Моделювання хімічної реакції

  • Вид работы:
    Контрольная работа
  • Предмет:
    Информационное обеспечение, программирование
  • Язык:
    Украинский
    ,
    Формат файла:
    MS Word
    1 Мб
  • Опубликовано:
    2012-10-18
Вы можете узнать стоимость помощи в написании студенческой работы.
Помощь в написании работы, которую точно примут!

Моделювання хімічної реакції













Розрахунково-графічне завдання

З дисципліни: Моделювання на ЕОМ

Зміст

ВСТУП

.        ДОСЛІДЖЕННЯ ОБ'ЄКТУ ТА СКЛАДАННЯ МАТЕМАТИЧНОЇ МОДЕЛІ

.1       Характеристика досліджуваного об'єкту

.2       Постановка задачі моделювання

.3       Вибір і опис методу рішення

.        Розробка програми для ЕОМ

ВИСНОВКИ

СПИСОК ЛІТЕРАТУРИ

ВСТУП

Більше 40 років обчислювальна техніка широко застосовується в хімічній технології для розв'язання різноманітних науково-технічних завдань, автоматизації проектних робіт та управління виробничими процесами. В даний час хімікам-технологам різних спеціальностей у своїй повсякденній практичній діяльності доводиться стикатися із застосуванням комп'ютерів, а також з автоматизованими комп'ютерними системами наукових досліджень (АСНІ), системами автоматизованого проектування (САПР), автоматизованими системами управління технологічними процесами (АСУТП) і автоматизованими системами управління підприємствами (АСУП). Основу цих автоматизованих систем складають комп'ютерні моделі конкретної предметної області, з якими мають справу хіміки-технологи, зокрема, комп'ютерні моделі хіміко-технологічних процесів (ХТП).

Найважливішою умовою успіху в сучасних умовах є вибір, експлуатація та, при необхідності, створення високоефективних енерго-і ресурсозберігаючих технологій хімічних процесів. Для цього потрібна реалізація цілого комплексу заходів і одним із найважливіших з них є застосування досить точних методів розрахунку хіміко-технологічних процесів (ХТП), що неможливо без застосування сучасних комп'ютерів і засобів обчислювальної техніки.

Традиційні методи розрахунку ХТП, засновані на обліку при обчисленнях спрощених механізмів їх протікання, абсолютно не задовольняють сучасним вимогам. Тільки комп'ютерне моделювання дає можливість врахувати найбільше число факторів і явищ, що впливають на перебіг реальних процесів, і забезпечити високу точність передбачення їх поведінки при розрахунках.

При оцінці параметрів технологічних регламентів виробництв, спроектованих раніше і експлуатованих в даний час, необхідний їх критичний аналіз і, можливо, перерахунок їх значень з урахуванням результатів застосування сучасної методології комп'ютерного моделювання.

.       

1. ДОСЛІДЖЕННЯ ОБ'ЄКТУ ТА СКЛАДАННЯ МАТЕМАТИЧНОЇ МОДЕЛІ

1.1     Характеристика досліджуваного об'єкту

Швидкість хімічної реакції є зміна числа молей реагентів в результаті хімічної взаємодії в одиницю часу в одиниці об'єму (для гомогенних реакцій) або на одиниці поверхні (для гетерогенних процесів) [2]:

,(1)

де W - швидкість хімічної реакції, ;об'єм, м3;число молей;час, с.

Відповідно до рівняння (1), вводячи концентрацію, отримаємо

,(2)

де С-концентрація, моль/м3,

або

.(3)

Для реакцій, що йдуть при постійному обсязі, другий доданок в рівнянні (3) дорівнює нулю і, отже,

.(4)

Одним з основних законів хімічної кінетики, що визначає кількісні закономірності швидкостей елементарних реакцій, є закон діючих мас.

Згідно кінетичному закону діючих мас швидкість елементарної реакції при заданій температурі пропорційна добутку концентрацій реагуючих речовин в ступені, що показує число вступників у взаємодію частинок (стехіометричних коефіцієнтів) [1,2]:

,(5)

де W-швидкість хімічної реакції; - константа швидкості;

 - Концентрації вихідних речовин;-стехіометричні коефіцієнти в рівнянні хімічної реакції.

Рівняння (5) справедливо для елементарних реакцій. Для складних реакцій показники ступеня в рівнянні (5) називаються порядками реакції і можуть приймати не тільки цілочисельні значення.
Константа швидкості хімічної реакції є функцією температури, і залежність її від температури виражається законом Арреніуса:

,(6)

де  - предекспоненціальний множник; E - енергія активації, ;

Т - температура, К; R - газова постійна, .

Константи швидкості реакцій різного порядку мають різну розмірність. Константа швидкості реакцій першого порядку (мономолекулярних) має розмірність с-1, константа швидкості другого порядку (молекулярних) - л / (моль * с).

На підставі рівнянь (4) і (5) можна записати:

 =                               (6а)

Рівняння, що відбиває зміну концентрації певної речовини в часі в ході хімічного перетворення називається кінетичним рівнянням.

Кінетичні рівняння пов'язують швидкість реакції з параметрами, від яких вона залежить. Найбільш важливими з цих параметрів є концентрація, температура, тиск, активність каталізатора.

Розглянемо гомогенну реакцію,

,(7)

хімічний каталізатор реакція модель

де nA, nB, nC, nD-стехіометричні коефіцієнти.

Відповідно до закону діючих мас (5) швидкість цієї реакції запишеться наступним чином:

(8)

Між швидкостями реакції з окремих компонентів (позначимо їх WA, WB, WC, WD) і загальною швидкістю реакції W існує залежність

.(9)

Звідси випливають такі вирази:

;

(10)

.

Щоб застосувати закон діючих мас для складної хімічної реакції, необхідно представити її у вигляді елементарних стадій і застосувати цей закон до кожної стадії окремо.

Кінетичні моделі гомогенних хімічних реакцій представляють системи звичайних диференціальних рівнянь матеріального балансу.

1.2     Постановка задачи моделювання

Скласти модель реакції вигляду:

(0) = 15=3;=0,1;=0,5.

Знайти кінетичні залежності компонентів реакції.

.3      

1.3 Вибір і опис методу рішення

Згідно схеми наведеної в пункті 1.2 можна визначити, що кінетика реакції описується наступними рівняннями:

’A(t)=-(k1+k2)CA(t), CA(0)=CA;’B(t)=k2CA(t)-k3CB(t), CA(0)=0;’C(t)=3k3CB(t), CA(0)=0;’D(t)=k1CA(t), CA(0)=0.

Всі чисельні методи рішення ОДУ засновані на апроксимації диференціальних рівнянь різностними аналогами. Залежно від конкретної форми апроксимації виходять алгоритми різної точності і швидкодії. У Mathcad використаний найбільш популярний алгоритм Рунге-Кутта четвертого порядку, описаний в більшості книг по методах обчислень.

Він забезпечує малу погрішність для широкого класу систем ОДУ за винятком жорстких систем. Тому в більшості випадків варто застосовувати функцію rkfixed. Якщо з різних причин час розрахунків стає критичним або точність незадовільна, варто спробувати замість rkfixed інші функції, тим більше, що зробити це дуже просто завдяки однаковому набору параметрів. Для цього потрібно тільки поміняти ім'я функції в програмі.

Функція Rkadapt може бути корисна у випадку, коли відомо, що рішення на даному інтервалі змінюється слабо або існують ділянки повільних і швидких його змін. Метод Рунге-кутти зі змінним кроком розбиває інтервал не на рівномірні кроки, а більш оптимальним способом. Там, де рішення міняється слабо, кроки вибираються більш рідкісними, а в областях його сильних змін - частими. В результаті для досягнення однакової точності потрібне менше число кроків, ніж для rkfixed.

Можна зробити висновок, що для вирішення єдиного рівняння (будь-якого порядку) використовується обчислювальний блок Given / Odesolve.

Для стандартних нежорстких систем використовуйте алгоритм Булирша-Штера Buistoer.

Для систем з ділянками швидко і повільно змінюваних рішень використовується адаптивний алгоритм Рунге-кутти Rkadapt.

У навчальних цілях і для вирішення нескладних завдань можна використовувати алгоритм Рунге-кутти з фіксованим кроком Rkfixed.

Для отримання рішення в одній кінцевій точці інтервалу використовується (залежно від перерахованих класів завдань) одна з вбудованих функцій з ім'ям, що починається з малої літери.

Тож використаємо для вирішення поставленої задачі алгоритм Рунге-кутти з фіксованим кроком rkfixed.

Функція rkfixed призначена для розв'язання систем звичайних диференціальних рівняння першого порядку, розв'язаних відносно похідної.

Як окремий випадок, функція rkfixed може бути використана і для рішення одного рівняння першого порядку. Одне рівняння порядку n при n> 1 може бути вирішено після зведення його до системи n рівнянь першого порядку. Особливістю даної функції є те, що рішення повертається у вигляді масиву з замовленим при її виклику кількості рядків (розрахованих точок). Кожен рядок містить значення аргументу і значення розрахованих у цій точці шуканих функцій.

Форма запису: rkfixed (y, x1, x2, npoints, D)

тут:- вектор початкових умов

[x1, x2] - інтервал інтегрування- кількість обчислюваних точок (не рахуючи початковою)- вектор-функція, вектор правих частин системи рівнянь.

Метод Рунге-Кутта включає в себе кілька інших таких як: метод Ейлера і метод Ейлера - Коші.

Методи Рунге-Кутта мають такі властивості:

. Ці методи є одноступінчастими: щоб знайти уm +1 , потрібна інформація про попередню точці xm , ym .

. Вони узгоджуються з рядом Тейлора аж до членів порядку hp , де ступінь р різна для різних методів і називається порядковим номером або порядком методу .

. Вони не вимагають обчислення похідних від f (x , y) , а вимагають обчислення самої функції .

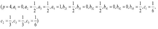
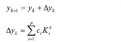
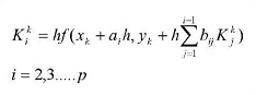
Сімейство явних методів Рунге-кутти р-го порядку записується у вигляді сукупності формул: (11)


Параметри ai, bij, ci підбираються так, щоб значення yk+1, розраховане за співвідношенням (11) збігалося із значенням розкладання в точці xk+1 точного рішення в ряд Тейлора з похибкою 0 (hp + 1).

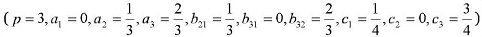
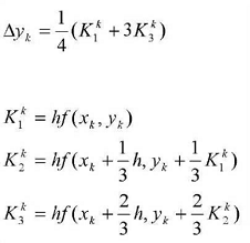
Один з методів Рунге-кутти третього порядку


має вигляд:



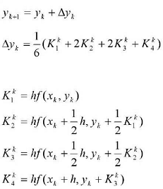
Метод Рунге-Кутта четвертого порядку точності


є одним з найбільш широко використовуваних методів для вирішення Завдання Коші:

(12)

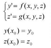
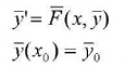
Розглядається задача Коші для системи диференціальних рівнянь першого порядку дозволених щодо похідної

(13)

Система (13) у більш компактному вигляді записується у векторній формі

(14)

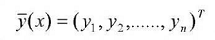
Тут  - вектор стовпець невідомих функцій,

- Вектор функція правих частин.

До векторному диференціального рівняння (14) можна застосувати всі методи розглянуті вище в цьому розділі (завдяки лінійній структурі всіх розглянутих методів). При цьому в формулах приведених вище усі величини векторні крім змінної х і кроку h.

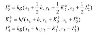
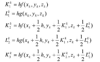
Розглянемо задачу Коші для системи двох ОДУ першого порядку, де рівняння записані в розгорнутому вигляді

(15)

Формули методу Рунге-кутти 4-го порядку точності для вирішення (15) такі:

(16)

Контроль правильності вибору кроку h у разі використання методу Рунге-Кутта четвертого порядку точності для системи (15) може бути організований за допомогою обчислення на кожному кроці h параметрів

(17)

Якщо величини порядку кількох сотих одиниці, то розрахунок триває з тим же кроком, якщо більше однієї десятої, то крок слід зменшити, якщо ж менше однієї сотої, то крок можна збільшити

        

2. Розробка програми для ЕОМ








Висновки

У розрахунково-графічному завданні була досліджена гомогенна ізотермічна реакція, складена її математична модель та знайдені кінетичні залежності компонентів реакції.

Для виконання поставленої задачі був обраний з обґрунтуванням метод чисельної реалізації математичної моделі. Цим методом було обрано - метод Рунге-Кутти.

Для програмної реалізації методу була використана система Mathcad у якій на основі раніше обраної функції була створена програма для вирішення поставленої задачі.

Список літератури

1.       Кравцов А.В., Новиков А.А., Коваль П.И. Методы анализа химико технологических процессов. - Томск: изд-во. ТПУ,1994.-76с.

.        Электронный курс по MathCAD

.        Численные методы. Учебное пособие

.        О численных методах MathCAD 12 руководство

.        Урмаев А.С. Основі моделирования на АВМ. - М.: Главная редакция математической литературы издательства “Наука”, 1974. -320 с.

Це завдання важливе як при вирішенні задач проектування (САПР), так і управління діючими виробництвами при комплексній автоматизації хімічних підприємств з використанням сучасних досягнень в області інформаційних технологій, зокрема при інтеграції автоматизованих систем управління підприємствами (АСУП) з автоматизованими системами управління окремими технологічними про-процесами (АСУТП).

Похожие работы на - Моделювання хімічної реакції

 

Не нашли материал для своей работы?
Поможем написать уникальную работу
Без плагиата!
Без нейросетей!