Прибор для мониторинга напряжения питающей сети

  • Вид работы:
    Отчет по практике
  • Предмет:
    Информатика, ВТ, телекоммуникации
  • Язык:
    Русский
    ,
    Формат файла:
    MS Word
    211,88 Кб
  • Опубликовано:
    2013-03-21
Вы можете узнать стоимость помощи в написании студенческой работы.
Помощь в написании работы, которую точно примут!

Прибор для мониторинга напряжения питающей сети

Министерство образования Республики Беларусь

Учреждение образования

«Белорусский государственный университет информатики и радиоэлектроники»

Институт информационных технологий

Кафедра радиоэлектронных средств






ОТЧЕТ

по преддипломной практике


Исполнитель:

Студент 4 курса МИКПРЭС

группа 980222

Тарасевич А.А.

Руководитель практики

от организации, зам. Директора

Каркоцкий Г.Ф


Минск 2013 г

Содержание

Введение

. Анализ литературно-патентных исследований

. Разработка структурной схемы

.1 Анализ структурных вариантов и выбор среди них актуальных

.2 Формирование технических требований к структурным компонентам

.2.1 Устройство адаптации

.2.2 Устройство обработки первичной информации

.2.3 Устройство управления

.2.4 Устройство регистрации информации

.2.5 Устройство трансляции данных

.2.6 Устройство отображения информации

.2.7 Устройство модификации режимов работы

.2.8Устройство питания

.2.9 Устройство гальванического разделения

. Разработка принципиальной схемы

.1 Расчет и выбор элементов входных цепей

.1.1 Схемы защиты измерительного канала

.1.2 Нормализатор входных сигналов

.1.3 Фильтр низких частот

.3 Выбор контроллеров

.4 Выбор устройства индикации

.5 Выбор клавиатуры

.6 Окончательный расчет электронных узлов

Заключение

Список использованных источников

ВВЕДЕНИЕ

устройство электронный измерительный индикация

С уровнем развития энергетики часто связывают состояние промышленного производства, уровень жизни населения и общее экономическое благосостояние государства.

Электроснабжение характеризуется надежностью и качеством. К понятию качества в первую очередь относится качество электроэнергии, на которое влияют различные нарушения и искажения формы питающего напряжения. Эти нарушения могут поступать из энергосистемы: например, грозовые импульсы, перенапряжения вследствие коммутации участков электрической сети, провалы и отклонения напряжения во время переключения потребителей на другие источники питания.

Искажения в электрическую систему нередко вносят и сами потребители с резкопеременным или нелинейным характером нагрузки: промышленные предприятия, электрический транспорт, всевозможные преобразователи и т. д.

Во многих странах приняты государственные стандарты, описывающие какой должна быть качественная электроэнергия. За рубежом КЭ рассматривается как составляющая более широкой проблемы электромагнитной совместимости.

Под электромагнитной совместимостью понимают способность оборудования нормально функционировать в его электромагнитной среде, не создавая недопустимых электромагнитных помех для любого другого оборудования, функционирующего в той же среде.

В России проблеме качества электроэнергии посвящен ГОСТ 13109-97 «Электрическая энергия. Совместимость технических средств электромагнитная. Нормы качества электрической энергии в системах электроснабжения общего назначения" [1]. Данный стандарт определяет так называемые показатели качества электроэнергии - количественные характеристики, описывающие КЭ.

На первый взгляд, все необходимые показатели можно получить, используя обычные в измерительной практике приборы: вольтметры, частотомеры, спектроанализаторы. В результате, для оценки КЭ всего на одном объекте, необходимо иметь целую лабораторию. Но есть другой подход к решению данной задачи - специальные приборы - измерители ПКЭ.

На мировом рынке измерительной техники представлено достаточно большое число разнообразных измерителей ПКЭ. Их производством занимаются такие известные зарубежные фирмы как LEM (Швейцария), Fluke (США), Voltech (Англия), отечественные - Интехэнерго-Информ (г. Москва), НПП Марс-Энерго (г. Санкт-Петербург), Парма (г. Санкт-Петербург), НЦ Линвит (г. Москва) и другие. Недостатком всех существующих на сегодняшний день решений является их высокая цена, у зарубежных приборов - еще и отсутствие согласования с отечественным стандартом.

Данный дипломный проект посвящен разработке серии измерителей ПКЭ, удовлетворяющих требованиям стандарта [1] и имеющих при этом невысокую цену.

1. Анализ литературно-патентных исследований

На мировом рынке измерительной техники представлено достаточно большое число разнообразных измерителей ПКЭ. Их производством занимаются такие известные зарубежные фирмы как LEM (Швейцария), Fluke (США), Voltech (Англия), отечественные - Интехэнерго-Информ (г. Москва), НПП Марс-Энерго (г. Санкт-Петербург), Парма (г. Санкт-Петербург), НЦ Линвит (г. Москва), ООО «НПФ «Солос-С» (г. Москва), ЗАО «Прист» (РФ), «АЛАН АБРИС» (г. Пенза), НПО «АГАТ» (г. Минск). Недостатком всех существующих на сегодняшний день решений является их высокая цена, у зарубежных приборов - еще и отсутствие согласования с отечественным стандартом.

На основе измерителей ПКЭ возможно построение измерительных систем (СИ ПКЭ). Такая система представляет собой терминал, устанавливаемый непосредственно в точке контроля. Производится долговременный контроль ПКЭ (мониторинг) с передачей результатов контроля по какому либо интерфейсу.

Обобщённая функциональная схема терминалов представлена на рисунке 1.1.

Рисунок 1.1 - Обобщённая функциональная схема терминалов.

Основное назначение терминалов - выделение из исходных сигналов необходимой информации - характеристик (показателей) электрической энергии. Полученная информация либо используется на месте оператором посредством О, либо передаётся в верхний уровень системы посредством Т, либо регистрируется Р с целью последующего анализа.

Терминал как прибор состоит из структурных элементов - устройств. На рисунке 1.2 представлена обобщённая структурная схема терминала.

      Рисунок 1.2 - Обобщённая структурная схема терминалов:

Наиболее ответственная часть любого СИ - измерительный канал. Так обычно принято называть группу устройств, реализующую функции измерения. На рисунке 1.2 это ВхЦ+АЦП+КонтрВ. ВхЦ адаптируют входные сигналы к возможностям АЦП: защищают электронные схемы от перенапряжённых состояний входа, масштабируют сигналы, «очищают» от неинформативных параметров и др. На рисунке 1.3 показаны функциональное назначение устройств, которые включены в состав ВхЦ.

  Рисунок 1.3 - Функциональный состав входных цепей

Измерительный канал обуславливает метрологические свойства СИ. При этом, элементы ВхЦ+АЦП его структуры «насыщают» в основном инструментальную составляющую погрешности, а элемент КВ - методическую.

В частных, особо простых случаях функции контроллеров В и У могут быть совмещены.

Структурная схема изделия дополнена «паразитным» элементом - «окружающая среда». Этот элемент всегда следует учитывать при проектировании.

Из рисунка 1.2 видно что обязательным элементом схемы терминала является устройство гальванической развязки УГР.

УГР может выполнять в изделии до четырех функций:

гальваническое разделение входных каналов;

защиту части схемы (левой) от аварийных воздействий;

защиту чувствительной части схемы от помех, вызываемых другими схемами.

УГР важный структурный элемент изделия, от него во многом зависит, как себестоимость аппаратной части, так и стоимость эксплуатационных затрат.

На рисунке 1.2 показаны возможные места расположения УГР.

Наиболее правильное, но, одновременно, и самое дорогое расположение УГР - в аналоговых цепях устройства адаптации. Компромиссное расположение - между АЦП и КВ. Удобный вариант также между КВ и КУ. УГР, расположенное только в ДПИ/КПИ, защищает информационную сеть, совершенно не заботясь о собственно терминале.

На рисунке 1.4 - 1.7 представлены актуальные структурные схемы терминалов (пульты, регистраторы и преобразователи питания на схемах опущены).

На схемах особо выделены расположения АЦП, УГР и возможные варианты интерфейсов. Типы интерфейсов, перечисленные в скобках, характерны для измерительных модулей (см. далее). Во всех схемах функции вычисления и управления разнесены по двум контроллерам, что в ряде простых решений совмещается. Рассмотрим варианты подробнее.

На рисунке 1.4 представлены четыре структурных варианта, групповым признаком которых является использование вычислительного контроллера со встроенным АЦП. Такое решение предоставляет важное преимущество - время преобразования дискретизируемых значений входных сигналов может быть существенно уменьшено. Объективные недостатки таких контроллеров - ограниченные метрологические свойства и сложность гальванического разделения каналов. Как правило, такие контроллеры содержат один АЦП с коммутатором на входе, что для ряда задач не позволяет снимать дискретизированные данные одномоментно (синхронно). В конечном итоге это может приводить к дополнительным погрешностям при обработке.

Рисунок 1.4 - Структурные варианты терминалов с контроллерами со встроенными АЦП

Варианты, представленные на рисунке 1.4(а) и 1.4(б) не имеют УГР, что ограничивает выбор интерфейсов. В качестве таковых можно использовать только интерфейсы, обеспечивающие беспроводную связь: Bluetooth, ZigBee, другие виды радиоканалов, IrDA, а также Ethernet, который содержит в своей схемотехнике импульсный трансформатор. Следует иметь в виду, что антенны применённых радиомодемов должны быть с изоляционным покрытием.

Варианты, представленные на рисунке 1.4(в) и 1.4(г) имеют в структуре УГР, однако на практике более простой из них (рисунок 1.4(в)) может быть только использован:

в варианте для терминалов для формирования сигналов UART;

в варианте для измерительных модулей могут формироваться также сигналы I2C и SPI.

На рисунке 1.2,1.4,1.5,1.6,1.7 показан элемент ДПИ/КПИ. Устройство ДПИ - драйвер последовательного интерфейса применяется в том случае, когда основные интерфейсные функции (протоколы, манипуляция сигналами) реализуются в КУ, но отсутствуют электронные схемы, которые обеспечивают трансляцию сигналов в соответствующей физической среде. Такие особенности не надо рассматривать как недостаток выбираемого контроллера. Дело в том, что ДПИ, работая в реальной жёсткой среде, часто подвергается разрушающим воздействиям и выходит из строя. Заменить его проще и дешевле, чем контроллер в целом.

Устройство КПИ - более сложное устройство и используют его в том случае, когда выбранный по другим критериям контроллер не содержит требуемой интерфейсной функции. Связь КПИ с КУ осуществляется посредством стандартных интерфейсов «ближнего действия» - UART, I2C, SPI и др.

На рисунке 1.5 представлены четыре структурных варианта, групповым признаком которых является использование внешних АЦП. Это более затратное, но и более гибкое структурное решение. Номенклатура представленных на рынке АЦП существенно многообразнее, чем встроенных АЦП.

Рисунок 1.5 - Структурные варианты терминалов с внешними АЦП

Разрядность (и соответствующая точность) представленных на рынке АЦП простирается от 8 до 24 бит, быстродействие - от единиц до сотен миллионов преобразований в секунду.

Для сохранения минимального времени обращения к АЦП можно выбирать АЦП с параллельным выходом (интерфейсом), в противном случае выбираются АЦП, как правило, более дешёвые и имеющие меньшие габариты.

Остальные свойства представленной структурной группы такие же как и в предыдущей.

На рисунке 1.6 представлены четыре варианта, групповым признаком которых является наличие УГР между элементами АЦП и КВ. Эти варианты более надёжны в эксплуатации, хотя и более дороги. Такие структуры имеют более высокую защищённость от аварийных ситуациях на входах: при выходе из строя АЦП с входными цепями контроллер, находящийся за гальваническим барьером, своевременно выдаст аварийный сигнал в информационную сеть.

Рисунок 1.6 - Структурные варианты терминалов с УГР между АЦП и КВ

На рисунке 1.7 представлены пять вариантов, групповым признаком которых является наличие УГР между контроллерами.

Рисунок 1.7 - Структурные варианты терминалов с УГР между

КВ и КУ

. РАЗРАБОТКА СТРУКТУРНОЙ СХЕМЫ

.1 Анализ структурных вариантов и выбор среди них актуальных

При проектировании семейства измерителей будем ориентироваться на указанный в исходных данных прототип (измеритель ПКЭ Р01ТИС02), а также результаты предыдущих исследований данного вопроса в [3, 4].

Общим для всех представителей семейства является то, что каждый из них, фактически, представляет собой многоканальный цифровой вольтметр, так как расчет численных значений ПКЭ основан на измерении действующего значения фазных напряжений. При этом общая структура любого подобного прибора имеет вид, изображенный на рис. 2.1, где

А - устройство адаптации входных сигналов;

В - устройство обработки первичной информации (вычислитель);

О - устройство отображения информации;

Р - устройство регистрации информации;

Т - устройство трансляции данных;

М - устройство модификации режимов работы (клавиатура, другие органы управления);

У - устройство управления;

П - устройство питания [4].

Рис. 2.1. Обобщенная структура СИ ПКЭ

Особенность отдельных представителей семейства заключается в том, что часть элементов структуры может отсутствовать, либо отличаться своей реализацией.

В ТЗ задано три вида измерителей: приставка к компьютеру, прибор-регистратор и системный измерительный терминал.

Приставка к компьютеру подразумевает постоянное соединение измеритель-компьютер, что значительно упрощает ее структуру и алгоритм функционирования, так как большую часть функций: вычисление, хранение данных и их отображение, а также управление работой измерителя, - может быть возложена на ПК.

Прибор-регистратор является изделием, допускающим автономную работу (без использования ПК). При этом он должен обеспечивать выполнение полного алгоритма выделения ПКЭ, сохранение полученных данных, их отображение и передачу при подключении на компьютер.

Системный измерительный терминал подразумевает использование его в составе распределенной информационной сети, а значит устройства управления и отображения могут быть значительно упрощены - управление всеми измерителями будет производиться по встроенному интерфейсу из единого центра.

Таким образом, наиболее сложным с технической точки зрения измерителем является прибор-регистратор. Особенность его в том, что структура полностью повторяет изображенную на рис. 2.1, т. е. содержит все возможные структурные элементы.

Из этого следует, что возможно два пути проектирования указанной серии приборов. В первом случае каждый тип измерителя будет проектироваться независимо от других на собственной элементной базе, которая наилучшим образом подходит для его реализации. Это приведет к экономии средств на некоторых компонентах, если в данной реализации измерителя в них нет необходимости или их функции избыточны. Недостатком же данного метода является расширение номенклатуры используемых компонентов.

Второй подход основан на проектировании, фактически, одного наиболее сложного прибора, который бы имел в своем составе базу для реализации функций всех типов измерителей. Достоинством данного метода является снижение стоимости последующего серийного производства, сужение номенклатуры используемых компонентов, упрощение разработки программной части проекта и поддержки в будущем. Недостатком - более сложный этап проектирования.

В рамках данного проекта решено пойти вторым путем и разработать прибор, который может работать как в составе распределенной информационной сети, так и самостоятельно.

Окончательно функциональные возможности измерителя будут определяться смонтированными на плату компонентами и прошивками контроллеров.

2.2 Формирование технических требований к структурным компонентам

2.2.1 Устройство адаптации

Особое значение в структуре СИ занимает устройство адаптации входных сигналов. От него зависят основные метрологические характеристики прибора.

Под адаптацией понимается цепочка преобразований, на выходе которой получают цифровой код, предназначенный для отображения, последующего преобразования или трансляции по каналам связи.

Структура схема устройства адаптации представлена на рис. 2.2, где

З - схема защиты;

Н - схема нормализации;

Ф - схема фильтрации;

Д - устройство дискретизации;

К - устройство квантования [4].

Рис. 2.2. Структурная схема измерительного канала

Задача измерителя - выявление аномальных состояний контролируемых сетей. Но некоторые из них (высоковольтные импульсы) могут быть опасны и для самого прибора. Поэтому в его структуре предусмотрены схемы защиты входных цепей от таких высоких (1…5кВ), но кратковременных напряжений.

Контролируемые напряжения не могут быть преобразованы в код без предварительного согласования уровня с последующими элементами. Для этого используют схемы нормализации, которые должны понижать уровень входного напряжения до определенного уровня.

Фильтрация необходима для ограничения спектра входного сигнала, так как в соответствии с ТЗ информативными являются первые сорок его гармоник. Другие - помехи.

Дискретизация и квантование сигнала - завершающие операции цепочки преобразований, которые осуществляются с помощью АЦП, имеющем в своем составе УВХ.

Преобразование фазных напряжений должно осуществляться синхронно, т. е. дискретизация сигналов должна происходить в одни и те же моменты времени для всех каналов. Это требование следует непосредственно из [1] при выполнении алгоритма выделения показателей несимметрии по обратной и нулевой последовательности.

На рис. 2.2 представлена схема одного измерительного канала. В приборе их число равно числу контролируемых фаз.

Выделение ПКЭ требует сложных расчетов, а значит в качестве вычислителя необходимо использовать производительный МК. Применение специализированных ПЦОС в данном случае не оправдано, так как по условиям исходных данных (ИД) нас интересуют не все ПКЭ, определенные в стандарте [1]. А как показала практика (указанный выше прототип), вычислительной мощности современных 32-битных МК достаточно для решения поставленной задачи.

2.2.3 Устройство управления

Устройство управления может быть реализовано на основе того же МК, что и вычислитель, но от него, в общем случае, не требуется столь же высокая производительность.

.2.4 Устройство регистрации информации

Для регистрации информации в измерителе предполагается использовать съемную флэш-память. В настоящее время на рынке представлено большое разнообразие различных карт памяти данного типа. При этом наибольшее распространение получил формат SD/MMC.

Карты памяти данного формата представляют собой флэш-память с четырехпроводным интерфейсом SPI, заключенную в пластиковую оболочку. Они отличаются невысокой ценой.

.2.5 Устройство трансляции данных

Устройство трансляции необходимо для обмена информацией между измерителем и удаленным потребителем, в роли которого может выступать как ПК, так и любой другой прибор в случае, если они работаю в рамках одной распределенной сети.

Одним из отличий измерителей проектируемой серии является используемый ими интерфейс связи: для связи с ПК предназначен USB, для построении сети измерительных терминалов - RS485. Это объясняется различными расстояниями, на которые необходимо передавать данные.

В настоящее время существуют как микроконтроллеры со встроенным интерфейсом USB, так и внешние микросхемы-драйверы для обоих интерфейсов, поэтому их реализация в приборе - достаточно простая задача.

2.2.6 Устройство отображения информации

В качестве устройства отображения по условиям ТЗ необходимо использовать символьный ЖКИ. Единственным существенным ограничением при его выборе является широкий диапазон рабочих температур. Многие ЖКИ не работают при низкой температуре.

Кроме основного устройства отображения, которое актуально только для прибора-регистратора, необходимо предусмотреть служебную индикация на основе светодиодов. Их, в общем случае, может быть три: первый показывает наличие питания измерителя, второй - его рабочее состояние, третий - используется при индикации состояния передачи данных удаленному потребителю.

.2.7 Устройство модификации режимов работы

Устройство модификации режимов работы представляет собой клавиатуру, имеющую, в общем случае, шестнадцать кнопок. Наиболее практичными в настоящее время являются пленочные (мембранные) клавиатуры. По аналогии с устройством отображения, данный вариант актуален лишь для прибора-регистратора, тогда как для терминала и приставки к ПК достаточно, в общем случае, одной кнопки питания/изменения режима работы.

.2.8 Устройство питания

По условиям ТЗ варианты питания различны для всех трех типов измерителей. Приставка будет питаться непосредственно от USB-порта, так же, как и прибор-регистратор при их подключении к ПК. Но, если первый из них подразумевает постоянное подключение к ПК при работе, то второй может работать в автономном режиме, т. е. ему необходим альтернативный источник питания.

Современные мобильные устройства, оснащенные портом USB, используют внешние источники, которые преобразовывают переменное сетевое напряжение в постоянное величиной плюс 5 В, подключаются непосредственно в разъем USB и подают питание по шинам данного интерфейса. Это дает возможность отказаться от дополнительного разъема, что экономит место на плате и упрощает конструкцию. Кроме того, в конечном итоге, это должно привести к унификации источников питания различных устройств. В данном проекте предполагается использовать подобную схему питания.

В случае измерительного терминала питание будет подаваться по системной линии связи. Это несколько усложняет конструкцию устройства, так как возникает необходимость гальванического разделения источника от основной части схемы.

При проработке схемы питания прибора необходимо учитывать, что при питании измерителя по шине USB максимальный ток, отбираемый от порта ПК не может превышать значения 500 мА.

Большинство современных МК ориентированы на работу с напряжением питания 3,3 В, следовательно в схеме измерителя необходимо предусмотреть соответствующий преобразователь.

.2.9 Устройство гальванического разделения

УГР необходимо для подавления ПОВ и защиты электронных узлов от воздействия коммутационных и грозовых импульсов высокого напряжения. Одно из них следует использовать в измерительном терминале для отделения основной цифровой части схемы от интерфейса RS485. Второе используется во всех типах измерителя для отделения цифровой части прибора от аналоговых цепей (рис. 2.3).

Наличие УГР подразумевает использование в приборе преобразователей питания с гальваническим разделением (на рисунке обозначены как DC/DC).

Рис. 2.3. Гальванические зоны и УГР

.3 Структурная схема измерителя

Кроме устройств, упомянутых выше, в структуре измерителя ПКЭ необходимо предусмотреть еще несколько элементов:

температурный датчик для возможности введения температурной поправки в результат преобразования;

энергонезависимую память для хранения служебных данных (калибровочных коэффициентов);

часы реального времени для привязки результатов измерений к временной шкале.

Выработанные требования позволили разработать структурную схему измерителя, которая представлена на рис. 2.4. Пунктиром в ней обозначены те элементы, наличие которых в реальном приборе определяется его назначением.

Рис. 2.4. Структурная схема измерителя ПКЭ

. РАЗРАБОТКА ПРИНЦИПИАЛЬНОЙ СХЕМЫ

Выбор компонентов при разработке принципиальной схемы будем производить основываясь на опыте предыдущих разработок. Среди возможных вариантов при прочих равных характеристиках предпочтение будет отдаваться компонентам с меньшими размерами и предназначенными для поверхностного монтажа на плату. Важной характеристикой является цена.

При окончательном выборе элементов необходимо обращать внимание на их наличие в торговой сети

.1 Расчет и выбор элементов входных цепей

.1.1 Схемы защиты измерительного канала

Для защиты входов измерителя будем использовать варисторы, которые представляют собой полупроводниковые резисторы с симметричной ВАХ, подобной стабилитронам. Недостатком данного варианта реализации является необратимая деградация структуры варистора при поглощении энергии. Поэтому, предусмотрим во входных цепях измерителя плавкие предохранители, которые защитят последующие узлы схемы в случае, когда израсходовав ресурс варисторы будут представлять короткое замыкание в точке присоединения.

При выборе варистора необходимо учитывать, что значение рабочего напряжения на переменном токе должно быть больше заданной в ТЗ величины максимально возможного входного напряжения, а от максимальной поглощаемой энергии зависят его габариты.

Для сравнения было отобрано несколько моделей, и среди них выбрана наиболее подходящая: EPCOS SIOV-S20K550.

Рабочее напряжение для данного варистора составляет 550 В, что несколько ниже рассчитанного ранее значения максимально возможного входного напряжения, но это не столь существенно, так как последнее было выбрано с большим запасом.

.1.2 Нормализатор входных сигналов

Схема нормализации входных сигналов представляет собой делитель напряжения на двух резисторах (см. рис. 3.1). Преимущество данной схемы в том, что она может иметь высокую точность, не требует дополнительных источников питания, имеет малые габариты.

Рис. 3.1. Делитель напряжения на двух резисторах

При выборе резисторов необходимо руководствоваться следующими положениями:

верхнее плечо делителя определяет входное сопротивление измерительного канала, которое, по условиям ТЗ, не может быть меньше 100 кОм;

резисторы, составляющие делитель, должны быть прецизионными, так как их точность напрямую сказывается на результатах измерений;

измеритель, по условиям ТЗ, предназначен для работы в широком диапазоне температур, а значит существенное влияние будет оказывать ТКС резисторов;

предельное рабочее напряжение делителя должно быть больше максимально возможного входного напряжения, которое, по условиям ТЗ, равно 561,7 В.

при условии, что предельное значение входного напряжения не превысит указанное, номинальная рассеиваемая мощность делителя может быть найдена по формуле:

(3.1)


Выбор типа и номиналов резисторов будет произведен при анализе вариантов ФНЧ и АЦП.

.1.3 Фильтр низких частот

Анализ фильтров [5] показал, что наиболее предпочтительным вариантом реализации ФНЧ является активный четырехполюсный двухкаскадный фильтр Баттерворта по схеме Саллена-Кея, один из каскадов которого представлен на рис. 3.2.

Рис. 3.2. Один из двух каскадов четырехполюсного фильтра Баттерворта

Выбранный фильтр обладает высокой степенью линейности, поэтому малые отклонения его времязадающих параметров практически не повлияют на вид передаточной функции в полосе пропускания.

Обратим внимание на способ сопряжения делителя и фильтра. Если делитель подключить на входе фильтра вместо резистора R3, так, что R1 || R2 = R3, то полученная схема не изменит своих фильтрующих характеристик, но приобретет свойства делителя. К тому же, это приведет к исключению влияния погрешности взаимодействия между делителем и фильтром.

ОУ, на основе которых будет построен ФНЧ, будем выбирать ориентируясь, в первую очередь, на точностные характеристики, т. к. они напрямую сказываются на результатах измерений. Кроме того, удобнее использовать микросхемы, которые в своем составе содержат четыре ОУ - по числу усилителей в измерительном канале.

Для анализа было отобрано несколько моделей, имеющих близкие характеристики, и среди них выбран ОУ AD8606 производства Analog Devices.

Расчет элементов ФНЧ будет произведен после анализа вариантов АЦП.

.2 Расчет и выбор АЦП

При выборе АЦП будем руководствоваться следующими соображениями:

самым строгим требованием к погрешности определения ПКЭ является требование к коэффициенту n-й гармонической составляющей напряжения [3]: абсолютная погрешность должна быть не более 0,05% при значении коэффициента менее 1%. Следовательно, при отсутствии всех погрешностей, кроме погрешности квантования число разрядов АЦП должно быть не менее:

(1.1)

 Гц.

(1.1)


проблему синхронного преобразования фазных напряжений можно решить использованием многоканального АЦП с индивидуальными УВХ по каждому каналу [6];

измеряемый сигнал является двуполярным, поэтому необходимо использовать АЦП с двуполярным входом, либо вводить смещение измеряемого напряжения;

так как гальваническое разделение предполагается расположить после АЦП, то для уменьшения числа компонентов АЦП должен иметь последовательный выход и минимальное число управляющих сигналов;

Сравнение нескольких моделей, удовлетворяющих данным требованиям, позволило выбрать среди них 14-разрядный 12-канальный АЦП LTC1408 производства Linear Technologies.

Особенность выбранной модели АЦП состоит в том, что он имеет последовательный выход и для подключения к МК использует трехпроводный интерфейс SPI.

.3 Выбор контроллеров

В структуре разрабатываемого регистратора предусмотрено два МК: первый - вычислитель, второй - управляющий.

В функции вычислителя входят: взаимодействие с АЦП, корректировка результатов преобразований с учетом систематической составляющей, расчет и выделение ПКЭ, передача полученных данных устройству управления, а также периодическая, по требованию оператора, калибровка измерителя.

Как показал предыдущий опыт проектирования СИ ПКЭ, для данных целей предпочтительно использовать 32-х битные МК, построенные на ядре ARM7. Их возможностей достаточно для решения задач, возлагаемых на вычислитель.

Управляющий МК должен обладать несколько иными характеристиками, так как ему не требуются большие вычислительные мощности. В его функции входят: прием данных от вычислителя и сохранение их во флэш-памяти, обмен данными с удаленными потребителями, обработка команд, вводимых оператором с помощью клавиатуры, и отображение информации на индикаторе.

Для данных целей можно использовать практически любой из представленных на рынке МК. Но для упрощения программной части разработки в качестве устройства управления выберем МК того же производителя и той же серии, что и вычислитель. При этом предпочтительным является использование МК со встроенным интерфейсом USB, что избавит от необходимости в дополнительных компонентах.

Анализ некоторых вариантов показал, что использовавшийся в предыдущих разработках в качестве вычислителя МК Philips LPC2136 полностью удовлетворяет сегодняшним требованиям. Кроме того, данный МК имеет встроенные ЧРВ.

В качестве устройства управления в таком случае можно использовать МК Philips LPC2146, который представляет собой полный аналог предыдущей модели со встроенным интерфейсом USB версии 2.0.

.4 Выбор устройства индикации

Как было сказано выше, в приборе необходимо предусмотреть два вида индикации: служебную светодиодную и основную.

Первая легко реализуется с помощью трех светодиодов фирмы Kingbright разных цветов: .113 SG D (зеленый) для индикации наличия питания прибора;.113 SRNB D (красно-голубой) для индикации режима работы;.113 SE D (оранжевый) для индикации процесса обмена данными.

Достоинством их является высокая яркость и широкий диапазон рабочих температур (от минус 40°С до плюс 85°С).

Второй вид индикатора - основной, требует более тщательной проработки, т. к. не каждый ЖКИ сохраняет работоспособность при низких температурах. Хорошие результаты показали применявшиеся в прошлых разработках индикаторы серии DOG-M фирмы Electronic Assembly.

Из широкого ряда моделей данной серии был выбран ЖКИ DOG-M 163W-A, который имеет следующие основные характеристики:

изображение: 3 строки текста по 16 символов;

рабочий температурный диапазон: -20…+70°С;

интерфейс: 4-х проводной SPI;

подсветка экрана: белая светодиодная;

питание: +3,3 В / 40 мА;

.5 Выбор клавиатуры

Ранее решено было использовать в измерителе пленочную клавиатуру. Представленные на рынке модели мало отличаются своими характеристиками, поэтому основными критериями при выборе будут количество кнопок (их должно быть шестнадцать) и внешний вид клавиатуры.

Качественные пленочные клавиатуры производит отечественная фирма НПК «Николь». Модель CH-04 ее производства полностью нас удовлетворяет.

В принципиальной электрической схеме прибора для работы с клавиатурой необходимо предусмотреть специальный разъем на восемь контактов: по одному на каждый ряд и столбец кнопок.

3.6 Окончательный расчет электронных узлов

Выбор основных компонентов измерителя позволяет провести окончательный расчет всех электронных узлов прибора.

Диапазон входных сигналов выбранного АЦП составляет от 0 до плюс 5 В, а значит величина смещения, необходимого, чтобы исходный двуполярный сигнал преобразовать в однополярный, составит 2,5 В.

Сопротивление резистора R1 в схеме на рис. 3.3 на основании рекомендаций [3] примем равным 1,2 МОм, тогда его номинальная рассеиваемая мощность составит:

(3.2)


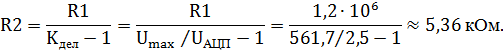
Найдем сопротивление резистора R2 в схеме на рис. 3.3:

(3.3)


Предварительный обзор выпускаемых серийно резисторов показывает, что если тип для резистора R2 выбрать несложно, то выбор типа для резистора R1 невелик. Наиболее подходящими в нашем случае оказались резисторы серии CMF фирмы SRT Resistor Technology (Германия), имеющие следующие характеристики:

исполнение: чип-резистор;

предельное максимальное значение номинала сопротивления: 10 МОм;

точность изготовления: до ±0,05%

номинальная рассеиваемая мощность: 0,5 Вт;

температурный коэффициент сопротивления: до ±5 ppm/°C.

Таким образом, выберем следующие резисторы:: CMF - 1,2 МОм ± 0,1% - ТКС 10 ppm/°C; : CMF - 5,36 кОм ± 0,1% - ТКС 10 ppm/°C.

Расчет ФНЧ дал следующие параметры времязадающих компонентов:: CMF - 34,8 кОм ± 1% - ТКС 10 ppm/°C; : CMF - 24,9 кОм ± 1% - ТКС 10 ppm/°C.: CMF - 84,5 кОм ± 1% - ТКС 10 ppm/°C;

С1…С4: GRM - 1 нФ ± 5% - ТКЕ 60 ppm/°C (конденсаторы фирмы Murata).

Определим еще некоторые вспомогательные компоненты, в основном, по предыдущему опыту проектирования:

для задания частоты работы МК будем использовать тактовый генератор SG-8002J фирмы Epson, который обладает высокой стабильностью и малым потреблением;

для организации сброса МК - супервизор питания TPS3809 фирмы Texas Instruments;

в качестве УГР - микросхемы ADuM-1301 фирмы Analog Devices;

драйвер интерфейса RS485 - ADM483 фирмы Analog Devices;

служебная память данных - 25LC040 фирмы Atmel;

температурный датчик - AD7314 фирмы Analog Devices;

преобразователи питания: SP5205EM5-3.3 (SIPEX) для преобразования 5В в 3.3В, SP5205EM5-2.5 (SIPEX) для преобразования 5В в 2.5В, ИРБИС серии Е с гальваническим разделением.

Все резисторы и конденсаторы в схеме аналогичны выбранным ранее, их номиналы выбираем с учетом рекомендаций производителей соответствующих микросхем.


ЗАКЛЮЧЕНИЕ

Рассматриваемый в курсовом проекте прибор для мониторинга напряжения питающей сети позволяет проводить контроль показателей качества питающей трехфазной сети. Контроль может быть периодическим или постоянным (мониторинг). По результатам контроля принимаются решения по мероприятиям, направленным на улучшение качества электроэнергии у поставщика и решения по мероприятиям, разрабатываемым по снижению или полному исключению влияния ухудшения показателей качества питающей трехфазной сети. Преимуществом рассматриваемого измерителя ПКЭ является его автономность в работе, способность накапливать информацию или передавать ее по соответствующим линиям связи на удаленного оператора, простота конструкции, гибкость структуры в зависимости от предъявляемых требований со стороны заказчика, соответствие требованиям ГОСТ 13109-97 и относительно невысокая по сравнению с имеющимеся аналогами, в том числе и импортными, стоимость.

В данной курсовой работе обоснована актуальность появления устройств данного класса. Проведен анализ возможных вариантов построения измерителя ПКЭ, разработано схемотехническое решение, позволившее реализовать модульную концепцию реализации устройства. Проведен метрологический расчет измерительного канала измерителя ПКЭ.

Обеспечены требования стандартизации, унификации и технологичности конструкции устройства.

Обоснован выбора пакетов прикладного программного обеспечения для моделирования и проектирования устройства.

СПИСОК ИСПОЛЬЗОВАННЫХ ИСТОЧНИКОВ

ГОСТ 13109-97. Электрическая энергия. Совместимость технических средств электромагнитная. Нормы качества электрической энергии в системах электроснабжения общего назначения. Межгосударственный совет по стандартизации, метрологии и сер­тификации. Минск: ИПК Издательство стандартов, 1998. Введен с 01.01.99.

С.И. Баранов, В.А.Скляров. Цифровые устройства на программируемых БИС с матричной структурой. Москва,1986-270 с.

Е.П. Балашов, Д.В.Пузанков. Микропроцессоры и микропроцессорные системы. Москв,1981-325 с.

В.В. Никулин, С.Н. Юрко. Опыт использования средств вычислительной техники по обработке конструкторской и эксплуатационной документации. Минск 1993.

И.И. Белопольский. Электропитание радиоустройств. Москва,1965-320с.

И. П. Кончаловский. «Разработка и исследование методов и средств измерения показателей качества электроэнергии». МЭИ (ТУ), 2006.

П.К.Макарычев. «Средства измерений показателей качества электроэнергии. Принципы и проблемы проектирования». МЭИ (ТУ), ИПЭЭФ, НТИЦ ЭТТ, 2004.

Похожие работы на - Прибор для мониторинга напряжения питающей сети

 

Не нашли материал для своей работы?
Поможем написать уникальную работу
Без плагиата!
Без нейросетей!