Статический анализ оптимального алгоритма обнаружения
Введение
цифровой система радиолокационный квантование
В настоящее время значительного распространения приобрело
широкое использование цифровых методов обработки и передачи информации.
Перспективы развития цифровой техники связаны с широким внедрением современных
достижений микроэлектронной техники, в том числе микропроцессоров. Это
открывает новые возможности улучшения технических, эксплуатационных и
технологических характеристик радиотехнической аппаратуры.
Интенсивное развитие цифровых систем обработки сигналов
объясняется преимуществами этих систем сравнительно с аналоговыми системами.
Основным приоритетом цифровых систем передачи, обработки и сохранение
информации является точность задания алгоритмов, высокая помехоустойчивость,
абсолютное воспроизведение как зафиксированной информации, так и алгоритмов ее
обработки, полная идентичность (что означает взаимозаменяемость)
соответствующих узлов аппаратуры при серийном или массовом изготовлении. Так,
например, при реализации многоканальных, линейных и нелинейных аналоговых
устройств (частотных фильтров, умножителей) тяжело достичь идентичности их
характеристик в разных каналах с относительной ошибкой меньше одного проценту.
В аналоговых устройствах сохранения информации при многоразовой повторной
записи будет сосредоточение помех и искажений сигналов, которые проявляются,
например, при перезаписи музыкальных программ бытовыми магнитофонами.
Вместе с этим цифровым системам присущие и некоторые
недостатки. К ним принадлежат достаточная сложность систем, наличие ошибок
дискретизации сигналов по времени и квантование по уровню, ограниченное
быстродействие, которое приводит к разногласию между полосой воспроизведенных
частот и точностью. Эти недостатки приводят к необходимости применения
устройств и систем, в которых объединяются аналоговые и цифровые методы
обработки сигналов.
Для понимания физических процессов, которые проходят в
устройствах и системах цифровой обработки сигналов, необходимо их сравнить с
соответствующими аналоговыми системами. Следовательно, необходимо владеть также
математическим аппаратом, которые применяют к аналоговым системам.
При цифровой обработке сигнал подлежит дискретизации не
только по времени, но и по уровню квантования. Это приводит к появлению ошибки
квантования (“шума квантования”), ошибки округления (при операции перемножения
двух чисел) и, возможно, к специфическим для цифровых систем автоколебаний даже
при отсутствии сигнала на входе колебания граничного цикла и колебания
переполнения.
Основным направлением использования методов цифровой
обработки является цифровая фильтрация и спектральный анализ. К цифровым
фильтрам принадлежат фильтры с конечной импульсной характеристикой (КИХ -
фильтры) и фильтры с бесконечной импульсной характеристикой (БИХ - фильтры).
Спектральный анализ можно проводить путем вычисления спектров с помощью
дискретного преобразования Фурье (ДПФ), или путем вычисления спектров с
применением статистических методов. На практике при спектральном анализе, как
правило, используется быстрое преобразование Фурье (БПФ) и основанная на нем
методика вычисления быстродействия свертка.
Цифровые системы обработки сигналов широко применяются в
радиолокации, в частности в радиолокационной станции бокового обзора, в
устройствах селекции движущихся целей, а также для выделения на фоне шумов
весьма слабых сигналов путем реализации многоразового когерентного накопления.
1. Принцип построения системы сбора и обработки
информации
.1 Основные этапы и операции цифровой обработки
РЛИ
Система цифровой обработки РЛИ является составной системой,
которую нельзя описать математически целиком. Поэтому ее функции разделяют на
этапы и операции, которые анализируются отдельно, и на основе этого анализа
осуществляется синтез устройств и алгоритмов обработки. В составе обработки
выделяют такие этапы (рис.1.1): первичная обработка РЛИ; вторичная обработка
РЛИ; объединение информации.
Первичная обработка РЛИ включает операции обнаружения
сигналов и оценка параметров сигналов. Первичной обработке подлежат сигналы, которые
получены за один цикл работы РЛС (за один обзор). Качество выполнения операций
характеризуется вероятностями верного и ошибочного обнаружения сигналов для
операции обнаружения и среднеквадратичными ошибками оценок параметров сигналов
для операции оценки параметров.
Качество параметров сигнала, который оценивается,
устанавливается при создании системы обработки. Это могут быть координаты,
максимальное значение дальности, фаза принятого сигнала и другие его
характеристики.
Совокупность оценок параметров сигнала, которые изображены в
виде чисел, составляет радиолокационную отметку. Отметки могут быть истинными,
т.е. полученными от действительных движущихся целей, и ошибочными (полученными
вследствие действия помех).
В составе отметки определяются значение координат в сферической
системе:
- дальность,
- азимут и
- угол места). Соответствующие им среднеквадратичные ошибки
и вероятности истинного
и ошибочного
обнаружения сигналов могут также вычисляться при обработке.
Вторичная обработка РЛИ включает операции: обнаружение траектории
целей, т.е. принятие решения о наличии траектории; сопровождение траекторий
целей, которые состоит в регулярном вычислении параметров траектории. Вторичной
обработке подлежат отметки, полученные за несколько обзоров РЛС.
Критериями качества операции обнаружения траекторий является
вероятность верного обнаружения траекторий
и вероятность ошибочного обнаружения траекторий
.
Критериями качества операции сопровождения траекторий целей
является среднеквадратичные ошибки оценок параметров траекторий - координат
целей, скорости, которые изменяются за временем, и т.п.. В составе вторичной
обработки также может выполняться операция траекторних вычислений, с помощью
которой определяются особенности точки на траекториях целей.
Объединение информации об одной цели, которая поступает от
нескольких источников, включает операции: преобразование координат сообщения,
экстраполяцию параметров траектории, отождествление информации. Этапами
непосредственной обработки РЛИ предшествует операция преобразования
радиолокационных сигналов в цифровую форму.
1.2 Математическое формулировка задач обработки РЛИ
.2.1 Общая формулировка задач обработки
Основными задачами обработки РЛИ является: обнаружение сигналов
(траекторий), оценка параметров сигналов (траекторий). Эти две задачи сводятся
до одной операции - принятие решения о наличии сигнала (траектории), о
значениях параметров сигнала (траектории).
Сформулируем в общем виде задачу принятия решения.
Пусть
- неизвестное событие (сигнал; траектория;
параметры сигнала, траектории), относительно которого необходимо принять
решение
на основе результата попытки
(пачки квантованних сигналов, отметки),
что в каком-то виде несет информацию о событии
. Поскольку
- событие случайное для исследователя
(возникает случайно), то решение
принято в связи с ее возникновением, тоже случайное. Совместное
появление события
и решение
характеризуется совместным законом распределения. Для непрерывных
величин - это совместная плотность распределения вероятности
(
,
), а для дискретных - соизмеримая
вероятность
(
,
). Поскольку решения принимается на
основе полученного результата попытки, между решением
и результатом попытки
есть целиком определенное соответствие -
каждому значению
отвечает конкретное
:
. (1.1)
Решение может быть верным, если
=
, и неверным, когда
≠
. Неверное решение тянет за собой некоторые затраты, которые называются
потерями. Можно ввести количественную меру потерь, которые выражаются некоторой
функцией
(
,
), которая, как правило, задается в виде
детерминированной зависимости от
и
. Но поскольку
и
являются случайными, то и потери будут случайными. Поэтому
значение функции потерь
(
,
) в каждой попытке можно рассматривать
как случайные, которые описываются законами
или
.
Можно вычислить математическое ожидание случайной величины
за формулами теории вероятности:
для беспрерывной случайной величины
(1.2)
для дискретной случайной величины
(1.3)
где
- математическое ожидание функции потерь,
которую называют в теории статистических решений средним риском.
Поскольку потери всегда нежелательны, их стараются свести к
минимуму путем разработки наилучших, оптимальных, правил (алгоритмов) принятие
решения, т.е. стараются получить минимальное значение среднего риска
.
Чтобы получить конкретный алгоритм обработки, необходимо задать в
каком виде
, знать
и
и применять к выражениям (1.2), (1.3)
операцию определения минимума. Полученные выражения для принятия решения
(вычисление)
и будут оптимальными алгоритмами обработки,
которые подаются в математической форме. Они являются оптимальными, так как
учитывают статистику случайных событий в законах
или
и выражают интересы того, кто принимает
решение, которое состоит в
.
Такой подход к построению правил используется в любых системах,
где есть необходимость принятия решения относительно случайных событий,
например, в системах передачи данных, радиолокации, и т.п.. Необходимо только
соответствующим образом выбрать
с учетом особенностей системы и правильно определить
или
. Рассмотрим две задачи обработки информации.
.2.2 Задача обнаружения
По результатам опыта обнаруживается полезный сигнал
. Учитывается, что он есть, если в результате попытки получен
сигнал
.
Однако
может быть полученный и при отсутствии
сигнала
, или наоборот, быть отсутствующим, когда есть сигнал
. Необходимо принять решение
относительно наличия или отсутствия
полезного сигнала
по результатам попытки. При этом
учитывается, что случайными могут быть такие
и
, которые характеризуются соответствующими
вероятностями, к которым поставлены в соответствие обусловленные значения
функции потерь.
Полезный сигнал
есть , получен сигнал
; принято решения о наличии полезного сигнала (
=
); вероятность этого совместного события
; функция потерь
, поэтому решение верно.
Полезный сигнал
есть, сигнал
не получен; принято решения об отсутствии полезного сигнала (
=0); вероятность этого совместного
события
; функция потерь
, т.е.
имеет место пропуск сигнала.
Принято решения о наличии полезного сигнала (
=
); вероятность этого совместного события
; функция потерь
, т.е.
имеет место ложное обнаружение сигнала.
Полезный сигнал
отсутствует (
=0); сигнал
не получен; принято решения об отсутствии
полезного сигнала (
=0); вероятность этого совместного
события
; функция потерь
, т.е. решение
верно.
Согласно формуле (1.3) средний риск определяется как
Согласно общей формуле умножения
вероятностей
,
,
и выражая совместные вероятности через условные, имеем :
,
где
- априорная вероятность наличия сигнала
;
- априорная вероятность отсутствия сигнала
;
- условная вероятность неполучения сигнала
при наличии сигнала
, т.е. вероятность пропуска сигнала,
которую можно выразить через условную вероятность получения сигнала
-
;
, т.к. получение и неполучение сигнала
составляет определенную группу случайных
событий;
- условная вероятность получения сигнала
при отсутствии
, т.е. вероятность ошибочного обнаружения.
Если подставить в выражение для
значения
, получим
.
будет минимальным, если второй член в правой части равенства по
абсолютной величиной будет равняться третьему члену или будет большим его.
Итак, условие минимума среднего риска имеет вид:
,
Или
.
После получения сигнала выражения
и
являются функциями правдоподобия.
Отношение является порогом обнаружения, а неравенство
(1.4)
является оптимальным критерием обнаружения.
Решение относительно обнаружения принимается, если
выполняется неравенство (1.4). При применении этого критерия средние затраты
имеют минимальное значение. Если ℓ0 выбирается, исходя
из заданной вероятности ошибочного обнаружения, то (1.4) является критерием
Неймана - Пірсона.
1.2.3 Задача оценки параметров
При обнаружении траекторий рассматриваются дискретные события. В
то же время траектории являются беспрерывными величинами. Поэтому при решении
задачи оценки используется совместная плотность распределения вероятности
. Функция потерь также беспрерывная и часто подается квадратичной
зависимостью
, (1.5)
где Z - истинное значение параметра;
- его оценка (решение относительно значения параметра);
Ζ-
- абсолютная ошибка оценки параметра;
С- коэффициент нормирования.
По результатам опыта в
содержится информация о параметре
.
В данном случае средний риск
.
Используя равенство
и считая
фиксированным после попытки, достаточно
для получения решающего правила минимизировать интеграл
.
Откуда
и
(1.6)
так как
.
Таким образом, для квадратичной функции потерь оценкой параметра
является его математическое ожидание.
При несимметричной функции
оценка совпадает с абсциссой центра масс плоской фигуры, которая
заключена под кривой
, как показано на рис. 1.2. Тем не менее,
часто кривую
считают симметричной с выраженным
максимумом, поэтому оценка
сохраняется с абсциссой максимума (рис.1.3).
Поскольку функция
- это условная апостериорная плотность вероятности значений
параметров при условии, которое в результате попытки получим
, то метод получения оценки параметра в
данном случае называется методом максимума апостериорной вероятности.
Функция
может быть получена из равенства
и выражается через другие функции таким образом:
, (1.7)
где
и
- безусловные плотности распределения вероятностей значений
параметров
и результатов величины
;
- функция правдоподобия или послеопытное значение условной
плотности вероятности
, когда в результате попытки зафиксировано
, и
рассматривается как функция от параметра
, который оценивается.
Если распределение
и
неизвестны, то их считают постоянными,
так как в этом случае условная апостериорная плотность распределения
вероятности отличается от функции правдоподобия только на величину постоянного
множителя, вид функции одинаковый и метод максимума апостериорной вероятности
совпадает с методом максимума правдоподобия.
Математическое формулировка метода максимума правдоподобия
выражается формулой:
, (1.8)
где
- функция правдоподобия.
Если измерения
независимые, то метод максимума правдоподобия является методом
наименьших квадратов. Все перечисленные методы являются оптимальными, поскольку
учитывают все статические характеристики случайных величин, которые принимают
участие в обработке.
1.3 Дискретизация и квантование радиолокационных
сигналов
В последнее время значительное распространение получила
некогерентная обработка, когда обработке подлежит принятый сигнал, котоырый
является видеосигналом на выходе детектора приемника. Дальше будем
рассматривать некогерентную обработку, имея во внимании, что ее принципы
обработки для любых сигналов остаются одинаковыми. Разность только в
статистических характеристиках сигналов, которые обрабатываются.
Сигнал на выходе детектора приемника представляет собой
беспрерывный процесс (рис. 1.4, б), что является следствием действия на сигнал
разного вида случайных помех, флюктуаций среды, распространение сигнала и
эффективной поверхности отражения цели.
Если бы этого влияния не было, то принятый сигнал за один период
повторения
зондирующих сигналов при наличии в
пространстве, например, двух целей, имел бы вид, изображенный на рис 1.4, а.
При обработке принятый случайный процесс преобразовывается в
цифровую форму путем выполнения операций дискретизации по времени и квантования
по уровню.
Ось времени делится на дискретные интервалы времени
и в точках разбития выбираются значение
случайного процесса
, которые,
как уже известно, называются выборками, которые теоретически могут принимать
значение от 0 до ∞.
Выборка, как случайная величина, описывается законом
распределения, который зависит от свойств полезного сигнала и помех, которые
накладываются на него. Если, например, величина отраженного сигнала неслучайная
и на сигнал накладывается помеха только за счет внутренних шумов приемника,
которые представляют собой узкополосную шумовую помеху, то выборка
распределения описывается общим законом Релея (законом Райса).
В таком случае, можно записать:
(1.9)
где
- нормированная за уровнем шумов величина
выборки;
- величина полезного сигнала в составе выборки;
- величина шума в составе выборки;
- среднее значение шума в составе выборки;
- нормированная по среднему значению шума величина полезного
сигнала (отношение сигнал/шум);
- модифицированная функция Бесселя І-го рода нулевого порядка, график которого
изображен на рис. 1.5;
- условная
плотность распределения вероятности выборки при наличии в составе выборки
полезного сигнала.
Если в составе выборки нет полезного сигнала, т.е.:
;
;
это выборка подлежит распределению, которое описывается законом
Релея:
, (1.10)
где
- условная плотность распределения
вероятности выборки при отсутствии в ее составе полезного сигнала.
Таким образом, между виборками, которые составляются только из
шума, есть статистическая разность (1.9), (1.10), которая используется для
решения задач первичной обработки РЛИ.
При дискретизации по времени могут быть потери информации,
поскольку при выборе большого интервала
можно
пропустить полезный сигнал (принятый импульс может оказаться между двумя
отсчетами времени), или момент отсчета может не совпадать с положением
максимума принятого импульса, который приведет к ухудшению отношения с/ш
в выборке и снижении вероятности обнаружения сигнала. Поэтому вибор интервала
дискретизации является важной задачей, которая решается на основе применения
разных критериев, которые учитывают или потери информации, или качество
обнаружения сигнала. Практически результаты применения этих критериев
выражаются таким соотношением для выбора
:
,
где
- вычисленная длительность принятого импульса.
Виборки подлежат квантованию по уровню. Для этого при
однопороговом квантовании устанавливается порог
(1.4), с которым сравнивается величина выборки.
Порог
выбирается, исходя из допустимой
вероятности
превышения порога выборкой, которая
состоит из одного шума.
Можно получить расчетную формулу для порога из выражения
откуда
.
Если задавать
, можно выбрать определенный порог
. При превышении выборкой порога, ей ставится в соответствие
двоичная цифра 1; если выборка не превышает порог - двоичная цифра 0. Очевидно,
что появление единицы или нуля на позиции выборки - случайное событие через
случайность значения выборки. Итак, принятый за период повторения сигнал
превращается в случайную последовательность единиц и нулей путем его
дискретизации и квантования.
1.4 Выбор порогов амплитудного квантования
При выборе порогов амплитудного квантования радиолокационных
сигналов используются две группы критериев оптимальности:
. Информационные критерии, т. е. критерии, связанные с
потерей информации о полезном сигнале в процессе квантования.
. Критерии, связанные с принятием решения об обнаружении
одиночного сигнала или пачки сигналов. Среди этих критериев основными являются
критерий минимального риска и критерий Неймана-Пирсона. Рассмотрим главным
образом двоичное квантование сигналов. Это обусловлено простотой реализацией
двоичного квантизатора и последующих устройств для обработки квантованных
сигналов.
В случае, когда квантизатор имеет только один порог,
напряжение на его выходе может принимать только два значения (0, 1). Поэтому
совокупность сигналов на выходе квантизатора представляет собой совокупность
случайных двоичных чисел, т.е.
(1.11)
де р(0) и р(1) - вероятности появления нуля и
единицы соответственно.
Если мы имеем какое-либо известное распределение w(U) амплитуд
сигнала и установлен порог
двоичного
квантования, то в соответствии с выражением (2.7) имеем
и
(1.12)
Процесс двоичного квантования схематически показан на рис. 1.6.
Выбор порога двоичного квантования можно производить с точки
зрения минимизации потерь информации об амплитуде сигнала при квантовании.
Пусть полезный сигнал S принимает
одно из двух возможных значений
, причем S = S0 = 0 соответствует отсутствию сигнала, a S=S1 - наличию сигкала с некоторой фиксированной амплитудой. Априорные
вероятности наличия сигналов S0 и S1 равны
и
соответственно
Принятый сигнал U характеризуется
условной плотностью вероятности распределения w(U/Si), которая при фиксированном и заданной статистике помех
предполагается известной. Сигнал U квантуется
на два уровня, т. е. ему в соответствие ставится двоичная случайная величина
, принимающая значения j=0, 1 с вероятностью
где U0 - значение порога квантования.
Количество информации
, содержащееся
в U'j относительно Sj, зависит от
порога квантования U0. Очевидно, в качестве оптимального можно
условиться считать такой порог
, который максимизирует
Рис.
Рис.
количество информации
или, что то же, минимизирует потери информации
содержащейся в неквантованном принятом
сигнале U, относительно
полезного сигнала
Функционал количества информации, содержащегося в квантованном
сигнале, можно записать в виде:
(1.13)
Максимум
получается из условия равенства нулю
первой производной выражения (1.13) по Uo (при дополнительном условии, что вторая производная по этому
параметру отрицательна).
Результаты выбора по этому критерию оптимальных порогов для
сигналов с различными статистическими характеристиками в основном совпадают с
полученными ниже результатами по критерию минимального риска при обнаружении.
Задача определения оптимального порога двоичного квантования по
критерию минимального риска аналогична задаче синтеза оптимального решающего
устройства для обнаружения одиночных сигналов. Оптимальный порог двоичного
квантования сигналов с известной амплитудой по этому критерию получается из
условия минимизации взвешенной суммы ошибок первого и вто рого рода. Для
нахождения оптимального порога необходимо продифференцировать выражение для
среднего риска по порогу и приравнять результат нулю.
Средний риск при обнаружении одиночного нормированного сигнала
запишем в виде
(1.14)
Возьмем для простоты случай:

Тогда, дифференцируя выражение (1.14) по х0, получим
уравнение для нахождения оптимального порога
:
(1.15)
В соответствии с выражением (1.15) оптимальный порог должен
выбираться так, как показано на рис. 1.7
Рассмотрим конкретные примеры:
1. Для нормированных амплитуд смеси сигнала и
помехи на выходе синхронного детектора имеем:
(1.16)
(1.17)
Подставляя эти выражения в уравнение (1.15), после несложных
преобразований получим:
Таким образом, оптимальный порог двоичного квантования сигналов на
выходе синхронного детектора равен половине амплитуды полезного сигнала.
Аналогичный результат, но значительно более сложным путем, получен по критерию
минимума потери информации о полезном сигнале.
Для нормированных амплитуд смеси нефлюктуирующего сигнала и помехи
на выходе детектора огибающей имеем:
(1.18)
(1.19)
Подставляя эти выражения в уравнение (1.15), получаем:
(1.20)
Для случая слабых сигналов
получим
Для ряда значений амплитуды сигнала (а> 1) численное
решение уравнения (1.20) дает следующие результаты:
Таблица 1.1
|
а
|
1
|
2
|
3
|
4
|
|
1,51,752,12,5
|
|
|
|
|
При увеличении амплитуды сигнала оптимальный порог стремится к
. Аналогичные результаты получены по
критерию минимума потери информации. На рис. 1.8 приведены рассчитанные кривые
среднего риска в зависимости от порога квантования для нескольких, наиболее
характерных для импульсной РЛС обзорного действия отношений сигнала к помехе.
Кривые имеют слабо выраженные минимумы, что свидетельствует о
некритичности выбора порога двоичного квантования. В среднем, для достаточно
широкого диапазона отношений сигнала к помехе, оптимальные пороги лежат в
диапазоне 1,8-2,2, что дает возможность выбирать фиксированное значение порога
для всех ожидаемых отношений сигнала к помехе, без заметного проигрыша в
вероятности обнаружения.
При использовании критерия Неймана - Пирсона порог квантования
выбирается только исходя из заданной вероятности его превышения за счет помехи,
т. е. исходя из заданной вероятности появления единицы в области помехи.
Если с выхода детектора огибающей поступает только помеха, т. е.
а=0, то вероятность появления единицы равна:
(1.21)
При заданной вероятности
из этого выражения можно найти относительный порог амплитудного
квантования
(1.22)
Вероятность появления единицы при наличии нефлюктуирующего сигнала
определяется в этом случае по формуле
(1.23)
За один обзор РЛС от цели, которая находится в просторные,
отражается определенное число сигналов N, которое можно определить по
формуле
где
- ширина диаграммы направленности антенны РЛС за заданным уровнем
мощности или напряжения;
- величина углового перемещения диаграммы направленности антенны
за время
одного повторения зондирования РЛС;
- период обзора РЛС. В данном случае имеется в виду импульсная
РЛС кругового обзора.
Зона обзора РЛС в горизонтальной плоскости изображена на рис. 1.9.
Видно, что в результате дискретизации и квантования принятого
сигнала, с учетом импульсного характера работы РЛС, зона обзора оказалась
разделенной на элементарные участки с размерами ∆r i
, что содержат нули и единицы в
зависимости от значений виборок, которые попадаются к ним. Точками изображаются
единицы. Отсутствие точки означает нуль.
Размер
можно определить
,
где с - скорость света.
В данном элементарном секторе
набор единиц и нулей соответствует сигналу, полученному за один
период зондирования
. Сигналы, которые отражаются от одной
цели, находятся в одном кильке дальности
, так как дальность до цели за время нахождения ее в диаграмме
направленности антенны практически не изменяется в данном обзоре. Это разрешает
выделить
позиций на азимутальной оси
и провести обработку комбинаций нулей и
единиц как пачки квантованних сигналов, которые принадлежат к одной цели.
Пачка может быть истинной или ошибочной. Позициям пачки
соответствуют номера Х=1,2,¼,N.
Пачка квантованних сигналов изображена на рис. 1.7, где:
- случайная дискретная величины на позиции
, которая может принимать значение „0” или
„1”;
-
обозначение комбинации единиц и нулей на позициях пачки, которая есть случайной
вследствие случайности каждой величины
, которая входит в комбинации.
Для синтеза алгоритмов первичной обработки необходимо знать
статистические характеристики случайного набора единиц и нулей
в пачке, которая подлежит обработке.
1.4 Статистические характеристики квантованних сигналов
Дискретная случайная величина
, которая приобретает значение "1" или "0",
статистически полностью характеризуется вероятностями этих значений.
Введем обозначение:
- вероятность
=1, т.е. вероятность появления единицы
-и позиции пачки;
- вероятность
=0, т.е. вероятность появления нуля на
-и позиции пачки.
Поскольку "1" и "0" полная группу случайных
событий, то
+
=1. Значения
и
является законом распределения дискретной
случайной величины
, который можно записать в виде таблицы
или изобразить графиками (рис. 1.8).
Табличное или графическое изображение закона распределения
случайной величины неудобное для исследования процесса, поэтому используется
аналитическое выражение закона
, (1.24)
где
- вероятность значения величины
.
Для
и
имеем:
,
,
что соответствует табличному или графическому изображению закона
распределения величины
.
Считая события на позициях пачки независимыми и применяя теорему
умножения вероятностей, получаем закон распределения комбинаций нулей и единиц
на позициях пачки
:
. (1.25)
Очевидно, что закон распределения
для пачки, в составе виборок которой содержится полезный сигнал,
будет отличаться от закона, в составе виборок которого один шум, так как для
них будут разные
и
.
Действительно:
, (1.26)
,
,
где
,
- вероятность появления, соответственно, единицы и нуля на
позиции
при наличии в составе выборки полезного сигнала;
,
- вероятность появления, соответственно,
единицы и нуля на позиции
при наличии в составе выборки только
шума.
Графики вероятностей
и
изображены на рис. 1.12.
Запишем:
(1.27)
где
- условная вероятность появления
комбинации единиц и нулей
при условии, которое в составе принятого
сигнала есть полезный сигнал;
- условная вероятность появления комбинации единиц и нулей
при условии, которое в составе принятого
сигнала только помеха.
Полученные законы распределения пачек квантованних сигналов
используются для синтеза и анализа алгоритмов первичной обработки радиолокационных
сигналов. Распределения
и
известные, так как известные
,
,
,
, количество позиций в пачке
и число возможных комбинаций нулей и единиц
.
Например, для
=3 распределения
и
можно подать так (табл. 1.2):
Таблица
1.2
|
x
|
111
|
101
|
011
|
110
|
|
Р(x/а)
|
Ps1Ps2Ps3
|
Ps1qs2Ps3
|
qs1Ps2Ps3
|
Ps1qs2qs3
|
|
Р(x/0)
|
Pш1Pш2Pш3
|
Pш1qш2Pш3
|
qш1Pш2Pш3
|
Pш1Pш2qш3
|
|
x
|
001
|
100
|
010
|
000
|
|
Р(x/а)
|
qs1qs2qs3
|
Ps1qs2qs3
|
qs1Ps2qs3
|
qs1qs2qs3
|
|
Р(x/0)
|
qш1qш2Pш3
|
Pш1qш2qш3
|
qш1Pш2qш3
|
qш1qш2qш3
|
Возможное появление той или другой комбинации
характеризуется соответствующими
вероятностями
и
при фиксированных условиях
и 0. Эти законы позволяют определять функции правдоподобия,
которыми есть послеопытные значения
и
, когда уже получено
. После получения
выражение для
и
, поскольку
зафиксировано и есть функциями от условий
и 0.
Например, при наличии
=010 функции правдоподобия имеют значение:
Численно они характеризуют правдоподобие наличия или отсутствия
полезного сигнала, когда получено
.
2. Первичная обработка цифровых радиолокационных
сигналов
2.1 Статический синтез и анализ оптимального
алгоритма обнаружения
Решается задача обнаружения полезного сигнала, отраженного от
реальной цели, по пачке квантованних сигналов, которая имеет
позиций. Пачка представляет собой
комбинацию нулей и единиц:
={x1, x2, ..., xλ, x}. Количество возможных
комбинаций
в пачке
. Появление определенного количества комбинации
является случайным событием. Решение о
наличии или отсутствии полезного сигнала принимается после поступления
.
Для построения алгоритма выявления полезного сигнала чаще всего
применяется алгоритм Неймана-Пирсона, который аналитически можно записать в
таком виде :
, (2.1)
где
и
- функции правдоподобия;
- порог отношения правдоподобия, который выбирается, из заданной
допустимой вероятности ошибочного выявления сигнала
Решение о наличии полезного сигнала в составе полученной пачки
принимается в случае выполнения неравенства (2.1). Данный критерий
оптимальный, поскольку учитывает всю статистику квантованного сигнала,
выраженного функциями
и
. Кроме того, он обеспечивает ограничение на определенном уровне
ошибочных выявлений, который имеет весомое значение и при решении задач
обработки.
Преобразуем неравенство (2.1) в удобную для реализации на ЭВМ
форму. Для этого подставим выражение (1.14) для
и
и выполним операцию деления. Получим
. (2.2)
После логарифмирования получим неравенство :
.
Когда сгруппируем элементы неравенства и перенесем составляющие,
которые не содержат
, в правую часть, получим :
.
Обозначим:
- дискретную весовую функцию, которая учитывает форму диаграммы
направленности антенны, изображенной на рис.1.1,
-
- порогове число.
Окончательное выражение для математической записи алгоритма имеет
такой вид :
, (2.3)
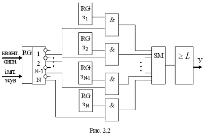
Согласно этому выражению процесс выявления полезного сигнала сводится
к такому алгоритму:
. Значение сменной
на позициях пачки множим на величину весовой функции на этих
самых позициях.
. Полученные произведения
сумируется.
. Сумма произведений
сравнивается с пороговим числом L, и если неравенство (2.3)
выполняется, то принимается решение о наличии полезного сигнала. Структура
решающего устройства изображена на рис.1.2.
Если упростить задачу и считать пачку прямоугольной, вероятности
появления нулей и единиц на позициях пачки не будут зависеть от номера позиции
.
Весовая функция
будет величиной постоянной, которую можно вынести за знак Σ. Тогда
, (2.4)
где
.
Процесс обнаружение в таком случае состоит в простом счете единиц
на позициях пачки и сравнении полученного числа с пороговим. Порог
исчисляется по формуле:
.
Важно знать качество решения задачи обнаружение с помощью
синтезированного алгоритма или решающего устройства, которое оценивается
вероятностями верного и ошибочного сигнала. Определим эти вероятности для
алгоритма (2.4).
Вероятность выявления сигнала можно определить, считая появление
последовательности единиц и нулей на позициях пачки последовательностью
независимых испытаний, которые представляют собой ряд Бернули.
Поэтому вероятность появления "
" единиц на
позициях пачки можно вычислить:

,
где
- число комбинаций из
по
;
и
- вероятности появления соответственно
единиц и нулей на позициях пачки, одинаковые для всех позиций.
Поскольку события обнаружение полезного сигнала, согласно формуле
(2.4), удовлетворяют событию, когда на
позициях пачки оказываются
,
+1,
+2, …,
единиц, то, применяя теорему добавления вероятностей получим:
,
где
- вероятность верного обнаружение сигнала;
,
где
- вероятность ошибочного обнаружение
сигнала;
,
где
- вероятность появления единицы за счет
полезного сигнала;
;
,
где
- вероятность появления единицы за счет
шума;
.
Используя эти формулы можно вычислить различные характеристики
системы обработки и РЛС.
2.2 Статический синтез и анализ оптимального
алгоритма оценки азимуту
Если антенная РЛС отьюстирована, диаграмма направленности антенны
симметричная, то азимут цели совпадает с центром пачки квантованного сигнала.
Для синтеза алгоритма оценки пачки квантованного сигнала
введем обозначение:
-
- истинный азимут центра пачки
квантованного сигнала, который нужно оценить;
- оценка азимуту центра пачки квантованного сигнала, который
отличается от истинного значения на величину ошибки оценки;
- отношение сигнал/шум в центре пачки;
- азимут
-й позиции квантованного сигнала;
- функция, которая описывает обводную пачки квантованного сигнала
(рис.1.3).
Применим для оценки азимута цели оптимальный метод - метод
максимума правдоподобия.
Функция правдоподобия вычисляется выражением если получена пачка
.
,
Считаем, что полученная пачка содержит полезный сигнал
(обнаружение состоялось), но действительное положение пачки на азимутальной оси
неизвестное. Функция правдоподобия
не является явной функцией от оцениваемого параметра
, но зависит от него.
Действительно :
,
где
,
поскольку
.
В свою очередь,
, следовательно,
.
Для сокращения записи обозначим:
и
.
Таким образом, функция правдоподобия для оцениваемого параметра
запишется в виде:
.
Поскольку
, то
и
, тогда
.
Второй член левой части полученного уравнения равняется нулю, так
как сумируются одинаковые числа положительного и отрицательного знака за счет
составляющей
, как это видно из рис.2.4.
Обозначим
- функцию веса сигнала на позиции пачки
при оценке азимута и получим окончательное выражение для алгоритма оценки
азимута цели:
. (2.5)
Процесс оценки азимута цели заключается в вычислении суммы
произведений величин
пачки согласно значениям весовой функции и сравнение суммы с
нулем. Если сумма равняется нулю, то за оценку азимута цели принимается азимут
центра точки для которой имеет место указанное равенство.
Для этой пачки суммы взвешенных единиц по левую сторону и по
правую сторону от центра одинаковы. Рис.2.5 иллюстрирует процесс оценки азимута
с дискретностью
между позициями пачки, и при каждом
смещении вычисляется сумма.
Положение центра весовой функции вычисляется по северному
направлению. Схема решающего устройства для оценки азимута цели изображена на
рис.2.6.
Качество алгоритма оценивается дисперсией оценки азимута,
минимальное значение которой вычисляестя по формуле:
Аналогично можно решить задачу и для оценки угла места цели.
Реализация оптимальных алгоритмов первичной обработки РЛИ
нуждается в выполнении большого количества логических и вычислительных операций
в реальном масштабе времени. В связи с этим при большом количестве целей
относятся высокие требования к объему памяти и быстродействию ЭВМ, что
применяются для обработки РЛИ, и которые не всегда можно удовлетворить. Поэтому
на практике широкое использование получили неоптимальные методы цифровой
обработки. Одним из них есть метод обработки с помощью цифровых логических
обнаружителей.
2.3 Обработка квантованных радиолокационных сигналов цифровыми
логическими обнаружителями
Пачка квантованных сигналов поступает для обработки
последовательно, за мерой перемещения луча диаграммы направленности антенны РЛС
за азимутом при обзоре пространства. Учитывая это, можно решать задачи
обработки (критерии) к части пачки во время поступления двоичных чисел
относительно ее позиций. При этом определяются начало и конец пачки,
принимается решение о выявлении полезного сигнала и оцениваются параметры пачки
(азимут, дальность и т.п.). Очевидно, что в этом случае результаты обработки
могут быть получены раньше момента поступление всей пачки, т.е. не вся
информация, которая содержится в пачке, будет учтена.
По этой причине и с точки зрения полноты учета статистической
информации о квантованнии сигнала, обработка РЛИ с помощью цифровых логических
обнаружителей не является оптимальной. Тем не менее, они приобрели широкое
использование через простоту реализации.
Обработка квантованных радиолокационных сигналов цифровыми
логическими обнаружителями осуществляется таким образом. Для выявления начала
пачки применяются логические критерии типа
, который означает: начало пачки считается выявленным, если на
- сопредельных ее позициях появится
единиц. На рис.1.7 показано выявления
начала пачки по критерию 2/3.
При выявлении начала пачки выдается сигнал
и фиксируется азимут начала пачки
. На практике
≤ 5,
≤
. Для выявления конца пачки применяются
логические критерии типа
, который означает: конец пачки считается
выявленным, если после выявления начала пачки на
- сопредельных позициях ее появляются нули. Как правило,
=2,3. На рис.2.7 изображено выявления
конца пачки по критерию
=2. В момент выявления конца пачки
выдается сигнал выявления
и фиксируется азимут конца пачки
. В целом логический критерий
записывается: "
/
-
". Например: "2/ 2-2"; "2/ 3-3";
"3/ 3-3"; "3/ 4-3" и т.п..
По полученными сигналами
и
принимается решение о выявлении полезного
сигнала. Как правило, сигналом выявления
полезного сигнала есть сигнал начала пачки
. Сигналы
,
используются для определения координат
пачки (целые). Например, азимут цели может быть определен за формулой:

. (2.7)
Известное положение сигнала
(
) на временной оси
относительно зондирующего импульса
позволяет оценить наклонную дальность к цели
, (2.8)
где
- скорость светлая.
Для анализа логический обнаружитель рассматривается как конечный
автомат, который подается в виде абстрактной схемы (графа).
2.4 Абстрактные схемы логических обнаружителей
Рассмотрим принцип построения абстрактной схемы автомата-
обнаружителя в виде графа на конкретном примере логики "3/ 4-3". Для
построения графа необходимо, прежде всего, отменить те комбинации единиц и
нулей, появление которых отвечает событиям выявления начала и конца пачки. При
этом необходимо учитывать, что логика выявления начинает выполняться с
появлением первой единицы и заканчивается появлением последней единицы, когда
критерий выявления начала пачки оказывается будет выполненным. Нули до и после
выполнения логики нет необходимости учитывать. Поэтому для выявления начала
пачки в данном примере нужно выделить комбинации: 111; 1011; 1101.
Логика выявления конца пачки начинает выполняться с появлением
первого нуля после выполнения логики выявления начала и заканчивается с
появлением последнего нуля, когда критерий выявления конца пачки будет выполненным.
В данном примере для выявления конца пачки имеет место одна
комбинация: 000. Таким образом, логика выявления начала пачки начинается и
заканчивается единицей, логика выявления конца пачки начинает выполняться после
выполнения логики выявления начала пачки при появлении первого нуля. Когда
логика выявления конца пачки будет выполненная, начнется цикл выявления
следующей пачки.
После выполнения комбинаций, которые удовлетворяют событиям
выявления начала и конца пачки, записываются, соответственно, логические
функции
и
для
этих событий.
В данном случае
,
,
где
и
;
цифрами І, ІІ, ІІІ, IV обозначенные номера комбинаций,
которые входят в логические функции (номера коньюнкций).
Для каждой комбинации сменных
, что последовательно поступают и составляют комбинации І, ІІ,
ІІІ, IV логических функций
относится в соответствие состояние автомата- обнаружителя.
Выделяется также начальное состояние, когда логика выявления начала пачки еще
не начала выполняться. Согласно этому в данном примере можно выделить такие
состояния (рассматривая последовательно комбинации І, ІІ, ІІІ, IV):
- начальное состояние, которому также ставим в соответствие
комбинации
выполнения логики обнаружения конца
пачки;
- поступила одна единица, т.е. комбинация
;
- поступила комбинация
;
- поступила комбинация
: - это состояние, когда выполненная логика обнаружения начала
пачки, итак, этому состояни отвечают также комбинации
и
;
- поступила комбинация
;
- поступила комбинация
;
- поступила комбинация
;
- поступил один нуль после выполнения логики обнаружения начала
пачки, т.е. комбинация
;
- поступила комбинация
.
На основе выделенных состояний строятся основные ветви графа.
Поскольку появление единицы и нуля - события случаю и характеризуются
вероятности их соответственно
и
(формула 1.13), то переходы автомата с
одного состояния в другое будут происходить также случайно. Строить граф удобно
последовательно для каждой коньюнкции отдельно, начиная, например, с первой,
учитывая все заданные соответствия состояния и комбинации сменных
, что поступают. После построения ветви
графа для первой коньюнкции строится ветвь для второй коньюнкции с учетом общих
состояний первой и второй коньюнкции. Потом для третьей коньюнкции аналогично,
учитывая общие части уже построенных ветвей.
На рис.1.8 изображенная основная часть графа, построенная согласно
указанной последовательности. Состояния 1, 2, 3 отображают коньюнкции
, станы 1, 4, 5, 6 отображают коньюнкции
, состояния 1, 2, 6, 3 -
, а состояния 7, 8, 0 -
.
На переходах графа обозначения
(
) указывают вероятность данного перехода,
а 1(0) - за какими сигналами осуществляется данный переход.
В таком виде граф незаконченный, так как не из всех состояний
есть переходы за каждым видом входного сигнала. Например, из состояния 4 есть
переход только по сигналу "1", а по сигналу "0" переход не
определен, хотя "0" может поступить и в то время, когда автомат
находится в состояни 4. Т.е. состояние 4 не определен, в отличие от состояния
1, где есть реакция и на единицу, и на нуль. Итак, граф нужно доопределить.
Доопределение графа состоит из добавления переходов
состояния, который имеет неполный их состав. К неопределенным относятся 0, 3,
4, 5, 6, 7, 8-и состояния. Адрес доопределенного перехода устанавливается,
исходя из заданных логик обнаружения. Например, если в состояние 4 прийдет
нуль, то, с учетом первой единицы, сформируется в данный момент комбинация 100,
и уже не может быть логика обнаружения 3/4, независимо от вида сигнала на
следующей 4-и позиции (1001 и 1000 означает невыполнение логики), поэтому нужно
при поступлении комбинации 100 начинать заново обнаруживать начало пачки, т.е.
переходить в состояние "0". Другая ситуация складывается, если в
состояние 5 поступил "0", это означает, что будет получена комбинация
1010, т.е. логика 3/4 не выполненна. Если перейти с 5-го состояния в 0-и, то
вся эта информация будет утрачена. В то же время, если сохранить в составе этой
комбинации последние 10, то за два следующих шага, если поступят две единицы,
логика обнаружения будет выполнена (1011).
Сохранить указанную информацию можно, если перейти с 5-го в
4-и состояние, который и нужно сделать при доопределении (101011). Таким
образом, доопределить состояние необходимо с учетом заданных критериев
обнаружения, избегая потери информации. На рис.2.9 изображен полный граф, где
пунктирные линии показывают доопределенные переходы.
Полученный граф со случайными переходами отображает в абсолютном
виде процесс работы логического обнаружителя, физическая реализация которого
может быть разной. Как правило, на переходах обозначаются только вероятности
переходов
и
.
Используя граф, можно изобразить автомат в виде матрицы переходных
вероятностей (стохастические матрицы переходов). Матрица переходных вероятностей
для автомата, который рассматривается, имеет вид (табл. 2.1):
Таблица
Для построения матрицы необходимо из графа определить для каждого
состояния адреса переходов и в соответствующие клеточки матрицы записать
вероятности переходов по этим адресам. Например, из состояния 0 можно перейти с
вероятностью
в это же состояние и с вероятностью
в состояние 1; из состояния 1 перейти в
состояние 2 с вероятностью
и в состояние 4 с вероятностью
, и т.п.. Строки матрицы можно рассматривать как входы, а столбцы
- как выходы состояния автомата. Матрица переходных вероятностей используется
для математического анализа логических обнаружителей.
2.5 Статистический анализ логических обнаружителей
Если изобразить обнаружитель в виде абстрактной схемы и получить
матрицу переходных вероятностей, то для его анализа можно применить результаты
теории простых цепей Маркова.
Если цепь Маркова эргодичний, т.е. вероятности переходов (и
состояний) не зависят от шага (момента времени), что рассматриваем, то для него
справедливое равенство
, (2.9)
где
- вектор (матрица) ограниченных
вероятностей состояний автомата;
- матрица переходных вероятностей;
и
- одинаковые на каком шагу.
Для неэргодичних цепей Маркова имеет место равенство
, (2.10)
где
- вектор (матрица) вероятностей автомата
на
-му шагу;
- вектор (матрица) вероятностей станів автомата на
-му шагу;
- матрица переходных вероятностей на
-му шагу.
Формула 2.10 есть рекурентное, т.е. ее применяют последовательно
от 1-й к
-й позиции для решения задачи анализа на
данной
-й позиции. При этом используется граф с
поглощающим экраном. Целью анализа обнаружителя есть определения его
качественных характеристик, среди которых:
- вероятность правильного обнаружения полезного сигнала;
- вероятность ложного обнаружение сигнала за счет шумов;
- дисперсии ошибок оценок координат сигналов.
Совокупность оценок координат r, B,
, полученных при первичной обработке
квантованних сигналов, составляет отметку, которая передается для вторичной
обработки. Вместе с отметкой для обработки передаются и ее качественные
характеристики:
,
.,
, которые также используются при вторичной
обработке.
В частности,
являются элементами корреляционной
матрицы ошибок определения координат, которые учитываются при синтезе
алгоритмов вторичной обработки РЛИ.
Рассмотрим пример статистического анализа логического
обнаружителля при определении одной из указанных характеристик, а именно
вероятности ошибочного обнаружения сигнала за счет шумов
.
Пусть логический обнаружитель построен на основе критерия "2/
2-2". Ложное обнаружение будет иметь место, если на вход обнаружителя
поступает помеха, а полезный сигнал отсутствует. При этом принимается решение,
наличие полезного сигнала, поскольку выполняется логика обнаружения "2/
2-2". Будем Считать, что стационарный шум - помеха. На вход обнаружителя
будет поступать стационарная последовательность нулей и единиц, вероятности
которых не будут зависеть от номера позиций пачки, как это показано на
рис.2.10.
Вероятности появления единицы на любой позиции пачки
и нуля
известные, и их можно вычислить:
. (2.11)
Задача состоит в определении
. Для этого нужно получить выраженные через известные
и
предельные вероятности состояний, решив матричное уравнение
(2.9):
, "2/ 2-2", (2.12)
где
и
- составляются на основе графа автомата- обнаружителя.
Граф цифрового логического обнаружителя, который реализует
критерий "2/ 2-2", имеет вид, изображенный на рис.2.11.
Рис.
Поскольку обнаружитель имеет четыре состояния, то

, (2.13)
где
- предельная вероятность состояния
"0";
- ограниченная вероятность состояния "1" .
Предельные вероятности состояний являются постоянными величинами и
не зависят от номера позиции пачки. Для них справедливое равенство:
, (2.14)
Поскольку состояния автомата составляют полную группу случайных
событий, автомат может находиться только в одном состояни, согласно графу:
1234
, (2.15)
В дальнейшем обозначение состояний 4х4 возле матриц приводится не
будут. Во всех случаях порядок значений допускается таким, как и данной
матрице. Подставив выражения (2.13) и (2.15) в формулу (2.12), получим
.
Как видим, результатом перемножения матриц в правой части
есть также матрица размером 1х4, каждый элемент которой является суммой
произведений элементов вектор-строки предельных вероятностей на одноименные
элементы столбцов матрицы переходных вероятностей.
Т.е:
Матрицы 1х4 равны единице, поэтому имеют место такие уравнения:
.
.
.
.
В полученной системе из четырех уравнений есть четыре неизвестных
Однако имея во внимании зависимость между
и
, что выражается уравнением
+
=1, системы с четырех уравнений недостаточно
для получения решения. Поэтому следует использовать также пятое уравнение
(2.14), тогда:
Решив данную систему уравнений, получим:
;
.
Зная вероятность состояний, можно определить вероятность
ошибочного обнаружения. Сначала определим вероятность обнаружения начала пачки
на любой одной позиции пачки для
. Очевидно, этим событием является переход автомата в состояние
"2" на одной позиции, вероятность которого
.
Поскольку всего в пачке N позиций и на каждой из них может
совершиться событие обнаружения пачки, то, применяя теорему добавления
вероятностей, получим :
.
Поскольку вероятности обнаружения на каждой позиции одинаковые,
, что справедливо при
и
. Аналогично
можно определить
для любой логики. На рис.1.12
изображенный график зависимости вероятности ошибочного обнаружения
от
для разных логических критериев.
Рис.
На основе логических критериев, которые удовлетворяют заданным
требованиям за качеством обработки информации, строятся алгоритмы, которые
реализуются на ЭВМ. В этом случае решается задача оценивания характеристик ЭВМ
для реализации алгоритма. Отметки, которые получают от первичной обработки,
передаются к устройствам вторичной обработки.
3. Практическая часть
Исходные данные
Период повторения импульсов секунд
Количество импульсов.L=64
Длительность импульсов секунд.
Частота сигнала Гц.
Частота дискретизации сигала Гц.
Расчет ДН антенны
Формулы для расчета диаграмма направленности были получены
эмпирическим путем, расщитываестя следующим образом:
(3.1)
величина углового перемещения диаграммы направленности антенны за
время
одного повторения зондирования РЛС;
- период обзора РЛС. В данном случае имеется в виду импульсная
РЛС кругового обзора.
- эмпирический коэффициент
(3.2)
Код позволяющий построить ДН приведен ниже:
delta=(360/4)*1/fd;=((-nod/2)+zd):1:((nod/2-1)+zd);
x=((delta/0.125).*o)+0.0001;=((2*besselj(1,x*1.158)./(x*1.158)).^2);
Рисунок 3.1 ДН РЛС
Ширина ДН на уровне 0,707 состовляет 0,25 градуса.
Моделирование узкополосного шума
Узкополосный шум получаю посредством фильтрации белого шума
полосовым фильтром со следующими параметрами:
-Граничные частоты полосы пропускания - fГП1=975МГц fГП2=1025МГц
Граничные частоты полосы задерживания - fГЗ1=900МГц fГЗ2=1100МГц
Максимальное затухание в полосе пропускания - Dа=3дБ.
Минимальное затухание в полосе задерживания - а=40дБ.
Фильтр типа Баттерворта.
Расчет порядка и коэффициентов филтра произвожу в среде Matlab:=0.975*f; % Fг.п_1=975
МГц; Первая граничная частота полосы пропускания.=1.025*f; % Fг.п_2=1025 МГц;
Вторая граничная частота полосы пропускания.=0.9*f; % Fг.з1 =900 МГц; Первая
граничная частота полосы задерживания.=1.1*f; % Fг.з2 =1100 МГц; Вторая
граничная частота полосы задерживания.=3; % Допустимый уровень пульсаций АЧХ
фильтра в полосе пропускания.=40; % Минимальный уровень подавления АЧХ фильтра
в полосе задерживания.=fgp1/(0.5*fd); % Рассчет нормированных «цифровых»
=fgp2/(0.5*fd); %=fgz1/(0.5*fd); %=fgz2/(0.5*fd); %
[n,Wn] = buttord([wgp1,wgp2],[wgz1,wgz2],da,a0); % Рассчет
порядка дискретного фильтра.
[b,a]=butter(n,Wn);% Рассчет коэффициентов фильтров.
Имеем следующие значения:
Порядок фильтра n = 4;
Коэффициенты фильтра в таблице
Таблица 3.1 Коэффициенты фильтра
|
а
|
1
|
-6,392
|
19,222
|
-35,023
|
42,112
|
-34,158
|
18,284
|
-5,9297
|
0,90476
|
|
b
|
1,2796e-007
|
0
|
-5,1185e-007
|
0
|
7,6778e-007
|
0
|
-5,1185e-007
|
0
|
1,2796e-007
|
Рисунок3.2 АЧХ цифрового фильтра
Рисунок 3.3 Узкополосный шум
Дисперсия и математическое ожидание в качастве аргументов
задаются в методе normrnd(Mu,Sigma) где Mu - математическое ожидание, Sigma - дисперсия
случайного процесса
Генерация зондирующих импульсов
Импульсы имеют прямоугольную форму, в луче ДН на уровне
ослабления 4 dB их содержится N = 64.
Листинг задачи импульсов выглядит так:
N1=square((2*pi)*t/T,100*t_imp/T);
x = square(t,duty)
Генерирует периодический прямоугольный сигнал с заданным
периодом заполнения, задаваемым вторым входным скалярным параметром duty. Этот
параметр задается в процентах и указывает, в течение какой доли периода
генерируемый сигнал принимает положительное значение
Рисунок 3.4 Зондирующие импульсы
Отраженные от цел импульсы генериую следующим образом:
N2=square(2*pi*t*(1/T)+targetD,100*t_imp/T);
Где величина targetD - есть задержка, по которой определяется расстояние
до цели
Рис.
Рисунок 3.5 Зондирующие и отраженные импульсы
Генерация гармонического сигнала
U=A*cos(2*pi*(f+f_doplera)*t);
Амплитуду А расcчитываем исходя
из заданного соотношения сигнал/шум следующим образом
=Dx*(SN)
Произведение гармонического сигнала на приямоугольные импульсы
дает форму сигнала на выходе передатчика
Рисунок 3.6 Промодулированный прямоугольный импульс
Сигнал в приемнике моделируем умножая пачку импульсов с ВЧ
заполнением на диаграмму направленности и прибавляем шум. Получаем следующую
эпюру.
Рис.
Рисунок 3.7 Сигнал на входе приемника. Отношение сигнал/шум равно
6.
Выделяем огибающую сигнала посредством синхронного детектирования
Структурная схема оптимального корреляционного обнаружителя
сигнала с неизвестной начальной фазой приведена на рис..
В качестве опорных колебаний на умножители подаются сдвинутые
по фазе на 900 колебания высокой частоты. Такие колебания называются
квадратурными, и схема рис. 10 называется корреляционной схемой с двумя
квадратурными каналами. Наличие двух каналов исключает потерю полезного сигнала
за счёт незнания его начальной фазы.
Рисунок 3.8 Структурная схема оптимального корреляционного
обнаружителя сигнала
При квадратурном суммировании помех в двухканальном
корреляторе происходит увеличение их интенсивности и изменение функции
распределения от нормальной к обобщённой, что приводит к увеличению вероятности
появления больших выбросов помехи
Для обеспечения заданной вероятности ложной тревоги (по
критерию Неймана-Пирсона) необходимо повышать порог h, что приводит к снижению
вероятности правильного обнаружения полезного сигнала по сравнению с сигналом с
полностью известными параметрами.
Листинг реализации текущей схемы:
Phasedet_1=W.*cos((2*pi*(f))*t);
Phasedet_2=W.*sin((2*pi*(f))*t);
[b1,a1]=butter(2,((f/(0.5*fd))/2),'low');=filter(b1,a1,Phasedet_1);
Рис.
[b1,a1]=butter(2,((f/(0.5*fd))/2),'low');=filter(b1,a1,Phasedet_2);
SYG = sqrt((SYG1).^2 + (SYG2).^2);
Рисунок 3.9 Сигал на выходе синхронного детектора
Пороговое устройство принимает решение о наличии сигнала.
Выборка, как случайная величина, описывается законом
распределения, который зависит от свойств полезного сигнала и помех, которые
накладываются на него. Если, например, величина отраженного сигнала неслучайная
и на сигнал накладывается помеха только за счет внутренних шумов приемника,
которые представляют собой узкополосную шумовую помеху, то выборка
распределения описывается общим законом Релея (законом Райса).
(3.3)
где
- нормированная за уровнем шумов величина
выборки;
- величина полезного сигнала в составе выборки;
- величина шума в составе выборки;
- среднее значение шума в составе выборки;
- нормированная по среднему значению шума величина полезного
сигнала (отношение сигнал/шум);
- условная
плотность распределения вероятности выборки при наличии в составе выборки
полезного сигнала.
Если в составе выборки нет полезного сигнала, эта выборка подлежит
распределению, которое описывается законом Релея:
, (3.4)
Рис.
где
- условная плотность распределения
вероятности выборки при отсутствии в ее составе полезного сигнала.
Рисунок 3.10 Функция распределения смеси сигнала и
узкополосной помехи. Слева направо отношение сигнал шум: 0, 2, 3, 4.
Средний риск при обнаружении одиночного нормированного
сигнала запишем в виде
(3.4)
Для нормированных амплитуд смеси сигнала и помехи на выходе
синхронного детектора имеем:
(3.5)
(3.6)
Подставляя эти выражения в уравнение (2.34), после несложных
преобразований получим:
Таким образом, оптимальный порог двоичного квантования
сигналов на выходе синхронного детектора равен половине амплитуды полезного
сигнала. Аналогичный результат, но значительно более сложным путем, получен по
критерию минимума потери информации о полезном сигнале
На рис. приведены рассчитанные и практчиески полученные
кривые псреднего риска в зависимости от порога
Рисунок 3.12 Смесь сигнал/шум и выбранный порог
Решается задача обнаружения полезного сигнала, отраженного от
реальной цели, по пачке квантованних сигналов, которая имеет
позиций. Пачка представляет собой
комбинацию нулей и единиц:
={x1, x2, ..., xλ, x}. Для построения алгоритма
выявления полезного сигнала чаще всего применяется алгоритм Неймана-Пирсона,
который аналитически можно записать в таком виде :
, (3.7)
где
и
- функции правдоподобия;
- порог отношения правдоподобия, который выбирается, из заданной
допустимой вероятности ошибочного выявления сигнала
Преобразуем неравенство (3.7) в удобную для реализации на ЭВМ
форму. Получим
. (3.8)
Окончательное выражение для математической записи алгоритма имеет
такой вид :
, (3.9)
Где
- функция веса, повторяющая форму ДН.
Процесс обнаружение в таком случае состоит в простом счете единиц
на позициях пачки и сравнении полученного числа с пороговим. Порог
исчисляется по формуле :
.
Рисунок 3.13
- цель есть.
Заключение
Рассмотренные методы обработки информации в АСУ нашли широкое
практическое применение. При этом имеет место разнообразие технических решений
при реализации методов в зависимости от назначения и условий функционирования
АСУ. К основным факторам, которые определяют необходимость и возможность
развития данной области науки и техники, нужно отнести:
беспрерывный рост потоков информации в АСУ;
необходимость решения все более сложных задач управления в
реальном масштабе времени с использованием данных о летательных объектах;
усовершенствование технической базы средств получения и
передачи информации на ЭВМ.
Вследствие развития технической базы появляется возможность
усовершенствования систем сбора и обработки информации как применением
теоретических методов, так и при практической реализации.
Методы цифровой обработки РЛИ, что базируются на теории
статистических решений, разработанные и исследованные довольно подробно.
Теоретические достижения в данной области превышают уровень практического
применения разработанных оптимальных методов через ограниченные возможности ЭВМ,
которые реализуют алгоритмы обработки. Но все же таки продолжается интенсивная
работа относительно усовершенствования методов в направлении более полного
учета статистических характеристик обрабатываемых данных и поиска эффективных
вычислительных операций. Рассматриваются возможности применения ассоциативной и
адаптивной обработки.
Беспрерывное развитие ЭВМ расширяет возможности относительно
реализации оптимальных методов обработки данных. Вероятно, оптимальные
статистические методы обработки информации будут чаще реализовываться на
практике при более полном использовании априорных и апостериорных характеристик
величин, которые обрабатываются. В то же время при современных ограничениях
возможностей вычислительной техники и возрастающих требованиях к качеству
обработки данных, имеет место необходимость разработки достаточно эффективных
алгоритмов, которые можно реализовать на существующих ЭВМ. В этом случае
большого значения приобретает анализ алгоритмов для оценки степени влияния
принятых ограничений на качество получаемых решений для обоснования
применимости неоптимальных методов обработки.
Развитие средств передачи данных будет тесно связан с
созданием единой системы связи в масштабе государства, которое предусматривает
организацию программного управления работой коммутационного оборудования с
помощью специализированных ЭВМ.
Предметом дальнейших исследований в области СПД есть решения
задач, связанных с разработкой единой системы связи. В переходной период
передача данных будет осуществляться за действующей телефонной сетью, которая
сначала назначалась для передачи голоса. Поэтому необходимо также продолжать
решение задач повышения качества передачи данных по существующим каналам связи.