Гибкие компьютеризированные системы и робототехника
МІНІСТЕРСТВО ОСВІТИ І НАУКИ УКРАЇНИ
КРИВОРІЗЬКИЙ ІНСТИТУТ
ПВНЗ "Кременчуцький університет
економіки, інформаційних технологій та управління"
Факультет - інженерний
Кафедра - технічної кібернетики
Методичні вказівки
до виконання лабораторних робот
з дисципліни
"Комп’ютерне моделювання
процесів та систем"
для студентів спеціальності 7.0901402
"Гнучкі комп'ютеризовані системи
та робототехніка”
Кривий Ріг 2007
Содержание
Вступление
1. Техника безопасности и санитария в компьютерном зале
2. Подготовка и выполнение работы
3. Отчет и защита работы
Лабораторная работа №1. Моделирование термодинамической системы с
распределенными параметрами
Лабораторная работа №2. Моделирование случайных процессов и систем
Лабораторная работа №3. Статистическое (имитационное) моделирование
физических процессов. обработка результатов эксперимента методами
регрессионного анализа
Лабораторная работа №4. Компьютерное моделирование систем
управления с использованием пакета VisSim
Учебно-методическая литература
Вступление
Лабораторная работа - это учебное занятия, на котором
студенты под руководством преподавателя проводят имитационные эксперименты с
использованием оборудования, приспособленного для условий учебного процесса.
Целью лабораторной работы является практическое подтверждение отдельных
теоретических положений учебной дисциплины "компьютерное моделирование
процессов и систем", приобретение практических навыков использования
основных видов компьютерного моделирования, вычислительной техники, методики
численных экспериментальных исследований. Перечень тем лабораторных занятий
соответствует рабочей учебной программе дисциплины "Компьютерное
моделирование процессов и систем".
моделирование статистическое имитационное компьютерное
1. Техника
безопасности и санитария в компьютерном зале
Потенциальные опасности при работе с вычислительной техникой
обусловлены:
n наличием электрического тока: при работе на ПК возможно поражение
электрическим током в случае неисправности электрооборудования;
n наличием источников электромагнитных излучений: при работе на ПК
используется дисплей с электронно-лучевой трубкой;
n ожогами и отравлениями в случае пожара. К веществам, обладающим
пожароопасными свойствами, относятся: столы, стулья, линолеум, стены, а также
средства вычислительной техники.
Согласно ПУЭ по опасности поражения электрическим током
помещение компьютерного класса относится к категории без повышенной опасности,
так как характеризуется отсутствием условий, создающих повышенную или особую
опасность. Тем не менее необходимо соблюдать основные требования Правил
электробезопасности при выполнении работ:
n недопустимо оголение токоведущих частей, приборов, особое внимание
обращать на исправность розеток и разъемов;
n приборы и оборудование должны быть в исправном состоянии и иметь
защитное заземление;
n работы по монтажу производятся при отключенном напряжении с
использованием инструмента с изолированными рукоятками;
n помещение поддерживается в чистоте и сухости, что является мерой
для повышения сопротивления человека;
n к работе допускаются лица, прошедшие инструктаж по технике
безопасности.
Электромагнитное излучение - самое опасное - от нескольких
герц до нескольких мегагерц. Наибольшую опасность для человека представляют
низкочастотные электромагнитные колебания, создаваемые строчным трансформатором
дисплея. Минимальные предосторожности заключаются в организации рабочего места.
Оператор должен находится не ближе 0,65 м от экрана собственного дисплея и не
ближе 1,22 м от задней стенки соседних дисплеев.
Категория производимых работ, по определению, "легкие
физические работы, производимые сидя, стоя или связанные с ходьбой и
сопровождающиеся некоторым физическим напряжением".
В соответствие с правилами организация рабочего места для
данных условий требуется соблюдать следующие нормы:
n высота стола - 680-800 мм;
n стул должен быть подвижным, иметь регулировки по высоте, углу
наклона сиденья, иметь подставку для ног;
n расстояние от глаза до экрана - 50-70 см;
n расстояние от дисплея до задней стенки соседнего монитора не менее
2 м;
n площадь на одного пользователя - не менее 6 м2, объем - не менее
20 м3;
n освещение рабочего места должно быть общим, нормированная
освещенность 300-500 лк
Санитарно-гигиенические условия в помещении так же
регламентированы санитарными следующими нормами микроклимата производственных и
учебных помещений:
в холодный период года
n температура воздуха 21-23°С;
n относительная влажность 60-40%;
n скорость движения воздуха не более 0,1 м/с;
в теплый период года
n температура воздуха 22-24°С;
n относительная влажность 60-40%;
n скорость движения воздуха не более 0,2 м/с.
При выполнении основной работы на ПЭВМ (диспетчерские,
операторские, залы вычислительной техники), во всех учебных и дошкольных
помещениях с ПЭВМ - уровень шума на рабочем месте не должен превышать 50 дБ.
Согласно санитарным нормам продолжительность непрерывной
работы взрослого пользователя ПК не должна превышать 2 часов, минимальный
перерыв 15 минут. Нужно учитывать, что работа на ПК делятся на три группы:
n работа по считыванию информации;
n работа по вводу информации;
n творческая работа.
Суммарное время работы для первых двух групп определяется по
числу считываемых знаков и составляет примерно 60000 и 40000.
Для третьей группы устанавливается временной лимит 6 часов.
Уровень освещенности рабочего места должен обеспечивать
соответствующую контрастность между экраном и окружающей экран средой.
Необходимо, чтобы на окнах были шторы-жалюзи.
Особенностью работы оператора ПК является повышенное
зрительное напряжение, связанное со слежением за изображением на экране.
Оператор утомляется из-за нечеткости, неустойчивости изображения, эффекта
мелькания, несоответствия освещенности окружающей среды с яркостью изображения
на экране, воздействия аномальных параметров микроклимата, а также ионизирующих
и неионизирующих излучений.
При выполнении работ в компьютерном зале на предупреждение
пожара направлены следующие мероприятия:
n наличие исправных средств пожаротушения в помещении таких как:
полотно, песок, огнетушитель углекислотный ОУ-5 - применяется для тушения
загораний в помещениях с электрооборудованием, а также там, где вода может
вызвать порчу имущества;
n наличие устройств для подключения пожарных шлангов;
n наличие средств охранной пожарной сигнализации;
n работа осуществляется только с помощью исправных приборов с
соблюдением порядка эксплуатации;
n к работе допускаются студенты, прошедшие инструктаж по технике
безопасности
2. Подготовка
и выполнение работы
n Согласно определению лабораторной работы, студенты должны
приходить на занятия подготовленными по соответствующей теме. Поэтому
предполагается, что теоретические разделы дисциплины, прямо относящиеся к теме
лабораторного занятия, студенты осваивают самостоятельно работая с конспектом
лекций и рекомендованной литературой. Поэтому, специально отведенного времени
на изучение теоретического материала на занятиях не предусматривается, а
теоретические сведения, включенные в настоящее пособие, служат лишь для справки
при выполнении лабораторной работы.
n Общий порядок работы следующий:
) формулировка цели, указание задач и способа выполнения;
) выполнение примера (примеров) задания по теме работы,
сравнение результатов и их анализ;
) при необходимости, по указанию преподавателя, выполнение
аналогичных заданий или их элементов, для закрепления навыков;
) самостоятельное выполнение индивидуального контрольного
задания и подготовка данных для отчета, согласно настоящим методическим
указаниям.
) индивидуальная защита отчета о выполненных лабораторных
работах.
На выполнение пунктов 5-6 отводится, в зависимости от
сложности, 30 - 50% всего времени, предусмотренного на лабораторные занятия по
данной теме.
n Так как лабораторные занятия связаны между собой тематически и
методически, т.е. каждое следующее основано на использование навыка,
полученного на предыдущем занятии, то студенты, не выполнившие (в
экспериментально-расчетной части) лабораторную работу по какой-либо теме, к
занятиям по следующей теме не допускаются до погашения задолженности. Сдать
отчет о лабораторной работе - значит защитить полученный результат и методику
решения потссавлвенной задачи моделирования.
3. Отчет и
защита работы
n Отчет о лабораторной работе выполняется отдельно, согласно
"приложению А" настоящего пособия, а экспериментально-расчетная часть
фиксируется в тетради для лабораторных работ.
n Отчет о лабораторной работе после отметки преподавателя о защите
экспериментально-расчетной части, студенты дневной формы обучения оформляют в
течение семестра и сдают преподавателю пакетом отчетов на зачете. При наличие
всех плановых работ (защищенных) и соответствующем их оформлении студенту зачет
выставляется "автоматически" без дополнительного опроса.
Студенты заочной формы обучения из-за ее специфичности,
защищают свои отчеты непосредственно на сессии во время зачета или на плановых
консультациях.
n Студенты дневной формы обучения сдают отчет о лабораторной работе
на бумажном носителе с приложением электронной версии с "работающими"
диаграммами и схемами. Студенты заочной формы обучения сдают соответствующе
оформленные отчеты, но, при желании, только на электронном носителе (отчеты
выполняются в каком-либо текстовом редакторе, с соблюдением общих требований к
оформлению). Последнее обусловлено недостатком времени работы в компьютерном
классе, тогда как студенческие и демоверсии специального ПО требуют
существенных время затрат для адекватного переноса расчетов в текстовый
документ.
В общем виде отчет должен содержать титульный лист с
названием темы; описание цели и задачи работы; постановку задачи, метод решения
(при необходимости), перечень специальных функций, которые использовались, с
заметками об их назначении, синтаксисе и способе применения (см. так же примеры
выполнения заданий), решение (диаграмму, листинг), результаты и их анализ,
выводы. Порядок и содержание отчета может, в зависимости от конкретного
задания, корректироваться преподавателем. Указания о графической части см. в
примерах.
Примечание: весь отчет может быть оформлен и от руки, а
диаграммы и схемы вклеены в него из распечаток.
Защита работы включает доклад студента и его ответы на
вопросы по теме работы.
Лабораторная
работа №1. Моделирование термодинамической системы с
распределенными параметрами
Постановка задачи.
Стенка теплообменного устройства - достаточно тонкая по
сравнению с площадью теплообменного устройства, но такая. что
температуропроводность (a) конечна и процесс прогревания стенки на всю толщину
(L) существенно зависит от температуры внешней T01 и внутренней поверхности T0.
Для моделирования работы теплообменника необходимо рассчитать
изменение температуры по толщине стенки как функцию времени, т.е. как T (a,t).
При этом зависимость от времени температуры самих
поверхностей - заданы функциями m (t) и m1 (t), а начальная температура стенки
U0 одинакова по всей толщине a.
Условие
|
№ вар.
|
L
|
t1
|
a2
|
U0
|
m1 (t)
|
m2 (t)
|
|
00
|
1,2
|
2,8
|
1,4
|
10
|
U0+et
|
U0-sin2πt
|
Решение
Выделим в стенке одномерный тонкий стержень сечением dS→0,
ориентированный нормально к поверхностям, которые считаем параллельными. Таким
образом задача сводится к решению одномерного уравнения теплопроводности
где U=U (x,t) - температура стержня в момент t на расстоянии x от
начала координат.
За начало координат принимаем границу поверхности внешней стенки и
совместим ее с одним концом стержня длиной L.
Зададим начальные и граничные условия
Начальные условия:
т.к. температура стенки в начальный момент одинакова по всей
толщине то U (x,0) = U0
Граничные условия:
т. к зависимости температуры поверхностей от времени заданы, то на
одном конце стержня U (0,t) = m (t) = U0+et, а на другом U (L,t) = m1 (t) = U0
- sin (2πt)
(рис.1)
Рис.2.1 Начальные и граничные условия для моделирования нагрева
тонкого стержня
Для решения задачи используем метод конечных разностей (метод
сеток)
Зададим область исследования (D) в ортогональной системе координат
в виде прямоугольника размером L x t1, где t1 - продолжительность процесса по
условиям задания т.е.
= {0 ≤ x ≤ L, 0 ≤ t ≤ t1}
Дискретизируем область D представив ее в виде сеточной области
= {xi = i h, tj = j τ; 0 ≤ i ≤ m, 0 ≤ j ≤
p},
где m - число узлов по x
,
где L - размер области, h - шаг по x;- число узлов по t
,
где t1 - длительность процесса, τ - шаг по времени.
Так как значения заданы точно на границах исследуемой области то
для узлов внутренней сеточной области Dij (у которых все соседние узлы в
пределах D):
= { 1 ≤ i ≤ m-1, 1≤ j ≤ p}
Область рассчитанных значений U i j
|
j
|
tj = j*τ
|
|
|
|
|
|
|
j = p
|
xx
|
|
|
|
|
|
|
.
|
xx
|
|
|
|
|
|
|
2
|
xx
|
|
|
|
|
|
|
1
|
xx
|
|
|
|
|
|
|
0
|
xx
|
xx
|
xx
|
xx
|
xx
|
xx
|
|
i
|
0
|
1
|
2
|
.
|
i = m
|
Рис.2.2 Сеточная расчетная область
Если схема аппроксимирующая исходное уравнение разностями. в
каждом уравнении содержит только одно значение функции на следующем слое и это
значение можно выразить явно через известные значения функции на данном слое,
то такие схемы называются явными.
Если уравнение в одном слое содержит несколько неизвестных
значений функции на новом слое, такие схемы называются неявными.
Для рассматриваемого случая можно использовать явную
разностную схему на основе 4-х точечного шаблона. Выберем шаг сетки:
) по х - из условия
) по t - из условия устойчивости явной разностной схемы
поэтому принимаем τ = 0,005
Составим разностные уравнения для данного шаблона. описывающего
внутренние узлы сеточной области
Запишем уравнение теплопроводности в конечных разностях
Мы видим. что только одно значение U принадлежит вышележащему слою
(i, j+1).
Перепишем уравнение в виде расчетной формулы:
Таким образом последовательно вычисляя Ui в слое j+1 по данным
слоя j мы сможем последовательно заполнить его значениями Ui,j+1 и перейти к
слою j+2, а затем повторить вычисления столько раз. сколько требуется по
условиям задания.
Пример моделирования с использованием функций пакета Mathematica
Графическое представление данных выполняется блоком функций:
== end ==
Моделирование с помощью специальных функций для решения
дифференциальных уравнений NDSolve в пакете Mathematica
Запишем исходное уравнение в форме для использования функций
NDSolve:
== end ==
Варианты индивидуального задания к лабораторной работе №2
Лабораторная
работа №2. Моделирование случайных процессов и систем
Цель. Практическое усвоение основных методов компьютерного
моделирования случайных процессов.
Теоретическая часть. Определение и примеры стохастических
процессов. Основные определения теории вероятностей и математической статистики
для их моделирования. Виды и параметры распределений.
Метод статистического моделирования. Псевдослучайные числа и
процедура их генерации. Методы генерации случайных событий.
Вычислительные и графические возможности компьютерного
моделирования случайных процессов и систем. Метод Монте-Карло.
Содержание лабораторной работы
. Генерирование псевдослучайных чисел и распределений
. Моделирование системы массового обслуживания
. Метод Монте-Карло
Раздел 1. Генерирование равномерно распределенных случайных
чисел
Алгоритм Неймана [Калиткин с.115-116] получения
последовательности равномерно распределенных в диапазоне 0 - 1 чисел gi:
) взять произвольное число из 2r цифр (не обязательно
десятичных);
) возвести в квадрат.
) у квадрата этого числа оставить 2r средних цифр - т.е.
отбросить первые r или r-1 первых и r последних;
) полученное число (опять же из 2r или 2r - 1 цифр) возвести
в квадрат.
) повторить процедуру
Случайные числа gi получаются умножением полученных на шаге
3, каждого этапа чисел на 10 - 2r.
Например: пусть r =1; начальное число 46; g1 = 0.46; 462
=2116…
т.е.46 - > 2116 (11) - >121 (12) - > 144 (14) - >
196 (19) - > 361 (36) …= 0.46 - > 0.11 - > 0.12 - > 0.14 - >
0.19 - > 0.36…
Пример реализации на компьютере:
Алгоритм получения случайных чисел с выделением дробной части
произведения
= {А gi - 1},
где А - очень большая константа, произвольная, но, для
получения качественной последовательности случайных чисел, подбираемая по опыту
(в двоичной форме, должно иметь хаотическое чередование 0 и 1).
Рекомендуется, например, А = 513 и g 0 = 2 - 42
Пример:

ut: 0.501659
Нормальное распределение может быть получено из равномерного,
например таким способом [Мат. энциклопедия, М.: Советская энциклопедия, 1985.
т.5, 20]::
ut: { - 0.0610481, 0.487757 }
Примечания:
В примере, для генерирования равномерно распределенных чисел,
используется функция Random [], а для компактной записи программы - анонимные
функции и Function [body] и body& [].
Анонимные функции задаются выражениями специального вида,
например (# + 1) & [If [Random [] > 0.5, x, y]]. Вместо переменных
используются обозначения # для одной переменой или #1, #2, … - для нескоьких.
Завершается тело функции (# + 1) символом &. После функции, в квадратных
скобках, указывают список параметров для вычисления функции [If [Random [] >
0.5, x, y]]
Рис. Графическое представление массива нормально
распределенных случайных чисел
Для генерации распределений того или иного вида (например,
распределения Пуассона для моделирования систем массового обслуживания) и
вычисления их параметров используют стандартные приложения Mathematica <<
Statistics`DiscreteDistributions` и << Statistics`ContinuousDistributions`
Раздел 3. Метод Монте-Карло (ММК)
Пример 1
Вычисление числа Пи методом МК с заданной точностью:
число Пи с точностью 0.00001 от известного справочного
значения
.14156
количество циклов вычисления (разное при повторных
пересчетах)
Задание
. Разработайте модель случайного одномерного блуждания
(модель "пьяницы"). Блуждание задается по правилу: если случайное
число из отрезка [0;
) меньше 0,5, то делается шаг влево, в противном случае -
вправо. Постройте диаграмму, отражающую местоположение объекта.
. Постройте модель хаотического блуждания точки на плоскости
с возможностью делать шаги влево-вправо-вверх-вниз.
Примеры реализации на компьютере
) траектория случайного вектора из начала координат
) блуждающая точка
) траектория блуждающей точки
Лабораторная
работа №3. Статистическое (имитационное) моделирование физических процессов.
обработка результатов эксперимента методами регрессионного анализа
Задание для моделирования: численно моделировать физический
процесс, обработать результаты эксперимента и рассчитать коэффициенты уравнения
регрессии, предварительно линеаризовав экспериментальные данные.
Ниже условий заданий - представление процесса исходя из
аналитического выражения исследуемой физической закономерности (что возможно
или целесообразно только для простейших процессов)
Численно моделировать зависимость высоты полета от
длительности полета
Численно моделировать зависимость высоты подъема от
длительности полета
Численно моделировать зависимость общего сопротивления R от
площади проводника s.
Пример выполнения работы:
Моделирование радиоактивного распада трития.
Физический процесс описывается формулой
.
Для генерирования данных компьютерного эксперимента используем
подключаемый модуль (приложение) <<Statistics`ContinuousDistributions`
Среди распределений, генерируемых приложением
"Statistics", выбираем нормальное распределение и создаем функцию
пользователя "ndr" для текущих расчетов:
[mu_, sigma_]: = NormalDistribution [mu, sigma],
где mu - математическое ожидание случайной величины (задаем
условием эксперимента); sigma - стандартное отклонение (StandardDeviation)
Моделирование процесса выполним в следующей последовательности:
|
1) базовая функция
|
|
|
2) значение параметра λ (периода полураспада для трития)
|
λ = 12.6 лет
|
|
3) функция для генерации списка псевдослучайных
чисел с переменным математическим ожиданием у
|
у - мат. ожидание
(mu), соответствует значению для текущего t; стандартное отклонение (sigma)
связано с у соотношением α у, где α - параметр по условию задачи
|
|
4) значение параметра α определяющего дисперсию N/N0 для любого момента t
|
α = 0.15
|
|
5) функция для генерации результатов
эксперимента с заданными параметрами
|
|
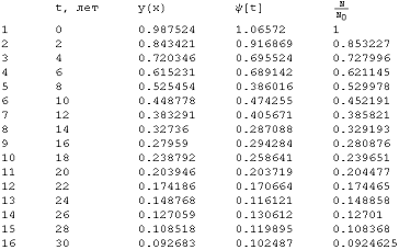
Получим массив (таблицу) результатов численного моделирования
радиоактивного распада включающую:
номер строки,
время от начала распада - t,
результаты стохастического моделирования - ψ [t],
теоретическое значение N/N0.
(*)
Таблица 1
Для графического представления полученных данных используем
подключаемый модуль (приложение) <<Graphics`MultipleListPlot` и
функцию[exam1 [[All,2]], exam1 [[All,3]], PlotJoined - > True, GridLines -
> Automatic] или:
ψ[t]
теоретическое
N/N0
Рис.4.2
. Вычислим статистические параметры выборки {t, ψ [t] } и коэффициент корреляции между моделированным в
компьютерном эксперименте отношением числа распавшихся ядер к начальному их
количеству N/N0 = ψ [t] в образце и временем
от начала распада - t, лет.
Присвоим выборке имя z={t, ψ [t] }
) количество элементов n выборки z[z_]: =Length [z]
) среднее значение результатов компьютерного эксперимента по
выборке z; mx - среднее значение аргумента t; my - среднее значение
стохастической функции ψ [t]. Для расчета в среде
Mathematica используем функцию Mean []:[z_]: = Mean [z [[All,1]]][z_]: = Mean
[z [[All,2]]]
) дисперсия и среднее квадратичное отклонение (стандартное
отклонение - StandardDeviation)
рассчитаем с учетом подстановки n [z] - 1 вместо
n [z], что означает несмещенную оценку дисперсии:
Для расчета стандартного отклонения можно использовать так же
и специальную функцию системы "Mathematica" из приложения
<<Statistics`DescriptiveStatistics` - StandardDeviation []:
{σx [z],σy [z] }: =
{StandardDeviation [z [[All,1]]],StandardDeviation [z
[[All,2]]] }
) корреляционная функция (ковариация) между x и y в массиве z
определится по формуле r = Mean ( (xi-Mean{x}) (yi-M{y}))[z_]: =[Table [z
[[i,1]] *z [[i,2]],{i,1,n [z] }]] - mx [z] *my [z]
) коэффициент корреляции R между значениями x, y:
Результаты расчета сведем в таблицу:
Таблица
Если x и y - независимы, то Rху = 0. При полной зависимости -
|Rxy| = 1. Учитывая, что по принятой градации при 0 <|Rxy|<=0.3 -
корреляция слабая; при 0.3 <|Rxy|<=0.7 - средняя; при 0.7< |Rxy| <=
1 - большая, сделаем вывод, что моделированная функция радиоактивного распада ψ [t] } имеет большую корреляцию с длительностью процесса (t),
коэффициент которой Rxy = | - 0.86633 |.
Вывод указывает на возможность расчета уравнения регрессии
для ψ [t] }.
. Выбор способа линеаризации экспериментальных данных и
расчет коэффициентов уравнения регрессии
Приближенная оценка данных на графике позволяет предположить, что
искомая зависимость - экспоненциальная, вида
. Эта зависимость может быть линеаризована, то есть, исходные
данные преобразованы таким образом, чтобы для расчета коэффициентов регрессии
можно было воспользоваться стандартными формулами метода наименьших квадратов
(МНК).
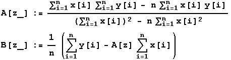
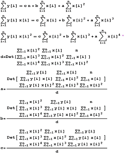
МНК позволяет непосредственно рассчитать коэффициенты линейного
уравнения регрессии y = B [z] + A [z] x, где
Для вычисления коэффициентов уравнения регрессии произвести
замену:
Тогда
= A [z] = - 0.0788672: B [z] = - 0.0125541
Указание: при пересчете листа Математика происходит пересчет
генерируемых случайных величин! Избежать это можно используя функцию SeedRandom.
Восстановим исходные значения преобразованных величин, рассчитаем
значения функции ψ [t] с
помощью уравнения регрессии ψ [t] = y, и сравним со значениями стохастической функции ψ [t] и точными значениями N/N0:
(не преобразовывалось)
Графически представим полученный результат с помощью функции
лет
Представленный график показывает хорошее совпадение
экспериментальных значений (результатов имитационного моделирования) и
расчетных по уравнению регрессии. Примеры для других вариантов приведены в
программном модуле - приложении к настоящей лабораторной работе. Везде
используется единый поход и метод. Для справки: дано несколько типов данных,
представляющих:
Правила линеаризации и подстановок
. Линейная зависимость
= a + b x
. Экспоненциальная зависимость
Обратного преобразования нет.
Выбор вариантов индивидуального задания к лабораторной работе №4
|
Вариант (номер в журнале)
|
Номер задачи
|
|
1
|
1
|
1
|
|
2
|
2
|
1
|
|
3
|
3
|
1
|
|
4
|
4
|
1
|
|
5
|
1
|
2
|
|
6
|
2
|
2
|
|
7
|
3
|
2
|
|
8
|
4
|
2
|
|
9
|
1
|
3
|
|
10
|
2
|
3
|
|
11
|
3
|
3
|
|
12
|
4
|
3
|
|
13
|
1
|
4
|
|
14
|
2
|
4
|
|
15
|
3
|
4
|
|
16
|
4
|
4
|
|
17
|
1
|
5
|
|
18
|
2
|
5
|
|
19
|
3
|
5
|
|
20
|
4
|
5
|
Задание 1
лет
Задание 2
Задание 3
Задание 4
Указание: принимать s, численно не превышающим значения r
Учебно-методическая
литература
Основная:
2. Арутюнов
В.А., Бухмиров В.В. Крупенников С.А. Математическое моделирование тепловой
работы промышленных печей. Учебн. пособие.М., Металлургия, 1990.239 с.
. Гилл
Ф. Мюррей У. Практическая оптимизация, М., Мир. 1985. - 509 с.
. Гулд
Х., Табачник Я., Компьютерное моделирование в физике. - М., мир. 1990. - 712 с.
. Зенкевич
О. Метод конечных элементов в технике. - М.: Мир, 1975. - 318 с.
. Пухов
Г.Е., Хатиашвили Ц.С. Модели технологических процессов. - К.: Техника, 1974.
. Тищенко
Н.М. Введение в проектирование систем управления.М., Энергоатомиздат, 1986
. Цымбал
В.П. Математическое моделирование технологических процессов. - М. : Металлургия, 1986.
Дополнительная:
9. Волков
Е.А. Численные методы - М.: Наука, 1987.
10. Трудоношина
В.А., Пивоварова Н.В. Математические модели технических объектов - Минск:
Вышэйшая школа, 1988.