Геология, геохимия, экология и запасы центральной части Егорьевского месторождения фосфоритов
Геология,
геохимия, экология и запасы центральной части Егорьевского месторождения
фосфоритов
(оценка влияния экологических факторов на бортовое
содержание)
Автореферат диссертации на соискание ученой степени
кандидата геолого-минералогических наук
Научный
руководитель: Доктор геолого-минералогических наук, профессор Старостин Виктор
Иванович (Геологический факультет МГУ им. М.В. Ломоносова).
Москва,
2006
К.А.
Бычков/Геологический факультет МГУ
Введение.
Во
Введении объясняется, почему автор заинтересовался ролью экологических факторов
и их <давлением> на экономику горнорудного производства, что привело его
к идее о том, что нужно определять оптимальные бортовые содержания,
максимизируя прибыль предприятия. Есть одна сложность в демонстрации этой идеи
на практике. Дело в том, что опробование фосфоритов проводилось устаревшим способом,
который не отвечает современным требованиям. Главный недостаток этого способа
заключается в том, что для определения химического состава фосфоритов
опробуется только каждая десятая скважина. Это вносит осложнения в
непосредственном использовании некоторых геостатистических процедур.
Часть I.
Часть
I диссертационной работы посвящена геологическому строению Вострянского участка
Егорьевского месторождения. В главе I.1 дается краткий очерк геологии района.
Основное внимание уделяется описанию стратиграфического разреза. В главе I.2
описывается геологическое строение самого Вострянского участка. Подробно
рассматривается отложения юрской и меловой систем. Полнее всего изложены
условия залегания фосфоритной серии.
Глава
I.3. Трехмерное компьютерное моделирование геологического строения Вострянского
участка - основная в Части I и по смыслу, и по объему. Здесь на примере
Вострянского участка объясняется как, работая в комплексе программ MicroMine,
создавать компьютерные трехмерные модели месторождений. Описываются исходные
данные, методы их проверки и исправления. Рассматривается несколько методов
моделирования геологических поверхностей в двумерном и трехмерном пространстве.
Показывается методы моделирование геологических разрезов, построения стрингов,
а затем каркасных 3D-моделей. Строится полная каркасная модель всего
Вострянского участка в виде <сомкнутой> блок-диаграммы и в виде
<разомкнутой> блок-диаграммы. Проводится вариография мощностей всех слоев
фосфоритной серии участка. Рассказывается о блочных 3D-моделях геологических
тел. Строятся блочные модели всех горизонтов фосфоритной серии, в том числе в
виде сомкнутых и раздвинутых блочных блок-диаграмм. Все это совершенно
необходимо для того, чтобы производить подсчет запасов геостатистическим
методом. Только с помощью геостатистики можно практически моментально
производить многовариантный подсчет запасов с разными бортовыми содержаниями,
что и делается в части IV диссертации.
В
последнем параграфе этой главы дается пример того, как с помощью компьютерной
модели можно открыть новые, неизвестные геологические факты. При построении
многочисленных геологических разрезов было обращено внимание на то, что при
выходе фосфоритной пачки на обрывистый берег р. Медведки слои приобретают ясный
наклон вниз по склону рельефа. Долина р. Медведки более чем на 10 м врезана в
оксфордские глины. Загиб слоев вниз по склону (<ныряние>) объясняется
тем, что под большим весом вышележащих пород пластичные глины выдавливаются в
борта реки и уносятся водой в р. Москву. Самое интересное состоит в том, что
точно такие же наклоны фосфоритных слоев обнаружились в борту древней
неогеновой долины, которая на востоке разделяет Вострянский и Ёлкинский
участки. В настоящее время долина заполнена осадками верхнего неогена, но в
предшествовавший период, долина древней реки была углублена в оксфордские глины
на 10-15 м. То есть обстановка была той же самой, что в настоящее время в
крутом берегу р. Медведка. Значит, и в неогеновое время образовывались
оползневые складки. Нужно отметить, что об этих наклонах слоев было известно и
прежде, когда участок разведывался (1976 г.). Но наличие этих наклонов
объяснялось неровностями морского дна в период накопления осадков.
Защищаемое
положение (Тезис 1). Созданы компьютерные трехмерные каркасные и блочные модели
Вострянского участка Егорьевского месторождения. С помощью этих моделей
уточнены детали геологического строения. Впервые установлено наличие
гравитационных складок. Часть из них была сформирована в неогеновый период. С
помощью модели был произведен геостатистический анализ геологических и
геохимических параметров фосфоритных залежей.
Часть II.
Геохимия Вострянского участка.
Фосфориты
и вмещающие породы были опробованы на содержания основных оксидов,
микроэлементов, редких земель, радионуклидов. Результаты обработки более 1200
анализов изложены в 6 главах. В этой части очень широко используется
статистический анализ и привычные геохимикам коэффициенты концентрации и
геохимические спектры. Глава II.1. Посвящена геохимии мезо-кайнозойского
стратиграфического разреза. Выявлены химические элементы, характерные для
фосфоритной серии. Набор специфических элементов говорит о том, что
формирование фосфоритов происходило за счет нескольких областей сноса из
различных по составу пород - и ультраосновных, и среднекислых, и
метаморфических. В главе II.2 изложены результаты изучения поведения основных
оксидов (P2O5, Fe2O3, Al2O3, CO3, MgO, CaO) по всему разрезу продуктивной толщи
по очень коротким пробам (10-15 см). Проанализированы графики изменения всех
оксидов по мощности толщи, рассчитаны матрицы корреляций, построены точечные
графики зависимости. В результате намечены ассоциации оксидов. Например,
высокой положительной корреляцией отличается тройка оксидов P2O5 - Fe2O3 - CaO.
В главе II.3 приводятся результаты количественных спектральных анализов
собственных проб, отобранных на Новочеркасском участке и на рудном дворе
обогатительной фабрики (пос. Фосфоритовый) из руд, концентратов и меловых
песков. Пробы специально отбирались для анализа содержаний высоко токсичных
химических элементов (As, Cd, Tl, Hg и др.). Пробы анализировались
количественными спектральными методами. У прежних полуколичественных анализов
не хватало чувствительности, чтобы обнаружить эти элементы. Рассчитаны
коэффициенты концентрации, построены геохимические спектры. Концентрации высоко
токсичных элементов в фосфоритах невелики. В главе II.4 приведены результаты
анализа закономерностей распределения содержаний основных оксидов (P2O5, Fe2O3,
Al2O3, CO, CaO, MgO) по площади Вострянского участка. Здесь помещена 21 карта в
изолиниях распределения в пространстве семи оксидов в трех членах фосфоритной
серии. Делается предположение о том, что со времени формирования нижнего
фосфоритного слоя к периоду формирования верхнего фосфоритного слоя произошла
резкая смена гидродинамического режима в морском бассейне. Глава II.5. В ней
описывается геохимия 4-х радионуклидов (U, Ra, Th, K) всего Егорьевского
месторождения. Анализируется распределение их содержаний и по разрезу, и по
латерали. Рассчитываются матрицы корреляций, описательные статистики, строятся
гистограммы. Интересна разница в поведении урана и тория по мощности
мезо-кайнозойских отложений. Концентрации урана положительно коррелируют с содержаниями
фосфора, а тория - нет. При переходе из фосфоритов верхнего слоя в валанжинские
пески концентрации U падают как минимум в 5 раз, в то время как содержания Th
остаются практически на том же уровне. Из этого можно сделать вывод о том, что
и пути поступления, и области питания (сноса) у урана и тория были разными. В
главе II.6 обобщены данные по геохимии редкоземельных элементов в
месторождении. Они были заново пересчитаны (нормированы) и представлены
графически по общепринятым сейчас методикам. Выяснилось, что для Егорьевского
месторождения очень характерны положительные аномалии церия и неодима. Такие же
аномалии есть в Вятско-Камском месторождении. Остальные платформенные
месторождения Европы более позднего возраста лишены этой особенности. Считается,
что цериевые аномалии характерны для субаэральных условий формирования осадков.
Защищаемое
положение (Тезис 2). Анализ содержаний макроэлементов (основных оксидов) и
концентраций элементов-примесей позволяет предположить, что между формированием
нижнего и верхнего фосфоритных слоев произошла резкая смена гидродинамического
режима в морском бассейне. Торий и уран поступали в бассейн из разных
источников - после формирования фосфоритной серии содержания урана снизились в
5 и более раз, а концентрации тория остались прежними. Для фосфоритов
Егорьевского месторождения характерны положительные аномалии церия и неодима,
отсутствующие в большинстве других фосфоритовых месторождений. Содержания
оксидов(Fe2O3, Al2O3), вредных для производства суперфосфатов, находятся в
фосфоритах в допустимых пределах.
Часть III.
Часть
III. Экологические проблемы разработки месторождений фосфоритов разнообразны,
но для Егорьевского месторождения наиболее остро стоят пять проблем,
рассмотрение которых сведено в 5 глав.
Глава
III.1. Нарушение ландшафта на Егорьевском месторождении является одной из самых
серьезных экологических проблем. Очень велика общая площадь всех участков -
примерно 400 км2. Образно выражаясь, на площади немного меньшей площади г.
Москвы нужно снести леса, луга и поля, снять вскрышные породы (от 2 до 30 м),
добыть фосфориты, а затем вернуть вскрышные породы на место, разровнять,
рекультивировать и вновь засадить лесом. Детально разработана технология
разработки фосфоритов (<подвижная траншея>), которая позволяет проделать
эту огромную по объему работу с минимальным ущербом для природы. Причем,
доказано, что через 30-50 лет полностью восстанавливаются не только сами
ландшафты, но и биоценоз. Большие площади займут также отходы обогащения фосфоритов.
И хоть их размещают на малоценных, пониженных, болотистых участках, а потом
засаживают лесом, но ландшафт в этих местах изменяется коренным образом. Работы
по восстановлению ландшафтов требуют больших материальных и финансовых затрат.
Они заметно снижают рентабельность разработки фосфоритов.
Глава
III.2. Попутное уничтожение других минеральных месторождений - еще одна
серьезнейшая экологическая проблема. Дело в том, что стратиграфически выше
фосфоритной серии залегают месторождения формовочных, стекольных и строительных
песков, огнеупорных и кирпичных глин. Естественно, при добыче фосфоритов все
эти полезные ископаемые, как вскрышные породы, будут сброшены в отвалы и
безвозвратно утеряны. Только в уже разведанных месторождениях может исчезнуть
более 0,5 млрд. т формовочных и стекольных песков. Несомненно, эти потери
отрицательно скажутся на экономике горнодобывающего предприятия.
Глава
III.4. Токсичные элементы в фосфоритах - это то, что, действительно,
представляет опасность. Будучи внесенными вместе с фосфоритной мукой в почву,
они могут попасть в растения, а далее по пищевой цепочке - в человека, создавая
угрозу его здоровью. Общепринятой методики оценки безопасности использования
удобрений с известными концентрациями токсичных элементов нет. В
диссертационной работе используется 3 способа. Один из способов предложен
впервые. Он заключается в следующем. Задается норма внесения фосфора в почву,
например, 100 кг P на 1 га. Конкретно, в фосфоритной муке содержится 25% P2O5 .
Путем пересчетов можно выяснить, что фосмуки нужно будет внести на гектар без
малого 1 тонну, чтобы чистого P оказалось 100 кг/га. Задается глубина внесения
удобрения, скажем, 0,2 м. Затем вычисляется коэффициент разубоживания (или
разбавления), который равен весу внесенного удобрения, деленному на массу
почвы, в которую оно запахивается. Примем, что объемная масса почвы равна 1,5
т/м3. Тогда коэффициент разубоживания будет равен 1/3000, то есть 1 т
фосфоритной муки <растворится> в 3 тыс. т почвы. Тем самым содержание определенного
химического элемента в почве будет равно исходному содержанию его в почве до
внесения удобрения плюс 1/3000 часть от концентрации этого элемента в
удобрении. Зная эти суммарные концентрации, мы можем оценить безопасность
применения удобрения, используя дальше хорошо отработанную методику оценки
загрязнения почвы токсичными химическими элементами. Результаты оценки
безопасности применения удобрений всеми 3-мя способами показали, что
использование фосфоритной муки в качестве удобрения безопасно.
Глава
III.5. Радиационная безопасность добычи, переработки и использования
егорьевских фосфоритов в качестве удобрений неоднократно констатировалась
разными институтами, организациями и комиссиями. Нам оставалось проверить,
соответствуют ли содержания радионуклидов новым требованиям <норм
радиационной безопасности> [НРБ-99]. Содержания радионуклидов в фосфоритах и
вмещающих породах безопасны как для людей, работающих на их добыче и
обогащении, так и для окружающего населения. Содержания радионуклидов в фосфоритной
муке отвечают новым нормам по радиационной безопасности для их концентраций в
удобрениях.
Защищаемое
положение (Тезис 3). Добыча и переработка егорьевских фосфоритов и
использование произведенной из них фосфоритной муки в качестве удобрения -
безопасны с точки зрения концентраций токсичных химических элементов и
радионуклидов. При разработке фосфоритов полностью уничтожаются ландшафты,
которые восстанавливаются, но только через несколько десятков лет. Попутно при
добыче фосфоритов уничтожаются месторождения формовочных и стекольных кварцевых
песков, огнеупорных и кирпичных глин.
Часть IV.
Часть
IV называется <Экономическая геология>. В ней проводится основная идея
диссертации - зависимость финансово-экономической оценки месторождения от
многих параметров. Не последнюю роль в такой оценке играет величина принятых
бортовых и минимальных промышленных значений основных параметров месторождений.
В современном варианте приходится делать десятки вариантов расчетов запасов
полезных ископаемых, поэтому важно, чтобы такие повариантные расчеты были не
только полностью автоматизированы, но и проводились новыми геостатистическими
методами.
Глава
IV.1. Подсчет запасов участка проводился в последовательности: построение
вариограмм → подгонка модельных вариограмм → кригинг →
собственно подсчет запасов. Вариограммы строились только для мощностей,
поскольку данных по содержаниям P2O5 явно недостаточно для построения
вариограммы. Содержания P2O5 оценивались интерполяцией по методу обратных
расстояний. По простоте интерпретации лучше всего выглядит вариограмма мощности
горизонта кварц-глауконитовых песков. Неплохо интерпретируется и вариограмма
мощности нижнего фосфоритного слоя. Изменчивость дисперсии мощности верхнего
фосфоритного слоя с расстоянием между выработками интерпретируется хуже. Это
понятно - ведь верхний фосфоритный слой размыт и эродирован значительно сильнее
двух других, лежащих под ним. Для всех трех фосфоритных слоев была выбрана
сферическая модельная функция. Во всех случаях отмечается эффект самородков,
примерно равный половине значения порога. Глава иллюстрируется картами (для
всех трех членов фоссерии): кригинговых оценок мощности, дисперсий кригинга,
стандартных ошибок. Разбраковку блоков проводить не понадобилось.
По
существующим кондициям запасы месторождения подсчитываются только там, где
мощность верхнего фосфоритного слоя больше 30 см, а мощность вскрыши меньше 25
м. Если подсчитать запасы геостатистическим методом, точно следуя этим
кондициям, то мы получим величину запасов руды 3 527 тыс. т. Эта цифра меньше
ранее подсчитанных запасов (методом геологических блоков) всего на 4,6%. Так и
должно быть. Общие запасы по месторождению, подсчитанные геостатистическими
методами и традиционными способами российских геологов, должны быть очень
близкими. Но только в геостатистическом подсчете запасов мы получаем: запасы в
каждом из 14 тысяч блоков; дисперсию кригинга; количество точек, по которым
оценивались параметры блока.
Глава
IV.2. Зная запасы месторождения, можно произвести стандартную
финансово-экономическую оценку проекта разработки месторождения. В этой главе
представлена одна из конечных таблиц подобных оценок. На самом деле их было
просчитано несколько десятков вариантов, отличающихся значениями многих
параметров рудных тел и производственных расходов. В числе наиболее важных
величин, значения которых удалось <нащупать> такими многовариантными
расчетами, находится возможная цена фосфоритной муки. В СССР егорьевская
фосмука стоила 8-12 рублей за тонну. С тех пор, как была прекращена добыча
фосфоритов, представление о возможной стоимости фосмуки было утрачено. После
произведенных расчетов стало ясно, что рентабельным производство может быть
только тогда, когда цена фосфоритной муки будет находиться на уровне 40
долларов США за одну тонну. Для сравнения можно назвать сегодняшнюю цену за 1 т
апатитового концентрата - 44 доллара.
Глава
IV.3 посвящена теории бортовых и минимальных промышленных содержаний. С одной
стороны, Российские геологи разделяют понятия <бортовое содержание> и
<минимальное промышленное содержание>. С другой стороны, они признают,
что во многих случаях смысл обоих понятий совпадает. В странах с рыночной
экономикой эти два понятия вообще не различаются. Точнее говоря, там термин
<минимальное промышленное содержание> практически не используется.
Поэтому в этой главе мы ограничимся <теорией> бортового содержания.
Бортовое
содержание выражается содержанием полезного компонента, а в месторождениях
комплексных руд - суммой имеющих промышленное значение содержаний полезных компонентов,
приведенных к содержанию условного основного компонента, имеющего максимальную
извлекаемую стоимость.
Бортовое
содержание, как правило, должно определяться на основе повариантных
технико-экономических расчётов, позволяющих учесть всю совокупность
горно-геологических, технологических и экономических факторов оценки
месторождения. В действительности, это - последовательный просчет нескольких
вариантов оценки месторождения при различных значениях бортового содержания.
При этом решающими показателями являются прирост или потеря запасов руды и
конечного продукта, годовая выдача продукции, рентабельность, величина
капитальных затрат на строительство горнорудного предприятия. Количество
вариантов бортового содержания должно быть достаточным для однозначного
технико-экономического обоснования оптимального его значения.
В
этой главе автор на концептуальном уровне демонстрирует принцип оптимизации
бортового содержания в зависимости от геологических, технологических и
экологических факторов. Бортовое содержание (БС) является таким содержанием
полезного компонента в руде, при котором обеспечивается безубыточная добыча и
переработка данного сырья в промышленный продукт. Геологи России обычно
используют упрощенную формулу расчета БС:
в которой фигурируют затраты (З), связанные с
добычей, переработкой и транспортировкой 1 т руды, цена (Ц) за единицу
полезного компонента, коэффициент извлечения полезного компонента из руды (И) и
коэффициент разубоживания (Р).
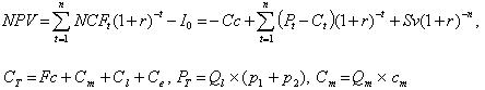
Горняки
часто оптимизируют БС, максимизируя NPV - чистую дисконтированную прибыль (Net
Present Value):
(для
Cl и Ce - аналогично), где NCF=(P-C) - чистая прибыль; Io=Cc -начальные
капитальные затраты; r - ставка дисконта; n - срок осуществления проекта; CT,
Cm, Cl, Ce, Fc - общая стоимость, затраты на добычу, обогащение и экологию,
фиксированная стоимость; Sv - современная величина остаточной стоимости
оборудования.
Но,
на самом деле, БС определяется большим числом факторов: средним содержанием
полезных компонентов, запасами руды, технологией добычи и переработки, ставкой
дисконта, продолжительностью работы рудника, производительностью обогатительной
фабрики, правовыми условиями, географическим положением, возникающими экологическими
проблемами и многим другим. Каждый из этих факторов не является постоянной
величиной, а меняется в пространстве и времени. Многие из них связаны друг с
другом.
Рассматривая
на качественном уровне взаимосвязь некоторых из них со средним содержанием
основного полезного компонента, можно обнаружить существование 3 границ: 1 -
геологической; 2 - технологической; 3 - экологической.
В
горнорудном производстве существуют 3 стадии: добыча, обогащение и передел.
Примем, что Qm, Ql, Qe - количество руды, концентрата и полезного компонента, а
g - содержание компонента в руде. Тогда Qm=kmQ(g)-a ( для Cl и Ce -
аналогично), где Зависимость между запасами руды и средним содержанием выглядит
следующим образом - чем беднее руда, тем больше запасы. Но на определенном
интервале образуется некоторая <полочка> - среднее содержание в этом
интервале меняется, а запасы остаются одними и теми же. Этот интервал
называется <геологической границей>, потому что ее появление обязано
геологическим особенностям месторождения. При меньших содержаниях запасы
заметно увеличиваются, но отработка их становится нерентабельной. Еще ярче эта
граница проявляется на графике <средние содержания - чистая дисконтированная
прибыль>. Слева от этой границы мы будем иметь убытки. Вряд ли будет выгодна
отработка очень богатых по содержаниям, но очень маленьких по запасам
месторождений.
Затраты
на обогащение руды увеличиваются со снижением среднего содержания. Здесь, как и
в предыдущем случае, появляется <технологическая граница> - при
переработке больших объемов руды с бедными содержаниями затраты резко
возрастают. Прибыль можно получить только в том случае, когда среднее
содержание превышает эту <технологическую границу>.
Затраты
на ликвидацию экологических последствий деятельности горнорудных предприятий
также явно зависят от значения среднего содержания. В частности затраты на
рекультивацию и восстановление земель, занятых отвалами бедных руд и пустых
пород могут быть столь велики, что возникает своеобразная <экологическая
граница> в содержаниях полезных компонентов, ниже которой предприятие будет
терпеть убытки.
Можно
было бы рассмотреть еще несколько зависимостей между факторами, определяющими
значение БС. Но, по смыслу, все они похожи. Если изобразить все эти зависимости
на одном графике, то мы получим серию кривых сначала, показывающих, как
прибыль, обусловленная геологическими Pvm, технологическими Pvl, экологическими
Pve и другими причинами при росте содержаний сначала возрастает, пересекая при
этом уровень нулевой рентабельности, а потом по мере увеличения содержаний
начинает снижаться. По нашему мнению, величину БС нужно определять как
минимаксное значение по всем этим кривым (рис. 1):

|
|
Строение
продуктивной толщи Егорьевского месторождения наталкивает на мысль о том, как
можно менять БС с тем, чтобы найти его оптимальное значение. Верхний и нижний
фосфоритные слои разделены кварц-глауконитовыми песками. Этот горизонт - не
абсолютно пустой по содержаниям P2O5. Содержания оксида фосфора варьируют здесь
от 4% до 9%. Если последовательно включать в рудное тело <пласты>
кварц-глауконитовых песков мощностью 10 см, 20 см, 30 см и т.д., мы, тем самым,
будем последовательно разубоживать руды верхнего и нижнего рудных слоев.
Соответственно, будут меняться запасы руды, среднее содержание, выход
концентрата и фосмуки. Каждый вариант будет просчитан по схеме
финансово-экономической оценки горнорудных проектов. В Приложении к работе
представлены результаты 22-х вариантов таких расчетов. В каждом варианте
показаны объемные доли рудных и <нерудных> частей, соответствующие им
средние и бортовые содержания, выход концентрата (фосмуки), и другая
информация. Все графики данной главы построены по результатам расчетов,
представленных в таблицах.
|
|
Сначала
рассмотрим, как меняются запасы руды в зависимости от БС. Ясно, что при высоком
БС руда будет богатой, но ее будет мало. Со снижением БС будут расти запасы. Но
существует момент, при котором БС будет снижаться, но запасы практически
останутся теми же самыми. Образуется своеобразный перегиб графика (рис. 2)
вблизи от 11%. Такой же отчетливый перегиб образуется на графике <средние
содержания - запасы>, но только на отметке 14%. Так в реальности выглядит
излом на графике, названный в предыдущей главе <геологической границей>.
Если
мы построим график <бортовое содержание - чистая дисконтированная
прибыль>, то получим дугообразную кривую с максимальным значением около 11%.
И левая, и правая ветви графика показывают отрицательную прибыль. И это
понятно. Если обогащать очень бедную руду, то многие расходы уходят
<впустую>. А если руда очень богата, то это тоже не очень хорошо - руды
мало, а, значит, и прибыль будет небольшой (рис. 3). Такой же горб, но только
пологий, мы найдем на графике <среднее содержание - запасы концентрата>,
но только вблизи от среднего содержания 14%. Этот перелом графика говорит о
том, что при дальнейшем повышении среднего содержания запасы руды будут
существенно меньше, а, значит, и запасы концентрата тоже будут меньше. Так мы
получаем <технологическую границу>.
Обратите
внимание, что NPV очень маленькая. Она положительная только в области,
непосредственно примыкающей к БС 11%.
Построим
график <среднее содержание в руде - затраты на экологию при изготовлении 1 т
концентрата>. Получится вогнутая кривая (рис. 4). Чем беднее будет руда, тем
больше будет добыто руды и тем больше будут затраты на рекультивацию земель.
При росте содержаний от 15% до 16% будет получено почти в 2 раза меньше
концентрата, а затраты на экологию останутся почти теми же. В результате резко
возрастет <экологическая нагрузка> на каждую тонну концентрата.
Куполовидная
кривая получается на графике <бортовое содержание - чистая дисконтированная
прибыль>. Здесь две кривых (рис. 5). Одна показывает NPV без экологических
затрат, а вторая - NPV с затратами на экологию. Закрашенная область отражает
влияние экологии на рентабельность производства. Это - своеобразная
<экологическая граница>.
Черная
кривая показывает, как меняется NPV при изменении БС в случае отсутствия затрат
на экологию. Красная кривая отражает NPV с затратами на экологию.
В
предыдущей <теоретической> главе говорилось, что оптимальное значение БС
ищется минимаксными математическими методами по нескольким эмпирическим кривым.
В реальности получается, что в минимаксных подходах в нашем случае нет
необходимости. Дело в том, что во всех случаях мы получили однозначные ответы
на вопросы об оптимальных значениях и бортового (11%) и среднего (14%)
содержания.
В
Приложении представлены варианты бортовых содержаний, соответствующие им запасы
руд и оксида фосфора. Произведенный поливариантный анализ проекта позволяет
утверждать, что в Вострянском участке наибольшая чистая дисконтированная
прибыль будет получена при бортовом содержании P2O5 - 11%. При этом среднее
содержание P2O5 в руде окажется равным 14%. Эти величины являются оптимальными
для данной части Егорьевского месторождения. Им соответствуют запасы руды 3 527
332 т, из которых будет получено 1 646 961 т концентрата, то есть фосфоритной
муки.
Защищаемое
положение (Тезис 4). Затраты на ликвидацию экологического ущерба, связанного с
восстановлением ландшафтов, и попутным с добычей уничтожением месторождений
формовочных и стекольных песков, огнеупорных и кирпичных глин делают добычу и
переработку егорьевских фосфоритов малорентабельным предприятием при стоимости
1-ой тонны фосфоритной руды примерно 40 долларов США. Чтобы эксплуатация
егорьевских фосфоритов была прибыльной, необходимо разработать новые
технологические схемы добычи и переработки фосфоритов, исключающие уничтожение
вышезалегающих месторождений.
Заключение.
Егорьевское
месторождение фосфоритов и Вострянский участок, в частности, являются
достаточно удачным объектом, на примере которого можно продемонстрировать
основную идею диссертационной работы. Решение экологических проблем требует все
больших и больших затрат. Они становятся определяющими факторами, влияющими на
рентабельность работы горнорудных предприятий. Решение многовариантных задач с
меняющимися величинами бортовых значений любых параметров рудных тел
(содержаний полезных компонентов, мощностей рудных тел, процентов извлечения в
концентрат и т.п.) помогают нащупать оптимальные варианты этих бортовых
содержаний.
Фосфориты
Егорьевского месторождения в данное время не разрабатываются. Приостановка их
разработки вызвана именно тем обстоятельством, что его значительные запасы,
находящиеся на грани экономической рентабельности, не выдержали давления
экологических факторов, и, естественным образом, перешли в разряд забалансовых.
Список литературы
Для
подготовки данной работы были использованы материалы с сайта http://geo.web.ru/