Розрахунки й аналіз характеристик засобів передачі інформації в системі технічного захисту інформації
МІНІСТЕРСТВО
ОСВІТИ І НАУКИ УКРАЇНИ
НАЦІОНАЛЬНИЙ
УНІВЕРСИТЕТ «ЛЬВІВСЬКА ПОЛІТЕХНІКА»
Кафедра
«Захист інформації»
КУРСОВА
РОБОТА
з
дисципліни:
«Засоби
передачі інформації в системах технічного захисту інформації»
на
тему:
«РОЗРАХУНКИ
Й АНАЛІЗ ХАРАКТЕРИСТИК ЗАСОБІВ ПЕРЕДАЧІ ІНФОРМАЦІЇ В СИСТЕМАХ ТЗІ»
Виконав: ст. гр. ЗІ- 31
Сімашко С.В.
Перевірив:
Львів
2010
ЗМІСТ
Завдання та вихідні дані на курсову роботу
Вступ
1.1 Структурна схема цифрової системи передачі інформації
.2 Розрахунки параметрів АЦП та ЦАП
1.3 Кодування коректуючим (завадостійким) кодом
.4 Шифрування в системі передачі інформації
.5 Модулятор системи передачі
.6 Аналіз роботи демодулятора
.7 Декодування коректую чого коду
.8 Порівняння завадостійкості систем зв’язку
.9 Розрахунки інформаційних характеристик системи
передачі
1.10 Аналіз аналогової системи передачі
1.11 Висновки
Перелік посилань
Додаток 1
ЗАВДАННЯ ТА ВИХИДНІ ДАНІ НА КУРСОВУ РОБОТУ
Варіант №46
Завдання на виконання курсової роботи
В системі технічного захисту інформації повідомлення
неперервного джерела передається каналом зв’язку методом імпульсно-кодової
модуляції (ІКМ). У каналі зв’язку використовуються модуляція і завадостійке
кодування. Для передачі неперервним каналом зв’язку з постійними параметрами й
адитивним білим гаусовим шумом використовується модуляція гармонічного
передавача. Необхідно дати опис процесів в окремих блоках заданої системи
передавання і розрахувати її основні параметри.
Вихідні дані до курсової роботи
Наведемо вихідні дані :
1. Джерело повідомлень задане характеристиками первинного сигналу 
:
· коефіцієнт
амплітуди
;
· максимальна
частота спектра
· середня
потужність сигналу
;
· амплітуда
сигналу
.
. ІКМ перетворення неперервного сигналу в цифровий виконується з
використання мрівномірного квантування, допустиме відношення сигнал/шум
квантування
дБ.
. Допустиме відношення сигнал/шум на вході одержувача
.
. Рівні квантування:
.
. Метод модуляції гармонічного передавача - АМ-2.
. Спосіб прийому - некогерентний.
. Спектральна густина потужності завади
.
Вступ
Метою курсової роботи є закріплення знань основних засад
курсу «Засоби передачі інформації в системах технічного захисту інформації»,
шляхом проведення розрахунків характеристик різних систем передачі захищеного
зв’язку та порівняння їх за допомогою розрахованих характеристик.
У ситстемі технічного захисту інформації повідомлення
неперервного джерела передають каналом зв’язку методом імпульсно-кодової
модуляції (ІКМ). У каналі зв’язку використовують модуляцію і завадостійке
кодування. Для передачі неперервним каналом по лінії зв’язку з постійними
параметрами й адитивним білим гаусовим шумом використовують модуляцію
гармонічного носія сигналу. В цьому курсовому проекті дається опис процесів в
окремих блоках заданої системи передачі, розраховується її основні параметри та
зіставляється цифрова та аналогова системи передачі інформації.
1.1 Структурна схема цифрової
системи передачі інформації
Зобразимо структурну схему цифрової системи передачі
неперервних повідомлень (рис. 1).
Рис. 1. Структурна схема цифрової системи передавання
інформації
У випадку захищеного зв’язку за основу структурної схеми
системи зв’язку з ІКМ можна взяти схему, що наведена на рис. 2. На рис. 2
показано, що передавач містить у собі кодеркоректуючого коду, шифратор та
модулятор, а приймач - демодулятор, дешифратор та декодер коректуючого коду.
Рис. 2. Структурна схема системи передачі інформації в
системі технічного захисту інформації
Призначення кожного блоку
1. джерело повідомлення призначене для подачі в систему
цифрової передачі неперервного сигналу;
2. АЦП призначений для перетворення неперервного сигналу
в дискретний (цифровий);
. кодер коректуючого коду підвищує завадостійкість
системи передачі за допомогою використання завадостійких кодів, що здатні
виявляти і виправляти помилки.;
. шифратор призначений для захисту інформації, яка
передається через канал зв’язкуза допомогою її шифруваня;
. призначений для узгодження інформаційного сигналу з
каналом зв’язку.;
. демодулятор призначений для виділення інформаційного
сигналу з коливання;
. канал зв’язку - це сукупність технічних засобів та
середовища розповсюдження, що забезпечують передачу повідомлень від джерела до
одержувача;
. дешифратор призначений для вилучення вихідних даних
із зашифрованих даних;
. декодер коду що коректує, здійснює виправлення або
виявлення помилок, перетворює кодову комбінацію у комбінацію простого коду;
. ЦАП перетворює кодові комбінації в неперервний сигнал;
. одержувач повідомлень приймає неперервний сигнал із
системи цифрової передачі неперервних повідомлень.
Основні параметри, які характеризують кожний блок
1. Параметри джерела повідомлень: ентропія ентропія джерела
, коефіцієнт надлишковості джерела
, продуктивність джерела,
, щільність ймовірності миттєвих значень сигналу
.
. Параметри АЦП та ЦАП: частота дискретизації
, інтервал дискретизації
, число рівнів квантування, крок квантування
, значущість двійкового коду АЦП.
. Параметри кодера коректуючого коду: значущість коректуючого коду,
кількість інформаційних символів кодової комбінації
, кратність помилок, що виправляються
.
Коректуючі коди будуються так, що для передачі повідомлення
використовуються не всі кодові комбінації, а лише деяку їх частину (дозволені
кодові комбінації). Тим самим, виникає можливість виявлення і виправлення при
непавильному відтворенні деякого числа символів. Коректуючі властивості кодів
досягаються введенням в кодові комбінації додаткових(надлишкових) символів.
4. Параметри шифратора та дешифратора.
Шифратор (рис. 3) призначений для перетворення напруги високого рівня
на одному з
входів в паралельний двійковий код, що формується на
виходах. Кількість входів і виходів пов’язані між
собою співвідношенням
. Можливі варіанти шифраторів, в яких кодується
вхідний сигнал низького рівня. Сигнал низького рівня, який кодується, поступає
на один з входів
. На інших входах повинні бути сигнали високого рівня
(табл. 1). На виходах
формується двійковий код, який відповідає тому
входові, на якому знаходиться напруга низького рівня. Таким чином, 8-ми різним
позиціям напруги низького рівня на входах відповідає 8 різних комбінацій напруг
на виходах.
Мікросхема має керуючий вхід 
.
Якщо сигнал на цьому вході набуває значення 0, то надають дозвіл роботи ІМС в
режимі кодування, якщо сигнал дорівнює 1, то дозвіл на роботу. У випадку
заборони на всіх виходах встановлюються напруги високого рівня незалежно від
сигналів на входах.
Основну свою функцію деякі шифратори реалізують з пріоритетом
кодованого сигналу. Наприклад, в шифраторі К155ИВ1 функція пріоритету
виконується наступним чином: якщо на його входах з’явиться декілька сигналів
низького рівня, то код на виході буде відповідати сигналові низького рівня, що
знаходиться на вході зі старшим номером (при комбінаціях вхідних сигналів
11110111, 00000111, 10100111 результат буде один: на виході в усіх випадках
буде сформовано код 011, оскільки пріоритетом володіє нульовий сигнал на вході
).
Таблиця 1
Робота шифраторів К155ИВ1
|
ВХОДИ
|
ВИХОДИ
|
|
X0
|
X1
|
X2
|
X3
|
X4
|
X5
|
X6
|
X7
|
Y0
|
Y1
|
Y2
|
G
|
P
|
|
1
|
1
|
1
|
1
|
1
|
1
|
1
|
0
|
0
|
0
|
0
|
0
|
1
|
|
1
|
1
|
1
|
1
|
1
|
1
|
0
|
1
|
1
|
0
|
0
|
0
|
1
|
|
1
|
1
|
1
|
1
|
1
|
0
|
1
|
1
|
0
|
1
|
0
|
0
|
1
|
|
1
|
1
|
1
|
1
|
0
|
1
|
1
|
1
|
1
|
1
|
0
|
0
|
1
|
|
1
|
1
|
1
|
0
|
1
|
1
|
1
|
1
|
0
|
0
|
1
|
0
|
1
|
|
1
|
1
|
0
|
1
|
1
|
1
|
1
|
1
|
1
|
0
|
1
|
0
|
1
|
|
1
|
0
|
1
|
1
|
1
|
1
|
1
|
1
|
0
|
1
|
1
|
0
|
1
|
|
0
|
1
|
1
|
1
|
1
|
1
|
1
|
1
|
1
|
1
|
1
|
0
|
1
|
|
1
|
1
|
1
|
1
|
1
|
1
|
1
|
1
|
1
|
1
|
1
|
1
|
0
|
Рис. 3. Схема шифратора
Таблиця 2
Склад шифраторів у серіях ІМС
|
Мікросхема
|
Кількість
входів-виходів
|
Середня затримка,
нс
|
Напруга живлення, В
|
Потужність
споживання, мВт
|
Наявність входу
"строб"
|
|
Шифратори
|
|
К500ИВ165
|
8-3
|
18
|
-5.2
|
730
|
+
|
|
К155ИВ1
|
8-3
|
19
|
5
|
300
|
+
|
|
К555ИВ1
|
8-3
|
55
|
5
|
100
|
+
|
|
К555ИВ3
|
8-3
|
32
|
5
|
95
|
-
|
Дешифратор (рис. 4) виконує операцію перетворення
-елементного паралельного коду на входах в сигнал
високого (або низького) рівня на одному з його
виходів.
Дешифратор називається повним, якщо кількість виходів рівна кількості можливих наборів
вхідних сигналів, тобто
.
Рис. 4. Схема дешифратора
Неповний дешифратор має меншу кількість виходів, як,
наприклад, дешифратор К155ИД1, який при чотирьох входах має тільки десять
виходів. Мікросхеми дешифраторів різних серій відрізняються швидкодією,
енергоспоживанням, кількістю виходів (повні та неповні), наявністю або
відсутністю стробуючого входу.
. Параметри модулятора та демодулятора.
Для того щоб передавати неперервні сигнали зазвичай використовують
дискретний канал зв’язку. Для передачі дискретним каналом зв’язку, потрібно
перетворити неперервне повідомлення в дискретний (цифровий) сигнал, тобто в
послідовність нулів та одиниць, при цьому потрібно зберегти змістовну частину
інформації, яка знаходиться в повідомленні, яка визначається його
епсілон-ентропією(
). Типовими прикладами цифрових систем передавання
неперервних повідомлень є системи з імпульсно-кодовою модуляцією (ІКМ) та
дельта-модуляцією (ДМ).
Перетворення неперервного повідомлення в дискретну (цифрову) форму
виконується за допомогою операцій дискретизації та квантування. Отримана таким
чином послідовність квантованих відліків кодується, шифрується і передається у
дискретному каналі, як і будь-яке інше повідомлення. Далі, після дешифрування
та декодування, неперервне повідомлення відновлюється (із заданою точністю) на
приймальній стороні.
Цифрові системи передачі (ЦСП) забезпечує їх високу завадостійкість. Це
найкраще проявляєтсья в системах передавання з багаторазовою ретрансляцією
(переприйомом) сигналів. Типовими системами такого типу є, зокрема, захищені
кабельні та радіорелейні лінії великої віддаленості. У них сигнали передаються
по ланцюжку ретрансляторів, що розташованні на віддалі один від одного, які
забезпечують надійний зв’язок. В таких системах завади та викривлення, що
виникають в окремих частинах лінії зв’язку, як правило, накопичуються.
Якщо система складається із
однакових
ланок, для забезпечення заданої якості зв’язку необхідно забезпечити на вході
кожного ретранслятора відношення сигнал/шум в
разів
більше, ніж при передаванні без ретрансювання. В реальних системах кількість
ретрансляцій
може досягати декількох десятків, а інколи і сотень.
В цих випадках нокопичення завад вздовж тракту передавання стає основним
фактором, що обмежує дальність лінії зв’язку.
При цифрових системах передавання з метою послаблення ефекту
накопичення завад при передаванні з ретранслюванням разом із підсилення
використовується регенерація імпульсів, тобто демодуляція з відновленням
переданих кодових символів і повторна модуляція на переприйомному пункті. При
використанні регенерації адитивна завада із входу ретранслятора не поступає на
його вихід. Проте, вона здійснює помилки при демодуляції.
При цифровій системі передавання неперервних повідомлень можна, крім
того, підвищити точність шляхом застосування завадостійкого кодування. Висока
завадостійкість цифрових систем передавання дозволяє здійснити практично
безмежний за дальністю зв’язок при використанні каналів досить невисокої
якості.
Іншою важливою перевагою цифрових систем передавання інформації є
широке використання в апаратурі перетворення сигналів сучасної елементної бази
цифрової обчислювальної техніки та мікроелектроніки. Більше того, на цифровій
основі можуть бути об’єднані в єдину систему сигнали передавання даних із
сигналами передавання мовлення і телебачення. Можливість зведення всіх видів
інформації, яка передається до цифрової форми дозволить здійснити інтеграцію
систем передавання і систем комутації. Простота з’єднання цифрового каналу з
ЕОМ дозволяє суттєво розширити галузь використання обчислювальної техніки при побудові
апаратури захищеного зв’язку і автоматизації управління мережами зв’язку,
пришвидшити таким чином вирішення проблеми побудови єдиної захищеної
автоматизованої мережі зв’язку країни.
На відміну від неперервного каналу передавання, в складі цифрового
каналу зв’язку передбачені пристрої для перетворення неперервного повідомлення
в цифрову форму - аналого-цифровий перетворювач (АЦП) на стороні передавача і
пристрої перетворення цифрового сигналу в неперервний - цифро-аналоговий
перетворювач (ЦАП) на приймальній стороні (рис. 5).
Рис. 5. Структурна схема системи цифрового передавання неперервних
повідомлень
цифровий передача інформація кодування
Перетворення аналог-цифра складається з трьох операцій (рис. 6):
спочатку неперервне повідомлення піддається дискретизації за часом через
інтервали
(рис. 6, а); отримані відліки миттєвих значень
квантуються (рис. 6, б); тоді, отримана послідовність
квантованих значень
повідомлення, яке передається представляється завдяки
кодуванню у вигляді послідовності 
-ічних
кодових комбінацій (рис. 6, в). Таке перетворення називається імпульсно-кодовою
модуляцією (ІКМ). Частіше за все кодування в цьому випадку зводиться до запису
номеру рівня в двійковій системі числення.
Рис. 6. Перетворення неперервного повідомлення в
послідовність двійкових імпульсів: а) дискретизація б) квантування; в)
кодування г) повідомлення, яке передається
Отриманий з виходу АЦП сигнал ІКМ поступає або безпосередньо
в лінію зв’язку, або на вхід передавача (модулятора), в якому послідовність
двійкових імпульсів перетворюється у радіоімпульси.
На прийомній стороні лінії зв’язку послідовність імпульсів
після демодуляції та регенерації в приймачі поступає на цифро-аналоговий
перетворювач (ЦАП), призначення якого полягає у зворотньому перетворенні
(відновленні) неперервного повідомлення за прийнятою послідовністю кодових
комбінацій. В склад ЦАП входять декодуючий пристрій, який призначений для
перетворення кодових комбінацій в квантовану послідовність відліків і згладжуючий
фільтр, який відновлює неперервне повідомлення за квантованим значенням.
Перетворення неперервних повідомлень в цифрову форму в системах ІКМ
супроводжується округленням миттєвих значень до найближчих дозволених рівнів
квантування. Похибки, яка при цьому виникає неможливо позбутися, але можна її
контролювати (оскільки вона не перевищує половини кроку квантування). Обравши
достатньо малий крок квантування можна забезпечити еквівалентність за заданим
-критерієм початкового квантованогоповідомлення.
Похибку квантування, яка є різницею між вхідним повідомленням і повідомленням,
яке відновлене за квантованими відліками називається шумом квантування.
Однією з причин , які призводять до відмінності прийнятого повідомлення
від переданого в системі ІКМ є шум квантування, інша - завади в каналі, які
накладаються на символи кодових комбінацій, що передаються і можуть викликати
помилки. Помилки в символах (при відсутності надлишковості) призводять до
помилкового декодування всієї кодової комбінації.
В результаті помилкового декодування символу дійсно передане дискретне
значення повідомлення замінюється іншим можливим (не обов’язково найближчим);
похибка залежить від того, які із символів кодової комбінації прийняті з
помилкою. Назвемо цю складову шуму шумом хибних імпульсів. Таким чином, при
оцінці завадостійкості необхідно враховувати сумарний шум як за рахунок
квантування , так і за рахунок хибних імпульсів при декодуванні.
Шум квантування не пов’язаний із завадами в каналі і цілком визначається
вибором кількості рівнів квантування (
).
Його можна зробити як завгодно малим, збільшуючи кількість рівнів. При цьому
доведеться збільшувати кількість кодових символів, що припадають на кожний
відлік і, відповідно, скоротити тривалість символу та розширити спектр сигналу
в каналі. Таким чином, також, як і при завадостійких аналогових видах
модуляції, зниження цього шуму досягається за рахунок розширення спектру
сигналу.
Шум хибних імпульсів є аномальним. Він цілком визначається завадами в
каналі та видом модуляції несучої. При розширені спектру сигналу потужність
аномального шуму, як правило зростає.
1.2 Розрахунки параметрів АЦП та
ЦАП
1) Зобразимо структурну схему АЦП (рис. 7).
Рис.7. Структурна схема АЦП
Опис роботи АЦП.
ФНЧ пропускає нижню частину сигналу, достатню для заданої точності
відновлення цього сигналу. Потім дискретизатор визначає миттєві значення
повідомлень через відрізок часу
,
визначений згідно з теоремою Котельникова та потрібною точністю передачі
інформації. Квантувач встановлює рівні, дозволені для передачі. Якщо значення
відліку попадає в інтервал між дозволеними рівнями, то він округляється до
найближчого дозволеного рівня. Кодер перетворює квантовані відліки в двійкові
кодові комбінації, які відповідають рівням квантування.
2) Зобразимо структурну схему ЦАП.
Рис.8 Структурна схема ЦАП.
Опис роботи ЦАП.
Кодові комбінації, що надійшли, декодер перетворює в квантовану
послідовність відліків, тобто в АІМ- сигнал, який детектується ФНЧ.
) Визначення інтервалу дискретизації
та частоти дискретизації
.
Для того, щоб в неперервний сигнал не вносилися лінійні
спотворення, граничні частоти смуг пропускання ФНЧ повинні відповідати умові :
(2.1)
Для того, щоб ФНЧ не були надто складними, відношення
граничних частот вибирають із умови:
(2.2)
Граничні частоти смуг затримки ФНЧ повинні відповідати умові:
(2.3)
Підставляючи нерівності 2.3 та 2.1 в рівняння 2.2 отримаємо:
;
;
;
, де
Частота дискретизації:
Тепер знайдемо інтервал дискретизації
,
де
- частота дискретизації.
) Визначимо
,
, та
.
Для визначення числа рівнів квантування використаєм формулу:
(2.4)
Знаючи допустиме відношення сигнал/шум квантування і коефіціент
амплітуди первинного сигналу (
)
виведемо з формули (2.4) допустиме число рівнів квантування:
(2.5)
Переведемо
з дБ в рази по формулі:
;
Підставимо у формулу (2.5) числове значення, отримаємо:
Визначимо значність двікового коду АЦП
,
є ціле число. Тому число рівнів квантування
вибирається
як ціла степінь числа 2, при якій
.
;
.
Число рівнів квантування
,
значність двійкового коду
.
Визначимо тривалість двійкового символу на вході АЦП:
Швидкість модуляції В
Розрахуємо відношення сигнал/шум квантування
при розрахованних параметрах АЦП. Відношення
сигнал/шум квантування знаходиться по формулі:
,
де
-число рівнів квантування,
-коефіцієнт амплітуди.
Переведемо
з раз у дБ:

Визначення інтервалу дискретизації проведемо за формулою:
(4.6)
с
Тривалості символу:
с
(4.7)
1.3 Кодування коректуючим
(завадостійким) кодом
У табл.3 наведені три рівні кодування, записані у двійковій
системі числення. З них ми утворюємо поліноми. За допомогою породжуючи
поліномів формуємо дозволені вихідні комбінації кодера.
Таблиця 3
|
Рівні квантування
|
Двійкова система
числення
|
Поліном
|
Породжуючі поліноми
|
Дозволені вихідні
комбінації
|
|
35
|
100001
|
 1100011100
|
|
|
|
3
|
11
|
 0000110010
|
|
|
|
51
|
110011
|
 1100111001
|
|
|
Сигнал з виходу АЦП надходить до входу кодера завадостійкого коду. В
дискретному каналі зв’язку (від виходу АЦП до входу ЦАП) використовується
завадостійке кодування циклічним кодом (n,k) з мінімальною кодовою віддалю
.
За заданою довжиною коду АЦП(кількістю інформаційних символів) знайдемо
максимальну степінь полінома(кількість перевірочних символів) за формулою:
(5.1)
За таблицею поліномів вибираємо твірний поліном
Якщо рівень квантування 35:
Отже
Знаходимо дозволені вихідні комбінації:

Звідси
- дозволена вихідна комбінація
Якщо рівень квантування 3:
Отже
Знаходимо дозволені вихідні комбінації:
Звідси
- дозволена вихідна комбінація
Якщо рівнів квантування 51:
Отже
Знаходимо дозволені вихідні комбінації:
Звідси
- дозволена вихідна комбінація
Порівнюємо віддалі між комбінаціями на вході та виході
декодера:
Визначаємо віддалі між комбінаціями на вході декодера:
) для рівня квантування 35 і 3:
|
100001
|
|
|
|
|
|
|
|
|
0
|
0
|
0
|
0
|
1
|
1
|
|
|
1
|
0
|
0
|
0
|
1
|
0
|
|
|
1100011100
|
|
|
|
|
|
|
|
|
|
|
|
0
|
0
|
0
|
0
|
1
|
1
|
0
|
0
|
1
|
0
|
|
1
|
1
|
0
|
0
|
1
|
0
|
0
|
1
|
0
|
0
|
2) для рівня квантування 3 і 51:
|
101101
|
|
|
|
|
|
|
|
|
0
|
0
|
1
|
1
|
0
|
1
|
|
|
1
|
0
|
0
|
0
|
0
|
0
|
|
|
1011010100
|
|
|
|
|
|
|
|
|
|
|
|
0
|
0
|
1
|
1
|
0
|
1
|
0
|
0
|
0
|
1
|
|
1
|
0
|
0
|
0
|
0
|
0
|
0
|
1
|
0
|
1
|
3) для рівня квантування 51 і 35:
|
100001
|
|
|
|
|
|
|
|
|
1
|
1
|
0
|
0
|
1
|
1
|
|
|
0
|
1
|
0
|
0
|
1
|
0
|
|
|
1100111001
|
|
|
|
|
|
|
|
|
|
|
|
1
|
0
|
0
|
0
|
1
|
1
|
1
|
1
|
0
|
0
|
|
0
|
1
|
0
|
0
|
0
|
0
|
0
|
1
|
0
|
1
|
Визначимо тривалість символу на вході та на виході декодера:
;
;
.
;
;
.
1.4
Шифрування в системі передачі інформації
1) Секретність і імітостійкість
Криптографічні перетворення
забезпечують вирішення двох головних проблем ЗІ: проблеми секретності
(позбавлення зловмисника можливості отримати інформацію з каналу зв'язку) та
проблеми імітостійкості (позбавлення зловмисника можливості ввести помилкову
інформацію в канал зв'язку або змінити повідомлення так, щоб змінився його
сенс).
У випадку телефонного зв'язку
головною є проблема імітостойкості, оскільки викликана сторона не може часто
визначити, хто дзвонить. Підслуховування, що вимагає підключення до проводів,
технічно більш складно і юридично більш небезпечно, ніж виклик кореспондента і
видача себе за когось іншого. У разі радіозв'язку ситуація прямо протилежна.
Перехоплення тут є пасивним і пов'язаний з незначною юридичної небезпекою, тоді
як введення інформації пов'язане з ризиком виявлення незаконного передавача та
юридичного переслідування.
Проблема секретності
Проблеми секретності і імітостійкості
між собою тісно пов'язані, тому методи вирішення однієї з них часто застосовні
для вирішення іншої. З двох названих проблем проблема секретності зазвичай
розглядається першою, як більш стара і ширше відома. Розглянемо схему
проходження потоку інформації в криптографічного системі, що забезпечує
секретність(рис. 9).
Рис. 9. Потік інформації в криптографічній
системі, що забезпечує секретність
Відправник генерує відкритий текст, або зашифроване повідомлення
, яке має бути передане одержувачу по незахищеному
прослуховувати канали. Для того щоб перехоплювач не зміг дізнатися змісту
повідомлення
, відправник шифрує або кодує його за допомогою
оборотного перетворення
і отримує криптограму або шифрований текст
.Одержувач, прийнявши повідомлення
, дешифрує або декодує його за допомогою зворотного
перетворення
і отримує вихідне повідомлення:
Перетворення
вибирається з сімейства криптографічних перетворень,
що називаються криптографічною, або загальною, системою.
Параметр, що вибирає окреме використовуване перетворення, називається ключем.
Загальна система - це набір
інструкцій, апаратурних засобів і програмного забезпечення ЕОМ, за допомогою
якого можна зашифрувати і розшифрувати текст різними способами, один з яких
вибирається за допомогою конкретного ключа.
Говорячи більш формально, криптографічна система - це однопараметричне
сімейство
оборотних перетворень
з
простору
повідомлень відкритого тексту в простір
зашифрованих повідомлень. Параметр, або ключ
, називається простором ключів.
Звичайно загальна система розглядається як загальнодоступна. З одного
боку, відкрита для всіх частин загальної системи являється предметом угоди, а з
іншого боку, це відображає дуже важливе правило техніки захисту: захищеність
системи не повинна залежати від таємності чого-небудь такого, що не можна
швидко змінити в разі витоку секретної інформації. Звичайно загальна система є
деякою сукупністю апаратури і програм, яку можна змінити тільки зі значною
витратою часу та коштів, тоді як ключ являє собою легко змінюваний об'єкт.
Оскільки вся секретність зосереджена в секретності ключа, то його треба
передавати відправнику і одержувачу по захищеному каналу розповсюдження ключів,
такому, як кур'єрська служба і т.д.
Проблема імітостійкості
Тепер розглянемо схему проходження
потоку інформації в криптографічного системі, що забезпечує імітостійкість(рис.
10).
Рис. 10. Потік інформації в
криптографічній системі, що забезпечує імітостійкість
При вирішенні проблеми імітостійкості
зловмисник може не тільки бачити всі криптограми, що передаються по каналу, але
може також змінювати їх за своїм бажанням. Законний одержувач захищає себе від
обману, дешифруючи всі отримані повідомлення і приймаючи тільки ті
повідомлення, які зашифровані правильним ключем.
Будь-яка спроба з боку перехоплювача розшифрувати криптограму
для отримання відкритого тексту
або зашифрувати свій текст
для отримання прийнятної криптограми
без отримання ключа повинно бути повністю виключено.
· Якщо криптоаналіз неможливий і криптоаналітик не може вивести
і
або
з
без
попереднього отримання ключа, то така криптографічна система є криптостійкою.
· 2)Технічний захід - це захід щодо захисту інформації, що передбачає
застосування спеціальних технічних засобів і реалізацію технічних рішень.
· Технічні заходи спрямовані на закриття каналів витоку інформації шляхом
ослаблення рівня інформаційних сигналів або зменшенням відношення сигнал/шум у
місцях можливого розміщення портативних засобів розвідки чи їхніх датчиків до
величин, що забезпечують неможливість виділення інформаційного сигналу засобом
розвідки, і проводяться з використанням активних і пасивних засобів.
До технічних заходів з використанням
пасивних засобів відносяться:
· контроль і обмеження доступу
на об'єкти ТЗПІ(технічних засобів прийому, обробки, збереження і передачі
інформації) й у виділені приміщення:
- установка на об'єктах ТЗПІ й
у виділених приміщеннях технічних засобів і систем обмеження і контролю
доступу.
· локалізація випромінювань:
- екранування ТЗПІ і їхніх
сполучних ліній;
- заземлення ТЗПІ й екранів
їхніх сполучних ліній;
- звукоізоляція виділених
приміщень.
· розв'язання інформаційних
сигналів:
- установка спеціальних засобів
захисту типу "Граніт" у допоміжних технічних засобах і системах, що
володіють "мікрофонним ефектом" і мають вихід за межі контрольованої
зони;
- установка спеціальних
діелектричних вставок в екрани кабелів електроживлення, труб систем опалення,
водопостачання і каналізації мають вихід за межі контрольованої зони;
- установка автономних чи
стабілізованих джерел електроживлення ТЗПІ;
- установка пристроїв
гарантованого живлення ТЗПІ (наприклад, мотор-генераторів);
- установка в колах
електроживлення ТЗШ, а також у лініях освітлювальної і розеткової мереж
виділених приміщень завадопоглинаючих фільтрів типу ФП.
· До технічних заходів з
використанням активних засобів відносяться:
· просторове зашумлення:
- просторове електромагнітне
зашумлення з використанням генераторів шуму чи створення направлених завад (при
виявленні і визначенні частоти випромінювання закладного пристрою чи побічних
електромагнітних випромінювань ТЗГП) з використанням засобів створення
направлених завад;
- створення акустичних і
вібраційних перешкод з використанням генераторів акустичного шуму;
- придушення диктофонів у
режимі запису з використанням придушувачів диктофонів.
· лінійне зашумлення:
- лінійне зашумлення ліній
електроживлення та сторонніх провідників і сполучних ліній ДТЗС, що мають вихід
за межі контрольованої зони.
· знищення закладних пристроїв:
- знищення закладних пристроїв,
підключених до лінії, з використанням спеціальних генераторів імпульсів
(випалювачів "жучків").
3) Алфавіт для шифрування (кількість
):
А Б В Г Д Е Є Ж З И І Ї К Л М Н О П Р С Т У Ф Х Ц Ч Ш Щ Ю Ь Я «-» «пробіл»
Зашифруємо фразу «Симетрична_криптосистема» кодом Цезаря зі зміщенням
:
Таблиця 4
Кодування кодом Цезаря
|
с
|
и
|
м
|
е
|
т
|
р
|
и
|
ч
|
н
|
а
|
_
|
к
|
р
|
и
|
п
|
т
|
о
|
с
|
и
|
с
|
т
|
е
|
м
|
а
|
|
л
|
г
|
и
|
_
|
м
|
к
|
г
|
с
|
і
|
щ
|
ш
|
ж
|
к
|
г
|
й
|
м
|
ї
|
л
|
е
|
л
|
м
|
_
|
и
|
щ
|
Зашифруємо фразу «Симетрична
криптосистема» кодом Віженера з ключем«Секретний»:
Таблиця 5
Кодування методом Віженера
|
с
|
и
|
м
|
е
|
т
|
р
|
и
|
ч
|
н
|
а
|
_
|
к
|
р
|
и
|
п
|
т
|
о
|
с
|
и
|
с
|
т
|
е
|
м
|
а
|
|
20
|
9
|
15
|
5
|
21
|
19
|
9
|
26
|
16
|
0
|
33
|
13
|
19
|
9
|
18
|
21
|
17
|
20
|
9
|
20
|
21
|
5
|
15
|
0
|
|
с
|
е
|
к
|
р
|
е
|
т
|
н
|
и
|
й
|
с
|
е
|
к
|
р
|
е
|
т
|
н
|
и
|
й
|
с
|
е
|
к
|
р
|
е
|
т
|
|
20
|
5
|
13
|
19
|
5
|
21
|
16
|
9
|
12
|
20
|
5
|
13
|
19
|
5
|
21
|
16
|
9
|
12
|
20
|
5
|
13
|
19
|
5
|
21
|
|
6
|
14
|
28
|
24
|
26
|
6
|
25
|
1
|
28
|
20
|
4
|
26
|
4
|
14
|
5
|
3
|
26
|
32
|
29
|
25
|
0
|
24
|
30
|
21
|
|
є
|
л
|
щ
|
ф
|
є
|
ц
|
б
|
щ
|
с
|
д
|
ч
|
д
|
л
|
е
|
г
|
ч
|
-
|
ю
|
ц
|
а
|
х
|
я
|
т
|
4)В якості прикладу розглянемо шифрування за допомогою
таблиці Віженера. Зруйнувати статистичні залежності в закодованих повідомленнях і тим самим
підвищити надійність кодування можна за допомогою методу Вижинера. Алгоритм
застосування цього методу наведено нижче:
) символи вихідного алфавіту
нумеруються, починаючи з нуля, наприклад:
|
А
|
Б
|
В
|
Г
|
Д
|
Е
|
Є
|
Ж
|
З
|
И
|
І
|
Ї
|
Й
|
К
|
Л
|
М
|
Н
|
|
0
|
1
|
2
|
3
|
4
|
5
|
6
|
7
|
8
|
9
|
10
|
11
|
12
|
13
|
14
|
15
|
16
|
|
О
|
П
|
Р
|
С
|
Т
|
У
|
Ф
|
Х
|
Ц
|
Ч
|
Ш
|
Щ
|
Ю
|
Я
|
Ь
|
-
|
_
|
|
17
|
18
|
19
|
20
|
21
|
22
|
23
|
24
|
25
|
26
|
27
|
28
|
29
|
30
|
31
|
32
|
33
|
Отримують таблицю відповідності;
) задаються ключем кодування - словом
у вихідному алфавіті, наприклад, АСУ;
) виписують повідомлення, підлягає
кодуванню, наприклад, нехай це буде повідомлення ІНФОРМАТИКА, і виконують
наступні кроки:
а) під кожним його символом записують
порядковий номер з таблиці відповідності:
|
І
|
Н
|
Ф
|
О
|
Р
|
М
|
А
|
Т
|
И
|
К
|
А
|
|
10
|
16
|
23
|
17
|
19
|
15
|
0
|
21
|
9
|
13
|
0
|
б) під повідомленням виписують
ключове слово, а під символами ключа виписують їх порядкові номери з таблиці
відповідності:
|
А
|
С
|
У
|
А
|
С
|
У
|
А
|
С
|
У
|
А
|
С
|
|
0
|
20
|
22
|
0
|
20
|
22
|
0
|
20
|
22
|
0
|
20
|
в) порядкові номери символів
складаються по модулю, рівному числу символів вихідного алфавіту (у нашому
випадку - 34):
|
10
|
1
|
10
|
17
|
5
|
2
|
0
|
6
|
31
|
13
|
20
|
Нагадаємо, що додавання по модулю
(позначається ⊕) виконується без перенесення одиниці
переносу в старший розряд. Так ми отримали при додаванні за модулем 34,
наприклад, чисел 20 і 16 (сума дорівнює 36, що на 2 перевищує модуль 34)
значення 1;
) отриманий числовий ряд
перетвориться в символи вихідного алфавіту за таблицею відповідності. Так
маємо:
Очевидно, що статистика не допоможе
декодувати це повідомлення, оскільки повторюються зовсім не ті символи, що у
вихідному повідомленні.
Для декодування подібних повідомлень потрібне таблиця відповідності та ключ.
Тоді виконують описані вище процедури кодування у зворотному порядку.
Складність може представляти тільки операція віднімання з урахуванням модуля.
При цьому слід пам'ятати, що не повинні виходити негативні значення. Якщо таке
відбувається, потрібно зайняти число, відповідне модулю.
Шифр Цезаря - один з найдавніших шифрів. При шифруванні кожен
символ замінюється іншим, віддаленим від нього в алфавіті на фіксоване число
позицій. Шифр Цезаря можна класифікувати як шифр підстановки, за більш вузької
класифікації - з ІКТ.
Приклад
Шифрування з використанням ключа k = 3. Буква «С»
«зсувається» на три букви вперед і стає буквою «Ф». Твердий знак, переміщений
на три букви вперед, стає буквою «Е», і так далі:
Вихідний алфавіт: АБВГДЕЄЖЗИІЇЙКЛМНОПРСТУФХЦЧШЩЮЯЬ-_
Шифрований: ГДЕЄЖЗИІЇЙКЛМНОПРСТУФХЦЧШЩЮЯЬ-_АБВ
Оригінальний текст:
З'їж ж ще цих м'яких французьких булок, та випий чаю.
Зашифрований текст виходить шляхом заміни кожної букви оригінального
тексту відповідною буквою шифрованого алфавіту:
Фезия йз зьі ахлш пвенлш чугрщцкфнлш дцосн, жг еютзм гб.
.5
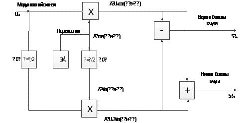
Модулятор системи передачі
Структурна схема фазового методу модуляції
Рис. 11. Структурна схема модулятора ФМ-2
Часова діаграма
Рис. 12. Часова діаграма сигналу на виході модулятора ФМ-2 для рівня
квантування 16
Ширина спектра модульованого сигналу:
(первинного
сигналу)
1.6 Аналіз роботи демодулятора
1) Структурна схема демодулятора ФМ-2
Рис. 13. Структурна схема демодулятора ФМ-2
При ФМ-m необхідно мати інформацію про фазу прийнятого сигналу, тому в
демодуляторі обов'язково застосовується когерентне приймання, тобто фазове
детектування. Структурна схема демодулятора сигналів ФМ-2 подана на рис. Якщо
порівняти цю схему зі схемою оптимального демодулятора, то помітна їхня
схожість. Фазовий детектор виконує функцію перемножувача, фільтр нижніх частот
(ФНЧ) інтегратора. Опорний генератор
системою
фазового автопідстроювання частоти ФАПЧ підстроюється так, щоб і частота, і
фаза його коливань збігались із частотою і фазою одного із сигналів, наприклад
. У залежності від полярності напруги на виході ФНЧ
вирішуючий пристрій ВП формує вихідні сигнали
чи
. Застосування в схемі смугового фільтра
додетекторного оброблення (нагадаємо, що в оптимальному демодуляторі він не
потрібен) необхідно для обмеження потужності завади на вході ФД, який має
обмежений динамічний діапазон.
Подана схема демодулятора ФМ-2 забезпечує завадостійкість, що незначно
менша за потенційну, але має істотний недолік. Для нормальної роботу
демодулятора фаза коливань опорного генератора повинна збігатись із фазою
одного із сигналів. Цього можна досягти тільки у разі передавання спеціального
допоміжного сигналу для фазової синхронізації. Проте на передавання такого
допоміжного сигналу необхідні затрати потужності, і ФМ- m втрачає свої
енергетичні переваги. Використання для фазової синхронізації прийнятого сигналу
призводить до помилкового приймання, яке
називаєтьсяінверсною роботою демодулятора. У разі інверсної роботи вихідний первинний
сигнал видається в негативі. Інверсна робота в демодуляторі сигналів ФМ-2
виникає тоді, коли фаза опорного генератора
змінюється на протилежну. Чому це виникає? При рівноймовірних сигналах
і s2(t), що відрізняються за фазою на 180°, під час
приймання немає жодної ознаки, за якою можна було б встановити, фаза котрого із
сигналів може бути прийнята за опорну. Тому в будь-якій схемі ФАПЧ
синхронізація опорного генератора
здійснюється одним із сигналів:
чи
, а тому має два сталих стани: 0 або 180°. У
результаті дії завад у каналі фаза підстроюваного генератора
може стрибком переходити від одного стану до іншого
випадково, а це призводить до інверсної роботи.
2) Імовірність помилки символу на виході демодулятора
ФМ-2 при когерентному способі прийому:
;
,
де
- енергія сигналу,
-спектральна
густина потужності завади
,
де
- потужність сигналу,
-
швидкість модуляції
,
де
- амплітуда сигналу
;
;
;
Використовуючи таблицю функцій Крампа
імовірність
помилки:
1.7 Декодування коректую чого
коду
Використовуючі дані, отримані у п.1.3, розраховуємо таблицю
синдромів (табл.7).
Таблиця 7
Таблиця синдромів
Для закодованої кодової комбінації 18 циклічним кодом
розраховуємо синдром. Одержаний поліном ділимо на породжуючий поліном і
отримуємо 0. Отже, у комбінації відсутні помилки.
Вводимо у кодову комбінацію довільну однократну помилку і
знову розрахуємо синдром. Впевнимося, що таблиця синдромів показує номер
помилкового символу. (див. Додаток 1)
.8
Порівняння завадостійкості систем
зв’язку
1) Імовірність однократних і двократних помилок на вході
декодера коректуючого коду розраховується за формулою:
,
де
- довжина коду,
-
кількістьпомилок,
,
.
Імовірність коду помилки використовуємо з п.1.6(2)
;
Імовірність однократної помилки:
Імовірність двократної помилки:
) Імовірність однократних помилок у кодовій комбінації у системі
передачі без завадостійкого кодування:
) Розрахувавши імовірності помилок можна зробити наступний висновок.
Імовірність появи двократної помилки у системі передачі з завадостійким
кодуванням менша за імовірність появи однократної помилки у системі передачі
без завадостійкого кодування:
Тобто, доцільніше використовувати системи з завадостійким кодуванням,
оскільки імовірність появи помилок менша у кілька разів.
1.9 Розрахунки інформаційних
характеристик системи передачі
Повідомлення неперервного джерела перетворюється в первинний аналоговий
сигнал
зазвичай без втрати інформації , тому розрахунки
інформаційних характеристик джерела будемо проводити для первинного сигналу.
)Продуктивність джерела
,
яку називають епсилон-продуктивністю, обчислюємо за умови, що відліки беруться
через інтервал Котельникова, по формулі :
,
де
- епсилон-ентропія,
-максимальна
частота сигналу
Епсилон-ентропія розраховується за формулою:
,
де
- диференційна ентропія,
- умовна ентропія.
Диференціальна ентропія залежить від виду розподілу імовірності
та дисперсії сигналу
.
Так, як за умовою задано гаусів розподіл, то
Так як помилка відтворення на виході системи передачі є гаусовою, то
умовну ентропію знайдемо за формулою :
де
- дисперсія помилки відтворення, де
- середня потужність сигналу,
- відношення сигнал/шум.
Отже, формула епсилон-ентропії:
Вважаємо, що
,
.
Знаходимо епсилон-ентропію:
Тоді, продуктивність джерела:
)За формулою К.Шенона, про пропускна здатність неперервного каналу
зв’язку:
,
де
- ширина спектра модульованого сигналу,
- відношення сигнал/шум.
)Найбільше значення швидкості
передачі
інформації по каналу зв’язку при заданих обмеженнях називають пропускною
можливістю каналу, яка вимірюється в [біт/с] :
Під заданими обмеженнями розуміють тип каналу (дискретний або
неперервний), характеристики сигналів та завад . Пропускна можливість каналу
зв’язку характеризує потенційні можливості передачі інформації. Вони описані в
фундаментальній теоремі теорії інформації, відомій як основна теорема кодування
К.Шенона. Для дискретного каналу вона формулюється наступним чином : якщо
продуктивність джерела
менше пропускної можливості каналу
,тобто
,
то існує спосіб кодування (перетворення повідомлень в сигнал на вході ) та
декодування ( перетворення сигналу в повідомлення на виході каналу ), при якому
імовірність помилкового декодування дуже мала.
Пропускна можливість каналу, як граничне значення безпомилкової
передачі інформації, являється одною з основних характеристик будь-якого
каналу. Знаючи пропускну можливість каналу та інформаційні характеристики
повідомлень (первинних сигналів) можна передавати по заданому каналу.
)Швидкість передачі інформації R можна прийняти рівною продуктивності
джерела
тому, що при тій якості відновлення повідомлення, яке
має місце в розрахованій системі зв’язку, втрати інформації малі.
Коефіцієнт інформаційної ефективності знаходимо за формулою:
Коефіцієнт енергетичної ефективності знаходимо за формулою:
Допускаємо, що
, тоді
Коефіцієнт частотної ефективності знаходимо за формулою:
,
де
-ширина спектру сигналів,що визначається формулою:
,
де
- індекс частотної модуляції,
- максимальна частота спектру.
Тоді коефіцієнт частотної ефективності:
1.10 Аналіз аналогової системи
передачі
Нехай неперервне повідомлення від джерела із заданими
параметрами передається (без перетворення в цифровий сигнал) за допомогою
аналогової частотної модуляції (ЧМ).
1) Структурна схема аналогової системи передачі методом
ЧМ
Рис. 14. Структурна схема аналогової системи передачі методом
ЧМ
) Визначаємо індекс модуляції
- за
умови обмеженої смуги пропускання каналу зв’язку
- за умови роботи демодулятора вище
порогового рівня
3) Розраховуємо виграш демодулятора і відношення
сигнал/шум на виході демодулятора.
,
де
-індекс частотної модуляції,
- коефіцієнт розширення смуги частот при ЧМ.
Тоді виграш демодулятора:
Відношення відношення сигнал/шум на виході демодулятора визначається за
формулою:
Підставивши значення отримаємо:
4) Порівняємо завадостійкість систем передачі.
,
В системах ЧМ висока завадостійкість може бути досягнута
збільшенням ширини спектру сигналу, тобто за рахунок частотного залишку. В
системі ЧМ різко виражений поріг завадостійкості. Поріг в системі ЧМ при
звичайному способі прийому наступає приблизно при рівності пікових значень
сигналу та завади, що значно вище теоретичного. Це означає, що при великому
рівні завад реальна завадостійкість одержувача ЧМ значно нище потенційної.
Відповідно з’являється можливість вдосконалення схеми одержувача знизити поріг
завадостійкості і тим самим збільшити дальність зв’язку при тій самій
потужності передавача. Ця задача особливо актуальна для супутникових та космічних
систем зв’язку. Для зниження порогу при ЧМ використовують різні схеми
слідкуючих демодуляторів в тому числі схему зі зворотнім зв’язком по частоті,
синхронно-фазовий демодулятор та демодулятор із слідкуючим фільтром.
Мінімальний (допустимий) поріг завадостійкості досягається в схемі оптимального
демодулятора. Ефективність системи ЧМ значно підвищується за рахунок
коректуючих кодів. Використання коректуючих кодів дає можливість підвищення
вірності передачі повідомлення або при заданій вірності підвищити енергетичну
ефективність системи. При досконалій елементній базі затрати на реалізації
кодуючи та декодуючих пристроїв значно скоротилися, тим часом коли вартість
енергетики каналу практично не змінилась. Таким чином “ціна” енергетичного
виграшу за рахунок кодування може бути значно менше “ціни” того ж виграшу,
отриманого за рахунок збільшення енергетики каналу (потужності сигналу або
розмірів антен).
Цифрові системи мають високу завадостійкість, що знижує вплив
завад і спотворень на якість передачі інформації, а також стабільність якості
передачі лінії зв’язку. Застосування сучасної системи передачі дасть можливість
підвищити надійність та якість передачі інформації, що особливо важливо на
сучасному етапі розвитку зв’язку в нашій країні.
З техніко-економічної точки зору заміна аналогової системи
передачі на цифрову дозволяє зменшити капітальні вкладення на будівництво нової
системи передачі, що зменшить строк окупності і збільшить продуктивність праці
1.11 Висновки
В даній курсовій роботі було проведено розрахунок цифрової
системи передачі, а потім її характеристики були зрівняні з характеристиками
аналогової.
Типовими прикладами цифрових систем передавання неперервних
повідомлень є системи з ІКМ (імпульсно-кодова модуляція) та ДМ (дискретна
модуляція). Основні операції перетворення: дискретизація і квантування.
Отриману послідовність квантованих відліків кодують і передають по дискретному
каналу. На приймальній стороні після декодування відновлюють (з деякою
точністю) неперервне повідомлення.
Основна технічна перевага цифрових СПІ (систем передачі
інформації) перед системами неперервного типу - висока завадостійкість, яка
найбільше проявляється у СПІ з багатократною ретрансляцією (переприйманням)
сигналів (кабельні та радіорелейні лінії з великою протяжністю). У таких
системах завади і спотворення можуть накопичуватись. Якщо на кожному
ретрансляторі сигнал лише підсилювати, то адитивні завади у кожній ланці
статистично незалежні і їх потужність на виході рівна сумі потужностей завад
усіх ланок.
З метою послаблення ефекту накопичення завад при передаванні
з ретрасляціями поряд з підсиленням проводять регенерацію імпульсів, тобто
демодуляцію з відновленням переданих кодових символів і повторну модуляцію на
переприймальному пункті. Адитивна завада з входу ретраслятора не поступає на
його вихід.
При ЦСПІ (цифрових системах передачі інформації) застосовують
завадостійке кодування для підвищення вірності.
Переваги ЦСПІ:
· висока завадостійкість дозоляє
здійснювати дальній зв'язок по каналах невисокої якості.
· можливість застосування цифрової
обчислювальної техніки і мікроелектроніки.
· поєднання в одній системі сигналів
передачі даних, мови, ТБ для інтеграції систем передавання і систем
комунікації.
· простота з’єднання цифрового каналу з
ЕОМ, апаратурою зв'язку та автоматики і управління.
Перелік посилань
1.Теорія
передачі сигналів : Підручник для вузів / А.Г. Зюко та інш - М.: Радіо та
зв’язок ,1986.
.
Панфілов І.П., Дирда В.Ю. Теорія електричного зв’язку : Підручник для
технікумів, - М. : Радіо та зв’язок , 1991
.
Методыи средства защиты информации: Підручник для вузів / В. А. Хорошко, А. А.
Чекатковта інш.-Киев, 2003
.
Конспект лекцій по ТЕС :. 1999
Додаток 1
Кодову комбінацію 010000 закодували циклічним кодом:
010000111.
Породжуючий поліном:
.
Поліном закодованої комбінації ділимо на породжуючий поліном:
Оскільки залишок дорівнює нулю, робимо висновок. що кодова комбінація
закодована вірно, помилок немає.
Припустимо,що помилка у восьмому розряді: 000000111.
Для перевірки наявності помилок отриману комбінацію ділимо на
породжуючий поліном:
.
Отримуємо синдром 0111, дивимося в таблицю синдромів (табл.7). Знаходимо
одержаний синдром. робимо висновок, що помилка у восьмому розряді. Виправляємо
помилку: 010000111.