Климатические характеристики общего содержания озона в долготной зоне 100-110° в.д.
Климатические характеристики общего содержания озона в
долготной зоне 100-110° в.д.
РЕЗЮМЕ.
В данной работе исследовалась климатология общего содержания озона (ОСО) в
долготной зоне 100° -110° в.д. Использовались данные измерений ОСО с помощью
спектрометра TOMS на спутнике Nimbus 7 за период с июля 1996 г. по январь 2003
г. Представлены климатологические характеристики вариаций общего содержания
озона на 13 станциях, расположенных на существенно разных широтах в этой узкой
долготной зоне. Определялись максимальные и минимальные значения общего
содержания озона и даты их наблюдения для каждого года в рассматриваемом
интервале времени и для каждой станции. Рассматривались временные вариации
среднемесячных, среднесезонных и среднегодовых значений. Выявлен спектральный
состав вариаций и рассчитаны характеристики изменчивости ОСО.
Введение.
Интерес
к исследованию пространственно-временных вариаций и климатологии общего
содержания озона в атмосфере (ОСО) обусловлен той значительной ролью, которую
озон играет в физике средней атмосферы. Кроме того озон является чувствительным
индикатором глобальных изменений атмосферы, а также существенным звеном в
цепочке процессов, определяющих солнечно-земные связи. Имеющиеся в настоящее
время длинные ряды однородных наземных и спутниковых измерений ОСО дают
принципиальную возможность построения эмпирической картины ОСО в глобальном
масштабе и сравнения деталей этой картины с численными и теоретическими
моделями. Весьма часто в различных по цели анализах используется т.н.
“зональное приближение”, т.е. предполагается, что вариации ОСО определяются
только географической широтой, а долготными различиями можно пренебречь. Однако
в наших работах например, [1; 2] мы показали, что вариации ОСО отличаются
существенной “незональностью”, которую следует учитывать в климатологических
расчётах. В частности, при изучении широтных вариаций более корректно
рассматривать станции, близкие по долготе.
Как
продолжение проводившегося нами ранее изучения вариаций озона над
среднеширотной станцией Иркутск (52° 28’ с.ш. ;104° 02’ в.д.), целью настоящей
работы было исследование временных вариаций и расчёт некоторых
климатологических характеристик ОСО на различных широтах в узком долготном
диапазоне (100-110° в.д.), куда входит и станция Иркутск. Основой для расчётов
послужили ежесуточные измерения ОСО с помощью сканирующего спектрометра ( Total
Ozone Mapping Spectrometer – TOMS ) на борту ИСЗ “NIMBUS - 7” за период с июля
1996 г. по январь 2003 г. Все значения ОСО приводятся в единицах Добсона (ед.
Д).
В
таблице 1 представлен список используемых в работе станций с их географическими
координатами. Географическая широта станций меняется от экватора (станции в
Индонезии) до полярного круга (ст. Тура, Россия). Для сравнения использовались
также измерения ОСО на ст. Восток, находящейся в Антарктике.
Таблица
1
Список
используемых станций, лежащих в долготной зоне 100° -110° в.д., с их
географическими координатами.
|
Номер стан-ции
|
Название станций
|
Широта,
град.
|
Восточная долгота,
град.
|
|
1.
|
Восток, Антарктика (Россия)
|
78.50 S
|
106.90
|
|
2.
|
Кототабан, о-в Суматера Барат, Индонезия
|
0.20 S
|
100.32
|
|
3.
|
Понтианак, о-в Калимантан, Индонезия
|
0.03 N
|
109.3
|
|
4.
|
Сингапур, Сингапур
|
1.33 N
|
103.88
|
|
5.
|
Танах Рата, Малайзия
|
4.47 N
|
101.37
|
|
6.
|
Хо Ши Мин, Вьетнам
|
10.75 N
|
106.67
|
|
7.
|
Бангкок, Тайланд
|
13.73 N
|
100.57
|
|
8.
|
Ханой, Вьетнам
|
21.03 N
|
105.85
|
|
9.
|
Гора Великьюэн, Китай
|
36.17 N
|
100.53
|
|
10.
|
Гонгхе, Китай
|
36.27 N
|
100.67
|
|
11.
|
Терелджи, Россия
|
48.33 N
|
107.58
|
|
12.
|
Иркутск, Россия
|
52.27 N
|
104.35
|
|
13.
|
Тура, Россия
|
64.17 N
|
100.07
|
Результаты.
В
таблице 2 представлены минимальные и максимальные за каждый год значения общего
содержания озона и даты их наблюдения в рассматриваемой долготной зоне.
Минимальное
значение ОСО (110 ед.Д.) за период 7.1996 г. - 12.2002 г. наблюдалось на ст.
Восток 24 сентября 2001 г., а максимальное 559 ед.Д. - на ст. Тура 21 марта
2002 г. Следует отметить, что практически для всех станций и минимальные, и
максимальные значения ОСО в 2002 г. возросли, причем на некоторых весьма
существенно (на станциях Восток и Великьюэн в этом году максимальное значение
ОСО увеличилось на 110 ед.Д. по сравнению со значением в 2001 г., а на ст.
Восток и максимальное, и минимальное за 2002 г. значения были самыми высокими
за все рассматриваемые годы, начиная с 1996 г.).
Таблица
2
Минимальные
и максимальные за год значения общего содержания озона ОСО в ед. Д. и день
года, на который они приходятся.
|
Станция
|
1996 г.
|
1997 г.
|
1998 г.
|
1999 г.
|
2000 г.
|
2001 г.
|
2002 г.
|
|
Восток
|
131 - 12.10
|
125 - 22.9
|
122 - 11.10
|
126 - 29.9
|
115 - 22.9
|
110 - 24.9
|
174 - 18.9
|
|
|
368 - 9.12
|
340 - 9.11
|
326 - 23.2
|
334 - 26.3
|
342 - 19.11
|
351 - 5.4
|
457 - 25.9
|
|
Кототабан
|
243 - 17.9
|
245 -28.12
|
244 - 5.2
|
245 - 11.12
|
234 - 8.12
|
230 - 7.1
|
236 - 29.11
|
|
|
271 - 16.11
|
298 - 25.3
|
277 - 8.5
|
290 - 9.9
|
274 - 8.9
|
280 - 31.12
|
293 - 3.3
|
|
Понтианак
|
245 - 21.8
|
240 -27.12
|
240 - 2.1
|
251 - 17.12
|
230 -20.12
|
234 - 14.2
|
238 - 5.12
|
|
|
272 - 15.11
|
298 -24.10
|
277 -20.10
|
286 - 7.9
|
273 - 9.5
|
274 - 8.11
|
299 - 30.8
|
|
Сингапур
|
245 - 8.8
|
240 -26.12
|
240 - 6.1
|
246 - 19.12
|
229 - 17.12
|
229 - 10.1
|
235 - 15.12
|
|
|
275 - 16.11
|
297 -27.10
|
277 - 20.4
|
288 - 9.9
|
281 - 15.9
|
277 - 5.11
|
292 - 23.4
|
|
Танах Рата
|
244 - 19.12
|
235-2 4.12
|
239 - 2.1
|
244 - 14.12
|
229 -26.12
|
225 - 16.1
|
239 - 7.12
|
|
|
268 - 12.10
|
293 - 7.6
|
280 - 3.5
|
294 - 9.6
|
284 - 22.7
|
283 - 21.7
|
291 - 21.9
|
|
Хо Ши Мин
|
219 - 17.12
|
230 - 31.1
|
230 - 5.1
|
229 - 6.1
|
228 -24.12
|
219 - 5.12
|
231 - 19.1
|
|
|
279 - 21.7
|
292 - 14.6
|
287 - 17.5
|
294 - 7.6
|
291 - 20.5
|
289 - 27.5
|
294 - 15.7
|
|
Бангкок
|
216 - 21.12
|
225 - 5.2
|
228 - 11.12
|
222 - 30.1
|
233 -26.12
|
204 - 16.12
|
231 - 21.1
|
|
|
286 - 23.8
|
295 - 30.6
|
296 - 3.5
|
300 - 5.5
|
295 - 5.6
|
299 - 13.7
|
298 - 16.8
|
|
Ханой
|
212 - 27.12
|
224 - 22.1
|
209 - 12.12
|
223 - 4.12
|
219 - 3.12
|
206 - 15.12
|
222 - 29.1
|
|
|
290 - 31.7
|
294 - 16.5
|
304 - 4.5
|
310 - 8.5
|
312 - 18.5
|
312 - 23.4
|
305 - 10.7
|
|
Гора
|
236 - 8.12
|
254 - 10.5
|
232 - 1.12
|
241 - 26.1
|
249 - 24.11
|
239 -30.10
|
245 - 8.1
|
|
Великьюэн
|
313 - 30.12
|
373 - 7.2
|
410 - 9.3
|
380 - 7.2
|
372 - 13.1
|
268 - 16.3
|
379 - 27.2
|
|
Гонгхе
|
236 - 8.12
|
252 - 7.8
|
243 -26.10
|
238 - 19.2
|
243 -24.12
|
244 - 31.10
|
243 - 17.2
|
|
|
328 - 31.12
|
374 - 18.2
|
416 - 9.3
|
386 -28.12
|
386 - 10.3
|
368 - 16.3
|
379 - 27.2
|
|
Терелджи
|
249 - 6.12
|
260 - 3.11
|
271 - 16.9
|
263 - 24.7
|
266 - 18.7
|
266 - 12.11
|
253 - 6.7
|
|
|
448 - 31.12
|
443 - 16.1
|
478 - 3.1
|
503 - 31.3
|
505 - 18.1
|
523 - 26.3
|
489 - 6.4
|
|
Иркутск
|
222 - 6.12
|
253 - 30.11
|
275 -22.10
|
256 - 7.11
|
264 - 12.10
|
238 - 31.11
|
256 - 23.9
|
|
|
432 -28.12
|
471 - 27.1
|
497 - 11.2
|
515 - 16.3
|
479 - 18.1
|
519 - 25.3
|
516 - 22.3
|
|
Тура
|
253 - 11.11
|
217 - 30.10
|
261 - 17.8
|
224 - 1.11
|
235 - 11.10
|
236 - 13.11
|
232 - 21.11
|
|
|
385 - 26.11
|
452 - 18.3
|
518 - 15.3
|
538 - 9.3
|
493 - 5.4
|
518 - 1.5
|
559 - 21.3
|
Минимальные
значения ОСО в северном полушарии наблюдаются преимущественно в осенне-зимнее
время с сентября по январь, максимальные значения ОСО с наибольшей вероятностью
(~ 40 %) встречаются весной (в основном, в марте и в мае).
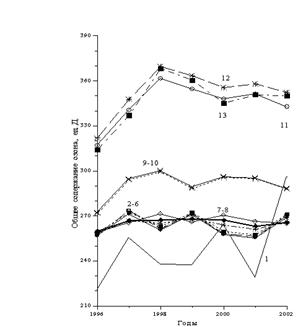
На
рис.1 представлены временные вариации среднегодовых значений ОСО в
рассматриваемом интервале времени по всем станциям.
Рис.1.
Временные вариации среднегодовых значений ОСО по всем станциях в
рассматриваемом интервале времени.
Линии
на рисунке пронумерованы в соответствии с номерами станций в табл.1. На
антарктической станции Восток среднегодовые значения ОСО ниже, чем на всех
станциях северного полушария, хотя в конце рассматриваемого периода (в 2002 г.)
среднегодовое значение ОСО превысило здесь соответствующие значения на
экваториальных станциях и даже некоторых среднеширотных ( в Китайском регионе).
На ст. Восток пики среднегодовых значений отмечались также в 1997 г. и в 2000
г. , что может быть связано с ослаблением интенсивности антарктической
“озоновой дыры” в отдельные годы / 3 /.
Для
всех станций временной ход среднегодовых значений характеризуется наличием
максимумов, повторяющихся через 2-3 года (рис.1). На экваториальных станциях
2-6 (т.е. до широты примерно 11° N) максимумы наблюдаются в 1997 г. и 1999 г.
Среднегодовые значения ОСО для этих экваториальных станций меняются в небольших
пределах (255-275 ед.Д.). На станциях 7-8, расположенных в области широт 11° -
21° N, максимумы наблюдаются на год позже, хотя пределы изменения среднегодовых
значений ОСО остаются прежними. Для всех остальных станций, лежащих в области
средних и высоких широт северного полушария, максимумы наблюдаются так же на
год позже, чем на приэкваториальных станциях - в 1998 г. и в 2000-2001 гг.
Пределы изменения среднегодовых значений на среднеширотных станциях: от ~
270-300 ед.Д. в Китайском регионе (для станций 9-10 на рис.1) до ~ 310-370
ед.Д. для всех остальных станций на средних и близких к полярному кругу широтах
в северном полушарии (для станций 11-13). Первый максимум на всех станциях
значительно больше второго, наблюдаемого на среднеширотных станциях через три
года.
Рис.2.
Усредненные за 7 лет вариации среднемесячных значений ОСО для всех станций в
долготной зоне.
Следует
отметить, что проведенные для периода 1979-1993 гг. в работе / 4 / модельные
расчеты так же показали наличие регулярных межгодовых вариаций озона с периодом
~ 3-3.5 лет в северных средних широтах, которые индуцируются зональными
средними вихревыми потоками.
На
рис.2 представлены усреднённые за 7 лет вариации среднемесячных значений ОСО
для всех станций. Отчетливо заметен “эффект широты”, проявляющийся в том, что
для станций, расположенных на экваторе, максимум наблюдается в основном в
летний период, а для средних и более высоких широт - зимой и весной. Конкретные
месяцы появления максимумов и минимумов среднемесячных значений ОСО в годовом
ходе разные не только для разных станций, но и для разных лет на одной и той же
станции.
Меняются
с широтой и сами значения: для станций на средних и высоких широтах они больше,
чем на экваториальных. На приэкваториальных станциях среднемесячные значения
меняются от месяца к месяцу весьма незначительно. Различия год от года и от
станции к станции во времени появления максимумов и минимумов среднемесячных
значений ОСО в годовом ходе и в интервалах изменения среднемесячных значений в
рассматриваемый период измерений ОСО (1996-2002 гг.) можно оценить по данным,
приведённым в таблице 3.
Таблица
3.
Вариации
год от года и от станции к станции месяцев и сезонов появления (З-зима, Л-лето,
В-весна, О-осень) максимальных и минимальных среднемесячных значений ОСО и
изменчивости интервалов их значений в ед. Д.
|
NN станции
|
1
|
2
|
3
|
4
|
5
|
6
|
7
|
8
|
9
|
10
|
11
|
12
|
13
|
Месяц
появления минимальных среднемесячных значений ОСО
|
1996 г.
|
10
|
12
|
12
|
12
|
12
|
12
|
12
|
12
|
8
|
8
|
8
|
7
|
7
|
|
1997 г.
|
10
|
12
|
12
|
12
|
12
|
2
|
2
|
12
|
8
|
8
|
10
|
10
|
10
|
|
1998 г.
|
10
|
1
|
1
|
1
|
1
|
1
|
12
|
11
|
11
|
9
|
8
|
8
|
|
1999 г.
|
9
|
1
|
1
|
1
|
12
|
1
|
2
|
12
|
9
|
9
|
8
|
10
|
12
|
|
2000 г.
|
9
|
1
|
12
|
1
|
2
|
12
|
1
|
12
|
10
|
10
|
7
|
8
|
12
|
|
2001 г.
|
9
|
1
|
12
|
1
|
1
|
12
|
1
|
12
|
10
|
10
|
8
|
11
|
8
|
|
2002 г.
|
10
|
12
|
12
|
12
|
12
|
12
|
1
|
12
|
9
|
9
|
8
|
8
|
11
|
|
Сезон появления минимума
|
О
|
З
|
З
|
З
|
З
|
З
|
З
|
З
|
О
|
О
|
Л-О
|
Л-О
|
Л-О
|
Месяц
появления максимальных среднемесячных значений ОСО
|
1996 г.
|
12
|
10
|
11
|
11
|
10
|
7
|
8
|
7
|
12
|
12
|
12
|
12
|
12
|
|
1997 г.
|
1
|
10
|
10
|
10
|
9
|
7
|
6
|
6
|
2
|
2
|
2
|
2
|
1
|
|
1998 г.
|
2
|
9
|
10
|
10
|
9
|
8
|
8
|
8
|
3
|
3
|
3
|
3
|
4
|
|
1999 г.
|
2
|
9
|
9
|
8
|
8
|
7
|
5
|
8
|
12
|
12
|
3
|
3
|
3
|
|
2000 г.
|
12
|
9
|
9
|
9
|
7
|
6
|
5
|
7
|
2
|
2
|
1
|
3
|
3
|
|
2001 г.
|
4
|
9
|
11
|
11
|
7
|
7
|
7
|
5
|
3
|
3
|
3
|
3
|
4
|
|
2002 г.
|
11
|
8
|
9
|
9
|
8
|
5
|
6
|
5
|
3
|
3
|
3
|
4
|
4
|
|
Сезон появления максимума
|
З
|
О
|
О
|
О
|
Л-О
|
Л
|
Л
|
Л
|
З-В
|
З-В
|
З-В
|
З-В
|
З-В
|
|
|
|
|
|
|
|
|
|
|
|
|
|
|
|
|
Интервал изменения
|
151 -347
|
240 -283
|
240 -284
|
239
-284
|
238
-285
|
234
-285
|
230
-285
|
228 -290
|
259 -337
|
261 -350
|
292 -447
|
295 -468
|
277 -477
|
В
табл. 3 станции обозначены номерами, соответствующими им в табл.1, а месяцы
появления максимальных и минимальных среднемесячных значений ОСО - цифрами от 1
до 12.
Видно,
что на приэкваториальных станциях минимум среднемесячных значений ОСО
приходится на зимний период, тогда как, начиная со станции Гора Великьюэн
(Китай), минимум сдвигается от зимы к осени. Что касается максимума, то время
его появления постепенно меняется с осени для 3-х станций, расположенных
практически на экваторе, на лето для экваториальных станций. Для станций,
расположенных в области средних и более высоких широт, максимум среднемесячных
значений ОСО приходится на зимне-весенний период. Интервалы изменения
среднемесячных значений ОСО от минимума к максимуму постепенно расширяются с
ростом широты от экваториальных станций к среднеширотным: на экваторе он
порядка 45-60 ед.Д., а в средних и высоких широтах - 150-200 ед.Д , т.е.
годовой ход приобретает заметную амплитуду (рис.2).
Временные
вариации средних за сезон значений общего содержания озона представлены на
рис.3. Можно видеть, что для всех экваториальных станций вплоть до широт Китая
средние за зиму значения ОСО наиболее низкие во все годы в течение всего
рассматриваемого периода с 1996 г. по 2002 г., а средние за лето значения ОСО -
самые большие. Для станций, расположенных в области средних и приполярных
широт, ситуация резко меняется: от ст. Валикьюэн в Китае до ст. Тура в России,
а также на ст. Восток в Антарктике самыми низкими значениями за все
рассматриваемые годы являются средние значения ОСО за лето и за осень (за
исключением ст. Гонгхе в Китае).. Все среднесезонные значения на экваториальных
станциях от Кототабана до Хо-Ши-Мина
Рис.3.
Временные вариации средних за сезон значений общего содержания озона.
испытывают
квазидвухлетние вариации с максимумами в 1997 г. и в 1999 г. Для станций в
области средних и более высоких широт квазидвухлетние колебания тоже
наблюдаются,
но
максимумы смещаются на 1998 г. и 2000-2001 гг. Квазидвухлетние колебания
наиболее ярко выражены в вариациях среднезимних и средневесенних значений ОСО.
Квазидвухлетние колебания ОСО были также обнаружены в работе / 5 / при
исследовании межгодовых вариаций озона над субтропическим западным районом
Тихого Океана в те же годы – 1996-2002, и авторы пришли к выводу, что
межгодовые вариации озона определяются в основном процессами динамического
переноса.
Рис.4
иллюстрирует широтный ход изменчивости средних значений ОСО вдоль долготной
цепочки 100-110° Е 1. среднезимних ( 1996/1997 гг. - 2001/2002 гг.); 2.
среднелетних ( 1997 г. - 2002 г.); 3. среднегодовых значений ОСО ( 1997 г. -
2002 г.). Здесь используется неравномерная по широте шкала, рассматриваемые
станции располагались в порядке изменения их широты от ст. Восток в Южном
полушарии до ст. Тура на Крайнем Севере - по их порядковым номерам в табл.1.
Как видно из рис.4, для среднегодовых значений и, особенно, для среднезимних
значений ОСО во все рассматриваемые годы средние значения общего содержания
озона поднимаются от экватора к северному полюсу ступенями: первое возрастание
значений ОСО по сравнению
Рис.4.
Широтный ход изменчивости средних значений ОСО вдоль долготной цепочки 100-110°
Е.
с
экваториальными происходит в Китайском регионе на ст. Валикьюэн и Гонгхе
(примерно на 30-100 ед.Д.) и второе (примерно такое же по величине) - в России
на ст. Терелджи, Иркутск и Тура. Среднезимние значения ОСО меняются в интервале
от 230 ед.Д. (на экваторе) до 330 ед.Д. в Китае и до 410 ед.Д. в России.
Среднегодовые значения меняются от 220 ед.Д. до 300 ед.Д. и далее до 370 ед.Д.
Интервал ступенчатого изменения от экватора к полярному кругу средних за лето
значений ОСО составляет, соответственно, [255 - 285 - 345 ед.Д.], что гораздо
меньше (почти в 2 раза), чем для широтных вариаций среднегодовых и среднезимних
значений ОСО.
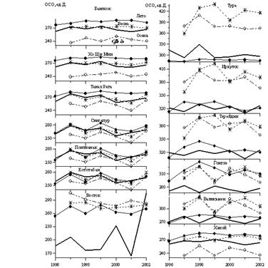
На
рис.5 представлены временные вариации среднемесячных значений ОСО на 14
станциях. Во временных вариациях среднемесячных значений ОСО на 4-х
экваториальных станциях (Кототабан, Понтианак, Сингапур и Танах-Рата) четко
проявляются квазидвухлетние колебания. Для среднеширотных станций начинает
превалировать годовая волна, амплитуда которой постепенно растет с ростом
широты достигая максимальных значений на станции Тура (Россия) вблизи полярного
круга.
Рис.5.
Временные вариации среднемесячных значений ОСО на 14 станциях.
Чтобы
оценить спектральную структуру этих вариаций, был проведён множественный
корреляционный периодограмманализ, который показал, что статистически значимая
годовая волна (по критерию Фишера) присутствует на всех станциях, и амплитуда
этой волны в северном полушарии существенно возрастает от экватора к полюсу. На
рис.6 представлены амплитудные спектры (масштаб по осям абцисс и ординат для
всех станций одинаков). На каждом из спектров соответствующими цифрами
обозначены статистически значимые периоды колебаний. Видно, что амплитуда
годовой волны от приэкваториальных станций к полярному кругу возрастает более,
чем в 10 раз (от 5 ед.Д. на ст. Кототабан до 61 ед.Д. на ст. Тура). Для
квазидвухлетних колебаний (КДК) меняется с широтой не только амплитуда
колебаний, но и период: на приэкваториальных станциях периоды КДК 28-29 мес.,
на среднеширотных и более высокоширотных станциях - 35 мес. (т.е. ~3 года).
Видимо, в формировании долгопериодной изменчивости озона на экваторе
существенную роль играет изменение фазы и периода квазидвухлетних колебаний
стратосферного ветра. На амплитудных спектрах присутствуют также колебания с
периодами 16 мес. и 19 мес. (примерно
Рис.6.
Амплитудные спектры ОСО.
полуторагодовые
колебания), а на экваториальных станциях также статистически значимые
крупномасштабные вариации с периодом ~ 5 лет (58-60 мес.).
Изменение
с широтой амплитуд крупномасштабных колебаний ОСО с периодами 6, 12, 16, 19,
29, 35 и 59 мес. по всем используемым в работе станциям можно оценить из
таблицы 4. В нижней строке приведены рассчитанные для всей долготной зоны
100-110° в.д. средние по всем широтам значения амплитуд колебаний ОСО с
указанными периодами. На первых 3-х станциях, расположенных на экваторе,
наибольшую амплитуду имеют квазидвухлетние колебания с периодом 29 мес., но уже
начиная с ~ 5° N (ст. Танах-Рата в Малайзии) превалирующей на амплитудных
спектрах становится амплитуда годовой волны, которая стремительно растет с
ростом широты в северном полушарии и на самых северных станциях становится
более, чем в 2 раза, выше среднего значения годовой амплитуды в долготной зоне
100-110° в.д.
Таблица
4.
Амплитуды
крупномасштабных колебаний с периодами 6, 12, 16, 19, 29, 35 и 59 мес.
среднемесячных значений ОСО (в ед.Д.).
|
Станция
|
6 мес.
|
12 мес.
|
16 мес.
|
19 мес.
|
29 мес.
|
35 мес.
|
59 мес.
|
|
Кототабан
|
4.49
|
4.91
|
0.89
|
6.41
|
9.56
|
5.77
|
6.66
|
|
Понтианак
|
4.57
|
5.60
|
1.73
|
5.66
|
9.12
|
5.97
|
5.61
|
|
Сингапур
|
4.07
|
7.46
|
1.86
|
6.37
|
9.28
|
5.88
|
5.53
|
|
Танах Рата
|
3.39
|
11.28
|
2.07
|
5.20
|
8.17
|
5.59
|
5.57
|
|
Хо Ши Мин
|
4.21
|
19.76
|
4.04
|
2.96
|
3.37
|
1.53
|
2.42
|
|
Бангкок
|
5.03
|
20.63
|
4.38
|
3.57
|
3.34
|
1.65
|
2.46
|
|
Ханой
|
4.59
|
23.41
|
4.92
|
4.66
|
5.36
|
3.91
|
2.50
|
|
Гора Великьюэн
|
4.66
|
23.98
|
10.09
|
5.87
|
6.32
|
9.10
|
1.83
|
|
Гонгхе
|
4.35
|
24.12
|
10.12
|
5.83
|
6.20
|
9.05
|
1.91
|
|
Терелджи
|
1.89
|
49.10
|
13.05
|
2.04
|
5.29
|
9.38
|
8.86
|
|
Иркутск
|
5.19
|
50.02
|
12.53
|
2.42
|
5.61
|
9.59
|
9.71
|
|
Тура
|
11.05
|
61.23
|
14.59
|
5.77
|
4.21
|
12.06
|
10.26
|
|
Средняя амплитуда для долготной зоны
100-110° Е
|
4.79
|
25.12
|
6.69
|
4.73
|
6.32
|
6.62
|
5.28
|
Рис.7.
Изменение амплитуды колебаний ОСО в зависимости от широты.
Изменение
амплитуды колебаний в зависимости от широты проиллюстрировано на рис. 7.
Годовая волна имеет амплитуду на экваторе ~ 5-10 ед.Д., затем в области широт
10-40° N она возрастают до 20 ед.Д. и на широтах > 50° N амплитуда годовой
волны превышает экваториальную в 10-15 раз, поднимаясь выше 60 ед.Д. на ст.
Тура. Более или менее равномерно растет с широтой амплитуда колебаний ОСО с
периодом 16 мес. (1.3 года). Амплитуда квазидвухлетних колебаний ОСО (с
периодом 29 мес.) уменьшается от экватора к Северному полюсу, а амплитуда
колебаний с периодом 35 мес., наоборот, растет с широтой. При этом в области
широт примерно 10-30° N наблюдаются минимальные значения амплитуд
квазидвухлетних колебаний ОСО (в этой области широт образуется некий “ провал”
в амплитудах КДК.
Рис.8.
Временной ход ежемесячных значений дисперсии ОСО.
Заключение.
Проведенные нами исследования климатологии общего содержания озона в долготной
зоне 100-110° в.д. показали, что существуют значительные широтные различия в
вариациях ОСО. Особенно отчетливо “эффект широты” проявляется в годовом ходе
ОСО. Во временных вариациях среднемесячных значений ОСО на экваториальных
станциях четко проявляются квазидвухлетние колебания, амплитуда которых больше
амплитуды годовой волны. Анализ показал, что статистически значимая годовая
волна присутствует на всех станциях в выбранной долготной цепочке, причем ее
амплитуда существенно возрастает в северном полушарии от экватора к полюсу.
Значительно меняется с широтой и дисперсия, являющаяся мерой изменчивости ОСО,
на приэкваториальных станциях изменчивость ОСО минимальна. Отмечено возрастание
общего содержания озона в 2002 г. по всем станциям в рассматриваемой долготной
цепочке, наиболее существенное (на 110 ед.Д.) в Антарктике (ст. Восток).
Список литературы
Вергасова
Г.В., Казимировский Э.С., Белинская А.Ю. Сезонные особенности проявления
планетарных волн в вариациях общего содержания озона на средних широтах //
Солнечно-земная физика, 2003, вып.3, 13-23.
Белинская
А.Ю., Вергасова Г.В., Казимировский Э.С., Моино Э., Хераиз М., К региональным
особенностям поведения общего содержания озона // Солнечно-земная физика, 2004
, вып.4, 58-63.
Кароль
И.Л., Егорова Т.А., Зубов В.А., Озолин Ю.Э., Розанов Е.В. Антарктическая
озоновая дыра затягивается? // Метеорология и гидрология. 2003. N 5. С.106-110.
Gabriel A., Schmitz G., Schlosestr (?) G. Dynamical components of
northern hemispheric zonal mean total ozone changes during 1979-93. // Geophys.
Res. Lett. 2002. Vol. 29, N 14. P. 20/1-20/4.
Zhou L.B., Akiyoshi H., Kawahira K. Analysis of year-to-year ozone
variation over the subtropical western Pacific region using EP_TOMS data and
CESR/NIES nudging CTM. // J. Geophys. Res. D. 2003. Vol.108, N 20. P.
ACL3/1- ACL3/11
Для
подготовки данной работы были использованы материалы с сайта http://www.sciteclibrary.ru