Разработка конструкции парктроника для автомобиля
Аннотация
Целью данного дипломного проекта является разработка конструкции
акустического локатора для автомобиля
При разработке конструкции устройства необходимо учесть условия его
эксплуатации:
1. Работа в широком диапазоне температур: t˚С= (-40¸+60)˚С.
2. Исполнение прибора для умеренно-холодного климата, размещение
(3), для закрытых неотапливаемых помещений (салон автомобиля.
. Питание от аккумулятора автомобиля напряжением 12В.
. Программа выпуска: 30000 шт. в год.
. Условия транспортировки: железнодорожным и автомобильным
транспортом.
. Устройство должно обеспечивать надёжную работу при эксплуатации
на автомобиле. P(t)=0,97 за t=1000ч.
В данном проекте рассматриваются вопросы, связанные с разработкой
конструкции блока управления и проведены следующие расчеты:
1. Выбор и обоснование конструкторских решений;
2. Анализ задания, выбор и обоснование элементной базы;
. Разработка корпуса прибора;
. Расчёт функциональных групп;
. Компоновочные расчёты;
. Расчет теплового режима;
. Расчет надежности печатной платы;
. Расчет размеров печатной платы;
. Расчет на вибропрочность;
. Расчет размеров лицевой панели;
. Расчет размеров корпуса.
Технологический раздел включает:
. Расчёт технологичности изделия;
2. Расчёт среднего штучного времени операции и закрепления операции;
. Схема сборки изделия;
. Техпроцесс сборки и монтажа платы.
В «Экономическом разделе» проделана работа по определению:
. Расчёт затрат на разработку;
2. Расчёт стоимости изделия;
. Расчёт экономической эффективности
В разделе «Безопасность жизнедеятельности» рассмотрены аспекты
безопасности при изготовлении данного устройства, а также была построена
древовидная структура отказов и последствий и составлена таблица анализа причин
и последствий возможных действий, которые могут привести к отказу парктроника
во время эксплуатации.
Введение
Парковочный радар - элемент дополнительного оборудования, который можно
установить на автомобиль. Парктроник имеет самую различную функциональную
направленность. Как правило, использование парковочных радаров повышает комфорт
эксплуатации транспортного средства, а также заботится о сохранности автомобиля
и безопасности его владельца.
Парктроник позволяет более точно контролировать процесс движения машины в
непосредственной близости от возможных препятствий, например при движении
задним ходом, при парковке, в других узких или загроможденных пространствах.
Достаточно часто при парковке габариты машины мешают водителю точно
оценить расстояние до объектов, расположенных достаточно низко или в неудобных
для обзора местах. К таким объектам относятся, например, всевозможные бордюры,
столбики, крупные предметы, находящиеся на пути движения автомобиля. Более
того, эти препятствия часто могут возникать неожиданно, как бывает с маленькими
детьми, забежавшими за укатившимся под колеса мячиком, или с нерадивыми
строителями, выворотившими из земли бордюрный камень и оставившими его в том
месте двора, которое, казалось бы, известно вам как свои пять пальцев. Если же
Вы используете парктроник, это наверняка окажется полезным в темное время
суток, при парковке в незнакомых местах, а также в случае, если автомобиль
управляется не хозяином, знакомым с ним досконально, а его родственниками или
знакомыми. И здесь установка парковочного радара будет являться весьма неплохой
дополнительной страховкой от возможных неприятных происшествий.
Конструкторская часть
Патентный поиск
Патентный поиск за 2003-2011 гг.по аппаратуре, работающей на принципе
акустической локации.
В рамках патентного поиска была поставлена задача оценить современный
уровень развития науки и техники в области аппаратуры, методов акустической
локации. Найти новые технические решения в области акустической локации.
Реферат
Изобретение относится к области систем оптической локации для метеорологических
целей и может быть использовано для бесконтактного измерения профилей
температуры пограничного слоя атмосферы. Достигаемым техническим результатом
является повышение энергетической эффективности системы и повышение точности
измерений температуры. Указанный результат достигается за счет того, что
акустооптический локатор содержит оптический источник, генератор акустического
сигнала, (k+1) фотоприемников, где (k=1, 2, 3,...), блок обработки, блок
индикации, блок управления, (k+1) частотомеров и (k+1) фазовых детекторов,
соединенных определенным образом между собой, причем в качестве оптического
источника используют некогерентный оптический источник.
Формула полезной модели.
Устройство для ориентации слепых, содержащее блок излучения акустического
сигнала, блок вычисления, блок принятия решения, отличающееся тем, что в него
введены блок приема и записи акустического сигнала, блок коррекции, блок выбора
сообщения, блок звуковой индикации, вход запроса, вход параметра времени записи
сигнала, вход параметра приема, вход параметра вычисления, вход параметра
принятия решения, вход порога, вход корректировки, вход параметра выбора, вход
параметраизлучения, вход сигнала, вход параметра индикации, при этом вход
запроса соединен с первым входом блока излучения акустического сигнала и с
первым входом блока приема и записи акустического сигнала, вход параметра
времени записи сигнала является вторым входом блока приема и записи
акустического сигнала, вход параметра приема соединен с третьим входом блока
приема и записи акустического сигнала и со вторым входом блокапринятия решения,
вход параметра вычисления является вторым входом блока вычисления, вход
параметра принятия решения является третьим входом блока принятия решения, вход
порога является четвертым входом блока принятия решения, вход корректировки
является вторым входом блока коррекции, вход параметра выбора является вторым
входом блока выбора сообщения, вход параметра излучения является вторым входом
блока излучения акустического сигнала, вход сигнала соединен с третьим
входомблока излучения акустическогосигнала и с третьим входом блока вычисления,
вход параметра индикации является вторым входом блока звуковой индикации, выход
блока выбора сообщения соединен с первым входом блока звуковой индикации, выход
блока излучения акустического сигнала соединен с четвертым входом блока приема
и записи акустического сигнала, выход которого соединен с первым входом блока
вычисления, выход которого соединен с первым входом блокапринятия решения,
выход которого соединен с первым входом блока коррекции, выход которого
соединен с первым входом блока выбора сообщения, выход которого является
выходом устройства.
Вывод
Входе патентной и литературной проработки темы дипломного проекта были
найдены различные решения в области акустической локации.Однако не было найдено
ни одного примера отечественной разработки парковочного радараПоэтому задача
данного дипломного проекта - разработка устройства, доступного по стоимости
владельцам недорогих автомобилей, базовая комплектация которых не
предусматривает наличия парктроников.
1. Анализ задания
Парктрониквыполнен на базе микроконтроллера Z8. Он отличается простотой, удобен для повторения
радиолюбителями. При соответствующей доработке программы и конструкции его
можно использовать в качестве незаменимого помощника для слепых, устройств
охраны помещений, портативного эхолота рыболова-любителя, бесконтактного
индикатора уровня жидкости и т. п.
Весь прибор питается от аккумуляторной батареи U=12(В), которой питается
вся электрическая система автомобиля. Сам прибор можно подключить
непосредственно к аккумулятору, при этом придется тянуть провода с капота в
салон. Микросхема DA1 стабилизирует питающее напряжение на уровне 5 В,
необходимое для нормальной работы МК. В цепи питания устройства установлен
фильтр, состоящий из конденсаторов С2, С8, С13 и резистора R6. Его основа -
микроконтроллер (МК) Z86E0208PSC (DD1). Внешняя времязадающая цепь МК состоит
из кварцевого резонатора ZQ1 на частоту 8 МГц и конденсаторов СЗ, С4.
Ультразвуковой излучатель BQ3 подключен непосредственно к выводам порта Р2 МК.
Размах возбуждающего напряжения на входе излучателя равен 10 В. длительность
пачки импульсов - 1 мс. Отраженный сигнал, принятый ультразвуковым приемником
BQ2, поступает на вход трехкаскадного резонансного усилителя, выполненного на
транзисторах VT1-VT3. С его выхода сигнал с постоянной составляющей 2,5 В
подается на неинвертирующий вход (Р32) встроенного компаратора МК. На
инвертирующий вход компаратора (РЗЗ) поступает образцовое напряжение 2,7 В с делителя
R1R3, что обеспечивает выделение полезного отраженного сигнала на уровне
принятых помех. Цепь образцового напряжения дополнительно защищена от помех
ограничительным диодом VD1 и конденсатором С1. Диоды VD2 и VD3 ограничивают
мгновенное значение отраженного сигнала уровнями 0 и 5 В. Звуковой сигнал,
предупреждающий водителя о наличии препятствия в невидимой зоне, формируется
пьезоизлучателем BQ1, подключенным через резистор R16 непосредственно к выводам
порта Р2 МК.
Принцип действия парктроника основан на излучении пачки импульсов
ультразвуковой частоты и последующем приеме отраженного препятствием сигнала.
Время от момента излучения до момента приема отраженного сигнала прямо
пропорционально расстоянию до объекта. В зависимости от расстояния парковочный
радар формирует один из двух предупреждающих звуковых сигналов: если оно менее
1 м, генерируются частые тональные посылки, если от 1 до 2 м - редкие. При
расстоянии более 2 м звуковой сигнал отсутствует. Время ожидания отраженного
сигнала - 60 мс, после чего излучается следующая пачка импульсов и процесс
повторяется.
В парктронике можно использовать любые малогабаритные керамические и
оксидные конденсаторы. Резистор R2 - СП3-16В или любой другой малогабаритный
подстроечный многооборотный. Пьезокерамический звуковой излучатель BQ2 -
SCS-17P-10 или аналогичный. Транзисторы VT1. VT3 - любые из серии КТ3102. VT2 -
любой из серии КТ3107. Ультразвуковые излучатель BQ3 и приемник BQ1 идентичны.
Конструктивно парковочный радар состоит из электронного блока и одинаковых
по конструкции излучателя и приемника. Детали электронного блока смонтированы
на печатной плате из фольгированного стеклотекстолита. Плата помещена в
металлический корпус, достаточно надёжный и в то же время лёгкий в сборке.
До установки МК целесообразно проверить работу стабилизатора напряжения и
усилителя ультразвукового сигнала. Для этого подключают питание и измеряют
напряжение на выводе 5 панели МК. Оно должно находиться в пределах 5 ± 0,3 В.
Затем измеряют постоянное напряжение на выводе 9 панели МК (2,5 В ± 10%) и,
подсоединив вольтметр к ее выводу 10, устанавливают подстроечным резистором R2
напряжение на 0,2...0,3 В больше первого. Далее, подключив вход осциллографа к
выводу 9 панели МК и подав на вход усилителя синусоидальный сигнал частотой 37
кГц и амплитудой 3 мВ, наблюдают на экране осциллографа сигнал с амплитудой 4,5
В.
После этого при отключенном питании устанавливают в панель предварительно
запрограммированный МК и соединяют устройство с излучателем и приемником. Если
при включении питания устройство не заработает, подсоединяют вход осциллографа
(с входным сопротивлением не менее 10 МОм) к выводу XTAL2 (вывод 6) микросхемы
DDI и проверяют, возбуждается ли тактовый генератор МК. Отсутствие колебаний
синусоидальной формы частотой 8 МГц свидетельствует о том, что генератор не
самовозбуждается. В этом случае нужно проверить кварцевый резонатор ZQ1 и
конденсаторы СЗ и С4.
При установке на автомобиле парктроник размещают внутри салона, а
ультразвуковые преобразователи - на заднем бампере на расстоянии не менее 0.6 м
один от другого. Это расстояние обеспечивает ширину рабочей зоны локатора,
равную 2 м. Изменяя его, можно регулировать и ширину этой зоны.
.2 Функциональная схема прибора
Рассмотрим принцип работы парктроникас помощью функциональной схемы
(Рис.)
.3 Таблица функций
Исходя из принципа работы парктроника, можно выявить несколько функций,
которые выполняет оператор. Данные помещены в таблицу функций (таб.)
Таб.
|
№
|
Функция
|
Чем реализуется
|
|
|
Орг. упр.
|
Орг. соед.
|
Индикация
|
Надпись
|
|
1
|
Подготовка к работе
а)Соединение штекеров в разъемы б)Вставка предохранителя в держатель для
предохранителя. в)Соединение сетевого шнура с аккумулятором автомобиля.
|
- - -
|
СР50 FH-301 РГ1Н-1-1
|
- - -
|
ПЕРЕДАЧА, ПРИЕМ
ПРЕДОХРАНИТЕЛЬ 1А 12В
|
|
2
|
Включение/ выключение
прибора
|
тумблер B100G
|
-
|
Индиикатор АЛ307А
|
ПИТАНИЕ
|
|
3
|
Работа
|
-
|
-
|
Звуко-вой сигнал
|
|
.4 Выбор формы корпуса
Определим форму корпуса прибора с учетом того, что он устанавливается на
автомобильном транспорте. Некоторые из возможных вариантов формы корпуса
прибора приведены на рис. 2.5.1. Конструкция корпуса должна обеспечивать
отсутствие электрических, тепловых и других связей, влияющих на технические
характеристики изделия, высокую технологичность сборки и монтажа с учетом
использования автоматов и полуавтоматов, легкий доступ к деталям для контроля,
ремонта и обслуживания, расположение и конструкция органов управления должны
обеспечивать максимальное удобство работы для оператора, изделие должно
удовлетворять требованиям эстетики и иметь минимальные габариты и массу. Корпус
прибора должен выдерживать перевозку автомобильным и железнодорожным
транспортом, т.е. конструкция должна быть достаточно жесткой и виброустойчивой,
а также выдерживать нормальные климатические воздействия.
а)
б)
в)
Вариант а) отличается тем, что у него много рабочих плоскостей. В
разрабатываемом приборе две функциональные группы, поэтому большая часть
плоскостей не востребована, что не оправдывает сложность изготовления такой
конструкции.
Вариант б) является устойчивым, но лицевая панель расположена сверху.
Прибор предполагается располагать на приборной панели, поэтому этот вариант не
приемлем.
Вариант в) наиболее выгоден для конструкции прибора. Он представляет
собой устойчивый и удобный в использовании прибор.
1.5 Выбор внутренней компоновки корпуса
Ниже приведены некоторые из возможных вариантов компоновки.
Рис.: варианты расположения плат в корпусе
.вертикальное,2.горизонтальное,3.комбинированное.
Второй вариант компоновки чаще всего используется в элементарных приборах
небольшого размера с малым количеством плат. В моем случае в небольшом корпусе
расположена одна плата и, следовательно, выбираю второй вариант, т.е.
горизонтальное расположение плат в корпусе.
При использовании третьего варианта компоновки увеличивается размер
корпуса по оси Z, и для моего случая не подходит. В результате получим
нерациональную конструкцию.
В первом варианте расположения плат, увеличивается размер корпуса по
высоте, снижается ремонтопригодность и для моего случая тоже неприменима.
.6 Выбор и обоснование элементной базы
Составим таблицу, в которой отразим данные об элементах, применяемых в
конструкции парктроника, месте их закрепления иразмерах.
Таблица
|
Обозначение
|
Тип
|
Кол
|
Размеры X*Y*Z,мм
|
Место установки
|
|
|
|
|
|
ПП
|
ЛП
|
ЗП
|
|
R1,R3-R20 R2 C1, C11 , C13, C15, С14 C3, C4, C6,
C7, C9, C10, C12 С5, С16 С2 С8 VD1-VD3
VT1,VT3 VT2 DD1 DA1 ZQ1(резонат.) L1 BQ1(динамик)
SA1 VD4 XS1, XS2 XS3(питание) XS4 (преодхр)
|
C2-23 СП3-16В-0,25 К10-17а К10-17а К10-17б К53-18
К53-18 КД102А КТ3102Е КТ3107Ж Z86E0208PSC Радиатор FK301 Стабилизатор 7805 HC-49S AL0307 SCS-17P-10 Перекл. B100G
АЛ307А СР-50-150ФВ РГ1Н-1-1 FH-301
|
19 1 5 7 2 1 1 3 2 1 1
1 1 1 1 1 1 1 2 1 1
|
10*2,2*3,2 14*13*4,4
8,4*6,7*5,6 6,8*4,6*5,6 11,5*5,6*9,0 20*4,0*4,0 26*7,0*7,7 13*2*2
5,8*5,8*10,3 5,2*4,2*7,2 11,5*7,5*2,5 19,1*13,3*12,7 19,5*10,5*4,7 11,05*4,65*3,5 17*3*3 17,5*17,5*10 18,5*13*6,8 5*5*20
19*19*20,5 20*9*27 16*16*37,5
|
+ + + + +
+ + + + + + + + + + - - - - - -
|
- - - - -
- - - - - - - - - - + + + - - -
|
- - - - -
- - - - - - - - - - - - - + + +
|
Итак, из таб. мы видим, что на лицевой панели расположено: сетевой
выключатель SA1, светодиод VD4 и динамик BQ1. На задней панели расположено: два
высокочастотных разъема XS1, XS2, держатель предохранителя XS4, разъем для
питания XS3. Остальные элементы располагаются на печатной плате.
1.7 Расчет размеров печатной платы
На основании предварительного рассмотрения принципиальной схемы размеры
печатной платы определяются из рис.2.8.1, X2, Y1, Y2 - краевые поля,
необходимые для удобства изготовления и закрепления платы.·YF=SF - размеры и
площадь функциональной области, где размещаются элементы электрической схемы и
соединительные проводники., YP, ZP - размеры печатной платы.- зоны
подсоединения, где размещаются контактные площадки, гнезда, штыри, разъемы,
которые обеспечивают соединение с внешними цепями.
Согласно рис. 2.8.1 размеры печатного узла определяются размерными
цепочками:
XP = X1+XF +X2; (1)= Y1+2YK+YF+Y2 (2) = Z0 + ZU + h (3)
- толщина платы,- высота монтажа элементов,- высота пайки элементов с
обратной стороны печатной платы.
Рис.
Площадь элементов устанавливаемых на печатной плате определяется по
таблице 1.- установочная площадь занимаемая элементом.
Установка элементов на плате по ГОСТ 29137-91.
таб.
|
Условное обозначение
|
Название
|
Кол. N
|
Вариант установки элемента
на плате
|
Диаметр вывода
|
Установочные размеры
|
SU мм2
|
N×SU=SE
мм2
|
|
|
|
|
|
XU
|
YU
|
ZU
|
|
|
|
R1,R3-R20
|
C2-23
|
19
|
140
|
0,6
|
10
|
2,2
|
4,2
|
22
|
418
|
|
R2
|
СП3-16в
|
1
|
140
|
0,8
|
14
|
13
|
5,4
|
182
|
182
|
|
C1, C11 , C13, С14, C15
|
К10-17а
|
5
|
200
|
0,6
|
8,4
|
6,7
|
5,6
|
56,28
|
281,4
|
|
C3, C4, C6, C7, C9, C10, C12
|
К10-17а
|
7
|
200
|
0,6
|
6,8
|
4,6
|
5,6
|
31,28
|
218,96
|
|
С5, С16
|
К10-17б
|
2
|
200
|
0,6
|
11,4
|
5,6
|
9
|
63,84
|
127,68
|
|
С2
|
К53-18
|
1
|
140
|
0,6
|
20
|
4
|
5
|
80
|
80
|
|
С8
|
К53-18
|
1
|
140
|
0,6
|
26
|
7
|
8,7
|
182
|
182
|
|
VD1-VD3
|
КД102А
|
3
|
140
|
0,6
|
13
|
2
|
3
|
26
|
78
|
|
VT1,VT3
|
КТ3102Е
|
2
|
190
|
0,5
|
5,8
|
5,8
|
10,3
|
33,64
|
67,28
|
|
VT2
|
КТ3107Ж
|
1
|
190
|
0,5
|
5,2
|
4,2
|
7,2
|
21,84
|
21,84
|
|
DD1
|
Z86T0208PSC
|
1
|
320
|
0.35
|
11,5
|
7,5
|
2,5
|
86,25
|
86,25
|
|
DА1
|
Стабилизатор 7805
|
1
|
020
|
0,9
|
19,5
|
10,5
|
4,7
|
204,8
|
204,8
|
|
ZQ1
|
HC-49S
|
1
|
180
|
0,46
|
11,1
|
4,65
|
3,5
|
51,6
|
51,6
|
|
L1
|
AL0307
|
1
|
140
|
0,5
|
17
|
3
|
3
|
51
|
51
|
|
Итого
|
|
|
|
|
|
|
max=10,3
|
|
2463,6
|
С учетом зазоров между элементами, площадь функциональной поверхности
найдется как:
=SE/CZ, (4)
где CZ - коэффициент заполнения или плотности упаковки элементов на
плате. Для нормальной плотности монтажа CZ=0,3±0,1.
Коэффициент формы печатной платы определяется по формуле:
Согласно ГОСТ 10761-81 СF должен лежать в пределах от 1 до 4. Примем СF =
3, тогда размеры функциональной зоны определятся по формулам:


(6)
Для
CF=1,25 и CZ=0,4 получим:
Что
бы найти оптимальные значения коэффициентов CF и CZ, посчитаем размеры при
разных значениях CF и CZ. Результаты занесём в таблицу
таб.
|
CZ
|
CF
|
XF
|
XP
|
YF
|
YP
|
|
0.4
|
1.25
|
87,74
|
97,74
|
70,19
|
80,19
|
|
0.4
|
1.5
|
96,12
|
106,12
|
64,08
|
74,12
|
|
0.4
|
1.75
|
103,82
|
113,82
|
59,32
|
69,32
|
|
0.4
|
2
|
110,99
|
120,99
|
55,49
|
70,49
|
|
0.35
|
1.25
|
93,80
|
103,80
|
75,04
|
85,04
|
|
0.35
|
1.5
|
102,75
|
112,75
|
68,50
|
78,50
|
|
0.35
|
1.75
|
110,99
|
120,99
|
63,42
|
73,42
|
|
0.35
|
118,65
|
128,65
|
59,32
|
69,32
|
|
0.3
|
1.25
|
101,32
|
111,32
|
81,05
|
91,05
|
|
0.3
|
1.5
|
110,99
|
120,99
|
73,99
|
83,99
|
|
0.3
|
1.75
|
119,88
|
129,88
|
68,50
|
78,50
|
|
0.3
|
2
|
128,16
|
138,16
|
64,08
|
74,08
|
В результате вычислений получаем, что оптимальными будут CF=2 и CZ=0,3.
Согласно ГОСТ 10317-79 (пункт 2) размеры каждой стороны печатной платы
должны быть кратными:
,5 - при длине до 100 мм;
,0 - при длине до 350 мм.
Учитывая особенности схемы устройства, предполагается создать две
контактных зоны для внешних подключений YK. Расчетные данные размеров печатной платы приведены в
таблице
таб.
|
Размеры платы, мм
|
|
XP
|
YP
|
|
X1
|
5
|
Y1
|
2,5
|
|
X2
|
5
|
Y2
|
2,5
|
|
XF
|
128,16
|
Yк
|
5
|
|
|
YF
|
64,08
|
|
Итого
|
138,16
|
Итого
|
74,08
|
|
Округленно
|
140
|
|
75
|
Округляя значения получим:
= 140;= 75;= Z0 + ZU + h = 1,5+10,3+2 = 13,8 мм
.8 Расчет размеров отверстий контактных площадок.
Диаметры монтажных отверстий зависят от диаметров выводов элементов и
определяются по формуле (8):
где dv - диаметр вывода навесного
элемента;r - разность между минимальным значение диаметра отверстия и
максимальным значение диаметра вывода элемента;∆dно - нижнее предельное
отклонение номинального значения диаметра отверстия.
В схеме используются следующие выводы:
dv1 = 0,6 мм - для всех элементов.
dv2 = 1,4 мм - для распайки выводов.
Значение параметра r должно находиться в пределах от 0,1 до 0,4 мм. Было
принято значение r = 0,4.Таким образом, диаметры отверстий:
для dv1 = 0,6 ммотв=
0,6+0,4+0,05=1,05≈1,1 мм
для dv2 = 1,4 ммотв=
1+0,4+0,05=1,85≈1,9 мм
1.9 Расчет диаметра
контактных площадок, ширины проводников
Рис.
На рис. 2.10.1 схематично
изображены размерные цепи для определения диаметра контактных площадок.
где dотв - диаметр монтажного
отверстия; bг - гарантийный поясок контактной площадки; ∆dво - верхнее
предельное отклонение диаметра отверстия;c - коэффициент, учитывающий разброс
межцентрового расстояния, смещение фольги в разных слоях, подтравливание
диэлектрика.
Для плат 2 и 3 классов c =
0,4…0,5. Было принято значение c=0,4.
Т.о. диаметры контактных
площадок:
для dv1 = 0,6
мм=1,1+2·0,4+0,1+0,5=2,5 мм
для dv2 = 0,9
мм=1,9+2·0,4+0,1+0,5=3,3 мм
Ширина проводника выбивается
исходя из значения токов, протекающих в нем:
где Iраб - рабочий ток;t -
толщина фольги (35 мк );γдоп - допустимая плотность тока для печатного
проводника, составляет порядка 50-100 А/мм2.
Тогда:
Для
2 класса точности b ≥ 0,25мм, что удовлетворяет требованиям.
Зазор
между проводниками выбирается из условия пробивной напряженности поля:
, (11)
где
Uраб - рабочее напряжение; Едоп -напряженность электрического пробоя (500-700
В/мм)
Тогда:
а
≥ 30/500 = 0,06мм
Для
2 класса точности а ≥ 0,25 мм, что удовлетворяет требованиям.
.10 Определение размеров корпуса
Размеры корпуса XK, YK, ZK находятся по формулам:
где Xi, Yj, Zn - линейные размеры частей прибора, образующих размерную
цепь;
∆Xi, ∆Yj, ∆Zn - зазоры между i и (i+1) частями прибора.
Ограничимся определением величин зазора из условия механической сборки. При
механической сборке зазор можно представить в виде слагаемых:
где GZ - гарантированный зазор между i и (i+1) частями, обеспечивающий
электрическую прочность монтажа;
δXi , δXi+1 - допуски на размеры Xi, Xi+1;
∆Xip, ∆X(i+1)p - допустимый прогиб i и (i+1) частей.
Значение гарантированного зазора лежит в пределах от 1 до 2 мм. Было
принято GZ=1 мм.
Допуски назначаются по квалитетам IT(15), IT(16) на несопрягаемые
размеры, т.е. δXi =0,01·Xi. Соответственно выражения относятся и к другим осям.
На рис. приведены размерные цепи и компоновочное решение корпуса прибора.
Рис.
Исходные расчетные и справочные данные:
Длина держателя предохранителя YL1 = 23,5 мм.
Длина тумблера YL2 = 17,8 мм.
Длина узла по оси Y YP = 75 мм.
Длина узла по оси X XP = 140 мм.
Высота узла ZP = 13,8 мм.
Без учета зазоров размеры корпуса составят:
XK = XP = 140 мм.
YK = YP + YL1 + YL2
=75+23,5+17,8= 116,3мм.
ZK = ZP =13,8 мм.
Расчетные данные зазоров Х1, Х2, Y1,Y2, Z2. приведены в таблице
таб.
|
X1=X2
|
Y1
|
Y2
|
Z2
|
|
Gz
|
1
|
Gz
|
1
|
Gz
|
1
|
Gz
|
1
|
|
ΔXP
|
1,4
|
ΔYP
|
0,75
|
ΔYP
|
0,75
|
ΔZP
|
1
|
|
ΔXK
|
1,4
|
ΔYK
|
0,875
|
ΔYK
|
0,928
|
ΔZK
|
0,138
|
|
ΔXPп
|
0
|
ΔYPп
|
0
|
ΔYPп
|
0
|
ΔZPп
|
1,4
|
|
ΔXKп
|
0,75
|
ΔYKп
|
1,4
|
ΔYKп
|
1,4
|
ΔZKп
|
1,4
|
|
Итого
|
3,55
|
Итого
|
4,025
|
Итого
|
4,078
|
Итого
|
3,938
|
где GZ- гарантированный зазор
∆ХК, ∆YК, ∆ZК - допуск на размер корпуса
∆ХР, ∆YР, ∆ ZР - допуск на размер платы
∆ХРп. - допуск на прогиб платы
∆ХКп. - допуск на прогиб корпусаучетом зазоров и толщины стенок
размеры корпуса составят:= 140 + 3,55 + 3,55 = 147,7 мм≈160 мм.= 75 +
4,025 + 4,078 +23,5 + 17,8 = 124,4 мм≈130 мм.= 13,8 + 10 + 3,938 = 27,74
мм≈ 40 мм.
.11 Расчет размеров надписей
Для того, чтобы определить размеры лицевой панели необходимо знать
размеры надписей. Причем, надписи должны быть выполнены прямым рубленым шрифтом
с определенной толщиной и высотой. Это делается, чтобы оператор мог быстро и
легко прочесть эту надпись. На рис. изображена примерная схема восприятия
надписи человеком.
рис.
На
рисунке расстояние от зрачка до надписи L=500мм, (для
основной надписи 1000 мм) угол обзора глаза β=21’=0,0061[рад]. Исходя из этого: высота символа -
, а ширина символа -
. В связи
с тем, что мы будем применять прямой контраст лицевой панели, толщину обводки
рассчитаем из отношения
. Длину надписи находим по формуле
где
количество символов в надписи;
расстояние между буквами. Результаты занесены в
таблицу
таб.
|
Надпись
|
β
|
Толщина буквы t,мм
|
Высота шрифта, мм
|
Ширина шрифта XS,мм
|
Длина надписи XN,мм
|
|
ПИТАНИЕ
|
21’
|
0,5
|
3
|
2
|
2*7+3*0,5=15,5
|
|
УЛ-1
|
21’
|
1
|
6
|
4
|
4*4+6*1=22
|
|
12В
|
21’
|
0,5
|
3
|
2
|
2*3+3*0,5=7,5
|
|
ПРЕДОХРАНИТЕЛЬ 1А
|
21’
|
0,5
|
3
|
2
|
2*17+3*0,5=35,5
|
|
ПРИЁМ
|
21’
|
0,5
|
3
|
2
|
2*5+3*0,5=15
|
|
ПЕРЕДАЧА
|
21’
|
0,5
|
3
|
2
|
2*8+3*0,5=24
|
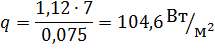
1.12 Расчет размеров функциональных групп
На лицевой панели нашего прибора будет две функциональные группы:
1. В функциональную группу ФГ1 входят: тумблер, надпись, индикатор,
держатель светодиода.
рис.
Таб.
|
Y1,мм
|
Y2,мм
|
X,мм
|
|
Y1
|
13
|
Y1
|
7
|
X1
|
6
|
|
YN1
|
8
|
YN1
|
20
|
XN1
|
8
|
|
Y2
|
3.5
|
Y2
|
7
|
X2
|
13
|
|
YN2
|
3.5
|
|
|
XN2
|
14
|
|
Y3
|
6
|
|
|
X3
|
2.5
|
|
YFG1
|
34
|
YFG2
|
34
|
XFG1
|
43.5
|
2. В функциональную группу ФГ2 входит: пьезокерамический излучатель
звука.
рис.
Y1=17мм;
X1=17мм.
На задней панели устройства располагается 3 группы: разъём питания,
держатель предохранителя, 2 разъёма СР-50 и надписи: «12В», «ПРЕДОХРАНИТЕЛЬ
1А», «ПРИЁМ», «ПЕРЕДАЧА».
. В функциональную группу 1 входят: разъём питания, держатель
предохранителя, надпись «предохранитель 1А», надпись «12В».
рис.
таб.
|
Y1,мм
|
Y2,мм
|
X1,мм
|
X2,мм
|
|
Y1
|
15
|
Y1
|
12
|
X1
|
7
|
X1
|
15
|
|
YN1
|
9
|
YN1
|
16
|
XN1
|
20
|
XN1
|
5.5
|
|
Y2
|
9
|
Y2
|
2
|
X2
|
10
|
X2
|
9
|
|
YN2
|
3.5
|
YN2
|
8
|
XN2
|
16
|
XN2
|
31
|
|
Y3
|
3.5
|
Y3
|
4
|
X3
|
11
|
X3
|
4.5
|
|
YFG1
|
40
|
YFG2
|
40
|
XFG1
|
65
|
XFG2
|
65
|
. В функциональную группу 2 входит: разъём СР50-150ФВ, надпись
«ПРИЁМ».
Рис.
Таб.
|
Y,мм
|
X,мм
|
|
|
|
Y1
|
9
|
X1
|
8
|
|
YN1
|
19
|
XN1
|
19
|
|
Y2
|
3
|
X2
|
8
|
|
YN2
|
3,5
|
5,5
|
|
|
|
YFG1
|
40
|
XFG1
|
35
|
3. В функциональную группу 3 входит: разъём СР50-150ФВ, надпись
«ПЕРЕДАЧА».
рис.
Таблица
|
Y,мм
|
X,мм
|
|
|
|
Y1
|
9
|
X1
|
8
|
|
YN1
|
19
|
XN1
|
19
|
|
Y2
|
3
|
X2
|
8
|
|
YN2
|
3,5
|
|
|
|
Y3
|
5,5
|
|
|
|
YFG1
|
40
|
XFG1
|
35
|
1.13 Расчет размеров лицевой панели
Определим габаритные размеры лицевой панели по размерам функциональных
групп. На лицевой панели нашего прибора будут располагаться только две
функциональные группы: включение питания и сетка для динамика. Для того, чтобы
определить размеры лицевой панели необходимо знать расположение функциональных
групп. На рис. 2.14.1 представлено два варианта размещения функциональных
групп.
а)
б)
рис.
а) в связи с тем, что прибор предполагается располагать на верхней панели
автомобиля или в панели приборов, данный вариант не совсем пригоден. Это
обусловлено тем, что правой рукой придется дотягиваться до прибора для его
включения, а это не приемлемо для водителя.
б) данный вариант также рассчитан на правую руку, достоинством является
то, что тумблер включения расположен ближе к водителю. Это означает простота
включения и в темноте будет легче обнаружить на ощупь.
Составим компоновочную модель лицевой панели.
рис.
Габаритные размеры лицевой панели вычисляются по формулам:
.14
Расчет размеров задней панели
Определим
габаритные размеры задней панели. На ней будут располагаться разъёмы (питания,
датчика приёма, датчика излучения) и держатель предохранителя.
рис.
Габаритные размеры задней панели вычисляются по формулам:
2. Расчёт надёжности устройства
.1 Ориентировочный расчет надежности
Ориентировочный расчет надежности производится на этапе эскизного
проектирования после разработки принципиальной электрической схемы. Он
позволяет выявить слабые участки системы и наметить пути повышения надежности
системы на этапе эскизного проектирования.
Проведем ориентировочный расчет надежности. Расчет будем вести в
следующем порядке:
Определим количество и типы элементов устройства, а также их усредненные
значения λ0i интенсивности отказов, полученные по результатам испытаний на
надежность i-го типа элемента. Эти испытания проводятся в течении времени t =
1000 ч, при t=20-22°С и
при электрическом коэффициенте нагрузки Кн=1. Количество и типы элементов
определим по принципиальной электрической схеме РЭА. Найденные значения λ0i,
количество и типы
элементов устройства сведены в таб.
Статистические данные об отказах элементов для ориентировочного расчета
таб.
|
№ п/п
|
Наименование и тип элемента
|
Количество, Ni
|
λ0i·106,
ч-1
|
Niλ0i
·106 ч-1
|
|
Резисторы:
|
|
|
|
|
1
|
С2-23
|
19
|
0,01
|
0,019
|
|
2
|
СП3-39А
|
1
|
0,006
|
0,006
|
|
Конденсаторы:
|
|
|
|
|
3
|
К10-17А
|
12
|
0,02
|
0,24
|
|
4
|
К10-17Б
|
2
|
0,02
|
0,04
|
|
5
|
К53-18
|
2
|
0,07
|
0,14
|
|
Диоды:
|
|
|
|
|
6
|
КД102А
|
3
|
0,08
|
0,24
|
|
Транзисторы:
|
|
|
|
|
7
|
КТ3102Е
|
2
|
0,2
|
0,4
|
|
8
|
КТ3107Ж
|
1
|
0,2
|
0,2
|
|
Микросхемы
|
|
|
|
|
9
|
Z86E0208PSC
|
1
|
0,2
|
0,2
|
|
10
|
Стаб-р 7805
|
1
|
0,2
|
0,2
|
|
Резонаторы:
|
|
|
|
|
11
|
HC-49S
|
1
|
0,1
|
0,1
|
|
Индикаторы:
|
|
|
|
|
12
|
АЛ307А
|
1
|
0,25
|
0,25
|
|
Индуктивности:
|
|
|
|
|
13
|
AL0307
|
1
|
0,07
|
0,07
|
|
Прочие:
|
|
|
|
|
24
|
Разъём СР-50
|
2
|
0,002
|
0,004
|
|
25
|
Разъём питания РГ1Н-1-1
|
1
|
0,002
|
0002
|
|
26
|
Пьезоэлектр. излуч-ль
SCS-17P-10
|
1
|
0,2
|
0,2
|
|
Держатель предохранителя
|
1
|
0,0014
|
0,0014
|
|
27
|
Тумблер B100G
|
1
|
0,03
|
0,03
|
|
30
|
Шнур питания
|
1
|
0,005
|
0,005
|
|
35
|
Плата (текстолит)
|
1
|
0,0001
|
0,0001
|
|
36
|
Пайка печатного монтажа
|
113
|
0,001
|
0,113
|
Вычислим количественные характеристики надежности системы.
Интенсивность отказов системы определяется по формуле:
Среднее время безотказной работы есть величина, обратная интенсивности
отказов, т.е. имеем:
Вероятность безотказной работы системы в течение времени t определяется
по формуле:
Время t, в течение которого требуется обеспечить заданную надежность,
задается в техническом задании.
Зависимость вероятности безотказной работы Р(t) от времени показана на
графике в конце расчёта.
Частота отказов системы определяется как произведение интенсивности
отказов и вероятности безотказной работы системы в течение времени t:
Зависимость частоты отказов F(t) от времени изображена на графике в конце
расчёта.
Вероятность отказа системы определяется по формуле:
Гарантийный срок службы определяется по формуле:
.2 Окончательный расчёт на надёжность
Окончательный расчет надежности производится на этапе технического
проектирования после испытания макета изделия и всех его узлов, когда известны
режимы работы всех элементов системы и условия их эксплуатации. Значения
интенсивностей отказов элементов с учетом их режимов работы и условий
эксплуатации определяются с помощью поправочных коэффициентов или эмпирических
формул. В данной работе значения интенсивностей определяются с помощью
поправочных коэффициентов. При этом реальные интенсивности отказов элементов
или узлов определяются по формуле:
где λ0i - усредненное значение интенсивностей отказов при
t=20-22°С и Кн=1;
аi - поправочные коэффициенты для
определения λi ;
а1 - коэффициент, учитывающий условия эксплуатации (для наземной
аппаратуры а1 = 2);
а2 - поправочный коэффициент, учитывающий воздействие вибрации (для
наземной аппаратуры а2 = 1,04);
а3 - поправочный коэффициент, учитывающий воздействие ударных нагрузок
(для наземной аппаратуры а3 = 1,03);
а4 - поправочный коэффициент, учитывающий воздействие влажности и температуры
окружающей среды (для наземной аппаратуры а4 = 1);
а5 - поправочный коэффициент, учитывающий воздействие атмосферного
давления (для наземной аппаратуры а5 = 1).
Поправочные коэффициенты находятся из соответствующих таблиц
Коэффициенты нагрузкиКн, необходимые для определения коэффициента а1, для
различных элементов РЭС находятся из таблиц [2]. Для элементов, не указанных в
таблицеКн=0,95. результаты вычисления реального значения интенсивности отказов λi приведены в таб.
Статистические данные об отказах элементов для окончательного расчета
таб.
|
№ п/п
|
Наименование и тип элемента
|
t°, C
|
Кнi
|
ai
|
а1а2 а3а4а5
|
λ0i·106, ч-1
|
λi=λ0iaia1a2a3a4a5, 106ч-1
|
Ni, шт.
|
Ni·λi·106,ч-1
|
qi
|
tср.в.i
|
qi·tср.в.i
|
|
1
|
2
|
3
|
4
|
5
|
6
|
7
|
8
|
9
|
10
|
11
|
12
|
13
|
|
Резисторы:
|
|
|
|
a1=2; a2=1,04;
a3=1,03; a4=1; a5=1; a1*a2*a3*a4*a5=2,14
|
|
|
|
∑=3,338
|
|
|
|
|
1
|
С2 (э)
|
22
|
0,3
|
0,26
|
|
0,01
|
0,0056
|
6
|
0,0336
|
0,0101
|
0,083
|
0,00084
|
|
2
|
С2 (к)
|
22
|
0,8
|
0,72
|
|
0,01
|
0,0154
|
4
|
0,0616
|
0,0185
|
0,083
|
0,00154
|
|
3
|
С2 (б)
|
22
|
0,1
|
0,15
|
|
0,01
|
0,0032
|
4
|
0,0128
|
0,0038
|
0,083
|
0,00032
|
|
4
|
С2 (пр.)
|
22
|
0,5
|
0,42
|
|
0,01
|
0,0089
|
6
|
0,0534
|
0,016
|
0,083
|
0,00133
|
|
5
|
СП3 (пр.)
|
22
|
0,5
|
0,1
|
|
0,006
|
0,0013
|
1
|
0,0013
|
0,0004
|
0,083
|
0,00003
|
|
Конденсаторы:
|
|
|
|
|
|
|
|
|
|
|
|
|
15
|
К10
|
22
|
0,6
|
0,18
|
|
0,02
|
0,0077
|
14
|
0,1078
|
0,0323
|
0,083
|
0,00268
|
|
16
|
К53
|
22
|
0,6
|
0,2
|
|
0,07
|
0,0300
|
2
|
0,0600
|
0,018
|
0,083
|
0,00149
|
|
Диоды:
|
|
|
|
|
|
|
|
|
|
|
|
|
19
|
КД102А
|
22
|
0,7
|
0,85
|
|
0,08
|
0,1455
|
3
|
0,4365
|
0,1308
|
0,083
|
0,01086
|
|
20
|
АЛ307А
|
22
|
0,7
|
0,85
|
|
0,08
|
0,1455
|
1
|
0,1455
|
0,0436
|
0,083
|
0,00362
|
|
Транзисторы:
|
КТ3102Е
|
22
|
0,7
|
0,525
|
|
0,2
|
0,2247
|
2
|
0,4494
|
0,1346
|
0,083
|
0,01117
|
|
26
|
КТ3107Ж
|
22
|
0,7
|
0,525
|
|
0,2
|
0,2247
|
1
|
0,2247
|
0,0673
|
0,083
|
0,00559
|
|
Индуктивности:
|
|
|
|
|
|
|
|
|
|
|
|
|
AL0307
|
22
|
0,9
|
0,85
|
|
0,07
|
0,1273
|
1
|
0,1273
|
0,0381
|
0,083
|
0,00316
|
|
Микросхемы:
|
|
|
|
|
|
|
|
|
|
|
|
|
Z86E0208PSC
|
22
|
0,95
|
0,9
|
|
0,2
|
0,3852
|
1
|
0,3852
|
0,1154
|
0,083
|
0,00958
|
|
Стаб-р 7805
|
22
|
0,95
|
0,9
|
|
0,2
|
0,3852
|
1
|
0,3852
|
0,1154
|
0,083
|
0,00958
|
|
Резонаторы:
|
|
|
|
|
|
|
|
|
|
|
|
|
HC-49S
|
22
|
0,95
|
0,9
|
|
0,1
|
0,1926
|
1
|
0,1926
|
0,0577
|
0,083
|
0,00479
|
|
Прочие:
|
|
|
|
|
|
|
|
|
|
|
|
|
30
|
Разъём СР-50
|
22
|
0,8
|
0,75
|
|
0,002
|
0,0032
|
2
|
0,0064
|
0,0019
|
0,083
|
0,00016
|
|
31
|
Разъём питания РГ1Н-1-1
|
22
|
0,8
|
0,75
|
|
0,002
|
0,0032
|
1
|
0,0032
|
0,001
|
0,083
|
0,00008
|
|
32
|
Пьезоэлектр. излуч-ль
SCS-17P-10
|
22
|
0,95
|
0,9
|
|
0,2
|
0,3852
|
1
|
0,3852
|
0,1154
|
0,083
|
0,00958
|
|
33
|
Тумблер B100G
|
22
|
0,8
|
0,75
|
|
0,03
|
0,0482
|
1
|
0,0482
|
0,0144
|
0,083
|
0,0012
|
|
34
|
Держатель предохранителя
|
22
|
0,95
|
0,9
|
|
0,0014
|
0,0027
|
1
|
0,0027
|
0,0008
|
0,083
|
0,00007
|
|
41
|
Плата (текстолит)
|
22
|
0,95
|
0,9
|
|
0,0001
|
0,0002
|
1
|
0,0002
|
0,0001
|
0,083
|
0,000008
|
|
42
|
Пайка печатного монтажа
|
22
|
0,95
|
0,9
|
|
0,001
|
0,0019
|
113
|
0,2147
|
0,0643
|
0,083
|
0,005337
|
Условную вероятность отказа всей системы из-за отказа i-го элемента
определяем по формуле:
Интенсивность отказов системы:
Вероятность безотказной работы системы:
Зависимость вероятности безотказной работы Р(t) от времени показана на
рис.3.
Вероятность отказа системы:
Частота отказа системы:
Зависимость частоты отказов F(t) от времени показана на графике в
конце расчёта.
Среднее время безотказной работы системы
Гарантийный срок службы:
Математическое ожидание:
Коэффициент готовности:
Производная коэффициента надежности:
Вероятность нормального функционирования:
В связи с тем, что Р(t)расч>
Р(t)задан производить резервирование нет
необходимости.
проводник
акустический локатор автомобиль
2.3 Расчёт запасных элементов
Для РЭС длительного пользования часто время эксплуатации Т бывает
значительно больше Тср, т.е. Т>>Тср. В этих случаях для обеспечения
работоспособности РЭС необходимо иметь комплект ЗИП.
Расчет необходимого количества запасных элементов зависит от их
надежности. Характеристикой надежности при ЗИП является работоспособность -
свойство аппаратуры выполнять свои функции либо за счет безотказности, либо за
счет соответствующих запасных элементов. Количественным критерием является
вероятность работоспособности Рраб(t).
Расчет запасных элементов при наличии условия минимальной стоимости
проводится в следующем порядке:
1. Определяем Ррабi(t) -
вероятность работоспособности i-го
типа элементов по формуле:
Где: Сi - стоимость i-го типа элементов;i - количество i-го типа элементов;-
общее число номиналов;
Рраб(t) - вероятность работоспособности РЭС, которую требуется обеспечить
(по техническому заданию Рраб(t)=0,97).
2. Определяем nср.i - среднее предполагаемое количество отказов по
формуле:
где: Т - время, в течение, которого требуется обеспечить заданную
работоспособность за счет комплекта ЗИП (по техническому заданию Т=4 лет ≈
4·104 часов).
. Для найденных значений Рраб(t) и nср.i определяется Nз.э.i - число запасных элементов i-го
типа путем пересчета по формуле:
Результаты расчетов количества запасных элементов приведены в таб. 3.3.1
Таблица данных для расчета запасных элементов Таб.
|
№ п/п
|
Наименование и тип элемента
|
Ni, шт.
|
2/3*λi·106,
ч-1
|
nср.i
|
Сi, руб
|
Ni·Ci, руб
|
Ррабi(Т)
|
Nз.э., шт.
|
|
1
|
2
|
3
|
4
|
5
|
6
|
7
|
8
|
9
|
|
Резисторы:
|
|
|
|
|
∑=1390
|
|
|
|
1
|
С2 (э)
|
6
|
0,0037
|
0,00089
|
10
|
60
|
0,99957
|
0
|
|
2
|
С2 (к)
|
4
|
0,0103
|
0,00165
|
10
|
40
|
0,99971
|
0
|
|
3
|
С2 (б)
|
4
|
0,0015
|
0,00024
|
10
|
40
|
0,99971
|
0
|
|
4
|
С2 (пр.)
|
6
|
0,0593
|
0,01423
|
10
|
60
|
0,99957
|
1
|
|
5
|
СП3 (пр.)
|
1
|
0,0009
|
0,00004
|
10
|
10
|
0,99993
|
0
|
|
6
|
Конденсаторы:
|
|
|
|
|
|
|
|
|
7
|
К10
|
14
|
0,0051
|
0,00286
|
15
|
210
|
0,9985
|
0
|
|
8
|
К53
|
2
|
0,02
|
0,0016
|
15
|
30
|
0,99978
|
0
|
|
9
|
Диоды:
|
|
|
|
|
|
|
|
|
10
|
КД102А
|
3
|
0,0969
|
0,01163
|
20
|
60
|
0,99957
|
1
|
|
11
|
АЛ307А
|
1
|
0,0969
|
0,00388
|
20
|
20
|
0,99985
|
0
|
|
12
|
Транзисторы:
|
|
|
|
|
|
|
|
|
13
|
КТ3102Е
|
2
|
0,1497
|
0,012
|
25
|
50
|
0,99964
|
1
|
|
14
|
КТ3107Ж
|
1
|
0,1497
|
0,006
|
25
|
25
|
0,99982
|
0
|
|
Индуктивности:
|
|
|
|
|
|
|
|
|
15
|
AL0307
|
1
|
0,0848
|
0,00339
|
5
|
5
|
0,99996
|
0
|
|
16
|
Микросхемы:
|
|
|
|
|
|
|
|
|
17
|
Z86E0208PSC
|
1
|
0,2565
|
0,01026
|
60
|
60
|
0,99957
|
1
|
|
18
|
Стаб-р 7805
|
1
|
0,2565
|
0,01026
|
80
|
80
|
1
|
|
Резонаторы:
|
|
|
|
|
|
|
|
|
19
|
HC-49S
|
1
|
0,1283
|
0,00513
|
10
|
10
|
0,99993
|
0
|
|
20
|
Прочие:
|
|
|
|
|
|
|
|
|
21
|
Разъём СР-50
|
2
|
0,0021
|
0,00017
|
190
|
380
|
0,99727
|
0
|
|
22
|
Разъём питания РГ1Н-1-1
|
1
|
0,0021
|
0,00008
|
20
|
20
|
0,99985
|
0
|
|
23
|
Пьезоэлектр. излуч-ль
SCS-17P-10
|
1
|
0,2565
|
0,01026
|
180
|
180
|
0,99871
|
1
|
|
24
|
Тумблер B100G
|
1
|
0,0321
|
0,00128
|
20
|
20
|
0,99985
|
0
|
|
25
|
Держатель
предохранителяFH-301
|
1
|
0,0018
|
0,00007
|
30
|
30
|
0,99978
|
0
|
Содержимое комплекта ЗИП для обеспечения Рраб(Т)=0,97 в течение четырех
лет приведено в таб.
Содержимое комплекта ЗИП таб.
|
№ п/п
|
Тип элемента
|
Nз.э.i, шт.
|
|
Резисторы:
|
|
|
1
|
С2 (э)
|
0
|
|
2
|
С2 (к)
|
0
|
|
3
|
С2 (б)
|
0
|
|
4
|
С2 (пр.)
|
1
|
|
5
|
СП3 (пр.)
|
0
|
|
6
|
Конденсаторы:
|
|
|
7
|
К10
|
0
|
|
8
|
К53
|
0
|
|
9
|
Диоды:
|
|
|
10
|
КД102А
|
1
|
|
11
|
АЛ307А
|
0
|
|
12
|
Транзисторы:
|
|
|
13
|
КТ3102Е
|
1
|
|
14
|
КТ3107Ж
|
0
|
|
Индуктивности:
|
|
|
15
|
AL0307
|
0
|
|
16
|
Микросхемы:
|
|
|
17
|
Z86E0208PSC
|
1
|
|
18
|
Стаб-р 7805
|
1
|
|
Резонаторы:
|
|
|
19
|
HC-49S
|
0
|
|
20
|
Прочие:
|
|
|
21
|
Разъём СР-50
|
0
|
|
22
|
Разъём питания РГ1Н-1-1
|
0
|
|
23
|
Пьезоэлектр. излуч-ль
SCS-17P-10
|
1
|
|
24
|
Тумблер B100G
|
0
|
|
25
|
Держатель
предохранителяFH-301
|
0
|
Вывод
В
данном разделе был произведен расчет на надежность блока диагностики состояния
работы акустического локатора для автомобиля, с обеспечением всех необходимых
заданных параметров и с учетом условий эксплуатации. Данная схема удовлетворяла
заданию и не требует введение резервирования. Так же был рассчитан необходимый
комплект запасных элементов, что в конечном итоге повысило срок использования
данной аппаратуры. Рассчитанный комплект ЗИПа, в количестве 6 элементов,
обеспечивает работу блока в течении 4-х лет с заданной вероятностью 
, таким
образом, длительное применение данного блока целесообразно только с наличием
ЗИПа.
3.
Расчет механической прочности печатной платы
.1
Расчет собственной резонансной частоты печатного узла
Функциональный
узел на жесткой печатной плате, закрепленный в приборе, в условиях вибрационных
нагрузок (например, при транспортировке прибора автомобилем, самолетом и т.д.),
обладает собственными частотами механических колебаний или конструктивными
резонансами. Если частота вибрационных воздействий совпадает с собственной
частотой ФУ, плата испытывает максимальные механические перегрузки, которые
могут привести к ее разрушению, к разрушению элементов, к отрыву контактных
площадок, паяных контактов и проводов. Механические перегрузки будут
минимальными, если выполняется условие:
Это
условие является основным при выборе способа закрепления и размещения
функционального узла в приборе. Частота вибраций, которая определяется
условиями эксплуатации прибора, обычно известна, собственная частота узла
определяется его механическими характеристиками и находится из выражения:
где
х, у - расстояние между точками закрепления,- толщина платы, мм
Е
- модуль упругости материалы платы, Па
МS
= МP+МE+МR - масса функционального узла,г
МP
= X × Y × h × ρ×10-3 - масса печатной платы, г
К
- количество паянных контактов на плате
М(PК)
= 0,06±0,01 - масса припоя для пайки одного контакта
МR
= М(PК)×
∑mk, где ∑mk - кол-во всех
контактов, г
МE
= ∑М - масса элементов на плате, г
М
- масса i-го элемента на плате, г
Для
определения массы элементов на плате и припоя для пайки составляется таблица
Табл.
|
Типы элементов
|
Кол-во, N, шт.
|
Масса, M, г
|
Кол-во выводов К
|
М(Э)=M*N, г
|
mk=N*К, шт.
|
|
C2-23-0,125
|
19
|
0,15
|
2
|
2,85
|
38
|
|
СП3-16В
|
1
|
0,5
|
3
|
0,5
|
3
|
|
К10-17А
|
5
|
1
|
2
|
5
|
10
|
|
К10-17А
|
7
|
0,5
|
2
|
3,5
|
14
|
|
К10-17Б
|
2
|
1,5
|
2
|
3
|
4
|
|
К53-18-16в-10
|
1
|
1,2
|
2
|
1,2
|
2
|
|
К53-18-16в-100
|
1
|
6
|
2
|
6
|
2
|
|
КД102А
|
3
|
0,1
|
2
|
0,3
|
6
|
|
КТ3102Е
|
2
|
0,5
|
3
|
1
|
6
|
|
КТ3107Ж
|
1
|
0,3
|
3
|
0,3
|
3
|
|
Z86E0208PSC
|
1
|
10
|
18
|
7
|
18
|
|
HC-49S
|
1
|
1
|
2
|
1
|
2
|
|
7805
|
1
|
7
|
3
|
10
|
3
|
|
AL0307
|
1
|
0,2
|
2
|
0,2
|
2
|
Таким образом
МE = 41,85 г.
Масса припоя:
МR
= 113×0,05 = 5,65
г.
В качестве материала платы выбран стеклотекстолит СФ2-35-1.5 толщиной 1,5
мм, плотностью 2,05 см2, Е = 3×1010 Па.
МP = 140×75×1,5×2,05×10-3 = 32,29
г.
МS = 41,85+5,65+32,29 = 79,78 г.
При креплении в 4-х точках:
Сравним частоту колебаний функционального узла с экспериментальными
значениями частот возбуждающих колебаний для различных видов транспортировки.
Автомобильный транспорт:
Железнодорожный транспорт:
Вывод
Исходя из полученных результатов, видим, что данный прибор можно
транспортировать железнодорожным и автомобильным видом транспорта без риска
возникновения резонансных колебаний, как и было задано по техническому заданию.
.2 Расчет прочности платы
Под действием вибрационных нагрузок платы испытывает изгибные деформации.
Если нагрузка превышает предел изгибной прочности материала, происходит перелом
в наиболее ослабленном сечении. Для количественной оценки этого явления
предполагается многократный изгиб печатной платы под действием таких нагрузок,
а сама плата рассматривается как прямоугольная пластина на двух
опорах,рис.4.2.1, рис.4.2.2

Уравнение
изгибной прочности имеет вид:
где s(u), s(доп) - расчетное и допустимое напряжение при изгибе,
М(и)- изгибающий момент в режиме резонансных колебаний, W - момент
сопротивления изгибу.
Ослабленное сечение, имеющее наименьшую площадь, выбирается из полученных
по формуле:
где dj - размер j-го отверстия в сечении XS, Ki - количество отверстий в сечении XS.
Изгибающий момент в режиме резонансных колебаний находится как(и) = 0,25×P×h(v)×X,
Где h(v) -
коэффициент виброперегрузки= MS*g - нагрузка, uсоздаваемая суммарной массой MS,= 9800 мм/с2- ускорение
свободного падения.
Момент сопротивления изгибу для платы в виде прямоугольной пластины
находится по формуле:
С учетом представленных выражений получаем формулу для расчета изгибной
прочности:
Получим:
Вибрационная
перегрузка выбирается, исходя из назначения аппаратуры и способа
транспортировки, для стеклотекстолита допустимое напряжение при изгибе 
составляет
350МПа, что удовлетворяет условию прочности платы.
3.3 Определение жесткости печатного узла
При вибрациях платы ломаются редко. Гораздо чаще под действием
механических нагрузок ухудшается жесткость конструкции. Количественно жесткость
платы оценивается по допустимому прогибу DZ.
Конструкция считается жесткой, если стрела прогиба удовлетворяет условию:
При действии конкретных механических нагрузок стрела прогиба
рассчитывается по формуле:
Где P = MS∙g - нагрузка, создаваемая суммарной массой MS,
h(v) - коэффициент виброперегрузкимодуль упругости материалы платы, Па-
длина узла, мм- момент инерции сплошной прямоугольной пластины:
При сделанных обозначениях формула прогиба имеет вид:
Получим
Следовательно, конструкция является жесткой.
4. Расчет теплового режима прибора
Температура корпуса определяется методом последовательных приближений.
Схема соединения тепловых проводимостей составляется в соответствии с условиями
и способами передачи тепла от корпуса к среде (рис.).
рис.
Р - тепловая мощность рассеиваемая поверхностью корпуса во внешнюю среду,
Вт;

-
тепловые проводимости между корпусом и внешней средой за счет конвекции и
излучения соответственно, Вт/ºС;к, tс
- температура корпуса и внешней среды, ºС.
Исходные
данные:
Размеры
(мм)……………………………………………………..160x130x40
Тепловой
поток…………………………………..7 Вт
Температура
окружающей сре…………………..+22º
С
Степень
черноты Ек……………………………….0,9
.1
Выбор системы охлаждения
Выбор
целесообразного способа охлаждения выполняется по графику, приведенном ниже,
где представлены области применения различных способов охлаждения.
рис.
На
данном графике области:
-естественное
воздушное охлаждение;
-возможно
применение естественного или принудительного
воздушного
охлаждения;
-принудительное
воздушное охлаждение;
-
возможно применение естественного жидкостного или принудительного воздушного
охлаждения;
-естественное
жидкостное охлаждение;
-
принудительное жидкостное охлаждение.
Определим
допустимый перегрев элементов относительно температуры окружающей среды.
где,tдоп
- допустимая температура- температура среды
Определим
плотность теплового потока:
где
Р - тепловая мощность, рассеиваемая с поверхности пробора [Вт].
Т.к.
в проборе имеется плата, на которой установлена 1 микросхема, мощностью 1,05
Вт, 19 резисторов с общей мощностью рассеяния 2,75 Вт, диоды общей мощностью
1,45Вт, транзисторы общей мощностью 1,75 Вт. Складывая, получим Р=7Вт.-
коэффициент, учитывающий давление воздуха.
Т.к.
давление внешней среды Нс=0,55∙105 Па, то по соответствующим таблицам
определяем:=1,12к - площадь теплоотдающей поверхности корпуса,Fк = 0,075 м2
Таким
образом,
Исходя
из полученных расчетов, выбираем естественное воздушное охлаждение.
.2
Расчет температуры корпуса в первом приближении.
Согласно
тепловой схеме температура корпуса в первом приближении:
где,
-
тепловые проводимости в первом приближении.
где,

-
коэффициенты теплоотдачи от поверхности корпуса к среде за счет конвекции и
излучения соответственно, 
,к -
площадь поверхности корпуса, отдающая тепло во внешнюю среду, м2.

используется
для определения теплофизических коэффициентов во втором приближении.
4.3
Расчет температуры корпуса во втором приближении
Температура
корпуса во втором приближении:

Тепловая
проводимость за счет конвекции:
где,
m = 1 - верхняя горизонтальная поверхность корпуса,= 2 - боковая поверхность
корпуса,= 3 - нижняя горизонтальная поверхность корпуса.
-
площадь m-ой поверхности корпуса.

-
коэффициент теплоотдачи за счет конвекции с m-ой поверхности корпуса во втором
приближении
,
λc - коэффициент теплопроводимости внешней среды, 
,
Lm
- характерный размер для m-ой поверхности, м.
Для
m=1 (верхняя горизонтальная поверхность корпуса):
Lm=Lx=0,26м
Для
m = 2 (боковая поверхность корпуса):
Lm=Lz=0,045м
Для
m = 3 (нижняя горизонтальная поверхность корпуса):
Lm=Lx=0,26м-
число Нуссельта для m-ой поверхности,
Pr - численное
значение числа Прандтля, находим из таблицы в методическом пособии.
Рr=0,6990для
t0=33,1oC- численное значение числа Грасгофа,
=
9,81 м/с2 - ускорение свободного падения.
β - коэффициент объемного расширения,- коэффициент кинематической вязкости
среды, находим из таблицы в методическом пособии;=16,960∙10-6 м2/с,
β =3,4∙10-3 1/оС
Сm
- коэффициент, зависящий от формы, ориентации теплоотдающих поверхностей в
пространстве и численного значения произведения чисел Грасгофа и Прандтля.
С1=0,71, C2=0,55, C3=0,35
Найдем
произведение (Gr∙ Рr):
Для:
m1, m3: Gr∙Рr=1,7∙106∙0,6990 = 1,19∙106 - переход:Gr∙Рr=2,6∙105∙0,6990
= 1,82∙105- переход
n = 1/4
Для
m=1 (верхняя горизонтальная поверхность корпуса):
Для
m=2 (боковая поверхность корпуса):
Для
m=3 (нижняя горизонтальная поверхность корпуса):
Рассчитаем
тепловую проводимость за счёт излучения с поверхности корпуса к окружающей
среде во втором приближении:

=0,9
коэффициент черноты,к- площадь поверхности корпуса, отдающее тепло за счет
излучения.к=0,075 м2
Перегрев
поверхности корпуса:
Т=63,5-47=16,5º С
Вывод
Расчет теплового режима в двух приближениях показал, что перегрев
поверхности корпуса составляет 16,5 0С, что считается допустимым.
5. Экономический раздел
Тема: «Экономическая оценка разработки конструкции парктроника
автомобиля».
В настоящее время производство отечественныхпарктроников не налажено.
Основной недостаток зарубежных блоков заключается в высокой стоимости, а так же
отсутствием возможности проведения сервисных и ремонтных работ на месте
эксплуатации техники. Данный дипломный проект предлагает решение проблемы
разработкой отечественного управляющего блока парковочного радара и
предложением его прослойке населения, которые не располагают средствами на
дорогостоящий зарубежный аналог устройства.
.1 Расчет предпроизводственных затрат
Расчет затрат на проектирование разработки проводится в следующей
последовательности:
Определяется полный перечень работ;
Определяется трудоемкость работ;
Распределяются работы между исполнителями;
Определяется длительность цикла выполнения этапа;
Определяются затраты на проектирование, т.е. составляется смета.
Полный перечень работ дается по этапам:
· научные исследования, разработка технического задания, технического
предложения (проведение теоретических и экспериментальных исследований);
· проектно-конструкторские работы (эскизный проект; технический
проект; разработка рабочей документации); изготовление опытного образца
(макета);
· технологическая подготовка производства (обеспечение
технологичности конструкции); разработка технологических маршрутов и процессов;
расчеты трудоемкости операций и материалоемкости детали; конструирование
оснастки, специального и вспомогательного оборудования и их изготовление;
отладка и освоение изделия.
.2 Определение трудоемкости работ
Трудоемкость работ складывается из трудоемкости разработки чертежей,
спецификаций и другой технической документации:
где: ТЧ - трудоемкость разработки чертежей, ч;
ТТ.Д. - трудоемкость выполнения текстовых документов, ч;
ТТ.М. - трудоемкость выполнения текстовых материалов, ч;
ТП - трудоемкость проверки технической документации, ч;
Т Н.К. трудоемкость нормоконтроля, ч.
Трудоемкость разработки чертежей.
В нашем случае группа новизны В - проектирование сборочных единиц, схем и
деталей изделий с введением значительных технических и принципиальных изменений
составных частей с новыми параметрами, требующих экспериментальной проверки.
Группа сложности при конструировании деталей III - сложные детали,
требующие специальные конструкторские расчеты, геометрические формы их
представляют собой сочетание простых и сложных поверхностей..
Чертежи общего вида - 30чел/ч. -5 листа;
Теоретический чертеж - 8 чел./ч. -4 листа;
Чертежи электрических принципиальных схем -85 чел./ч. - 1лист.
Трудоемкость выполнения текстовых документов.
Трудоемкость выполнения текстовых документов определяется по нормативам в
зависимости от вида документа:
где: ТСП. - трудоемкость разработки спецификации, чел./ч.;
ТПОК. - трудоемкость составления ведомости покупных изделий, чел./ч.;
ТП.Ч. - трудоемкость составления перечня чертежей, чел./ч.;
ТТ.О. - трудоемкость составления технического описания, чел./ч.;
ТИНСТ. - трудоемкость разработки инструкции по эксплуатации и монтажу,
чел./ч.;
ТТ.У. - трудоемкость разработки технических условий, чел./ч.;
ТП.И. - трудоемкость разработки программы испытаний, чел./ч.;- количество
агрегатов (сборок) в изделии.
В данном проекте:
ТСП1 = 5ч., ТСП2 = 5ч., ТПОК1 = 10 ч, ТПОК2 = 10ч., ТП.Ч1 =5ч., ТП.Ч2 =
5ч., ТТ.О. =15ч., ТИНСТ =15ч., m = 2, тогда:
Нормы времени на выполнение текстовых материалов.
Нормы времени на выполнение текстовых материалов зависят от вида работ
где Рi - количество текстовых материалов на каждый вид выполняемых
работы;
Тврi - норма времени на вид выполненной работы, ч.;- количество видов
выполняемой работы, m = 7.
таб.
|
Вид работы
|
Норма времени, ч.
|
количество текстовых
материалов
|
|
обзор литературы
|
25
|
5
|
|
расчет по формулам без
таблиц
|
20
|
1
|
|
расчет с использованием
таблиц
|
20
|
1
|
|
табличный расчет по
исходным данным из чертежей
|
20
|
1
|
|
таблицы исходных данных
|
16
|
1
|
|
вычерчивание схем и эскизов
|
20
|
3
|
|
оформление начисто
|
14
|
1
|
Трудоемкость проверки технической документации.
На проверку технической документации время предусматривается
дополнительно в зависимости от характера работ:
где: ТДi - трудоемкость проверяемого вида технической документации,
(чертежи, текстовые документы, текстовые материалы),Д i- норматив на проверку
отдельного вида технической документации-2%.
ТЧ = 267 ч
ТТ.Д. = 110 ч
ТТ.М. = 275 ч
Время на выполнение нормоконтроля.
Н.К - норматив нормоконтроля, 5 - 10%
Трудоемкость работ:
Общая численность работников.
Определяется на основе рассчитанной трудоемкости работ:
где ТРАБ - трудоемкость работ;
ФЭФ - эффективный фонд времени одного работника, ч.;
КВ - коэффициент выполнения норм (на стадии проектирования принимается
равным 1)
где ДР-количество рабочих дней;

-
коэффициент плановых потерь времени (=0,9);- продолжительность рабочего дня.
Распределение
работы между исполнителями осуществляется с учетом их квалификации и
длительности выполнения работы.
Длительность
выполнения каждой стадии, этапа.
где,Тi
- трудоемкость стадии, этапа, работы, чел./ч.;
Чi
- численность работников, одновременно выполняющих данную стадию, этап, работу,
чел.;Дi - коэффициент, учитывающий дополнительное время на согласование,
внесение изменений в техническую документацию и другие работы, не
предусмотренные нормативами (1,1 - 1,5);
КК
- коэффициент перевода рабочих дней в календарные:
где,
Дк - число календарных дней в плановом периоде.
.3
Смета на проектирование
Составляется
по следующим статьям затрат.
.
Расчёт затрат на конструкторские разработки;
.
Дополнительная заработная плата;
.
Отчисления на социальные нужды;
.
Затраты на машинное время;
.
Накладные расходы;
.
Затраты на создание опытного образца;
.Расчет
статей затрат
.4
Расчёт затрат на конструкторские разработки
При
создании блока затраты на конструкторские разработки будут равняться затратам
на оплату труда исполнителям, занимающимися созданием конструкторской
документации.
Основная
заработная плата.
где,Чi
- численность исполнителей, чел;
Фi
- фонд рабочего времени исполнителей, час;
Сi
- тарифная ставка, руб./час.;- количество групп исполнителей.
Затраты
на конструкторские разработки составляют.
Дополнительная
заработная плата.
где
qдоп - норматив дополнительной заработной платы
(30-200%).
Отчисления
на социальные нужды.
где
qдоп - норматив дополнительной заработной платы (34%).
Затраты
на машинное время.
где
- время выполнения работ на ЭВМ, час.;
- цена
одного часа машинного времени, руб.
.5
Затраты на создание опытного образца (макета)
- затраты на основные материалы;
- затраты на покупные комплектующие изделия и полуфабрикаты;
- затраты на основную заработную плату производственных
рабочих;
- затраты на дополнительную заработную плату производственных
рабочих;
- затраты на отчисления с основной и дополнительной заработной
платы производственных рабочих на социальные нужды;
- затраты по содержанию и эксплуатации оборудования;
- накладные расходы (цеховые и административные).
Затраты на основные материалы.
где, КД - количество деталей (применяемость) на изделие, шт.;
НМ.Д - норма расхода материала на деталь, кг, м;
ЦМ - цена за единицу материала, руб.;- количество наименований деталей.
Расчеты оформляются в таблицу:
таб.
|
№ п.п.
|
Наименование материала
|
Расход материала, кг.
|
Цена за единицу, руб.
|
Общая сумма затрат, руб.
|
|
1
|
Стеклотекстолит
фольгированый СФ2-35-1.5,
|
0,052
|
300
|
15.6
|
|
2
|
Припой ПОС-61
|
0,016
|
500
|
8
|
|
3
|
Флюс ФКС
|
0.0085
|
87
|
0.74
|
|
4
|
Провод МГШВ-1
|
0.52 м
|
2.50
|
1.3
|
|
5
|
Лакокрасочные материалы
|
1
|
55
|
55
|
|
6
|
Ники шелковые №13
|
0.003
|
10
|
0.03
|
|
7
|
Трубка термоусадочная
|
0.2м
|
200
|
40
|
|
ИТОГО
|
|
|
120,67
|
Материальные затраты (основные материалы, покупные комплектующие изделия
и полуфабрикаты) определяются с учетом транспортно - заготовительных расходов,
которые составляют 3 - 4% от их стоимости.
Поэтому,
Затраты на покупные комплектующие изделия и полуфабрикаты.
где, Кбл. - количество блоков в изделии;
КПОКi- количество покупных изделий и полуфабрикатов, шт;
ЦПОКi - цена за единицу покупных изделий и
полуфабрикатов, руб.;- количество наименований покупных изделий и
полуфабрикатов.
Данные заносятся в таблицу:
таб.
|
№ п.п
|
Наименование покупных
изделий и полуфабрикатов
|
Расход покупных изделий и
полуфабрикатов, шт
|
Цена за единицу, руб.
|
Общая сумма затрат, руб.
|
|
Держатель светодиода RTC-51
|
1
|
4
|
4,00р.
|
|
Индикатор АЛ307А
|
1
|
4
|
4,00р.
|
|
Диод КД102А
|
3
|
4
|
12,00р.
|
|
Стабилизатор 7805
|
1
|
7
|
7,00р.
|
|
Индуктивность AL0307
|
1
|
4
|
4,00р.
|
|
Конденсатор К10-17А
|
12
|
5
|
60,00р.
|
|
Конденсатор К53-18
|
2
|
15
|
30,00р.
|
|
Конденсатор К10-17Б
|
2
|
10
|
20,00р.
|
|
Микроконтроллер Z86E0208PSC
|
1
|
50
|
60,00р.
|
|
Резонатор HC-49S
|
1
|
10
|
10,00р.
|
|
Предохранитель стеклянный
|
1
|
5
|
5,00р.
|
|
Пьезоэл. излучатель
SCS-17P-10
|
1
|
80
|
80,00р.
|
|
Радиатор FK301
|
1
|
10
|
10,00р.
|
|
Разъемы СР-50
|
2
|
50
|
100,00р.
|
|
Разъем РГ1Н-1-1
|
1
|
20
|
20,00р.
|
|
Резистор С2-23
|
19
|
2
|
38,00р.
|
|
Резистор СП3-39А
|
1
|
23
|
23,00р.
|
|
Транзистор КТ3102Е
|
2
|
20
|
40,00р.
|
|
Транзистор КТ3107Ж
|
1
|
10
|
10,00р.
|
|
ПереклюдчательB100G
|
1
|
10
|
10,00р.
|
|
Держатель предохранителя
FH-301
|
1
|
20
|
20,00р.
|
Затраты на покупные комплектующие изделия и полуфабрикаты рассчитываются
с учетом транспортно - заготовительных расходов, которые составляют 3 - 4% от
их стоимости.
Поэтому
Затраты на основную заработную плату производственных рабочих.
где, Тi - трудоемкость изготовления изделия,
нормо-часы
ti ― трудоемкость выполнения
соответствующей операции;
С1р ― часовая ставка 1-го разряда работ;
Зmin ― минимальная тарифная ставка;
Срi ― часовая тарифная ставка соответствующего разряда работ, руб;
Тк ― тарифный коэффициент.
Используемые виды работ и их разрядность.
Заготовительные ― 2 разряд.
Травление - 3 разряд.
Пайка ― 4 разряд.
Сборочные ― 3 разряд.
Наладочные ― 5 разряд.
Часовая ставка первого разряда равняется 12,5 руб.
Тарифный коэффициент Тк зависит от разряда, так 2-му разряду
соответствует Тк =1,3; 3-ему ― Тк =1,69; 4-му ―
Тк =1,91; 5-му ―
Тк =2,16.
Таким образом,
С2р=1,3×12,5
=16,25 руб.
С3р=1,69×12,5
=21,125 руб.
С4р=1,91×12,5
=23,875 руб.
С5р=2,16× 12,5
=27руб.
Составим таблицу:
|
Виды работ
|
Трудоемкость работ, н.ч.
|
Разряд работ
|
Срi, руб.
|
Основная зарплата рабочих,
руб
|
|
Заготовительные
|
1
|
2
|
16.25
|
16.25
|
|
Травление
|
4
|
3
|
21.125
|
84.5
|
|
Пайка
|
12
|
4
|
23.875
|
286.5
|
|
Сборочные
|
6
|
3
|
21.125
|
126.75
|
|
Наладочные
|
3
|
5
|
27
|
81
|
Затраты на дополнительную заработную плату производственных работ.
где qдоп норматив дополнительной заработной платы (30%).
Отчисления с основной и дополнительной заработной платы производственных
рабочих на социальные нужды.
Где qОТЧ - отчисления на социальное страхование (26%).
Затраты на содержание и эксплуатацию оборудования.
где qс.э.о. - норматив расходов на содержание и эксплуатацию
оборудования, qс.э.о = 65%
Цеховые расходы.
где qЦ - норматив цеховых расходов (30%).
Общезаводские расходы.
где qОЗ. - норматив общезаводских расходов
(30%).
Производственная себестоимость определяется.
Коммерческие расходы.
где, qК - норматив внепроизводственных расходов (2%).
Полная себестоимость.
Расчёт затрат на проектирование и создание опытного образца.
Прибыль.
где, qР - норматив рентабельности (15%).
Оптовая цена.
Налог на добавленную стоимость (НДС).
где, qНДС = 18% - ставка НДС.
Цена с учетом налога на добавленную стоимость.
Срок окупаемости.
Вывод
Таким образом в ходе проведенного оценочного анализа общая сумма затрат
составила 12957,45 рублей, полная себестоимость - 3666,14 руб, Стоимость
производства одного изделия с учетом заложенного норматива рентабельности 15% и
НДС 18% составила 4326,04 руб. Срок окупаемости данного изделия составит около
одного года. Для работ подобного уровня такие затраты являются приемлемыми.
6. Безопасность жизнедеятельности
Задачей дипломного проекта является разработка
конструкции парктроника автомобиля. Основой электронного блока данного
устройства является печатная плата, элементы на которой смонтированы при помощи
пайки волной припоя. В данном разделе рассматривается организация и проведение
работ по пайке волной припоя изделий. При пайке имеют место следующие опасные и
вредные производственные факторы: тепловое излучение расплава припоя, газы и
аэрозоли припоев и флюсов, токоведущие элементы установок пайки волной припоя
могут являться источником возможного поражения электрическим током, возможно
возникновение пожара вследствие самовоспламенения защитной жидкости.
К пайке радиоэлементов применяются следующие ГОСТы:
· ГОСТ 30668-2000 Изделия электронной техники. Маркировка.
· ГОСТ 21930-76 Припои оловянно-свинцовые в чушках. Технические
условия.
Организация и проведение работ по пайке изделий должны
соответствовать следующим требованиям безопасности:
· на рабочем столе должны отсутствовать предметы из
легкоплавких или горючих материалов. Шнур паяльника не должен натягиваться или
скручиваться.
· на каждого работающего должно
приходиться 4,5 м2 площади.
· установки располагаются с оставлением проходов не менее 1 м шириной.
· оптимальные и допустимые метеорологические условия для
рабочей зоны паяльщика устанавливаются в соответствии с санитарными нормами СН
245-71, ГОСТ 12.1.005-88.
· освещение рабочей зоны паяльщика должно соответствовать СНиП
11-4-79.
· участки, где расположены установки пайки волной, должны быть оборудованы
средствами пожаротушения по ГОСТ 12.1.004-91.
· съем деталей следует производить только с использованием
средств защиты рук рабочего паяльщика по ГОСТ 12.4.010-75. Слив припоя должны
производить два работника в подогретую сухую тару. При этом глаза должны быть
защищены средствами защиты по ГОСТ Р 12.4.013-97.
· запрещается отключать вентиляцию ранее, чем за 1 час после
отключения нагревателей ванны с припоем.
· каждая установка пайки волной припоя должна быть оснащена
индивидуальной вытяжной установкой.Скорость движения воздуха непосредственно на
месте пайки должна быть не менее 0,6 м/с.
· для защиты рабочего паяльщика от тепловых излучений и
производственных загрязнений следует применять хлопчатобумажные халаты ГОСТ
12.4.132-83, ГОСТ 12.4.131-83, фартуки ГОСТ 12.4.029-76 и защитные рукавицы
ГОСТ 12.4.010-75.
Также в данном разделе было рассмотрено головное событие «Отказ
парктроника». В результате анализа головного нежелательного события была
построена древовидная структура отказов и последствий (рис. ) и составлена
таблица анализа причин и последствий возможных действий, которые могут привести
к отказу парктроника во время эксплуатации (табл.).
7. Описание техпроцесса сборки и монтажа печатной платы парктроника
.1 Характеристика конструкции изделия и её технологический контроль
Размеры печатной платы XP и YP должны соответствовать ОСТ 4.010.020-83.
Форма ПП определяется коэффициентом формы CF=XP/YP. Допуски на линейные размеры
плат при использовании только дискретных ЭРЭ соответствуют квалитету 14.
Установочных отверстий: 4; отверстий для элементов: 120.
.2 Расчёт технологичности изделия
Определим уровень технологичности функционального узла первого уровня у
парктроника. Он содержит:
1) Печатная плата - 1 шт.
2) Резисторы: С2-23-0.125 - 19 шт. разного типа размера.
СП3-16-0.125- 1 шт.
3) Транзисторы: КТ3102Е - 2 шт. одного типа размера.
КТ3107Ж - 1 шт.
4) Микросхемы: стабилизатор 7805 - 1 шт.
Z86E0208PSC -1 шт.
5) Диоды: АЛ307А - 1 шт.
КД102А - 3 шт. одного типа размера.
6) Резонаторы: HS-49S
- 1 шт.
7) Конденсаторы: К10-17 - 14 шт. разного типа размера.
К53-18 - 2 шт. одного типа размера.
Общее количество ЭРЭ - НЭРЭ = 46 шт.
Рассчитаем показатели технологичности конструкции ФУ, входящего в
радиотехнический блок.
1. Коэффициент механизации подготовки ЭРЭ к монтажу:
где

- число
ЭРЭ, подготовка которых к монтажу может быть осуществлена механизированным
способом, в том числе ЭРЭ, не требующие специальной подготовки.
.Коэффициент
автоматизации и механизации монтажа:
где

- число
монтажных соединений, которые могут осуществляться механизированным или
автоматизированным способом; 
- общее
число монтажных соединений.
НМ
= 120
НАМ
= 120
3. Коэффициент сложности сборки:
где
- число
типоразмеров узлов, входящих в изделие, требующих регулировки с применением
специальных устройств, либо требующих пригонки с разборкой и повторной сборкой;

- общее
число типоразмеров узлов в соединении. ЕТСП = 0
.
Коэффициент механизации контроля и настройки:
где

- число
операций настройки и контроля, которые можно осуществить механизированным или
автоматизированным способом, в том числе такие операции, не требующие
специальных средств; 
- общее
число операций контроля и настройки.
НКН = 23
НМКН = 2
. Коэффициент прогрессивности формообразования ЭРЭ:
где

- число
деталей, полученных прогрессивным методом формообразования (штамповка, литье и
т.д.);
- общее число деталей без нормализованного крепежа.
.
Коэффициент повторяемости ЭРЭ:
где

=14-
число типоразмеров в изделии (количество типов элементов).
.
Коэффициент сложности обработки:
.
Комплексный показатель технологичности:
таб.
|
№ п/п
|
Коэффициент
|
Коэф-т значимости i-го
частного показателя (φi)
|
|
1
|
Кn
|
1,0
|
|
2
|
Кам
|
1,0
|
|
3
|
Кссб
|
0,75
|
|
4
|
Кмкн
|
0,09
|
|
5
|
Кф
|
1
|
|
6
|
Кпов
|
0,59
|
|
7
|
Ксо
|
1
|
Уровень технологичности разрабатываемого изделия при известном
комплексном базовом показателеКкаоценивают отношением, которое должно
удовлетворять условию ≥ 1.
Выберем значение комплексного показателя Кка= 0,65 (тип блока -
электронный, установочная серия) и подсчитаем уровень технологичности
Кк/Кка = 1,15.
Из расчёта видно, условие выполняется, уровень технологичности хороший.
7.3 Расчёт среднего штучного времени операции и коэффициента закрепления
операции
Годовой
объем выпуска функциональных узлов
шт/год
позволяет рассчитать такт выпуска, т.е. время, затрачиваемое на выпуск одного
функционального узла -
мин/шт определить количество изделий выпускаемых в
смену, а квартал, позволяет сделать вывод о серийности производства. На
основании этого можно выбрать оборудование, соответствующее производительности,
оценить его загрузку и провести технико-экономическое обоснование операций и
всего технологического процесса.
,
(мин/шт)
Здесь
- действительный годовой фонд времени. При
односменной работе
часов;
- по
заданию 30000 шт/год.
Тв
= 4,14
Для заданного объема выпуска и коэффициента закрепления операции
определяется средне-штучное время операции:
Тср.шт
=
Тср.шт. - показывает сколько минут тратится на одной операции на
обработку одного изделия.
Рассчитаем средне штучное время операции и коэффициента закрепления
операции.
а) сверление:
Тшт.к=tопр+ tобс+ tпер+ tп.з/N
tопр=0,03мин
tобс=0,006мин
tпер=0,15мин
tп.з=1мин
Кол-во отверстий - 120 шт.
Отверстия ПП - 4 шт.
Тшт.к = 0,03+0,006+0,15+(1/30000) = 0,19
nсв =
10000х91 = 910000
tсв= nсвхТшт.к = 910000х0,19 = 172900
б) сборка:
Тшт.к=tопр+ tобс+ tпер+ tп.з/N
tопр=0,5мин
tобс=0,1мин
tпер=0,15мин
tп.з=1мин
Тшт.к= 0,5+0,1+0,15+(1/30000)=0,75
nсб=
30000х46 = 1380000
tсб= nсбхТшт.к = 1380000х0,75 = 1035000
в) пайка(волной):
Тшт.к=tопр+ tобс+ tпер+ tп.з/N
tопр=0,27мин
tобс=0,054мин
tпер=0,15мин
tп.з=1мин
Тшт.к= 0,27+0,054+0,15+(1/30000) = 0,47
nп =
30000п = nпхТшт.к = 30000х0,47 = 14100
n∑
= 910000+1380000+30000 =2320000∑ = 172900+1035000+14100 = 1222000
Тср.шт = t∑/ n∑
= 1222000/2320000 = 0,53
Кз.о. = 4,14/0,53 = 7,8
Определяем тип производства по коэффициенту закрепления операции Кз.о -
это отношение количества операций к количеству рабочих мест.
Если Кз.о=1 - массовое производство.
Кз.о= от 2 до 10 - это крупносерийное производство
Кз.о = от 11 до 20 - это среднесерийное производство
Кз.о = от 21 до 40 - это мелкосерийное производство
Исходя из расчетов, получаем крупносерийное производство.
Заключение
В данном проекте была разработана конструкция парктроника для автомобиля.
В ходе выполнения конструкторской части проекта были выбраны с учетом простоты
изготовления, удобства сборки и монтажа из возможных вариантов: корпус, лицевая
панель и компоновка всего прибора; рассчитаны размеры: функционального узла на
печатной плате; корпуса; функциональных групп на лицевой и задней панелях.
Произведены расчеты на надежность, расчет механической прочности печатного
узла, теплового режима, а также комплекта ЗиП.
В ходе выполнения технологической части проекта был разработан
технологический процесс сборки и монтажа печатной платы парктроника автомобиля,
а также произведен расчет технологичности изделия.
В экономической части проекта проведены расчеты себестоимости проекта,
которая включает в себя затраты на проектирование, изготовление опытного
образца и производственные затраты.
В разделе безопасности жизнедеятельности выбрано нежелательное событие,
составлено дерево отказов и последствий, разработаны таблица рекомендаций к
некоторым из событий дерева отказов.
Также разработан комплект конструкторской документации: схема
электрическая принципиальная с перечнем элементов, топологический чертеж
печатной платы, сборочный чертеж функционального узла, сборочный чертеж
прибора, деталировка корпуса прибора, спецификации, а также плакат по
экономической части и разделу безопасности жизнедеятельности.
Список использованной литературы
1. Н.Н.
Акимов, Е.П. Ващуков, В.А. Прохоренко, Ю.П. Ходоренок. Резисторы, конденсаторы,
трансформаторы, дроссели, коммутационные устройства РЭА / Минск, 1994.
. И.Б.
Аксенов. Конспект лекций по дисциплине «Тепло- и массообмен в РЭА».
. Г.Н.
Дульнев. Тепло- и массообмен в радиоэлектронной аппаратуре. - М.: Высш. шк.,
1984, 247с., ил.
. А.Э. Егель.
Охрана труда на предприятиях автомобильного транспорта. - М.: Транспорт, 1985,
350с.
. С.С.
Князева. Основы расчета надежности РЭА. - Казань, 1979
. С.С.
Князева, М.Ф. Тюхтин. Прогнозирование надежности гибридных интегральных схем. -
Казань, 1990.
. Ю.Н.
Кофанов. Теоретические основы конструирования, технологии и надежности РЭС. -
М.: Радио и связь, 1991.
. П.П. Кукин,
В.Л. Лапин. Н.Л. Пономарев, Н.И. Сердюк. Безопасность технологических процессов
и производств. Охрана труда. - М.: Высш. шк., 2002, 316с.
. Н.И.
Новицкий Основы менеджмента: Организация и планирование производства. - М.:
Финансы и статистика, 2008. - 208с.
. А.И. Салов.
Охрана труда на предприятиях автомобильного транспорта - М.: Транспорт, 1985,
350с.
. Р.
Трейстер, Дж. Мейо. 44 источника электропитания для любительских электронных
устройств: Пер. с англ. - М.: Энергоатомиздат, 1990, 288с.
. И.П.
Хунгуреева, Н.Э. Шабыкова, И.Ю. Унгаева Экономика предприятия: Учебное пособие.
- Улан-Удэ, Изд-во ВСГТУ, 2008. - 240 с.
. Т.В. Яркина
Основы экономики предприятия: Краткий курс. Учебное пособие для студентов вузов
и средних специальных заведений. М., 2008.
.
Конструкторские расчеты при проектировании современных радиоэлектронных
средств: Учебное пособие. О.П. Лавренов. КГТУ им. А.Н. Туполева, 2002.
.
Конструирование современных радиоэлектронных средств: Учебное пособие. О.П.
Лавренов. КГТУ им. А.Н. Туполева, 2002.
. Местные
системы вентиляции машиностроительных производств: Учебное пособие по
выполнению дипломного проекта по разделу охрана труда и окружающей среды. В.А.
Башкирцев, Г.И. Мащенко, И.Х. Мингазетдинов.
. Организация
и планирование машиностроительного производства (производственный менеджмент):
Учебник / К.А. Грачева, М.К. Захарова, Л.А. Одинцова и др.; Под ред. Ю.В.
Скворцова, Л.А. Некрасова. - М.:Высш. шк. , 2009.-. с.470.
. Предпринимательство.
Учебник / Под ред. М.Г. Лапусты. - М.:ИНФРА-М, 2007. - 520с.
.
Проектирование местных систем вентиляции: Учебное пособие по выполнению
дипломного проекта по разделу охрана труда и окружающей среды. Г.Н. Корчагин,
Г.И. Мащенко, И.Х. Мингазетдинов.
.
Промэлектроника 2003. Пассивные компоненты. Каталог 2003.
.
Промэлектроника 2005. Электронные компоненты для производства. Каталог 2005.
. Разработка
и оформление конструкторской документации на РЭА: Справочник под ред. Э.Т.
Романычева. - М.: Радио и связь, 1989, 448с.
. Разработка
конструкции прибора: Учебное пособие. О.П. Лавренов, И.М. Галимов, Ю.В.
Стрельник. Казан.гос. техн. ун-т, Казань, 1995, 89с.
. Резисторы:
Справочник. В.В. Дубровский, Д.М. Иванов, Н.Я. Пратусевич и др. под ред. И.И.
Четверткова, В.М. Терехова (2-е изд., перераб. и доп.). - М.: Радио и связь,
1991, 528с.
. Справочник
конструктора РЭА. Под ред. В.Р. Ворламова. - М.: Совет. Радио, 1983.
. Справочник
по электрическим конденсаторам. М.Н. Дьяконов, В.И. Карабанов, В.И. Присняков и
др. Под общ.ред. И.И. Четверткова, В.Ф. Смирнова. - М.: Радио и связь, 1983,
656с.
. Транзисторы
для аппаратуры широкого применения: Справочник. К.М. Брежнева, Е.И. Гантман,
Т.И. Давыдова и др. Под ред. Б.Л. Перельмана. - М.: Радио и связь, 1981, 656 с.
. Экономика и
статистика предприятия. / Под ред. Ильенкова С.Д., Сиротиной Т.П., Москва, -
2009.
. Экономика
предприятия О.И.Волкова М Инфра - М, 2006г.
. Экономика
предприятия. Учебник. Титов В.И. - Эксмо, 2008 - 414с.
. Экономика
предприятия: Учебник для вузов. Под ред. проф. В.Я. Горфинкеля, проф. В.А.
Швандара. -3-е изд., перераб. и доп. - М.: ЮНИТИ-ДАНА, 2009. -718с