Расчет линейной электрической цепи при гармоническом воздействии
МИНИСТЕРСТВО ПО ОБРАЗОВАНИЮ И НАУКЕ РОССИЙСКОЙ
ФЕДЕРАЦИИ ГОСУДАРСТВЕННОЕ ОБРАЗОВАТЕЛЬНОЕ УЧРЕЖДЕНИЕ ВЫСШЕГО ПРОФЕССИОНАЛЬНОГО
ОБРАЗОВАНИЯ
«ВОРОНЕЖСКИЙ ГОСУДАРСТВЕННЫЙ ТЕХНИЧЕСКИЙ УНИВЕРСИТЕТ»
(ГОУВПО «ВГТУ»)
вечернего и заочного образования (факультет)
Кафедра радиотехники
Специальность «Проектирование и технология
радиоэлектронных средств»
КУРСОВАЯ
РАБОТА
по
дисциплине «Электротехника и электроника»
Расчет
линейной электрической цепи при гармоническом воздействии
Разработал
студент
группы РК-111
А
В. Черкасских
Руководитель
Б.В.
Матвеев
Воронеж
2012г.
Содержание
Введение
.
Техническое задание на курсовую работу со схемами
.
Выбор варианта схемы
.
Расчет простой электрической цепи (Mathcad, EWB-5.12)
.
Составление системы уравнений для расчета токов и напряжений
.
Расчет токов и напряжений в сложной электрической цепи методом Крамера
(Mathcad, EWB-5.12)
.
Расчет токов и напряжений в сложной электрической цепи методом обращения
матрицы
.
Определение выражения для комплексного коэффициента передачи
.
Построение графиков АЧХ и ФЧХ с определением их характеристик (Mathcad,
EWB-5.12)
Заключение
Литература
Приложения
Введение
Цель курсовой работы состоит в практическом
освоении методов расчета простых и сложных электрических цепей при воздействии
на них гармонических колебаний.
Рассчитываемые электрические цепи представляют
собой модели реальных электрических цепей, используемых в различных
радиотехнических устройствах.
Численные расчеты проводятся на ЭВМ с
использованием современных вычислительных и моделирующих программных продуктов
и языков программирования высокого уровня.
1. Техническое задание на курсовую работу со
схемами
В курсовой работе требуется определить токи и
напряжения в ветвях простой и сложной электрических цепей при наличии в них
источников гармонического напряжения, а также АЧХ и ФХЧ четырехполюсника.
.1 Каждому студенту в соответствии с порядковым
номером по журналу выбрать вариант схемы по рисунку 1.1. Для студентов заочного
обучения можно использовать вместо номера по журналу две последние цифры в
номере зачетной книжки. Если этот номер превышает число 31, то берется любая
цифра из двух. Различные конфигурации схемы образуются в зависимости от
положения ключей "К1÷К5",
которые устанавливаются по номеру варианта, представленному в двоичном коде.
Номера позиций единиц и нулей в номере варианта следуют слева направо.
Рисунок 1.1
.2 Определить величины элементов схемы рисунка
1.1 и частоту генераторов с помощью следующих формул=100·(4+0,2·N) [Ом]
С=100·(5+0,2·N) [ПФ]
Ėn =2·[7+(-1)n+N·0,2·N]·
·i·(25+0,2·N) [В]n
= 10·[7+(-1)N·0,2·N] [кГц]
где N - номер студента по журналу,-
номер элемента в схеме.
.3 В схеме, полученной в п. 1.1,
исключить (замкнуть) все источники кроме
и рассчитать, используя простые
преобразования цепей, ток в цепи источника
. По результатам расчета построить
векторную диаграмму для цепи, в которой все элементы цепи, кроме резистора R,
подключенного к источнику
, объединены
в эквивалентное сопротивление
, как показано на рисунке 1.2.
Рисунок 1.2
Осуществить моделирование цепи с
помощью программы EWB-5.12 и определить значение тока в цепи источника
, а также
напряжения на сопротивлении
и R.
.4 Используя схему из п. 1.1,
рассчитать токи и напряжения на ее элементах, используя формулы Крамера, а
также обращение матриц. Осуществить сравнение результатов.
.5 Для схемы из п. 1.3 найти
выражение для комплексного коэффициента передачи электрической цепи.
.6 Используя формулу для
комплексного коэффициента передачи цепи определить выражение для АЧХ и ФЧХ
цепи.
.7 Построить, используя выражения из
п. 1.6, графики для АЧХ и ФЧХ цепи.
.8 Определить граничные частоты
полосы пропускания и коэффициент прямоугольности цепи, используя результаты п.
1.7.
.9 Дать характеристику исследуемой
цепи по п. 1.3 с точки зрения фильтрации электрических колебаний.
. Выбор варианта схемы
Для выбора схемы необходимо представить
последнюю цифру в номере зачетной книжки в двоичной форме.
Номер моей зачетной книжки 611054.
Установим переключатели К1÷К5
в положения, соответствующие номеру 4 в двоичной записи (Таблица 1).
Таблица 1 - Положение ключей в схеме
|
Ключи
|
К1
|
К2
|
К3
|
К4
|
К5
|
|
Двоичная
форма записи числа 4
|
0
|
0
|
1
|
0
|
0
|
|
Положение
ключей
|
0
|
0
|
0
|
0
|
Зарисуем получившуюся схему без переключателей и
отсоединенных элементов.
Рисунок 2.1
Определим величины элементов схемы (Рисунок 2.1)
по формулам из п. 1.2, учитывая, что все генераторы в схеме имеют одинаковую
частоту (ПРИЛОЖЕНИЕ А).
R = 100·(4+0,2·4) = 480 [Ом]
С = 100·(5+0,2·4) = 580 [пФ] = 580·10-12
[Ф]
Ė1 =2·[7+(-1)1+4·0,2·4]·
·i·(25+0,2·4)
=
12,4·е-i·25,8 [В]
Ė2 =2·[7+(-1)2+4·0,2·4]·
·i·(25+0,2·4) = 15,6·еi·25,8
[В]
Ė3 =2·[7+(-1)3+4·0,2·4]·
·i·(25+0,2·4)
=
12,4·е-i·25,8 [В]
Ė4 =2·[7+(-1)4+4·0,2·4]·
·i·(25+0,2·4) = 15,6·еi·25,8
[В]
Ė5 =2·[7+(-1)5+4·0,2·4]·
·i·(25+0,2·4) = 12,4·е-i·25,8
[В]
f1 = f2 = f3 =
f4 = f5 == 10·[7+(-1)4·0,2·4] = 78 [кГц] =
78·103 [Гц]
Значение фазы источников
задается
в градусах, а Mathcad осуществляет расчеты в радианах. Вследствие этого
величину фазы
умножаем
на величину
, т.о.
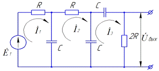
. Расчет простой электрической цепи (Mathcad,
EWB-5.12)
В схеме замкнем все источники кроме Ė1
Рисунок 3.1
Преобразуем данную схему, объединив все элементы
цепи, кроме R, подключенного к источнику Ė1,
в эквивалентное сопротивление
экв
Рисунок 3.2
Рассчитаем, используя простые преобразования
цепей, ток в цепи источника Ė1,
а также напряжения на R и
экв.
Значение тока в цепи источника определяется по
формуле
Эквивалентное сопротивление
экв
определим, используя формулы для последовательного и параллельного соединения
нескольких элементов (Рисунок 3.3 ÷ Рисунок
3.6)
Рисунок 3.3
Рисунок 3.4
Рисунок 3.5
Рисунок 3.6
Где
Напряжение на сопротивлении
экв
определяется
по формуле
экв
Напряжение на сопротивлении R определяется по
формуле
Все необходимые расчеты проведем в среде Mathcad
(см. ПРИЛОЖЕНИЕ А).
По полученным значениям строим векторную
диаграмму в масштабе для
,
,
,
Ė1, имея в виду, что
в цепи выполняется второй закон Кирхгофа, т.е.
,
а для векторов это отражается в виде их векторной суммы. Построение начнем с
представления тока
, напряжений
,
и
источника Ė1 в
показательной форме, т.е.
Где
Расчеты аргументов
также
проведем в среде Mathcad (см. ПРИЛОЖЕНИЕ А).
Построим векторную диаграмму.
Рисунок 3.7
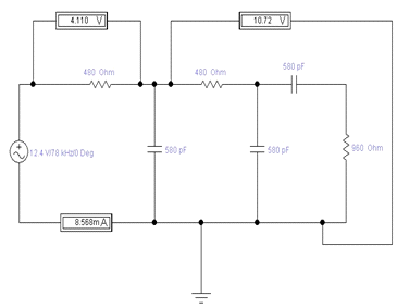
Соберем простую цепь с помощью программы
EWB-5.12 (ПРИЛОЖЕНИЕ Б).
Результаты сравниваем с рассчитанными ранее
значениями аргументов
Таблица 2 - Сравнение результатов простой схемы
|
Рассчитываемая
величина
|
В
системе Mathcad
|
В
системе EWB-5.12
|
|
I
|
|
|
|
|
10,759
|
10,72,72
|
|
|
4,077
|
4,110
|
В среднем погрешность расчетов составляет ±0,02.
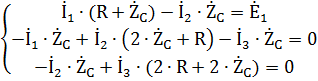
. Составление системы уравнений для расчета
токов и напряжений
Для определения токов и напряжений на всех
элементах цепи при известных значениях R, C и E необходимо составить систему
уравнений по методу контурных токов.
Рисунок 4.1
Вначале составляется граф данной электрической цепи,
по которому выбираются независимые контуры и задаются контурные токи.
Рисунок 4.2
Преобразуем элементы электрической схемы,
воспользовавшись формулами для последовательного и параллельного соединения
нескольких элементов.
Рисунок 4.3
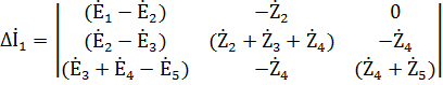
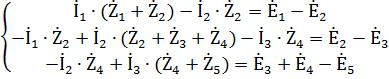
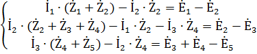
С учетом особенностей составления уравнений,
присущих методу контурных токов, получим систему, состоящую из трех независимых
уравнений, т.е.
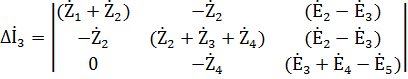
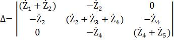
. Расчет токов и напряжений в сложной
электрической цепи методом Крамера (Mathcad, EWB5.12)
Исходя из системы уравнений, полученной в п. 4,
вначале составим матрицу сопротивлений, т.е. выписываем соответствующие коэффициенты
при токах
.
Затем по матрице найдем ее определитель Δ,
а
также частичные определители.
Токи в контурах (контурные токи) определяются по
формулам Крамера
Расчеты произведем в среде Mathcad (ПРИЛОЖЕНИЕ
В).
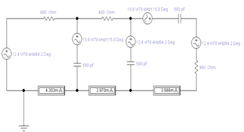
Используя EWB-5.12, соберем схему сложной цепи
(ПРИЛОЖЕНИЕ Г).
Для сравнения с результатами, полученными в
EWB-5.12, найдем аргументы
(см. ПРИЛОЖЕНИЕ В)
Таблица 3 - Сравнение результатов сложной схемы
|
Рассчитываемая
величина
|
В
системе Mathcad
|
В
системе EWB-5.12
|
|
I1
|
|
|
|
I2
|
|
|
|
I3
|

|
В среднем погрешность вычислений составляет
+0,002.
. Расчет токов и напряжений в сложной
электрической цепи методом обращения матрицы
Представим систему уравнений в матричной форме
где
Уравнения можно записать в виде произведения
матриц
или в сокращенном варианте как
где
-
вектор-столбец токов,
- вектор-столбец
напряжений.
Если
-
квадратная неособенная матрица, то существует такая обратная матрица
,
что
Умножив уравнение
слева
и справа на обратную матрицу
, получим
Принимая во внимание уравнение (6.4), получим
где
-
обращенная матрица комплексных сопротивлений схемы, состоящая из коэффициентов
Значения контурных токов
определяются
через формулы
Таким образом, для вычисления неизвестных токов
необходимо
определить коэффициенты
обратной матрицы
и
осуществить их подстановку в уравнение.
Расчеты произведем в среде Mathcad (см.
ПРИЛОЖЕНИЕ В).
Сравним результаты, полученные методом Крамера и
методом обращения матрицы
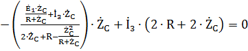
. Определение выражения для комплексного
коэффициента передачи
В соответствии с определением комплексный
коэффициент передачи
схемы (Рисунок
7.1) определяется
ток напряжение электрический цепь
Рисунок 7.1
Напряжение
определим,
используя метод контурных токов.
Преобразуем схему
Рисунок 7.2
Составим систему уравнений по методу контурных
токов
Выразим из первого уравнения ток
и
подставим его во второе уравнение, из второго уравнения выразим ток
и
подставим его в третье уравнение, из которого найдем ток
.
Напряжение на выходе цепи
в
схеме (Рисунок 7.2) равно
. Построение графиков АЧХ и ФЧХ с определением
их характеристик (Mathcad, EWB-5.12)
Для построения амплитудно-частотной
характеристики определим выражение для АЧХ
Для построения фазо-частотной характеристики
(ФЧХ) определим аргумент комплексного коэффициента передачи
После определения выражений для АЧХ и ФЧХ
необходимо осуществить построение их графиков с использованием соответствующих
операций из программы Mathcad (ПРИЛОЖЕНИЕ Д),
где
-
частота изменений
Для сравнения построим АЧХ и ФЧХ, используя
программный симулятор EWB-5.12 (ПРИЛОЖЕНИЕ Е).
Для вычисления коэффициента прямоугольности
воспользуемся формулой
где
-
полоса частот по уровню сигнала
,
-
полоса частот по уровню сигнала
.
Используя построенный график АЧХ в программном
симуляторе EWB-5.12, определим
что соответствуетгр1=76250 Гцгр2=668830
Гц
что соответствуетгр1=8530 Гцгр2=3100000
Гц
Таким образом, полоса частот по уровню 0,707:
П0,707 = fгр2- fгр1=592580
Гц
Полоса частот по уровню 0,1:
П0,1 = fгр2- fгр1=3091470
Гц
Вычислим коэффициент прямоугольности
Данная цепь является с точки зрения фильтрации
колебаний, полосовым фильтром, то есть в диапазоне частот от некоторой
граничной частоты fгр1 до частоты fгр2, фильтр
обеспечивает прохождение колебаний без заметного ослабления в полосе данных
частот и значительное ослабление в полосе за пределами этих частот.
Заключение
В процессе выполнения курсовой работы мы освоили
методы расчета схем с использованием вычислительной техники, компьютерного
схемотехнического моделирования и экспериментальных исследований электрических
цепей
На основе полученных знаний в процессе
выполнения курсовой работы мы освоили следующие темы дисциплины "Общая
электротехника и электроника": переходные процессы, цепи гармонического
тока; частотно-избирательные цепи; методы расчетов электрических цепей;
электрические фильтры. Все это обеспечивает студентов необходимой подготовкой
для предстоящих инженерных исследований.
Литература
1. Матвеев
Б. В. Общая электротехника и электроника: учеб. пособие/Б. В. Матвеев. Воронеж:
ГОУВПО «Воронежский государственный технический университет», 2009. Ч. 1. 164
с.
2. Прянишников
В. А., Петров Е. А., Осипов Ю. М. Электроника и ТОЭ в примерах и задачах:
Практическое пособие. - СПб.: КОРОНА-Век, 2008. - 336 с.
. Касаткин
А.С. Курс электротехники: Учеб для вузов/ А.С. Касаткин, М.В. Немцов. - 8-е
изд., стер. - М.: Высш. шк., 2005. - 542 с.: ил.
. Афанасьева
Н.А., Булат Л.П. Электротехника и электроника: Учеб. пособие. - СПб: СПбГУНиПТ,
2010 - 181 с.
Приложение А
Расчет простой электрической схемы и построение
векторной диаграммы
Приложение Б
Приложение В
Расчет токов и напряжений методом Крамера и
методом обращения матриц
Приложение Г
Схема сложной цепи
Приложение Д
Расчет выражений для АЧХ и ФЧХ и построение их
графиков
Приложение Е
Схема АЧХ и ФЧХ в EWB-5.12