|
n
|
|
|
0
|
y(0)=h(0)*x(0)+h(1)*x(-1)+…=1*1=1
|
|
1
|
y(1)=h(0)*x(1)+h(1)*x(0)+…=1*1+2*1=1+2=3
|
|
2
|
y(2)=h(0)*x(2)+h(1)*x(1)+h(2)*x(0)+…=1*0+2*1+2*1=4
|
|
3
|
y(3)=h(0)*x(3)+h(1)*x(2)+h(2)*x(1)+h(3)*x(0)=1*0+2*0+2*1+3*1=5
|
|
4
|
y(4)=h(0)*x(4)+h(1)*x(3)+h(2)*x(2)+h(3)*x(1)+h(4)*x(0)+…=1*1+2*0+2*0+3*1+1*1=1+3+1=5
|
|
5
|
y(5)=h(0)*x(5)+h(1)*x(4)+h(2)*x(3)+h(3)*x(2)+h(4)*x(1)+h(5)*x(0)=1*0+2*1+2*0+3*0+1*1+0=2+1=3
|
|
6
|
y(6)=h(0)*x(6)+h(1)*x(5)+h(2)*x(4)+h(3)*x(3)+h(4)*x(2)+h(5)*x(1)+h(6)*x(0)=0+2*0+2*1+3*0+1*0+0+0=2
|
|
7
|
y(7)=h(0)*x(7)+h(1)*x(6)+h(2)*x(5)+h(3)*x(4)+h(4)*x(3)+h(5)*x(2)+h(6)*x(1)+h(7)*x(0)=0+0+0+3*1+0+0+0+0=3
|
|
8
|
y(8)=h(0)*x(8)+h(1)*x(7)+h(2)*x(6)+h(3)*x(5)+h(4)*x(4)+h(5)*x(3)+h(6)*x(2)+h(7)*x(1)+h(8)*x(0)=0+0+0+0+1*1+0+0+0=1
|
|
9
|
y(9)=h(0)*x(9)+h(1)*x(8)+h(2)*x(7)+h(3)*x(6)+h(4)*x(5)+h(5)*x(4)+h(6)*x(3)+h(7)*x(2)+h(8)*x(1)+h(9)*x(0)=0
|
{y(n)}={1,3,4,5,5,3,2,3,1,0}
Рисунок 1 - Дискретная свёртка {y(n)}
Рисунок 2 - Дискретная
последовательность отсчётов сигнала {x(n)}
Рисунок 3 - Импульсная
характеристика {h(m)}
Теперь определим системную функцию H(Z). Её можно определить двумя
способами:
или
Найдём системную функцию по первой
формуле, так как импульсная характеристика нам уже известна: {h(m)}={1,2,2,3,1}
Получим:
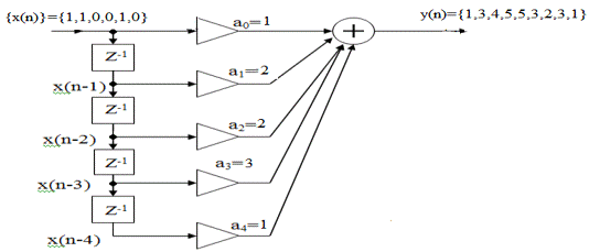
3) Построим схему нерекурсивного
фильтра, которая соответствует системной функции H(Z).
Рисунок 4 - Структурная схема
нерекурсивного цифрового фильтра.
Данный фильтр является КИХ-фильтром
и реализуется на основе алгоритма:
где - а0, а1,
…аm действительные постоянные («весовые») коэффициенты; m - порядок нерекурсивного фильтра,
т.е. максимальное число запоминаемых чисел.
) По заданному преобразованию X(Z) определим отсчёты дискретного сигнала
{x(n)}. Для этого сначала разобьём наше z-преобразование на простейшие дроби:
Получаем:
Имея следующие формулы:

{x(n)}={2; 3; 3,5; 3,75; 3,875…}
Задание 2
1. Определить передаточную
характеристику передаточную (системную) функцию рекурсивного ЦФ.
Коэффициенты числителя «
»
и знаменателя «
»
определяются согласно своему варианту.
2. Разработать структурную схему
рекурсивного фильтра, реализующую полученную передаточную функцию (прямую,
каноническую и транспонированную реализации).
. Рассчитать первые три отсчета
импульсной характеристики фильтра {h(n)}, полученные при прохождении через разработанный фильтр сигнала
{x(k)}={1,0,0}.
Исходные данные
|
a0
|
a1
|
a2
|
a3
|
a4
|
a5
|
|
2
|
1
|
3
|
4
|
6
|
0
|
|
в1
|
в2
|
в3
|
в4
|
в5
|
|
4
|
3
|
2
|
1
|
4
|
|
|
|
|
|
|
|
|
|
Выполнение задания
1) Найдём передаточную функцию по
следующей формуле:
в результате получим:
H
(Z) =
) Разработаем
структурную схему рекурсивного фильтра, реализующего данную передаточную
функцию.
Рисунок 5 - Прямая
структура рекурсивного фильтра
Рисунок 6 - Прямая каноническая
структура рекурсивного фильтра
Рисунок 7 - Транспонированная структура
рекурсивного фильтра
) Рассчитаем первые три отсчета
импульсной характеристики фильтра.
Импульсная характеристика
рекурсивного фильтра рассчитывается значительно сложнее, чем нерекурсивного.
Рассмотрим формирование нескольких первых ее отсчетов.
На вход поступает единичный импульс,
умножается на a0 и проходит на выход.
Получим
Далее входной единичный импульс
попадает на входную линию задержки, а выходной отсчет а0 - в
выходную линию задержки. В результате второй отсчет импульсной характеристики
будет формироваться как
Если продолжить рассмотрение
перемещения входного единичного импульса вдоль входной линии задержки и
заполнения выходными отсчетами выходной линии задержки, можно получить
В итоге получаем:
{h(n)}={2,9,45,…}
Заключение
В данной расчётно-графической работе
мы рассмотрели рекурсивные и нерекурсивные цепи, а также рассмотрели их
характеристики.
Также мы научились переходить от
обычной дискретной записи в z-преобразование.
При изучении аналоговых сигналов и
линейных аналоговых цепей введение преобразования Лапласа оказалось очень
полезной. На его основе определяются такие фундаментальные понятия, как
передаточная функция, частотных характеристики, устойчивость цепей и т.д. В
цифровой обработке сигналов подобным преобразование является Z - преобразование. Оно позволяет
упростить многие формулы, определить основные фундаментальные понятия и
оказывается очень наглядной и удобной формой представления процессов,
протекающие при цифровой обработке.
Список использованной
литературы
дискретный свертка нерекурсивный фильтр
1) Солонина А.И.,
Улахович Д.А. и другие. Основы цифровой обработки сигналов. - С-П.
«БХВ-Петербург», 2003. - 608 с.
) Баскаков С.И.
Радиотехнические цепи и сигналы. - М.: Высшая школа, 2003. - 462 с.
) Карамов З.С.,
Колесниченко Г.И. Цифровая обработка сигналов: Учебное пособие/ МИС. - М.:
1990. - 41 с.
) Нефедов В.И. Основы
радиоэлектроники и связи. - М.: Высшая школа, 2002. - 510 с.
) Куприянов М.С.,
Матюшкин Б.Д. Цифровая обработка сигналов: процессоры, алгоритмы, средства
проектирования. - СПб., 1999. - 592 с.