Физика и химия волокон

  • Вид работы:
    Контрольная работа
  • Предмет:
    Химия
  • Язык:
    Русский
    ,
    Формат файла:
    MS Word
    129,79 Кб
  • Опубликовано:
    2013-03-29
Вы можете узнать стоимость помощи в написании студенческой работы.
Помощь в написании работы, которую точно примут!

Физика и химия волокон

Министерство образования и науки Российской Федерации

Федеральное государственное автономное образовательное учреждение

высшего профессионального образования

«Российский государственный профессионально-педагогический университет»

Институт искусств

Кафедра дизайна одежды






Контрольная работа

по дисциплине

«Физика и химия волокон»

Вариант № 5


Исполнитель

Студент гр. ЗДК-313

Паюсова А.В.

Доцент Поляк Д. А.



Екатеринбург 2013

Вариант №5

1.   Рассмотрите классификацию углеводородов. Заполните таблицу. В таблице для каждого гомологического ряда углеводородов укажите общую формулу, название гомологического ряда, а также структурные формулы и названия первых трех членов гомологического ряда.

Приведите структурные формулы и названия четырех гомологов бутина-2.

2.   Рассмотрите классификацию органических соединений, Заполните таблицу. В таблице для каждого типа функциональных производных углеводородов (класса органических соединений) укажите формулу и название функциональной группы, общую формулу и название класса органических соединений, а также структурные формулы и названия трех соединений данного класса.

Приведите структурные формулы и названия производных этановой (уксусной) кислоты по карбоксильной группе.

3.   Реакции полимеризации. Приведите примеры пяти реакций полимеризации, укажите названия мономеров, полимеров, области применения полимеров.

4.   Реакции поликонденсации. Рассмотрите три примера реакций поликонденсации, приведите уравнения реакций, названия мономеров, полимеров, укажите области применения полимеров.

5.   Классификация полимеров в зависимости от строения цепи: линейные, разветвленные, сшитые. Приведите схемы реакций полимеризации этилена, приводящих к образованию полимеров линейного и разветвленного строения.

6.   Особенности свойств полимеров: неоднородность по молекулярной массе, нерегулярность по химическому строению. Понятие о стереорегулярных полимерах (на примере полипропилена).

7.   Понятие о волокне. Рассмотрите классификацию волокон, приведите примеры волокон различных видов. Охарактеризуйте натуральный шелк (нахождение в природе, химическое строение, свойства, применение).

8.   Химические волокна, общие принципы производства искусственных волокон. Ацетатное волокно, химическое строение, получение, свойства.

углеводород полимеризация ацетатное волокно

1. Классификация углеводородов

№ п/п

Общая формула

Название гомологического ряда

Примеры соединений




Структурная формула

Название

1 1

CnH2n+2

Алканы

CH4 CH3-CH3 CH3-CH2-CH3

метан этан пропан

2

CnH2n

Алкены

CH3-C= CH2 +H CH3-C- CH3

изобутелен трет-булкатион

3

CnH2n-2

Алкадиены

СН2=С=СН2 CH2=CH-CH=CH2 CH2=CH-CH2-CH=CH2

пентрадиент

4

CnH2n-2

Алкины

CnH2n+2  CmH2m + CpH2p+2 CH3-CH2

гексан этил


. Функциональные производные углеводородов

Функциональная Группа

Класс органических соединений

Примеры соединений

Формула

Название

Формула

Названия

Структурные формулы

Названия

-OH

Гидроксильная группа

R-OH

спирты

CH3-OH CH3-CH2-OH CH3-CH2-CH2-OH

метанол этанол пропанол-1

Карбоновые кислоты

R-C-OH

Уксусная кислота

CH3COOCH3 CH3-CH2-OH CH3COOCH2CH3

муравьиная кислота этанол этил


3. Реакции полимеризации

Полимеризация может инициироваться катионами или анионами (ионами). Ионная полимеризация включает те же стадии (инициирование, рост цепи, обрыв цепи). Инициаторами катионной полимеризации могут быть H+, неорганические апротонные кислоты SnCl4, AlCl3, металлоорганические соединения Al(C2H5)3. Инициаторами анионной полимеризации обычно служат электронодонорные соединения (щелочные металлы, их алкоголяты и т. д.).

Катионная полимеризация:

 <#"600899.files/image003.gif">

+ <#"600899.files/image005.gif">

и т. д.

Анионная полимеризация:

 <#"600899.files/image007.gif"> <#"600899.files/image008.gif">

+ <#"600899.files/image010.gif">

рост цепи

+ <#"600899.files/image010.gif"> обрыв цепи

В первом случае происходит реакция гомополимеризации - соединение молекул одного мономера, во втором - реакция сополимеризации - соединение молекул двух и более исходных веществ. Полимеризация может осуществляться между разными мономерами. Такие соединения называют сополимерами. В табл. приведены примеры полимеров и сополимеров, получаемых реакцией полимеризации.

Особенности

Особые механические свойства:

эластичность - способность к высоким обратимым деформациям при относительно небольшой нагрузке (каучуки);

малая хрупкость стеклообразных и кристаллических полимеров (пластмассы, органическое стекло);

способность макромолекул к ориентации под действием направленного механического поля (используется при изготовлении волокон и плёнок).

Особенности растворов полимеров: высокая вязкость раствора при малой концентрации полимера;

растворение полимера происходит через стадию набухания.

Особые химические свойства:

способность резко изменять свои физико-механические свойства под действием малых количеств реагента (вулканизация каучука, дубление кож и т. п.).

Особые свойства полимеров объясняются не только большой молекулярной массой, но и тем, что макромолекулы имеют цепное строение и обладают гибкостью.

Классификация

По химическому составу все полимеры подразделяются на органические, элементоорганические, неорганические.

·              Органические полимеры.

·              Элементоорганические полимеры. Они содержат в основной цепи органических радикалов неорганические атомы (Si, Ti, Al), сочетающиеся с органическими радикалами. В природе их нет. Искусственно полученный представитель - кремнийорганические соединения.

Следует отметить, что в технических материалах часто используют сочетания разных групп полимеров. Это композиционные материалы (например, стеклопластики <#"600899.files/image002.gif"> <#"600899.files/image015.gif"> <#"600899.files/image016.gif"> <#"600899.files/image017.gif"> <#"600899.files/image018.gif"> <#"600899.files/image019.gif"> <#"600899.files/image020.gif"> <#"600899.files/image021.gif"> <#"600899.files/image018.gif"> <#"600899.files/image020.gif"> <#"600899.files/image022.gif"> <#"600899.files/image023.gif"> <javascript:flash_open('./vrml/izotakt.wrl', '%D0%B8%D0%B7%D0%BE%D1%82%D0%B0%D0%BA%D1%82_%D0%BF%D0%BE%D0%BB%D0%B8%D0%BC%D0%B5%D1%80', '400', '240>

·             
или строго очередно по одну и другую стороны от этой плоскости (синдиотактические полимеры)

 <javascript:flash_open('./vrml/sindio.wrl', '%D1%81%D0%B8%D0%BD%D0%B4%D0%B8%D0%BE%D1%82%D0%B0%D0%BA%D1%82_%D0%BF%D0%BE%D0%BB%D0%B8%D0%BC%D0%B5%D1%80', '400', '240>

Стереорегулярные полимеры способны кристаллизоваться, они обладают большей прочностью и теплостойкостью.

Если боковые заместители в макромолекулах располагаются в беспорядке относительно плоскости основной цепи, то такой полимер является стереонерегулярным или атактическим.

Влияние [Н2] на ПТР полипропилена

При концентрации [Н2] от 0,5 до 2,5 % скорость процесса полимеризации

увеличивается на 30-40 %. Это можно объяснить максимальным насыщением

поверхности TiCl3 и образованием новых активных центров.

Как уже указывалось выше, стереорегулярный полипропилен растворяется при повышенных температурах ( 100 - 160 С) в различных растворителях, в частности в тетралине, декалине, высококипящей ( 120 - 180 С) фракции керосина и в других неполярных растворителях. Используя растворители, можно получить концентрированные вязкие растворы, содержащие 25 - 30 % полимера, из которых можно формовать волокно сухим или мокрым способом. Естественно, что для испарения этих растворителей в шахту прядильной машины должен подаваться воздух или инертный газ, нагретый до 150 - 200 С. Осадительная ванна содержит спирт или ацетон. Решающее значение для большинства свойств стереорегулярного полипропилена имеет не только процентное содержание кристаллической фракции, но и та форма, в которой она присутствует в образце. Для полипропилена, как и большинства других кристаллических полимеров, характерно возникновение в процессе кристаллизации микроскопических кристаллических образований - сферолитов, размеры которых существенно влияют на ударную вязкость полимера, оптические свойства и проницаемость для различных веществ. К числу кристаллизующихся полимеров относятся полиэтилен политетрафторэтилен, стереорегулярные полипропилены, полистирол, некоторые полиамиды и сложные полиэфиры. Высокая степень кристалличности полиэтилена и, в особенности, стереорегулярного полипропиленаобеспечивает этим поли-олефинам ряд ценных свойств, таких, как повышенная прочность, повышенная температура плавления и др. Отсюда понятен интерес, проявляемый в последние годы к изучению реакции полимеризации других полиолефинов в присутствии стереоспе-цифических катализаторов.

. Химические волокна

Ацетатные волокна - один из основных видов искусственных волокон; получают из ацетилцеллюлозы <#"600899.files/image025.gif">

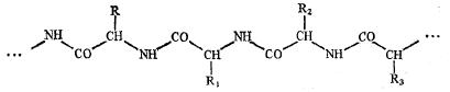
Фиброин шелка не содержит серосодержащих аминокислот, поэтому межмолекулярное взаимодействие представлено главным образом водородными связями и силами Ван-дер-Ваальса и небольшим количеством солевых связей. Молекулярная масса фиброина шелка, по последним данным, 80 000-90 000. Вследствие отсутствия громоздких боковых цепей фиброин шелка имеет более высокую степень кристалличности, чем кератин шерсти, и более высокую степень ориентации его макромолекул. Рентгеноструктурным анализом было установлено, что для полипептидной цепи фиброина характерна p-конфигурация (т. е. форма вытянутого зигзага):


Хотя в целом свойства фиброина шелка подобны свойствам кератина шерсти, одновременно имеются и некоторые различия, что связано с различным аминокислотным составом и строением этих двух волокон.

Натуральный шелк обладает гидрофильными свойствами, в воде сильно набухает, при этом его поперечные размеры увеличиваются на 16-18%. Кондиционная влажность натурального шелка 10,5-11 %

Разбавленные органические кислоты шелк не разрушают даже при нагревании. При кратковременной обработке разбавленными растворами органических кислот шелк приобретает характерные блеск и гриф (скрип на ощупь), что используют в химической технологии при проведении операции оживления. При повышении концентрации, температуры и продолжительности воздействия начинается деструкция волокна вследствие кислотного гидролиза полипептидных связей.

Гидролиз протекает по тому же механизму, что и у кератина шерсти.

К щелочам натуральный шелк неустойчив, особенно при нагревании. При кипячении в 3 %-м растворе NaOH в течение 15-20 мин шелк полностью разрушается, а продукты распада переходят в раствор. Это объясняется щелочным гидролизом пептидных связей, который протекает вплоть до образования аминокислот.

Так же как и шерсть, шелк обладает амфотерными свойствами. В кислой среде он приобретает избыточный положительный заряд, а в щелочной - отрицательный. Изоэлектрическая точка фиброина лежит в интервале значений pH от 3,5 до 4. Кислотная емкость у фиброина ниже, чем у шерсти, и составляет 0,2-0,3 г*экв./кг, что объясняется меньшим содержанием в фиброине шелка функциональных амино- и карбоксильных групп.

Фиброин шелка нерастворим в органических растворителях, но растворяется в медно-аммиачном, щелочном медно-глицериновом растворах, в этилендиамиковом растворе гидроксида меди. Эти растворы используют для вискозиметрических измерений при определении степени повреждения натурального шелка под действием различных реагентов.

К действию восстановителей натуральный шелк устойчив, что позволяет использовать их для беления.

Более чувствителен шелк к действию окислителей, особенно хлорсодержащих, таких, как газообразный хлор, гипохлорит натрия, хлорноватистая кислота. Под действием хлорсодержащих окислителей даже очень низких концентраций происходит пожелтение и повреждение волокна. К кислородсодержащим окислителям, например пероксиду водорода, он более устойчив и не разрушается при действии разбавленных растворов. Ho при повышении концентрации пероксида водорода и повышении температуры может произойти разрушение волокна. Для беления натурального шелка применяют главным образом пероксид водорода.

Особенностью натурального шелка является его низкая устойчивость к атмосферным воздействиям вследствие низкой устойчивости к фотохимическому окислению. При инсоляции в летнее время в течение 200 ч натуральный шелк теряет 50 % своей прочности. Особенно он чувствителен к действию ультрафиолетовых лучей с длиной волны 250-335 нм.

При нагревании до температуры не выше 140 °C натуральный шелк устойчив. Он начинает разрушаться при температуре 160-170 °C.

Полезные свойства натурального шёлка

·              Причины популярности шелковых тканей кроются в уникальных свойствах шелковой нити. Ведь по своей природе натуральный шелк состоит на 97 % из волокнистых протеинов и 18 аминокислот, положительно влияющих на физическое и психическое здоровье человека.

·              Одно из самых ценных свойств шелка - терморегуляция. В жару натуральный шелк «холодит», а зимой прекрасно держит тепло. При этом изделия из шелка отлично впитывают влагу.

·              Научно доказано, что в шелке не заводятся сапрофиты или пылевые клещи. Именно поэтому людям, страдающим аллергией, великолепно подойдут любые вещи из натурального шелка.

·              Неоднократно проводившиеся исследования доказали, что одежда из шелка и постельные принадлежности способны обеспечивать профилактику таких болезней, как артрит и ревматизм, сердечно-сосудистые и кожные заболевания, простуда и грипп.

·              По своей структуре шелк очень похож на кожу человека и отлично помогает процессу регенерации. Шелк успокаивает сухую раздраженную кожу.


Не нашли материал для своей работы?
Поможем написать уникальную работу
Без плагиата!
Без нейросетей!