Технология выполнения кадастровых работ на землях сельскохозяйственного назначения

  • Вид работы:
    Курсовая работа (т)
  • Предмет:
    Сельское хозяйство
  • Язык:
    Русский
    ,
    Формат файла:
    MS Word
    251,67 Кб
  • Опубликовано:
    2013-03-01
Вы можете узнать стоимость помощи в написании студенческой работы.
Помощь в написании работы, которую точно примут!

Технология выполнения кадастровых работ на землях сельскохозяйственного назначения

Технология выполнения кадастровых работ на землях сельскохозяйственного назначения

ВВЕДЕНИЕ

В современном мире, в отдельных странах и сообществах, огромное значение имеет соотношение между земельной собственностью и экономическим развитием. В этой связи знание реальной собственности и географических, топографических условий местности играет большую роль для процесса перспективного развития стран и сообществ.

В России на данный период не существует полностью разработанных систем недвижимой собственности и регистрации земли. Почти все владения землей первой категории (сельскохозяйственные) не имеют под собой правовой основы, хотя называются «хозяйствами» (кооперативными, фермерскими, личными и т. п.), так как законодательно не переоформлено право бессрочного (постоянного) пользования земельными участками на право аренды либо на право собственности, действующего до 01.01.2004 г. (продлено до 01.01.2008 г. согласно статье 3 «О межевании сельскохозяйственных земель» Федерального закона «О введении в действие Земельного кодекса РФ»). В этой связи необходимо решить две основные проблемы. Первая - создание земельно-кадастровых карт и регистрация земли на основе автоматизированной системы геоинформационных систем (АС ГИС). Регистрация собственности и прав на землю в совокупности с топографическими данными является неотъемлемой частью этой системы. Поэтому одна из главных задач в настоящее время - создание единой системы кадастра недвижимости, а именно: разработка эффективных методов регулирования вопросов земельной собственности и создание гарантий на нее, что послужит предпосылкой для экономического подъема в стране.

Реализация проекта единой системы кадастра недвижимости должна привести к повышению эффективности сельского хозяйства при существовании частной собственности, а также к увеличению оборота земельных участков, причем не только в сельскохозяйственной сфере. При этом должен быть использован опыт ведения кадастра недвижимости развитых стран.

Вторая важнейшая проблема - это вопрос рационального использования уже созданной базы как дореволюционной сельскохозяйственной науки, так и более поздних фундаментальных научных разработок. С помощью научных достижений в сельскохозяйственном производстве обеспечиваются рост и устойчивость производства зерна и другой сельхозпродукции. За счет создания зон гарантированного урожая повышается эффективность земледелия и животноводства и качество сельхозпродукции. Важнейшее значение для развития сельскохозяйственной науки в 1960-1970 гг. имели работы по агрофизике, агрохимии, селекции и др. Учеными предложены схемы севооборотов для различных зон с учетом местных условий, специализации и концентрации производства. Разработаны системы, предотвращающие ветровую эрозию и способствующие повышению урожайности зерновых культур. В 1970-1980 гг. созданы новые высокопродуктивные сорта пшеницы, а также районированные сорта озимой пшеницы интенсивного типа, которые дают урожай до 60 центнеров с одного гектара. В этот же период выведены сорта яровой пшеницы на опытных полях, где урожай достигает до 50-55 центнеров с одного гектара. Однако в отмеченный период в сельском хозяйстве поддерживался курс экстенсивного производства за счет расширения пахотных земель. Примером может служить увеличение производства зерна в 1953-1956 гг. с 82 до 125 млн. т в период освоения целинных и залежных земель (в районах целины было вспахано и освоено более 32 млн. га [5]). Урожайность составляла около 10 центнеров с одного гектара, при 100 %-ной механизации труда и энергообеспеченности.

В дореволюционной России урожайность зерновых составляла от 7 до 9 центнеров с одного гектара, при этом механизированный труд составлял 0,2 млн. л. с. (менее 1 %), а энерговооруженность сельского хозяйства не превышала 0,5 л. с. в расчете на одного работника [5].

Естественно, экстенсивный метод производства сельского хозяйства при 100 %-ной энерговооруженности в России обусловлен обширными земельными просторами и тем, что не всегда учитывались неблагоприятные природные и климатические условия, особенно в районах Русской равнины, юга Западной и Восточной Сибири. По утверждению ученых-мерзлотоведов, в недалеком геологическом прошлом эти районы относились к вечномерзлым грунтам и были распространены до их южных пределов, и даже охватывали Северный Казахстан. А это сотни и даже тысячи километров от южных границ современной криолитозоны. Утверждения ученых построены на основе фактов обнаружения в этих районах так называемых псевдоморфоз, полностью вытаявших ледяных жил в четвертичных отложениях. На основании изучения грунтовых псевдоморфоз выделяют фазы похолоданий и потеплений климата, наступлений и отступлений морей, поднятий и опусканий (колебаний) суши и т. д. Все вышесказанное о криолитозонах порождает еще одну проблему в развитии сельскохозяйственной науки, не менее масштабную и непосредственно связанную с рассматриваемой темой.

Приоритет охране земли в задачах рационального использования природных ресурсов нашей страны отводится потому, что земля является важнейшим компонентом окружающей среды и средством производства в сельском и лесном хозяйствах.

При создании проектов долголетних культурных пашен и пастбищ (ДКПиП), землеустройства и лесоустройства в основе лежит ландшафтное проектирование. Наша страна богата природными ландшафтами, различными по ценности и масштабу. Ландшафт природный в географическом понимании - это однородный участок суши, окаймленный естественными границами, в пределах которых природные компоненты: климат, рельеф, вода, почва, растительность, животный мир - являются общими на однородных территориях, к примеру, тайга, тундра. Есть более мелкие природные единства, которые являются составными частями географического ландшафта (особенно участки леса, группы озер и др.).

В традиционном проектировании выделяется понятие разновидности ландшафтов. Так, например, существует природный, сельскохозяйственный (рис. 1, 2), городской (рис. 3) и промышленный (рис. 4). Последние три называют антропогенными ландшафтами. Антропогенные ландшафты существуют с того времени, когда началась хозяйственная деятельность человека, медленно, но неуклонно на протяжении сотен лет изменявшая природный ландшафт. Постепенные изменения ландшафта охватывали все большие земельные участки. В последнее время к ним присоединились изменения необратимого характера, вызываемые промышленным производством и добычей полезных ископаемых. Изменения окружающей среды разнообразны как по своему физическому выражению, так и по степени устойчивости - от полного «омертвления» до относительно небольших «повреждений», которые могут еще восстановиться естественным путем.

Необходимо сохранение природных ландшафтов, даже испытавших некоторые антропогенные влияния, так как на основе изучения этих «оазисов» вытекает понимание законов экологического равновесия, что является единственным путем к формированию устойчивых и жизнеспособных образцов среды обитания человека в дальнейшем.

В основе формирования сельскохозяйственного ландшафта лежит рациональное использование природных возможностей. Однако изученность специфических закономерностей сложившегося природного ландшафта может и должна распространяться всюду, где это необходимо с точки зрения сохранения среды. Поэтому крайне необходима в настоящее время комплексная разработка проектов инвестиций в строительство районов кадастровых работ, что и является целью данной работы.

Грамотное использование этих проектов расширит возможности создания долголетних культурных пашен и пастбищ, что, в свою очередь, приведет к сокращению энергоресурсов, неоправданных трудозатрат в сельском хозяйстве, более обоснованной связи науки с производством и в итоге - к увеличению урожайности сельскохозяйственных культур в существующих хозяйствах.

На основе запроектированной системы ДКПиП (прил. 8) любого сельхозпредприятия разрабатывается комплексный проект обоснования инвестиций в строительство этого района. Данный проект состоит из пяти разделов и предусматривает: ландшафтное проектирование сельхозугодий с центральным поселением, корпоративную геоинформационную систему, внутрихозяйственное проектирование, оценку стоимости земли и порядок регистрации земельных участков в едином государственном реестре. Полный состав и структура комплексного проекта даны в заключении.

Необходимо заметить, что при повсеместном создании культурных сельхозугодий для базовых культур в основе должно лежать органическое земледелие, а не система генно-модифицированных организмов, применяемая в настоящее время за рубежом. Необходимо природу рассматривать как партнера, и в этом случае примером может служить борьба с вредителями. Какая польза от высокоэффективных пестицидов, если они потом приносят отрицательные последствия, которые даже трудно оценить? Эффективнее, конечно, использовать следующие агротехнические методы, например, отказ от монокультур или изменение биологических методов борьбы с вредителями. Так, разведением божьих коровок или златоглазки занимаются сейчас садоводы-любители, спасая свои сады от различных тлей. Создание органического земледелия в России - это совместное дело науки и сельхозпроизводителей, дело дорогое и трудоемкое, решается системой организации ДКПиП повсеместно при поддержке государства.

В настоящей работе показаны особенности проектирования ДКПиП, дана общая характеристика разработки комплексного проекта обоснования инвестиций в строительство района кадастровых работ, проанализировано современное состояние и формирование земельного кадастра, а также геодезическое и геоинформационное обеспечение при проектировании ДКПиП и разработке комплексного проекта с кадастровой оценкой стоимости земель.

Основная цель работы - привлечь внимание к одной из актуальных для России сельскохозяйственных проблем, раскрыть ее содержание и задачи, подчеркнуть необходимость адекватного реагирования на новую ситуацию в сельском хозяйстве, т. е. создание ДКПиП и агрогорода, где должна выполняться полная переработка сельхозпродукции.

. ОСНОВНЫЕ ОСОБЕННОСТИ ФОРМИРОВАНИЯ ЗЕМЕЛЬНОГО КАДАСТРА В РОССИИ

Земельный кадастр является государственной информационной системой, которая содержит сведения о землевладении и землепользовании. Понятие «землепользование» - это процесс использования и постоянного развития земельных ресурсов. В понятие «землевладение» входят права, ограничения и ответственность людей по отношению к земле, а также сведения о различных формах землевладения - государственной, общественной, частной и т. д.

Рациональное и наиболее эффективное землепользование возможно лишь на основе полной информации о землевладении и состоянии земель.

Рациональное и наиболее эффективное землепользование возможно лишь на основе полной информации о землевладении и состоянии земель.

Экономическая оценка земель предусматривала выполнение некоторых видов оценки:

         1) качественную оценку земель с точки зрения пригодности их использования в сельском хозяйстве;

         2) частную экономическую оценку - проводится для изучения эффективности возделывания отдельных сельхоз культур и подсчета затрат на землях различного качества;

         3) общую экономическую оценку земли как средства производства в сельском хозяйстве по экономическому плодородию в целом. По всей территории страны проводится кадастровое районирование и учет одинаковых местных климатических условий, физических и химических свойств почв и специализации хозяйств.

В СССР кадастровая оценка земель была направлена на плановую оптимизацию каждого хозяйства. Основная цель оценки природных ресурсов при теории плановой оптимизации заключалась в получении наиболее высокого экономического эффекта как разности между затратами замыкающими и затратами, характеризующими данный ресурс. С 1991 г. в стране начинаются рассуждения о создании в России полноценного рынка земли, т. е. о необходимости принятия Земельного кодекса, регулирующего оборот земли. Поэтому, в соответствии с Федеральным законом от 11.10.91 г. № 1738-1 «О плате за землю», использование земель в России является платным, формами платы являются нормативная цена земли, земельный налог, арендная плата. Затем в 2000 г. принимается Федеральный закон «О государственном земельном кадастре», который, по мнению специалистов, должен стать информационной системой с полным описанием характеристик всех земельных участков (угодий) вместе с

Экономическая оценка земель предусматривала выполнение некоторых видов оценки:

         1) качественную оценку земель с точки зрения пригодности их использования в сельском хозяйстве;

         2) частную экономическую оценку - проводится для изучения эффективности возделывания отдельных сельхоз культур и подсчета затрат на землях различного качества;

         3) общую экономическую оценку земли как средства производства в сельском хозяйстве по экономическому плодородию в целом. По всей территории страны проводится кадастровое районирование и учет одинаковых местных климатических условий, физических и химических свойств почв и специализации хозяйств.

В СССР кадастровая оценка земель была направлена на плановую оптимизацию каждого хозяйства. Основная цель оценки природных ресурсов при теории плановой оптимизации заключалась в получении наиболее высокого экономического эффекта как разности между затратами замыкающими и затратами, характеризующими данный ресурс.

С 1991 г. в стране начинаются рассуждения о создании в России полноценного рынка земли, т. е. о необходимости принятия Земельного кодекса, регулирующего оборот земли. Поэтому, в соответствии с Федеральным законом от 11.10.91 г. № 1738-1 «О плате за землю», использование земель в России является платным, формами платы являются нормативная цена земли, земельный налог, арендная плата. Затем в 2000 г. принимается Федеральный закон «О государственном земельном кадастре», который, по мнению специалистов, должен стать информационной системой с полным описанием характеристик всех земельных участков (угодий).

Закон вступил в силу только в 2000 г., хотя Роскомзем начал работать над созданием земельного кадастра еще в 1996 г., руководствуясь Постановлением Правительства РФ от 25 августа 1992 г. № 622. Однако Роскомзем в основном продолжает заниматься только вопросами землеустройства, имея в виду, что земля является, прежде всего, средством производства, а не объектом недвижимости. В рыночной же экономике, наоборот, земля - это недвижимости, а затем - средство производства. Поэтому в законе определено, что органы, осуществляющие государственную регистрацию прав на недвижимое имущество и сделок с ним, а также органы, осуществляющие специальную регистрацию или учет отдельных видов недвижимого имущества, природных ресурсов и территориальных зон, должны бесплатно в десятидневный срок представлять всю информацию для занесения ее в земельный кадастр.

По данным Федеральной службы земельного кадастра за 2000 г. было установлено, что картографический материал (карты и планы), пригодный для проведения инвентаризации, имеется менее чем на 50 % российских сельхозугодий, а по городам и поселкам - на 34 %. Инвентаризация за 1999 г. была выполнена всего лишь на 16,4 % от общей площади земель поселений, причем в городах и поселках на 29,8 %, а сельских населенных пунктах на 8,7 %. Инвентаризация земель была затруднена из-за недостатка бюджетных средств. Однако даже в этом случае было выявлено большое количество неучтенных землепользователей: самовольный захват, неиспользование отведенных участков, нерациональное использование. Все это наносит ущерб бюджету из-за потерь при налогообложении. Так или иначе, завершение создания земельного кадастра будет способствовать внедрению единой информационной системы [9]. Однако уже известно (подсчитано), что один доллар США, вложенный в информационную систему по недвижимости, приносит до 14 долларов прибыли.

Рассмотрим технологию государственного земельного кадастра (ГЗК) для земель сельскохозяйственного назначения, который является единой государственной информационной системой признания и удостоверения государством факта возникновения, существования или прекращения существования объектов кадастрового учета. Внесенные в учетные формы сведения об объекте кадастрового учета являются единственным доказательством существования учетного объекта в границах, признанных при его учете.

ГЗК как многоцелевой, многоуровневый банк данных о земельных ресурсах содержит необходимые сведения и документы о правовом режиме землепользования и землевладения.

Государственный земельный кадастр на всей территории РФ осуществляется по установленной Федеральным законом системе формирования объектов и их государственного кадастрового учета.

ГЗК включает Единый государственный реестр земель, кадастровые дела и дежурные кадастровые карты, базы земельно-кадастровых данных субъектов России и государства в целом.

Данные ГЗК подлежат обязательному применению при государственной регистрации прав на недвижимое имущество и сделок с ним, при разрешении земельных споров, изъятия и предоставления земель, при оценке земель, определении размера платы за землю, налогообложении земли и иных объектов недвижимости, планировании использования (зонировании) земель, проведении землеустройства, осуществлении государственного контроля за использованием и охраной земель, принятии управленческих и иных решений в этой области.

Государственный земельный кадастр создается и ведется в целях:

         - обеспечения признания государством факта существования или прекращения существования объекта учета;

         - государственного учета земель, контроля за их использованием и охраной;

         - планирования и регулирования использования земельных ресурсов;

         - оценки земель и установления обоснованной платы за землю;

         - обеспечения государственной регистрации прав на недвижимое имущество и сделок с ним;

         - защиты прав граждан и юридических лиц на землю;

         - информационного обеспечения гражданского оборота земли.

Задачами ГЗК является обеспечение заинтересованных лиц признанными государством достоверными сведениями о характеристиках объектов учета и их местоположении.

Земля как природный ресурс характеризуется отдельными свойствами почв, которые по-разному влияют на ее продуктивность, поэтому возникает необходимость их сравнительной оценки, т. е. проведения бонитировки почв. Сведения регистрации землепользований и учет земель служат исходной информацией при бонитировке почв отдельных земельных участков.

Качество земли зависит не только от природных факторов, но и от экономических условий, поэтому возникает необходимость в экономической оценке земли как средства производства. Данные этой оценки основываются на регистрационно-учетных и бонитировочных сведениях. Такова связь и последовательность ведения земельного кадастра целостной системы.

В свою очередь, каждая из частей земельного кадастра имеет конкретное назначение и содержание, основывается на определенных методах и способах ведения. Каждая из них в определенных условиях может проводиться самостоятельно. Возможно также осуществление не всех, а лишь некоторых частей земельного кадастра и изменение последовательности их проведения. Целостность земельного кадастра как системы обусловливает необходимость единства организационных начал его осуществления и ведения документации. Рекомендуемая технологическая схема нового земельного кадастра включает три этапа:

         1) формирование кадастрового дела объекта недвижимости, т. е. земельного участка, и выполненных на нем таких улучшений, перемещение которых без значительного ущерба их назначению невозможно (леса, многолетние насаждения, здания, сооружения и т. д.);

         2) государственный кадастровый учет объектов недвижимости;

         3) государственная регистрация прав на объекты недвижимости.

Первый этап предусматривает создание кадастрового дела по объекту недвижимости, которое включает в себя:

         описание местоположения земельного участка: адрес границ на местности, координаты поворотных точек границ, площадь, согласование границ со смежными землепользователями, закрепление границ на местности;

         границ со смежными землепользователями, закрепление границ на местности;

         техническое описание улучшений (здания, сооружения): наименование и целевое назначение объекта, год постройки, этажность, типы коммуникаций, характеристика благоустройства и т. д.;

         экономическое описание объекта недвижимости (оценка стоимости объекта недвижимости, включающая стоимость земельного участка и выполненных на нем улучшений).

         Кадастровое дело содержит три группы документов: описывающие собственно объект недвижимости, удостоверяющие самого объекта права и подтверждающие право субъекта на объект недвижимости.

Документы группируются в отдельные регистры:

         регистр титулов (правоустанавливающий документ и документы, подтверждающие правопреемственность);

         регистр топогеодезический (материалы съемок, кадастровый план, каталог координат и высот, ведомости площадей, экспликация участка);

         регистр имущества, расположенного на земельном участке (документы технических характеристик, правовая принадлежность зданий и сооружений);

         регистр экономический (материалы стоимостной оценки объекта недвижимости на основе местоположения, почвенного покрова, инфраструктуры, залежей полезных ископаемых, сведения о налогах, платежах, льготах и т. д.);

         регистр ограничений (ограничения, налагаемые на право пользования объекта недвижимости, сервитуты).

На втором этапе происходит процедура кадастрового учета объекта недвижимости:

         проверка полноты и правильности формирования кадастрового дела;

         заполнение кадастровой регистрационной карты на объект недвижимости;

         занесение сведений об объекте недвижимости в документацию ГЗК;

         нанесение границ объекта недвижимости на дежурный кадастровый план;

         оформление свидетельства о кадастровом учете объекта недвижимости;

         закрытие кадастрового дела и сдача его в архив органа государственного кадастрового учета объектов недвижимости; приобщение к кадастровому делу объекта недвижимости новых правоустанавливающих документов для отслеживания правовой истории объекта недвижимости.

На третьем этапе осуществляется государственная регистрация прав на объекты недвижимости посредством внесения информации о праве субъекта на объект недвижимости (земельный участок) в специальный документ, называемый Поземельной книгой.

Данная процедура включает следующие действия: анализ и экспертиза правоустанавливающих документов на объект недвижимости, проверка их подлинности и соответствия действующему законодательству;

         запись в Поземельную книгу;

         выписка в двух экземплярах свидетельства о регистрации прав на объект недвижимости;

         извещение субъекта органом государственного кадастрового учета о праве произведенной регистрации.

Поземельная книга представляет собой картотеку и электронный банк данных.

Разделы книги включают описание:

         земельных участков;

         первичных объектов недвижимости (здания, сооружения);

         вторичных объектов недвижимости (помещения, квартиры, офисы и т. п.).

Сведения об объекте недвижимости могут для удобства пользования подразделяться на составные части (регистры) по числу существующих видов прав на объекты недвижимости:

         регистр основных прав (кадастровый номер, адрес, целевое назначение, размеры, сведения о правообладателе, виде его прав на объект, ссылка на документы, на основе которых право зарегистрировано);

         регистр аренды (арендные отношения, связанные с объектом);

         регистр сервитутов;

         регистр залогов;

         регистр обременений.

В системе земельного кадастра выделяют семь основных категорий земель в соответствии с целевым назначением.

Категория первая. Земли сельскохозяйственного назначения. Предназначены для использования их в сельскохозяйственном производстве, где они выступают как главное средство производства в целях удовлетворения народного хозяйства в сырье.

Категория вторая. Земли поселений (городов, поселков и сельских населенных пунктов). Данные земли выступают как пространственный базис или место для размещения зданий, сооружений в городах, поселках и других населенных пунктах в пределах границ, установленных для этих пунктов.

Категория третья. Земли промышленности, транспорта, связи, радиовещания, телевидения, информатики и космического обеспечения. Земли этой категории выполняют ту же функцию, что и земли населенных пунктов. Они располагаются небольшими массивами среди других категорий земель и предоставлены в пользование предприятиям, организациям и учреждениям для осуществления возложенных на них специальных задач.

Категория четвертая. Земли особо охраняемых территорий, т. е. земли природоохранного, природозаповедного, оздоровительного, историко-культурного назначения. Это земельные участки, имеющие лечебные здания и благоприятные условия для организации оздоровительных мероприятий, и земли заповедников - земельные объекты, представляющие особую научную и культурную ценность. Находятся они в ведении соответствующих министерств и ведомств.

Категория пятая. Земли лесного фонда. В состав земель данной категории входят земли, покрытые и непокрытые лесом, но предназначенные для нужд лесного хозяйства и находящиеся в пользовании лесохозяйственных предприятий, организаций, учреждений. Здесь земля, как и земли первой категории, выступает как средство производства.

Категория шестая. Земли водного фонда. Эту категорию земель составляют земли, занятые водоемами, ледниками, гидротехническими и подобными сооружениями, а также земли, выделенные по берегам водоемов, под зоны охраны и т. д. Особенность этих земель с экономической точки зрения в том, что их функционирование связано с использованием другого средства производства - воды.

Категория седьмая. Земли запаса. Это резерв для организации новых предприятий и предоставления во временное пользование, т. е. сюда относятся те земли, которые не представлены землепользователям в бессрочное или долгосрочное пользование. Термин землепользование можно определить как пользование землей в установленном законом порядке. Пользование конкретным земельным участком, закрепленным государством за определенным землепользователем, приобретает правовой характер в результате выдачи ему документа. Обособленная территория выступает как объект права пользования отдельными лицами или группой лиц (коллективом). Под земельным участком как кадастровой единицей следует понимать территорию, предоставленную отдельному землепользователю для определенной цели, площадью, ограниченной на местности. Показателем, который выражает экономическую сущность землепользования, является земельное угодье. Под ним понимается территория, систематически используемая для конкретных хозяйственных целей и обладающая определенными естественными свойствами. Земельное угодье выступает носителем существенных свойств, присущих землепользованию как экономическому явлению. В силу этого угодье служит основным элементом при ведении земельного кадастра.

В сельском хозяйстве земля является как предметом труда, так и орудием труда. Поэтому классификацию земель по угодьям рассматривают, прежде всего, с позиции их применения в сельскохозяйственном производстве. Одни и те же территории могут использоваться как для основных, так и для побочных целей. Например, сенокос после уборки может использоваться для пастьбы скота. Однако эта территория не является пастбищем. Важно иметь не только общее понятие о земельном угодье, но и о каждом отдельном виде его и соответствующей характеристике, связанной с целевым назначением того или иного угодья.

В сельском хозяйстве, где земля выступает как главное средство производства, формы ее использования дифференцированы. Здесь земли могут использоваться так же, как и в других отраслях (под постройки, дороги и т. п.), и в то же время специфично (пашня, залежь, сенокос и т. п.). Пашня - земельная площадь, используемая под посевы культур. Многолетние продуктивные насаждения - сады, виноградники и т. п. Сенокосы и пастбища - естественные кормовые угодья, используемые для обеспечения животноводства кормами (угодья луговодства). Порядок использования земель внутри категории определяется собственником, пользователем, владельцем, арендатором земельных участков, в соответствии с зонированием земель, территориальным планированием использования земель и землеустроительной документацией. В отдельную группу выделяют угодья, где земля выступает как предмет труда. Это места добычи торфа, песка, глины, камня и т. п. В сельском хозяйстве они играют относительно меньшую роль, но необходимы для нормального его функционирования. На форму использования земли определенное влияние оказывают природные факторы и свойства земли. Так, под пашню отводят территории, имеющие незначительные уклоны местности, под многолетние насаждения - участки с определенной экспозицией склона и соответствующим залеганием грунтовых вод.

Климатические условия обусловливают зональность размещения культур и структуру угодий. Поэтому выделяют не только виды, но и подвиды угодий. За основу выделения подвидов принимаются главным образом природные признаки, характеризующие фактическое состояние того или иного угодья. Отражая качественное состояние угодий, эти признаки в какой-то мере влияют на их продуктивность. Например, в составе сенокосов выделяются суходольные, заливные, заболоченные участки. В составе пастбищ - суходольные, заболоченные. В составе землепользования, кроме используемых земель, могут быть и неиспользуемые (ямы, овраги, болота и т. п.).

Каждое угодье состоит из отдельных контуров. Под контуром обычно понимается территория, состоящая из однородного угодья и имеющая замкнутую внешнюю границу. Чем больше контуры, тем они удобнее для использования техники. Мелкая контурность создает неудобства в использовании угодий и вызывает дополнительные затраты на обработку и уборку урожая. Внутри угодья могут быть выделены почвенные контуры, т. е. те части угодья, которые отличаются по почвенным условиям. В районах орошаемого земледелия могут быть выделены поливные участки. В связи с улучшением качества путем мелиорации сельхозугодия подразделяются на орошаемые и осушаемые, а они, в свою очередь, - по видам и мелиоративному состоянию. Учет количества земель по угодьям проводят по фактическим размерам и состоянию земельных угодий, применяя определенную классификацию земель по видам и подвидам сельхозугодий, например, пашня орошаемая, сенокос осушаемый и т. д.

После количественного учета проводят учет качества земель в пределах определенных группировок почв и классификации земель. Земли характеризуются, прежде всего, по почвам, которые наиболее полно выражают ее сущность. Для определения качества земли учитывают дополнительно рельеф, климат, подстилающие породы грунтов и другие природные факторы, а также хозяйственную деятельность человека. В составе сельхозугодий выделяют специальные категории, зональные типы, классы, разряды и виды земель.

Категории земель.

Существует три категории пригодности земель сельскохозяйственного использования: земли, пригодные под любое сельскохозяйственное использование, в том числе под полевые культуры; земли, малопригодные под полевые культуры, но пригодные под кормовые угодья (сенокос, пастбища); земли, не пригодные для использования в сельском хозяйстве без коренной мелиорации (болота, нарушенные земли и т. п.).

Классы земель - обособляемые части категорий пригодности по различию почв, их механического состава и почвообразующих пород, а также по условиям рельефа и увлажнению; т. е. класс земель выступает в качестве классификационной единицы и представляет земли с близкими природными и хозяйственными качествами, с характерной общностью использования, направлениями окультуривания, повышения продуктивности и их охраны.

Оценка агрономического качества почв, т. е. бонитировка (от лат. Bonitag - «доброкачественность»), является составной частью как земельного кадастра, так и частью общей оценки, основанной на анализе природных показателей почв, влияющих на производительность ведущих сельхозкультур при определенном уровне земледелия и степени окультуренности почв. Бонитировка выступает в роли уточненной агрономической инвентаризации, где учет качества по природному плодородию выражается в баллах (при сопоставлении и уточнении их со средней многолетней урожайностью зерновых, технических и кормовых культур) и показывает, во сколько раз данная почва лучше или хуже другой по своим естественным свойствам, влияющим на урожайность сельхозкультур или продуктивность сенокоса и пастбищ. Набор диагностических признаков для бонитировки в каждом природном районе свой, но в основном сводится к наличию следующих признаков: климатическим условиям, рельефу, типу и виду почв, механическому составу подстилающей породе грунтов, запасу гумуса в пахотном слое и во всем профиле, условиям увлажнения и характеру поглощающего комплекса. Окультуренность учитывается по запасам подвижных форм фосфора, калия и кислотности.

Последней составной частью земельного кадастра является экономическая оценка земель. Под экономической оценкой понимается оценка качества земли как средства сельскохозяйственного производства, обладающей рядом особых качеств, которые надо количественно соизмерить и оценить. Это можно сделать с помощью оценки плодородия земли и ее местоположения.

         При сравнительной оценке земли выход продукции должен быть поставлен в определенную зависимость от издержек производства. Величина затрат на производство единицы продукции экономически выражает качество земли. Таким образом, в основе экономической оценки земли лежит различие в качестве земли, определяемое эффективностью равновеликих затрат, вложенных в землю разного качества. Урожайность при этой оценке является главным критерием. Другим критерием служит рациональный уровень затрат на производство той или иной культуры.

В качестве обобщающих экономических критериев при оценке земли могут быть использованы валовая продукция (в денежном выражении и в зерновых или кормовых единицах), валовой доход и чистый доход, дифференцированная рента, отнесенные к единице площади угодий. Данные критерии характеризуют качество земли при условиях:

         если одинакова структура посевных площадей;

         если сопоставимы цены на продукцию;

         если соизмеримы издержки производства.

Достоверность оценки земли зависит от точности используемой экономической информации и способов расчета критериев.

.1 Общие черты и подходы в проектировании систем ДКПиП

земельный кадастр деградация почва геодезический

Освоение любой территории для сельского хозяйства, как правило, выявляло ее существенные черты, так что для каждого типа природно-территориального комплекса складывалась соответствующая планировочная структура сельскохозяйственного ландшафта: это освоение поймы и долины рек, размещение сельхозугодий по склонам в холмистой местности, проектирование полей в равнинном районе и других типов структуры. Формы и размеры сельхозугодий диктуются не только структурой ландшафта, но и производственной направленностью данного сельскохозяйственного комплекса, а также методами производства работ и технической оснащенностью сельхозпроизводителя.

Прямоугольные формы полей не только привычны и приятны глазу, но и удобны для обработки механизированными способами при любом методе производства работ (распашка «по прямой», «по горизонталям» или «лоскутного одеяла» - в предгорьях и при использовании робототехники в будущем). Технология и современные средства механизации обработки земли таковы, что требуют отходить от мелких и слишком крупных форм геометрического членения земной поверхности и дают возможность проектировать оптимальные размеры полей с учетом наименьшей контурности и выбора направления рабочего гона по основным горизонталям.

Оптимальные геометрические формы пахотных полей в холмистой и равнинной местности - это прямоугольники с размерами не более длины рабочего гона 800-1 000 м и шириной - 500-700 м с расстоянием между полями - 20-30 м, необходимым для организации лесных полезащитных насаждений, технологических проездов и укладки подземных, наземных и воздушных инженерных коммуникаций (трубопроводы, ВЛ и др.). Система лесных полезащитных полос выполняет основные функции по регулированию стока талых вод и ветрозащиты. Именно вторая функция определяет пространственный масштаб сельскохозяйственного ландшафта. Основные характеристики оптимальных культурных пашен и пастбищ:

         средний уклон поля;

         коэффициент качественного расчета площади рабочего участка (табл. 2.1);

         географические показатели (ориентирование) для расчета солнечной радиации;

         расчет дальностей эффективности ветрозащитных действий от высоты лесных полос;

         коэффициент контурности, вычисляемый по фактической длине всех контуров поля (внешних и внутренних - околки, сооружения на поле), делѐнный на проектируемый периметр поля. Оптимальной контурностью поля считается коэффициент контурности, равный единице.

Заметим, что долголетние культурные пашни и пастбища по обработке равноценны и взаимозаменяемы после проведения на них севооборотов.

.2 Основа агропромышленного комплекса - центральное хозяйство

Современное расселение базируется на формировании укрупненных поселений, связанных с обширными специализированными производственными территориями и развитой транспортной сетью.

Сохранность природного (естественного) ландшафта в агрогороде можно рассматривать лишь как частный случай, результат совпадения ряда обстоятельств. Например, сохранению ландшафта способствует отсутствие больших вредных промышленных выбросов и относительно стабильная численность населения.

Анализ специфических условий, которые складываются в современных городах, заставляет отнестись критически к перспективности такого подхода в формировании ландшафтного облика городских территорий. Воздушные потоки, влаго-температурный режим агрогорода существенно отличаются от природных условий окружающей местности, оказывают влияние на внешний облик внутригородских территорий и исключают возможность широкого использования местной природной флоры.

Кроме того, учитывается следующее обстоятельство: если район местности относится к землям первой категории и если говорить о перспективах развития агрогорода, то становится крайне важным разделение городских и сельскохозяйственных земель с помощью так называемой городской черты (границы).

Проект городской черты, наравне с генеральным планом и проектами застройки и благоустройства, выполняется на картах (планах) в масштабах 1 : 2 000 или 1 : 5 000 с учетом численности населения агрогорода в перспективе на 20-30 лет, а также с учетом объектов жизнеобеспечения (водозаборных и очистных сооружений и других федеральных и муниципальных объектов).

После проведения согласований и утверждения проекта городской черты выполняются вынос и закрепление границы, т. е. процесс межевания как технический этап реализации утвержденных решений о местоположении границы на местности с точностью межевания объектов землеустройства. Материалы межевания и карта (план) городской черты составляют землеустроительное дело, которое формируется в количестве не менее двух экземпляров.

Необходимо заметить, что проект городской черты, как правило, выполняется графическим способом по картматериалам прошлых лет в масштабе 1 : 25 000 и крупнее, поэтому при проведении работ по межеванию границы города необходимо в первую очередь создать каркасную (опорную) межевую сеть по всему периметру границы (с учетом поворотных точек), а далее, с пунктов каркасной межевой сети инструментально выносить и закреплять проектные межевые знаки (МЗ) на местности. При данной технологии проектные координаты поворотных точек и расстояния между ними могут отличаться от фактического положения, так как за основу берется утвержденная проектная площадь агрогорода или муниципального образования.

В противном случае проводится анализ причин расхождения и подготавливается заключение, которое передается (с материалами межевания) заказчику для принятия им решения о дальнейшем проведении работ. За окончательное значение площади принимается вычисленная площадь Рвыч с указанием ΔPдоп. Площадь записывается в квадратных метрах с округлением до 1 м2. Заметим, что данная оценка точности выполняется для любого земельного участка.

.3 Методы создания единой межевой сети в районе кадастровых работ. Технологическая схема геодезических работ для земельного кадастра

Геодезические работы занимают значительную часть в кадастрах. Их объем (состав) зависит от назначения кадастра и степени его автоматизации. Они проводятся, как правило, по следующей схеме.

Подготовительные работы

В процессе подготовительных работ выполняется сбор, систематизация и анализ материалов прошлых лет:

         проект землеустройства;

         решение административного органа об отводе земельного участка;

         выписка из книги регистрации земельного участка;

         схемы, планы и выписки координат пунктов геодезической сети;

         сведения об использовании земель;

         другие необходимые материалы.

Полевое обследование пунктов опорной геодезической сети

Геодезические работы выполняют по заранее составленному техническому проекту или программе работ, которые включают в себя описание выполняемых работ, текстовые и графические приложения, смету затрат. Полевое обследование выполняется с целью проверки сохранности пунктов ГГС и выбора наиболее выгодной технологии проведения работ.

Кадастровые съемки

Кадастровые съемки в зависимости от назначения кадастра производят в тех же масштабах, теми же способами и с той же точностью, что и топографические. Базовым масштабом в городах является 1 : 500 и 1 : 2 000, в сельской местности - 1 : 5 000 и 1 : 1 000 и более мелкий. На кадастровых картах и планах дополнительно отображают: границы земельных участков, владения сельскохозяйственных и других земельных угодий; кадастровые номера и наименования; экспликацию категорий использования земель и другие кадастровые сведения. Как правило, кадастровая нагрузка на картах дается в цветном изображении (прил. 9 и 10).

Согласование и установление границ земельных участков на местности

Границы земельных участков выносят на местность по координатам характерных точек от пунктов геодезического обоснования и закрепляют межевыми знаками. Если же границы каким-то образом закреплены были ранее, то определяют координаты этих точек (восстановление). Согласование установленных границ производят в присутствии представителя государственной власти, владельцев или пользователей участка и участков, смежных с ним.

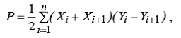
Определение площадей и составление чертежей границ земельных участков

Площади земельных участков вычисляют аналитическими методами по координатам межевых знаков, определяющих границу участка. По координатам вершин площадь участка Р можно вычислить по одной из многих формул, например, такой:


где Xi и Yi - координаты i-й точки;+1 и Yi+1 - координаты (i + 1)-й точки.

Точность способа зависит от точности определения координат границы участка и может составлять 0,01-0,02 %.

Чертежи границ земельных участков составляют в масштабе основного кадастрового плана по результатам установления на местности и согласования границ (прил. 9 и 10).

Контроль и регистрация результатов работ и ведение базы данных

Результаты кадастровых работ подлежат обязательному полевому контролю с составлением акта контроля. Кроме того, контролируется соблюдение технического задания и соответствующих инструкций на производство топографо-геодезических работ. Полученная информация в результате контроля переносится в специальные реестры и отображается на кадастровых картах. Для систематизации и управления большими объемами текстовой и графической кадастровой информации создается и ведется база данных, которая предусматривает не только хранение информации, но и оперативную выдачу ее потребителю. Специалисты топографо-геодезических работ участвуют в планировании землепользования, оценке состояния и стоимости земли, в разрешении возникших споров.

В заключение необходимо подчеркнуть общие формулировки и дать разъяснения и рекомендации к ним.

Во-первых, методические указания и рекомендации (ранее утвержденные в некоторых субъектах федерации и единые, утвержденные в последнее время Росземкадастром) имеют существенные разночтения, несогласованность по различного рода вопросам. Так, при межевании земель основных категорий (сельскохозяйственных, поселений, промышленных) достаточно отметить: предварительный вынос проекта в натуру, закрепление границ межевыми знаками и др. Поэтому необходимо и достаточно при выполнении земельно-кадастровых работ заказчику согласовывать техническое задание с федеральной регистрационной службой (земельно-кадастровой палатой).

Во-вторых, при межевании земель площадных и особенно линейных объектов закрепление границ рационально показывать на планах (картах) с учетом отвода полосы и охранной зоны, т. е. без закрепления границ на местности, ввиду перспективы расширения коридора коммуникаций и ненадежной сохранности этих закреплений. На картах и планах межевыми знаками границ землепользования (по линейным объектам) показываются поворотные (угловые) точки (начало кривой и конец кривой), а на криволинейной части дополнительно дается радиус кривой.

.4 Технологическая схема специальных съемок при деградации почв. Основные явления деградации почв

Для выбора рациональных методов специальных съемок цифрового картографирования местности необходимы глубокие знания о процессе деградации почв. Деградация почв - постепенное ухудшение качества почвы в результате изменений, разрушающих ее структуру, ведущих к появлению негативных химических свойств и утрате ее плодородия. Деградация почвы может происходить как в результате стихийных природных явлений (землетрясение, извержение вулканов, ураганы), так и в результате нерегулируемой хозяйственной деятельности человека.

Явления деградации почв можно разделить на следующие семь основных групп, связанных с различными направлениями разрушений почвенного покрова и процессов, происходящих в почвах и экосистемах [1, 2, 23].

Нарушение биоэнергетического режима почв и экосистем:

         девегетация почв - потери почвами лесного, кустарникового, травянистого растительного покрова, ведущие к постепенному омертвению почв, снижению биопродуктивности и утрате экологических функций. Ухудшение и отсутствие растительного покрова почв приводит к негативным изменениям в климатическом, газовом и водном режимах биосферы;

         дегумификация почв - потеря почвами главного носителя плодородия - гумуса;

         почвоутомление и истощение - процессы, происходящие в почвах в результате длительного бессменного возделывания одного и того же вида сельхозкультур.

Патологическое состояние почвенных горизонтов и профиля почв:

         отчуждение и выключение почв из действующих экосистем - городами, поселками, дорогами, ВЛ, трубопроводами, карьерами, каналами, водохранилищами, шахтами. На этих территориях поверхностный гумусный слой уничтожается или утрамбовывается, закрывается асфальтом и т. п.; растительность, почвенная фауна, микроорганизмы, биоэнергетика сведены к минимуму;

         эрозия - многообразное явление разрушения и сноса почв и рыхлых пород потоками воды. Среди разнообразных форм деградации почв водная и ветровая эрозии остаются наиболее масштабными, охватывая практически все зоны земледелия страны.

Различают два типа эрозий - современная (ускоренная), связанная с деятельностью человека, и геологическая. В свою очередь, ускоренная эрозия подразделяется на поверхностную (плоскостную) и линейную (овражную).

Поверхностная эрозия развивается на пологих склонах при стекании по ним талых и дождевых вод слоем малой и однородной толщины, поэтому характеризуется равномерным смывом почвы. Она наиболее опасна и коварна из всех видов эрозии.

Овражная эрозия появляется в тех местах, где рельеф способствует скоплению поверхностно стекающей воды, особенно там, где резкое увеличение крутизны склона вызывает образование быстрин.

Основными факторами, определяющими интенсивность проявления водной эрозии, является климат, рельеф, почвообразующие породы, степень покрытия растительностью, хозяйственная деятельность человека.

Ветровая эрозия (дефляция) распространена в районе недостаточного увлажнения (испаряется влаги больше, чем выпадает осадков). Усилению разрушительного действия ветров способствует рельеф с древними ложбинами стока вдоль направления господствующих ветров.

Тип ветровой эрозии делят на два подтипа: пыльные бури и повседневная (местная) ветровая эрозия.

На характер и развитие пыльных бурь оказывают большое влияние механический и структурный составы почвы. Пыльные бури наносят большой вред, сильно разрушая почвы и вынося вместе с посевами от 12 до 20 см поверхностного слоя.

Повседневная эрозия проявляется на склонах, испытывающих удары ветра. Этот подтип эрозии медленно, но методично разрушает почвы. По степени нарушенности выделяют слабо, средне и сильно дефлированные почвы. Показатели дефлированности почв включают величину мощности гумусового горизонта, процент гибели растений, содержание запасов гумуса, азота, фосфора и других элементов пищи растений. В результате дефляции почвенное плодородие снижается на 5-30 %.

Горная эрозия развивается в горных районах, местах, не защищенных растительностью. Формой проявления горной эрозии являются сели и ветровалы.

Сели-валы из воды, грязи и камней, несущиеся со скоростью 10-15 км/ч. Ими выносится масса 100 кг на 1 м² воды, вес отдельных глыб достигает 10 т.

На горных склонах и на террасах распространена ветровая эрозия с образованием ветровалов (бугры, ямы).

Промышленная эрозия - нарушение земель промышленностью, транспортом, строительством. Промышленная эрозия в наибольшей степени проявляется в местах, где имеются залежи полезных ископаемых. Электростанции, работающие на твердом топливе, предприятия, перерабатывающие минеральное сырье, ответственны за нарушение почвенного покрова из-за необходимости размещения твердых отходов производства. Проложение автомагистралей, ВЛ, ЛЭС, трубопроводов по плодородным землям часто неоправданно.

Среди современных процессов деградации почвенного покрова следует назвать процесс затопления или подтопления сельхозугодий при строительстве гидроэлектростанций и создании водохранилищ. Значительное нарушение почвенного покрова вызывают карьеры по добыче нерудного дорожного и строительного материала, промышленное и гражданское строительство.

Система приемов восстановления нарушенных ландшафтов и их оптимизация называется рекультивацией.

Нарушение водного и химического режимов почв:

         сухость и опустынивание почв - результат как общеземного последовательного процесса опустынивания, так и непродуманной хозяйственной деятельности человека. Опустынивание возникает из-за сведения к минимуму лесов и кустарников, чрезмерно высокого поголовья скота. Песчаные пустыни - пример разрушения биосферы и ее локальных экосистем;

         селевые разливы и оползни - причиной этих процессов является непродуманное уничтожение растительности в горных районах. Почвы склонов без растительности смываются очень интенсивно - через 3-5 лет на поверхность выходит черная порода;

         вторичное засоление почв - происходит в результате неправильного орошения почв как минерализованными, так и пресными водами. Этот процесс усиливается тем, что оросительные каналы не соответствуют экологическим требованиям, нормы полива не соблюдаются;

         природная и вторичная кислотность почв - оптимальная реакция почв для многих сельхозрастений находится в интервале рН 5,5-8; плодородие и общая биопродуктивность кислых почв тем ниже, чем выше их кислотность;

         переосушение почв - следствие неправильно проводимых осушительных мелиораций. При осушении часто необходимо установить и обеспечить оптимальный уровень залегания грунтовых вод на полях. На почвах разного гранулометрического состава оптимальная глубина подпочвенных вод различная (на песках и супесях - 70-80 см, на суглинках 100-180 см).

Затопление, разрушение и засоление почв водами водохранилищ. Создание водохранилищ при строительстве гидроэлектростанций приводит к изменениям всего природного комплекса и почвенно-экологических условий в том числе. Антропогенное воздействие на почвенно-экологическую систему состоит из затопления, инфильтрации, подъема грунтовых вод, эрозии, абразии, испарения и других факторов риска. Степень воздействия этих факторов определяется размерами водохранилищ, высотой подпора воды, ее химическим составом, степенью изменения климата.

Кроме того, водохранилища превращают реку в систему стоячих и полу стоячих озер. При ослаблении стока происходит загрязнение водоемов химическими загрязняющими веществами, а приток неочищенных промышленных и дренажных вод приводит к засолению почв. Деградационные изменения, вызываемые переохлаждением и вторичной мерзлотностью почв. Деградация ландшафтов и почв районов с распространением многолетней мерзлоты происходит от любого воздействия, ведущего к уничтожению почвенно-растительного покрова, что обусловливает протаивание мерзлых грунтов и развитие деградационных, эрозионных и других процессов.

Разрушение почв военными действиями и атомной радиацией. При обычных войнах интенсивное передвижение армий, транспорта, рытье рвов, окопов, взрывы бомб ведут к полному уничтожению экосистем и почв. На многих полях военных действий почвенный покров и поныне не восстановлен. Взрывы атомных бомб разрушают продуктивные ландшафты огромных территорий на несколько десятков лет, образуются регионы почв с высоким радиоактивным заражением. К источникам радиации и загрязнения радиоактивными изотопами экосистем относятся: испытательные взрывы атомных бомб, утечки и аварии на АЭС, рудники урановых руд, предприятия, изготовляющие радиоактивные препараты, медицинские специализированные препараты, золы и дым некоторых видов каменного угля, примеси к фосфорным удобрениям и другое.

Мелиорация, техногенные и агрогенные загрязнения почв. Водная мелиорация, устраняя недостаток или избыток влаги в почве, одновременно может ухудшить другие агрономические важные свойства. Являясь причинами негативных изменений при орошении, избыточные поливные нормы, потери воды в инженерных сетях приводят к подъему грунтовых вод при осушении и вторичному засолению, заболачиванию, осолондевению. При проведении мелиоративных работ (даже с закрытым дренажем) физически нарушается гумусовый горизонт. Площади с интенсивными свойствами требуют проведения тщательного учета и оценки.

В последующие годы к разрушающему воздействию на почвенный покров эрозии, переуплотнения, засоления и другого добавляется новый мощный фактор деградации плодородия - техногенное загрязнение почв тяжелыми металлами: марганцем, хромом, свинцом, цинком, медью, никелем, кобальтом, кадмием, фтором, мышьяком, серой, азотом. Когда некоторых из этих элементов в почве оказывается очень много, они становятся ядами.

Токсичным считается уровень содержания тяжелых металлов, при котором происходит снижение урожайности на 5-10 %. Источниками загрязнения почв являются:

         - отходы металлообрабатывающей промышленности;

         - промышленные выбросы;

         - продукты сгорания топлива;

         - автомобильные выхлопы отработанных газов;

         - средства химизации сельского хозяйства.

Агрогенное загрязнение почв и окружающей среды по масштабам и последствиям сопоставимо с их техногенным загрязнением.

Пестициды, т. е. ядохимикаты для борьбы с сорняками (гербициды), вредителями (зооциды, инсектициды и др.), болезнями (фунгициды и др.) сельскохозяйственных растений, кустарников и деревьев, защищая полезные растения, сохраняют большие объемы продукции, но они же, накапливаясь в ландшафтах, повреждают и уничтожают сообщества животных.

С продуктами они поступают в организм человека, накапливаются в нем, вызывая болезни, которые могут передаваться по наследству. Эти негативные последствия не всегда учитываются при оценке стоимости земли.

Существует специальная балльная шкала, состоящая из 3 групп для оценки токсичности и классификации пестицидов как возможных загрязнителей. В группу наиболее опасных загрязнителей вошли зооциды и протравители (гранозан, форфид цинка и др.); во вторую - среднетоксичные (хлорофос, симазин, атразин); в третью группу входят слаботоксичные гербициды (дихлорэтан, диурон, цинеб). Химизация земледелия высокоэффективна при условии грамотного и рационального использования удобрений. В настоящее время в связи с реальной угрозой загрязнения почв и грунтовых вод особенно важно научно обосновать применение химических средств в сельском хозяйстве и давать им экологическую оценку.

Земля как природный ресурс является главным элементом единой производительной силы природы, причем каждый вид земельных угодий уникален по своим природным условиям, что определяет их дифференцированное использование.

Развитие научно-технического прогресса привело к появлению таких сложных проблем, как рациональное использование природных ресурсов, освоение новых источников энергии, сохранение окружающей среды.

По данным государственного учета земель земельный фонд Российской Федерации на январь 1998 г. составил 1 708 млн. га, в том числе сельхозугодия занимают 220,8 млн. га, из них пашня - 127,5 млн. га, сенокосы - 23,2 млн. га и пастбища - 65,3 млн. га.

Огромный ущерб народному хозяйству наносят такие явления, как: деградация почв, чрезмерная мелиорация, природно-техногенные и аграрное загрязнения почв. Все они относятся к лимитирующим факторам почвенного плодородия, приводящим в конечном итоге к обесцениванию почв земельных угодий.

Поэтому при оценке степени риска ущерба от воздействия опасных процессов важно оценить восприимчивость почвы и оценить ее состояние.

.5 Технология специальных съемок

Основой при исследованиях, проектировании и эксплуатации почв являются топографические карты всех масштабов, издаваемые Федеральным агентством Роскартографии согласно классификации ГОСТ.

Геоботанические карты, в зависимости от целевого назначения и принципов построения, делятся на универсальные (УГК) и специализированные (СГК). Универсальные геоботанические карты показывают распределение естественных единиц растительности, сложившейся в процессе исторического развития, и коренных растительных сообществ, например, еловых лесов, ковыльных степей. Специализированные геоботанические карты отображают черты растительности, наиболее существенные для того или иного направления хозяйствования, ее использования. Карты СГК подразделяются на прикладные планы - кормовые, лесные, индикационные.

УГК в зависимости от масштаба подразделяются на детальные крупномасштабные (1 : 5 000-1 : 25 000), обобщенные крупномасштабные (1 : 50 000-1 : 100 000), среднемасштабные (1 : 300 000-1 : 1 000 000) и мелкомасштабные информационные (1 : 1 500 000-1 : 4 000 000) и мелкомасштабные обзорные (1 : 5 000 000 и меньше).

СГК могут иметь различные масштабы - детальные крупномасштабные карты и планы (1 : 2 000-1 : 10 000).

Специальные методы съемок, применяемые при создании топографических карт (рис. 2.9), могут и должны использоваться для создания планов (карт) деградации почв. С помощью специальных съемок наносится на топографические карты дополнительная информация о факторах почвообразовании, имеющая трехмерную пространственную модель (Х, Y, Н). Технологические схемы выполнения специальных съемок отличаются от важнейших (традиционных) методов топографических съемок не только в принципе, но и в подходе, который включает следующее:

         - подготовительные работы и рекогносцировка района работ;

         - методика геологической съемки (отбор образцов грунта и почвы);

         - бурение инженерно-геологических скважин (до глубины залегания -грунтовых вод);

         - описание грунтов и почвы с отбором проб грунта для определения физических и химических свойств грунта и почвы (удельный объемный вес, гранулометрический состав, коэффициент фильтрации и т. п.);

         - инженерно-геодезическая привязка мест отбора проб почвы и грунта,

         - определение и привязка границ зоны подтопления (затопление поймы), 10 % и 1 % обеспеченности;

         - лабораторные исследования грунтов и почв;

         - топографические съемки (в эрозионных, селевых, оползневых и других районах);

         - камеральная обработка полевых и лабораторных материалов;

         - составление и оформление технического отчета.

         Одними из основных видов инженерно-геодезических работ в данном случае являются определение координат и высот выработок (места отбора проб) и топографические съемки с помощью современных технологий (электронные тахеометры, GPS-приемники и ЭВМ).

         Содержание и технологию проведения таких работ регламентируют: СНиП 11-01-95, СНиП 11-02-96 и СП 11-102-97, СП 11-101-97, СП 11-103-97, СП 11-104-97 и СП 11-105-97, СНиП 2.06.15-85 и ГОСТ 25100-95, ГОСТ 21.302-96, ГОСТ 30108-94, ГОСТ 21.101-93, ГОСТ 12071-84 и др.

Рис 1. Важнейшие методы съемок, применяющиеся для картографирования деградационных факторов почв (земель)

Кроме того, для заключения договора на выполнение вышеуказанных работ необходимо получить от заказчика техническое задание и согласованную с ним (заказчиком) программу (проект) работ.

В настоящее время схема организации проектных и изыскательских работ (рис. 2.) по техническим нормативам выполняется в три стадии [34, 36]:

         -предпроектная стадия;

         -стадия проектной документации;

         -рабочий проект.

Рис. 2. Схема организации проектно-изыскательских работ по СНиП 11-01-95 и СП 11-101-97

По результатам выполненных инженерно-геодезических, инженерно-гидрологических и инженерно-геологических изысканий в соответствии с требованиями СНиП 11-02-96 по каждому объекту должен быть составлен технический отчет [33].

Используемая литература

Зверев, Л.А. Технология кадастровых работ [Текст] : монография / Л.А. Зверев. - Новосибирск: СГГА, 2008. - 234 с.

Кофф, Г.Л. Методы оценки уязвимости территорий и объектов к воздействию опасных природных процессов, формирующихся при современном подъеме уровня Каспийского моря / Г.Л. Кофф и др. // Сборник трудов «Прикладная геоэкология, чрезвычайные ситуации, земельный кадастр и мониторинг». - М., 1999. - С. 82-94.

Похожие работы на - Технология выполнения кадастровых работ на землях сельскохозяйственного назначения

 

Не нашли материал для своей работы?
Поможем написать уникальную работу
Без плагиата!
Без нейросетей!