Анализ детерминированных сигналов, применяемых в системах радиолокации

  • Вид работы:
    Курсовая работа (т)
  • Предмет:
    Информатика, ВТ, телекоммуникации
  • Язык:
    Русский
    ,
    Формат файла:
    MS Word
    1,13 Мб
  • Опубликовано:
    2013-02-07
Вы можете узнать стоимость помощи в написании студенческой работы.
Помощь в написании работы, которую точно примут!

Анализ детерминированных сигналов, применяемых в системах радиолокации

Введение

Тема курсовой работы связана с анализом детерминированных сигналов, применяемых в системах радиолокации.

Целями работы являются:

изучение временных и спектральных характеристик радиосигналов, применяемых в радиолокации, радионавигации, радио телеметрии и смежных областях;

приобрести навыки расчетов временных и спектральных моделей сигналов с нелинейной модуляцией;

приобретение навыков по расчету и анализу корреляционных и спектральных характеристик детерминированных сигналов (автокорреляционных функций, энергетических спектров).

Задача:

Стационарная автономная радиолокационная станция посылает в сторону движущейся навстречу ей цели радиоимпульсы. Радиоимпульс имеет линейную частотную модуляцию, причем частота изменяется пропорционально амплитуде огибающей. Начальная частота радио заполнения равна 40 МГц, скорость движения цели - 600 км/ч, расстояние от станции до цели в момент пуска импульса 200 км. Цель движется в атмосфере. После отражения электромагнитного импульса от цели он возвращается на приемную антенну станции. Данная радиолокационная станция осуществляет обработку принятых сигналов цифровыми методами, предварительно дискретизируя и квантуя сигнал.

1. Теоретическая часть

Из источника [1,2,4], радиолокация - это обнаружение и распознание объектов с помощью радиоволн, а также определение их местоположения и параметров движения в пространстве. Объект радиолокации называется радиолокационными целями или просто целями. В радиолокации обычно используются отраженные от цели сигналы или сигналы, излучаемые самой целью и радиоустройствами, установленными на ней.

Радиотехнические системы и устройства, решающие задачи радиолокации, называются радиолокационными системами (РЛС) и устройствами (РЛУ), радиолокационными станциями и радиолокаторами или радарами.

Физической основой радиолокации является рассеяние радиоволн объектами, отличающимися своими электрическими характеристиками (электрической проницаемостью, диэлектрической проницаемостью и электропроводностью) от соответствующих характеристик окружающей среды при их облучении.

Интенсивность рассеяния или отражения радиоволн зависит от степени отличия электрических характеристик объекта и среды, от формы объекта, от соотношения его размеров и длины волны и от поляризации радиоволн.

С помощью приемной антенны и приемного устройства можно принять часть рассеянного сигнала, преобразовать и усилить его для последующего обнаружения. Таким образом, простейшая РЛС может состоять из передатчика, формирующего и генерирующего радиосигналы, передающей антенны, излучающей эти радиосигналы, приемной антенны, принимающей отраженные сигналы, радиоприемника, усиливающего и преобразующего сигналы и выходного устройства, обнаруживающего отраженные сигналы при малой амплитуде (мощности) принимаемого сигнала, а сам сигнал имеет случайный характер. Малая мощность сигнала объясняется большим расстоянием до объекта и поглощением энергии сигнала при его распределении. Кроме того, на интенсивность отраженного сигнала существенно влияют размеры целей. Случайный характер сигнала является следствием флуктуации отраженного сигнала за счет: случайного перемещения элементов целей сложной формы при отражении радиоволн; многолучевого распределения радиоволн; хаотических изменений амплитуды сигнала при распространении и ряда других факторов. В результате принимаемый сигнал по виду, интенсивности и характеру изменения похож на шумы и помехи.

Реальная среда не является однородной и обладает определенным коэффициентом преломления n. Неоднородность среды, в которой распространяются радиоволны, приводит к тому, что скорость их распространения в реальных условиях не остается постоянной, а траектория радиоволн не совпадает с кратчайшим расстоянием между точками излучения и приема колебаний. Поэтому в точных РЛУ необходим учет влияния среды распространения на точность определения параметров цели. В приближенных расчетах влиянием n часто пренебрегают и считают V=c.

Дальность до цели в РЛС измеряют по времени запаздывания принятого сигнала относительно известного времени его излучения. Например, в РЛС время запаздывания отраженного сигнала относительно излучаемого

, (1)

где R - дальность до цели; c - скорость распространения радиоволн.

Скорость объекта обычно определяют по доплеровскому сдвигу несущей частоты сигнала . В радиолокационных измерителях скорости, например, доплеровский сдвиг частоты FД связан со скоростью движения объекта Vr соотношением

(2)

где λ0 - длина волны излучаемого сигнала; Vr - скорость относительного движения цели.

Важным свойством радиоволн является постоянство скорости распространения в однородной среде. Скорость распространения радиоволн в вакууме составляет порядка 300 000 км / с. B пространстве, заполненном веществом, скорость распространения электромагнитных колебаний определяется относительными диэлектрической проницаемостью ε и магнитной проницаемостью μ вещества:

 , (3)

спектральный модуляция детерминированный сигнал

где V - скорость распространения сигнала в однородной среде, c - скорость распространения сигнала в вакууме.

Если сигнал проходит через несколько сред с различными ярко выраженными электромагнитными свойствами, то скорость прохождения высчитывается для различных сред по отдельности и, при необходимости, рассчитывается средняя скорость на всем пути.

Следует понимать, что в природе не существует полностью однородных сред и, следовательно, формула (2) представляет собой лишь среднюю оценку скорости распространения радиоволны при учете некоторых допущений. Именно по этому, в задачах, решаемых на практике, важно знать значения как можно большего числа параметров, влияющих на распространение электромагнитного излучения.

Одним из часто используемых приемов для аналитического представления сложных по структуре и форме сигнала является его замена набором математических моделей, описываемых элементарными функциями. Таким образом, можно свести единую, трудно поддающуюся математическому описанию, функцию к более удобным в обращении рядам Фурье, представленных в виде гармонических тригонометрических функций, которые в сумме дают исходную функцию. Фурье показал, что любую сложную функцию можно представить в виде конечной или бесконечной суммы ряда кратных гармонических колебаний с определенными амплитудами, частотами и начальными фазами.

Разложение сигнала по ортонормированному базису в системе гармонических (косинусоидальных и синусоидальных) функций в радиотехнике осуществляется чаще всего. Это обусловлено тем, что:

. Гармонические сигналы инвариантны относительно преобразований, осуществляемых стационарными линейными электрическими цепями. Если такая цепь возбуждена источником гармонических колебаний, то сигнал на выходе цепи, отличаясь от входного сигнала лишь амплитудой и начальной фазой, остается гармоническим с той же частотой.

. Устройства генерации гармонических сигналов просты в реализации.

Если какой-либо сигнал представлен в виде суммы гармонических колебаний с различными частотами, то говорят, что осуществлено спектральное разложение этого сигнала. Отдельные гармонические компоненты сигнала образуют его спектр.

В источнике [2,4], основное утверждение теории рядов Фурье заключается в следующем: любая функция, определенная на интервале от - π до + π, может быть представлена в виде тригонометрического ряда:

,

здесь  и  - постоянные значения. Уравнение (4) представляет собой разложение функции в ряд Фурье.

С помощью  и  можно найти:

, (5)

. (6)

Чтобы функцию  можно было представить рядом (4), необходимо сначала определить значения коэффициентов a и b. Это делается следующим образом:

) Чтобы найти а0 проинтегрируем выражение (4) по х на интервале от - π до + π:


2) Для нахождения an , умножим (4) на cos(nx) и проинтегрируем по х на интервале от - π до + π:


3) Чтобы найти bn умножим (4) на sin(nx) и проинтегрируем по х на интервале от - π до + π:


Формулы (7), (8) и (9) дают значения коэффициентов Фурье.

Метод рядов Фурье допускает определенное обобщение, позволяющее получать спектральные характеристики и непериодических сигналов. Среди них для радиотехники интерес представляют импульсные (одиночные) сигналы. Преобразование Фурье является инструментом спектрального анализа непериодических (импульсных) сигналов (их еще называют сигналами конечной длительности, или финитными, т. е. пространственно ограниченными). Такие сигналы отличны от нуля только на ограниченном промежутке времени; иногда говорят, что сигнал существует на конечном временном интервале. Очевидно, что сигнал конечной длительности будет иметь и конечную энергию - если только он, в математическом представлении, не содержит разрывов второго рода (с уходящими в бесконечность ветвями функции).

Для иллюстрации перехода от ряда к интегральному преобразованию Фурье применяют не вполне строгий математически, но зато понятный аналитический подход. В теории спектрального представления непериодических импульсных сигналов используют искусственный прием, мысленно (формально) заменяя одиночные сигналы периодическими с бесконечно большим периодом следования T→∞.

Предположим, что некоторая функция s(t) аналитически описывает одиночный импульсный сигнал конечной длительности (рисунок 1, а). Мысленно дополнив его такими же импульсными сигналами, следующими с некоторым интервалом T (штриховые импульсы на рисунке 1, б), получим периодическую последовательность аналогичных импульсов sn(t) = s(t ± nT).

Рисунок 1 - Непериодические сигналы:

а - одиночный импульс; б - условное периодическое представление

Для того чтобы вне искусственно введенного интервала времени [0…Т] исходный сигнал был равен нулю, необходимо увеличить период повторения этих импульсов. В пределе, при увеличении длительности периода и T→∞, все импульсы уйдут вправо и влево в бесконечность и периодическая последовательность импульсов sn(t) вновь станет одиночным импульсом s(t).

Запишем периодическую функцию


Можно заменить период следования импульсов  , тогда


Нетрудно заметить, что при увеличении периода следования импульсов T гармоники располагаются ближе друг к другу по частоте (линейный спектр становится все более плотным), а общий уровень спектральных составляющих становится все меньше. В предельном случае, когда T→∞,равные расстояния между спектральными линиями уменьшатся настолько, что спектр станет сплошным, а амплитуды отдельных спектральных составляющих окажутся бесконечно малыми. При этом частота следования импульсов  и превращается в dω,дискретная переменная - в мгновенную (текущую) частоту ω, а сумма трансформируется в интеграл. Периодическая последовательность импульсов sn(t) станет одиночным импульсом s(t), и выражение запишется в виде


Интеграл в скобках есть комплексная функция частоты. Обозначив его получим


Получим


Соотношения (13) и (14) носят фундаментальный характер в теории сигналов и определяют соответственно прямое и обратное преобразования Фурье. Они связывают между собой вещественную функцию времени s(t) и комплексную функцию частоты S(ω).

Если использовать не угловую частоту ω, а циклическую , то формулы (13) и (14) принимают следующий вид (отличаясь всего лишь знаком в показателе экспоненты):


Итак, прямое преобразование Фурье (13) ставит в соответствие сигналу, заданному во времени, его спектральную функцию. При этом осуществляется переход из временной области в частотную область. Преобразование Фурье является взаимно-однозначным, поэтому представление сигнала в частотной области (спектральная функция) содержит ровно столько же информации, сколько и исходный сигнал, заданный во временной области. Принципиально важно, что спектральная плотность - комплексная функция частоты, одновременно несущая информацию, как об амплитуде, так и о фазе элементарных гармоник.

Поскольку интеграл Фурье (13) содержит непрерывную последовательность спектральных составляющих анализируемого сигнала с бесконечно малыми амплитудами, то функцию S(ω) называют спектральной функцией или спектральной плотностью. Она характеризует интенсивность у сплошного распределения амплитуд гармоник непериодического сигнала вдоль оси частот ω. В этом основное отличие спектральной плотности непериодического сигнала от дискретного спектра периодического сигнала, в котором каждая гармоническая составляющая имеет вполне определенное значение частоты и отстоит от соседней на величину .

Поскольку анализируемый непериодический сигнал s(t) и его спектральная плотность S(ω) взаимно-однозначно связаны прямым и обратным преобразованиями Фурье, то последние позволяют аналитически отыскать спектральную плотность по заданной форме сигнала, и наоборот, его форму по полученной спектральной плотности.


, (17)

где  - соответственно амплитудный и фазовый спектры сигнала.

Доказывается, что прямое преобразование Фурье четного сигнала s(t) всегда дает вещественную функцию частоты ω, а нечетного сигнала s(t) - всегда мнимую функцию частоты. Следовательно, можно показать, что интеграл


где  - комплексно-сопряженную спектральную плотность непериодического сигнала.

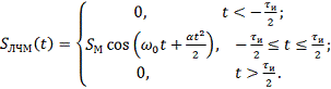
Практически в любом радиотехническом устройстве информация передается электромагнитными колебаниями, частота которых значительно выше частоты информационного сигнала (например, голоса человека, изменения физической величины производственного объекта и др.). В связи с этим возникла необходимость каким-либо образом изменять параметры передающего сигнала в соответствии с законами изменения параметров информационного сигнала. Чаще всего изменяемыми параметрами являются амплитуда, фаза и частота. Также довольно распространенным способом передачи информационного сигнала является перенос изменения его параметров в область высоких частот, однако, не постоянным сигналом, а в виде раздельных посылок определенной длительности. В радиолокации нашли широкое применение сигналы с линейной частотной модуляцией (ЛЧМ). Принцип создания такого сигнала основан на изменении мгновенной частоты несущего сигнала по линейному закону

, (19)

здесь ω0 - несущая частота немодулированного сигнала ; α - параметр характеризующий скорость изменения (нарастания) частоты модулированного колебания. Графическое представление ЛЧМ - сигнала показано на рисунке 2.

Рисунок 2 - Образование ЛЧМ-сигнала

К особому классу модулированных сигналов относят сигналы с внутриимпульсной модуляцией. Данный класс также широко применяется в радиолокации, системах связи, измерительной технике и других областях. Данные сигналы привлекли внимание специалистов, прежде всего в связи с поисками способов сжатия импульсных радиолокационных сигналов для целей повышения разрешающей способности радиолокационных систем.

Рассмотрим часто применяемый в радиолокации радиоимпульс с огибающей прямоугольной формы, у которого частота заполнения (несущая) линейно нарастает от начала импульса к его концу. Конкретизируя математическую модель сигнала с переменной частотой заполнения, предположим, что его длительность равна τи, причем середине импульса соответствует точка t=0, а мгновенная частота изменяется по линейному закону (19) (рисунок 3).

Рисунок 3 - Радиоимпульс с ЛЧМ

а - закон изменения частоты; б - графическое представление сигнала

Из рисунка 3 и формулы (19) нетрудно заметить, что девиация частоты за время импульса составит

. (20)

На основании того, что наличие начального сдвига сигнала по фазе несущественно, для упрощения примем φ0=0. Тогда интегрирование (19) даст мгновенную (полную) фазу сигнала в любой момент времени по длительности импульса:

. (21)

Исходя из этого, ЛЧМ-импульс аналитически может быть описан следующим соотношением:

. (22)

Отметим очень полезное и довольно часто используемое на практике свойство ЛЧМ-сигналов. Пусть некоторое электронное устройство осуществляет временную задержку входного сигнала, величина которой зависит от частоты колебаний. Если с ростом частоты время задержки уменьшается, то при определенных условиях, подавая на вход устройства импульс достаточно большой длительности, можно "сжать" его во времени. Этот эффект обусловлен тем, что на выходе устройства задержки как низкочастотные составляющие, относящиеся к началу импульса, так и более высокочастотные, находящиеся в его конце, будут появляться одновременно.

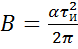
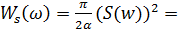
Характер частотной зависимости модуля и фазы спектральной плотности одиночного прямоугольного ЛЧМ-импульса связан со следующим безразмерным числом

 , (23)

называемой базой ЛЧМ-импульса. Ряд особенностей ЛЧМ-импульсов связан с определенными моментами. Во-первых‚ амплитудный спектр здесь практически постоянен в пределах полосы частот шириной (-ωд…ωд) с центром в точке ω0. Соответствующие графики амплитудного спектра и остаточного фазового члена, построенные по формулам  и , представлены на рисунке 4. Во-вторых, колебания амплитудного спектра существенно уменьшается с увеличением базы ЛЧМ-импульса вплоть до его теоретически полного исчезновения.

Рисунок 4 - Спектральная плотность ЛЧМ-импульса при различных значениях базы

а - амплитудный спектр; б - частотная зависимость остаточного фазового члена

Анализ выражения для амплитудного спектра показывает, что на центральной частоте ω0 его значение принимает вид

. (24)

Таким образом, амплитудный спектр ЛЧМ-сигнала с большой базой запишется следующим выражением

 (25)

Энергетический спектр такого сигнала определяется как

, (26)

также постоянен в полосе частот  и становится практически равным нулю вне этой полосы.

В источнике [1,3] сказано, что на ряду со спектральным подходом к описанию сигналов на практике часто оказывается необходимой характеристика, которая давала бы представление о таких свойствах сигнала, как скорость изменения во времени, длительность сигнала без разложения его на гармонические составляющие.

В качестве такой временной характеристики широко используется корреляционная функция сигнала.

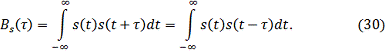
Для детерминированного сигнала s(t) конечной длительности корреляционная функция определяется следующим выражением:


где τ - величина временного сдвига сигнала.

Рассматривая физические сигналы, а, соответственно, вещественные функции времени, формулу (27) можно переписать как


Следует отметить, что при определении степени отличия сигнала со смещенной его копией корреляционную функцию принято называть автокорреляционной функцией (АКФ). Если сравниваются два различных сигнала, то говорят о взаимно-корреляционной функции (ВКФ).

Из выражения (28) не трудно заметить, что функция корреляции характеризует степень связи (степень корреляции) сигнала s(t) со своей копией, сдвинутой на величину τ по оси времени. Логично, что функция  достигает максимума при τ=0, так как любой сигнал полностью коррелирован сам с собой. При этом


т.е. максимальное значение корреляционной функции равно энергии сигнала.

С увеличением τ функция  убывает и при относительном сдвиге сигналов s(t) и s(t+τ) на величину, превышающую длительность сигнала, обращается в нуль.

Из общего определения корреляционной функции, а также из рисунка 5 видно, что направление сдвига копии сигнала (влево или вправо относительно исходного сигнала) на величину τ не влияет на значение функции .

Рисунок 5 - Построение корреляционной функции прямоугольного сигнала

На рисунке 5 показано построение корреляционной функции для сигнала в виде прямоугольного импульса (рисунок 5, а). Сдвинутый на τ сигнал показан на рисунке 5, б, а произведение s(t)s(t+τ) - на рисунке 5, в. График функции корреляции изображен на рисунке 5, г.

Поэтому выражение (28) можно обобщить следующим образом:


Отсюда следует утверждение, что  является четной функцией τ.

На рисунке 6, а показан сигнал в виде пачки из трех одинаковых импульсов, сдвинутых на время  друг относительно друга, а на рисунке 6, б - соответствующая этому сигналу корреляционная функция. Вблизи значений τ, равных 0, ± , и ±, эта функция имеет такой же вид, как и для одиночного импульса. Максимальное значение корреляционной функции (при τ = 0) равно утроенной энергии одного импульса.

Следует отметить, что возрастание и убывание функции корреляции не всегда является монотонным и зависит от вида исследуемого сигнала.

Рисунок 6 - Пачка из трех прямоугольных импульсов (а) и корреляционная функция (б)

В источнике [3] сказано что, при дискретизации сигнала становится вопрос о выборе частоты следования исходных импульсов, так как очевидно, что чем выше частота импульсов, тем точнее можно восстановить исходный сигнал, тем временем и передать дискретных значений требуется больше, а это затраты энергии и памяти приемо-передающих устройств.

Согласно одной из наиболее известных и простых интерпретаций теоремы Котельникова, произвольный сигнал s(t), спектр которого ограничен некоторой частотой может быть полностью восстановлен по последовательности своих отсчетных значений, следующих с интервалом времени

Δt= . (31)

2. Расчетная часть

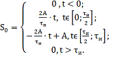
. Определим математическую модель огибающей. На рисунке 7 изображена огибающая радиоимпульса, на рисунке 8 его заполнение:

Рисунок 7 - Огибающая радиоимпульса

 (32)

Определим математическую модель заполняющей ЛЧМ сигнала с помощью формулы (22):

 (33)

 (34)

 (35)

 (37)

 (38)

 (39)

Рисунок 8 - Заполнение радиоимпульса

. Найдем первые десять гармоник разложение радиоимпульса в ряд Фурье, с помощью формул (25), (35) и (36). На рисунке 9 изобразим амплитудно - частотный спектр:

Рисунок 9 - Амплитудно - частотный спектр

 (40)

. Определим базу ЛЧМ-сигнала, с помощью формулы (23):

0,25. (41)

. Определим энергетический спектр посланного сигнала, с помощью формулы (28):

1. (42)

. Определим, через какое время от момента пуска импульса отраженный сигнал дойдет до приемной антенны, с помощью формулы (1):

 1,3мс. (43)

. Определим, как изменится амплитудно-частотный спектр принятого антенной сигнала, и изобразим его на рисунке 10:

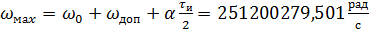
С помощью формулы (2) найдем доплеровскую частоту , связанную со скоростью движения объекта

44,5 Гц; (44)

 (45)

 ; (46)

 . (47)

Изобразим амплитудно - частотный спектр принятого антенной сигнала:

Рисунок 10 - Изменившийся амплитудно - частотный спектр

. Определим автокорреляционную функцию между отправленным и принятым сигналом, а также энергию сигнала.

Так как абсолютное значение сдвига превышает длительность импульса (), то автокорреляционная функция будет обращаться в ноль.

Найдем энергию сигнала по формуле (30):

0,0005. (48)

. Определим максимальный интервал для дискретизации отраженного сигнала.

Найдем этот интервал по формуле (31), для этого необходимо сначала найти :

80000089,013 Гц, (49)

Тогда

6,25 мкс. (50)

Заключение

В данной курсовой работе я исследовал сигнал, использующийся в радиолокационных системах, а именно, импульс с линейно-частотным радио заполнением. Изучил его временные и спектральные характеристики.

Получил математическую модель огибающей, радио заполнения импульса. Затем, используя прямое преобразование Фурье, так как был задан одиночный ЛЧМ - импульс и, получив, что ширина спектра импульса будет в интервале частот от  до , нашел величину этого спектра, изобразил его на рисунке 10, предварительно найдя  и . После посчитал базу ЛЧМ - импульса и величину энергетического спектра импульса.

Затем используя эффект Доплера, а именно время запаздывания и частоту смещения. Нашли спектральные характеристики, отраженного от цели импульса, в формуле 2 вместо знака минус, ставим плюс, из-за того что цель движется на встречу импульсу.

Используя свойство корреляции функции, а именно, что если время запаздывания больше длительности импульса, то автокорреляционная функция между отправленными и принятыми импульсами будет равняться нулю. Затем приняв время запаздывания равным нулю, нашли через формулу корреляционной функции энергию сигнала.

Так как отраженный сигнал, поступая на приемник, обрабатывается цифровым процессором (дискретизируется и квантуется), высчитал время дискретизации, при котором может быть полностью восстановлен сигнал.

Список используемых источников

. Баскаков С.И. Радиотехнические цепи и сигналы: Учебник для вузов.- М.: Высшая школа, 1988. -448с.

. Отнес Р., Эноксон Л. Прикладной анализ временных рядов. М.: Мир, 1982. -428с.

. Сергиенко А.Б. Цифровая обработка сигналов./ Учебник для вузов. - СПБ.: Питер, 2003.- 608с.

. Радиотехнические цепи и сигналы. Задачи и задания/ под ред. Проф. А.Н. Яковлева. - Новосибирск: Издательство НГТУ, 2002. - 348 с.


Не нашли материал для своей работы?
Поможем написать уникальную работу
Без плагиата!
Без нейросетей!