основные
характеристики участка застройки (видовые характеристики, пешеходная
доступность, транспортная доступность и т.д.), на основе этих исследований
составили SWOT-анализ по каждому проекту, определили сильные и слабые стороны,
а так же возможности и угрозы. По этим результатам, а так же по результатам
экономических расчетов определили, что наиболее выгодным будет строительство 2
проекта здания.
В целом была проведена большая аналитическая работа,
расчетная часть, сформулированы выводы и достигнута конечная цель - выбор
обоснованного проектного решения.
Библиографический
список
1. Методические
указания по выполнению курсовой работы по дисциплине "Управление
имуществом", МГСУ, Москва, 2011
2. Источники
Интернет: сайты Росстата, Москомархитектуры, аналитических фирм.
Похожие работы на - Экономическая оценка проектных решений по развитию объекта недвижимого имущества
|