Средние величины
Введение
В данной курсовой работе рассмотрена тема
изучения метода средних величин. В них отображаются основные показатели,
которые характеризуют общественные явления, к примеру, товарооборот,
заработанная плата, товарные запасы, цены, рождаемость. Характеризуются
средними величинами и качественные показатели коммерческой деятельности:
прибыль, издержки обращения, рентабельность и т.п. Верное понимания сути
средней посредством единичного и случайного позволяет выявить необходимое и
общее, а также извлечь тенденцию закономерностей социального и экономического
развития. Метод средних величин свое применение находит при статистических
исследованиях в любой сфере.
В теоретическом разделе изучим виды средних
величин, а именно: средняя арифметическая, гармоническая, геометрическая,
квадратическая, кубическая, а также структурные средние величины - в
экономическом анализе и условия их использования.
В практической части представлены задания на
нахождение средних величин, на примере данных задач будут показаны разные
способы расчета средних величин, а также их использование в экономическом
анализе.
1. Средние величины в экономическом
анализе
Как известно статистика исследует массовые
социально-экономические явления. Любое из данных явлений может иметь разное
количественное выражение одного какого-либо признака. К примеру, зарплата одной
какой-либо профессии сотрудников или цены на рынке на какую-либо продукцию и
т.д. Средние величины отражают качественные показатели коммерческой
деятельности: прибыль, издержки обращения, рентабельность и т.п.
С целью изучения определенной совокупности по
варьирующим (изменяющимся количественно) признакам использует статистика
средние величины.
Средней величиной называют обобщающий
показатель, который характеризует типичный уровень явления в определенных
условиях места и времени, который отражает величину варьирующего признака в
ходе расчета на 1 ед. качественно однородной совокупности. Число показателей,
вычисленных в виде средних величин, и используемых на практике достаточно велико.
Основное свойство средней величины состоит в
том, что средняя величина представляет значение конкретного признака во всей
совокупности 1-им числом, независимо от количественных различий его у отдельных
единиц совокупности, а также выражает то общее, что всем единицам анализируемой
совокупности присуще. Итак, через характеристику единицы совокупности средняя
величина характеризует всю совокупность в общем.
Они связаны с законом больших чисел. Сущность
данной связи заключается в том, что случайные отклонения индивидуальных величин
при осреднении по закону больших чисел взаимопогашаются и в средней выявляется
главная тенденция развития.
Средние величины могут сравнивать показатели,
которые относятся к совокупностям с разной численностью единиц. Основным условием
научного использования средних величин в оценке общественных явлений является
однородная совокупность, для которой рассчитывается средняя величина.
Одинаковая по технике вычисления и форме средняя величина при условии
неоднородной совокупности является фиктивной, а для однородной совокупности она
соответствует действительности.
Определяется качественная однородность
совокупности за счет всестороннего теоретического анализа сущности какого-либо
явления. К примеру, в расчете средней урожайности необходимо, чтобы исходные
данные относились к однородной культуре (то есть средняя урожайность пшеницы)
или группе культур (к примеру, средняя урожайность зерновых). Невозможно
рассчитывать среднюю величину для разнородных культур.
Итак, главными свойствами средней являются:
Наличие устойчивости - это позволяет извлекать
закономерности развития явлений.
Помогает охарактеризовать развитие уровня
явления относительно времени.
Помогает извлекать и охарактеризовать связь
между двумя и несколькими явлениями.
Фактор, по которому проводится осреднение,
называют усредняемым признаком. А его величина у каждой единицы совокупности
называют ее индивидуальным значением.
То значение признака, которое встречается у
отдельных единиц или групп единиц и не повторяется, называется его вариантом.
Средняя может принимать значения такие, которые
не присущи ни одному из составляющей совокупности. Также на практике очень
часто средняя величина выражается для дискретного признака как для
непрерывного. К примеру, среднее число родившихся на каждую 1000 населения в
регионе: имеются в регионе населенные пункты, где в каждом складывается свой
уровень рождаемости. Для расчета средней рождаемости по региону надо
численность родившихся всех младенцев соотнести с численностью населения, а полученный
результат умножить на 1000.
Итог расчета средней величины по этому
показателю может выражаться и в дробях, даже несмотря на то, что число
родившихся - это целое число.
Средняя является равнодействующей всех факторов,
которые оказывают влияние на исследуемое явление. Другими словами, при их
расчете взаимопогашаются влияние случайных факторов, а далее возможно
определение закономерности, которая присуще изучаемому явлению.
Значение метода средних величин состоит в
возможности перехода от единичного к общему, от случайного к закономерному,
существование средних величин является категорией объективной действительности.
Таким образом, к расчету средней предъявляются
следующие основные требования:
Их нужно рассчитывать таким образом, чтобы
средняя величина погашала то, что мешает извлечению характерных черт и
закономерностей в развитии явления, а не затушевывала развитие.
Она может быть рассчитана только для однородной
совокупности. Средняя величина, которая была рассчитана для неоднородной
совокупности, называется огульной.
Одинаковые по технике вычисления и форме средние
величины в одних случаях могут быть огульными, а в иных - общими в зависимости
от того, с какой целью их интерпретируют.
Не стоит забывать, что средняя величина дает
всегда обобщенную характеристику только по одному признаку. Каждая же единица
совокупности имеет много признаков. Поэтому необходимо рассчитывать систему
средних, чтобы охарактеризовать явление со всех сторон.
Расчет средних величин производится по правилам,
разработанные математической статистикой.
Приемы в математике, которые используются в
разных разделах статистики, связаны непосредственно с расчетом средних величин.
В общественных явлениях средние величины
относительно постоянны, другими словами, в течение обозначенного промежутка
времени однотипные явления отражаются примерно одинаковыми средними.
Важным условием расчета средних величин для
изучаемой совокупности является качественная ее однородность. Допустим,
отдельные составляющие совокупности, в ходе подверженности влиянию какого-либо
случайного фактора, имеют очень большие (малые) размеры изучаемого признака,
которые существенно отличаются от остальных. Данные элементы повлияют на размер
средней величины для этой совокупности, так что средняя величина не будет выражать
наиболее характерную величину признака для совокупности.
Средняя величина является обобщающей
статистической характеристикой, в которой получает количественное выражение
типичный уровень признака, обладающей членами исследуемой совокупности. Однако
одной средней нельзя охарактеризовать все черты распределения статистики.
Существуют совпадения средних арифметических величин при разном распределении.
Показатели вариации используются с целью
характеристики и упорядочения совокупностей статистики. Вариацией называют
различие в величинах определенного признака у разных единиц совокупности в один
и тот же период времени. Вариация помогает понять сущность рассматриваемого
явления. Относятся к показателям вариации размах вариации, дисперсия, среднее
линейное отклонение, среднее квадратическое отклонение, а также коэффициент
вариации.
Если изучаемое явление не является однородным,
тогда его разбивают на группы, которые содержат однородные элементы. Для
данного явления рассчитываются в первую очередь средние по группам, они
выражают более типичную величину явления в каждой группе. Далее для всех
элементов рассчитывается общая средняя величина, которая характеризует явление
в целом. Рассчитывается она как средняя из групповых средних, взвешенных по
числу элементов совокупности, которые включены в каждую группу.
Однако на практике безусловное исполнение этого
условия повлекло за собой бы ограничение возможностей статистического анализа.
Так что средние величины часто рассчитываются по неоднородным явлениям.
Еще одним основным условием использования
средних величин в статистическом анализе является достаточное число единиц в
совокупности, по которой производят расчет средних значений признака.
Достаточность изучаемых единиц обеспечивается корректным определением границ исследуемой
совокупности. Такое условие становится решающим в случае использования
выборочного наблюдения, когда важно обеспечить репрезентативность выборки.
Определение минимального и максимального
значения признака в рассматриваемой совокупности является также условием
использования средней величины в статистическом анализе. Если существуют
большие отклонения между крайними значениями и средней, то важно проверить
принадлежность экстремумов к изучаемой совокупности. Если сильная изменчивость
признака вызвана кратковременными и случайными факторами, тогда возможно, что
крайние значения не характерны для совокупности. А значит, их необходимо
исключить из анализа, поскольку они оказывают влияние на среднюю.
2. Виды средних величин
Средние величины делятся на два больших класса:
степенные средние и структурные средние
Степенные средние:
Арифметическая
Гармоническая
Геометрическая
Квадратическая
Структурные средние:
Мода
Медиана
Выбор формы средней величины зависит от исходной
базы расчета средней и от имеющейся экономической информации для ее расчета.
Исходной базой расчета и ориентиром правильности
выбора формы средней величины являются экономические соотношения, выражающие
смысл средних величин и взаимосвязь между показателями.
Расчет некоторых средних величин:
Средняя заработная плата 1 работника = Фонд
заработной платы / Число работников
Средняя цена 1 продукции = Стоимость
производства / Количество единиц продукции
Средняя себестоимость 1 изделия = Стоимость
производства / Количество единиц продукции
Средняя урожайность = Валовый сбор / посевная
площадь
Средняя производительность труда = объем
продукции, работ, услуг / Отработанное время
Средняя трудоемкость = отработанное время /
объем продукции, работ, услуг
Средняя фондоемкость = Средняя стоимость основных
фондов / объем продукции, работ и услуг
Средняя фондоотдача = объем продукции, работ и
услуг / средняя стоимость основных фондов
Средняя фондовооруженность = средняя величина
основных производственных фондов / среднесписочная численность производственного
персонала
Средний процент брака = (стоимость бракованной
продукции / Стоимость всей произведенной продукции) * 100%
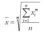
Перечисленные виды средних величин можно
объединить общей формулой (среднее значение исследуемого явления):
- показатель степени средней величины;
х - текущее значение осредняемого признака;-
число признаков.
В зависимости от значения показателя степени m
различают следующие виды степенных средних величин, если:= -1 - средняя
гармоническая;= 0 - средняя геометрическая;= 1 - средняя арифметическая;= 2 -
средняя квадратичная.
В экономике используется большое количество
показателей, вычисляемых в виде средних величин. К примеру, интегральным
показателем доходов работающих акционерного общества (АО) служит средний доход
одного рабочего, который определяется отношением суммарного фонда заработной
платы и выплат социального характера за определенный период (год, квартал,
месяц) к итоговой численности рабочих АО.
Для рабочих с одинаковым уровнем доходов, например,
сотрудников бюджетной сферы и пенсионеров по старости можно определить доли
расходов на покупку продуктов питания. Так можно расчитать среднюю
продолжительность рабочего дня, средний тарифный разряд рабочих, средний
уровень производительности труда и т.д.
Правило мажорантности средних: чем выше
показатель степени m, тем больше величина средней.
Средняя арифметическая величина обладает
следующими свойствами:
Сумма отклонений индивидуальных значений
признака от его среднего значения равна нулю.
Если все значения признака (х) увеличить
(уменьшить) в одно и то же число К раз, то средняя увеличится (уменьшится) в К
раз.
Если все значения признака (x) увеличить
(уменьшить) на одно и то же число A, то средняя увеличится (уменьшится) на это
же число А.
Если все значения весов (f) увеличить или
уменьшить в одно и то же число раз, то средняя не изменится.
Сумма квадратов отклонений индивидуальных
значений признака от средней арифметической меньше, чем от любого другого числа.
Если при замене индивидуальных величин признака на среднюю величину необходимо
сохранить неизменную сумму квадратов исходных величин, то средняя будет
являться квадратической средней величиной.
Одновременное использование некоторых свойств
позволяют упростить расчет средней арифметической: можно из всех значений
признака вычесть постоянную величину А, разности сократить на общий множитель
K, а все веса f разделить на одно и то же число и, по измененным данным,
рассчитать среднюю. Затем, если полученное значение средней умножить на K, а к
произведению прибавить А, то получим искомое значение средней арифметической по
формуле:
Полученная, таким образом, преобразованная
средняя, называется моментом первого порядка, а вышеизложенный способ расчета
средней - способом моментов, или отсчетом от условного нуля.
Если при группировке значения осредняемого
признака заданы интервалами, то при расчете средней арифметической величины, в
качестве значения признака в группах, принимают середины этих интервалов, то
есть исходят из предположения о равномерном распределении единиц совокупности
по интервалу значений признака. Для открытых интервалов в первой и последней
группе, если таковые есть, значения признака необходимо определять экспертным
путем, исходя из сущности свойств признака и совокупности.
При отсутствии возможности экспертной оценки,
значения признака в открытых интервалах для нахождения недостающей границы
открытого интервала, применяют размах (разность между значениями конца и начала
интервала) соседнего интервала (принцип «соседа»). Иными словами - ширину (шаг)
открытого интервала определяют по величине рядом стоящего интервала.
3. Практическое применение средних
величин
Средние величины используются для нахождения
уравнения регрессии.
Исходные данные показателей x и y, а также
промежуточные расчеты для нахождения коэффициентов уравнения линейной регрессии
представлены в таблице 1.
Таблица 1 - Расчеты, необходимые для нахождения
параметров регрессии
|
№
|
Надой
молока на 1 корову (Y)
|
Продолжительность
вегетативного периода(Х)
|
X*Y
|
X*X
|
Y*Y
|
|
|
1
|
3627
|
7
|
25389
|
49
|
13155129
|
|
|
2
|
3866
|
7
|
27062
|
49
|
14945956
|
|
|
3
|
3371
|
7
|
23597
|
49
|
11363641
|
|
|
4
|
4212
|
7
|
29484
|
49
|
17740944
|
|
|
5
|
4173
|
5
|
20865
|
25
|
17413929
|
|
|
6
|
3597
|
7
|
25179
|
49
|
12938409
|
|
|
7
|
3856
|
5
|
19280
|
25
|
14868736
|
|
|
8
|
4240
|
5
|
21200
|
25
|
17977600
|
|
|
9
|
3766
|
7
|
26362
|
49
|
14182756
|
|
|
10
|
2522
|
7
|
17654
|
49
|
6360484
|
|
|
11
|
3233
|
7
|
22631
|
49
|
10452289
|
|
|
12
|
3401
|
7
|
23807
|
49
|
11566801
|
|
|
13
|
3293
|
7
|
23051
|
49
|
10843849
|
|
|
14
|
3104
|
7
|
21728
|
49
|
9634816
|
|
|
15
|
3478
|
7
|
24346
|
49
|
12096484
|
|
|
16
|
4208
|
5,7
|
23985,6
|
32,49
|
17707264
|
|
|
17
|
4306
|
5
|
21530
|
25
|
18541636
|
|
|
18
|
3414
|
4,7
|
16045,8
|
22,09
|
11655396
|
|
|
19
|
2835
|
3,3
|
9355,5
|
10,89
|
8037225
|
|
|
20
|
3520
|
6
|
21120
|
36
|
12390400
|
|
|
21
|
2344
|
5
|
11720
|
25
|
5494336
|
|
|
22
|
2118
|
5
|
10590
|
25
|
4485924
|
|
|
23
|
1315
|
5
|
6575
|
25
|
1729225
|
|
|
24
|
2696
|
5
|
13480
|
25
|
7268416
|
|
|
25
|
3173
|
5
|
15865
|
25
|
10067929
|
|
|
26
|
1510
|
5
|
7550
|
25
|
2280100
|
|
|
27
|
3716
|
4,5
|
16722
|
20,25
|
13808656
|
|
|
28
|
3264
|
5
|
16320
|
25
|
10653696
|
|
|
29
|
3722
|
5
|
18610
|
25
|
13853284
|
|
|
30
|
3022
|
5
|
15110
|
25
|
9132484
|
|
|
31
|
3388
|
5
|
16940
|
25
|
11478544
|
|
|
32
|
4735
|
5
|
23675
|
25
|
22420225
|
|
33
|
1468
|
3,9
|
5725,2
|
15,21
|
2155024
|
|
34
|
2810
|
6
|
16860
|
36
|
7896100
|
|
35
|
2752
|
7
|
19264
|
49
|
7573504
|
|
36
|
2743
|
5,3
|
14537,9
|
28,09
|
7524049
|
|
37
|
3506
|
5
|
17530
|
25
|
12292036
|
|
38
|
1788
|
3,7
|
6615,6
|
13,69
|
3196944
|
|
39
|
4032
|
6,3
|
25401,6
|
39,69
|
16257024
|
|
40
|
2465
|
7
|
17255
|
49
|
6076225
|
|
41
|
2544
|
1,7
|
4324,8
|
2,89
|
6471936
|
|
Сумма
|
131133
|
229,1
|
744343
|
1343,29
|
445989405
|
|
|
|
|
|
|
|
|
|
|
|
|
Формула уравнения регрессии:
Найдем коэффициент регрессии a1
Линейное уравнение регрессии: у = 183,7241х +
2171,751
) Прежде, чем построить эмпирическую и
теоретическую линии зависимости у от х, построим таблицу значений.
|
№
|
Продолжительность
вегетативного периода(Х)
|
Надой
молока на 1 корову (Y)
|
Yтеор
|
|
1
|
7
|
3627
|
3457,82
|
|
2
|
7
|
3866
|
3457,82
|
|
3
|
7
|
3371
|
3457,82
|
|
4
|
7
|
4212
|
3457,82
|
|
5
|
5
|
4173
|
3090,372
|
|
6
|
7
|
3597
|
3457,82
|
|
7
|
5
|
3856
|
3090,372
|
|
8
|
5
|
4240
|
3090,372
|
|
9
|
7
|
3766
|
3457,82
|
|
10
|
7
|
2522
|
3457,82
|
|
11
|
7
|
3233
|
3457,82
|
|
12
|
7
|
3401
|
3457,82
|
|
13
|
7
|
3293
|
3457,82
|
|
14
|
7
|
3104
|
3457,82
|
|
15
|
7
|
3478
|
3457,82
|
|
16
|
5,7
|
4208
|
3218,979
|
|
17
|
5
|
4306
|
3090,372
|
|
18
|
4,7
|
3414
|
3035,255
|
|
19
|
3,3
|
2835
|
2778,041
|
|
20
|
6
|
3520
|
3274,096
|
|
21
|
5
|
2344
|
3090,372
|
|
22
|
5
|
2118
|
3090,372
|
|
23
|
5
|
1315
|
3090,372
|
|
24
|
5
|
2696
|
3090,372
|
|
25
|
5
|
3173
|
3090,372
|
|
26
|
5
|
1510
|
3090,372
|
|
27
|
4,5
|
3716
|
2998,51
|
|
28
|
5
|
3264
|
3090,372
|
|
29
|
5
|
3722
|
3090,372
|
|
30
|
5
|
3022
|
3090,372
|
|
31
|
5
|
3388
|
3090,372
|
|
32
|
5
|
4735
|
3090,372
|
|
33
|
3,9
|
1468
|
2888,275
|
|
34
|
6
|
2810
|
3274,096
|
|
35
|
7
|
2752
|
3457,82
|
|
36
|
5,3
|
2743
|
3145,489
|
|
37
|
5
|
3506
|
3090,372
|
|
38
|
3,7
|
1788
|
2851,531
|
|
39
|
6,3
|
4032
|
3329,213
|
|
40
|
7
|
2465
|
3457,82
|
|
41
|
1,7
|
2544
|
2484,082
|
Точки линейной регрессии и эмпирические значения
представлены на графике ниже (рис. 1).
Рисунок 1 - Эмпирические и теоретические
значения
) Линейный коэффициент корреляции:
Связь между признаками прямая, несущественная.
) Коэффициент детерминации:
= (0,28*0,28)*100% = 7,84%
Коэффициент алиенации: А= 0,96
) Рассчитаем ошибку коэффициента корреляции и
достоверность коэффициента.
Проверим значимость r с помощью критерия
Стьюдента при уровне значимости а=0,05
) Коэффициент Спирмэна будет невозможно
правильно сравнить с табличным значением, поскольку объем выборки больше 40.
) Коэффициент корреляции знаков Ферхена
Таблица 3 - Число С, Н
|
№
|
Надой
молока на 1 корову (Y)
|
Продолжительность
вегетативного периода(Х)
|
Откл.Y
|
Откл.Х
|
С/Н
|
|
1
|
3627
|
7
|
+
|
+
|
1
|
|
2
|
3866
|
7
|
+
|
+
|
1
|
|
3
|
3371
|
7
|
+
|
+
|
1
|
|
4
|
4212
|
7
|
+
|
+
|
1
|
|
5
|
4173
|
5
|
+
|
-
|
0
|
|
6
|
3597
|
7
|
+
|
+
|
1
|
|
7
|
3856
|
5
|
+
|
-
|
0
|
|
8
|
4240
|
5
|
+
|
-
|
0
|
|
9
|
3766
|
7
|
+
|
+
|
1
|
|
10
|
2522
|
7
|
-
|
+
|
0
|
|
11
|
3233
|
7
|
+
|
+
|
1
|
|
12
|
3401
|
7
|
+
|
+
|
1
|
|
13
|
3293
|
7
|
+
|
+
|
1
|
|
14
|
3104
|
7
|
-
|
+
|
0
|
|
15
|
3478
|
7
|
+
|
+
|
1
|
|
16
|
4208
|
5,7
|
+
|
+
|
1
|
|
17
|
4306
|
5
|
+
|
-
|
0
|
|
18
|
3414
|
4,7
|
+
|
-
|
0
|
|
19
|
2835
|
3,3
|
-
|
-
|
1
|
|
20
|
3520
|
6
|
+
|
+
|
1
|
|
21
|
2344
|
5
|
-
|
-
|
1
|
|
22
|
2118
|
5
|
-
|
-
|
1
|
|
23
|
1315
|
5
|
-
|
-
|
1
|
|
24
|
2696
|
5
|
-
|
-
|
1
|
|
25
|
3173
|
5
|
-
|
-
|
1
|
|
26
|
1510
|
5
|
-
|
-
|
1
|
|
27
|
3716
|
4,5
|
+
|
0
|
|
28
|
3264
|
5
|
+
|
-
|
0
|
|
29
|
3722
|
5
|
+
|
-
|
0
|
|
30
|
3022
|
5
|
-
|
-
|
1
|
|
31
|
3388
|
5
|
+
|
-
|
0
|
|
32
|
4735
|
5
|
+
|
-
|
0
|
|
33
|
1468
|
3,9
|
-
|
-
|
1
|
|
34
|
2810
|
6
|
-
|
+
|
0
|
|
35
|
2752
|
7
|
-
|
+
|
0
|
|
36
|
2743
|
5,3
|
-
|
-
|
1
|
|
37
|
3506
|
5
|
+
|
-
|
0
|
|
38
|
1788
|
3,7
|
-
|
-
|
1
|
|
39
|
4032
|
6,3
|
+
|
+
|
1
|
|
40
|
2465
|
7
|
-
|
+
|
0
|
|
41
|
2544
|
1,7
|
+
|
-
|
0
|
|
Сред.
|
3198,366
|
5,587805
|
Сумма
С
|
24
|
С=24; Н=41-24 = 17
Кф = (24-17)/41 = 0,17<0,3 => связь
несущественная
) Коэффициент корреляции показывает, что связь
между продолжительностью вегетативного периода и надоем молока на 1 корову
прямая, но несущественная. Коэффициент детерминации намного меньше 50%,
следовательно, зависимость между двумя признаками слабая. По всем способам
проверки значимости коэффициента детерминации было выяснено, что коэффициент
линейной корреляции незначим.
Модой называется значение признака (варианта),
чаще всего встречающееся в изучаемой совокупности. В дискретном ряду
распределения модой будет варианта с наибольшей частотой.
Например: Распределение проданной женской обуви
по размерам характеризуется следующим образом:
Таблица 4 - Проданная женская обувь по размерам
|
Размер
обуви
|
34
|
35
|
36
|
37
|
38
|
39
|
40
|
41
|
|
Количество
проданных пар
|
8
|
19
|
34
|
108
|
72
|
51
|
6
|
2
|
В этом ряду распределения модой является 37
размер, т.е. Мо = 37.
Для интервального ряда распределения мода
определяется по формуле:
где ХMo - нижняя граница модального интервала;-
величина модального интервала;- частота модального интервала;и fMo+1 - частота
интервала соответственно
предшествующего модальному и следующего за ним.
Например: Распределение рабочих по стажу работы
характеризуется следующими данными.
Таблица 5
|
Стаж
работы, лет
|
до
2
|
2-4
|
4-6
|
6-8
|
8-10
|
10
и более
|
|
Число
рабочих, чел.
|
4
|
23
|
20
|
35
|
11
|
7
|
Определить моду интервального ряда
распределения.
Мода интервального ряда составляет:
Мо = 6+2х(35-20)/(35-20+35-11) = 6,77 года.
Мода всегда бывает несколько неопределённой,
т.к. она зависит от величины групп и точного положения границ групп. Мода
широко применяется в коммерческой практике при изучении покупательского спроса,
при регистрации цен и т.п.
Медианой в статистике называется варианта,
расположенная в середине упорядоченного ряда данных, и которая делит
статистическую совокупность на две равные части так, что у одной половины
значения меньше медианы, а у другой половины - больше её. Для определения
медианы необходимо построить ранжированный ряд, т.е. ряд в порядке возрастания
или убывания индивидуальных значений признака.
В дискретном упорядоченном ряду с нечётным
числом членов медианой будет варианта, расположенная в центре ряда.
Например: Стаж пяти рабочих составил 2, 4, 7, 9
и 10 лет. В таком ряду медиана-7 лет, т.е. Ме=7 лет
Если дискретный упорядоченный ряд состоит из
чётного числа членов, то медианой будет средняя арифметическая из двух смежных
вариант, стоящих в центре ряда.
Например: Стаж работы шести рабочих составил 1,
3, 4, 5, 10 и 11лет. В этом ряду имеются две варианты, стоящие в центре ряда.
Это варианты 4 и 5. Средняя арифметическая из этих значений и будет медианой
ряда:
Ме = (4+5)/2 = 4,5 года
Чтобы определить медиану для сгруппированных
данных, необходимо считать накопленные частоты.
Например: По имеющимся данным определим медиану
размера обуви
Таблица 6
|
Размер
обуви
|
Количество
проданных пар
|
Сумма
накопленных частот
|
|
34
|
8
|
8
|
|
35
|
19
|
8+19=27
|
|
36
|
34
|
27+34=61
|
|
37
|
108
|
61+108=169
|
|
38
|
72
|
-
|
|
39
|
51
|
-
|
|
40
|
6
|
-
|
|
41
|
2
|
-
|
|
Итого
|
300
|
|
средний величина медиана мода
Для определения медианы надо подсчитать сумму
накопленных частот ряда. Наращивание итога продолжается до получения
накопленной суммы частот, превышающей половину суммы частот ряда. В нашем
примере сумма частот составила 300, её половина - 150. Накопленная сумма частот
получилась равной 169. Варианта, соответствующая этой сумме, т.е. 37 и есть
медиана ряда.
Если же сумма накопленных частот против одной из
вариант равна точно половине суммы частот ряда, то медиана определяется как
средняя арифметическая этой варианты и последующей.
Например: По имеющимся данным определим медиану
заработной платы рабочих
Таблица 7
|
Месячная
заработная плата, тыс.руб.
|
Число
рабочих, чел.
|
Сумма
накопленных частот
|
|
14,0
|
2
|
2
|
|
14,2
|
6
|
2+6=8
|
|
16,0
|
12
|
8+12=20
|
|
16,8
|
16
|
-
|
|
18,0
|
4
|
-
|
|
Итого:
|
40
|
-
|
Медиана будет равна:
Ме = (16,0+16,8)/2 = 16,4 тыс. руб.
Медиана интервального вариационного ряда
распределения определяется по формуле:
Где ХМе - нижняя граница медианного интервала;-
величина медианного интервала;
∑f - сумма частот ряда;Ме - частота
медианного интервала;
Например: По имеющимся данным о распределении
предприятий по численности промышленно - производственного персонала рассчитать
медиану в интервальном вариационном ряду
Таблица 8
|
Группы
предприятий по численности ППП, чел.
|
Число
предприятий
|
Сумма
накопленных частот
|
|
100-200
|
1
|
1
|
|
200-300
|
3
|
1+3=4
|
|
300-400
|
7
|
4+7=11
|
|
400-500
|
30
|
11+30=41
|
|
500-600
|
19
|
-
|
|
600-700
|
15
|
-
|
|
700-800
|
5
|
|
|
Итого:
|
80
|
|
Определим, прежде всего, медианный интервал. В
данном примере сумма накопленных частот, превышающих половину суммы всех
значений ряда, соответствует интервалу 400-500.Это и есть медианный интервал,
т.е. интервал, в котором находится медиана ряда. Определим её значение:
Ме = 400+100х(80/2 -11)/30 = 400+96,66 = 496,66
чел.
Если же сумма накопленных частот против одного
из интервалов равна точно половине суммы частот ряда, то медиана определяется
по формуле:
где n - число единиц в совокупности.
Например: По имеющимся данным о распределении
предприятий по численности промышленно - производственного персонала рассчитать
медиану в интервальном вариационном ряду
Таблица 9
|
Группы
предприятий по численности ППП, чел.
|
Число
предприятий
|
Сумма
накопленных частот
|
|
100-200
|
1
|
1
|
|
200-300
|
3
|
1+3=4
|
|
300-400
|
6
|
4+6=10
|
|
400-500
|
30
|
10+30=40
|
|
500-600
|
20
|
40+20=60
|
|
600-700
|
15
|
-
|
|
700-800
|
5
|
|
|
Итого:
|
80
|
|
Медиана рассчитывается следующим образом:
Ме = 500+100((80+1)/2 - 40)/20 = 502,5 чел.
Моду и медиану в интервальном ряду можно
определить графически:
моду в дискретных рядах - по полигону
распределения;
моду в интервальных рядах - по гистограмме
распределения;
медиану - по кумуляте.
Мода интервального ряда распределения
определяется по гистограмме распределения определяют следующим образом.
Для этого выбирается самый высокий
прямоугольник, который является в данном случае модальным. Затем правую вершину
модального прямоугольника соединяем с правым верхним углом предыдущего
прямоугольника. А левую вершину модального прямоугольника - с левым верхним
углом последующего прямоугольника. Далее из точки их пересечения опускают
перпендикуляр на ось абсцисс. Абсцисса точки пересечения этих прямых и будет
модой распределения.
Рисунок 2 - Графическое определение моды по
гистограмме
Медиана рассчитывается по кумуляте. Для её
определения из точки на шкале накопленных частот (частостей), соответствующей
50%, проводится прямая, параллельная оси абсцисс, до пересечения с кумулятой.
Затем из точки пересечения указанной прямой с кумулятой опускается
перпендикуляр на ось абсцисс. Абсцисса точки пересечения является медианой.
Рисунок 3 - Графическое определение медианы по
кумуляте
Кроме моды и медианы в вариантных рядах могут
быть определены и другие структурные характеристики - квантили.
Квантили предназначены для более глубокого
изучения структуры ряда распределения.
Квантиль - это значение признака, занимающее
определенное место в упорядоченной по данному признаку совокупности.
Предоставляют важную информацию о структуре
вариационного ряда какого-либо признака. Вместе с медианой они делят
вариационный ряд на 4 равные части. Квартилей две, их обозначают символами Q,
верхняя и нижняя квартиль. 25% значений меньше, чем нижняя квартиль, 75%
значений меньше, чем верхняя квартиль.
Для расчёта квартили надо поделить вариационный
ряд медианой на две равные части, а затем в каждой из них найти медиану. К
примеру, если выборка состоит из 6 элементов, тогда за начальную квартиль
выборки принимается второй элемент, а за нижнюю квартиль пятый элемент.
Различают следующие виды квантилей:
квартили - значения признака, делящие
упорядоченную совокупность на четыре равные части;
децили - значения признака, делящие
упорядоченную совокупность на десять равных частей;
перцентели - значения признака, делящие
упорядоченную совокупность на сто равных частей.
Таким образом, для характеристики положения центра
ряда распределения можно использовать 3 показателя: среднее значение признака,
мода, медиана.
При выборе вида и формы конкретного показателя
центра распределения необходимо исходить из следующих рекомендаций:
для устойчивых социально-экономических процессов
в качестве показателя центра используют среднюю арифметическую.
Такие процессы характеризуются симметричными
распределениями, в которых
;
для неустойчивых процессов положение центра
распределения характеризуется с помощью Mo или Me.
Для асимметричных процессов предпочтительной
характеристикой центра распределения является медиана, поскольку занимает положение
между средней арифметической и модой.
Заключение
Подводя итог можно сказать, что область
применения и использования средних величин в статистике довольно широка.
Средние величины - это обобщающие показатели, в
которых находят выражения действие общих условий, закономерность изучаемого
явления. Статистические средние рассчитываются на основе массовых данных
правильно статистически организованного массового наблюдения (сплошного или
выборочного). Однако статистическая средняя будет объективна и типична, если
она рассчитывается по массовым данным для качественно однородной совокупности
(массовых явлений). Применение средних должно исходить из диалектического
понимания категорий общего и индивидуального, массового и единичного.
Средняя отражает то общее, что складывается в
каждом отдельном, единичном объекте, именно по - этому средняя имеет большое
значение для выявления закономерностей присущих массовым общественным явлениям
и незаметных в единичных явлениях.
Отклонение индивидуального от общего - проявление
процесса развития. В отдельных единичных случаях могут быть заложены элементы
нового, передового. В этом случае именно конкретных фактор, взятые на фоне
средних величин, характеризует процесс развития. Поэтому в средней и отражается
характерный, типичный, реальный уровень изучаемых явлений. Характеристики этих
уровней и их изменений во времени и в пространстве являются одной из главных
задач средних величин. Так, через средние проявляется, например, изменение
благосостояния населения находит свое отражение в средних показателях
заработной платы, доходов семьи в целом и по отдельным социальным группам,
уровня потребления продуктов, товаров и услуг.
Средний показатель - это значение типичное
(обычное, нормальное, сложившееся в целом), но таковым оно является потому, что
формируется в нормальных, естественных условиях существования конкретного
массового явления, рассматриваемого в целом. Средняя отображает объективное
свойство явления. В действительности часто существует только отклоняющиеся
явления, и средняя как явления может и не существовать, хотя понятие типичности
явления и заимствуется из действительности.
Средняя величина является отражением значения
изучаемого признака и, следовательно, измеряется в той же размеренности что и
этот признак. Однако существуют различные способы приближенного определения
уровня распределения численности для сравнения сводных признаков,
непосредственно не сравнимых между собой, например средняя численность
населения по отношению к территории (средняя плотность населения). В
зависимости от того, какой именно фактор нужно элиминировать, будет находиться
и содержание средней.
Сочетание общих средних с групповыми средними
дает возможность ограничить качественно однородные совокупности. Расчленяя
массу объектов, составляющих то или иное сложное явления, на внутренне
однородные, но качественно различные группы, характеризуя каждую из групп своей
средней, можно вскрыть резервы процесс нарождающегося нового качества.
Например, распределения населения по доходу позволяет выявить формирование
новых социальных групп.
Литература
1.
Батурина И., Непринцева Е. Производство и предложение. Издержки и прибыль. \\
Жур. «Российский экономический журнал». № 3., 2009, с. 119.
.
Беложецкий И.А. Прибыль предприятия. // Жур. «Финансы», № 3, 2009, с. 40.
.
Булатова А.С. Экономика: Учебник. - М.: Изд-во БЕК. - 2008. - с. 632.
.
Вероятность. Примеры и задачи: А. Шень - Москва, МЦНМО, 2009 г.- 64 с.
.
Долан Э. Дж., Линдсей Д. Микроэкономика. - 2009. - с. 448.
.
Елисеева И.И. Общая теория статистики: учебник для вузов / И.И. Елисеева, М.М.
Юзбашев; под ред. И.И. Елисеевой. - М.: Финансы и статистика, 2009. - 656 с.
.
Ефимова М.Р. Практикум по общей теории статистики: учебное пособие для вузов /
М.Р. Ефимова и др. - М.: Финансы и статистика, 2007. - 368 с.
.
Зубко Н.М. Экономическая теория - Мн.: НТЦ АПИ. - 2008. - с. 311.
.
Емцов Р.Г., Лукин М.Ю. Микроэкономика: Учебник. - М.: МГУ им. М.В. Ломоносова,
Изд-во ДИС. - 2009. - с. 320.
.
Эдвин Дж. Долан, Дейвид Е. Линдсей. Рынок: микроэкономическая модель. Пер. с
англ. СПб.: 2010. - с. 224.
.
Хайман Д.Н. Современная микроэкономика: анализ и применение. Пер. с англ. М.:
Финансы и статистика, 2008 г., т. 1 с. 116.
.
Кодацкий В.П. Проблемы формирования прибыли. // Жур. «Экономист», № 3, 2010, с.
49-60.
.
Общая теория статистики: Статистическая методология в изучении коммерческой
деятельности: учебник для вузов / О.Э. Башина и др.; под ред. О.Э. Башиной,
А.А. Спирина. - М.: Финансы и статистика, 2008. - 440 с.
.
Салин В.Н. Курс теории статистики для подготовки специалистов
финансово-экономического профиля: учебник / В.Н. Салин, Э.Ю. Чурилова. - М.:
Финансы и статистика, 2008. - 480 с.
.
Социально-экономическая статистика: практикум: учебное пособие / В.Н. Салин и
др.; под ред. В.Н. Салина, Е.П. Шпаковской. - М.: Финансы и статистика, 2009. -
192 с.
.
Статистика: учебное пособие / А.В. Багат и др.; под ред. В.М. Симчеры. - М.:
Финансы и статистика, 2010. - 368 с.
.
Статистика: учебник / И.И. Елисеева и др.; под ред. И.И. Елисеевой. - М.:
Высшее образование, 2008. - 566 с.
.
Теория статистики: учебник для вузов / Р.А. Шмойлова и др.; под ред. Р.А.
Шмойловой. - М.: Финансы и статистика, 2008. - 656 с.
.
Шмойлова Р.А. Практикум по теории статистики: учебное пособие для вузов / Р.А.
Шмойлова и др.; под ред. Р.А. Шмойловой. - М.: Финансы и статистика, 2009. -
416 с.