Проектирование электронного блока в типовом корпусе

  • Вид работы:
    Курсовая работа (т)
  • Предмет:
    Информатика, ВТ, телекоммуникации
  • Язык:
    Русский
    ,
    Формат файла:
    MS Word
    752,03 Кб
  • Опубликовано:
    2013-04-01
Вы можете узнать стоимость помощи в написании студенческой работы.
Помощь в написании работы, которую точно примут!

Проектирование электронного блока в типовом корпусе

Оглавление


Введение

. Теоретическая часть

.1 Источники питания

.2 Основные элементы источников питания

1.3 Стабилизаторы напряжения

1.4 Источники тепла и тепловые воздействия

1.5 Способы охлаждения электронных блоков

2. Методика расчета размеров корпуса и расчет требуемых параметров трансформатора

.1 Расчет силового трансформатора

.1.1 Расчет трансформатора с магнитопроводом типа ОЛ

.1.2 Расчет трансформатора с магнитопроводом типа Ш

.2 Сравнение и анализ результатов

. Выбор размеров корпуса электронного блока с принудительным охлаждением

3.1 Расчёт объема и площадей элементов

.2 Расчёт размеров корпуса

. Расчет охлаждающей системы

5. Расчет площади радиатора проходного транзистора блока питания

. Расчет параметров электронного блока с учётом радиатора проходного транзистора

Заключение

Литература

Введение

В данной курсовой работе рассматривается проектирование электронного блока в типовом корпусе минимальных размеров в соответствии с заданными техническими требованиями.

Вид охлаждения - принудительный.

Вид монтажа - печатный.

Размеры корпуса блока и печатных плат - по ГОСТ 28601.3-90.

Тип и число размещаемых элементов - в соответствии с электрической схемой блока питания и перечнем элементов к заданию №3.

Параметры силового трансформатора:

1 = 220 В U2 = 18 В U3 = 18 В= 50 Гц I2 = 0,25 А I3 = 0,3 А

Температура окружающей среды - 20±5ºC.

1. Теоретическая часть

Для обеспечения нормального функционирования электронных устройств, прежде всего, необходимы источники энергии, которые называют источниками питания. Для этой цели в большинстве случаев используют источники постоянного напряжения.

На начальном этапе развития радиоэлектроники в качестве источников питания преимущественно использовались гальванические батареи, основными недостатками которых (особенно при постоянных напряжениях в сотни вольт), являются громоздкость и малый срок службы. Поэтому вскоре были разработаны более совершенные устройства, в которых осуществляется преобразование переменного напряжения в постоянное. Удобство таких источников питания связано с тем, что в них применяют низкочастотное переменное напряжение так называемой промышленной частоты. Однако развитие транзисторной электроники, особенно маломощных переносных устройств, для питания которых нужны низковольтные маломощные источники, снова вызвало интерес к гальваническим батареям. Сейчас используют оба типа источников питания: в переносной аппаратуре - малогабаритные гальванические батареи и аккумуляторы, а в стационарной аппаратуре - источники питания, в которых происходит преобразование переменного напряжения промышленной частоты в постоянное.

1.1    Источники питания

Источник питания - это устройство, предназначенное для снабжения электронной аппаратуры электрической энергией и представляющее собой комплекс приборов и аппаратов, вырабатывающих электрическую энергию и преобразующих ее к виду, необходимому для нормальной работы каждого узла электронной аппаратуры.

Рассмотрим общую схему функционирования источника питания (см. рис.1.1). Электрическая энергия, вырабатываемая первичными источниками, не всегда может быть непосредственно использована для питания электронной аппаратуры, поэтому следующим элементом является источник вторичного электропитания - устройство, в котором происходит преобразование одного вида электрической энергии в другой. Если источник первичного питания создает переменное напряжение, то основными узлами источников вторичного питания являются: выпрямитель, сглаживающий фильтр, стабилизаторы первичного и выходного напряжения.

Рис.1.1. Схема источника питания

Основными параметрами источника питания являются номинальное значение выходного напряжения и выходное сопротивление. Номинальным значением постоянного напряжения Uном источника питания называют условное, указываемое в технической документации значение постоянного напряжения, относительно которого устанавливают и определяют его отклонения. Выходное сопротивление принимают равным внутреннему сопротивлению эквивалентной схемы источника питания.

Следующим важным параметром является максимальная мощность, отдаваемая источником питания:

max=Uном·Imax.

На выходе источников вторичного питания никогда не бывает идеального постоянного напряжения. Кроме постоянной такое напряжение всегда содержит и переменную составляющую. Последнюю называют напряжение пульсации, а параметром, характеризующим отклонение выходного напряжения от постоянного, служит коэффициент пульсации. Используют два определения этого коэффициента.

Коэффициентом напряжения по амплитудному значению называют отношение амплитуды напряжения пульсации к номинальному значению постоянной составляющей напряжения:

KпА=ΔU/Uo=Umax-Umin/Umax+Umin,

который используют, когда имеется возможность визуально наблюдать форму выходного напряжения источника питания.

Коэффициентом пульсации по действующему значению называют отношение действующего значения напряжения пульсации к номинальному значению постоянной составляющей напряжения:

Кп=Uп/Uo.

Наконец, в связи с тем что источники питания принадлежат к мощным (силовым) устройствам, ещё одним важным их параметром является коэффициент полезного действия.

Кроме основных электрических параметров каждый источник питания характеризуется рядом конструкторско-экономических показателей, к которым, в первую очередь, относятся габариты, масса и стоимость.

1.2 Основные элементы источников питания


Основным источником питания электронных устройств в настоящее время являются выпрямительные устройства, преобразующие переменный ток в ток одного направления, называемый выпрямленным. Постоянное напряжение или ток, получаемые от выпрямителей, по различным причинам могут изменяться, что может нарушить нормальную работу различных устройств, питание которых осуществляется от выпрямительных устройств. Основным причинами нестабильности является изменение напряжения сети и изменение тока нагрузки. Для обеспечения постоянного напряжения на сопротивлении нагрузки применяют стабилизаторы напряжения.

Стабилизатором напряжения называется устройство, поддерживающие автоматически и с требуемой точностью напряжение на нагрузке при изменении дестабилизирующих факторов в обусловленных пределах.

Не смотря на применение сглаживающих фильтров, напряжение на сопротивлении (сглаживающих фильтров) нагрузки выпрямителя может изменяться. Это объясняется тем, что сглаживание пульсаций фильтром уменьшается только переменная составляющая выпрямленного напряжения, а величина постоянной составляющей может изменяться и при колебаниях напряжения сети, и при изменении тока нагрузки.

Существует два принципиально разных метода стабилизации напряжения: параметрический и компенсационный.

Сущность компенсационного метода стабилизации сводится к автоматическому регулированию выходного напряжения.

В компенсационных стабилизаторах производится сравнение фактической величины входного напряжения с его заданной величиной и в зависимости от величины и знака рассогласования между ними автоматически осуществляется корректирующее воздействие на элементы стабилизатора, направленное на уменьшение этого рассогласования.

1.3 Стабилизаторы напряжения


Стабилизатором напряжения называют устройство, автоматически обеспечивающее поддержание напряжения нагрузочного устройства с заданной степенью точности.

Напряжение нагрузочного устройства может сильно изменяться не только при изменениях нагрузочного тока IH, но и за счет воздействия ряда дестабилизирующих факторов. Одним из них является изменение напряжение промышленных сетей переменного тока. В соответствии с ГОСТ 5237 - 69 это напряжение может отличаться от номинального значения в пределах от +5 до -15%. Другими дестабилизирующими факторами являются изменение температуры окружающей среды, колебание частоты тока и т.д. Применение стабилизаторов диктуется тем, что современная электронная аппаратура может нормально функционировать при нестабильности питающего напряжения 0,1 - 3%, а для отдельных функциональных узлов электронных устройств нестабильность должна быть еще меньше.

Стабилизаторы классифицируют по ряду признаков:

·        по роду стабилизируемой величины - стабилизаторы напряжения и тока;

·        по способу стабилизации - параметрические и компенсационные стабилизаторы.

В настоящее время широкое применение получили компенсационные стабилизаторы, которые подразделяют на стабилизаторы непрерывного и импульсного регулирования. При параметрическом способе стабилизации используют некоторые приборы с нелинейной вольтамперной характеристикой, имеющий пологий участок, где напряжение мало зависит от дестабилизирующих факторов. К таким приборам относят стабилитроны, бареттеры, лампы накаливания и др. при компенсационном способе стабилизации постоянство напряжения обеспечивается за счет автоматического регулирования выходного напряжения источника питания. Это достигается за счет введения отрицательной обратной связи между выходом и регулирующим элементом, которое изменяет свое сопротивление так, что компенсирует возникшее отклонение выходной величины.

Основным параметром, характеризующим качество работы всех стабилизаторов, является коэффициент стабилизации. Как отмечалось определяющими дестабилизирующими факторами, из-за которых изменяются выходные величины стабилизатора, являются входное напряжение стабилизатора UВХ и нагрузочный ток IН.

Для стабилизатора напряжения коэффициент стабилизации равен

стU=(ΔUВХ/UВХ)/(ΔUВЫХ/UВЫХ),

где ΔUВХ и ΔUВЫХ - приращение входного и выходного напряжений, а UВХ и UВЫХ - номинальные значения входного и выходного напряжений.

Параметрический стабилизатор

С помощью параметрического стабилизатора, в котором применяется полупроводниковый стабилитрон Д, можно получать стабилизированное напряжение от нескольких вольт до нескольких сотен вольт при токах от единиц миллиампер до единиц ампер. Если необходимо стабилизировать напряжение менее 3 В, то вместо стабилитронов используют стабисторы.

Стабилитрон в параметрическом стабилизаторе включают параллельно нагрузочному резистору RH. Последовательно со стабилитроном для создания требуемого режима работы включают балластный резистор RВ.

Для нормальной работы параметрического стабилизатора сопротивление резистора RВ должно быть таким, чтобы его вольт - амперная характеристика пересекла вольт - амперную характеристику стабилитрона в точке, соответствующей номинальному току стабилитрона и Iст.ном, значение которого указано в паспортных данных стабилитрона.

Коэффициент стабилизации параметрического стабилизатора напряжения на полупроводниковом стабилитроне может достигать 30 - 50.

Компенсационный стабилизатор

Компенсационные стабилизаторы напряжения обладают более высоким коэффициентом стабилизации и меньшим выходным сопротивлением по сравнению с параметрическими. Их принцип работы основан на том, что изменения напряжения на нагрузке передается на специально вводимый в схему регулирующий элемент, препятствующий изменению напряжения UН.

Регулирующий элемент может быть включен либо параллельно нагрузке, либо последовательно с ней. В зависимости от этого различают два типа компенсационных стабилизаторов напряжения: параллельные и последовательные

Воздействие на регулирующий элемент в обоих типах стабилизаторов осуществляется управляющей схемой, в которую входят усилитель постоянного тока У и источник опорного напряжения ИОН. С помощью ИОН производят сравнения напряжения на нагрузке с опорным напряжением. Функция усилителя сводится к усилению разности сравниваемых напряжений и подаче усиленного сигнала непосредственно на регулирующий элемент.

В параллельном компенсационном стабилизация напряжения на нагрузке достигается, как и в параметрическом стабилизаторе, изменением напряжения на балластном резисторе RВ путем изменения тока регулирующего элемента. Если принять входное напряжение стабилизатора неизменным, то постоянству напряжения на нагрузке будет соответствовать постоянство напряжения на балластном резисторе.

В последовательном стабилизаторе регулирующий элемент включен последовательно с нагрузкой. Стабилизация напряжения нагрузки осуществляется путем напряжения на регулирующем элементе. Ток регулирующего элемента здесь равен току нагрузки.

В соответствии с рассмотренным принцип действия компенсационных стабилизаторов постоянного напряжения основан на изменении сопротивления регулирующего элемента. Наличие регулирующего элемента обуславливается неизбежной потерей в стабилизаторе.

Также существую компенсационные стабилизаторы напряжения с импульсным регулированием. Принцип действия такого стабилизатора заключается в преобразовании регулирующим элементом постоянного напряжения питании UП в последовательность периодических импульсов прямоугольной формы .

Основными преимуществами, которыми обладают компенсационные стабилизаторы напряжения с импульсным регулированием, являются: высокий КПД, меньшая масса и габариты по сравнению с другими компенсационными стабилизаторами.

Недостатками являются относительная сложность схемы, повышенный уровень пульсаций выходного напряжения, невысокие динамические характеристики.

.4 Источники тепла и тепловые воздействия

Тепловые воздействия на электронные устройства имеют место при изготовлении, транспортировании, хранении и эксплуатации устройств.

В условиях транспортирования тепловые воздействия возникают из-за изменения температуры окружающей среды. Температура окружающей среды может изменяться в пределах от -60 до +40 °С. В рабочих условиях изменение температуры составляет 15 - 25 °С, но появляются внутренние источники тепла. В результате внутреннего тепловыделения температура внутри устройства становится выше температуры окружающей среды, появляется неравномерность температурного поля внутри устройства.

Изменения температуры вызывают изменения электрических и механических свойств материалов и характеристик электронных элементов. При нагревании возникают обратимые и необратимые эффекты, приводящие к нестабильности параметров и снижению надёжности.

Обеспечение нормативных тепловых режимов электронных устройств, т.е. такого распределения температур в блоке, при котором все элементы работают в условиях, соответствующих требованиям ТУ, является одной из главных задач, решаемых при конструировании.

Основной способ обеспечения требуемого теплового режима заключается в создании теплового динамического равновесия, при котором количество рассеиваемой теплоты равняется выделяемой энергии. Такое состояние называется установившимся тепловым режимом.

По тепловым характеристикам электронные элементы делят на две группы:

1 элементы, выделяющие тепло (резисторы, транзисторы, трансформаторы, интегральные схемы, электронные и осветительные лампы);

2 элементы, практически не выделяющие тепла (конденсаторы, катушки индуктивности, терморезисторы, кварцевые резонаторы).

Элементы, не выделяющие тепла, нагреваются от расположенных рядом тепловыделяющих элементов.

В электронных устройствах практически вся потребляемая мощность превращается в тепло. На полезные электрические, световые или другие виды сигналов приходится не более 1% от потребляемой мощности. Исключение составляют вторичные источники питания, коэффициент полезного действия (КПД) которых может достигать 70%.

Изменения температуры влияют на свойства конструкционных материалов, размеры элементов конструкции и характеристики электронных изделий.

.5 Способы охлаждения электронных блоков

В настоящее время применяют следующие способы охлаждения:

· естественное воздушное;

· принудительное воздушное;

· жидкостное;

· испарительное.

В блоках с воздушным охлаждением применяют корпуса двух видов:

· герметичные;

· перфорированные.

Перфорированным называют корпус, имеющий отверстия для воздухообмена между внутренней и внешней средами блока.

К естественному способу охлаждения относятся:

· охлаждение воздухом наружной поверхности корпуса блока;

· перенос внутренней средой тепла от нагретой зоны к корпусу блока;

· вентиляция естественно проходящим через полость блока окружающим воздухом.

Причиной движения воздушных потоков при естественном охлаждении является подъёмная сила, возникающая из-за разности плотностей холодного и нагретого воздуха.

Принудительное охлаждение реализуется обдувом наружной поверхности корпуса блока, перемешиванием воздуха внутри герметичного корпуса или продувкой внутренней нагретой зоны блока внешним воздухом.

Принудительная вентиляция может быть: приточной, вытяжной и приточно-вытяжной. Приточная вентиляция обеспечивает лучшие условия работы и более высокий КПД вентилятора, так как в этом случае вентилятор работает в более холодном и более плотном воздухе. Недостатком приточной вентиляции является подогрев охлаждающего воздуха вентилятором.

Жидкостное охлаждение почти всегда является принудительным и обеспечивает более высокую эффективность охлаждения за счёт больших теплоёмкости и теплопроводности охлаждающей среды. Недостатком жидкостного охлаждения является сложность реализации.

Испарительные системы эффективней жидкостных вследствие высокой теплоёмкости парообразования. Испарительное охлаждение позволяет стабилизировать температуру на уровне температуры кипения жидкости при высоких тепловых нагрузках. В электронных устройствах испарительные системы применяют в виде тепловых труб, имеющих герметичный металлический корпус круглой или чаще плоской формы, частично заполненный жидким теплоносителем (спирт, фреон, органические соединения с низкой температурой кипения). Для снижения температуры кипения теплоносителя внутри трубы создают пониженное давление.

В нагреваемой части тепловой трубы жидкость испаряется, пар, попадая на холодную часть тепловой трубы, конденсируется. Движение пара от горячего конца к холодному происходит за счёт давления. Возвращение жидкости от холодного конца к горячему происходит за счёт капиллярности специального фитиля в тепловой трубе. Тепловая труба длиной 200 мм и сечением 10´3 мм обеспечивает отвод 18 Вт при разности температур 1,5 - 1,8 оС. Способ охлаждения определяет конструкцию и габариты блока. Начальный выбор способа охлаждения может быть основан на расчете удельной среднеповерхностной тепловой нагрузки нагретой зоны. При температуре перегрева нагретой зоны 20 - 30 оС в стандартном блоке типовой конструкции при нормальном атмосферном давлении можно принять следующие допустимые значения удельной среднеповерхностной тепловой нагрузки (Вт/см2×К) нагретой зоны в зависимости от способа охлаждения:

естественное:

в герметичном корпусе£ 2×10-3;

в перфорированном корпусе£ 5×10-3;

принудительное воздушное£ 0,02;

жидкостное£ 1;

испарительное£ 10.

Независимо от выбранного способа, главной функцией системы охлаждения является перенос тепловой энергии от нагретой зоны в окружающую среду. Физический перенос теплоты от нагретых тел к холодным осуществляется теплопроводностью, тепловым излучением и тепловой конвекцией.

2. Методика расчета размеров корпуса и расчет требуемых параметров трансформатора

Несущая конструкция электронного блока должна выполнять следующие функции:

w  обеспечение электрических связей в соответствии с электрической принципиальной схемой;

w  обеспечение механического закрепления или перемещения элементов и передачи механических усилий на элементы;

w  защиту изделия и отдельных элементов от внешних механических, тепловых, климатических или электромагнитных воздействий;

w  обеспечение конструктивной и электрической совместимости с другими устройствами систем автоматизации и с окружающей средой.

Способность качественного выполнения функций, возложенных на конструкцию блока, обеспечивается соответствующим выбором формы, размеров и материалов, используемых в несущей конструкции.

Для электронных устройств систем управления и средств автоматизации необходимо использовать типовые конструкции, размеры которых должны соответствовать требованиям стандартов.

Требуемый объём корпуса зависит от объёма элементов, которые должны быть размещены в корпусе, и от способа охлаждения блока, но для выбора способа охлаждения нужно знать размеры блока и схему размещения элементов в блоке. Поэтому выбор размеров и способа охлаждения приходится делать в несколько итераций.

Сначала следует произвести компоновку элементов и проверку теплового режима блока в герметичном корпусе. Для этого нужно рассчитать требуемые объём корпуса и площадь печатных плат. После выбора размеров блока и печатных плат необходимо разработать эскиз размещения печатных плат в блоке и рассчитать размеры охлаждающего потока, необходимые для расчёта температурного режима блока. Затем следует рассчитать температурный режим блока и теплонагруженных элементов. Если температура воздуха в герметичном блоке получится выше допустимой, то необходимо произвести расчёт температурного режима для блока в перфорированном корпусе, и если требуемый температурный режим опять не обеспечится, следует произвести перекомпоновку блока под принудительное воздушное охлаждение и подобрать вентилятор с необходимой производительностью.

.1      Расчет силового трансформатора

Проектирование силового трансформатора требует сложного многофакторного анализа влияния свойств выбираемых материалов и технических решений на электрические параметры трансформатора. C целью снижения трудоемкости вычислений для некоторых расчетов была использована программа Tr.exe.

Процесс проектирования силового трансформатора предусматривает выполнение следующих действий:

• выбор типа и вида магнитопровода, подбор материала для его изготовления;

• расчет размеров магнитопровода;

• выбор конструкции и числа катушек, определение порядка намотки обмоток;

• расчет диаметра проводов по обмоткам;

• расчет числа витков по обмоткам;

• выбор материала и расчет толщины изоляции;

• расчет индуктивности первичной обмотки;

• расчет массы трансформатора;

• расчет тока холостого хода;

• расчет коэффициента полезного действия;

• проверка размещаемости обмоток в окне магнитопровода;

• расчет габаритов трансформатора;

• расчет стоимости трансформатора.

Исходные данные:

U1 = 220 В,U2 = 18 В, U3 = 18 В,

f = 50 Гц,I2 = 0,25 A, I3 = 0,3 A.

Решение:

Суммарная мощность вторичных обмоток:

 

Исходя из полученного значения мощности (Pв< 100 Вт), рассчитываем предполагаемый КПД по формуле :

 

Мощность первичной обмотки:

 

Ток первичной обмотки:

 

Полная мощность трансформатора:

 

Далее подбираем материал магнитопровода, с учетом минимальных удельных потерь мощности при максимальном значении магнитной индукции.

Выбираем в качестве материала магнитопровода сталь Э320А, удельные потери которой при В = 1,7 Тл. составляют Руд = 1,6 Вт/кг.

Цифра "0" означает холоднокатаную текстурованную сталь с улучшенными магнитными свойствами вдоль направления проката. Если из холоднокатаной текстурованной стали изготовить ленточный магнитопровод с расположением ленты вдоль направления проката, то максимальное значение магнитной индукции можно увеличить на 10%.

Исходная площадь поперечного сечения магнитопровода:

 

В формуле (1) КВ = 1 - коэффициент веса, определяющий массу трансформатора. Выбирая при расчете KВ = 1, мы тем самым выбираем трансформатор с малой площадью сечения магнитопровода и большой площадью окна. При увеличении Kв возрастают площадь сечения магнитопровода, масса магнитопровода и масса трансформатора, но снижается стоимость трансформатора, так как сталь дешевле меди, а при увеличении площади сечения магнитопровода уменьшается число витков обмоток и, следовательно, расход меди. I0 = 3 A/мм2 - плотность тока, выбираем такой для уменьшения массы и габаритов трансформатора и относительно небольших потерь мощности в меди. Следует отметить, что увеличение плотности тока свыше 4 А/мм2 требует расчета теплового режима трансформатора.

Рассмотрим два вида трансформаторов - с броневым (Ш-образным) магнитопроводом и с тороидальным магнитопроводом.

В трансформаторах на Ш-образных магнитопроводах применяют одну катушку и располагают ее на центральном стержне. Такие трансформаторы просты в изготовлении и поэтому имеют относительно низкую стоимость.

Тороидальный магнитопровод типа ОЛ (рисунок 1) позволяет получить минимальные потери в стали, меньшие габариты и меньшие поля рассеивания. Однако, из-за трудности технологического процесса изготовления, трансформатор такого типа имеет бóльшую стоимость по сравнению с трансформаторами на магнитопроводах других типов. Применение ленточных магнитопроводов позволяет снизить потери в стали на 20-30% или увеличить максимальное значение магнитной индукции на 10-15% из-за разных магнитных свойств вдоль и поперек проката для холоднокатаных электротехнических сталей.

.1.1 Расчет трансформатора с магнитопроводом типа ОЛ

Выберем магнитопровод с размерами d = 32 мм, D =50 мм, b = 20 мм.

Исходя из марки стали, выбираем толщину полос, их изоляцию и число: Тпл = 0,25 мм;

В качестве изоляции магнитопровода выбираем оксидную пленку толщиной 0,005мм как наиболее дешевую и тонкую.

Тип = 0,005 мм (окисная пленка);

 

Фактическая площадь поперечного сечения магнитопровода:

 

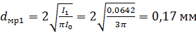
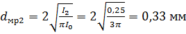
Расчетные значения диаметров проводов по меди:

 

 

 

 

Выбираем фактические значения диаметров проводов из стандартных:

dм1 = 0,16 мм;

dм2 = 0,33 мм;

dм3 = 0,38 мм.

Фактическое значение плотности тока в обмотках:

 

 

 

 

Число витков на 1 В напряжения без учета потерь в меди:

 

Число 104 в формуле (2) берется в результате перевода м2 в см2.

Число витков по обмоткам без учета потерь в меди:

 

 

 

 

Рассчитываем диаметры проводов в изоляции (провода марки ПЭЛ):

 

dиз1 = 0,16 + 0,01 = 0,17 мм

dиз2 = 0,33 + 0,02= 0,35 мм

dиз3 = 0,38+ 0,025 = 0,405 мм

Толщина изоляции для формулы (3) бралась согласно таблице 1.

Таблица 1 Толщина эмалевой изоляции на обмоточных проводах

ПЭЛ

dм, мм

Тиз, мм

< 0,10

0,0075

0,10 - 0,19

0,0100

0,20 - 0,25

0,0125

0,27 - 0,35

0,020

0,38 - 0,69

0,025

0,72 - 0,96

0,030

1,00 - 1,45

0,040

1,50 - 2,10

0,045

> 2,10

0,050


Переходим к выбору межобмоточной и межслойной изоляции.

В качестве изоляции в катушке тороидального трансформатора можно использовать только лакоткань, так как бумажная изоляция будет рваться в процессе ее укладки на кривую поверхность обмотки тороидального трансформатора.

Изоляцию первичной обмотки выбираем исходя из условия обеспечения электрической прочности 4275 В (для сетей 127 - 380 В). Лакоткань ЛШ, толщиной 0,04 мм, плотностью 1,1 г/см3 и пробивной напряженность 32 кВ/мм в 4 слоя обеспечивает пробивное напряжение 5120 В.

Толщина изоляции между двумя соседними вторичными обмотками должна обеспечивать электрическую прочность не менее трехкратного значения суммы амплитуд напряжений соседних обмоток:

 

Шелковая лакоткань толщиной 0,04 мм обеспечивает электрическую прочность 1280 В, что больше требуемых 152,7 В.

Каркас катушки тороидального трансформатора не несет механической нагрузки и не должен выдерживать напряжения 4275 В, так как магнитопровод полностью находится внутри обмотки. В качестве материала каркаса катушки выбираем лакоткань толщиной 0,1 мм. В данном случае каркас нужен только для защиты изоляции провода первичной обмотки от повреждения об острые края магнитопровода.

Межслойная изоляция внутри обмотки должна выдерживать двойную амплитуду межслойного напряжения обмотки с тройным запасом. Толщину межслойной изоляции выбираем одинаковой для всех обмоток по обмотке, имеющей наибольшее напряжение в слое (в нашем случае - U1 = 220 В).

Uмс1 = U1/Nсл1 = 220/4 = 55 В.

 

Выбираем шелковую лакоткань толщиной 0,04 мм.

В качестве изоляции магнитопровода выбираем окисную пленку толщиной 0,005 мм и плотностью 7,5 г/см3 как наиболее дешевую и тонкую.

При расчете тороидального трансформатора следует учитывать, что после намотки каждого слоя длина последующего слоя уменьшается, так как уменьшается диаметр окна. Это требует достаточно большого количества вычислений. С целью снижения трудоемкости, расчеты числа слоев обмоток, сопротивления проводов по обмоткам, числа витков с учетом изоляции и падения напряжения в обмотках, и диаметра окна трансформатора были произведены с помощью программы Tr.exe.

Результаты расчета #1 трансформатора с помощью программы Tr.exe

Магнитопровод ОЛ 32 / 50 - 20 мм Sc = 1,765 см2 Сталь - Э320А

Габариты: Dг·Bг = 57,72 · 29,06 мм Dок = 22,94 мм

КПД = 86,39 % Sc = 1,843 см2 (исходная) Mтр = 0,2736 кгв = 9,9 Вт f = 50 Гц Кв = 1 Мм = 0,07908 кгм = 1,273 Вт B = 1,7 Тл Nп = 35,29 Мс = 0,179 кгс = 0,2864 Вт L1 = 33,84 Гн Тп = 0,25 мм Мик = 0,01209 кг

Руд = 1,6 Вт/кг m = 2000 Тип = 0,005 мм Мип = 0,003431 кг= 20,73 мА Пип = 7,55 г/см3 ( Плёнка окисная )

Тк = 0,1 мм Uк = 3200 В Пк = 1,1 г/см3 ( Лакоткань лш )

Тмс = 1·0,04 мм Uмс = 1280 В Пмс = 1,1 г/см3 ( Лакоткань лш )

Марка провода - ПЭЛ Io = 3 A/мм2 (заданная)

: U = 220 В I = 0,05541 A Io = 2,756 А/мм2 lпр = 205,5 м Nсл = 8= 3135 Dм = 0,16 мм R = 192,7 Ом Мпр = 0,03683 кги = 5120 B Ти = 4·0,04 мм Пи = 1,1 г/см3 ( Лакоткань лш )

: U = 18 В I = 0,25 A Io = 2,923 А/мм2 lпр = 22,49 м Nсл = 2= 289 Dм = 0,33 мм R = 4,956 Ом Мпр = 0,01714 кги = 1280 B Ти = 1*0,04 мм Пи = 1,1 г/см3 ( Лакоткань лш )

: U = 18 В I = 0,3 A Io = 2,645 А/мм2 lпр = 24,84 м Nсл = 2= 289 Dм = 0,38 мм R = 4,129 Ом Мпр = 0,02511 кги = 1280 B Ти = 1·0,04 мм Пи = 1,1 г/см3 ( Лакоткань лш )

Индекс цен 1

Цена нормочаса 84 руб/час

Материалы 43,62 руб

Основная зарплата 49,57 руб

Дополнительная зарплата 16 % 7,932 руб

Отчисления на страхование 40 % 19,83 руб

Общепроизводственные расходы 270 % 133,9 руб

Полная себестоимость 258,8 руб

Накопления 15 % 38,81 руб

Цена без НДС 133,9 руб

НДС 23 % 68,44 руб

Отпускная цена 366 руб

Марка стали - Э320А Изоляция пластин - Плёнка окисная

с = 0,179 кг Цc = 29 руб/кг Сc = 5,192 руб

Тип = 0,005 мм Mип = 0,003431 кг Цип = 62 руб/кг Сип = 0,2127 руб

Тп = 0,25 мм Nп = 35,29 tсбМ = 0,3137 мин CсбМ = 0,4392 руб

Марка провода - ПЭЛ

: Dм = 0,16 мм Мпр = 0,03683 кг Цпр = 332,6 руб/кг Cпр = 12,25 руб

: Dм = 0,33 мм Мпр = 0,01714 кг Цпр = 204,4 руб/кг Cпр = 3,503 руб

: Dм = 0,38 мм Мпр = 0,02511 кг Цпр = 190,7 руб/кг Cпр = 4,788 рубм = 0,07908 кг Цм = 259,8 руб/кг См = 20,54 рубсум = 3713 tнМ = 28,45 мин CнМ = 39,83 рубвыв = 150 мм Цвыв = 4,16 руб/м Свыв = 3,744 рубкат = 1 tсбК = 0,1667 мин CсбК = 0,2333 руб

Тк = 0,1 мм ( Лакоткань лш )к = 0,000827 кг Цмк = 1480 руб/кг Cмк = 1,224 руб

Ти1 = 0,16 мм ( Лакоткань лш )и1 = 0,0025 кг Ци1 = 1480 руб/кг Си1 = 3,7 руб

ТиВ = 0,04 мм ( Лакоткань лш )иВ = 0,001512 кг ЦиВ = 1480 руб/кг СиВ = 2,238 руб

Тмс = 0,04 мм ( Лакоткань лш )мс = 0,007247 кг Цмс = 1480 руб/кг Смс = 10,73 рубвиз = 388,8 tни = 6,48 мин Cни = 9,072 руб

Число слоев в обмотках:

N1 = 8

N2 = 2

N3 = 2.

Число витков с учетом падения напряжения в обмотках:

W1 =3137 витков; W2 = 289 витков; W3 = 289 витков.

Число витков первичной обмотки уменьшается в соответствии с потерями напряжения в первичной обмотке. Число же витков вторичных обмоток, наоборот, увеличивается в соответствии с потерями в каждой обмотке. Размеры трансформатора (рисунок 1):

dок = 23,08мм;

Dг = D + d - dок = 50 + 32 - 23,08 = 58,92 мм

bг = b + d - dок = 20 + 32 - 23,08 = 28,92 мм

Сопротивление проводов по обмоткам:

 

 

 

 

Длина магнитной силовой линии:

 

Масса стали (ρс = 7,88 г/см3):

 

Масса меди в трансформаторе (ρм = 8,93 г/см3):

 

Массу изоляции в трансформаторе рассчитываем аналогично в соответствии с ее длиной, толщиной, шириной и плотностью. Необходимо рассчитать массу изоляции межслойной, межобмоточной, каркаса катушки и изоляции на пластинах магнитопровода.

Масса изоляции:

 

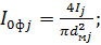
где Mк - масса каркаса катушки;

Mип - масса изоляции на пластинах (полосах) магнитопровода;

Nоб - число обмоток;

Nслj - число слоев j-й обмотки;

Tмoj - толщина изоляции между j-й и (j +1)-й обмотками;

qмoj - плотность изоляции между j-й и (j +1)-й обмотками;

Tмсj - толщина межслойной изоляции j-й обмотки;

qмсj - плотность межслойной изоляции j-й обмотки;

lcрj - средняя длина витка изоляции;

lобj - длина j-й обмотки.

Полная масса трансформатора складывается из масс стали, меди и изоляции:

 

Потери в меди:

 

Потери в стали:

 

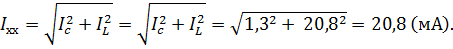
Индуктивность первичной обмотки (для стали Э330 при B = 1,7 Тл µэф ≈ 2000):

 

Ток холостого хода Iхх складывается из тока, определяемого потерями в стали Pс, и реактивной составляющей IL, определяемой индуктивным сопротивлением первичной обмотки:

 

 

 

Фактический КПД трансформатора:

 

Максимальный КПД трансформатора получается при близких значениях потерь в меди и стали. С уменьшением числа витков и плотности тока снижаются потери в меди. С уменьшением сечения магнитопровода по стали и магнитной индукции снижаются потери в стали. Таким образом, в нашем случае для увеличения КПД можно было бы сократить потери в меди, уменьшив число витков путем увеличения диаметра и толщины магнитопровода, и/или уменьшив заданную плотность тока.

Но это бы увеличило массу и габариты трансформатора, а КПД =0,864 вполне приемлем.

Рисунок 2.1.1. Трансформатор с магнитопроводом типа ОЛ.

.1.2 Расчет трансформатора с магнитопроводом типа Ш

Выберем магнитопровод с предполагаемым размером a = 16 мм.

Исходя из марки стали (Э320А), выбираем толщину полос, их изоляцию и число:

Тпл = 0,25 мм;

Тип = 0,005 мм (окисная пленка);

Sc=5,48см2

Число пластин:

 

Требуемая ширина полос:

 

Расчетные значения диаметров проводов по меди:

dмр1 = 0, 181 мм;

dмр2 = 0,326 мм;

dмр3 = 0,357 мм.

Выбираем фактические значения диаметров проводов из стандартных:

dм1 = 0,19 мм;

dм2 = 0,33 мм;

dм3 = 0,38 мм.

Фактическое значение плотности тока в обмотках:

I0ф1 = 2,98 А/мм2; I0ф2 = 2,923 А/мм2; I0ф3 = 2,645 А/мм2.

Число витков на 1 В напряжения без учета потерь в меди:

 

Число витков по обмоткам без учета потерь в меди:

 

 

 

 

Рассчитываем диаметры проводов в изоляции (провода марки ПЭЛ):

dиз1 = 0,19 + 0,01 = 0,20(мм)

dиз2 = 0,33 + 0,02= 0,35 (мм)

dиз3 = 0,38 + 0,025 = 0,405 (мм)

Переходим к выбору межобмоточной и межслойной изоляции.

Изоляцию первичной обмотки выбираем исходя из условия обеспечения электрической прочности 4275 В (для сетей 127 - 380 В). Самый распространенный и недорогой тип изоляции - конденсаторная бумага. Остановим на ней свой выбор. При пробивной напряженности конденсаторной бумаги 18,8 кВ/мм толщина изоляции должна быть

 

Выбираем конденсаторную бумагу толщиной 0,024 мм; для обеспечения требуемого пробивного напряжения изоляцию первичной обмотки делаем в десять слоев, получая пробивное напряжение 4512 В.

Толщина изоляции между двумя соседними вторичными обмотками должна обеспечивать электрическую прочность не менее трехкратного значения суммы амплитуд напряжений соседних обмоток:

 

 

Таким образом, можно использовать один слой конденсаторной бумаги толщиной 0,010 - 0,024 мм. Однако межобмоточная изоляция вторичных обмоток является наружной изоляцией всей катушки, поэтому для повышения механической прочности наружной изоляции выбираем в качестве межобмоточной изоляции вторичных обмоток конденсаторную бумагу толщиной 0,024 мм в два слоя. Межслойную изоляцию выбираем исходя из большего значения межслойного напряжения, в данном случае это межслойное напряжение первичной обмотки -

Uмс1 = U1/Nсл1 = 220/8 = 27,5 В (Uмс2 = 9 В; Uмс3 = 9 В).

Межслойная изоляция внутри обмотки должна выдерживать двойную амплитуду межслойного напряжения обмотки с тройным запасом:

 

 

Выбираем конденсаторную бумагу толщиной 0,012 мм, что при пробивной напряженности 27 кВ/мм обеспечит электрическую прочность 324 В.

Толщина каркаса должна обеспечивать механическую прочность каркаса катушки и электрическую прочность изоляции между магнитопроводом и обмоткой, наматываемой первой (4275 В). Для обеспечения механической прочности толщина каркаса должна выбираться из условия: не менее двух миллиметров толщины на каждый килограмм веса катушки с обмотками, но не менее 1 мм в любом случае. В качестве материала каркаса выбираем электрокартон. Пробивная напряженность электрокартона равна 8 кВ/мм. Тогда требуемая толщина каркаса по электрической прочности будет равна:

 

Выбираем толщину каркаса 1 мм, что обеспечит электрическую прочность 8000 В.

В качестве изоляции магнитопровода выбираем окисную пленку толщиной 0,005 мм и плотностью 7,5 г/см3 как наиболее дешевую и тонкую.

С целью снижения трудоемкости, расчеты числа слоев обмоток, сопротивления проводов по обмоткам, числа витков с учетом изоляции и падения напряжения в обмотках, и высоты обмоток трансформатора были произведены с помощью программы Tr.exe.

Результаты расчета #2 трансформатора с помощью программы Tr.exe

Магнитопровод ШЛ 16,07 · 34,79 мм Sc = 5,48 см2 Сталь - 320А

Окно (l·h) 40,16 · 16,07 мм hоб = 4,79 мм

Габариты трансформатора: 56,23 · 64,26 · 66,92 мм

КПД = 83,63 % Sc = 1,843 см2 (исходная) Mтр = 0,6994 кгв = 9,9 Вт f = 50 Гц Кв = 1 Мм = 0,05135 кгм = 0,9394 Вт B = 1,7 Тл Nп = 63 Мс = 0,6244 кгс = 0,999 Вт L1 = 10,09 Гн Тп = 0,25 мм Мик = 0,01168 кг

Руд = 1,6 Вт/кг m = 2000 Тип = 0,005 мм Мип = 0,01196 кг= 69,53 мА Пип = 7,55 г/см3 ( Плёнка окисная )

Тк = 1 мм Uк = 8000 В Пк = 1 г/см3 ( Электрокартон )

Тмс = 1·0,012 мм Uмс = 324 В

Пмс = 0,97 г/см3 ( Бумага конденсаторная )

Марка провода - ПЭЛ Io = 3 A/мм2 (заданная)

: U = 220 В I = 0,08448 A Io = 2,98 А/мм2 lпр = 119,9 м Nсл = 8= 1030 Dм = 0,19 мм R = 82,34 Ом Мпр = 0,03029 кги = 4512 B Ти = 10·0,024 мм

Пи = 0,97 г/см3 ( Бумага конденсаторная)

: U = 18 В I = 0,25 A Io = 2,923 А/мм2 lпр = 11,51 м Nсл = 2= 90 Dм = 0,33 мм R = 2,622 Ом Мпр = 0,008776 кги = 902,4 B Ти = 2·0,024 ммПи = 0,97 г/см3 ( Бумага конденсаторная)

: U = 18 В I = 0,3 A Io = 2,645 А/мм2 lпр = 12,15 м Nсл = 2= 90 Dм = 0,38 мм R = 2,087 Ом Мпр = 0,01229 кги = 902,4 B Ти = 2·0,024 ммПи = 0,97 г/см3 ( Бумага конденсаторная)

Расчёт не выполнен

Индекс цен 1

Цена нормочаса 84 руб/час

Материалы 31,55 руб

Основная зарплата 7,136 руб

Дополнительная зарплата 16 % 1,142 руб

Отчисления на страхование 40 % 2,854 руб

Общепроизводственные расходы 270 % 19,27 руб

Полная себестоимость 66,44 руб

Накопления 15 % 9,966 руб

Цена без НДС 19,27 руб

НДС 23 % 17,57 руб

Отпускная цена 93,98 руб

Марка стали - Э320А Изоляция пластин - Плёнка окисная

с = 0,6244 кг Цc = 29 руб/кг Сc = 18,11 руб

Тип = 0,005 мм Mип = 0,01196 кг Цип = 62 руб/кг Сип = 0,7418 руб

Тп = 0,25 мм Nп = 63 tсбМ = 0,84 мин CсбМ = 1,176 руб

Марка провода - ПЭЛ

: Dм = 0,19 мм Мпр = 0,03029 кг Цпр = 294,1 руб/кг Cпр = 8,908 руб

: Dм = 0,33 мм Мпр = 0,008776 кг Цпр = 204,4 руб/кг Cпр = 1,794 руб

: Dм = 0,38 мм Мпр = 0,01229 кг Цпр = 190,7 руб/кг Cпр = 2,343 рубм = 0,05135 кг Цм = 254 руб/кг См = 13,04 рубсум = 1210 tнМ = 3,624 мин CнМ = 5,074 рубвыв = 150 мм Цвыв = 4,16 руб/м Свыв = 3,744 рубкат = 1 tсбК = 0,25 мин CсбК = 0,35 руб

Тк = 1 мм ( Электрокартон )к = 0,009367 кг Цмк = 27,6 руб/кг Cмк = 0,2585 руб

Ти1 = 0,24 мм ( Бумага конденсаторная )и1 = 0,001171 кг Ци1 = 62,4 руб/кг Си1 = 0,07309 руб

ТиВ = 0,048 мм ( Бумага конденсаторная )иВ = 0,0005092 кг ЦиВ = 62,4 руб/кг СиВ = 0,03178 руб

Тмс = 0,012 мм ( Бумага конденсаторная )мс = 0,0006341 кг Цмс = 62,4 руб/кг Смс = 0,03957 рубиз = 23 tни = 0,3833 мин Cни = 0,5366 руб

Число слоев в обмотках:

N1 = 8; N2 =2; N3 = 2.

Число витков с учетом падения напряжения в обмотках:

W1 = 1029,5 витков; W2 = 90 витков; W3 = 90 витков.

Число витков первичной обмотки уменьшается в соответствии с потерями напряжения в первичной обмотке. Число же витков вторичных обмоток, наоборот, увеличивается в соответствии с потерями в каждой обмотке.

Размеры трансформатора:

lок = 2,5a = 40,163 мм;hок = a = 16,065 мм;

hоб = 4,791 мм;

lг = lок + а = 56,163 мм;hг = 2(hок + а) = 64,26 мм;

bг = 2hоб+b=44,58 мм.

Незаполненная часть окна составляет 11,27 мм, не совсем приемлемо. Изменяем исходное значение размера магнитопровода а, добиваемся приемлемого результата незаполненной части окна. Пересчет делаем с помощью программы Tr.exe. Результаты расчета #3 трансформатора с помощью программы Tr.exe. Магнитопровод ШЛ 11,98 · 17,87 мм Sc = 2,1 см2 Сталь - Э320А, окно (l·h) 29,96 · 11,98 мм hоб = 9,26 мм

Габариты трансформатора: 41,95 ·47,94·41,84 мм

КПД = 84,44 % Sc = 1,843 см2 (исходная) Mтр = 0,2792 кгв = 9,9 Вт f = 50 Гц Кв = 1 Мм = 0,09092 кгм = 1,538 Вт B = 1,7 Тл Nп = 47 Мс = 0,1785 кгс = 0,2856 Вт L1 = 33,58 Гн Тп = 0,25 мм Мик = 0,006332 кг

Руд = 1,6 Вт/кг m = 2000 Тип = 0,005 мм Мип = 0,00342 кг= 20,89 мА Пип = 7,55 г/см3 ( Плёнка окисная )

Тк = 1 мм Uк = 8000 В Пк = 1 г/см3 ( Электрокартон )

Тмс = 1·0,012 мм Uмс = 324 В

Пмс = 0,97 г/см3 ( Бумага конденсаторная )

Марка провода - ПЭЛ Io = 3 A/мм2 (заданная)

: U = 220 В I = 0,05653 A Io = 2,812 А/мм2 lпр = 220,5 м Nсл = 22= 2621 Dм = 0,16 мм R = 213,6 Ом Мпр = 0,03951 кги = 4512 B Ти = 10·0,024 мм

Пи = 0,97 г/см3 ( Бумага конденсаторная )

: U = 18 В I = 0,25 A Io = 2,923 А/мм2 lпр = 26,91 м Nсл = 4= 246 Dм = 0,33 мм R = 6,128 Ом Мпр = 0,02051 кги = 902,4 B Ти = 2·0,024 мм

Пи = 0,97 г/см3 ( Бумага конденсаторная )

: U = 18 В I = 0,3 A Io = 2,645 А/мм2 lпр = 30,57 м Nсл = 5= 246,5 Dм = 0,38 мм R = 5,25 Ом Мпр = 0,0309 кги = 902,4 B Ти = 2·0,024 мм

Пи = 0,97 г/см3 ( Бумага конденсаторная )

Индекс цен 1

Цена нормочаса 84 руб/час

Материалы 28,65 руб

Основная зарплата 13,94 руб

Дополнительная зарплата 16 % 2,231 руб

Отчисления на страхование 40 % 5,577 руб

Общепроизводственные расходы 270 % 37,65 руб

Полная себестоимость 92 руб

Накопления 15 % 13,8 руб

Цена без НДС 37,65 руб

НДС 23 % 24,33 руб

Отпускная цена 130,1 руб

Марка стали - Э320А Изоляция пластин - Плёнка окисная

с = 0,1785 кг Цc = 29 руб/кг Сc = 5,176 руб

Тип = 0,005 мм Mип = 0,00342 кг Цип = 62 руб/кг Сип = 0,2121 руб

Тп = 0,25 мм Nп = 47 tсбМ = 0,6267 мин CсбМ = 0,8773 руб

Марка провода - ПЭЛ

: Dм = 0,16 мм Мпр = 0,03951 кг Цпр = 332,6 руб/кг Cпр = 13,14 руб

: Dм = 0,33 мм Мпр = 0,02051 кг Цпр = 204,4 руб/кг Cпр = 4,192 руб

: Dм = 0,38 мм Мпр = 0,0309 кг Цпр = 190,7 руб/кг Cпр = 5,892 рубм = 0,09092 кг Цм = 255,5 руб/кг См = 23,23 рубсум = 3113 tнМ = 8,383 мин CнМ = 11,74 рубвыв = 150 мм Цвыв = 4,16 руб/м Свыв = 3,744 рубкат = 1 tсбК = 0,25 мин CсбК = 0,35 руб

Тк = 1 мм ( Электрокартон )к = 0,004362 кг Цмк = 27,6 руб/кг Cмк = 0,1204 руб

Ти1 = 0,24 мм ( Бумага конденсаторная )и1 = 0,0007141 кг Ци1 = 62,4 руб/кг Си1 = 0,04456 руб

ТиВ = 0,048 мм ( Бумага конденсаторная )иВ = 0,0003477 кг ЦиВ = 62,4 руб/кг СиВ = 0,0217 руб

Тмс = 0,012 мм ( Бумага конденсаторная )мс = 0,0009081 кг Цмс = 62,4 руб/кг Смс = 0,05667 рубиз = 42 tни = 0,7 мин Cни = 0,98 руб

Число слоев в обмотках:

N1 = 22; N2 =4; N3 =5.

Число витков с учетом падения напряжения в обмотках:

W1 = 2621 витков; W2 = 246 витков; W3 = 246,5 витков.

Размеры трансформатора :

lок = 2,5a = 29,962 мм;hок = a = 11,985 мм;

hоб = 9,262 мм;

lг = lок + а = 41,962 мм;hг = 2(hок + а) = 47,93 мм;

bг = 2hоб+b=48,5 мм.

Незаполненная часть окна составляет 2,7 мм, приемлемо.

Сопротивление проводов по обмоткам:

 

 

 

 

Длина магнитной силовой линии:


Масса стали (ρс = 7,88 г/см3):


Масса меди (ρм = 8,93 г/см3):


Масса изоляции складывается из масс всех использованных типов изоляции:


Полная масса трансформатора складывается из масс стали, меди и изоляции:


Потери в меди:


Потери в стали:


Индуктивность первичной обмотки (для стали Э320А при B = 1,7 Тл µэф ≈ 2000):


Ток холостого хода Iхх складывается из тока, определяемого потерями в стали Iс, и реактивной составляющей IL, определяемой индуктивным сопротивлением первичной обмотки:


Фактический КПД трансформатора:


Рисунок 2.1.2. Трансформатор с магнитопроводом типа Ш

2.2 Сравнение и анализ результатов

Трансформатор с Ш-образным магнитопроводом занимает меньше места на плате по сравнению с трансформатором с магнитопроводом типа ОЛ, однако трансформатор с Ш-образным магнитопроводом имеет большую высоту, поэтому выбрав трансформатор с магнитопроводом типа ОЛ можно сократить расстояние между платами.

Трансформаторы имеют близкие значения масс (0,2792 / 0, 2736 (кг)).

Трансформатор с магнитопроводом типа ОЛ имеет больший КПД (0,86 / 0,84).

Трансформатор с броневым магнитопроводом получился почти в 3 раза дешевле трансформатора с магнитопроводом типа ОЛ.

Исходя из задачи конструирования блока минимальных размеров, выбираем трансформатор с магнитопроводом типа ОЛ.

3. Выбор размеров корпуса электронного блока с принудительным охлаждением

Исходные данные.

Задан набор электронных элементов:

Блок питания:

Диоды:

Диодная матрица КД906А ТТ3.362.126 ТУ - 2 шт.

Конденсаторы:

К50-24-63В-470мкФ ОЖО.464.137 ТУ - 4шт;

К50-24-25В-100мкФ ОЖО.464.137 ТУ - 2 шт;

К50-24-25В-1000мкФ ОЖО.464.137 ТУ - 2 шт;

Резисторы:

- МЛТ-0,5-20 Ом±5%- 4 шт;

МЛТ-0,5-3,6 Ом±5%- 2 шт;

МЛТ-0,125-15 Ом±10%- 2 шт;

Стабилитрон КС175Е аАО.336.109 ТУ- 4 шт.

Транзисторы:

КТ503Г аАО.336.182 ТУ - 1 шт;

КТ502Г аАО.336.182 ТУ - 1 шт;

Трансформатор с магнитопроводом типа ОЛ - 1 шт.

Требуется:

выбрать размеры корпуса блока;

выбрать размеры и число печатных плат;

выбрать тип вентилятора;

разработать компоновку плат и вентилятора в блоке ;

сделать эскиз размещения плат, вентилятора и вентиляционных отверстий;

рассчитать все характерные размеры, необходимые для расчёта теплового режима блока с принудительным охлаждением: lп, Sв, Sзп, Sк, Sп.

.1 Расчёт объема и площадей элементов

Выписываем элементы, размещаемые на печатных платах.

Список элементов, размещаемых на печатных платах.

Для блока питания.

Таблица 1

Тип элемента

Число элементов, шт.

Диодная матрица КД906А ТТ3.362.126 ТУ

2

Конденсатор К50-24-63В-470мкФ

4

Конденсатор К50-24-25В-100мкФ

2

Конденсатор К50-24-25В-1000мкФ

2

Резистор МЛТ-0,5-20 Ом±5%

4

Резистор МЛТ-0,5-3,6 Ом±5%

2

Резистор МЛТ-0,125-15 Ом±10%

2

Стабилитрон КС175Е аАО.336.109 ТУ

4

Транзистор КТ503Г аАО.336.182ТУ

1

Транзистор КТ502Г аАО.336.182ТУ

1

Трансформатор с магнитопроводом типа ОЛ

1


Остальные элементы.

Таблица 2

Тип элемента

Число элементов, шт.

Диод Д104

75

Конденсатор К50-6-25В 500 мкФ

12

Конденсатор К50-6-25В 100 мкФ

48

Конденсатор К50-6-6В 100 мкФ

72

Конденсатор КМ-6-Н90- 0,1 мкФ

9

Конденсатор КСО-1

12

Конденсатор ПМ-1-1000 пФ

42

Микросхема К155

107

Резистор МЛТ-0,5

42

Резистор МЛТ-0,25

186

Резистор МЛТ-0,125

122

Транзистор КТ-315

17


Выписываем габаритные размеры элементов.

Для блока питания.

Таблица 3



Для остальных элементов.

Таблица 4.


Вычисляем объёмы, полные площади поверхности, площади проекции элементов на печатную плату и площади боковой поверхности элементов.

Объёмы и площади элементов.

Таблица 5.

Тип эелемента

Vэл, см3

S эл, см2

Sпр,см2

Sб,см2

N

Диод Д104

0,15

1,76

0,48

0,8

75

Транз. К-315

0,168

2,02

0,21

1,6

17

 МКС К155


0,807

6,125

1,613

2,9

107

МЛТ-0,5


0,14

1,634

0,44

0,72

42

МЛТ-0,25


0,046

0,783

0,21

0,36

186

МЛТ-0,125

0,0081

0,23

0,058

0,11

122

Конден. ПМ-1-1000пФ

0,15

1,76

0,48

0,8

42

КСО-1


0,419

3,66

0,6

2,46

12

КМ-6-6-Н-90-0,1мкФ

0,66

4,71

0,57

3,57

9

К50-6-25В-500мкФ

11,45

30,5

2,54

25,42

12

К50-6-25-100мкФ

3,62

13,06

2,01

9,04

48

К50-6-6В-100мкФ

1,3

6,28

0,87

4,54

72

К50-24-63В-470мкФ

5,652

21,1

0,6

19,9

4

К50-24-25В-100мкФ

0,132

5,84

0,168

5,5

2

К50-24-25В-1000мкФ

5,652

21,1

0,6

19,9

2

МЛТ-0,5


0,14

1,634

0,44

0,72

6

МЛТ-0,125

0,0081

0,23

0,11

2

транз. КТ502

0,11

2,5

0,27

1,96

1

транз. КТ503

0,11

2,5

0,27

1,96

1

стабилитрон КС175

0,15

1,76

0,48

0,8

4

диод. матр. Д906А

0,09

1,32

0,3

0,72

2

трансформатор

76

105,3

26,15

53

1


Расчет параметров электронного блока без учета радиатора проходного транзистора.

В задании требовалось подобрать радиатор для проходного транзистора, однако для выполнения нам необходимо подсчитать Рзуд. Поэтому вначале проведем необходимые вычисления без учета радиатора, а затем сделаем перерасчет.

Расчет необходимого объема корпуса

Суммарный объем, занимаемый элементов блока питания:

 

 

Суммарный объем остальных элементов:

 

Суммарный объем всех элементов:

 

Необходимый объем корпуса при коэффициенте заполнения по объему КV = 0,2:

 

Коэффициент заполнения по объему изначально выбирается исходя из статистики по аналогичным изделиям.

Определяем площадь проекции всех элементов на печатную плату:

 

Для блока питания.

Для того, чтобы уменьшить длину проводников в блоке питания, все его элементы будем располагать на одной плате.

пр. полн. = 0,6·4 + 0,168·2 + 0,6·2 + 0,44·6 + 0,058·2 + 0,27·2 + 0,48·4 +

+ 0,3 ·2 + 26,15·1 = 35,9 см2

Чтобы уместить все элементы блока питания на одной плате

(при КS = 0,3), ее площадь должна быть не менее:

 

Для остальных элементов.

Sпр. полн. = 0,48·75 + 0,21·17 + 1,6·107 + 0,44·42 + 0,21·186 + 0,058·122 + 0,48·42 + 0,6·12 + 0,57·9 + 2,54·12 + 2,01·48 + 0,87·72 = 497,47 см2

Суммарная площадь.

Sпр. полн. 35,9 + 497,47 = 533,3 см2

Так как при естественном воздушном охлаждении охлаждающий поток направлен вертикально вверх, то для повышения эффективности охлаждения печатные платы будем размещать вертикально.

Размеры корпуса и печатных плат выбираем в соответствии с ГОСТ 28601.3-90.

Возьмем плату с минимальными размерами, но с учетом необходимой для размещения всех элементов блока питания площадью:

Нпл = 55,55 + 44,45 ∙ 2 = 143,9 мм;

Впл = 100 + 60 = 160 мм;пл = 1,6  0,2 = 1,6 мм;пл = Hпл ∙ Bпл = 14,39 ∙ 16 = 230,24 см2

При коэффициенте заполнения по площади KS = 0,30 получаем

пл = Sпр.полн / Sпл/ KS = 533,3 / 230,24 / 0,30 = 7,7 плат;

округляем число плат до целого значения и получаем восемь печатных плат размером 143,9´160 мм.

3.2 Расчёт размеров корпуса

Для размещения плат высотой 143,9 мм выбираем блок высотой 4U2. Расчетная высота блока 4U2:

Нк = 88,1 +( 4 - 2)·44,45 = 170 мм.

Длина корпуса (ширина передней панели).

Максимальная высота элемента 45 мм, толщина платы 1,6 мм, а расстояние между платами выбрать 9 мм, то общая длина блока должна быть не менее 444,8 мм

Возьмем частичный блок. Рассчитаем длину частичного блока исходя из шага 5,08 мм. Вычисляем требуемое число шагов n:

 

Минимальное расстояние между самыми высокими элементами печатных плат составляет:

Lмпл =(444,8-(45+1,6)·8)/9=8 мм.

Тогда длина частичного блока:

 

Ширина корпуса.

 

Объем корпуса:

 

Объем блока получился слишком большим. Для уменьшения объема и количества плат, размещаем конденсаторы К-50-6-25В-500 мкФ на плате лежа, а резисторы МЛТ-0,25 и МЛТ-0,5- перпендикулярно плоскости печатной платы. Пересчитываем площади проекции резисторов и конденсаторов.

пр. полн. = 0,48·75 + 0,21·17 + 1,6·107 + 0,21·42 + 0,1·186 + 0,058·122 + 0,48·42 + 8,1·12 + 0,57·9 + 2,54·12 + 2,01·48 + 0,87·72 = 557,35 см2

Sпр. полн. 35,9 + 557,35 = 593,3 см2

Таблица 6.

Тип элемента

Vэл, см3

Sэл, см2

Sпр, см2

Sб, см2

МЛТ-0,5

0,14

1,634

0,21

1,38

МЛТ-0,25

0,046

0,783

0,1

0,66

К50-6-25В-500мкФ

11,45

30,50

8,1

14,3


При коэффициенте заполнения по площади KS = 0,30 получаем

пл = Sпр.полн / Sпл/ KS = 593,3 / 230,24 / 0,30 = 8,5 плат;

Округляем число плат и получаем 9 печатных плат.

Теперь саамы высокий элемент 18 мм, расстояние между платами 9 мм плюс 1,6 мм-толщина платы, то длина блока не менее 257,4 мм.

 

Минимальное расстояние между самыми высокими элементами печатных плат составляет:

Lмпл =(257,4-(18+1,6)·9)/10=8 мм.

Тогда длина частичного блока:

 

Объем корпуса:

 

4. Расчет охлаждающей системы

трансформатор магнитопровод электронный радиатор

Тепловые воздействия на электронные устройства имеют место при изготовлении, транспортировании, хранении и эксплуатации устройств.

Изменения температуры вызывают изменения электрических и механических свойств материалов и характеристик электронных элементов. При нагревании возникают обратимые и необратимые эффекты, приводящие к нестабильности параметров и снижению надежности.

Основной способ обеспечения требуемого теплового режима заключается в создании теплового динамического равновесия, при котором количество рассеиваемой теплоты равняется выделяемой энергии. Такое состояние называется установившимся тепловым режимом.

По тепловым характеристикам электронные элементы делят на две группы:

• элементы, выделяющие тепло (резисторы, транзисторы, трансформаторы, интегральные схемы, диоды);

• элементы, практически не выделяющие тепла (конденсаторы, катушки индуктивности).

Заметим, что элементы, не выделяющие тепла, нагреваются от расположенных рядом тепловыделяющих элементов.

В электронных устройствах практически вся потребляемая мощность превращается в тепло. На полезные электрические, световые или другие виды сигналов приходится не более 1% от потребляемой мощности. Исключение составляют вторичные источники питания, коэффициент полезного действия которых может достигать 70%.

Температурное поле реального электронного блока всегда неоднородно как вследствие неравномерности распределения тепловыделяющих элементов по объему блока, так и вследствие разных условий теплообмена и различной теплопроводности элементов конструкции.

Цель исследования теплового режима состоит в определении температуры воздуха в блоке и температуры поверхности каждого элемента. Требуется найти количественную зависимость температур элементов от мощности, выделяемой в каждом элементе, размеров блока и размещения элементов.

Аналитический расчет температуры всех элементов с учетом их взаимного влияния практически невозможен из-за большого числа факторов, влияющих на процесс теплообмена. При проведении тепловых расчетов используют упрощенные тепловые модели электронных блоков.

Простейшую тепловую модель электронного блока строят на основе замены совокупности реальных нагретых тел одной условной изотермической нагретой зоной.

Изотермическая зона - зона, имеющая одинаковую теплопроводность по всему объему и по всем направлениям. Предполагается, что источники тепла распределены равномерно по всему объему нагретой зоны.

В настоящее время применяют следующие способы охлаждения:

• естественное воздушное;

• принудительное воздушное;

• жидкостное;

• испарительное.

В блоках с воздушным охлаждением применяют корпуса двух видов:

• герметичные;

• перфорированные.

Независимо от выбранного способа, главной функцией системы охлаждения является перенос тепловой энергии от нагретой зоны в окружающую среду.

Физический перенос теплоты от нагретых тел к холодным осуществляется тремя путями:

• теплопроводностью - передачей теплоты внутри одного тела или между телами, находящимися в контакте;

• тепловым излучением - передачей тепловой энергии в виде электромагнитных колебаний;

• теплопередача конвекцией, происходящая в зоне соприкосновения жидкости или газа с нагретыми или холодными поверхностями твердого тела.

Перфорированным называют корпус, имеющий отверстия для воздухообмена между внутренней и внешней средами блока.

Причиной движения воздушных потоков при естественном охлаждении является подъемная сила, возникающая из-за разности плотностей холодного и нагретого воздуха.

Расчет параметров нагретой зоны

Площадь поверхности корпуса:

 

 

Полная площадь поверхности элементов блока питания:

 

Полная площадь поверхности остальных элементов:

 

 

Суммарная площадь поверхности всех тепловыделяющих элементов:

 

Полная площадь поверхности тепловыделяющих элементов блока питания:

+

 

Полная площадь поверхности остальных тепловыделяющих элементов:

 

Суммарная площадь поверхности всех тепловыделяющих элементов:

 

Суммарная площадь проекции тепловыделяющих элементов блока питания на плату:

 

 

Суммарная площадь проекции остальных тепловыделяющих элементов на плату:

 

 

Суммарная площадь проекции всех тепловыделяющих элементов на плату:

 

Суммарная площадь боковой поверхности всех тепловыделяющих элементов:

 

Суммарная площадь боковой поверхности тепловыделяющих элементов блока питания:

 

Суммарная площадь боковой поверхности остальных элементов:

 

За основу условного модуля примем печатную плату и представим его в виде прямоугольного параллелепипеда, длина и высота которого совпадают с высотой и шириной печатной платы соответственно:

Нм = Hпл = 143,9 мм;

Вз = Bпл = 160,0 мм.

Длину условного модуля определим из условия равенства площадей боковых поверхностей тепловыделяющих элементов и боковых поверхностей условного модуля:

 

 

Тогда длина условного модуля для платы с блоком питания:

 

А длина условного модуля для остальных плат:

 

Расстояние между условными модулями:

 

Длина зоны:

Lз = Lк - 2 ∙ Lмм =259 - 2 ∙ 14 = 231 (мм).

Суммарный объем всех элементов нагретой зоны, включая объем печатных плат:


В блоке получается семь параллельных потоков. При установке вентилятора на задней стенке и параллельном размещении модулей в потоке получим:

п = Hз+Вз (при Lм > Hз)п =160+143,9 = 303,9 мм

Рассчитаем площадь поперечного сечения охлаждающего потока при параллельном размещении модулей в потоке.

п = HкLк - (Vэ + Vпл)/Bзп = 17·25,9 - (648,5 + 10·14,39·16·0,16)/160 = 434 см2

Расчет теплового баланса блока при принудительном охлаждении.

Для упрощения расчёта примем следующие ограничения:

охлаждение блока происходит только за счёт конвективного теплообмена с охлаждающей средой. Передачей тепла за счёт излучения и теплопроводности пренебрегаем;

тепловыделяющие элементы распределены по объёму блока равномерно;

температура воздуха в нагретой зоне увеличивается пропорционально расстоянию от входа потока в нагретую зону.

Из последнего ограничения следует равенство

 ,

где Тп - средняя температура охлаждающего потока; Твых - температура воздуха на выходе из нагретой зоны; Тс - температура воздуха на входе в нагретую зону.

Мощность, передаваемая нагретой зоной охлаждающему потоку, определяется уравнением теплопередачи конвекцией

Рзп = aкз - Тп)Sзт ,

где aк - коэффициент теплопередачи конвекцией, Вт/(м2×К); Sзт - площадь тепловыделяющей поверхности нагретой зоны, м2; ТЗ - среднеповерхностная температура нагретой зоны, К.

Мощность, которую может вынести охлаждающей поток, определяется его теплоёмкостью:

Рп = qпСвGпвых - Тс) ,

где Gп - объёмный расход воздуха, м3/c; Св = 103 - удельная теплоёмкость воздуха, Дж/кг×К; qП = 353/Тп - плотность воздуха при температуре потока, кг/м3.

Мощность, рассеиваемая в блоке, определяется из условия баланса этих двух уравнений

Рп = Рзп = Рб.

В реальном блоке всегда устанавливаются такие Тз, Тп и Твых, при которых выполняется

Рб = Рзп = Рп.

Нам надо рассчитать Gп - объёмный расход воздуха. Это необходимо для того чтобы определить оптимальные параметры вентилятора. Но сначала рассчитаем площадь и размеры вентиляционных отверстий.

Возможны три варианта размещения модулей в блоке: параллельно боковой стенке блока; параллельно передней стенке блока; горизонтально. Вариант размещения модулей обозначим через параметр Мод, который может принимать три значения: Б, П и Г соответственно. Мы, как уже обговаривалось выше, располагаем платы перпендикулярно боковой стенке, поэтому Мод = Б.

Отверстия, расположенные ниже средней высоты корпуса (Hк/2), будем считать нижними, выше - верхними.

Чем больше площадь вентиляционных отверстий, тем эффективней происходит охлаждение блока, но тем больше пыли попадает внутрь блока.

Похожие работы на - Проектирование электронного блока в типовом корпусе

 

Не нашли материал для своей работы?
Поможем написать уникальную работу
Без плагиата!
Без нейросетей!