Разделы электроники, ее роль

  • Вид работы:
    Реферат
  • Предмет:
    Информатика, ВТ, телекоммуникации
  • Язык:
    Русский
    ,
    Формат файла:
    MS Word
    288,11 Кб
  • Опубликовано:
    2013-02-08
Вы можете узнать стоимость помощи в написании студенческой работы.
Помощь в написании работы, которую точно примут!

Разделы электроники, ее роль

Содержание

Введение

Понятие электроники

Области, основные разделы и направления электроники

Плазменная электроника

Квантовая электроника

Полупроводниковая электроника

Список используемой литературы

Вопросы для самопроверки

Введение

В сегодняшнем мире огромную роль играет электроника и электронные приборы. Сегодня все электротехническое стало таким же обыденным как биологическое. Даже более того - сегодня некоторые школьники никогда не видели живую курицу или лошадь, но все они видели и хорошо знают компьютер и интернет. Это нисколько не парадоксально просто несколько десятков лет назад ситуация была в корне другой. Но сегодня сложно представить, как человечество обходилось без компьютеров, интернета, да и простых электрических лампочек. Использование передовых технологий позволило человечеству выйти на новый уровень существования. За этой наукой будущее - со временем электронные средства позволят создать такие вещи как электромобили или новые поколения вычислительных устройств - сверхмощные компьютеры и ноутбуки.

Понятие электроники

Понятие электроника включает в себя столь обширную область человеческой деятельности, что только простое перечисление ее разделов заняло бы слишком много места. Однако во всех этих разделах есть общее: физической основой электроники являются движение электронов и законы этого движения. Электроника - важнейшая составляющая современной технической цивилизации; трудно даже представить себе, как выглядел бы наш мир без электронных устройств (ЭУ). ЭУ рассчитывают графики движения поездов и результаты научных исследований, управляют автоматическими станками и сборкой автомобилей, накапливают информацию и преобразовывают ее в форму, удобную для восприятия человеком.

Но, пожалуй, самая близкая всем нам область применения электроники - это передача информации. Сегодня кажется абсолютно естественным, что в каждом доме по вечерам загораются голубые экраны телевизоров, что можно включить радиоприемник, чтобы узнать последние известия и сводку погоды, что магнитофон дает возможность услышать записи выступлений любимых певцов и музыкантов, что во всех уголках нашей необъятной Родины всегда есть сегодняшние газеты и что телеграмма от Москвы до Хабаровска идет считанные часы. Все это достигается благодаря безупречной работе ЭУ - передатчиков и приемников информации. Линии связи сложны и многообразны, они включают в себя многочисленные промежуточные пункты обработки информации, в том числе и расположенные на искусственных спутниках Земли.

Выход человечества в околоземное космическое пространство также неразрывно связан с электроникой. ЭУ осуществляют контроль за подготовкой космических кораблей к старту и за их полетом, обеспечивают стыковку кораблей на орбите, посадку и поиск спускаемых аппаратов. В последнем случае используются специальные ЭУ - радиолокаторы, периодически посылающие радиоволны, т. е. пучки электромагнитной энергии, и по их отражению от предметов определяющие направление движения космических объектов и расстояние до них .

В последние годы появились новые классы ЭУ, основанные на законах так называемой квантовой электроники. Это широко известные лазеры - генераторы когерентных световых и радиоволн. Диапазон применения лазеров очень широк - от исследования поверхности Луны до очень точной сварки металлов в промышленности или сверхточных операций на сетчатке глаза в медицине.

С появлением лазеров связано и возникновение в середине 60-х гг. нового направления в области электроники - оптоэлектроники, использующей оптическую (фотонную) связь для передачи информации. Оптическая связь имеет ряд преимуществ перед электрической связью. Из-за электрической нейтральности фотонов в оптическом канале связи не возбуждаются электрические и магнитные поля, сопутствующие протеканию электрического тока. Иными словами, фотоны не создают помех в линиях связи.

Передача информации с помощью светового луча не сопровождается накоплением и рассеиванием электромагнитной энергии в линии, и это обеспечивает быстродействие передачи информации и минимальный уровень ее искажения. Высокая частота оптических колебаний (10м - 1015 Гц) обусловливает и большой объем информации, и ее быстродействие, а малая длина волны (до 10 ~4 - 10 5 см) предоставляет возможность для микроминиатюризации передающих и приемных устройств. Основные элементы оптоэлектроники: источники света (лазеры, светодиоды), оптические среды (активные и пассивные) и фотоприемники.

Не так давно появилась новая перспективная, область электроники - создание и применение в различных отраслях техники акустоэлектронных устройств.

Говоря об электронике, нельзя не сказать особо о важной роли электронных вычислительных машин. ЭВМ все шире проникают во все сферы деятельности человека, осуществляя в них подлинную революцию благодаря высокой точности обработки информации и огромному быстродействию: современные ЭВМ способны выполнять несколько миллионов операций в секунду. Они не только освобождают человека от трудоемкой работы по сбору и обработке информации, но и дают возможность получить принципиально новые результаты труда. Примером может служить использование ЭВМ на заводах по производству особо чистых материалов, являющихся основой современной электронной промышленности: ни один человек - оператор не справился бы с управлением сложнейшими технологическими процессами.

Электроника - наиболее быстро развивающаяся область человеческой деятельности, и в современных условиях от уровня ее развития в значительной мере зависят успехи научно- технического прогресса.

Области, основные разделы и направления электроники

Электроника включает в себя три области исследований:

. вакуумную электронику;

. твердотельную электронику;

. квантовую электронику.

Каждая область подразделяется на ряд разделов и ряд направлений.

Раздел объединяет комплексы однородных физико-химических явлений и процессов, которые имеют фундаментальное значение для разработки многих классов электронных приборов данной области.

Направление охватывает методы конструирования и расчетов электронных приборов, родственных по принципам действия или по выполняемым ими функциям, а также способы изготовления этих приборов.

Вакуумная электроника содержит следующие разделы:

. эмиссионная электроника, охватывающая вопросы термоэмиссии, вторичной электронной эмиссии, туннельной эмиссии, исследование катодов и антиэмиссионных покрытий;

. формирование потоков электронов и потоков ионов, управление этими потоками;

. формирование электромагнитных полей с помощью резонаторов, систем резонаторов, замедляющих систем, устройств ввода и вывода энергии;

. электронная люминесценция (катодолюминесценция);

. физика и техника высокого вакуума (его получение, сохранение и контроль);

. теплофизические процессы (испарение в вакууме, формоизменение деталей при циклическом нагреве, разрушение поверхности металлов при импульсном нагреве, отвод тепла от элементов приборов);

. поверхностные явления (образование пленок на электродах и изоляторах, неоднородностей на поверхностях электрода);

. технология обработки поверхностей, в т. ч. электронная, ионная и лазерная обработка;

. газовые среды - раздел, включающий вопросы получения и поддержания оптимального состава и давления газа в газоразрядных приборах.

Основные направления вакуумной электроники охватывают вопросы создания электровакуумных приборов (ЭВП) следующих видов:

электронных ламп (диодов, триодов, тетродов, пентодов и т. д.);

ЭВП СВЧ (магнетронов, клистронов и т. п.);

фотоэлектронных приборов (фотоэлементов, фотоэлектронных умножителей), рентгеновских трубок;

газоразрядных приборов (мощных преобразователей тока, источников света, индикаторов).

Твердотельная электроника содержит следующие разделы, связанные в основном с полупроводниковой электроникой:

. изучение свойств полупроводниковых материалов, влияние примесей на эти свойства;

. создание в кристалле областей с различной проводимостью методами эпитаксиального выращивания, диффузии, ионного внедрения (имплантации), воздействием радиации на полупроводниковые структуры;

. нанесение диэлектрических и металлических пленок на полупроводниковые материалы, разработка технологии создания пленок с необходимыми свойствами и конфигурацией;

. исследование физических и химических процессов на поверхности полупроводников;

. разработка способов и средств получения и измерения элементов приборов микронных и субмикронных размеров (нанотехнология).

Основные направления полупроводниковой электроники связаны с разработкой и изготовлением различных видов полупроводниковых приборов:

полупроводниковых диодов (выпрямительных, смесительных, параметрических, стабилитронов); усилительных и генераторных диодов (туннельных, лавинно-пролетных, диодов Ганна); транзисторов (биполярных и униполярных), тиристоров, оптоэлектронных приборов (светоизлучающих диодов, фотодиодов, фототранзисторов, оптронов, светодиодных и фотодиодных матриц), интегральных схем;

диэлектрическая электроника, изучающая электронные процессы в диэлектриках (в частности, в тонких диэлектрических пленках) и их использование, например, для создания диэлектрических диодов, конденсаторов;

магнитоэлектроника, использующая магнитные свойства вещества для управления потоками электромагнитной энергии с помощью ферритовых вентилей, циркуляторов, фазовращателей и т. д., и для создания запоминающих устройств, в т. ч. на магнитных доменах;

акустоэлектроника и пьезоэлектроника, рассматривающие вопросы распространения поверхностных и объемных акустических волн и создаваемых ими переменных электрических полей в кристаллических материалах и взаимодействия этих полей с электронами в приборах с полупроводниково-пьезоэлектрической структурой (кварцевых стабилизаторах частоты, пьезоэлектрических фильтрах, ультразвуковых линиях задержки, акустических усилителях и т. д.);

криоэлектроника, исследующая изменения свойств твердого тела при глубоком охлаждении для построения малошумящих усилителей и генераторов СВЧ, сверхбыстродействующих вычислительных и запоминающих устройств;

разработка и изготовление резисторов.

Наиболее важные направления квантовой электроники - создание лазеров и мазеров.

На основе приборов квантовой электроники строятся устройства для точного измерения расстояний (дальномеры), квантовые стандарты частоты, квантовые гироскопы, системы оптической многоканальной связи, дальней космической связи, радиоастрономии. Энергетическое воздействие лазерного концентрированного излучения на вещество используется в промышленной технологии. Лазеры находят различное применение в биологии и медицине.

Плазменная электроника

Плазменная электроника - раздел физики плазмы, изучающий коллективные взаимодействия плотных потоков (пучков) заряженных частиц с плазмой и газом, приводящие к возбуждению в системе линейных и нелинейных электромагнитных волн и колебаний, и использование эффектов такого взаимодействия. Прикладные задачи, которые ставит и решает плазменная электроника, определяют её основные разделы: плазменная СВЧ-электроника, изучающая возбуждение в плазме интенсивного когерентного электромагнитного излучения, начиная от радио - и вплоть до оптического диапазона длин волн; плазменные ускорители, основанные на явлении коллективного ускорения тяжёлых заряженных частиц электронными пучками и волнами в плазме; плазменно-пучковый разряд, основанный на коллективном механизме взаимодействия плотных пучков заряженных частиц с газом; турбулентный нагрев плазмы плотными пучками заряженных частиц и коллективные процессы при транспортировке и фокусировке пучков в проблеме УТС; неравновесная плазмохимия, изучающая процессы образования возбуждённых молекул, атомов и ионов при коллективном взаимодействии пучков заряженных частиц с газом и плазмой.

Историческая справка. Плазменная электроника возникла после открытия А.И. Ахиезером и Я.Б. Файнбергом (1948), Д. Бомом и Э. Гроссом явления пучковой неустойчивости, представляющего собой вынужденное черенковское излучение плотным моноэнергетическим пучком электронов продольных электромагнитных волн в плазме. Одним из основных направлений коллективных методов ускорения, основы которых были заложены работами советских учёных В.И. Векслера, Г.И. Будкера и Я.Б. Файнберга, является метод ускорения электронов и ионов волнами плотности заряда в плазме и некомпенсированных пучках заряженных частиц, предложенный Я.Б. Файнбергом в 1956. В 1965 Е.К. Завойский и Я.Б. Файнберг предложили использовать электронные пучки и возбуждаемые ими электромагнитные волны для пучкового и турбулентного нагрева плазмы. Идея турбулентного нагрева плазмы позволила Е.К. Завойскому в 1969 году сформулировать основные принципы инерциального электронного УТС. В 70-х гг. Д.Д. Рютовым был предложен нагрев плазмы релятивистскими пучками в открытых ловушках.

Параллельно возникли и развивались направления, связанные со слабоионизованной плазмой. Открытие плазменно-пучкового разряда (1961) послужило основой создания новых источников плазмы, использующих энергию плотных электронных пучков для ионизации газа. Создаваемая в таких источниках плазма оказалась сильно неравновесной с большим числом возбуждённых ионов, атомов и молекул в метастабильных состояниях, инициирующих ряд новых типов плазмохимических реакций. Неравновесная плазма пучкового разряда является рабочим веществом в плазмохимических реакторах по разделению изотопов, в квантовых генераторах когерентного излучения - плазменных лазерах и мазерах и др.

Коллективные взаимодействия. Все направления плазменной электроники базируются на коллективных взаимодействиях потоков заряженных частиц с плазмой и возбуждении сильных электромагнитных полей. В основе коллективного взаимодействия лежат элементарные процессы излучения и поглощения электромагнитные излучения заряженными частицами: одночастичный и коллективный эффекты Черенкова, нормальный и аномальный эффекты Доплера, циклотронное и синхротронное излучение и поглощение, ондуляторное излучение, параметрическое резонансное излучение, переходное излучение, томсоновское и комптоновское рассеяние, Мандельштама - Бриллюэна рассеяние и др. Если в плазме определённая группа частиц совершает упорядоченное движение, то при достаточно большой их плотности имеет место коллективное излучение электромагнитных волн: часть энергии упорядоченного движения переходит в энергию электромагнитного излучения. Именно так происходит в плазменных усилителях и генераторах электромагнитных волн. В свою очередь, в регулярных полях возбуждённых в плазме волн сторонние заряженные частицы могут приобрести упорядоченную энергию (коллективное ускорение). В нерегулярных полях с относительно широким спектром плазменных волн заряженные частицы приобретают неупорядоченную энергию вследствие поглощения этих волн и происходит нагрев плазмы. Поскольку пучки заряженных частиц могут обладать весьма большой кинетической энергией, то и нагрев плазмы может быть значительным, вплоть до термоядерных температур. Такое возможно, однако, только в случае сильно ионизованной плазмы. В слабоионизованной плазме существенная часть энергии передаётся нейтральным атомам и молекулам, в результате чего происходит их разогрев, возбуждение, диссоциация и ионизация. Эти процессы, в свою очередь, инициируют новый тип разряда, плазменно-пучковый разряд, новые типы химических реакций (плазменно-химическии реакции), а также определяют работу нового типа квантовых генераторов - плазменных лазеров и мазеров, основанных на переходах в ионных и ионно-молекулярных уровнях энергий.

Отличия и достоинства плазменной электроники. Подобно вакуумной и квантовой электронике плазменная электроника основана на явлении индуцированного (вынужденного) излучения и поглощения электромагнитных волн заряженными частицами в плазме. Но если вакуумная электроника рассматривает излучение потоков заряженных частиц, движущихся в электродинамических структурах - металлических либо диэлектрических волноводах и резонаторах, то плазменная электроника исследует излучение потоков заряженных частиц, движущихся в плазме, в плазменных волноводах и резонаторах. Частота электромагнитные излучения в вакуумной электронике определяется конечными геометрическими размерами волноводов и резонаторов, а в квантовой электронике - дискретностью энергетических уровней излучателей (возбуждённых атомов и молекул); поэтому генераторы когерентного электромагнитного излучения в вакуумной и в квантовой электронике узкополосны, менять их частоту плавно практически невозможно. В плазменных приборах частота зависит не только от геометрических размеров волноводов и резонаторов, но и от плотности плазмы, поэтому излучатели в плазменной электронике многомодовые; меняя плотность плазмы, можно менять частоты в широком интервале. В этом заключается одно из существенных отличий и преимуществ плазменной электроники. Так, например, частота продольных ленгмюровских колебаний холодной изотропной плазмы (в системе ед. CGSE) где nр - плотность плазмы. При изменении реально используемой плотности плазмы в пределах (1010 - 1C19) см-3 можно возбуждать волны длиной (10-3 - 102) см, что перекрывает всю полосу СВЧ от субмиллиметрового и до дециметрового диапазона. При наложении на плазму внешнего магнитного поля диапазон частот собственных люд электромагнитных колебаний плазмы расширяется.
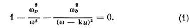
Дисперсионное уравнение, описывающее возбуждение волн моноэнергетическим перелятивистским электронным пучком в простейшем случае холодной изотропной плазмы, записывается в виде


Здесь - ленгмюровская частота электронов пучка, nb - плотность, и - скорость пучка, k - волновой вектор, - комплексная частота, действительная часть которой представляет частоту возбуждённых продольных колебаний поля, а мнимая часть - инкремент нарастания их амплитуды.

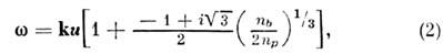
Если пр пь, то, как следует из решения уравнения (1), частота нарастающих во времени колебаний


Из соотношения (2) видно, что механизмом раскачки колебаний является эффект Черенкова - скорость пучка находится в резонансе с фазовой скоростью волны, но несколько больше последней. Раскачка колебаний происходит с инкрементом, равным до тех пор, пока скорость пучка не уменьшится до скорости волны. Отсюда можно найти амплитуду насыщения поля волны:

Второе отличие плазменной электроники от вакуумной состоит в том, что если в последней возбуждаются поверхностные волны, либо основные моды электромагнитных колебаний диэлектрических волноводов и резонаторов, то в плазменной электронике происходит также эффект возбуждение высоких объёмных мод с намного меньшей геом. размеров плазменных волноводов и резонаторов. Максимальная достижимая напряжённость электрического поля в плазме (с - скорость света) и при плотности плазмы np(10141018)см-3 составляет 107109 В/см. В таком поле весьма эффективно будут ускоряться заряженные частицы до больших энергий на относительно малых длинах (на длине ~100 см частицы могут ускоряться до ~103 МэВ). Существенно и то, что при возбуждении высоких мод объёмных колебаний ослабляется возможность пробоев на стенках плазменных волноводов и резонаторов.

Основное преимущество плазменной электроники перед вакуумной - пропускать пучки с большими токами. В вакуумных системах токи пучков ограничены сверху пространственным зарядом. Например, через вакуумный цилиндрический волновод радиуса R можно транспортировать трубчатый электронный пучок с током, не превышающим


Здесь - релятивистский фактор, - кинетическая энергия электрона, rb - средний радиус пучка толщиной
При движении потоков заряженных частиц в плазме происходит компенсация объёмного заряда и тока индуцированными в плазме полями и токами. Благодаря этому в плазменных системах возможно достижение больших токов, но и здесь существует верхний предел, определяемый устойчивостью пучка


Из (5) видно, что для пучка с энергией 1 МэВ предельный плазменный ток Iп достигает 100 кА, а мощность пучка - 100 ГВт, что намного превышает предельные значения в вакуумных системах. При этом скомпенсированные по заряду пучки более однородны по сечению и поэтому более эффективно взаимодействуют с электромагнитными волнами в плазме. В результате существенно повышается эффективность возбуждения электромагнитных волн потоками заряженных частиц, и достигаются значительно большие мощности излучения, чем в вакуумной электронике. В 70-х гг. появились источники мощных высокоэнергетических электронных и ионных пучков (энергия частиц ~1 МэВ, токи ~105 - 106 А). При длительности импульса ~10-7 с полная энергия в таких пучках >106 Дж, что вполне достаточно для инициирования термоядерной вспышки в дейтерий-тритиевых мишенях миллиметрового диаметра. Инерциальный УТС с использованием интенсивных ионных пучков считается одним из наиболее перспективных и интенсивно развивается.

Релятивистская плазменная электроника. Мощные мегавольтные электронные пучки открыли новые перспективы перед плазменной электроникой, связанные с релятивизмом электронов. Развитию релятивистской плазменной электронике способствовало теоретическое доказательство увеличения с ростомэффективности плазменно-пучкового взаимодействия


несмотря на уменьшение линейного инкремента Imw - Электромагнитные колебания и волны в плазме обладают самыми разнообразными фазовыми скоростями. В плазме существуют колебания, фазовая скорость которых намного меньше скорости света и даже тепловой скорости частиц; к их числу относятся ленгмюровские колебания, ионно-звуковые и альфеновские волны и др. Такие волны легко возбуждаются нерелятивистскими пучками заряженных частиц. Но, обладая малыми фазовыми скоростями, такие волны заперты в плазме, не излучаются, а со временем диссипируют, поглощаясь частицами плазмы. Именно поэтому возбуждение медленных волн в плазме нерелятивистскими пучками заряженных частиц служит эффективным каналом для пучкового нагрева плазмы.

С другой стороны, в плазме существуют и быстрые электромагнитные волны, фазовая скорость которых Особенно много таких электромагнитных волн в плазме, находящейся в сильном внешнем магнитном поле. Очевидно, что возбуждение быстрых волн в плазме возможно лишь интенсивными релятивистскими электронными пучками. Поэтому с появлением мощных источников релятивистских электронных пучков стала бурно развиваться релятивистская плазменная СВЧ-электроника.

Релятивистские скорости и большие токи изменяют характер взаимодействия сильноточных релятивистских электронных пучков с плазмой. Тот факт, что при даже значит. потери энергии электронов не нарушают условие черепковского резонанса, проявляется в увеличении кпд генерации электромагнитного излучения (6). Эта оценка справедлива, пока При больших токах пучка величину удаётся определить только численно. В оптимальных условиях, когда геометрии пучка и плазмы совпадают, значения h весьма высоки и медленно спадают с ростом тока пучка (рис.).


Зависимость кпд генерации электромагнитного излучения в плазменном генераторе с релятивистским пучком от тока пучка Ib.

При 1 МэВ и Ib = 2I0 25 кА (в пучке с 0,15 см при этом пb  5 x 1012 см-3) 0,2, т.е. около 20% электрической энергии пучка может перейти в энергию электромагнитного излучения; мощность излучения составит 5 ГВт. Поскольку фазовая скорость электромагнитных волн при этом очень близка к скорости света, всё излучение практически без потерь будет выходить из плазмы (потери вследствие отражения от поверхности плазмы не превышают 2,5%).

Частота генерируемого излучения в случае даётся формулой:


Здесь - поперечное волновое число возбуждаемой пучком плазменной электромагнитной волны. В случае возбуждения аксиально-симметричных мод колебании в плазме с трубчатой геометрией, совпадающей с геометрией пучка (rь = rр,), имеем

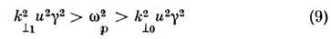
Из формул (7) и (8) следуют весьма важные выводы. При условии


в системе будет возбуждаться одна единственная основная мода колебаний, частота которой растёт с увеличением плотности плазмы; т. е. частота, в отличие от вакуумной электроники, не жёстко связана с размерами резонатора, а может меняться в широком диапазоне. Для указанных выше параметров плазмы и пучка 2,5 x 1011 с-1 (что соответствует длине волны 8 мм) при "рмакс 5 x 1013 см-3. Поскольку фазовая скорость возбуждаемой волны близка к скорости света, поле волны сильно непотенциально, причём энергия поля составляет 20% от энергии пучка. А это означает, что напряжённость поля достигает величины Емакс = 3 x 106 В/см; такое поле может обеспечить ускорение заряженных частиц в плазме до энергии 300 МэВ на длине 100 см, что безусловно является ещё одним преимуществом сильноточной релятивистской плазменной электроники.

Такое высокоэффективное возбуждение электромагнитного излучения, так же как и эффективное ускорение заряженных частиц, волнами в плазме, возможно только в условиях одномодового возбуждения, т. е. в условиях (9). Если же плотность плазмы очень велика, так что выполняется неравенство для большого числа мод колебаний, то в плазме происходит возбуждение многомодового излучения, которое быстро поглощается электронами плазмы и приводит к их разогреву. Кпд преобразования энергии пучка в энергию многомодового излучения при этом остаётся прежним (6), что позволяет дать оценку разогрева электронов плазмы сильноточным релятивистским электронным пучком:

Для приведённых выше параметров пучка при пр 1015 см-3 имеем Те500 эВ (5 x 106К), что свидетельствует о возможности нагрева плазмы сильноточными пучками электронов до высоких термоядерных температур и инициирования термоядерных реакций.

Сильноточные релятивистские электронные пучки имеют ещё одно преимущество. Они могут инициировать плазменно-пучковый разряд и создавать плазму высокой плотности в различных плазмохимических реакторах. Обладая большой энергией в целом, релятивистские электронные пучки способны обеспечить большой выход в одном импульсе и высокую среднюю мощность при использовании пучков импульсно-периодических режимов. А высокая энергия электронов обусловливает хорошую однородность плазмохимических реакторов даже при очень больших давлениях газа в них, намного превышающих атмосферное. Именно благодаря таким преимуществам на плазменно-пучковом разряде с использованием сильноточных релятивистских электронных пучков реализованы химические лазеры на водородо-фтористых смесях, дающие когерентное излучение на длине волны 3 мкм с энергией до нескольких кДж в импульсе длительностью 100 нc и обладающие кпд по отношению к энерговкладу пучка в газ до 700%. Созданы эксимерные плазменные лазеры на смесях Аr + Fr + Кr субмикронного диапазона длин волн с энергией до 1 кДж в импульсе длительностью40 нc и кпд до 10%.

Релятивистская плазменная электроника, в особенности экспериментальная, сделала только первые шаги. Теория уже сформулировала ряд интересных физических проблем, связанных с релятивизмом и сильноточностью пучков, которые требуют экспериментов исследования. Тем не менее, много нерешённых проблем осталось и у теории, и в первую очередь исследования различных механизмов взаимодействия электронных пучков с плазмой.

электроника квантовый вакуумный плазменный

Квантовая электроника

 

Квантовая электроника, область физики, изучающая методы усиления и генерации электромагнитных колебаний, основанные на использовании эффекта вынужденного излучения, а также свойства квантовых усилителей и генераторов и их применения. Практический интерес к квантовым генераторам света (лазерам) обусловлен, прежде всего, тем, что они, в отличие от др. источников света, излучают световые волны с очень высокой направленностью и высокой монохроматичностью. Квантовые генераторы радиоволн отличаются от др. радиоустройств высокой стабильностью частоты генерируемых колебаний, а квантовые усилители радиоволн - предельно низким уровнем шумов.

Физические основы квантовой электроники. Свет и радиоволны являются электромагнитным излучением, порции которого кванты (или фотоны) могут испускаться атомами, молекулами и др. квантовыми системами, обладающими некоторой избыточной внутренней энергией (возбуждёнными частицами). Внутренняя энергия атома (или молекулы) может принимать только лишь некоторые строго определённые дискретные значения, называемые уровнями энергии. Уменьшение внутренней энергии означает переход атома с более высокого уровня энергии на более низкий. Если при этом избыток энергии отдаётся в виде кванта излучения, то частота излучаемых волн n определяется условием Бора:

n = , (1)

где h = 6,62×10-27эрг×сек - Планка постоянная. Аналогично увеличение внутренней энергии атома означает его переход с нижнего уровня E1 на верхний E2. Если это увеличение связано с поглощением кванта излучения, то частота поглощаемого излучения определяется тем же условием (1). Т. о., условие (1) определяет частоту спектральной линии поглощения или излучения, характерную для данных частиц. Взаимодействие частиц с окружающими их частицами и полями, а также "краткость их жизни на уровне" приводят к "размытию" уровней энергии. В результате условие (1) выполняется не для одного фиксированного значения частоты n, а для интервала значений частот, при этом спектральные линии приобретают ширину.

Возбуждённые частицы могут отдавать свою энергию в виде квантов излучения двумя способами. Возбуждённые частицы неустойчивы, и для каждой из них существует определённая вероятность самопроизвольно (спонтанно) испустить квант излучения. Акты спонтанного испускания происходят случайно. Поэтому спонтанное излучение носит хаотический характер. Фотоны испускаются различными частицами в различные моменты времени, имеют разную частоту, поляризацию и направление распространения. Интенсивность спонтанного излучения пропорциональна кубу частоты и поэтому резко падает при переходе от световых волн к радиоволнам. Все нелазерные источники света (лампы накаливания, газоразрядные лампы и т.п.) излучают свет в результате актов спонтанного излучения. В радиодиапазоне такой же характер имеют шумы электронных устройств и тепловое радиоизлучение нагретых тел.

Возбуждённые частицы могут испускать фотоны, переходя с верхнего уровня энергии E2 на нижний уровень E1не только самопроизвольно, но и под воздействием внешнего излучения (вынужденно), если частота этого внешнего излучения удовлетворяет условию (1). Вероятность вынужденного испускания, предсказанного А. Эйнштейном (1917), пропорциональна интенсивности вынуждающего излучения и может превосходить вероятность спонтанного процесса. Т. о., в процесс вынужденного испускания вовлечены два кванта излучения: первичный, вынуждающий, и вторичный, испущенный возбуждённым атомом. Существенно, что вторичные кванты неотличимы от первичных. Они обладают в точности такой же частотой, фазой, поляризацией и направлением распространения. На эту особенность вынужденного излучения, имеющую основополагающее значение для квантовой электроники, впервые указал П. Дирак (1927). Тождественные кванты формируют электромагнитную волну, являющуюся точной усиленной копией исходного излучения. С ростом числа актов вынужденного испускания в 1 сек интенсивность волны возрастает, а её частота, фаза, поляризация и направление распространения остаются неизменными. Происходит когерентное усиление электромагнитного излучения.

Для одной частицы вынужденные переходы с верхнего уровня E2 энергии на нижний E1 и с нижнего на верхний одинаково вероятны. Поэтому когерентное усиление волны возможно только при превышении числа возбуждённых частиц над невозбуждёнными. В условиях равновесия термодинамического число возбуждённых частиц меньше числа невозбуждённых, т. е. верхние уровни энергии населены частицами меньше, чем нижние, в соответствии с распределением Больцмана частиц по уровням энергии. При взаимодействии излучения с таким веществом произойдёт поглощение излучения.

Чтобы получить эффект усиления, необходимо принимать специальные меры для того, чтобы число возбуждённых частиц превышало число невозбуждённых. Состояние вещества, при котором хотя бы для двух уровней энергии частиц верхний уровень оказался более населённым, чем нижний, называется состоянием с инверсией населённостей. Такое вещество в квантовой электронике называется активным (активной средой). В квантовой электронике используется вынужденное излучение в активной среде для усиления (квантовый усилитель) и генерации (квантовый генератор) электромагнитных волн. Необходимая для генерации обратная связь осуществляется помещением активной среды в объёмный резонатор, в котором могут возбуждаться стоячие электромагнитные волны. В какой-то точке резонатора неизбежно происходит спонтанный переход частицы активной среды с верхнего уровня на нижний, т. е. самопроизвольно испускается фотон. Если резонатор настроен на частоту этого фотона, то фотон не выходит из резонатора, а, многократно отражаясь от его стенок, порождает множество себе подобных фотонов, которые, в свою очередь, воздействуют на активное вещество, вызывая всё новые акты вынужденного испускания таких же фотонов (обратная связь), В результате такого "размножения" фотонов в резонаторе накапливается электромагнитная энергия, часть которой выводится наружу с помощью специальных устройств (например, полупрозрачного зеркала для световых волн). Если в какой-то момент мощность вынужденного излучения превышает мощность потерь энергии на нагрев стенок резонатора, рассеяние излучения и т.п., а также на полезное излучение во внешнее пространство (т. е. если выполнены условия самовозбуждения), то в резонаторе возникают незатухающие колебания, т. е. возбуждается генерация.

В силу свойств вынужденного излучения эти колебания монохроматичны. Все частицы активного вещества работают синфазно. Их заставляет работать синфазно обратная связь. Значение частоты такого генератора с высокой степенью точности совпадает с частотой излучения возбуждённых частиц, хотя оно существенно зависит также от расстройки частоты резонатора относительно частоты излучения частиц. Интенсивность генерации определяется числом возбуждаемых частиц в сек в каждом см3активной среды. Если число таких частиц L, то максимально возможная мощность Р непрерывного излучения в см3среды составляет:

= Lhn (2)

 

Исторический очерк. Несмотря на то, что положения Эйнштейна и Дирака о вынужденном излучении формировались применительно к оптике, развитие квантовой электроники началось в радиофизике. В условиях термодинамического равновесия оптические (верхние) уровни энергии практически не заселены, возбуждённых частиц в веществе очень мало и на нижние уровни энергии они переходят спонтанно, так как при малых плотностях световой энергии спонтанные переходы более вероятны, чем вынужденные. Поэтому, хотя понятие монохроматичности возникло в оптике, именно в оптике отсутствовали строго гармонические колебания и волны, т. е. колебания с постоянными амплитудой, частотой и фазой. В радиофизике, наоборот, вскоре после создания первых искровых радиопередатчиков развивается техника получения гармонических колебаний, создаваемых генераторами с колебательными контурами и регулируемой положительной обратной связью. Немонохроматичность излучений оптического диапазона и отсутствие в оптике методов и концепций, хорошо развитых в радиофизике, в частности понятия обратной связи, послужили причиной того, что мазеры появились раньше лазеров.

В 1-й половине 20 в. радиофизика и оптика развивались разными путями. В оптике развивались квантовые представления, в радиофизике - волновые. Общность радиофизики и оптики, обусловленная общностью квантовой природы электромагнитных волновых процессов, не проявлялась до тех пор, пока не возникла радиоспектроскопия, изучающая спектры молекул, атомов, ионов, попадающие в диапазон СВЧ (1010-1011гц). Важной особенностью радиоспектроскопических исследований (в отличие от оптических) было использование источников монохроматического излучения. Это привело к гораздо более высокой чувствительности, разрешающей способности и точности радиоспектроскопов по сравнению с оптическими спектроскопами. Не менее важным явилось и то обстоятельство, что в радиодиапазоне, в отличие от оптического диапазона, возбуждённые уровни в условиях термодинамического равновесия сильно населены, а спонтанное излучение гораздо слабее. В результате вынужденное излучение непосредственно сказывается на величине наблюдаемого резонансного поглощения радиоволн исследуемым веществом. Причиной заселения возбуждённых уровней является тепловое движение частиц. При комнатных температурах тепловому движению соответствует энергия ~ 4×10-14эрг. Для видимого света с длиной волны l = 0,5 мкм частота колебаний n = 6×1014гц, а энергия кванта hn = 1×10-12эрг. Для радиоизлучения с длиной волны l = 0,5 см частота колебаний n = 6×1010гц, энергия квантов hn= 4×10-16эрг. Следовательно, тепловое движение может сильно населять возбуждённые радиоуровни и не может населять возбуждённые оптические уровни.

Перечисленные факторы привели к тому, что радиоспектроскопия стала базой работ по квантовой электронике. В СССР работы по радиоспектроскопии газов были начаты в лаборатории колебаний Физического института АН СССР (А. М. Прохоров), где наряду с решением чисто спектроскопических задач исследования шли также и в направлении использования спектральных линий СВЧ для создания стандартов частоты.

Точность стандарта частоты, основанного на измерении положения резонансной линии поглощения, зависит от ширины спектральной линии. Чем уже линия, тем выше точность. Наиболее узкими линиями обладают газы, так как в газах частицы слабо взаимодействуют друг с другом. Вместе с тем тепловое хаотическое движение частиц газа вызывает в силу Доплера эффекта так называемое доплеровское уширение спектральных линий. Эффективным методом устранения влияния этого уширения является переход от хаотического движения к упорядоченному движению, например переход от газов к молекулярным пучкам. Но в этом случае возможности радиоспектроскопа сильно ограничены малой интенсивностью резонансных линий. В пучке мало частиц и, следовательно, разница в числе возбуждённых и невозбуждённых частиц незначительна. На этом этапе работы возникла мысль о том, что, искусственно изменив соотношение между числом возбуждённых и невозбуждённых частиц, можно существенно повысить чувствительность радиоспектроскопа. Более того, создав инверсию населённостей в пучке, вместо поглощения радиоволн можно получить их усиление. Если же некоторая система усиливает радиоизлучение, то при соответствующей обратной связи она может генерировать это излучение. В радиофизике теория генерирования была хорошо разработана. Существенными элементами радиотехнических генераторов являются колебательные контуры. В области СВЧ роль контуров играют объёмные резонаторы, особенно удобные для работы и с пучками частиц. Т. о., именно в радиофизике существовали все необходимые элементы и предпосылки для создания первого квантового генератора. В первом приборе К. э. - молекулярном генераторе, созданном в 1955 одновременно в СССР (Н.Г. Басов, А.М. Прохоров) и в США (Дж. Гордон, Г. Зейгер, Ч. Таунс), активной средой являлся пучок молекул аммиака NH3. Для создания инверсии населённостей применялся метод электростатической пространственной сортировки. Из пучка молекул MH3 выбирались более возбуждённые молекулы и отбрасывались в сторону молекулы, обладавшие меньшей энергией. Отсортированный пучок пропускался через объёмный резонатор, в котором при выполнении условий самовозбуждения возникала генерация. Частота генератора с высокой степенью точности совпадала с частотой излучения возбуждённых молекул NH3 и поэтому была чрезвычайно стабильна. Относительная стабильность частоты составляет 10-11-10-12. Появление молекулярных генераторов открыло новые возможности в создании сверхточных часов и точных навигационных систем. Их погрешность ~1 сек за 300 000 лет. Аналогичные по принципу действия, созданные позднее водородные генераторы имеют ещё большую стабильность частоты ~10-13.

То обстоятельство, что квантовая электроника родилась в радиодиапазоне, объясняет возникновение термина "квантовая радиофизика", иногда используемого вместо термина "квантовая электроника", который имеет более общий смысл, охватывая и оптический диапазон.

Получение инверсии населённостей путём отбора возбуждённых частиц не всегда возможно, в частности это невозможно в твёрдых телах. Кроме того, на высоких оптических уровнях при не слишком высоких температурах возбуждённых частиц практически нет. Поэтому уже в 1955 был предложен новый метод создания инверсии населённостей (Н.Г. Басов, А.М. Прохоров), в котором возбуждённые частицы не отбираются из имеющегося количества, а создаются. Этот метод, известный под названием метода трёх уровней, состоит в том, что на частицы, в энергетическом спектре которых есть три уровня E1, E2, E3, воздействуют мощным вспомогательным излучением (накачка), которое, поглощаясь частицами, "перекачивает" их с уровня E1 на уровень E3 Накачка должна быть достаточно интенсивной, тогда на верхний уровень E3 с нижнего E1 перебрасывается столько частиц, что их количество может стать практически одинаковым. При этом на уровне E2 может оказаться больше частиц, чем на уровне E1 (либо на уровне E3больше, чем на уровне E2), т. е. для уровней E2, E1 (или E3 и E2) будет иметь место инверсия населённостей. Частота nH излучения накачки соответствует резонансным условиям поглощения, т. е.

н = (E3 - E1)/h.

Метод трёх уровней был применен по предложению Н. Бломбергена (1956, США) для создания квантовых усилителей радиодиапазона на парамагнитных кристаллах. Квантовые усилители обычно работают при температуре жидкого гелия (4,2 К), когда практически все частицы находятся на самом нижнем уровне энергии. При накачке половина всех имеющихся в кристалле частиц переводится на верхний уровень E2 и участвует в когерентном усилении. Если молекулярный генератор удовлетворил потребность электроники в высокостабильном источнике монохроматических колебаний, то квантовый усилитель решил др. важнейшую проблему радиофизики - проблему резкого уменьшения шумов, т. е. увеличения чувствительности радиоприёмников СВЧ. Поэтому квантовые усилители нашли применение в радиоастрономии, радиолокации, линиях глобальной и космической связи.

Успехи квантовой электроники поставили вопрос о её продвижении в сторону более коротких волн. При этом существенную трудность представляла разработка резонаторов. В диапазоне СВЧ применяют закрытые полости с проводящими стенками, размеры которых сравнимы с длиной волны. Для оптического излучения резонаторы такого типа изготовить невозможно. В 1958 был предложен открытый резонатор (А. М. Прохоров). В субмиллиметровом диапазоне резонатор представлял собой два параллельных, хорошо отражающих металлических диска, между которыми возникает система стоячих волн. Для света этот резонатор сводился к двум параллельным зеркалам и подобен интерферометру Фабри - Перо.

Первым достижением квантовой электроники в оптическом диапазоне явилось создание в 1960 лазера (Т. Мейман, США). В качестве рабочего вещества в нём использовался монокристалл рубина, а для получения инверсии населённости был применен метод трёх уровней. Отражающими зеркалами резонатора служили хорошо отполированные и посеребрённые торцы кристалла рубина. Источником накачки была лампа - вспышка. Рубиновые лазеры наряду с лазерами на стекле с примесью неодима дают рекордные энергии и мощности. В режиме свободной генерации большие кристаллы рубина при мощной накачке дают в импульсе энергию до 1000 Дж (мощность до 106вт).Другой режим рубиновых лазеров достигается включением зеркал резонатора лишь в определённые моменты времени, когда инверсия населённостей достигает максимальной величины, Тогда все накопленные на метастабильном уровне частицы излучают практически сразу, и генератор выдаёт гигантский импульс излучения очень короткой длительности (10-8-10-9сек) со сравнительно небольшой энергией (около 3 Дж.). Но так как эта энергия излучается в очень короткое время, то пиковая мощность импульса достигает значений 3×106-3×106вт.

Вскоре после рубинового лазера был разработан первый газовый лазер (А. Джаван, У. Беннетт, Д. Гарриот: 1960. США) на смеси атомов неона и гелия. Затем появился полупроводниковый инжекционный лазер (Р. Хол, а также У. Думке с сотрудниками; 1962, США). В газовых лазерах получение инверсии населённости достигается не световой накачкой, а при соударениях атомов или молекул рабочего газа с электронами или ионами, имеющимися в электрическом разряде. Среди газовых лазеров выделяются гелий-неоновый лазер и лазер на смеси углекислого газа, азота и гелия (СО2 - лазер), которые могут работать, как в импульсном, так и в непрерывном режимах. С помощью гелий-неонового лазера получены световые колебания очень высокой стабильности (~ 10-13) и высокой монохроматичности (Dn = 1 гц при частоте 1014гц). Хотя кпд этого лазера крайне невелик (0,01%), именно высокая монохроматичность и направленность его излучения (обусловленные, в частности, однородностью его активной среды) сделали этот лазер незаменимым при всякого рода юстировочных и нивелировочных работах. Мощный СО2 - лазер (К. Пател, 1964, США) генерирует инфракрасное излучение (l = 10,6 мкм). Его кпд, достигающий 30%, превосходит кпд всех существующих лазеров, работающих при комнатной температуре. Особенно перспективен газодинамический лазер на СО2. С его помощью можно получить в непрерывном режиме мощность в десятки квт. Монохроматичность, направленность и высокая мощность делают его весьма перспективным для целого ряда технологических применений.

В полупроводниковых лазерах инверсия достигается главным образом при инжекции носителей тока через электронно-дырочный переход соответствующим образом легированного полупроводника. Имеется довольно много полупроводниковых материалов, из которых изготовляются лазеры в широком диапазоне длин волн. Наиболее распространённым из них является арсенид галлия (GaAs), который при температуре жидкого азота может излучать в непрерывном режиме в ближней инфракрасной области мощность до 10 вт при кпд = 30%. Изменяя ток инжекции, можно достаточно безынерционно управлять мощностью, генерируемой инжекционными лазерами. Это делает перспективным их применение в быстродействующих вычислительных машинах и в системах связи.

Для получения инверсии населённости в парамагнитном квантовом усилителе, в рубиновом лазере, в газовых и полупроводниковых лазерах и др. используются совершенно различные физические явления. Но единым и главным фактором для всех методов создания инверсии населённости является необходимость преодоления процессов, направленных к восстановлению равновесной населённости. Препятствовать процессам восстановления равновесной населённости можно, только затрачивая энергию, поступающую от внешнего источника питания. При этом в лазерное излучение преобразуется, как правило, малая доля энергии накачки. В режиме свободной генерации кпд рубинового лазера меньше 1%, в режиме гигантских импульсов ещё меньше. Однако "проигрыш" в количестве энергии излучения компенсируется в К. э. выигрышем в его "качестве", монохроматичности и направленности излучения, обусловленных свойствами вынужденного излучения.

Монохроматичность и высокая направленность позволяют сфокусировать всю энергию лазерного излучения в пятно с размерами, близкими к длине волны излучения. В этом случае электрическое поле световой волны достигает значений, близких к внутриатомным полям. При взаимодействии таких полей с веществом возникают совершенно новые явления.

Применения квантовой электроники революционизировали радиофизику СВЧ и оптику. Наиболее глубокие преобразования К. э. внесла в оптику. В радиофизике создание мазеров означало появление радиоустройств, хотя принципиально и новых, но вместе с тем обладающих привычными для радиоинженера свойствами. И до появления К. э. в радиофизике существовали когерентные усилители и монохроматические генераторы. Квантовая электроника лишь резко улучшила чувствительность усилителей (в 103 раз) и стабильность частоты генераторов (в десятки тысяч раз). В оптике же все источники света до появления лазеров не обладали ни сколько-нибудь заметной направленностью, ни монохроматичностью. Создание лазеров означало появление источников света, обладающих совершенно новыми свойствами. Это дало невиданную ранее в оптике возможность концентрировать энергию излучения, как в пространстве, так и в узком частотном интервале.

Промышленность выпускает различные типы лазеров, которые используются не только как эффективный инструмент научных исследований, но и для решения разного рода практических задач. Основные преимущества лазерного воздействия - малая область распространения тепла, отсутствие переноса электрических зарядов и механического контакта, возможность работать внутри вакуумных баллонов и в агрессивных газах. Одним из первых применений лазеров было измерение расстояния до Луны с большей точностью, чем это было сделано радиофизическим методом. После того как на Луне был установлен уголковый отражатель, расстояние до неё было измерено с точностью до 1,5 м.Существует лазерная локационная служба расстояния Земля - Луна.

Новые возможности открыло применение лазеров в оптических линиях связи. Развитие оптических линий связи с их задачами модуляции колебаний, детектирования, гетеродинирования, преобразования частоты световых колебаний потребовало переноса в оптику методов радиофизики и теории колебаний.

Возникла нелинейная оптика, изучающая нелинейные оптические эффекты, характер которых зависит от интенсивности света (самофокусировка света, генерация оптических гармоник, вынужденное рассеяние света, параметрическая генерация света, самопросветление или самозатемнения света). Методами нелинейной оптики создан новый класс перестраиваемых по частоте источников когерентного излучения в ультрафиолетовом диапазоне. Нелинейные явления в оптике существуют только в узком диапазоне интенсивностей лазерного излучения. При малых интенсивностях нелинейные оптические эффекты отсутствуют, затем по мере роста интенсивности они возникают, возрастают, но уже при потоках интенсивности 1014 вт/см2 все известные вещества разрушаются лазерным лучом и превращаются в плазму. Получение и исследование лазерной плазмы является одним из наиболее интересных применений лазеров. Осуществлен термоядерный синтез, инициируемый лазерным излучением.

Благодаря высокой концентрации электромагнитной энергии в пространстве и по спектру лазеры находят широкое применение в микробиологии, фотохимии, химическом синтезе, диссоциации, катализе. К. э. привела к развитию голографии - метода получения объёмных изображений предметов восстановлением структуры световой волны, отражённой предметом.

Работы по квантовой электронике были отмечены Нобелевской премией 1964 по физике (Н.Г. Басов, А.М. Прохоров, СССР, и Ч. Таунс, США).

Полупроводниковая электроника

Полупроводниковая электроника - отрасль электроники, занимающаяся исследованием электронных процессов в полупроводниках и их использованием - главным образом в целях преобразования и передачи информации. Именно с успехами полупроводниковой электроники связаны, в основном, высокие темпы развития электроники в 50-70-х гг. 20 в. и её проникновение в автоматику, связь, вычислительную технику, системы управления, астрономию, физику, медицину, в исследования космического пространства, в быт и т.д.

Краткая историческая справка. Основные вехи развития полупроводниковой электроники - открытие Фотоэффекта в селене (У. Смит, США, 1873), открытие односторонней проводимости контакта металла с полупроводником (К.Ф. Браун, 1874), использование кристаллических полупроводников, например галенита (PbS), в качестве Детекторов для демодуляции радиотелеграфных и радиотелефонных сигналов (1900-05), создание медно-закисных (купроксных) и селеновых выпрямителей тока и Фотоэлементов (1920-1926), использование кристаллических детекторов для усиления и генерирования колебаний (О.В. Лосев, 1922), изобретение транзистора (У. Шокли, У. Браттейн, Дж. Бардин, 1948), создание планарной технологии (1959), появление интегральной электроники и переход к микроминиатюризации электронного оборудования (1959-1961). Большой вклад в создание полупроводниковой электроники внесли советские учёные - физики и инженеры (А.Ф. Иоффе, Н.П. Сажин, Я.И. Френкель, Б.М. Вул, В.М. Тучкевич, Г.Б. Абдулаев, Ж.И. Алферов, К.А. Валиев, Ю.П. Докучаев, Л.В. Келдыш, С.Г. Калашников, В.Г. Колесников, А.В. Красилов, В.Е, Лашкарёв, Я.А. Федотов и многие др.).

Физические основы полупроводниковой электроники. Развитие полупроводниковой электроники стало возможным благодаря фундаментальным научным достижениям в области квантовой механики, физики твёрдого тела и физики полупроводников.

В основе работы полупроводниковых (ПП) электронных приборов и устройств лежат следующие важнейшие свойства полупроводников и электронные процессы в них: одновременное существование носителей заряда двух знаков (отрицательных - электронов проводимости и положительных - дырок); сильная зависимость величины и типа электропроводности от концентрации и типа примесных атомов; высокая чувствительность к воздействию света и тепла, чувствительность к действию магнитного поля и механических напряжений; эффект односторонней проводимости при протекании тока через запирающий слой электронно-дырочного перехода (р-n-перехода) или Шотки барьера, нелинейность вольтамперных характеристик таких слоев, введение (инжекция) неосновных носителей, нелинейная ёмкость р-n-перехода; туннельный переход носителей сквозь потенциальный барьер; лавинное размножение носителей в сильных электрических полях; переход носителей из одного минимума энергетической зоны в другой с изменением их эффективной массы и подвижности и др.

Один из эффектов, наиболее широко используемых в полупроводниковой электронике, - возникновение р-n-перехода на границе областей полупроводника с различными типами проводимости (электронной - в n-области, дырочной - в р-области); его основные свойства - сильная зависимость тока от полярности напряжения, приложенного к переходу (ток в одном направлении может в 106 раз и более превышать ток в др. направлении), и способность к инжекции дырок в n-область (или электронов в р-область) при включении напряжения в направлении пропускания тока через р-n-переход. Свойства, близкие к свойствам р-n-перехода, имеет барьер Шотки, обладающий вентильными свойствами (односторонней проводимостью), но не обладающий способностью к инжекции. И р-n-переход, и барьер Шотки обладают электрической ёмкостью, изменяющейся по нелинейному закону с изменением напряжения. При превышении внешним обратным напряжением определённой величины в них развиваются явления пробоя. Сочетание двух р-n-переходов, расположенных близко в одном кристалле полупроводника, даёт транзисторный эффект: эффект управления током запертого перехода с помощью тока отпертого перехода. Три р-n-перехода в одном кристалле, разделяющие четыре области попеременно электронной и дырочной проводимости, образуют Тиристор. Решающее значение для полупроводниковой электроники имеет транзисторный эффект: именно на его основе работают ПП приборы основного типа - Транзисторы, которые определили коренные изменения в радиоэлектронной аппаратуре и ЭВМ и обеспечили широкое применение систем автоматического управления в технике.

К физическим явлениям, которые в начале 70-х гг. 20 в. стали использовать в полупроводниковой электронике, относится и Акустоэлектрический эффект в диэлектрических и ПП материалах. На основе этого эффекта оказалось возможным создавать усилители электрических колебаний, активные электрические фильтры, линии задержки с усилением сигнала, что привело к появлению нового направления полупроводниковой электроники - акустоэлектроники.

Одна из наиболее общих черт развития полупроводниковой электроники - тенденция к интеграции самых различных физических эффектов в одном кристалле. Полупроводниковая электроника начинает смыкаться с электроникой диэлектрических материалов, магнитных материалов и т.д., превращаясь постепенно в электронику твёрдого тела в самом широком смысле этого слова.

ПП технология. Главные технологические задачи полупроводниковой эл-ки - получение полупроводниковых материалов (в основном монокристаллических) с требуемыми свойствами, реализация сложных ПП структур (прежде всего р-n-переходов) и разработка методов изготовления полупроводниковых приборов, в которых ПП слои сочетаются с диэлектрическими и металлическими. Образование р-n-переходов сводится к введению в полупроводник необходимого количества нужных примесей в строго определённых областях. В настоящее время (1975) распространены 3 способа получения р-n-переходов: сплавление, диффузия и ионное внедрение (имплантация).

При сплавлении на поверхность пластины из полупроводника, обладающего одним типом проводимости (например, на n-Ge, богатый донорами), помещают кусочек металла, проникновение атомов которого в полупроводник способно придавать ему проводимость др. типа (например, кусочек In, атомы которого служат в Ge акцепторами), и нагревают пластину. Т. к. температура плавления In значительно ниже температуры плавления Ge, то In расплавляется, когда Ge ещё остаётся в твёрдом, кристаллическом состоянии. Ge растворяется в капельке расплавленного In до насыщения. При последующем охлаждении растворённый Ge начинает выделяться из расплава и кристаллизоваться вновь, восстанавливая растворившуюся часть кристалла. В процессе кристаллизации атомы Ge захватывают с собой атомы In. Образовавшийся слой Ge оказывается обогащенным In и приобретает проводимость дырочного типа. Т. о., на границе этого слоя и нерастворившейся части кристалла Ge образуется р-n-переход.

При диффузии, например, из газовой фазы пластина полупроводника, обладающего, скажем, электронной проводимостью, помещается в пары вещества, придающего полупроводнику дырочный характер проводимости и находящегося при температуре на 10-30% ниже температуры плавления полупроводника. Атомы вещества-диффузанта, совершая хаотическое тепловое движение, бомбардируют открытую поверхность полупроводника и проникают в глубь его объёма. Максимальная концентрация их создаётся в приповерхностном слое. Этот слой приобретает дырочную проводимость. По мере удаления от поверхности концентрация акцепторов падает и в некотором сечении становится равной концентрации доноров. Это сечение будет соответствовать положению р-n-перехода. В слоях, расположенных более глубоко, преобладают доноры, и полупроводник остаётся электронным. Распространены также и др. методы диффузии: диффузия из тонких слоев диффузанта, нанесённых непосредственно на поверхность полупроводника, из стекловидных слоев, содержащих диффузант, в потоке инертного газа, смешанного с парами диффузанта, и т.д. В качестве диффузанта могут использоваться не только чистые доноры или акцепторы, но и их соединения. Метод диффузии - основной метод получения р-n-переходов.

Исключительно важную роль в развитии полупроводниковой электроники сыграло появление и быстрое распространение планарной технологии. Большое значение планарной технологии определяется тем, что она обеспечила: широкий переход к групповому методу изготовления ПП приборов (одновременно на одной ПП пластине изготовляется несколько тысяч приборов); существенное повышение точности и воспроизводимости конфигурации элементов приборов и связанное с этим повышение воспроизводимости электрических параметров; резкое уменьшение размеров элементов и зазоров между ними - до микронных и субмикронных - и создание на этой основе СВЧ усилительных и генераторных транзисторов; реализацию т. н. полевых приборов, в том числе полевых транзисторов; возможность создания на одном ПП кристалле законченного электронного устройства - ПП интегральной, включающей в себя необходимое число отдельных ПП приборов (диодов, транзисторов и др.), резисторов, конденсаторов и соединений между ними. Главное достоинство планарной технологии в том, что именно она сделала возможным интенсивное развитие интегральной микроэлектроники, привела к исчезновению грани между изготовлением деталей и элементов электронной техники и изготовлением радиоэлектронной аппаратуры. Последовательные процессы изготовления ПП материалов, затем - ПП приборов и, наконец, устройств, ранее значительно разнесённые во времени и разобщённые в пространстве, оказались совмещенными в одном технологическом цикле.

Особенности ПП производства. Большая сложность изделий полупроводниковой электроники, их весьма высокая чувствительность к микроскопическим дозам загрязнений и невозможность исправления брака выдвигают исключительно высокие требования к качеству материалов, точности работы оборудования и условиям производства. Во многих случаях речь идёт о предельно достижимых (на современном уровне техники) требованиях, существенно превосходящих требования, выдвигаемые др. отраслями техники.

Материалы полупроводниковой электроники должны иметь строго заданные состав и структуру, нередко - обладать исключительно высокими чистотой и совершенством структуры. Так, например, Ge высокой чистоты характеризуется содержанием неконтролируемых примесей < 10-10.

О требованиях к точности работы оборудования можно получить представление на примере оптико-механических установок. Для создания на поверхности пластины диаметром 30-80 мм сотен тыс. элементов различной формы и размеров применяют шаблоны, при помощи которых последовательно проводят несколько диффузионных процессов, наносят металлические плёнки и т.д. При изготовлении фотошаблонов и совмещении очередного шаблона с рисунком, ранее нанесённым на ПП пластину, точность работы оптико-механического оборудования должна составлять десятые доли мкм. Поэтому оптическая часть оборудования, разработанного специально для нужд П. э., характеризуется сверхвысокой разрешающей способностью, достигающей более 1000 линий на мм (у применяемых фотоматериалов она ещё выше - 1500 линий на мм), и не имеет аналогов в др. областях техники. Уменьшение размеров элемента до 1 мкм и переход к субмикронным размерам создают значительные трудности, обусловленные главным образом явлением дифракции. Их преодоление - в переходе от световых лучей к электронным, которые могут быть сфокусированы до десятых и сотых долей мкм. В этом случае минимальный размер элемента будет определяться диаметром электронного луча. Механическая обработка ПП пластин должна осуществляться по 14-му классу чистоты обработки поверхности, с отклонениями от плоскости (плоскостностью), не превышающими 1 мкм. Особые требования выдвигаются также и по отношению к термическому оборудованию: точность установки и поддержания температуры на уровне 1000-1300 °С должна быть не хуже ± 0,5 °С.

Очень жёсткие требования предъявляются к условиям производства изделий П. э. Газовая среда, в которой проходят некоторые, наиболее важные технологические процессы, должна подвергаться тщательной осушке и обеспыливанию. Содержание в ней влаги измеряется долями процента и оценивается по температуре газа, при которой наступает конденсация влаги (по точке росы). Если в цеховой атмосфере поддерживается т. н. комфортная влажность (соответствующая относительной влажности 50-60%), то в специальные боксы (скафандры), в которых осуществляется, например, сборка изделий, подаётся воздух, азот или аргон, осушенный до точки росы, равной - (50-70) °С. Один из наиболее серьёзных врагов ПП производства - пыль. Одна пылинка размером в несколько мкм, попавшая на поверхность пластины в ходе процессов фотолитографии, почти всегда приводит к неисправимому браку. В зависимости от сложности изделия и некоторых др. требований запылённость воздуха на рабочем месте возле обрабатываемой ПП пластины должна составлять не более 4000 пылинок на м3. Столь низкий уровень запылённости обеспечивается оборудованием внутри цехов т. н. чистых комнат, доступ в которые разрешается только ограниченному кругу лиц. Персонал, работающий в чистых комнатах, переодевается в специальную одежду и проходит к рабочему месту через герметичные шлюзы, где производится обдув одежды и удаление пыли. В чистых комнатах до 300 раз в час совершается полный обмен воздуха с пропусканием его через соответствующие фильтры. Совершенно обязательно соблюдение персоналом требований личной гигиены: регулярное и тщательное мытьё рук, ношение специальной одежды, перчаток, шапочек и косынок и т.д. Все эти меры являются совершенно необходимым условием для обеспечения высоких экономических показателей и качества выпускаемой продукции, в том числе надёжности изделий.

Продукция полупроводниковой электроники. Номенклатура ПП приборов исключительно широка, она насчитывает десятки тыс. типов приборов, в основном кремниевых. Мировая промышленность выпускает (1974) свыше 10 млрд. дискретных ПП приборов и более 1 млрд. интегральных микросхем в год. Развитие микроэлектроники не отразилось существенным образом на темпах роста выпуска дискретных ПП приборов; потребность в них, по-видимому, будет сохраняться ещё длительное время. Появление разнообразнейших ПП приборов позволило осуществить сложные, зачастую принципиально новые электронные устройства и создать самостоятельную отрасль электронной промышленности - промышленность, производящую дискретные ПП приборы и интегральные микросхемы.

Выпускаемые промышленностью изделия полупроводниковой электроники характеризуются высокими эксплуатационными свойствами: они могут работать в диапазоне температур от -60 до +200 °С, выдерживать значительные механические и климатические нагрузки (вибрации, удары, постоянные ускорения, циклические изменения температуры, воздействие влаги и т.д.); они характеризуются интенсивностью отказов Полупроводниковая электроника10-6-10-9 отказа в час в реальных условиях эксплуатации.

Перспективы развития. Развитие полупроводниковой электроники происходит в направлении быстрого возрастания степени интеграции, которая часто достигает 10-20 тыс. ПП приборов на одном кристалле (1975), а также в направлении повышения мощности и частоты электромагнитных колебаний, преобразуемых в одном ПП приборе (до сотен вт и десятков Ггц), в том числе создания ПП генераторов и усилителей миллиметрового диапазона. Наряду с интеграцией большого числа сходных приборов развивается также интеграция в одной микросхеме приборов, использующих различные физические принципы. При этом, помимо физических процессов в полупроводниках, используют процессы в диэлектриках, сверхпроводниках (например, Джозефсона эффект), магнитных плёнках и т.д. ПП элементы, например холодные катоды с полупроводниковыми гетеропереходами, ПП аноды с p-n-переходом, в котором происходит умножение тока, матричные мишени Видиконов, содержащие 0,5-1 млн. фотодиодов, проникают также в вакуумную электронику, позволяя существенно усовершенствовать некоторые типы электровакуумных приборов.

Список используемой литературы

1.       Федотов Я.А., Основы физики полупроводниковых приборов, М., 1970

2.      Пасынков В.В., Чиркин Л.К., Шинков А.Д., Полупроводниковые приборы, М., 1973

.        Физический энциклопедический словарь. - М.: Советская энциклопедия. Главный редактор А.М. Прохоров. 1983.

.        Квантовая электроника. Маленькая энциклопедия, М., 1969

.        Фабрикант В., Классика, кванты и квантовая электроника, "Наука и жизнь", 1965, № 10

.        Прохоров А.М., Квантовая электроника, "Успехи физических наук", 1965, т. 85, в. 4

Вопросы для самопроверки

1.  Какие области включает в себя электроника?

2.      Какие разделы содержит электроника?

.        Что изучает плазменная электроника?

.        Основы квантовой электроники? Её разделы и направления?

.        Основы полупроводниковой электроники?

Похожие работы на - Разделы электроники, ее роль

 

Не нашли материал для своей работы?
Поможем написать уникальную работу
Без плагиата!
Без нейросетей!